Green Production of Glycerol Ketals with a Clay-Based Heterogeneous Acid Catalyst
Abstract
1. Introduction
2. Materials and Methods
2.1. Materials
2.2. Methods
2.2.1. Purification of Clay
2.2.2. Activation of Clay Catalyst Powder
2.2.3. Characterization of Clay Catalyst
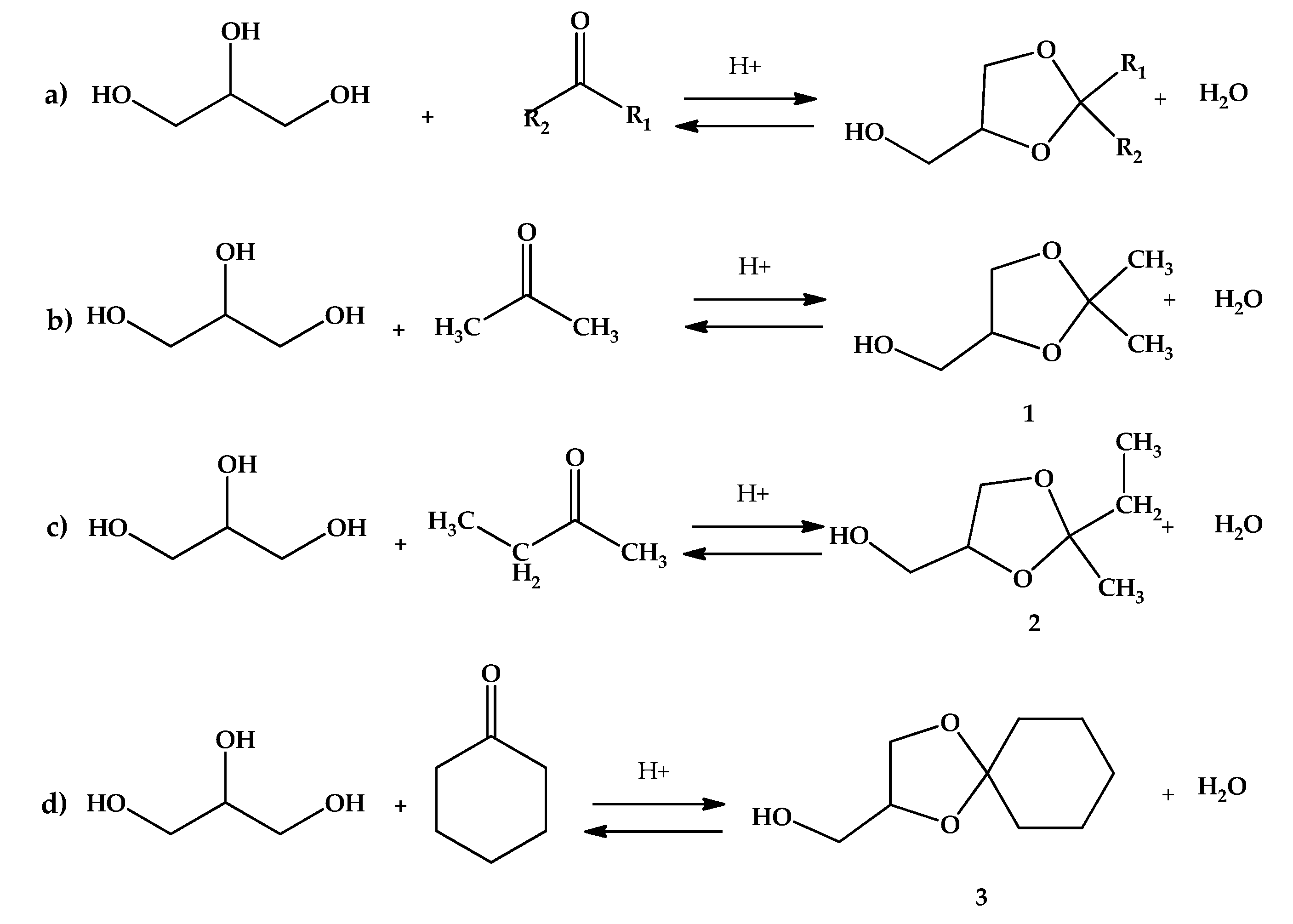
2.2.4. Ketalization Reactions
3. Results and Discussion
3.1. Catalyst Selection
3.2. Further Characterization of the Selected Catalyst
3.2.1. XRD Studies
3.2.2. FTIR Analysis
3.2.3. Microscopic Analysis SEM
3.3. Glycerol Ketalization Kinetic Studies
3.3.1. System 1: Ketalization with Acetone. Preliminary Analysis
Effect of Catalyst Concentration
Effect of Temperature
Effect of Initial Molar Ratio of Reactants
3.3.2. Systems 2 and 3: Ketalization with Butanone -MEK- and Cyclohexanone. Preliminary Analysis
Effect of Catalyst Concentration
Effect of Temperature
Effect of Initial Molar Ratio of Reactants
3.3.3. Reutilization of the Catalyst
3.3.4. Kinetic Model Fitting
4. Conclusions
Author Contributions
Acknowledgments
Conflicts of Interest
References
- García, E.; Laca, M.; Pérez, E.; Garrido, A.; Peinado, J. New Class of Acetal Derived from Glycerin as a Biodiesel Fuel Component. Energy Fuels 2008, 22, 4274–4280. [Google Scholar] [CrossRef]
- Reddy, P.S.; Sudarsanam, P.; Mallesham, B.; Raju, G.; Reddy, B.M. Acetalisation of glycerol with acetone over zirconia and promoted zirconia catalysts under mild reaction conditions. J. Ind. Eng. Chem. 2011, 17, 377–381. [Google Scholar] [CrossRef]
- Ilgen, O.; Yerlikaya, S.; Akyurek, F.O. Synthesis of solketal from glycerol and acetone over amberlyst-46 to produce an oxygenated fuel additive. Period. Polytech. Chem. Eng. 2017, 61, 144–148. [Google Scholar] [CrossRef]
- Cornejo, A.; Barrio, I.; Campoy, M.; Lázaro, J.; Navarrete, B. Oxygenated fuel additives from glycerol valorization. Main production pathways and effects on fuel properties and engine performance: A critical review. Renew. Sustain. Energy Rev. 2017, 79, 1400–1413. [Google Scholar] [CrossRef]
- Esteban, J.; Ladero, M.; Fuente, E.; Blanco, Á.; García-Ochoa, F. Experimental and modelling approach to the catalytic coproduction of glycerol carbonate and ethylene glycol as a means to valorise glycerol. J. Taiwan Inst. Chem. Eng. 2016, 63, 89–100. [Google Scholar] [CrossRef]
- Abreu, T.H.; Meyer, C.I.; Padró, C.; Martins, L. Acidic V-MCM-41 catalysts for the liquid-phase ketalization of glycerol with acetone. Microporous Mesoporous Mater. 2019, 273, 219–225. [Google Scholar] [CrossRef]
- Chaminand, J.; Djakovitch, L.; Gallezot, P.; Marion, P.; Pinel, C. Glycerol hydrogenolysis on heterogeneous catalysts. Green Chem. 2004, 6, 359–361. [Google Scholar] [CrossRef]
- Akiyama, M.; Sato, S.; Takahashi, R.; Inui, K.; Yokota, M. Dehydration-hydrogenation of glycerol into 1,2-propanediol at ambient hydrogen pressure. Appl. Catal. A Gen. 2009, 371, 60–66. [Google Scholar] [CrossRef]
- García-Sancho, C.; Cecilia, J.A.J.M.; Mérida-Robles, J.; Santamaría González, R.; Moreno-Tost, A.; Maireles-Torres, P. Effect of the treatment with H3PO4 on the catalytic activity of Nb2O5 supported on Zr-doped mesoporous silica catalyst. Case study: Glycerol dehydration. Appl. Catal. B Environ. 2018, 221, 158–168. [Google Scholar]
- Zhan, T.; Liu, W.; Teng, J.; Yue, C.; Li, D.; Wang, S.; Tan, H.; Yue, C. Selective oxidation of glycerol to tartronic acid over Pt/N-doped mesoporous carbon with extra framework magnesium catalysts under base-free conditions. Chem. Commun. 2019, 55, 2620–2623. [Google Scholar] [CrossRef]
- Esteban, J.; Fuente, E.; Blanco, A.; Ladero, M.; García-Ochoa, F. Phenomenological kinetic model of the synthesis of glycerol carbonate assisted by focused beam reflectance measurements. Chem. Eng. J. 2015, 260, 434–443. [Google Scholar] [CrossRef]
- Liu, J.; Zhang, Z.; Zhang, P.; Yang, B. On the kinetics of multiphase etherification of glycerol with isobutene. Chem. Eng. J. 2019, 375, 122037. [Google Scholar] [CrossRef]
- Miranda, C.; Urresta, J.; Cruchade, H.; Tran, A.; Benghalem, M.; Astafan, A.; Gaudin, P.; Daou, T.; Ramírez, A.; Pouilloux, Y.; et al. Exploring the impact of zeolite porous voids in liquid phase reactions: The case of glycerol etherification by tert-butyl alcohol. J. Catal. 2018, 365, 249–260. [Google Scholar] [CrossRef]
- Aghbashlo, M.; Tabatabaei, M.; Jazini, H.; Ghaziaskar, H.S. Exergoeconomic and exergoenvironmental co-optimization of continuous fuel additives (acetins) synthesis from glycerol esterification with acetic acid using Amberlyst 36 catalyst. Energy Convers. Manag. 2018, 165, 183–194. [Google Scholar] [CrossRef]
- Ratchadapiban, K.; Praserthdam, P.; Tungasmita, D.N.; Tangku, C.; Anutrasakda, W. Effect of Surface Modifications of SBA-15 with Aminosilanes and 12-Tungstophosphoric Acid on Catalytic Properties in Environmentally Friendly Esterification of Glycerol with Oleic Acid to Produce Monoolein. Catalysts 2018, 8, 360. [Google Scholar] [CrossRef]
- Chamack, M.; Mahjoub, A.R.; Akbari, A. Zirconium-modified mesoporous silica as an efficient catalyst for the production of fuel additives from glycerol. Catal. Commun. 2018, 110, 1–4. [Google Scholar] [CrossRef]
- Esteban, J.; Ladero, M.; García-Ochoa, F. Kinetic modelling of the solventless synthesis of solketal with a sulphonic ion exchange resin. Chem. Eng. J. 2015, 269, 194–202. [Google Scholar] [CrossRef]
- Timofeeva, M.N.; Panchenko, V.N.; Krupskaya, V.V.; Gil, A.; Vicente, M.A. Effect of nitric acid modification of montmorillonite clay on synthesis of solketal from glycerol and acetone. Catal. Commun. 2017, 90, 65–69. [Google Scholar] [CrossRef]
- Len, C.; Luque, R. Continuous flow transformations of glycerol to valuable products: An overview. Sustain. Chem. Process. 2014, 2, 1. [Google Scholar] [CrossRef]
- Aghbashlo, M.; Tabatabaei, M.; Hosseinpour, S.; Rastegari, H.; Ghaziaskar, H.S. Multi-objective exergy-based optimization of continuous glycerol ketalization to synthesize solketal as a biodiesel additive in subcritical acetone. Energy Convers. Manag. 2018, 160, 251–261. [Google Scholar] [CrossRef]
- Samoilov, V.; Maximov, A.; Stolonogova, T.; Chernysheva, E.; Kapustin, V.; Karpunina, A. Glycerol to renewable fuel oxygenates. Part I: Comparison between solketal and its methyl ether. Fuel 2019, 249, 486–495. [Google Scholar]
- Fatimah, I.; Sahroni, I.; Fadillah, G.; Musawwa, M.M.; Mahlia, T.M.I.; Muraza, O. Glycerol to Solketal for Fuel Additive: Recent Progress in Heterogeneous Catalysts. Energies 2019, 12, 2872. [Google Scholar] [CrossRef]
- Namazifar, Z.; Saadati, F.; Miranbeigi, A.A. Synthesis and characterization of novel phenolic derivatives with the glycerol ketal group as an efficient antioxidant for gasoline stabilization. New J. Chem. 2019, 43, 10038–10044. [Google Scholar] [CrossRef]
- Nobre, P.C.; Vargas, H.A.; Jacoby, C.G.; Schneider, P.H.; Casaril, A.M.; Savegnago, L.; Schumacher, R.F.; Lenardão, E.J.; Ávila, D.S.; Rodrigue, L.B.L.; et al. Synthesis of enantiomerically pure glycerol derivatives containing an organochalcogen unit: In vitro and in vivo antioxidant activity. Arab. J. Chem. 2017, in press. [Google Scholar] [CrossRef]
- Talebian-Kiakalaieh, A.; Amin, N.A.S.; Najaafi, N.; Tarighi, S. A Review on the Catalytic Acetalization of Bio-renewable Glycerol to Fuel Additives. Front. Chem. 2018, 6, 573. [Google Scholar] [CrossRef]
- Deutsch, J.; Martin, A.; Lieske, H. Investigations on heterogeneously catalysed condensations of glycerol to cyclic acetals. J. Catal. 2007, 245, 428–435. [Google Scholar] [CrossRef]
- da Silva, C.X.; Gonçalves, V.L.; Mota, C.J. Water-tolerant zeolite catalyst for the acetalisation of glycerol. Green Chem. 2009, 11, 38–41. [Google Scholar] [CrossRef]
- Manjunathan, P.; Maradur, S.P.; Halgeri, A.; Shanbhag, G.V. Room temperature synthesis of solketal from acetalization of glycerol with acetone: Effect of crystallite size and the role of acidity of beta zeolite. J. Mol. Catal. A Chem. 2015, 396, 47–54. [Google Scholar] [CrossRef]
- Nagendrappa, G. Organic synthesis using clay and clay-supported catalysts. Appl. Clay Sci. 2011, 53, 106–138. [Google Scholar] [CrossRef]
- Besbes, N.; Jellali, H.; Pale, P.; Srasra, E.; Efrit, M.L. Transformations de N-acylaziridines catalysées par des supports à base de silice et d’alumine: Une élucidation mécanistique. C. R. Chim. 2010, 13, 358–364. [Google Scholar] [CrossRef]
- Besbes, N.; Jellali, H.; Pale, P.; Efrit, M.L.; Srasra, E. Srasra, Isomerisation Catalysee Par le Gel de Silice et L’argile Activee de N-Acyl-2,2-Dimethylaziridines: Approche Mecanistique. Phosphorus Sulfur Silicon Relat. Elem. 2010, 185, 883–889. [Google Scholar] [CrossRef]
- Mnasri, S.; Besbes, N.; Frini-Srasra, N.; Srasra, E. Étude de l’activité catalytique des argiles pontées aluminium, zirconium et cérium dans la synthèse du 2,2-diméthyl-1,3-dioxolane. Comptes Rendus Chim. 2012, 15, 437–443. [Google Scholar] [CrossRef]
- Domínguez-Barroso, V.; Herrera, C.; Larrubia, M.Á.; González-Gil, R.; Cortés-Reyes, M.; Alemany, L.J. Continuous-Flow Process for Glycerol Conversion to Solketal Using a Brönsted Acid Functionalized Carbon-Based Catalyst. Catalysts 2019, 9, 609. [Google Scholar] [CrossRef]
- Cornejo, A.; Campoy, M.; Barrio, I.; Navarrete, B.; Lazaro, J. Solketal production in a solvent-free continuous flow process: scaling from laboratory to bench size. React. Chem. Eng. 2019, 4, 1803–1813. [Google Scholar] [CrossRef]
- Hagui, W.; Essid, R.; Amri, S.; Fares, N.; Khabbouchi, M.; Tabbene, O.; Limam, F.; Srasra, E.; Besbes, N. Acid-activated clay as heterogeneous and reusable catalyst for the synthesis of bioactive cyclic ketal derivatives. Turk. J. Chem. 2019, 43, 435–451. [Google Scholar] [CrossRef]
- Merayo, N.; Hermosilla, D.; Negro, C.; Blanco, A. On-line FTIR as a novel tool to monitor Fenton process behavior. Chem. Eng. J. 2013, 232, 519–526. [Google Scholar] [CrossRef]
- He, B.; Ren, Y.; Cheng, Y.; Li, J. Deactivation and in Situ Regeneration of Anion Exchange Resin in the Continuous Transesterification for Biodiesel Production. Energy Fuels 2012, 26, 3897–3902. [Google Scholar] [CrossRef]
- Reddy, C.R.; Bhat, Y.; Nagendrappa, G.; Prakash, B.J. Brønsted and Lewis acidity of modified montmorillonite clay catalysts determined by FT-IR spectroscopy. Catal. Today 2009, 141, 157–160. [Google Scholar] [CrossRef]
- Esteban, J.; García-Ochoa, F.; Ladero, M. Solventless Synthesis of Solketal with Commercially Available Sulfonic Acid Based Ion Exchange Resins and Their Catalytic Performance. Green Process. Synth. 2017, 6, 79–89. [Google Scholar] [CrossRef]
- Qian, J.; Qiu, M.; Zeng, Z.; Xue, W.; Xu, J. Cation-Exchange Resin Catalyzed Ketalization Reaction of Cyclohexanone with 1,4-Butanediol: Thermodynamics and Kinetics. Ind. Eng. Chem. Res. 2018, 57, 4841–4847. [Google Scholar] [CrossRef]
- Nanda, M.R.; Yuan, Z.; Qin, W.; Ghaziaskar, H.S.; Poirier, M.-A.; Xu, C.C. Thermodynamic and kinetic studies of a catalytic process to convert glycerol into solketal as an oxygenated fuel additive. Fuel 2014, 117, 470–477. [Google Scholar] [CrossRef]
- Sirijaruphan, A.; Goodwin, J.G.; Rice, R.W. Investigation of the initial rapid deactivation of platinum catalysts during the selective oxidation of carbon monoxide. J. Catal. 2004, 221, 288–293. [Google Scholar] [CrossRef]
- Rodríguez, J.C.; Peña, J.A.; Monzón, A.; Hughes, R.; Li, K. Kinetic modelling of the deactivation of a commercial silica—alumina catalyst during isopropylbenzene cracking. Chem. Eng. J. Biochem. Eng. J. 1995, 58, 7–13. [Google Scholar] [CrossRef]


















| Contacting Time [h] | 24 h Yield to Ketal 1 [%] | 24 h Yield to Ketal 3 [%] | SBET [m2/g] | Brönsted Acidity [mmol H+/g] |
|---|---|---|---|---|
| 0.5 | 68.2 ± 2.8 | 83.4 ± 4.3 | 125.4 | (56 ± 3.5) × 10−4 |
| 1 | 69.3 ± 3.5 | 85.3 ± 5.1 | 186.6 | (65 ± 5.1) × 10−4 |
| 2 | 68.1 ± 3.2 | 83.6 ± 3.8 | 225.4 | (51 ± 4.8) × 10−4 |
| 7 | 66.4 ± 3.4 | 81.8 ± 4.2 | 195.3 | (38 ± 2.4) × 10−4 |
| 20 | 63.3 ± 3.4 | 78.4 ± 4.4 | 170.4 | (19 ± 2.1) × 10−4 |
| Contact Time [h] | MgO [molar %] | C as CO2 [molar %] | Al2O3 [molar %] | SiO2 [molar %] | K2O [molar %] | Fe as FeO [molar %] |
|---|---|---|---|---|---|---|
| 0 | 1.3 | 54.5 | 11.9 | 25.4 | 0.7 | 1.2 |
| 0.5 | 0.8 | 36.9 | 5.1 | 55.6 | 0.6 | 0.9 |
| 1 | 0.3 | 37.3 | 4.7 | 55.3 | 0.8 | 1.2 |
| 2 | - | 36.6 | 4.2 | 54.1 | 0.7 | 1.1 |
| 7 | - | 38.6 | 2.5 | 58.4 | 0.5 | - |
| 20 | - | 37.2 | 2.3 | 59.6 | 0.9 | - |
| Parameter | System 1 | System 2 | System 3 |
|---|---|---|---|
| N | 1869 | 2880 | 2404 |
| K | 7 | 7 | 7 |
| DF | 1862 | 2873 | 2397 |
| SSR | 1.53 | 0.904 | 1.533 |
| RMSE | 0.0292 | 0.0198 | 0.0175 |
| F-value | 138,148 | 423,794 | 323,899 |
| VE (%) | 98.86 | 98.26 | 99.41 |
| Parameter | System 1 | System 2 | System 3 |
|---|---|---|---|
| Ln k01 | 12.61 ± 0.25 | 27.61 ± 0.8 | 12.88 ± 0.13 |
| Ea/R (k1) | 7869 ± 77 | 12,665 ± 25 | 8477 ± 43 |
| Ln k02 | 15.65 ± 0.72 | 36.70 ± 0.68 | 20.12 ± 0.19 |
| Ea/R (k2) | 8497 ± 214 | 15,487 ± 223 | 10,446 ± 61 |
| Ln k0d | 24.88 ± 2.24 | 19.76 ± 0.18 | 19.74 ± 0.30 |
| Ea/R (kd) | 9944 ± 687 | 8360 ± 57 | 10,446 ± 61 |
| β | 0.425 ± 0.09 | 0.117 ± 0.07 | 0.134 ± 0.05 |
| Parameter | System 1 | System 2 | System 3 | |||
|---|---|---|---|---|---|---|
| T (°C) | 25 | 50 | 25 | 50 | 25 | 50 |
| T (K) | 298.16 | 323.16 | 298.16 | 323.16 | 298.16 | 323.16 |
| k1 | 1.03 × 10−6 | 7.93 × 10−6 | 1.77 × 10−7 | 1.60 × 10−6 | 3.50 × 10−7 | 9.35 × 10−6 |
| k2 | 2.62 × 10−6 | 2.38 × 10−5 | 3.36 × 10−7 | 5.05 × 10−6 | 2.41 × 10−7 | 1.34 × 10−5 |
| kd | 2.69 × 10−2 | 2.44 × 10−1 | 2.14 × 10−4 | 1.90 × 10−3 | 2.54 × 10−4 | 2.22 × 10−3 |
| β | 0.425 | 0.425 | 0.134 | 0.134 | 0.117 | 0.117 |
© 2019 by the authors. Licensee MDPI, Basel, Switzerland. This article is an open access article distributed under the terms and conditions of the Creative Commons Attribution (CC BY) license (http://creativecommons.org/licenses/by/4.0/).
Share and Cite
Amri, S.; Gómez, J.; Balea, A.; Merayo, N.; Srasra, E.; Besbes, N.; Ladero, M. Green Production of Glycerol Ketals with a Clay-Based Heterogeneous Acid Catalyst. Appl. Sci. 2019, 9, 4488. https://doi.org/10.3390/app9214488
Amri S, Gómez J, Balea A, Merayo N, Srasra E, Besbes N, Ladero M. Green Production of Glycerol Ketals with a Clay-Based Heterogeneous Acid Catalyst. Applied Sciences. 2019; 9(21):4488. https://doi.org/10.3390/app9214488
Chicago/Turabian StyleAmri, Sondes, Jaime Gómez, Ana Balea, Noemi Merayo, Ezzeddine Srasra, Néji Besbes, and Miguel Ladero. 2019. "Green Production of Glycerol Ketals with a Clay-Based Heterogeneous Acid Catalyst" Applied Sciences 9, no. 21: 4488. https://doi.org/10.3390/app9214488
APA StyleAmri, S., Gómez, J., Balea, A., Merayo, N., Srasra, E., Besbes, N., & Ladero, M. (2019). Green Production of Glycerol Ketals with a Clay-Based Heterogeneous Acid Catalyst. Applied Sciences, 9(21), 4488. https://doi.org/10.3390/app9214488

