Assessing Relativistic Effects and Electron Correlation in the Actinide Metals Th to Pu
Abstract
1. Introduction
2. Computational Methods
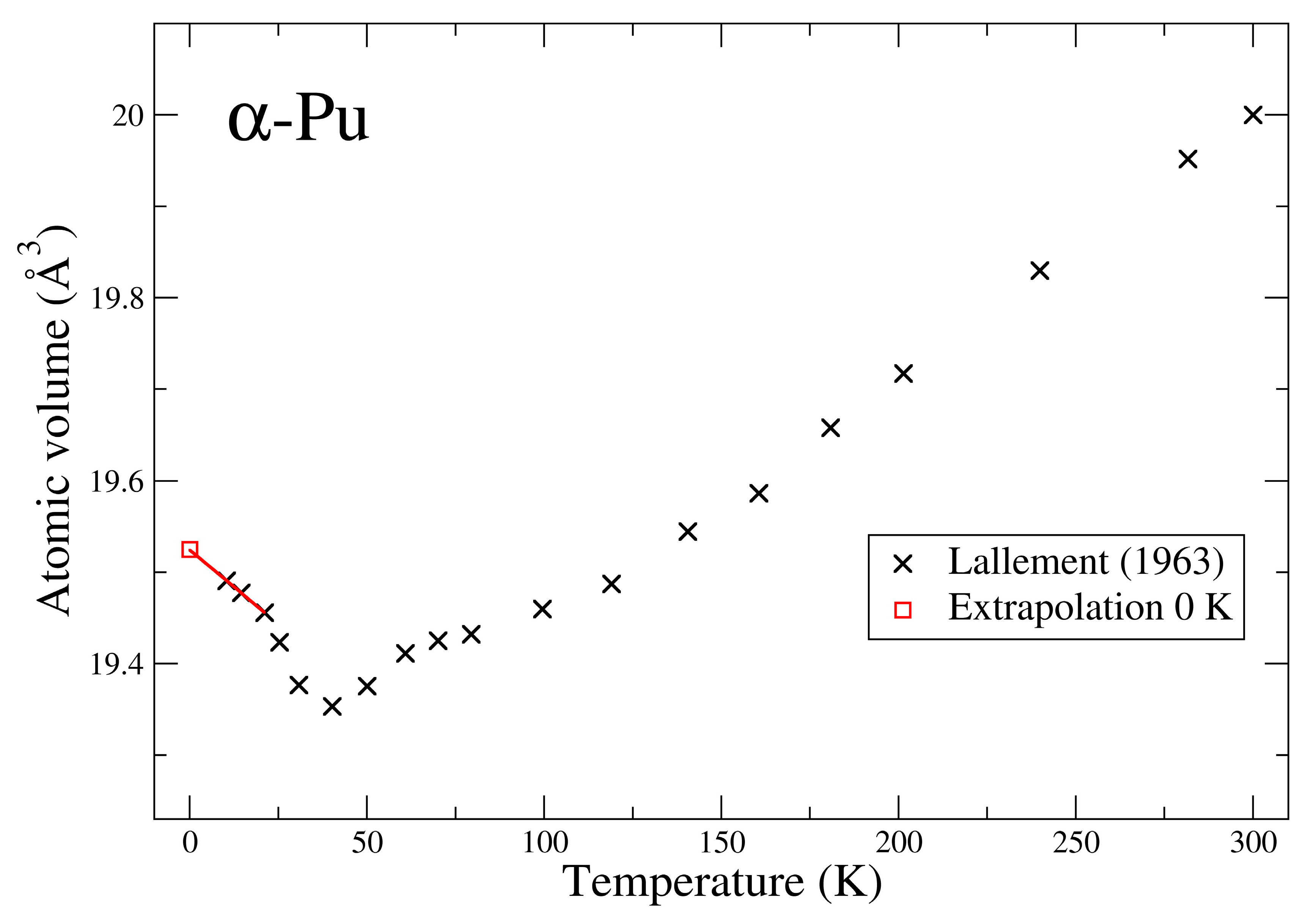
3. Results
4. Summary and Conclusions
Author Contributions
Acknowledgments
Conflicts of Interest
Appendix A
References
- Skriver, H.L.; Andersen, O.K.; Johansson, B. Calculated bulk properties of the actinide metals. Phys. Rev. Lett. 1978, 41, 42. [Google Scholar] [CrossRef]
- Johansson, B.; Skriver, H.L. Electronic structure of the actinide metals. J. Magn. Magn. Mater. 1982, 29, 217–229. [Google Scholar] [CrossRef]
- Brooks, M.S.S.; Johansson, B.; Skriver, H.L. Electronic Structure and Bulk Ground State Properties of the Actinides in Handbook on the Physics and Chemistry of the Actinides Vol. 1; North-Holland: Amsterdam, The Netherlands, 1984. [Google Scholar]
- Söderlind, P.; Nordström, L.; Yongming, L.; Johansson, B. Relativistic effects on the thermal expansion of the actinide elements. Phys. Rev. B 1990, 42, 4544. [Google Scholar] [CrossRef] [PubMed]
- Wills, J.M.; Eriksson, O. Crystal-structure stabilities and electronic structure for the light actinides Th, Pa, and U. Phys. Rev. B 1992, 45, 13879. [Google Scholar] [CrossRef]
- Söderlind, P.; Eriksson, O.; Johansson, B.; Wills, J.M. Electronic properties of f-electron metals using the generalized gradient approximation. Phys. Rev. B 1994, 50, 7291. [Google Scholar] [CrossRef]
- Pénicaud, M. New muffin tin orbital band calculations of equilibrium properties and electronic structure of actinide metals. J. Alloys Compd. 1994, 213–214, 410–413. [Google Scholar] [CrossRef]
- Söderlind, P.; Wills, J.M.; Johansson, B.; Eriksson, O. Structural properties of plutonium from first-principles theory. Phys. Rev. B 1997, 55, 1997. [Google Scholar] [CrossRef]
- Vitos, L.; Kollár, J.; Skriver, H.L. Ab initio full charge-density study of the α phase Fr, Ra, Ac, Th, Pa, U, Np, and Pu. Phys. Rev. B 1997, 55, 4947. [Google Scholar] [CrossRef]
- Kollár, J.; Vitos, L.; Skriver, H.L. Anomalous atomic volume of α-Pu. Phys. Rev. B 1997, 55, 15353. [Google Scholar] [CrossRef]
- Söderlind, P. Theory of the crystal structures of cerium and the light actinides. Adv. Phys. 1998, 47, 959–998. [Google Scholar] [CrossRef]
- Pénicaud, M. Calculated equilibrium properties, electronic structures and structural stabilities of Th, Pa, U, Np, and Pu. J. Phys. Condens. Matter 2000, 12, 5819. [Google Scholar] [CrossRef]
- Wang, Y.; Sun, Y. First-principles thermodynamic calculations for δ-Pu and Ɛ-Pu. J. Phys. Condens. Matter 2000, 12, L311. [Google Scholar] [CrossRef]
- Söderlind, P. Ambient pressure phase diagram of plutonium: A unified theory for α-Pu and δ-Pu. Europhys. Lett. 2001, 55, 525. [Google Scholar] [CrossRef]
- Söderlind, P.; Landa, A.; Sadigh, B. Density-functional investigation of magnetism in δ-Pu. Phys. Rev. B 2002, 66, 205109. [Google Scholar] [CrossRef]
- Robert, G.; Pasturel, A.; Siberchicot, B. Calculated thermodynamic properties of plutonium metal. J. Phys. Condens. Matter 2003, 15, 8377. [Google Scholar] [CrossRef]
- Kutepov, A.L.; Kutepova, S.G. First-principles study of electronic and magnetic structure of alpha-Pu, delta-Pu, americium, and curium. J. Magn. Magn. Mater. 2004, 272, E329–E330. [Google Scholar] [CrossRef]
- Söderlind, P.; Sadigh, B. Density-functional calculations for α, β, γ, δ, δ’, and Ɛ plutonium. Phys. Rev. Lett. 2004, 92, 185702. [Google Scholar] [CrossRef]
- Kuneš, J.; Novák, P.; Schmid, R.; Blaha, P.; Schwarz, K. Electronic structure of fcc Th: Spin-orbit calculations with 6p1/2 local orbital extension. Phys. Rev. B 2001, 64, 153102. [Google Scholar] [CrossRef]
- Nordström, L.; Wills, J.M.; Andersson, P.H.; Söderlind, P.; Eriksson, O. Spin-orbit coupling in the actinide elements: A critical evaluation of theoretical equilibrium volumes. Phys. Rev. B 2000, 63, 035103. [Google Scholar] [CrossRef]
- Bouchet, J.; Jomard, G. Lattice dynamics and thermodynamics of light actinides. J. Alloy. Compd. 2007, 444–445, 271–273. [Google Scholar] [CrossRef]
- Bouchet, J. Lattice dynamics of α uranium. Phys. Rev. B 2008, 77, 024113. [Google Scholar] [CrossRef]
- Taylor, C.D. Evaluation of first-principles techniques for obtaining materials parameters of α-uranium and the (001) α-uranium surface. Phys. Rev. B 2008, 77, 094119. [Google Scholar] [CrossRef]
- Söderlind, P.; Kotliar, G.; Haule, K.; Oppeneer, P.M.; Guillaumont, D. Computational modeling of actinide materials and complexes. MRS. Bull. 2010, 35, 883–888. [Google Scholar] [CrossRef]
- Bouchet, J.; Albers, R.C. Elastic properties of the light actinides at high pressure. J. Phys. Condens. Matter 2011, 23, 215402. [Google Scholar] [CrossRef]
- Bouchet, J.; Bottin, F. High-temperature and high-pressure phase transition in uranium. Phys. Rev. B 2017, 85, 054113. [Google Scholar] [CrossRef]
- Friedel, J. The Physics of Metals; Ziman, J.M., Ed.; Cambridge Univ. Press: New York, NY, USA, 1969. [Google Scholar]
- Bouchet, J.; Siberchicot, B.; Jollet, F.; Pasturel, A. Equilibrium properties of δ-Pu: LDA + U calculations (LDA ≡ local density approximation). J. Phys. Condens. Matter 2000, 12, 1723. [Google Scholar] [CrossRef]
- Lukoyanov, A.V.; Shorikov, A.O.; Bystrushkin, V.B.; Dyachenko, A.A.; Kabirova, L.R.; Tsiovkin, Y.Y.; Povzner, A.A.; Dremov, V.V.; Korotin, M.A.; Anisimov, V.I. Electronic structure and magnetic state of transuranium metals under pressure. J. Phys. Condens. Matter 2010, 22, 495501. [Google Scholar] [CrossRef]
- Xie, W.; Xiong, W.; Marianetti, C.A.; Morgan, D. Correlation and relativistic effects in U metal and U-Zr alloy: Validation of ab initio approaches. Phys. Rev. B 2013, 88, 235128. [Google Scholar] [CrossRef]
- Lukoyanov, A.V.; Zaminev, M.O.; Anisimov, V.I. Pressure-induced modification of the electronic structure of metallic thorium. JETP 2014, 118, 148–152. [Google Scholar] [CrossRef]
- Xiong, W.; Xie, W.; Morgan, D. Thermodynamic evaluation of the Np-Zr system using CALPHAD and ab initio methods. J. Nucl. Mater. 2014, 452, 569–577. [Google Scholar] [CrossRef]
- Xie, W.; Chang, A.Y.; Morgan, D. Ab initio energetics for modeling of phase stability of the Np-U system. J. Nucl. Mater. 2016, 479, 260–270. [Google Scholar] [CrossRef]
- Noordhoek, M.J.; Besmann, T.M.; Anderson, D.; Middleburgh, S.C.; Chernatynskiy, A. Phase equilibria in the U-Si system from first-principles calculations. J. Nucl. Mater. 2016, 479, 216–223. [Google Scholar] [CrossRef]
- Amadon, B. First-principles DFT+DMFT calculations of structural properties of actinides: Role of Hund’s exchange, spin-orbit coupling, and crystal structure. Phys. Rev. B 2016, 94, 115148, Erratum in 2018, 97, 039903(E). [Google Scholar] [CrossRef]
- Dorado, B.; Bottin, F.; Bouchet, J. Phonon spectra of plutonium at high temperatures. Phys. Rev. B 2017, 95, 104303. [Google Scholar] [CrossRef]
- Zhang, C.B.; Li, X.P.; Li, W.D.; Zhang, P.; Yin, W.; Wang, F.; Bao-Tian Wang, B.T. Structural, electronic, and elastic properties of equiatomic UZr alloys from first-principles. J. Nucl. Mater. 2017, 496, 333–342. [Google Scholar] [CrossRef]
- Amadon, B.; Dorado, B. A unified and efficient theory for the structural properties of actinides and phases of plutonium. J. Phys. Condens. Matter 2018, 30, 405603. [Google Scholar] [CrossRef]
- Qiu, R.; Ao, B.; Huang, L. Effective Coulomb interaction in actinides from linear response approach. Comput. Mater. Sci. 2020, 171, 109270. [Google Scholar] [CrossRef]
- Söderlind, P.; Landa, A.; Sadigh, B. Density-functional theory for plutonium. Adv. Phys. 2019, 68, 1. [Google Scholar] [CrossRef]
- Söderlind, P.; Sadigh, B.; Lordi, V.; Landa, A.; Turchi, P.E.A. Electron correlation and relativity of the 5f electrons in the U-Zr alloy system. J. Nucl. Mater. 2014, 444, 356–358. [Google Scholar] [CrossRef]
- Hohenberg, P.; Kohn, W. Inhomogeneous electron gas. Phys. Rev. 1964, 136, B864–B871. [Google Scholar] [CrossRef]
- Kohn, W.; Sham, L. Self-consistent equations including exchange and correlation effects. Phys. Rev. 1965, 140, A1133–A1138. [Google Scholar] [CrossRef]
- Perdew, J.P.; Burke, K.; Ernzerhof, M. Generalized gradient approximation made simple. Phys. Rev. Lett. 1996, 77, 3865. [Google Scholar] [CrossRef] [PubMed]
- Donohue, J. The Structures of the Elements; John Wiley & Sons: New York, NY, USA, 1974. [Google Scholar]
- Söderlind, P.; Yang, L.H. Phonon density of states for α-plutonium from density-functional theory. Sci. Rep. 2019. accepted. [Google Scholar]
- Söderlind, P. Quantifying the importance of orbital over spin correlations in δ-Pu from density functional theory. Phys. Rev. B 2008, 77, 085101. [Google Scholar] [CrossRef]
- Blöchl, P.E. Projector augmented-wave method. Phys. Rev. B 1994, 50, 17953. [Google Scholar] [CrossRef] [PubMed]
- Kresse, G.; Furthmüller, J. Efficient iterative schemes for ab initio total-energy calculations using a plane-wave basis set. Phys. Rev. B 1996, 54, 11169. [Google Scholar] [CrossRef] [PubMed]
- Kresse, G.; Joubert, D. From ultrasoft pseudopotentials to the projector augmented-wave method. Phys. Rev. B 1999, 59, 1758. [Google Scholar] [CrossRef]
- Dudarev, S.; Botton, G. Electron-energy-loss spectra and the structural stability of nickel oxide: An LSDA+U study. Phys. Rev. B 1998, 57, 1505. [Google Scholar] [CrossRef]
- Eriksson, O.; Brooks, M.S.S.; Johansson, B. Orbital polarization in narrow-band systems: Application to volume collapses in light lanthanides. Phys. Rev. B 1990, 41, 7311–7314. [Google Scholar] [CrossRef]
- Bengone, O.; Alouani, M.; Blöchl, P.; Hugel, J. Implementation of the projector augmented-wave LDA+U method: Application to the electronic structure of NiO. Phys. Rev. B 2000, 62, 16392. [Google Scholar] [CrossRef]
- Lejaeghere, K.; Bihlmayer, G.; Björkman, T.; Blaha, P.; Blügel, S.; Blum, V.; Caliste, D.; Castelli, I.E.; Clark, S.J.; Dal Corso, A. Reproducibility in density functional theory calculations for solids. Science 2016, 351, 3000. [Google Scholar] [CrossRef] [PubMed]
- Wills, J.M.; Alouani, M.; Andersson, P.; Delin, A.; Eriksson, O.; Grechnyev, O. Full-Potential Electronic Structure Method; Springer Series in Solid-State Science; Springer: Berlin/Heidelberg, Germany, 2010; Volume 167. [Google Scholar]
- Söderlind, P.; Grabowski, B.; Yang, L.; Björkman, T.; Souvatzis, P.; Eriksson, O. High-temperature phonon stabilization of γ-uranium from relativistic first-principles theory. Phys. Rev. B 2012, 85, 060301. [Google Scholar] [CrossRef]
- FlapwMBPT. Available online: https://www.bnl.gov/cmpmsd/flapwmbpt/ (accessed on 1 November 2019).
- Kutepov, A.L.; Kutepova, S.G. The ab initio ground state properties and magnetic structure of plutonium. J. Phys. Condens. Matter 2003, 15, 2607. [Google Scholar] [CrossRef]
- Landa, A.; Söderlind, P. Relativistic effects on the equation of state of the light actinides. In MRS Online Proceedings Library Archive, Proceedings of the Actinides 2005—Basic Science, Application and Technology, Boston, MA, USA, 28 November–1 December 2005; Sarrao, J.L., Schwartz, A.J., Antonio, M.R., Burns, P.C., Haire, R.G., Nitsche, N., Eds.; 0893-JJ01-09; Materials Research Society: Warrendale, PA, USA, 2006; Volume 893, pp. 51–56. [Google Scholar]
- Landa, A.; Söderlind, P.; Turchi, P.E.A.; Vitos, L.; Ruban, A. Density-functional study of Zr-based actinide alloys: 2. U-Pu-Zr system. J. Nucl. Mater. 2009, 393, 141–145. [Google Scholar] [CrossRef]
- Söderlind, P.; Young, D.A. Assessing density-functional theory for equation-of-state. Computation 2018, 6, 13. [Google Scholar] [CrossRef]
- Cort, B. Thermal expansion of neptunium. J. Less Comm. Met. 1987, 135, L13. [Google Scholar] [CrossRef]
- Lallement, R. Dilatation et pouvoir thermoelectrique du plutonium α basse temperature. J. Phys. Chem. Solids 1963, 24, 1617–1624. [Google Scholar] [CrossRef]
- Andersen, O.K. Linear methods in band theory. Phys. Rev. B 1975, 12, 3060. [Google Scholar] [CrossRef]
- Migdal, K.P.; Yanilkin, A.V. Polymorph transitions in uranium at low temperatures: First-principles investigation. Model. Simul. Mater. Sci. Eng. 2018, 26, 025009. [Google Scholar] [CrossRef]
- Mei, Z.-G.; Yacout, A.M. First-principles study of structural, elastic, electronic, vibrational and thermodynamic properties of uranium aluminides. Comput. Mater. Sci. 2019, 158, 26–31. [Google Scholar] [CrossRef]
- Rafi, M.; Iasir, M.; Hammond, K.D. Pseudopotential for plane-wave density functional theory studies of metallic uranium. Comput. Mater. Sci. 2020, 171, 109221. [Google Scholar]
- Mei, Z.-G.; Yacout, A.M. First-principles study of surface properties of crystalline and amorphous uranium aluminides. Appl. Surf. Sci. 2020, 502, 144132. [Google Scholar] [CrossRef]
- Söderlind, P.; Zhou, F.; Landa, A.; Klepeis, J.E. Phonon and magnetic structure in δ-plutonium from density-functional theory. Sci. Rep. 2015, 5, 15958. [Google Scholar] [CrossRef] [PubMed]





| Element | Th | Pa | U |
|---|---|---|---|
| Structure | Face-Centered Cubic | Body-Centered Tetragonal | Orthorhombic |
| b/a | N/A | N/A | 2.068 |
| c/a | N/A | 0.82 | 1.74 |
| y | N/A | N/A | 0.1017 |
| Basis set for Ψ | 596–642 | 404–460 | 1000–1048 |
| Plane waves in the interstitial for ρ/VKS | 965 | 1263 | 1541 |
| Lmax in MT for Ψ | 10 | 10 | 10 |
| Lmax in MT for ρ/VKS | 6 | 6 | 6 |
| k-point mesh | 12 × 12 × 12 | 12 × 12 × 12 | 12 × 12 × 8 |
| Element | FPLAPW | FPLMTO | VASP |
|---|---|---|---|
| Th | 0.12 | 0.02 | 0.02 |
| Pa | 0.53 | 0.50 | 0.57 |
| U | 1.40 | 1.33 | 1.40 |
| Np | N/A | 2.30 | 2.16 |
| Pu | N/A | 3.55 * | 5.50 * |
© 2019 by the authors. Licensee MDPI, Basel, Switzerland. This article is an open access article distributed under the terms and conditions of the Creative Commons Attribution (CC BY) license (http://creativecommons.org/licenses/by/4.0/).
Share and Cite
Sadigh, B.; Kutepov, A.; Landa, A.; Söderlind, P. Assessing Relativistic Effects and Electron Correlation in the Actinide Metals Th to Pu. Appl. Sci. 2019, 9, 5020. https://doi.org/10.3390/app9235020
Sadigh B, Kutepov A, Landa A, Söderlind P. Assessing Relativistic Effects and Electron Correlation in the Actinide Metals Th to Pu. Applied Sciences. 2019; 9(23):5020. https://doi.org/10.3390/app9235020
Chicago/Turabian StyleSadigh, Babak, Andrey Kutepov, Alexander Landa, and Per Söderlind. 2019. "Assessing Relativistic Effects and Electron Correlation in the Actinide Metals Th to Pu" Applied Sciences 9, no. 23: 5020. https://doi.org/10.3390/app9235020
APA StyleSadigh, B., Kutepov, A., Landa, A., & Söderlind, P. (2019). Assessing Relativistic Effects and Electron Correlation in the Actinide Metals Th to Pu. Applied Sciences, 9(23), 5020. https://doi.org/10.3390/app9235020

