A Pathogenic Presenilin-1 Val96Phe Mutation from a Malaysian Family
Abstract
:1. Introduction
2. Materials and Methods
3. Results
3.1. Subjects
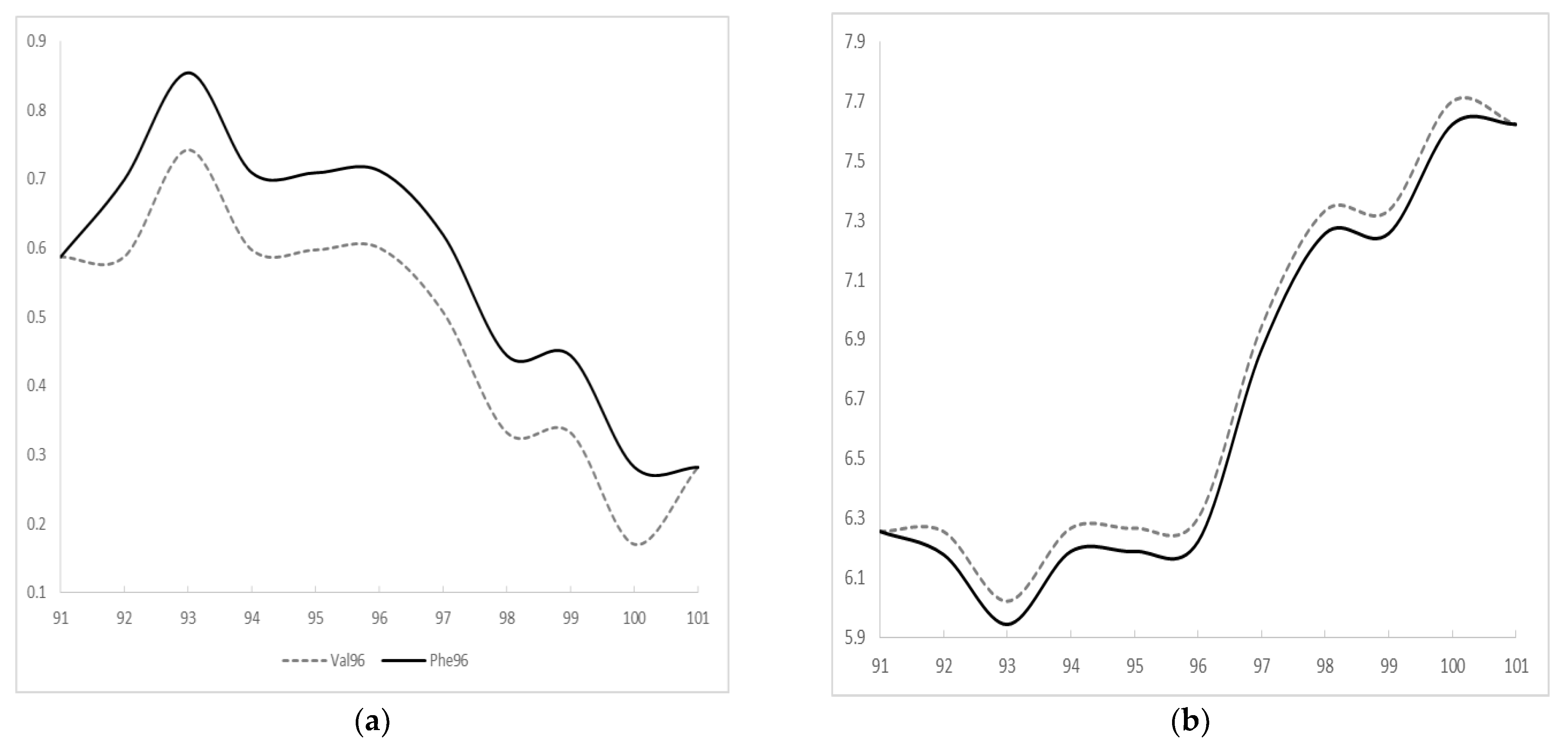
3.2. Genetic and Structure Findings
4. Discussion
5. Conclusions
Supplementary Materials
Author Contributions
Funding
Institutional Review Board Statement
Informed Consent Statement
Data Availability Statement
Acknowledgments
Conflicts of Interest
References
- van der Flier, W.M. Clinical heterogeneity in familial Alzheimer’s disease. Lancet Neurol. 2016, 15, 1296–1298. [Google Scholar] [CrossRef] [Green Version]
- Ryman, D.C.; Acosta-Baena, N.; Aisen, P.S.; Bird, T.; Danek, A.; Fox, N.C.; Goate, A.; Frommelt, P.; Ghetti, B.; Langbaum, J.B.; et al. Symptom onset in autosomal dominant Alzheimer disease: A systematic review and meta-analysis. Neurology 2014, 83, 253–260. [Google Scholar] [CrossRef] [PubMed]
- Borchelt, D.R.; Thinakaran, G.; Eckman, C.B.; Lee, M.K.; Davenport, F.; Ratovitsky, T.; Prada, C.M.; Kim, G.; Seekins, S.; Yager, D.; et al. Familial Alzheimer’s disease-linked presenilin 1 variants elevate Abeta1-42/1-40 ratio in vitro and in vivo. Neuron 1996, 17, 1005–1013. [Google Scholar] [CrossRef] [Green Version]
- Bagyinszky, E.; Youn, Y.C.; An, S.S.; Kim, S. The genetics of Alzheimer’s disease. Clin. Interv. Aging 2014, 9, 535–551. [Google Scholar] [CrossRef] [Green Version]
- Xia, D.; Watanabe, H.; Wu, B.; Lee, S.H.; Li, Y.; Tsvetkov, E.; Bolshakov, V.Y.; Shen, J.; Kelleher, R.J., 3rd. Presenilin-1 knockin mice reveal loss-of-function mechanism for familial Alzheimer’s disease. Neuron 2015, 85, 967–981. [Google Scholar] [CrossRef] [PubMed] [Green Version]
- Ikeda, M.; Sharma, V.; Sumi, S.M.; Rogaeva, E.A.; Poorkaj, P.; Sherrington, R.; Nee, L.; Tsuda, T.; Oda, N.; Watanabe, M.; et al. The clinical phenotype of two missense mutations in the presenilin I gene in Japanese patients. Ann. Neurol. 1996, 40, 912–917. [Google Scholar] [CrossRef]
- Tanahashi, H.; Kawakatsu, S.; Kaneko, M.; Yamanaka, H.; Takahashi, K.; Tabira, T. Sequence analysis of presenilin-1 gene mutation in Japanese Alzheimer’s disease patients. Neurosci. Lett. 1996, 218, 139–141. [Google Scholar] [CrossRef]
- Kamino, K.; Sato, S.; Sakaki, Y.; Yoshiiwa, A.; Nishiwaki, Y.; Takeda, M.; Tanabe, H.; Nishimura, T.; Ii, K.; George-Hyslop, P.H.S.; et al. Three different mutations of presenilin 1 gene in early-onset Alzheimer’s disease families. Neurosci. Lett. 1996, 208, 195–198. [Google Scholar] [CrossRef]
- Giau, V.V.; Bagyinszky, E.; Youn, Y.C.; An, S.S.A.; Kim, S. APP, PSEN1, and PSEN2 Mutations in Asian Patients with Early-Onset Alzheimer Disease. Int. J. Mol. Sci. 2019, 20, 4757. [Google Scholar] [CrossRef] [Green Version]
- McKhann, G.; Drachman, D.; Folstein, M.; Katzman, R.; Price, D.; Stadlan, E.M. Clinical diagnosis of Alzheimer’s disease, Report of the NINCDS-ADRDA Work Group * under the auspices of Department of Health and Human Services Task Force on Alzheimer’s Disease. Neurology 1984, 34, 939. [Google Scholar] [CrossRef] [PubMed] [Green Version]
- van Giau, V.; An, S.S.A.; Bagyinszky, E.; Kim, S. Gene panels and primers for next generation sequencing studies on neurodegenerative disorders. Mol. Cell. Toxicol. 2015, 11, 89–143. [Google Scholar] [CrossRef]
- Källberg, M.; Wang, H.; Wang, S.; Peng, J.; Wang, Z.; Lu, H.; Xu, J. Template-based protein structure modeling using the RaptorX web server. Nat. Protoc. 2012, 7, 1511–1522. [Google Scholar] [CrossRef] [PubMed] [Green Version]
- Murayama, O.; Tomita, T.; Nihonmatsu, N.; Murayama, M.; Sun, X.; Honda, T.; Iwatsubo, T.; Takashima, A. Enhancement of amyloid beta 42 secretion by 28 different presenilin 1 mutations of familial Alzheimer’s disease. Neurosci. Lett. 1991, 265, 61–63. [Google Scholar] [CrossRef]
- Leem, J.Y.; Saura, C.A.; Pietrzik, C.; Christianson, J.; Wanamaker, C.; King, L.T.; Veselits, M.L.; Tomita, T.; Gasparini, L.; Iwatsubo, T.; et al. A role for presenilin 1 in regulating the delivery of amyloid precursor protein to the cell surface. Neurobiol. Dis. 2002, 11, 64–82. [Google Scholar] [CrossRef] [PubMed] [Green Version]
- Bagyinszky, E.; Youn, Y.C.; An, S.S.; Kim, S. Mutations, associated with early-onset Alzheimer’s disease, discovered in Asian countries. Clin. Interv. Aging 2016, 11, 1467–1488. [Google Scholar] [CrossRef] [Green Version]
- Ataka, S.; Tomiyama, T.; Takuma, H.; Yamashita, T.; Shimada, H.; Tsutada, T.; Kawabata, K.; Mori, H.; Miki, T. A novel presenilin-1 mutation (Leu85Pro) in early-onset Alzheimer disease with spastic paraparesis. Arch. Neurol. 2004, 61, 1773–1776. [Google Scholar] [CrossRef] [Green Version]
- Liu, C.Y.; Ohki, Y.; Tomita, T.; Osawa, S.; Reed, B.R.; Jagust, W.; Van Berlo, V.; Jin, L.W.; Chui, H.C.; Coppola, G.; et al. Two Novel Mutations in the First Transmembrane Domain of Presenilin1 Cause Young-Onset Alzheimer’s Disease. J. Alzheimers Dis. 2017, 58, 1035–1041. [Google Scholar] [CrossRef]
- Queralt, R.; Ezquerra, M.; Lleó, A.; Castellví, M.; Gelpí, J.; Ferrer, I.; Acarín, N.; Pasarín, L.; Blesa, R.; Oliva, R. A novel mutation (V89L) in the presenilin 1 gene in a family with early onset Alzheimer’s disease and marked behavioural disturbances. J. Neurol. Neurosurg. Psychiatry 2002, 72, 266–269. [Google Scholar] [CrossRef] [Green Version]
- Jia, J.; Xu, E.; Shao, Y.; Jia, J.; Sun, Y.; Li, D. One novel presenilin-1 gene mutation in a Chinese pedigree of familial Alzheimer’s disease. J. Alzheimers Dis. 2005, 7, 119–124, discussion 173-80. [Google Scholar] [CrossRef]
- Campion, D.; Flaman, J.M.; Brice, A.; Hannequin, D.; Dubois, B.; Martin, C.; Moreau, V.; Charbonnier, F.; Didierjean, O.; Tardieu, S. Mutations of the presenilin I gene in families with early-onset Alzheimer’s disease. Hum. Mol. Genet. 1995, 4, 2373–2377. [Google Scholar] [CrossRef] [PubMed]
- Ikeda, M.; Yonemura, K.; Kakuda, S.; Tashiro, Y.; Fujita, Y.; Takai, E.; Hashimoto, Y.; Makioka, K.; Furuta, N.; Ishiguro, K.; et al. Cerebrospinal fluid levels of phosphorylated tau and Aβ1-38/Aβ1-40/Aβ1-42 in Alzheimer’s disease with PS1 mutations. Amyloid 2013, 20, 107–112. [Google Scholar] [CrossRef]
- Achouri-Rassas, A.; Ben Ali, N.; Fray, S.; Hadj Fredj, S.; Kechaou, M.; Zakraoui, N.O.; Cherif, A.; Chabbi, S.; Anane, N.; Messaoud, T.; et al. Novel presenilin 1 mutation (p.I83T) in Tunisian family with early-onset Alzheimer’s disease. Neurobiol. Aging 2015, 36, e9–e11. [Google Scholar] [CrossRef]
- Hooli, B.V.; Kovacs-Vajna, Z.M.; Mullin, K.; Blumenthal, M.A.; Mattheisen, M.; Zhang, C.; Lange, C.; Mohapatra, G.; Bertram, L.; Tanzi, R.E. Rare autosomal copy number variations in early-onset familial Alzheimer’s disease. Mol. Psychiatry 2014, 19, 676–681. [Google Scholar] [CrossRef] [PubMed] [Green Version]
- Houlden, H.; Baker, M.; McGowan, E.; Lewis, P.; Hutton, M.; Crook, R.; Wood, N.W.; Kumar-Singh, S.; Geddes, J.; Swash, M.; et al. Variant Alzheimer’s disease with spastic paraparesis and cotton wool plaques is caused by PS-1 mutations that lead to exceptionally high amyloid-beta concentrations. Ann. Neurol. 2000, 48, 806–808. [Google Scholar] [CrossRef]
- Steiner, H.; Revesz, T.; Neumann, M.; Romig, H.; Grim, M.G.; Pesold, B.; Kretzschmar, H.A.; Hardy, J.; Holton, J.L.; Baumeister, R.; et al. A pathogenic presenilin-1 deletion causes abberrant Abeta 42 production in the absence of congophilic amyloid plaques. J. Biol. Chem. 2001, 276, 7233–7239. [Google Scholar] [CrossRef] [Green Version]
- Tedde, A.; Nacmias, B.; Ciantelli, M.; Forleo, P.; Cellini, E.; Bagnoli, S.; Piccini, C.; Caffarra, P.; Ghidoni, E.; Paganini, M.; et al. Identification of new presenilin gene mutations in early-onset familial Alzheimer disease. Arch. Neurol. 2003, 60, 1541–1544. [Google Scholar] [CrossRef] [PubMed]
- Fang, B.; Jia, L.; Jia, J. Chinese Presenilin-1 V97L mutation enhanced Abeta42 levels in SH-SY5Y neuroblastoma cells. Neurosci. Lett. 2006, 406, 33–37. [Google Scholar] [CrossRef]
- Shioi, J.; Georgakopoulos, A.; Mehta, P.; Kouchi, Z.; Litterst, C.M.; Baki, L.; Robakis, N.K. FAD mutants unable to increase neurotoxic Abeta 42 suggest that mutation effects on neurodegeneration may be independent of effects on Abeta. J. Neurochem. 2007, 101, 674–681. [Google Scholar] [CrossRef]
- Gallo, M.; Frangipane, F.; Cupidi, C.; De Bartolo, M.; Turone, S.; Ferrari, C.; Nacmias, B.; Grimaldi, G.; Laganà, V.; Colao, R.; et al. The novel PSEN1 M84V mutation associated to frontal dysexecutive syndrome, spastic paraparesis, and cerebellar atrophy in a dominant Alzheimer’s disease family. Neurobiol. Aging 2017, 56, 213-e7. [Google Scholar] [CrossRef]
- Arango, D.; Cruts, M.; Torres, O.; Backhovens, H.; Serrano, M.L.; Villareal, E.; Montañes, P.; Matallana, D.; Cano, C.; Van Broeckhoven, C.; et al. Systematic genetic study of Alzheimer disease in Latin America: Mutation frequencies of the amyloid beta precursor protein and presenilin genes in Colombia. Am. J. Med. Genet. 2001, 103, 138–143. [Google Scholar] [CrossRef]
- Gong, P.; Vetrivel, K.S.; Nguyen, P.D.; Meckler, X.; Cheng, H.; Kounnas, M.Z.; Wagner, S.L.; Parent, A.T.; Thinakaran, G. Mutation analysis of the presenilin 1 N-terminal domain reveals a broad spectrum of gamma-secretase activity toward amyloid precursor protein and other substrates. J. Biol. Chem. 2010, 285, 38042–38052. [Google Scholar] [CrossRef] [PubMed] [Green Version]
- Szaruga, M.; Munteanu, B.; Lismont, S.; Veugelen, S.; Horré, K.; Mercken, M.; Saido, T.C.; Ryan, N.S.; De Vos, T.; Savvides, S.N.; et al. Alzheimer’s-Causing Mutations Shift Aβ Length by Destabilizing γ-Secretase-Aβn Interactions. Cell 2017, 170, 443–456.e14. [Google Scholar] [CrossRef] [PubMed] [Green Version]
- Ch’ng, G.S.; An, S.S.; Bae, S.O.; Bagyinszky, E.; Kim, S. Identification of two novel mutations, PSEN1 E280K and PRNP G127S, in a Malaysian family. Neuropsychiatr. Dis. Treat. 2015, 11, 2315–2322. [Google Scholar]
- Guerreiro, R.J.; Baquero, M.; Blesa, R.; Boada, M.; Brás, J.M.; Bullido, M.J.; Calado, A.; Crook, R.; Ferreira, C.; Frank, A.; et al. Genetic screening of Alzheimer’s disease genes in Iberian and African samples yields novel mutations in presenilins and APP. Neurobiol. Aging 2010, 31, 725–731. [Google Scholar] [CrossRef] [PubMed] [Green Version]






| Age of Onset | Memory Loss | Cognitive Deficits | Deficits in Spatial Awareness | Behavioral and Personality Change | Seizures | V96F Mutation | |
|---|---|---|---|---|---|---|---|
| II-1 | 57 | + | + | + | + | - | NA |
| II-3 | 50 | + | + | + | + | - | NA |
| III-1 | 50 | + | + | - | - | - | NA |
| III-2 | 48 | + | + | + | + | + | Positive |
| III-3 | 44 | + | + | - | + | - | Positive |
| III-4 | No symptoms | - | - | - | - | - | Positive |
| III-5 | No symptoms | - | - | - | - | - | Negative |
| Mutation | Clinical Symptoms | Age of Onset (Year) | Family History | Functional Studies | References |
|---|---|---|---|---|---|
| Val82Leu | EOAD | 53–58 | Positive (2 French family) | HEK293: 1.5 times elevated Aβ42/Aβ40 CHO: 1.4 times reduced CHO-APP695 | [20] |
| Ile83Thr | EOAD, behavioral symptoms, depression, hallucinations | 55–64 | Probable positive (Tunisian) | NA | [22] |
| del_Ile83/Met84 | EOAD, spastic paraparesis, cotton wool plaques, cerebral amyloid antipathy | 34–38 | Positive (Scottish) | HEK293: 4.8 times elevated Aβ42/Aβ40 H4: 2.6 times higher Aβ42/Aβ40 | [24,25] |
| Met84Val | EOAD, psychotic symptoms | 49–57 | Positive (Italian) | NA | [23,29] |
| Leu85Pro | EOAD, spastic paraparesis | 26 | De novo (Japan) | HEK293: 1.9 times elevated Aβ42/Aβ40 | [16] |
| Pro88Leu | EOAD, myoclonus, Parkinsonism, apraxia | 20s | Unknown (China) | Increased the long amyloid peptides | [17] |
| Val89Leu G>C | EOAD | Late 30s | Unknown (China) | NA | [24] |
| Val89>Leu G>T | EOAD with personality changes | 46–51 | Familial (Spain) | NA | [18] |
| Cys92Ser | EOAD, parkinsonism, hallucination | 49–70 | Familial (Italy) | Fibroblast cells: elevated Aβ42 levels | [26] |
| Val94Met | EOAD | 53 | De novo (Columbia) | NA | [30] |
| Val96Phe | EOAD | 44–57 | Familial (Japan, Malaysia) | elevated Aβ42/totalAβ in COS1 cells | [8,13], our case |
| Val97Leu | EOAD | Late 30s, early 40s | Familial (China) | SH-SY5Y cells: elevated intracellular and extracellular Aβ42 | [19,27] |
| Thr99Ala | EOAD | 43 | De novo (Japan) | NA | [21] |
Publisher’s Note: MDPI stays neutral with regard to jurisdictional claims in published maps and institutional affiliations. |
© 2021 by the authors. Licensee MDPI, Basel, Switzerland. This article is an open access article distributed under the terms and conditions of the Creative Commons Attribution (CC BY) license (https://creativecommons.org/licenses/by/4.0/).
Share and Cite
Bagyinszky, E.; Ch’ng, G.-S.; Chan, M.-Y.; An, S.S.A.; Kim, S. A Pathogenic Presenilin-1 Val96Phe Mutation from a Malaysian Family. Brain Sci. 2021, 11, 1328. https://doi.org/10.3390/brainsci11101328
Bagyinszky E, Ch’ng G-S, Chan M-Y, An SSA, Kim S. A Pathogenic Presenilin-1 Val96Phe Mutation from a Malaysian Family. Brain Sciences. 2021; 11(10):1328. https://doi.org/10.3390/brainsci11101328
Chicago/Turabian StyleBagyinszky, Eva, Gaik-Siew Ch’ng, Mei-Yan Chan, Seong Soo A. An, and SangYun Kim. 2021. "A Pathogenic Presenilin-1 Val96Phe Mutation from a Malaysian Family" Brain Sciences 11, no. 10: 1328. https://doi.org/10.3390/brainsci11101328
APA StyleBagyinszky, E., Ch’ng, G.-S., Chan, M.-Y., An, S. S. A., & Kim, S. (2021). A Pathogenic Presenilin-1 Val96Phe Mutation from a Malaysian Family. Brain Sciences, 11(10), 1328. https://doi.org/10.3390/brainsci11101328

