Actigraphy-Derived Sleep Profiles of Children with and without Attention-Deficit/Hyperactivity Disorder (ADHD) over Two Weeks—Comparison, Precursor Symptoms, and the Chronotype
Abstract
:1. Introduction
2. Materials and Methods
2.1. Participants
2.2. ADHD Diagnosis and Comorbidities
2.3. Sleep Measures and Chronotype
2.4. Neuropsychological Performance
2.5. Statistical Analyses
3. Results
3.1. Participiants’ Characteristics
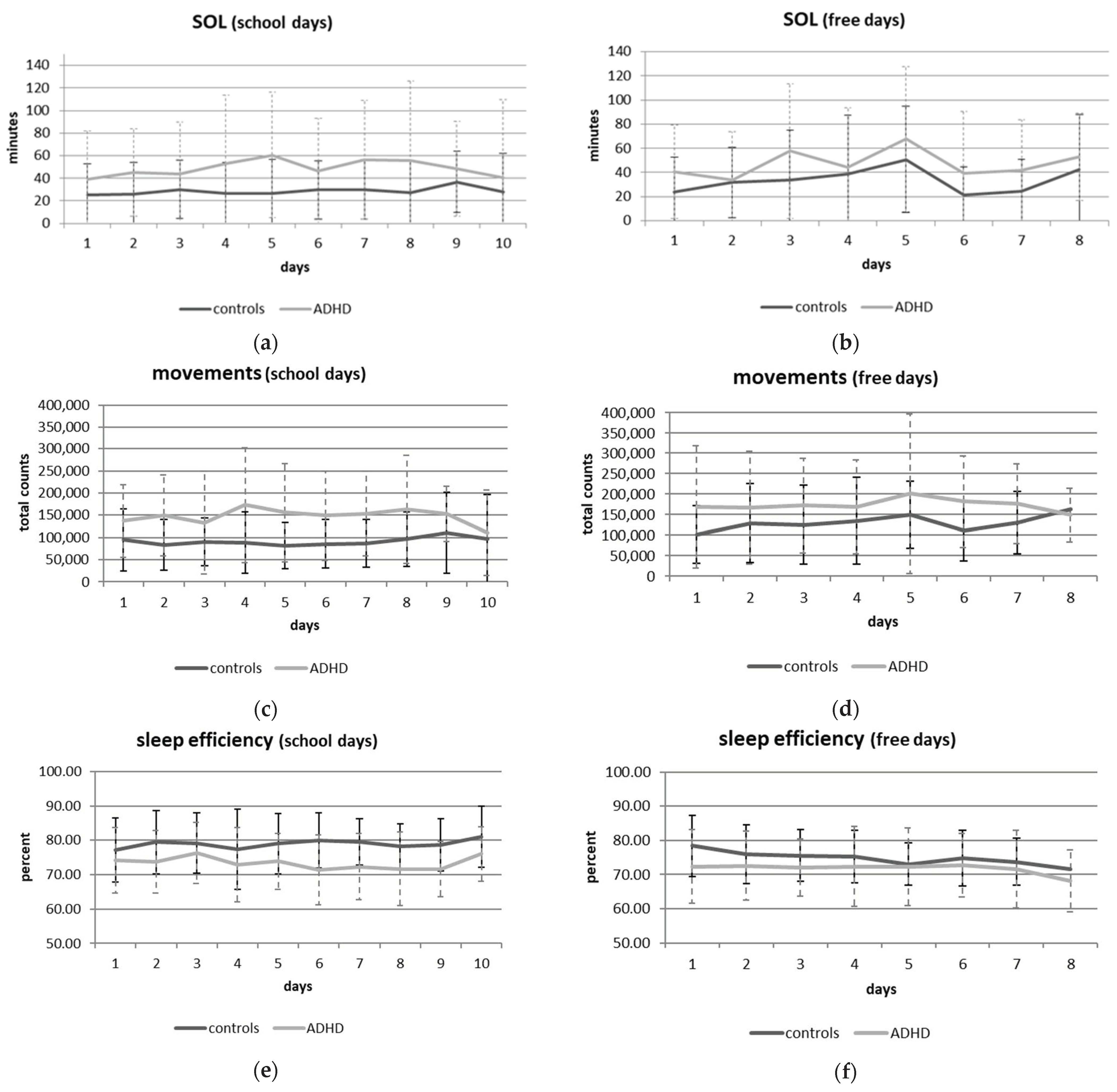
3.2. Actigraphy Sleep Results
3.2.1. Mean Analyses of Actigraphy-Derived Sleep Variables
3.2.2. Analyses of Variability (IIV) of Sleep Variables
3.3. Chronotype and Sleep Onset Time
3.4. Effects on Neuropsychological Performance
4. Discussion
5. Conclusions
Author Contributions
Funding
Institutional Review Board Statement
Informed Consent Statement
Data Availability Statement
Acknowledgments
Conflicts of Interest
Appendix A
Appendix A.1. Sleep and Demographic Data of the Subgroup of ADHD and Control Children That Completed the CPT Task
| ADHD n = 13 | Controls n = 31 | Test Statistic | p | |
|---|---|---|---|---|
| Age (SD) | 8.78 (1.56) | 9.07 (1.60) | F ₁‚₄₂ = 0.213 | 0.594 |
| Sex (m/f) | 10/3 | 21/10 | X² (1) = 7.364 | 0.007 |
| IQ (SD) | 103 (11.8) | 118 (11.0) | F ₁,₄₂ = 0.820 | <0.001 |
| ADHD symptom score | 2.24 | 0.20 | F ₁,₄₂ = 0.304 | <0.001 |
| Combined subtype | 11/13 | / | ||
| Hyp./Imp. subtype | 2/13 | / | ||
| Comorbid ODD | 4/13 | / |
| Sleep Variables | ADHD (n = 13) | Controls (n = 31) |
|---|---|---|
| Sleep Onset Latency (SD) | ||
| school days | 55 min (40 min) | 28 min (17 min) |
| free days | 55 min (33 min) | 31 min (21 min) |
| Total Counts (SD) | ||
| school days | 184,058 (87,277) | 91,852 (46,775) |
| free days | 220,946 (138,619) | 121,377 (62,223) |
| Sleep Efficiency (SD) | ||
| school days | 74% (8%) | 78% (8%) |
| free days | 70% (10%) | 76% (6%) |
| Sleep Deficit (SD) | +/−2 h Normal | +/−2 h Normal |
| school days | 2 h 31 min (52 min) | 2 h 7 min (49 min) |
| free days | 2 h 38 min (63 min) | 2 h 8 min (43 min) |
| Total Sleep Time (SD) | ||
| school days | 7 h 37 min (64 min) | 7 h 57 min (49 min) |
| free days | 7 h 33 min (65 min) | 7 h 56 min (39 min) |
| Sleep Onset Time (SD) | ||
| school days | 9:18 p.m. (53 min) | 9:20 p.m. (49 min) |
| free days | 10:00 p.m. (57 min) | 10:04 p.m. (55 min) |
Appendix A.2. Associations of Sleep Variables with EEG Parameters
References
- Polanczyk, G.V.; Salum, G.A.; Sugaya, L.S.; Caye, A.; Rohde, L.A. Annual research review: A meta-analysis of the worldwide prevalence of mental disorders in children and adolescents. J. Child Psychol. Psychiatry 2015, 56, 345–365. [Google Scholar] [CrossRef] [PubMed]
- Association, A.P. Diagnostic and Statistical Manual of Mental Disorderes, 5th ed.; American Psychiatric Association: Washington, DC, USA, 2013. [Google Scholar]
- Corkum, P.; Tannock, R.; Moldofsky, H. Sleep disturbances in children with attention-deficit/hyperactivity disorder. J. Am. Acad. Child Adolesc. Psychiatry 1998, 37, 637–646. [Google Scholar] [CrossRef] [PubMed]
- Diaz-Roman, A.; Hita-Yanez, E.; Buela-Casal, G. Sleep Characteristics in Children with Attention Deficit Hyperactivity Disorder: Systematic Review and Meta-Analyses. J. Clin. Sleep Med. 2016, 12, 747–756. [Google Scholar] [CrossRef] [PubMed] [Green Version]
- Hvolby, A.; Jorgensen, J.; Bilenberg, N. Actigraphic and parental reports of sleep difficulties in children with attention-deficit/hyperactivity disorder. Arch. Pediatr. Adolesc. Med. 2008, 162, 323–329. [Google Scholar] [CrossRef] [PubMed] [Green Version]
- Konofal, E.; Lecendreux, M.; Cortese, S. Sleep and ADHD. Sleep Med. 2010, 11, 652–658. [Google Scholar] [CrossRef] [PubMed]
- Miano, S.; Esposito, M.; Foderaro, G.; Ramelli, G.P.; Pezzoli, V.; Manconi, M. Sleep-Related Disorders in Children with Attention-Deficit Hyperactivity Disorder: Preliminary Results of a Full Sleep Assessment Study. CNS Neurosci. Ther. 2016, 22, 906–914. [Google Scholar] [CrossRef] [PubMed]
- Van der Heijden, K.B.; Smits, M.G.; Van Someren, E.J.; Gunning, W.B. Idiopathic chronic sleep onset insomnia in attention-deficit/hyperactivity disorder: A circadian rhythm sleep disorder. Chronobiol. Int. 2005, 22, 559–570. [Google Scholar] [CrossRef] [PubMed]
- Bijlenga, D.; Vollebregt, M.A.; Kooij, J.J.S.; Arns, M. The role of the circadian system in the etiology and pathophysiology of ADHD: Time to redefine ADHD? Atten. Defic. Hyperact. Disord. 2019, 11, 5–19. [Google Scholar] [CrossRef]
- Cortese, S. Sleep and ADHD: What we know and what we do not know. Sleep Med. 2015, 16, 5–6. [Google Scholar] [CrossRef]
- Borbely, A.A. A two process model of sleep regulation. Hum. Neurobiol. 1982, 1, 195–204. [Google Scholar] [PubMed]
- Klerman, E.B.; Gershengorn, H.B.; Duffy, J.F.; Kronauer, R.E. Comparisons of the variability of three markers of the human circadian pacemaker. J. Biol. Rhythm. 2002, 17, 181–193. [Google Scholar] [CrossRef] [PubMed]
- Lewy, A.J.; Cutler, N.L.; Sack, R.L. The endogenous melatonin profile as a marker for circadian phase position. J. Biol. Rhythm. 1999, 14, 227–236. [Google Scholar] [CrossRef]
- Roenneberg, T.; Kuehnle, T.; Juda, M.; Kantermann, T.; Allebrandt, K.; Gordijn, M.; Merrow, M. Epidemiology of the human circadian clock. Sleep Med. Rev. 2007, 11, 429–438. [Google Scholar] [CrossRef] [Green Version]
- Kalmbach, D.A.; Schneider, L.D.; Cheung, J.; Bertrand, S.J.; Kariharan, T.; Pack, A.I.; Gehrman, P.R. Genetic Basis of Chronotype in Humans: Insights From Three Landmark GWAS. Sleep 2017, 40, zsw048. [Google Scholar] [CrossRef]
- Kantermann, T.; Sung, H.; Burgess, H.J. Comparing the Morningness-Eveningness Questionnaire and Munich ChronoType Questionnaire to the Dim Light Melatonin Onset. J. Biol. Rhythm. 2015, 30, 449–453. [Google Scholar] [CrossRef] [Green Version]
- Hvolby, A. Associations of sleep disturbance with ADHD: Implications for treatment. Atten. Defic. Hyperact. Disord. 2015, 7, 1–18. [Google Scholar] [CrossRef] [Green Version]
- Owens, J.A. Sleep disorders and attention-deficit/hyperactivity disorder. Curr. Psychiatry Rep. 2008, 10, 439–444. [Google Scholar] [CrossRef]
- Becker, K.; Blomeyer, D.; El-Faddagh, M.; Esser, G.; Schmidt, M.H.; Banaschewski, T.; Laucht, M. From regulatory problems in infancy to attention-deficit/hyperactivity disorder in childhood: A moderating role for the dopamine D4 receptor gene? J. Pediatr. 2010, 156, 798–803.e2. [Google Scholar] [CrossRef] [PubMed]
- Hemmi, M.H.; Wolke, D.; Schneider, S. Associations between problems with crying, sleeping and/or feeding in infancy and long-term behavioural outcomes in childhood: A meta-analysis. Arch. Dis. Child. 2011, 96, 622–629. [Google Scholar] [CrossRef] [PubMed]
- Thunstrom, M. Severe sleep problems in infancy associated with subsequent development of attention-deficit/hyperactivity disorder at 5.5 years of age. Acta Paediatr. 2002, 91, 584–592. [Google Scholar] [CrossRef] [PubMed]
- Coogan, A.N.; Baird, A.L.; Popa-Wagner, A.; Thome, J. Circadian rhythms and attention deficit hyperactivity disorder: The what, the when and the why. Prog. Neuropsychopharmacol. Biol. Psychiatry 2016, 67, 74–81. [Google Scholar] [CrossRef] [PubMed] [Green Version]
- Coogan, A.N.; McGowan, N.M. A systematic review of circadian function, chronotype and chronotherapy in attention deficit hyperactivity disorder. Atten. Defic. Hyperact. Disord. 2017, 9, 129–147. [Google Scholar] [CrossRef] [PubMed]
- Craig, S.G.; Weiss, M.D.; Hudec, K.L.; Gibbins, C. The Functional Impact of Sleep Disorders in Children With ADHD. J. Atten. Disord. 2020, 24, 499–508. [Google Scholar] [CrossRef]
- Rybak, Y.E.; McNeely, H.E.; Mackenzie, B.E.; Jain, U.R.; Levitan, R.D. Seasonality and circadian preference in adult attention-deficit/hyperactivity disorder: Clinical and neuropsychological correlates. Compr. Psychiatry 2007, 48, 562–571. [Google Scholar] [CrossRef] [PubMed]
- Zeron-Rugerio, M.F.; Carpio-Arias, T.V.; Ferreira-Garcia, E.; Diez-Noguera, A.; Cambras, T.; Alda, J.A.; Izquierdo-Pulido, M. ADHD subtypes are associated differently with circadian rhythms of motor activity, sleep disturbances, and body mass index in children and adolescents: A case-control study. Eur. Child Adolesc. Psychiatry 2020, 30, 1917–1927. [Google Scholar] [CrossRef] [PubMed]
- Bondopadhyay, U.; Diaz-Orueta, U.; Coogan, A.N. A Systematic Review of Sleep and Circadian Rhythms in Children with Attention Deficit Hyperactivity Disorder. J. Atten. Disord. 2021. [Google Scholar] [CrossRef] [PubMed]
- Lee, H.K.; Jeong, J.H.; Kim, N.Y.; Park, M.H.; Kim, T.W.; Seo, H.J.; Lim, H.K.; Hong, S.C.; Han, J.H. Sleep and cognitive problems in patients with attention-deficit hyperactivity disorder. Neuropsychiatr. Dis. Treat. 2014, 10, 1799–1805. [Google Scholar]
- Miano, S.; Amato, N.; Foderaro, G.; Pezzoli, V.; Ramelli, G.P.; Toffolet, L.; Manconi, M. Sleep phenotypes in attention deficit hyperactivity disorder. Sleep Med. 2019, 60, 123–131. [Google Scholar] [CrossRef]
- Moreau, V.; Rouleau, N.; Morin, C.M. Sleep, attention, and executive functioning in children with attention-deficit/hyperactivity disorder. Arch. Clin. Neuropsychol. 2013, 28, 692–699. [Google Scholar] [CrossRef] [Green Version]
- Becker, S.P.; Langberg, J.M.; Eadeh, H.M.; Isaacson, P.A.; Bourchtein, E. Sleep and daytime sleepiness in adolescents with and without ADHD: Differences across ratings, daily diary, and actigraphy. J. Child Psychol. Psychiatry 2019, 60, 1021–1031. [Google Scholar] [CrossRef]
- Bergwerff, C.E.; Luman, M.; Oosterlaan, J. No objectively measured sleep disturbances in children with attention-deficit/hyperactivity disorder. J. Sleep Res. 2016, 25, 534–540. [Google Scholar] [CrossRef] [PubMed]
- Waldon, J.; Vriend, J.; Davidson, F.; Corkum, P. Sleep and Attention in Children with ADHD and Typically Developing Peers. J. Atten. Disord. 2018, 22, 933–941. [Google Scholar] [CrossRef] [PubMed] [Green Version]
- Wiebe, S.; Carrier, J.; Frenette, S.; Gruber, R. Sleep and sleepiness in children with attention deficit/hyperactivity disorder and controls. J. Sleep Res. 2013, 22, 41–49. [Google Scholar] [CrossRef] [PubMed]
- Becker, S.P.; Sidol, C.A.; Van Dyk, T.R.; Epstein, J.N.; Beebe, D.W. Intraindividual variability of sleep/wake patterns in relation to child and adolescent functioning: A systematic review. Sleep Med. Rev. 2017, 34, 94–121. [Google Scholar] [CrossRef] [PubMed]
- Van Veen, M.M.; Kooij, J.J.; Boonstra, A.M.; Gordijn, M.C.; Van Someren, E.J. Delayed circadian rhythm in adults with attention-deficit/hyperactivity disorder and chronic sleep-onset insomnia. Biol. Psychiatry 2010, 67, 1091–1096. [Google Scholar] [CrossRef]
- Baird, A.L.; Coogan, A.N.; Siddiqui, A.; Donev, R.M.; Thome, J. Adult attention-deficit hyperactivity disorder is associated with alterations in circadian rhythms at the behavioural, endocrine and molecular levels. Mol. Psychiatry 2012, 17, 988–995. [Google Scholar] [CrossRef] [PubMed]
- Langberg, J.M.; Breaux, R.P.; Cusick, C.N.; Green, C.D.; Smith, Z.R.; Molitor, S.J.; Becker, S.P. Intraindividual variability of sleep/wake patterns in adolescents with and without attention-deficit/hyperactivity disorder. J. Child Psychol. Psychiatry 2019, 60, 1219–1229. [Google Scholar] [CrossRef]
- Moreau, V.; Rouleau, N.; Morin, C.M. Sleep of children with attention deficit hyperactivity disorder: Actigraphic and parental reports. Behav. Sleep Med. 2014, 12, 69–83. [Google Scholar] [CrossRef] [PubMed]
- Poirier, A.; Corkum, P. Night-to-Night Variability of Sleep in Children With ADHD and Typically Developing Controls. J. Atten. Disord. 2018, 22, 942–946. [Google Scholar] [CrossRef]
- Owens, J.; Sangal, R.B.; Sutton, V.K.; Bakken, R.; Allen, A.J.; Kelsey, D. Subjective and objective measures of sleep in children with attention-deficit/hyperactivity disorder. Sleep Med. 2009, 10, 446–456. [Google Scholar] [CrossRef]
- Meltzer, L.J.; Montgomery-Downs, H.E.; Insana, S.P.; Walsh, C.M. Use of actigraphy for assessment in pediatric sleep research. Sleep Med. Rev. 2012, 16, 463–475. [Google Scholar] [CrossRef] [PubMed] [Green Version]
- Beebe, D.W. Cognitive, behavioral, and functional consequences of inadequate sleep in children and adolescents. Pediatr. Clin. N. Am. 2011, 58, 649–665. [Google Scholar] [CrossRef] [Green Version]
- Ohayon, M.M.; Carskadon, M.A.; Guilleminault, C.; Vitiello, M.V. Meta-analysis of quantitative sleep parameters from childhood to old age in healthy individuals: Developing normative sleep values across the human lifespan. Sleep 2004, 27, 1255–1273. [Google Scholar] [CrossRef] [PubMed]
- Dahl, R.E. The impact of inadequate sleep on children’s daytime cognitive function. Semin. Pediatr. Neurol. 1996, 3, 44–50. [Google Scholar] [CrossRef]
- Galland, B.C.; Taylor, B.J.; Elder, D.E.; Herbison, P. Normal sleep patterns in infants and children: A systematic review of observational studies. Sleep Med. Rev. 2012, 16, 213–222. [Google Scholar] [CrossRef]
- Fallone, G.; Acebo, C.; Seifer, R.; Carskadon, M.A. Experimental restriction of sleep opportunity in children: Effects on teacher ratings. Sleep 2005, 28, 1561–1567. [Google Scholar] [CrossRef] [PubMed]
- Sadeh, A.; Gruber, R.; Raviv, A. The effects of sleep restriction and extension on school-age children: What a difference an hour makes. Child Dev. 2003, 74, 444–455. [Google Scholar] [CrossRef] [PubMed]
- Gruber, R.; Wiebe, S.; Montecalvo, L.; Brunetti, B.; Amsel, R.; Carrier, J. Impact of sleep restriction on neurobehavioral functioning of children with attention deficit hyperactivity disorder. Sleep 2011, 34, 315–323. [Google Scholar] [CrossRef] [Green Version]
- Becker, S.P.; Epstein, J.N.; Tamm, L.; Tilford, A.A.; Tischner, C.M.; Isaacson, P.A.; Simon, J.O.; Beebe, D.W. Shortened Sleep Duration Causes Sleepiness, Inattention, and Oppositionality in Adolescents With Attention-Deficit/Hyperactivity Disorder: Findings From a Crossover Sleep Restriction/Extension Study. J. Am. Acad. Child Adolesc. Psychiatry 2019, 58, 433–442. [Google Scholar] [CrossRef] [PubMed]
- Mann, B.; Sciberras, E.; He, J.; Youssef, G.; Anderson, V.; Silk, T.J. The Role of Sleep in the Relationship Between ADHD Symptoms and Stop Signal Task Performance. J. Atten. Disord. 2020, 25, 1881–1894. [Google Scholar] [CrossRef]
- Arns, M.; Kenemans, J.L. Neurofeedback in ADHD and insomnia: Vigilance stabilization through sleep spindles and circadian networks. Neurosci. Biobehav. Rev. 2014, 44, 183–194. [Google Scholar] [CrossRef]
- Diaz, B.A.; Hardstone, R.; Mansvelder, H.D.; Van Someren, E.J.; Linkenkaer-Hansen, K. Resting-State Subjective Experience and EEG Biomarkers Are Associated with Sleep-Onset Latency. Front. Psychol. 2016, 7, 492. [Google Scholar] [CrossRef] [PubMed] [Green Version]
- Arns, M.; Conners, C.K.; Kraemer, H.C. A decade of EEG Theta/Beta Ratio Research in ADHD: A meta-analysis. J. Atten. Disord. 2013, 17, 374–383. [Google Scholar] [CrossRef] [PubMed]
- Clarke, A.R.; Barry, R.J.; Johnstone, S.J.; McCarthy, R.; Selikowitz, M. EEG development in Attention Deficit Hyperactivity Disorder: From child to adult. Clin. Neurophysiol. 2019, 130, 1256–1262. [Google Scholar] [CrossRef] [PubMed]
- Poil, S.S.; Bollmann, S.; Ghisleni, C.; O’Gorman, R.L.; Klaver, P.; Ball, J.; Eich-Hochli, D.; Brandeis, D.; Michels, L. Age dependent electroencephalographic changes in attention-deficit/hyperactivity disorder (ADHD). Clin. Neurophysiol. 2014, 125, 1626–1638. [Google Scholar] [CrossRef] [PubMed]
- Bresnahan, S.M.; Anderson, J.W.; Barry, R.J. Age-related changes in quantitative EEG in attention-deficit/hyperactivity disorder. Biol. Psychiatry 1999, 46, 1690–1697. [Google Scholar] [CrossRef]
- Zappasodi, F.; Marzetti, L.; Olejarczyk, E.; Tecchio, F.; Pizzella, V. Age-Related Changes in Electroencephalographic Signal Complexity. PLoS ONE 2015, 10, e0141995. [Google Scholar] [CrossRef] [PubMed] [Green Version]
- Kaiser, A.; Aggensteiner, P.M.; Baumeister, S.; Holz, N.E.; Banaschewski, T.; Brandeis, D. Earlier versus later cognitive event-related potentials (ERPs) in attention-deficit/hyperactivity disorder (ADHD): A meta-analysis. Neurosci. Biobehav. Rev. 2020, 112, 117–134. [Google Scholar] [CrossRef] [PubMed]
- Gamma, A.; Kara, O. Event-Related Potentials for Diagnosing Children and Adults With ADHD. J. Atten. Disord. 2020, 24, 1581–1587. [Google Scholar] [CrossRef] [PubMed]
- Barry, R.J.; Clarke, A.R.; Johnstone, S.J. A review of electrophysiology in attention-deficit/hyperactivity disorder: I. Qualitative and quantitative electroencephalography. Clin. Neurophysiol. 2003, 114, 171–183. [Google Scholar] [CrossRef]
- Liechti, M.D.; Valko, L.; Muller, U.C.; Dohnert, M.; Drechsler, R.; Steinhausen, H.C.; Brandeis, D. Diagnostic value of resting electroencephalogram in attention-deficit/hyperactivity disorder across the lifespan. Brain Topogr. 2013, 26, 135–151. [Google Scholar] [CrossRef] [Green Version]
- Dopfner, M.; Hautmann, C.; Dose, C.; Banaschewski, T.; Becker, K.; Brandeis, D.; Holtmann, M.; Jans, T.; Jenkner, C.; Millenet, S.; et al. ESCAschool study: Trial protocol of an adaptive treatment approach for school-age children with ADHD including two randomised trials. BMC Psychiatry 2017, 17, 269. [Google Scholar] [CrossRef] [PubMed] [Green Version]
- Döpfner, M.; Görtz-Dorten, A.; Lehmkuhl, G. Diagnostik-System für Psychische Störungen Nach ICD-10 und DSDM-5 für Kinder und Jugendliche-III (DISYPS-III); Hogrefe: Göttingen, Germany, 2017. [Google Scholar]
- AWMF Registration No. 028-045. In AWMF Online, Published in 2017. Available online: https://www.awmf.org/uploads/tx_szleitlinien/028-045l_S3_ADHS_2018-06.pdf (accessed on 24 August 2021).
- Acebo, C.; Sadeh, A.; Seifer, R.; Tzischinsky, O.; Wolfson, A.R.; Hafer, A.; Carskadon, M.A. Estimating sleep patterns with activity monitoring in children and adolescents: How many nights are necessary for reliable measures? Sleep 1999, 22, 95–103. [Google Scholar] [CrossRef]
- Sadeh, A.; Sharkey, K.M.; Carskadon, M.A. Activity-based sleep-wake identification: An empirical test of methodological issues. Sleep 1994, 17, 201–207. [Google Scholar] [CrossRef] [PubMed] [Green Version]
- Hirshkowitz, M.; Whiton, K.; Albert, S.M.; Alessi, C.; Bruni, O.; DonCarlos, L.; Hazen, N.; Herman, J.; Katz, E.S.; Kheirandish-Gozal, L.; et al. National Sleep Foundation’s sleep time duration recommendations: Methodology and results summary. Sleep Health 2015, 1, 40–43. [Google Scholar] [CrossRef] [PubMed]
- Windle, M.; Lerner, R.M. Reassessing the dimensions of temperamental individuality across the life span: The Revised Dimensions of Temperament Survey (DOTS-R). J. Adolesc. Res. 1986, 1, 213–230. [Google Scholar] [CrossRef]
- Gruber, R.; Sadeh, A.; Raviv, A. Instability of sleep patterns in children with attention-deficit/hyperactivity disorder. J. Am. Acad. Child Adolesc. Psychiatry 2000, 39, 495–501. [Google Scholar] [CrossRef] [Green Version]
- Bathory, E.; Tomopoulos, S. Sleep Regulation, Physiology and Development, Sleep Duration and Patterns, and Sleep Hygiene in Infants, Toddlers, and Preschool-Age Children. Curr. Probl. Pediatr. Adolesc. Health Care 2017, 47, 29–42. [Google Scholar] [CrossRef]
- Sciberras, E.; Song, J.C.; Mulraney, M.; Schuster, T.; Hiscock, H. Sleep problems in children with attention-deficit hyperactivity disorder: Associations with parenting style and sleep hygiene. Eur. Child Adolesc. Psychiatry 2017, 26, 1129–1139. [Google Scholar] [CrossRef] [PubMed]
- Horne, J.A.; Ostberg, O. A self-assessment questionnaire to determine morningness-eveningness in human circadian rhythms. Int. J. Chronobiol. 1976, 4, 97–110. [Google Scholar] [PubMed]
- Storebo, O.J.; Pedersen, N.; Ramstad, E.; Kielsholm, M.L.; Nielsen, S.S.; Krogh, H.B.; Moreira-Maia, C.R.; Magnusson, F.L.; Holmskov, M.; Gerner, T.; et al. Methylphenidate for attention deficit hyperactivity disorder (ADHD) in children and adolescents—Assessment of adverse events in non-randomised studies. Cochrane Database Syst. Rev. 2018, 5, CD012069. [Google Scholar] [CrossRef] [PubMed]
- Ironside, S.; Davidson, F.; Corkum, P. Circadian motor activity affected by stimulant medication in children with attention-deficit/hyperactivity disorder. J. Sleep Res. 2010, 19, 546–551. [Google Scholar] [CrossRef] [PubMed]
- Kidwell, K.M.; Van Dyk, T.R.; Lundahl, A.; Nelson, T.D. Stimulant Medications and Sleep for Youth With ADHD: A Meta-analysis. Pediatrics 2015, 136, 1144–1153. [Google Scholar] [CrossRef] [PubMed] [Green Version]
- Becker, S.P.; Froehlich, T.E.; Epstein, J.N. Effects of Methylphenidate on Sleep Functioning in Children with Attention-Deficit/Hyperactivity Disorder. J. Dev. Behav. Pediatr. 2016, 37, 395–404. [Google Scholar] [CrossRef] [PubMed] [Green Version]
- Jerome, L. Can methylphenidate facilitate sleep in children with attention deficit hyperactivity disorder? J. Child Adolesc. Psychopharmacol. 2001, 11, 109. [Google Scholar] [CrossRef]
- Kooij, J.J.; Middelkoop, H.A.; van Gils, K.; Buitelaar, J.K. The effect of stimulants on nocturnal motor activity and sleep quality in adults with ADHD: An open-label case-control study. J. Clin. Psychiatry 2001, 62, 952–956. [Google Scholar] [CrossRef]
- Cortese, S.; Brown, T.E.; Corkum, P.; Gruber, R.; O’Brien, L.M.; Stein, M.; Weiss, M.; Owens, J. Assessment and management of sleep problems in youths with attention-deficit/hyperactivity disorder. J. Am. Acad. Child Adolesc. Psychiatry 2013, 52, 784–796. [Google Scholar] [CrossRef] [PubMed]
- Cortese, S.; Holtmann, M.; Banaschewski, T.; Buitelaar, J.; Coghill, D.; Danckaerts, M.; Dittmann, R.W.; Graham, J.; Taylor, E.; Sergeant, J.; et al. Practitioner review: Current best practice in the management of adverse events during treatment with ADHD medications in children and adolescents. J. Child Psychol. Psychiatry 2013, 54, 227–246. [Google Scholar] [CrossRef]
- Available online: https://www.accessdata.fda.gov/drugsatfda_docs/label/2019/010187s071s082,018029s041s051lbl.pdf (accessed on 23 August 2021).
- Gruber, R.; Grizenko, N.; Schwartz, G.; Bellingham, J.; Guzman, R.; Joober, R. Performance on the continuous performance test in children with ADHD is associated with sleep efficiency. Sleep 2007, 30, 1003–1009. [Google Scholar] [CrossRef] [Green Version]
- Olson, S.L.; Bates, J.E.; Sandy, J.M.; Schilling, E.M. Early developmental precursors of impulsive and inattentive behavior: From infancy to middle childhood. J. Child Psychol. Psychiatry 2002, 43, 435–447. [Google Scholar] [CrossRef]
- Raiha, H.; Lehtonen, L.; Huhtala, V.; Saleva, K.; Korvenranta, H. Excessively crying infant in the family: Mother-infant, father-infant and mother-father interaction. Child Care Health Dev. 2002, 28, 419–429. [Google Scholar] [CrossRef]
- Grippo, R.M.; Guler, A.D. Dopamine Signaling in Circadian Photoentrainment: Consequences of Desynchrony. Yale J. Biol. Med. 2019, 92, 271–281. [Google Scholar]
- Korshunov, K.S.; Blakemore, L.J.; Trombley, P.Q. Dopamine: A Modulator of Circadian Rhythms in the Central Nervous System. Front. Cell Neurosci. 2017, 11, 91. [Google Scholar] [CrossRef] [Green Version]
- Mendoza, J.; Challet, E. Circadian insights into dopamine mechanisms. Neuroscience 2014, 282, 230–242. [Google Scholar] [CrossRef]
- Hermens, D.F.; Williams, L.M.; Clarke, S.; Kohn, M.; Cooper, N.; Gordon, E. Responses to methylphenidate in adolescent AD/HD: Evidence from concurrently recorded autonomic (EDA) and central (EEG and ERP) measures. Int. J. Psychophysiol. 2005, 58, 21–33. [Google Scholar] [CrossRef] [PubMed]
- Geissler, J.; Romanos, M.; Hegerl, U.; Hensch, T. Hyperactivity and sensation seeking as autoregulatory attempts to stabilize brain arousal in ADHD and mania? Atten. Defic. Hyperact. Disord. 2014, 6, 159–173. [Google Scholar] [CrossRef]
- Hegerl, U.; Hensch, T. The vigilance regulation model of affective disorders and ADHD. Neurosci. Biobehav. Rev. 2014, 44, 45–57. [Google Scholar] [CrossRef] [PubMed]
- Arns, M.; Olbrich, S. Personalized Medicine in ADHD and Depression: Use of Pharmaco-EEG. Curr. Top Behav. Neurosci. 2014, 21, 345–370. [Google Scholar]
- Faraone, S.V.; Glatt, S.J.; Bukstein, O.G.; Lopez, F.A.; Arnold, L.E.; Findling, R.L. Effects of once-daily oral and transdermal methylphenidate on sleep behavior of children with ADHD. J. Atten. Disord. 2009, 12, 308–315. [Google Scholar] [CrossRef] [PubMed]



| ADHD n = 24 | Controls n = 33 | Test Statistic | p | |
|---|---|---|---|---|
| Age (SD) | 9.66 (1.95) | 9.18 (1.64) | F ₁‚₅₅ = 0.182 | 0.32 |
| Sex (m/f) | 20/4 | 22/11 | X² (1) = 12.789 | <0.001 1 |
| IQ (SD) | 106 (14.7) | 118 (10.8) | F ₁,₅₅ = 3.389 | <0.001 1 |
| ADHD symptom score | 2.16 | 0.20 | F ₁,₅₅ = 2.670 | <0.001 1 |
| Combined subtype | 20/24 | / | ||
| Hyp/Imp. subtype | 4/24 | / | ||
| Comorbid ODD | 11/24 | / |
| Sleep Variables | ADHD | Controls |
|---|---|---|
| Sleep Onset Latency (SD) | ||
| school days | 49 min (33 min) | 29 min (18 min) |
| free days | 46 min (29 min) | 31 min (21 min) |
| Total Counts (SD) | ||
| school days | 151,214 (76,962) | 91,198 (45,602) |
| free days | 182,795 (113,454) | 121,787 (62,562) |
| Sleep Efficiency (SD) | ||
| school days | 74% (7%) | 79% (7%) |
| free days | 72% (8%) | 76% (6%) |
| Sleep Deficit (SD) | +/−2 h Normal | +/−2 h Normal |
| school days | 2 h 32 min (42 min) | 2 h 3 min (49 min) |
| free days | 2 h 22 min (56 min) | 2 h 6 min (44 min) |
| Total Sleep Time (SD) | ||
| school days | 7 h 25 min (54 min) | 7 h 58 min (48 min) |
| free days | 7 h 37 min (53 min) | 7 h 56 min (42 min) |
| Sleep Onset Time (SD) | ||
| school days | 9:27 p.m. (46 min) | 9:20 p.m. (48 min) |
| free days | 10:19 p.m. (52 min) | 10:06 p.m. (57 min) |
Publisher’s Note: MDPI stays neutral with regard to jurisdictional claims in published maps and institutional affiliations. |
© 2021 by the authors. Licensee MDPI, Basel, Switzerland. This article is an open access article distributed under the terms and conditions of the Creative Commons Attribution (CC BY) license (https://creativecommons.org/licenses/by/4.0/).
Share and Cite
Ziegler, M.; Kaiser, A.; Igel, C.; Geissler, J.; Mechler, K.; Holz, N.E.; Becker, K.; Döpfner, M.; Romanos, M.; Brandeis, D.; et al. Actigraphy-Derived Sleep Profiles of Children with and without Attention-Deficit/Hyperactivity Disorder (ADHD) over Two Weeks—Comparison, Precursor Symptoms, and the Chronotype. Brain Sci. 2021, 11, 1564. https://doi.org/10.3390/brainsci11121564
Ziegler M, Kaiser A, Igel C, Geissler J, Mechler K, Holz NE, Becker K, Döpfner M, Romanos M, Brandeis D, et al. Actigraphy-Derived Sleep Profiles of Children with and without Attention-Deficit/Hyperactivity Disorder (ADHD) over Two Weeks—Comparison, Precursor Symptoms, and the Chronotype. Brain Sciences. 2021; 11(12):1564. https://doi.org/10.3390/brainsci11121564
Chicago/Turabian StyleZiegler, Mirjam, Anna Kaiser, Christine Igel, Julia Geissler, Konstantin Mechler, Nathalie E. Holz, Katja Becker, Manfred Döpfner, Marcel Romanos, Daniel Brandeis, and et al. 2021. "Actigraphy-Derived Sleep Profiles of Children with and without Attention-Deficit/Hyperactivity Disorder (ADHD) over Two Weeks—Comparison, Precursor Symptoms, and the Chronotype" Brain Sciences 11, no. 12: 1564. https://doi.org/10.3390/brainsci11121564
APA StyleZiegler, M., Kaiser, A., Igel, C., Geissler, J., Mechler, K., Holz, N. E., Becker, K., Döpfner, M., Romanos, M., Brandeis, D., Hohmann, S., Millenet, S., & Banaschewski, T. (2021). Actigraphy-Derived Sleep Profiles of Children with and without Attention-Deficit/Hyperactivity Disorder (ADHD) over Two Weeks—Comparison, Precursor Symptoms, and the Chronotype. Brain Sciences, 11(12), 1564. https://doi.org/10.3390/brainsci11121564

