Distinguishing Fowler’s and Semi-Fowler’s Patient Postures Within Continuous-Wave Functional Near-Infrared Spectroscopy During Auditory Stimulus and Resting State
Abstract
1. Introduction
2. Materials and Methods
2.1. Recruitment
2.2. Auditory Stimulus
2.3. cw-fNIRS System
2.4. Posture Conditions
2.5. Experimental Design
2.6. Data Analysis
3. Results
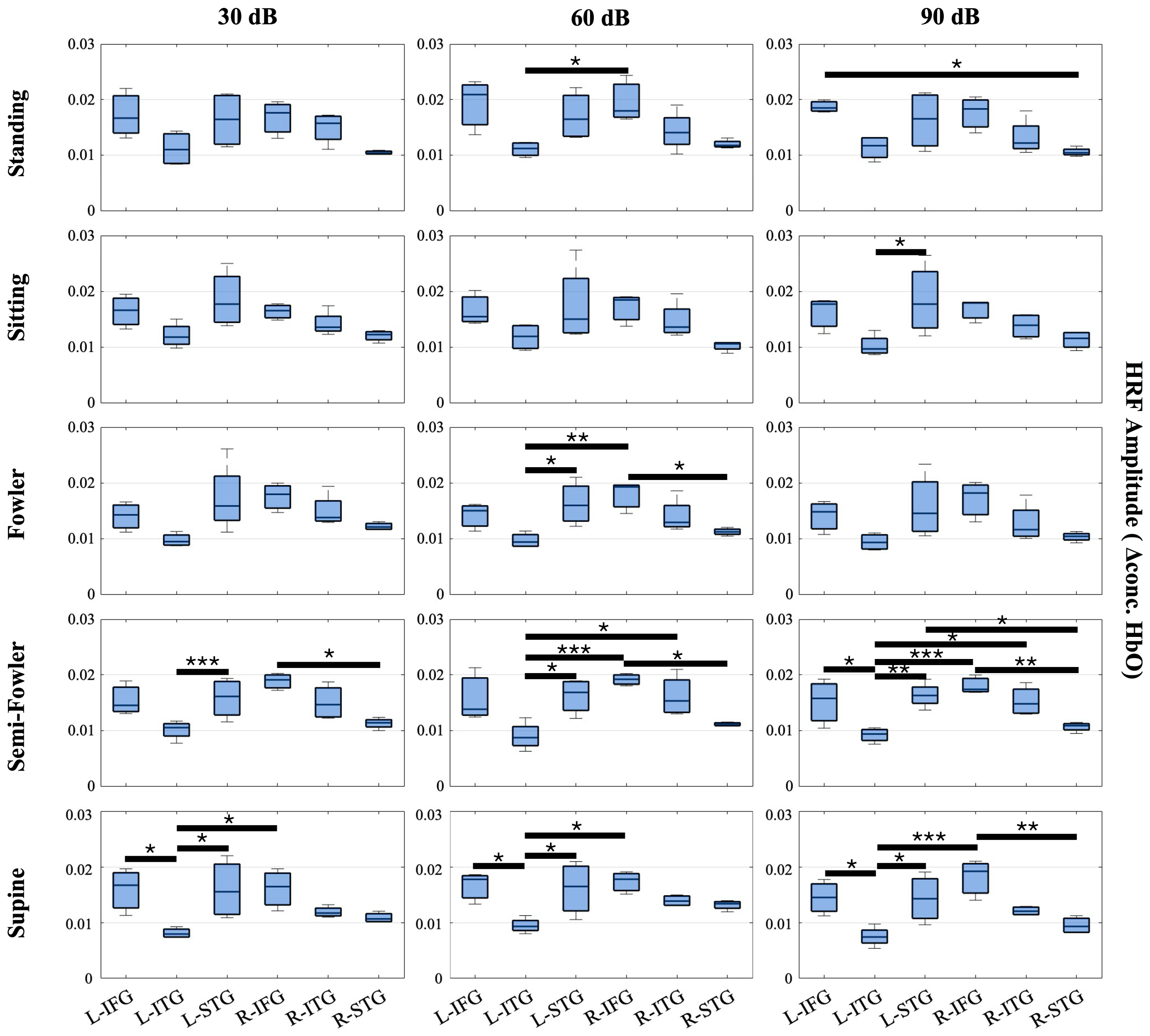
3.1. Stimulus Condition Results
3.2. Resting-State Results
4. Discussion
Author Contributions
Funding
Institutional Review Board Statement
Informed Consent Statement
Data Availability Statement
Acknowledgments
Conflicts of Interest
Abbreviations
| fNIRS | Functional Near-Infrared Spectroscopy |
| HRF | Hemodynamic Response Function |
| cw-fNIRS | Continuous Wave-Functional Near-Infrared Spectroscopy |
| TCD | Transcranial Doppler |
| MRI | Magnetic Resonance Imaging |
| HbO | Oxygenated Hemoglobin |
| HbR | Deoxygenated Hemoglobin |
| EEG | Electroencephalography |
| IRB | Institutional Review Board |
| ICRA | International Collegium of Rehabilitative Audiology |
| VISE | Vanderbilt Institute of Surgery and Engineering |
| SNR | Signal-to-Noise Ratio |
| ANOVA | Analysis of Variance |
| HSD | Honestly Significant Difference |
| IFG | Inferior Frontal Gyrus |
| ITG | Inferior Temporal Gyrus |
| STG | Superior Temporal Gyrus |
References
- Scholkmann, F.; Kleiser, S.; Metz, A.J.; Zimmermann, R.; Mata Pavia, J.; Wolf, U.; Wolf, M. A review on continuous wave functional near-infrared spectroscopy and imaging instrumentation and methodology. NeuroImage 2014, 85 Pt 1, 6–27. [Google Scholar] [CrossRef]
- Hoshi, Y.; Tamura, M. Detection of dynamic changes in cerebral oxygenation coupled to neuronal function during mental work in man. Neurosci. Lett. 1993, 150, 5–8. [Google Scholar] [CrossRef]
- Pinti, P.; Tachtsidis, I.; Hamilton, A.; Hirsch, J.; Aichelburg, C.; Gilbert, S.; Burgess, P.W. The present and future use of functional near-infrared spectroscopy (fNIRS) for cognitive neuroscience. Ann. N. Y. Acad. Sci. 2020, 1464, 5–29. [Google Scholar] [CrossRef]
- Green, M.S.; Sehgal, S.; Tariq, R. Near-Infrared Spectroscopy: The New Must Have Tool in the Intensive Care Unit? Semin. Cardiothorac. Vasc. Anesth. 2016, 20, 213–224. [Google Scholar] [CrossRef] [PubMed]
- Thibault, R.T.; Raz, A. Imaging Posture Veils Neural Signals. Front. Hum. Neurosci. 2016, 10, 520. [Google Scholar] [CrossRef]
- Lin, C.C.; Barker, J.W.; Sparto, P.J.; Furman, J.M.; Huppert, T.J. Functional near-infrared spectroscopy (fNIRS) brain imaging of multi-sensory integration during computerized dynamic posturography in middle-aged and older adults. Exp. Brain Res. 2017, 235, 1247–1256. [Google Scholar] [CrossRef]
- Kubota, S.; Endo, Y.; Kubota, M.; Ishizuka, Y.; Furudate, T. Effects of trunk posture in Fowler’s position on hemodynamics. Auton. Neurosci. Basic Clin. 2015, 189, 56–59. [Google Scholar] [CrossRef] [PubMed]
- Kubota, S.; Endo, Y.; Kubota, M. Effect of upper torso inclination in Fowler’s position on autonomic cardiovascular regulation. J. Physiol. Sci. 2013, 63, 369. [Google Scholar] [CrossRef]
- Chen, Y.; Tang, J.; Chen, Y.; Farrand, J.; Craft, M.A.; Carlson, B.W.; Yuan, H. Amplitude of fNIRS Resting-State Global Signal Is Related to EEG Vigilance Measures: A Simultaneous fNIRS and EEG Study. Front. Neurosci. 2020, 14, 560878. [Google Scholar] [CrossRef]
- Garrett, Z.K.; Pearson, J.; Subudhi, A.W. Postural effects on cerebral blood flow and autoregulation. Physiol. Rep. 2017, 5, e13150. [Google Scholar] [CrossRef] [PubMed]
- Bachus, E.; Holm, H.; Hamrefors, V.; Melander, O.; Sutton, R.; Magnusson, M.; Fedorowski, A. Monitoring of cerebral oximetry during head-up tilt test in adults with history of syncope and orthostatic intolerance. EP Eur. 2018, 20, 1535–1542. [Google Scholar] [CrossRef] [PubMed]
- Muccio, M.; Chu, D.; Minkoff, L.; Kulkarni, N.; Damadian, B.; Damadian, R.v.; Ge, Y. Upright versus supine MRI: Effects of body position on craniocervical CSF flow. Fluids Barriers CNS 2021, 18, 61. [Google Scholar] [CrossRef] [PubMed]
- Muccio, M.; Sun, Z.; Chu, D.; Damadian, B.E.; Minkoff, L.; Bonanni, L.; Ge, Y. The impact of body position on neurofluid dynamics: Present insights and advancements in imaging. Front. Aging Neurosci. 2024, 16, 1454282. [Google Scholar] [CrossRef] [PubMed]
- Strbačko, I.; Radoš, M.; Jurjević, I.; Orešković, D.; Klarica, M. Body position influence on cerebrospinal fluid volume redistribution inside the cranial and spinal CSF compartments. Front. Hum. Neurosci. 2024, 18, 1463740. [Google Scholar] [CrossRef]
- Wang, Y.; Ke, S.; Li, J.; Zeng, J.; Zhang, J.; Niu, S.; Yao, C.; Zheng, J.; Meersmann, T.; Liu, G.; et al. Assessing morphological changes in the choroid plexus between standing and supine positions using a rotatable MRI system. Sci. Rep. 2025, 15, 22329. [Google Scholar] [CrossRef]
- Klop, M.; de Heus, R.A.A.; Maier, A.B.; van Alphen, A.; Floor-Westerdijk, M.J.; Bronkhorst, M.; Melis, R.J.F.; Meskers, C.G.M.; Claassen, J.A.H.R.; van Wezel, R.J.A. Capturing postural blood pressure dynamics with near-infrared spectroscopy-measured cerebral oxygenation. GeroScience 2023, 45, 2643–2657. [Google Scholar] [CrossRef]
- Almulla, L.; Al-Naib, I.; Althobaiti, M. Hemodynamic responses during standing and sitting activities: A study toward fNIRS-BCI. Biomed. Phys. Eng. Express 2020, 6, 55005. [Google Scholar] [CrossRef]
- Ozgoren, M.; Tetik, M.; Izzetoglu, K.; Oniz, A.; Onaral, B. Effect of body position on NIRS based hemodynamic measures from prefrontal cortex. In Lecture Notes in Computer Science; Liu, D., Alippi, C., Zhao, D., Hussain, A., Eds.; Springer: Berlin/Heidelberg, Germany, 2012; pp. 138–146. [Google Scholar]
- Kim, C.; Carillo, A.G.; Sunar, U. Hemodynamic Oscillations in Mild TBI During Postural Change: An fNIRS Pilot Study. MedRxiv 2025. [Google Scholar] [CrossRef]
- Li, Y.; Xu, Z.; Xie, H.; Fu, R.; Lo, W.L.A.; Cheng, X.; Yang, J.; Ge, L.; Yu, Q.; Wang, C. Changes in cortical activation during upright stance in individuals with chronic low back pain: An fNIRS study. Front. Hum. Neurosci. 2023, 17, 1085831. [Google Scholar] [CrossRef]
- Qi, L.; Wang, G.L.; Tian, Z.H.; Guan, S.; Yang, S.Y.; Yang, Y.L.; Liu, L.Q.; Lin, Y.Z. Prefrontal cortical hemodynamics and functional network organization during Tai Chi standing meditation: An fNIRS study. Front. Hum. Neurosci. 2023, 17, 1294312. [Google Scholar] [CrossRef]
- Huo, C.; Zhang, M.; Bu, L.; Xu, G.; Liu, Y.; Li, Z.; Sun, L. Effective connectivity in response to posture changes in elderly subjects as assessed using functional near-infrared spectroscopy. Front. Hum. Neurosci. 2018, 12, 328159. [Google Scholar] [CrossRef]
- Mol, A.; Woltering, J.H.H.; Colier, W.N.J.M.; Maier, A.B.; Meskers, C.G.M.; van Wezel, R.J.A. Sensitivity and reliability of cerebral oxygenation responses to postural changes measured with near-infrared spectroscopy. Eur. J. Appl. Physiol. 2019, 119, 1117–1125. [Google Scholar] [CrossRef]
- Burlingame, B.L. Guideline Implementation: Positioning the Patient. AORN J. 2017, 106, 227–237. [Google Scholar] [CrossRef]
- Shoushtarian, M.; Weder, S.; Innes-Brown, H.; Mckay, C.M. Assessing hearing by measuring heartbeat: The effect of sound level. PLoS ONE 2019, 14, e0212940. [Google Scholar] [CrossRef] [PubMed]
- Rahman, T.T.; Polskaia, N.; St-Amant, G.; Salzman, T.; Vallejo, D.T.; Lajoie, Y.; Fraser, S.A. An fNIRS Investigation of Discrete and Continuous Cognitive Demands During Dual-Task Walking in Young Adults. Front. Hum. Neurosci. 2021, 15, 711054. [Google Scholar] [CrossRef] [PubMed]
- Belluscio, V.; Cartocci, G.; Terbojevich, T.; di Feo, P.; Inguscio, B.M.S.; Ferrari, M.; Quaresima, V.; Vannozzi, G. Facilitating or disturbing? An investigation about the effects of auditory frequencies on prefrontal cortex activation and postural sway. Front. Neurosci. 2023, 17, 1197733. [Google Scholar] [CrossRef] [PubMed]
- Karim, H.; Fuhrman, S.I.; Sparto, P.; Furman, J.; Huppert, T. Functional brain imaging of multi-sensory vestibular processing during computerized dynamic posturography using near-infrared spectroscopy. NeuroImage 2013, 74, 318–325. [Google Scholar] [CrossRef]
- Fu, V.X.; Sleurink, K.J.; Janssen, J.C.; Wijnhoven, B.P.L.; Jeekel, J.; Klimek, M. Perception of auditory stimuli during general anesthesia and its effects on patient outcomes: A systematic review and meta-analysis. Can. J. Anaesth. 2021, 68, 1231. [Google Scholar] [CrossRef]
- Bell, S.L.; Smith, D.C.; Allen, R.; Lutman, M.E. Recording the middle latency response of the auditory evoked potential as a measure of depth of anaesthesia. A technical note. Br. J. Anaesth. 2004, 92, 442–445. [Google Scholar] [CrossRef]
- Alain, C.; Arnott, S.R.; Hevenor, S.; Graham, S.; Grady, C.L. “What” and “where” in the human auditory system. Proc. Natl. Acad. Sci. USA 2001, 98, 12301. [Google Scholar] [CrossRef]
- Dreschler, W.A.; Verschuure, H.; Ludvigsen, C.; Westermann, S. ICRA noises: Artificial noise signals with speech-like spectral and temporal properties for hearing instrument assessment. Int. J. Audiol. 2001, 40, 148–157. [Google Scholar] [CrossRef]
- Wong, C.W.; Olafsson, V.; Tal, O.; Liu, T.T. The amplitude of the resting-state fMRI global signal is related to EEG vigilance measures. NeuroImage 2013, 83, 983–990. [Google Scholar] [CrossRef]
- Muñoz, V.; Muñoz-Caracuel, M.; Angulo-Ruiz, B.Y.; Gómez, C.M. Neurovascular coupling during auditory stimulation: Event-related potentials and fNIRS hemodynamic. Brain Struct. Funct. 2023, 228, 1943–1961. [Google Scholar] [CrossRef]
- Steinmetzger, K.; Shen, Z.; Riedel, H.; Rupp, A. Auditory cortex activity measured using functional near-infrared spectroscopy (fNIRS) appears to be susceptible to masking by cortical blood stealing. Hear. Res. 2020, 396, 108069. [Google Scholar] [CrossRef]
- Luke, R.; Larson, E.; Shader, M.J.; Innes-Brown, H.; van Yper, L.; Lee, A.K.C.; Sowman, P.F.; McAlpine, D. Analysis methods for measuring passive auditory fNIRS responses generated by a block-design paradigm. Neurophotonics 2021, 8, 025008. [Google Scholar] [CrossRef] [PubMed]
- Zhang, Y.F.; Lasfargue, A.; Berry, I. Auditory cortex activation is modulated nonlinearly by stimulation duration: A functional near-infrared spectroscopy (fNIRS) study. BioRxiv 2021. [Google Scholar] [CrossRef]
- Chen, L.C.; Sandmann, P.; Thorne, J.D.; Herrmann, C.S.; Debener, S. Association of Concurrent fNIRS and EEG Signatures in Response to Auditory and Visual Stimuli. Brain Topogr. 2015, 28, 710–725. [Google Scholar] [CrossRef] [PubMed]
- Jurcak, V.; Tsuzuki, D.; Dan, I. 10/20, 10/10, and 10/5 systems revisited: Their validity as relative head-surface-based positioning systems. NeuroImage 2007, 34, 1600–1611. [Google Scholar] [CrossRef] [PubMed]
- Zimeo Morais, G.A.; Balardin, J.B.; Sato, J.R. fNIRS Optodes’ Location Decider (fOLD): A toolbox for probe arrangement guided by brain regions-of-interest. Sci. Rep. 2018, 8, 3341. [Google Scholar] [CrossRef] [PubMed]
- Huppert, T.J.; Diamond, S.G.; Franceschini, M.A.; Boas, D.A. HomER: A review of time-series analysis methods for near-infrared spectroscopy of the brain. Appl. Opt. 2009, 48, D280–D298. [Google Scholar] [CrossRef]
- Ferrari, M.; Quaresima, V. A brief review on the history of human functional near-infrared spectroscopy (fNIRS) development and fields of application. Neuroimage 2012, 63, 921–935. [Google Scholar] [CrossRef]
- Kim, H.-Y. Statistical notes for clinical researchers: Post-hoc multiple comparisons. Restor. Dent. Endod. 2015, 40, 172. [Google Scholar] [CrossRef]
- Nanda, A.; Mohapatra, B.B.; Mahapatra, A.P.K.; Mahapatra, A.P.K.; Mahapatra, A.P.K. Multiple comparison test by Tukey’s honestly significant difference (HSD): Do the confident level control type I error. Int. J. Stat. Appl. Math. 2021, 6, 59–65. [Google Scholar] [CrossRef]
- Aron, A.R.; Robbins, T.W.; Poldrack, R.A. Inhibition and the right inferior frontal cortex. Trends Cogn. Sci. 2004, 8, 170–177. [Google Scholar] [CrossRef]
- Alho, K.; Rinne, T.; Herron, T.J.; Woods, D.L. Stimulus-dependent activations and attention-related modulations in the auditory cortex: A meta-analysis of fMRI studies. Hear. Res. 2014, 307, 29–41. [Google Scholar] [CrossRef] [PubMed]
- Faul, F.; Erdfelder, E.; Lang, A.G.; Buchner, A. G*Power 3: A flexible statistical power analysis program for the social, behavioral, and biomedical sciences. Behav. Res. Methods 2007, 39, 175–191. [Google Scholar] [CrossRef] [PubMed]
- Yücel, M.A.; Lühmann, A.v.; Scholkmann, F.; Gervain, J.; Dan, I.; Ayaz, H.; Boas, D.; Cooper, R.J.; Culver, J.; Elwell, C.E.; et al. Best practices for fNIRS publications. Neurophotonics 2021, 8, 012101. [Google Scholar] [CrossRef]
- Eskicioglu, E.; Taslica, S.; Narin, B.; Guducu, C.; Oniz, A.; Ozgoren, M. Brain asymmetry in directing attention during dichotic listening test: An fNIRS study. Laterality 2019, 24, 377–392. [Google Scholar] [CrossRef] [PubMed]










Disclaimer/Publisher’s Note: The statements, opinions and data contained in all publications are solely those of the individual author(s) and contributor(s) and not of MDPI and/or the editor(s). MDPI and/or the editor(s) disclaim responsibility for any injury to people or property resulting from any ideas, methods, instructions or products referred to in the content. |
© 2025 by the authors. Licensee MDPI, Basel, Switzerland. This article is an open access article distributed under the terms and conditions of the Creative Commons Attribution (CC BY) license (https://creativecommons.org/licenses/by/4.0/).
Share and Cite
Crawford, S.B.; Liu, D.X.; Caveness, C.J.; Eimen, R.; Bowden, A.K. Distinguishing Fowler’s and Semi-Fowler’s Patient Postures Within Continuous-Wave Functional Near-Infrared Spectroscopy During Auditory Stimulus and Resting State. Brain Sci. 2025, 15, 1172. https://doi.org/10.3390/brainsci15111172
Crawford SB, Liu DX, Caveness CJ, Eimen R, Bowden AK. Distinguishing Fowler’s and Semi-Fowler’s Patient Postures Within Continuous-Wave Functional Near-Infrared Spectroscopy During Auditory Stimulus and Resting State. Brain Sciences. 2025; 15(11):1172. https://doi.org/10.3390/brainsci15111172
Chicago/Turabian StyleCrawford, Seth Bolton, Daniel X. Liu, Caroline Joyce Caveness, Rachel Eimen, and Audrey K. Bowden. 2025. "Distinguishing Fowler’s and Semi-Fowler’s Patient Postures Within Continuous-Wave Functional Near-Infrared Spectroscopy During Auditory Stimulus and Resting State" Brain Sciences 15, no. 11: 1172. https://doi.org/10.3390/brainsci15111172
APA StyleCrawford, S. B., Liu, D. X., Caveness, C. J., Eimen, R., & Bowden, A. K. (2025). Distinguishing Fowler’s and Semi-Fowler’s Patient Postures Within Continuous-Wave Functional Near-Infrared Spectroscopy During Auditory Stimulus and Resting State. Brain Sciences, 15(11), 1172. https://doi.org/10.3390/brainsci15111172

