TRPM2 Non-Selective Cation Channels in Liver Injury Mediated by Reactive Oxygen Species
Abstract
:1. Introduction
2. TRPM2 Non-Selective Cation Channels Are Formed from Tetramers of the TRPM2 Polypeptide Principally in the Plasma Membrane and Lysosomes, and Are Activated by Allosteric Binding of ADP-Ribose
3. TRPM2 Protein and Functional TRPM2 Channels Are Expressed in Liver Cells
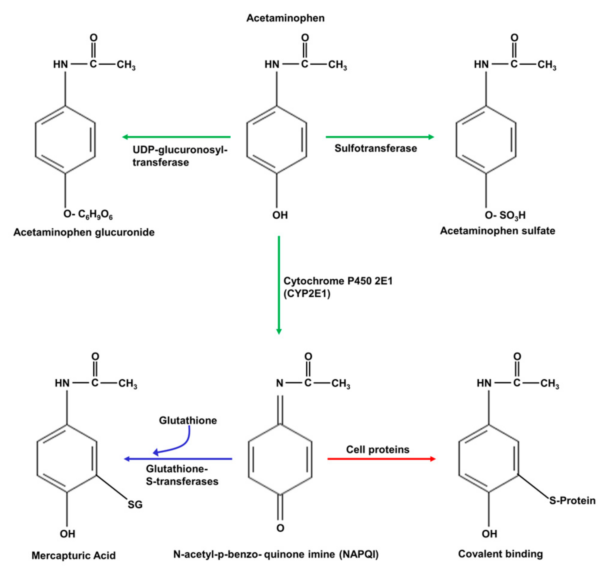
4. TRPM2 Channels Mediate Liver Injury Induced by Acetaminophen (Paracetamol) Toxicity
5. TRPM2 Channels May Be Involved in Liver Injury Initiated by Ischemia–Reperfusion during Liver Surgery
6. TRPM2 Channels in Liver Cells May Be Involved in Non-Alcoholic Fatty Liver Disease and Its Progression to Cirrhosis and Hepatocellular Carcinoma
7. TRPM2 Channels Are Potential Pharmacological Targets for the Prevention of Liver Injury Induced by Reactive Oxygen Species
8. Curcumin, a Natural Product, Has the Potential to Prevent Liver Injury Induced by Reactive Oxygen Species by Inhibiting TRPM2
9. Conclusions
Author Contributions
Funding
Acknowledgments
Conflicts of Interest
Abbreviations
| [Ca2+]cyt | concentration of free Ca2+ in the cytoplasmic space | 
| CaMKII | Ca2+/calmodulin-dependent protein kinase II | 
| ER | endoplasmic reticulum | 
| TRP | transient receptor potential | 
| ADPR | ADP-ribose | 
| InsP3 | inositol 1,4,5-trisphosphate | 
| ROS | reactive oxygen species | 
| Nrf2 | nuclear factor erythroid 2-related factor 2 | 
| ACA | N-(p-amylcinnamoyl)anthranilic acid | 
| ALT | alanine transaminase | 
| IR | ischemia and reperfusion | 
| NAPQI | N-acetyl-p-benzo- quinone imine | 
References
- Ali, E.S.; Rychkov, G.Y.; Barritt, G.J. Targeting Ca2+ signaling in the initiation, promotion and progression of hepatocellular carcinoma. Cancers 2020, 12, 2755. [Google Scholar] [CrossRef] [PubMed]
- Gracia-Sancho, J.; Caparrós, E.; Fernández-Iglesias, A.; Francés, R. Role of liver sinusoidal endothelial cells in liver diseases. Nat. Rev. Gastroenterol. Hepatol. 2021, 18, 411–431. [Google Scholar] [CrossRef]
- Tan, H.K.; Yates, E.; Lilly, K.; Dhanda, A.D. Oxidative stress in alcohol-related liver disease. World J. Hepatol. 2020, 12, 332–349. [Google Scholar] [CrossRef] [PubMed]
- Hendrikx, T.; Binder, C.J. Oxidation-specific epitopes in non-alcoholic fatty liver disease. Front. Endocrinol. 2020, 11, 607011. [Google Scholar] [CrossRef]
- Vuppalanchi, R.; Noureddin, M.; Alkhouri, N.; Sanyal, A.J. Therapeutic pipeline in nonalcoholic steatohepatitis. Nat. Rev. Gastroenterol. Hepatol. 2021, 18, 373–392. [Google Scholar] [CrossRef]
- Karkucinska-Wieckowska, A.; Simoes, I.C.M.; Kalinowski, P.; Lebiedzinska-Arciszewska, M.; Zieniewicz, K.; Milkiewicz, P.; Górska-Ponikowska, M.; Pinton, P.; Malik, A.N.; Krawczyk, M.; et al. Mitochondria, oxidative stress and nonalcoholic fatty liver disease: A complex relationship. Eur. J. Clin. Investig. 2021, e13622. [Google Scholar] [CrossRef]
- Cichoż-Lach, H. Oxidative stress as a crucial factor in liver diseases. World J. Gastroenterol. 2014, 20, 8082–8091. [Google Scholar] [CrossRef] [PubMed]
- Delli Bovi, A.P.; Marciano, F.; Mandato, C.; Siano, M.A.; Savoia, M.; Vajro, P. Oxidative stress in non-alcoholic fatty liver disease. An updated mini review. Front. Med. 2021, 8, 595371. [Google Scholar] [CrossRef]
- Bailly-Maitre, B.; Belgardt, B.F.; Jordan, S.D.; Coornaert, B.; von Freyend, M.J.; Kleinridders, A.; Mauer, J.; Cuddy, M.; Kress, C.L.; Willmes, D.; et al. Hepatic bax Inhibitor-1 inhibits IRE1α and protects from obesity-associated insulin resistance and glucose intolerance. J. Biol. Chem. 2010, 285, 6198–6207. [Google Scholar] [CrossRef] [Green Version]
- Ali, E.S.; Rychkov, G.; Barritt, G.J. Deranged hepatocyte intracellular Ca2+ homeostasis and the progression of non-alcoholic fatty liver disease to hepatocellular carcinoma. Cell Calcium 2019, 82, 102057. [Google Scholar] [CrossRef]
- Dar, W.A.; Sullivan, E.; Bynon, J.S.; Eltzschig, H.; Ju, C. Ischaemia reperfusion injury in liver transplantation: Cellular and molecular mechanisms. Liver Int. 2019, 39, 788–801. [Google Scholar] [CrossRef] [Green Version]
- Shah, D.; Sah, S.; Nath, S.K. Interaction between glutathione and apoptosis in systemic lupus erythematosus. Autoimmun. Rev. 2013, 12, 741–751. [Google Scholar] [CrossRef] [Green Version]
- Nicoud, I.B.; Knox, C.D.; Jones, C.M.; Anderson, C.D.; Pierce, J.M.; Belous, A.E.; Earl, T.M.; Chari, R.S. 2-APB protects against liver ischemia-reperfusion injury by reducing cellular and mitochondrial calcium uptake. Am. J. Physiol. Liver Physiol. 2007, 293, G623–G630. [Google Scholar] [CrossRef] [PubMed] [Green Version]
- Hofmann, J.; Otarashvili, G.; Meszaros, A.; Ebner, S.; Weissenbacher, A.; Cardini, B.; Oberhuber, R.; Resch, T.; Öfner, D.; Schneeberger, S.; et al. Restoring mitochondrial function while avoiding redox stress: The key to preventing ischemia/reperfusion injury in machine perfused liver grafts? Int. J. Mol. Sci. 2020, 21, 3132. [Google Scholar] [CrossRef]
- Badr, H.; Kozai, D.; Sakaguchi, R.; Numata, T.; Mori, Y. Different contribution of redox-sensitive transient receptor potential channels to acetaminophen-induced Death of human hepatoma cell line. Front. Pharmacol. 2016, 7. [Google Scholar] [CrossRef] [Green Version]
- Yamamoto, S.; Shimizu, S. Significance of TRP channels in oxidative stress. Eur. J. Pharmacol. 2016, 793, 109–111. [Google Scholar] [CrossRef] [PubMed]
- Sakaguchi, R.; Mori, Y. Transient receptor potential (TRP) channels: Biosensors for redox environmental stimuli and cellular status. Free. Radic. Biol. Med. 2020, 146, 36–44. [Google Scholar] [CrossRef]
- Bhardwaj, R.; Hediger, M.A.; Demaurex, N. Redox modulation of STIM-ORAI signaling. Cell Calcium 2016, 60, 142–152. [Google Scholar] [CrossRef]
- Faouzi, M.; Penner, R. “Trpm2”. Handb Exp. Pharmacol. 2014, 222, 403–426. [Google Scholar] [CrossRef] [PubMed]
- Wang, L.; Fu, T.-M.; Zhou, Y.; Xia, S.; Greka, A.; Wu, H. Structures and gating mechanism of human trpm2. Science 2018, 362, eaav4809. [Google Scholar] [CrossRef] [PubMed] [Green Version]
- Szollosi, A. Two decades of evolution of our understanding of the transient receptor potential melastatin 2 (TRPM2) cation channel. Life 2021, 11, 397. [Google Scholar] [CrossRef]
- Zhan, K.-Y.; Kai-Yu, Z.; Liu, C.-H.; Luo, J.-H.; Yang, W. Detrimental or beneficial: The role of TRPM2 in ischemia/reperfusion injury. Acta Pharmacol. Sin. 2016, 37, 4–12. [Google Scholar] [CrossRef] [PubMed] [Green Version]
- Cheung, J.Y.; Miller, B.A. Transient receptor potential-melastatin channel family member 2: Friend or foe. Trans. Am. Clin. Climatol. Assoc. 2017, 128, 308–329. [Google Scholar]
- Gao, G.; Wang, W.; Tadagavadi, R.K.; Briley, N.E.; Love, M.I.; Miller, B.A.; Reeves, W.B. TRPM2 mediates ischemic kidney injury and oxidant stress through RAC1. J. Clin. Investig. 2014, 124, 4989–5001. [Google Scholar] [CrossRef] [PubMed] [Green Version]
- Mai, C.; Mankoo, H.; Wei, L.; An, X.; Li, C.; Li, D.; Jiang, L. TRPM2 channel: A novel target for alleviating ischaemia-reperfusion, chronic cerebral hypo-perfusion and neonatal hypoxic-ischaemic brain damage. J. Cell. Mol. Med. 2019, 24, 4–12. [Google Scholar] [CrossRef] [PubMed] [Green Version]
- Malko, P.; Jiang, L.-H. TRPM2 channel-mediated cell death: An important mechanism linking oxidative stress-inducing pathological factors to associated pathological conditions. Redox Biol. 2020, 37, 101755. [Google Scholar] [CrossRef]
- Fanczal, J.; Pallagi, P.; Görög, M.; Diszházi, G.; Almássy, J.; Madácsy, T.; Varga, A.; Csernay-Biró, P.; Katona, X.; Tóth, E.; et al. TRPM2-mediated extracellular Ca2+ entry promotes acinar cell necrosis in biliary acute pancreatitis. J. Physiol. 2020, 598, 1253–1270. [Google Scholar] [CrossRef] [Green Version]
- Wang, Q.; Liu, N.; Ni, Y.-S.; Yang, J.-M.; Ma, L.; Lan, X.-B.; Wu, J.; Niu, J.-G.; Yu, J.-Q. TRPM2 in ischemic stroke: Structure, molecular mechanisms, and drug intervention. Channels (Austin) 2021, 15, 136–154. [Google Scholar] [CrossRef]
- Kheradpezhouh, E.; Ma, L.; Morphett, A.; Barritt, G.; Rychkov, G.Y. TRPM2 channels mediate acetaminophen-induced liver damage. Proc. Natl. Acad. Sci. USA 2014, 111, 3176–3181. [Google Scholar] [CrossRef] [Green Version]
- Wang, Q.; Guo, W.; Hao, B.; Shi, X.; Lu, Y.; Wong, C.W.; Ma, V.W.; Yip, T.T.; Au, J.S.; Hao, Q.; et al. Mechanistic study of TRPM2-Ca2+-CAMK2-BECN1 signaling in oxidative stress-induced autophagy inhibition. Autophagy 2016, 12, 1340–1354. [Google Scholar] [CrossRef] [Green Version]
- Li, Y.; Ren, Z.; Xu, Y.; Wu, S. Role of transient receptor potential cation channel subfamily m member 2 in hepatic ischemia-reperfusion injury in the mouse and the underlying mechanisms. J. Cent. South Univ. Med. Sci. 2020, 45, 766–773. [Google Scholar] [CrossRef]
- Bilecik, T.; Karateke, F.; Elkan, H.; Gokce, H. The effects of TRPM2, TRPM6, TRPM7 and TRPM8 gene expression in hepatic ischemia reperfusion injury. Eur. Rev. Med Pharmacol. Sci. 2019, 23, 3088–3095. [Google Scholar]
- Uchida, K.; Tominaga, M. The role of TRPM2 in pancreatic β-cells and the development of diabetes. Cell Calcium 2014, 56, 332–339. [Google Scholar] [CrossRef]
- Uchida, K.; Tominaga, M. TRPM2 modulates insulin secretion in pancreatic β-cells. Islets 2011, 3, 209–211. [Google Scholar] [CrossRef]
- Zhang, Z.; Zhang, W.; Jung, D.Y.; Ko, H.J.; Lee, Y.; Friedline, R.H.; Lee, E.; Jun, J.; Ma, Z.; Kim, F.; et al. Trpm2 Ca2+ channel regulates energy balance and glucose metabolism. Am. J. Physiol. Endocrinol. Metab. 2012, 302, E807–E816. [Google Scholar] [CrossRef] [PubMed] [Green Version]
- Xia, S.; Wang, L.; Fu, T.; Wu, H.; Hao, W. Mechanism of TRPM 2 channel gating revealed by cryo- EM. FEBS J. 2019, 286, 3333–3339. [Google Scholar] [CrossRef] [PubMed] [Green Version]
- Cao, E. Structural mechanisms of transient receptor potential ion channels. J. Gen. Physiol. 2020, 152. [Google Scholar] [CrossRef] [PubMed]
- Barth, D.; Lückhoff, A.; Kühn, F. Species-specific regulation of TRPM2 by PI(4,5)P2 via the membrane interfacial cavity. Int. J. Mol. Sci. 2021, 22, 4637. [Google Scholar] [CrossRef]
- Kühn, F.J. Structure-Function Relationship of TRPM2: Recent Advances, Contradictions, and Open Questions. Int. J. Mol. Sci. 2020, 21, 6481. [Google Scholar] [CrossRef]
- Yin, Y.; Wu, M.; Hsu, A.L.; Borschel, W.F.; Borgnia, M.J.; Lander, G.C.; Lee, S.-Y. Visualizing structural transitions of ligand-dependent gating of the TRPM2 channel. Nat. Commun. 2019, 10, 3740. [Google Scholar] [CrossRef] [Green Version]
- Zhang, Z.; Tóth, B.; Szollosi, A.; Chen, J.; Csanády, L. Structure of a trpm2 channel in complex with Ca2+ explains unique gating regulation. eLife 2018, 7. [Google Scholar] [CrossRef]
- Yamamoto, S.; Ishii, T.; Mikami, R.; Numata, T.; Shimizu, S. Short TRPM2 prevents the targeting of full-length TRPM2 to the surface transmembrane by hijacking to ER associated degradation. Biochem. Biophys. Res. Commun. 2019, 520, 520–525. [Google Scholar] [CrossRef] [PubMed]
- Kheradpezhouh, E.; Zhou, F.H.; Barritt, G.J.; Rychkov, G.Y. Oxidative stress promotes redistribution of TRPM2 channels to the plasma membrane in hepatocytes. Biochem. Biophys. Res. Commun. 2018, 503, 1891–1896. [Google Scholar] [CrossRef]
- Perraud, A.-L.; Fleig, A.; Dunn, C.A.; Bagley, L.A.; Launay, P.; Schmitz, C.; Stokes, A.; Zhu, Q.; Bessman, M.J.; Penner, R.; et al. ADP-ribose gating of the calcium-permeable LTRPC2 channel revealed by Nudix motif homology. Nat. Cell Biol. 2001, 411, 595–599. [Google Scholar] [CrossRef]
- Li, X.; Jiang, L.-H. A critical role of the transient receptor potential melastatin 2 channel in a positive feedback mechanism for reactive oxygen species-induced delayed cell death. J. Cell. Physiol. 2018, 234, 3647–3660. [Google Scholar] [CrossRef]
- Li, X.; Jiang, L.-H. Multiple molecular mechanisms form a positive feedback loop driving amyloid β42 peptide-induced neurotoxicity via activation of the TRPM2 channel in hippocampal neurons. Cell Death Dis. 2018, 9, 195. [Google Scholar] [CrossRef] [PubMed] [Green Version]
- Li, X.; Yang, W.; Jiang, L.-H. Alteration in intracellular Zn2+ homeostasis as a result of TRPM2 channel activation contributes to ROS-induced hippocampal neuronal death. Front. Mol. Neurosci. 2017, 10, 414. [Google Scholar] [CrossRef] [PubMed] [Green Version]
- Li, F.; Abuarab, N.; Sivaprasadarao, A. Reciprocal regulation of actin cytoskeleton remodelling and cell migration by calcium and zinc: Role of TRPM2 channels. J. Cell Sci. 2016, 129, 2016–2029. [Google Scholar] [CrossRef] [Green Version]
- Hoffman, N.E.; Miller, B.A.; Wang, J.; Elrod, J.; Rajan, S.; Gao, E.; Song, J.; Zhang, X.-Q.; Hirschler-Laszkiewicz, I.; Shanmughapriya, S.; et al. Ca2+ entry via Trpm2 is essential for cardiac myocyte bioenergetics maintenance. Am. J. Physiol. Circ. Physiol. 2015, 308, H637–H650. [Google Scholar] [CrossRef] [Green Version]
- Di, A.; Kiya, T.; Gong, H.; Gao, X.; Malik, A.B. Role of phagosomal redox-sensitive trp channel TRPM2 in regulating bactericidal activity of macrophages. J. Cell Sci. 2017, 130, 735–744. [Google Scholar] [CrossRef] [Green Version]
- Zhao, Q.; Li, J.; Ko, W.-H.; Kwan, Y.-W.; Jiang, L.; Sun, L.; Yao, X. TRPM2 promotes autophagic degradation in vascular smooth muscle cells. Sci. Rep. 2020, 10, 20719. [Google Scholar] [CrossRef] [PubMed]
- Lange, I.; Yamamoto, S.; Partida-Sanchez, S.; Mori, Y.; Fleig, A.; Penner, R. Trpm2 functions as a lysosomal Ca2+-release channel in beta cells. Sci. Signal. 2009, 2, ra23. [Google Scholar] [CrossRef] [Green Version]
- Zhang, X.; Hu, M.; Yang, Y.; Xu, H. Organellar TRP channels. Nat. Struct. Mol. Biol. 2018, 25, 1009–1018. [Google Scholar] [CrossRef] [PubMed]
- Sumoza-Toledo, A.; Lange, I.; Cortado, H.; Bhagat, H.; Mori, Y.; Fleig, A.; Penner, R.; Partida-Sánchez, S. Dendritic cell maturation and chemotaxis is regulated by TRPM2-mediated lysosomal Ca2+ release. FASEB J. 2011, 25, 3529–3542. [Google Scholar] [CrossRef] [Green Version]
- Zeng, X.; Sikka, S.C.; Huang, L.; Sun, C.; Xu, C.; Jia, D.; Abdel-Mageed, A.B.; Pottle, J.E.; Taylor, J.T.; Li, M. Novel role for the transient receptor potential channel TRPM2 in prostate cancer cell proliferation. Prostate Cancer Prostatic Dis. 2009, 13, 195–201. [Google Scholar] [CrossRef] [Green Version]
- Zhao, L.-Y.; Xu, W.-L.; Xu, Z.-Q.; Qi, C.; Li, Y.; Cheng, J.; Liu, L.-K.; Wu, Y.-N.; Gao, J.; Ye, J.-H. The overexpressed functional transient receptor potential channel TRPM2 in oral squamous cell carcinoma. Sci. Rep. 2016, 6, 38471. [Google Scholar] [CrossRef] [PubMed] [Green Version]
- Hopkins, M.M.; Feng, X.; Liu, M.; Parker, L.P.; Koh, D.W. Inhibition of the transient receptor potential melastatin-2 channel causes increased DNA damage and decreased proliferation in breast adenocarcinoma cells. Int. J. Oncol. 2015, 46, 2267–2276. [Google Scholar] [CrossRef] [Green Version]
- Peralta, F.A.; Huidobro-Toro, J.P. Zinc as allosteric ion channel modulator: Ionotropic receptors as metalloproteins. Int. J. Mol. Sci. 2016, 17, 1059. [Google Scholar] [CrossRef] [PubMed] [Green Version]
- Yang, W.; Manna, P.T.; Zou, J.; Luo, J.; Beech, D.; Sivaprasadarao, A.; Jiang, L.-H. Zinc Inactivates Melastatin Transient Receptor Potential 2 Channels via the Outer Pore. J. Biol. Chem. 2011, 286, 23789–23798. [Google Scholar] [CrossRef] [PubMed] [Green Version]
- Ergun, D.D.; Dursun, S.; Ozsobaci, N.P.; Ng, O.H.; Naziroglu, M.; Ozcelik, D. The potential protective roles of zinc, selenium and glutathione on hypoxia-induced TRPM2 channel activation in transfected HEK293 cells. J. Recept. Signal Transduct. 2020, 40, 521–530. [Google Scholar] [CrossRef]
- Chowdhury, A.; Nabila, J.; Temitope, I.A.; Wang, S. Current etiological comprehension and therapeutic targets of acetaminophen-induced hepatotoxicity. Pharmacol. Res. 2020, 161, 105102. [Google Scholar] [CrossRef]
- Przybyła, G.W.; Szychowski, K.A.; Gmiński, J. Paracetamol—An old drug with new mechanisms of action. Clin. Exp. Pharmacol. Physiol. 2020, 48, 3–19. [Google Scholar] [CrossRef]
- Cairns, R.; Brown, J.A.; Wylie, C.E.; Dawson, A.H.; Isbister, G.K.; Buckley, N.A. Paracetamol poisoning-related hospital admissions and deaths in Australia, 2004–2017. Med. J. Aust. 2019, 211, 218–223. [Google Scholar] [CrossRef]
- Athersuch, T.J.; Antoine, D.J.; Boobis, A.R.; Coen, M.; Daly, A.K.; Possamai, L.; Nicholson, J.K.; Wilson, I.D. Paracetamol metabolism, hepatotoxicity, biomarkers and therapeutic interventions: A perspective. Toxicol. Res. 2018, 7, 347–357. [Google Scholar] [CrossRef] [Green Version]
- Gibb, I.A.; Anderson, B.J. Paracetamol (acetaminophen) pharmacodynamics: Interpreting the plasma concentration. Arch. Dis. Child. 2008, 93, 241–247. [Google Scholar] [CrossRef] [PubMed]
- Mian, P.; Allegaert, K.; Spriet, I.; Tibboel, D.; Petrovic, M. Paracetamol in older people: Towards evidence-based dosing? Drugs Aging 2018, 35, 603–624. [Google Scholar] [CrossRef] [PubMed] [Green Version]
- Wong, A.; Graudins, A. Risk prediction of hepatotoxicity in paracetamol poisoning. Clin. Toxicol. 2017, 55, 879–892. [Google Scholar] [CrossRef]
- Moles, A.; Torres, S.; Baulies, A.; García-Ruiz, C.; Fernandez-Checa, J.C. Mitochondrial–Lysosomal Axis in Acetaminophen Hepatotoxicity. Front. Pharmacol. 2018, 9, 453. [Google Scholar] [CrossRef] [PubMed]
- Echtermeyer, F.; Eberhardt, M.; Risser, L.; Herzog, C.; Gueler, F.; Khalil, M.; Engel, M.; Vondran, F.; Leffler, A. Acetaminophen-induced liver injury is mediated by the ion channel TRPV4. FASEB J. 2019, 33, 10257–10268. [Google Scholar] [CrossRef] [PubMed] [Green Version]
- Wassmer, C.-H.; Moeckli, B.; Berney, T.; Toso, C.; Orci, L. Shorter Survival after Liver Pedicle Clamping in Patients Undergoing Liver Resection for Hepatocellular Carcinoma Revealed by a Systematic Review and Meta-Analysis. Cancers 2021, 13, 637. [Google Scholar] [CrossRef]
- Rampes, S.; Ma, D. Hepatic ischemia-reperfusion injury in liver transplant setting: Mechanisms and protective strategies. J. Biomed. Res. 2019, 33, 221–234. [Google Scholar] [CrossRef]
- Bhogal, R.H.; Mirza, D.F.; Afford, S.C.; Mergental, H. Biomarkers of liver injury during transplantation in an era of machine perfusion. Int. J. Mol. Sci. 2020, 21, 1578. [Google Scholar] [CrossRef] [Green Version]
- Rose, S.; Pizanis, A.; Silomon, M. Altered hepatocellular Ca2+ regulation during hemorrhagic shock and resuscitation. Hepatology 1997, 25, 379–384. [Google Scholar] [CrossRef] [PubMed]
- Ferreira-Silva, M.; Faria-Silva, C.; Baptista, P.V.; Fernandes, E.; Fernandes, A.R.; Corvo, M.L. Drug delivery nanosystems targeted to hepatic ischemia and reperfusion injury. Drug Deliv. Transl. Res. 2021, 11, 397–410. [Google Scholar] [CrossRef] [PubMed]
- Senoner, T.; Schindler, S.; Stättner, S.; Öfner, D.; Troppmair, J.; Primavesi, F. Associations of Oxidative Stress and Postoperative Outcome in Liver Surgery with an Outlook to Future Potential Therapeutic Options. Oxidative Med. Cell. Longev. 2019, 2019, 3950818. [Google Scholar] [CrossRef] [PubMed]
- Prieto, I.; Monsalve, M. ROS homeostasis, a key determinant in liver ischemic-preconditioning. Redox Biol. 2017, 12, 1020–1025. [Google Scholar] [CrossRef] [PubMed] [Green Version]
- Wang, H.; Zhang, R.; Bridle, K.R.; Jayachandran, A.; Thomas, J.A.; Zhang, W.; Yuan, J.; Xu, Z.P.; Crawford, D.H.G.; Liang, X.; et al. Two-photon dual imaging platform for in vivo monitoring cellular oxidative stress in liver injury. Sci. Rep. 2017, 7, 45374. [Google Scholar] [CrossRef] [Green Version]
- Isozaki, H.; Fujii, K.; Nomura, E.; Hara, H. Calcium concentration in hepatocytes during liver ischaemia-reperfusion injury and the effects of diltiazem and citrate on perfused rat liver. Eur. J. Gastroenterol. Hepatol. 2000, 12, 291–297. [Google Scholar] [CrossRef]
- Wang, B.; Zhang, Q.; Zhu, B.; Cui, Z.; Zhou, J. Protective effect of gadolinium chloride on early warm ischemia/reperfusion injury in rat bile duct during liver transplantation. PLoS ONE 2013, 8, e52743. [Google Scholar] [CrossRef]
- Mosher, B.; Dean, R.; Harkema, J.; Remick, D.; Palma, J.; Crockett, E. Inhibition of kupffer cells reduced CXC chemokine production and liver injury. J. Surg. Res. 2001, 99, 201–210. [Google Scholar] [CrossRef]
- Chattopadhyay, P.; Chaudhury, P.; Wahi, A.K. Ca+2 Concentrations are key determinants of ischemia–reperfusion-induced apoptosis: Significance for the molecular mechanism of Bcl-2 action. Appl. Biochem. Biotechnol. 2009, 160, 1968–1977. [Google Scholar] [CrossRef] [PubMed]
- Pan, L.-J.; Zhang, Z.-C.; Zhang, Z.-Y.; Wang, W.-J.; Xu, Y.; Zhang, Z.-M. Effects and mechanisms of store-operated calcium channel blockade on hepatic ischemia-reperfusion injury in rats. World J. Gastroenterol. 2012, 18, 356–367. [Google Scholar] [CrossRef] [PubMed]
- Chang, W.J.; Chehab, M.; Kink, S.; Toledo-Pereyra, L.H. Intracellular calcium signaling pathways during liver ischemia and reperfusion. J. Investig. Surg. 2010, 23, 228–238. [Google Scholar] [CrossRef]
- Anderson, C.D.; Pierce, J.; Nicoud, I.; Belous, A.; Knox, C.D.; Chari, R.S. Modulation of mitochondrial calcium management attenuates hepatic warm ischemia-reperfusion injury. Liver Transplant. 2005, 11, 663–668. [Google Scholar] [CrossRef]
- Jiang, N.; Zhang, Z.-M.; Liu, L.; Zhang, C.; Zhang, Y.-L.; Zhang, Z.-C. Effects of Ca2+ channel blockers on store-operated Ca2+ channel currents of Kupffer cells after hepatic ischemia/reperfusion injury in rats. World J. Gastroenterol. 2006, 12, 4694–4698. [Google Scholar] [CrossRef]
- Sakon, M.; Umeshita, K.; Monden, M.; Ariyoshi, H. Ischemia-reperfusion injury of the liver with special reference to calcium-dependent mechanisms. Surg. Today 2002, 32, 1–12. [Google Scholar] [CrossRef] [PubMed]
- Miller, B.A.; Wang, J.; Hirschler-Laszkiewicz, I.; Gao, E.; Song, J.; Zhang, X.-Q.; Koch, W.J.; Madesh, M.; Mallilankaraman, K.; Gu, T.; et al. The second member of transient receptor potential-melastatin channel family protects hearts from ischemia-reperfusion injury. Am. J. Physiol. Circ. Physiol. 2013, 304, H1010–H1022. [Google Scholar] [CrossRef] [PubMed] [Green Version]
- Miller, B.A.; Hoffman, N.E.; Merali, S.; Zhang, X.-Q.; Wang, J.; Rajan, S.; Shanmughapriya, S.; Gao, E.; Barrero, C.; Mallilankaraman, K.; et al. TRPM2 channels protect against cardiac ischemia-reperfusion injury. J. Biol. Chem. 2014, 289, 7615–7629. [Google Scholar] [CrossRef] [Green Version]
- Miller, B.A.; Cheung, J.Y. TRPM2 protects against tissue damage following oxidative stress and ischaemia-reperfusion. J. Physiol. 2015, 594, 4181–4191. [Google Scholar] [CrossRef] [PubMed] [Green Version]
- Bao, L.; Festa, F.; Freet, C.; Lee, J.P.; Hirschler-Laszkiewicz, I.M.; Chen, S.-J.; Keefer, K.A.; Wang, H.-G.; Patterson, A.D.; Cheung, J.Y.; et al. The human transient receptor potential melastatin 2 ion channel modulates ROS through Nrf2. Sci. Rep. 2019, 9, 14132. [Google Scholar] [CrossRef] [PubMed] [Green Version]
- Ding, R.; Yin, Y.-L.; Jiang, L.-H. Reactive oxygen species-induced TRPM2-Mediated Ca2+ signalling in endothelial cells. Antioxidants 2021, 10, 718. [Google Scholar] [CrossRef] [PubMed]
- Yamamoto, S.; Shimizu, S.; Kiyonaka, S.; Takahashi, N.; Wajima, T.; Hara, Y.; Negoro, T.; Hiroi, T.; Kiuchi, Y.; Okada, T.; et al. TRPM2-mediated Ca2+ influx induces chemokine production in monocytes that aggravates inflammatory neutrophil infiltration. Nat. Med. 2008, 14, 738–747. [Google Scholar] [CrossRef] [PubMed]
- Feng, Q.; Liu, C.; Gao, W.; Geng, X.-L.; Dai, N. Salidroside-Mitigated Inflammatory Injury of Hepatocytes with Non-Alcoholic Fatty Liver Disease via Inhibition TRPM2 Ion Channel Activation. Diabetes, Metab. Syndr. Obes. Targets Ther. 2019, 12, 2755–2763. [Google Scholar] [CrossRef] [Green Version]
- Li, J.; Gao, Y.; Bao, X.; Li, F.; Yao, W.; Feng, Z.; Yin, Y. TRPM2 a potential drug target to retard oxidative stress. Front. Biosci. 2017, 22, 1427–1438. [Google Scholar] [CrossRef] [Green Version]
- Yamamoto, S.; Shimizu, S. Targeting TRPM2 in ROS-Coupled diseases. Pharmaceuticals 2016, 9, 57. [Google Scholar] [CrossRef] [Green Version]
- Zhang, H.; Zhao, S.; Yu, J.; Yang, W.; Liu, Z.; Zhang, L. Medicinal chemistry perspective of TRPM2 channel inhibitors: Where we are and where we might be heading? Drug Discov. Today 2020, 25, 2326–2334. [Google Scholar] [CrossRef] [PubMed]
- Kraft, R.; Grimm, C.; Frenzel, H.; Harteneck, C. Inhibition of TRPM2 cation channels by N-(p-amylcinnamoyl) anthranilic acid. Br. J. Pharmacol. 2006, 148, 264–273. [Google Scholar] [CrossRef] [Green Version]
- Gazaryan, I.G.; Ratan, R.R. Oxidative stress and movement disorders. In Reference Module in Neuroscience and Biobehavioral Psychology; Elsevier: Amsterdam, The Netherlands, 2017. [Google Scholar]
- Mlinar, B.; Enyeart, J.J. Block of current through T-type calcium channels by trivalent metal cations and nickel in neural rat and human cells. J. Physiol. 1993, 469, 639–652. [Google Scholar] [CrossRef]
- Hill, K.; Benham, C.D.; McNulty, S.; Randall, A. Flufenamic acid is a pH-dependent antagonist of TRPM2 channels. Neuropharmacology 2004, 47, 450–460. [Google Scholar] [CrossRef]
- Jiang, L.-H.; Gamper, N.; Beech, D.J. Properties and therapeutic potential of transient receptor potential channels with putative roles in adversity: Focus on TRPC5, TRPM2 and TRPA1. Curr. Drug Targets 2011, 12, 724–736. [Google Scholar] [CrossRef] [PubMed]
- Chen, G.-L.; Zeng, B.; Eastmond, S.; Elsenussi, S.E.; Boa, A.; Xu, S.-Z. Pharmacological comparison of novel synthetic fenamate analogues with econazole and 2-APB on the inhibition of TRPM2 channels. Br. J. Pharmacol. 2012, 167, 1232–1243. [Google Scholar] [CrossRef] [Green Version]
- Belrose, J.C.; Jackson, M.F. TRPM2: A candidate therapeutic target for treating neurological diseases. Acta Pharmacol. Sin. 2018, 39, 722–732. [Google Scholar] [CrossRef] [PubMed] [Green Version]
- Fourgeaud, L.; Dvorak, C.; Faouzi, M.; Starkus, J.; Sahdeo, S.; Wang, Q.; Lord, B.; Coate, H.; Taylor, N.; He, Y.; et al. Pharmacology of JNJ-28583113: A novel TRPM2 antagonist. Eur. J. Pharmacol. 2019, 853, 299–307. [Google Scholar] [CrossRef]
- Fonfria, E.; Marshall, I.C.B.; Benham, C.D.; Boyfield, I.; Brown, J.D.; Hill, K.; Hughes, J.P.; Skaper, S.D.; McNulty, S. TRPM2 channel opening in response to oxidative stress is dependent on activation of poly (ADP-ribose) polymerase. Br. J. Pharmacol. 2004, 143, 186–192. [Google Scholar] [CrossRef] [Green Version]
- Zhang, H.; Yu, P.; Lin, H.; Jin, Z.; Zhao, S.; Zhang, Y.; Xu, Q.; Liu, Z.; Yang, W.; Zhang, L. The Discovery of Novel ACA Derivatives as Specific TRPM2 Inhibitors that Reduce Ischemic Injury Both In Vitro and In Vivo. J. Med. Chem. 2021, 64, 3976–3996. [Google Scholar] [CrossRef] [PubMed]
- Togashi, K.; Inada, H.; Tominaga, M. Inhibition of the transient receptor potential cation channel TRPM2 by 2-aminoethoxydiphenyl borate (2-APB). Br. J. Pharmacol. 2008, 153, 1324–1330. [Google Scholar] [CrossRef] [PubMed]
- Moreau, C.; Kirchberger, T.; Swarbrick, J.M.; Bartlett, S.J.; Fliegert, R.; Yorgan, T.; Bauche, A.; Harneit, A.; Guse, A.H.; Potter, B.V.L. Structure–activity relationship of adenosine 5′-diphosphoribose at the transient receptor potential melastatin 2 (TRPM2) Channel: Rational Design of Antagonists. J. Med. Chem. 2013, 56, 10079–10102. [Google Scholar] [CrossRef]
- Partida-Sanchez, S.; Gasser, A.; Fliegert, R.; Siebrands, C.C.; Dammermann, W.; Shi, G.; Mousseau, B.J.; Sumoza-Toledo, A.; Bhagat, H.; Walseth, T.F.; et al. Chemotaxis of mouse bone marrow neutrophils and dendritic cells is controlled by ADP-ribose, the major product generated by the CD38 enzyme reaction. J. Immunol. 2007, 179, 7827–7839. [Google Scholar] [CrossRef] [Green Version]
- Baszczynski, O.; Watt, J.M.; Rozewitz, M.D.; Fliegert, R.; Guse, A.H.; Potter, B.V.L. Synthesis of phosphonoacetate analogues of the second messenger adenosine 5′-diphosphate ribose (ADPR). RSC Adv. 2020, 10, 1776–1785. [Google Scholar] [CrossRef] [PubMed]
- Fliegert, R.; Watt, J.M.; Schöbel, A.; Rozewitz, M.D.; Moreau, C.; Kirchberger, T.; Thomas, M.P.; Sick, W.; Araujo, A.C.; Harneit, A.; et al. Ligand-induced activation of human TRPM2 requires the terminal ribose of ADPR and involves Arg1433 and Tyr1349. Biochem. J. 2017, 474, 2159–2175. [Google Scholar] [CrossRef]
- Kolisek, M.; Beck, A.; Fleig, A.; Penner, R. Cyclic ADP-ribose and hydrogen peroxide synergize with ADP-ribose in the activation of TRPM2 channels. Mol. Cell 2005, 18, 61–69. [Google Scholar] [CrossRef] [PubMed]
- Shimizu, T.; Dietz, R.M.; Cruz-Torres, I.; Strnad, F.; Garske, A.K.; Moreno, M.; Venna, V.R.; Quillinan, N.; Herson, P.S. Extended therapeutic window of a novel peptide inhibitor of TRPM2 channels following focal cerebral ischemia. Exp. Neurol. 2016, 283, 151–156. [Google Scholar] [CrossRef] [PubMed] [Green Version]
- Starkus, J.G.; Poerzgen, P.; Layugan, K.; Kawabata, K.G.; Goto, J.-I.; Suzuki, S.; Myers, G.; Kelly, M.; Penner, R.; Fleig, A.; et al. Scalaradial is a potent inhibitor of transient receptor potential melastatin 2 (TRPM2) ion channels. J. Nat. Prod. 2017, 80, 2741–2750. [Google Scholar] [CrossRef]
- Zhang, H.; Liu, H.; Luo, X.; Wang, Y.; Liu, Y.; Jin, H.; Liu, Z.; Yang, W.; Yu, P.; Lihe, Z. Design, synthesis and biological activities of 2,3-dihydroquinazolin-4 (1H)-one derivatives as trpm2 inhibitors. Eur. J. Med. Chem. 2018, 152, 235–252. [Google Scholar] [CrossRef] [PubMed]
- Shimizu, S.; Yonezawa, R.; Hagiwara, T.; Yoshida, T.; Takahashi, N.; Hamano, S.; Negoro, T.; Toda, T.; Wakamori, M.; Mori, Y.; et al. Inhibitory effects of AG490 on H2O2-induced TRPM2-mediated Ca2+ entry. Eur. J. Pharmacol. 2014, 742, 22–30. [Google Scholar] [CrossRef] [PubMed]
- Toda, T.; Yamamoto, S.; Yonezawa, R.; Mori, Y.; Shimizu, S. Inhibitory effects of Tyrphostin AG-related compounds on oxidative stress-sensitive transient receptor potential channel activation. Eur. J. Pharmacol. 2016, 786, 19–28. [Google Scholar] [CrossRef]
- Yamamoto, S.; Toda, T.; Yonezawa, R.; Negoro, T.; Shimizu, S. Tyrphostin AG-related compounds attenuate H2O2-induced TRPM2-dependent and -independent cellular responses. J. Pharmacol. Sci. 2017, 134, 68–74. [Google Scholar] [CrossRef]
- Kheradpezhouh, E.; Barritt, G.; Rychkov, G. Curcumin inhibits activation of TRPM2 channels in rat hepatocytes. Redox Biol. 2016, 7, 1–7. [Google Scholar] [CrossRef]
- Priyadarsini, K.I. The chemistry of curcumin: From extraction to therapeutic agent. Molecules 2014, 19, 20091–20112. [Google Scholar] [CrossRef] [Green Version]
- Teymouri, M.; Pirro, M.; Johnston, T.P.; Sahebkar, A. Curcumin as a multifaceted compound against human papilloma virus infection and cervical cancers: A review of chemistry, cellular, molecular, and preclinical features. BioFactors 2016, 43, 331–346. [Google Scholar] [CrossRef]
- Espinoza, Y.R.; Muriel, P. Pharmacological actions of curcumin in liver diseases or damage. Liver Int. 2009, 29, 1457–1466. [Google Scholar] [CrossRef]
- Bavarsad, K.; Riahi, M.M.; Saadat, S.; Barreto, G.; Atkin, S.L.; Sahebkar, A. Protective effects of curcumin against ischemia-reperfusion injury in the liver. Pharmacol. Res. 2019, 141, 53–62. [Google Scholar] [CrossRef] [PubMed]
- Liu, Y.; Zhang, W.; Cheng, Y.; Miao, C.; Gong, J.; Wang, M. Activation of PPARγ by Curcumin protects mice from ischemia/reperfusion injury induced by orthotopic liver transplantation via modulating polarization of Kupffer cells. Int. Immunopharmacol. 2018, 62, 270–276. [Google Scholar] [CrossRef] [PubMed]
- Lin, C.; Lee, J.; Chiang, L.; Chen, C.; Wang, D.; Su, C. The Protective Effect of Curcumin on Ischemia-Reperfusion–Induced Liver Injury. Transplant. Proc. 2012, 44, 974–977. [Google Scholar] [CrossRef] [PubMed]
- Kheradpezhouh, E.; Panjehshahin, M.R.; Miri, R.; Javidnia, K.; Noorafshan, A.; Monabati, A.; Dehpour, A.-R. Curcumin protects rats against acetaminophen-induced hepatorenal damages and shows synergistic activity with N-acetyl cysteine. Eur. J. Pharmacol. 2010, 628, 274–281. [Google Scholar] [CrossRef]
- Hewlings, S.J.; Kalman, D.S.; Hewlings, S.J.; Kalman, D.S. Curcumin: A review of its effects on human health. Foods 2017, 6, 92. [Google Scholar] [CrossRef]
- Hahn, Y.-I.; Kim, S.-J.; Choi, B.-Y.; Cho, K.-C.; Bandu, R.; Kim, K.P.; Kim, D.-H.; Kim, W.; Park, J.S.; Han, B.W.; et al. Curcumin interacts directly with the Cysteine 259 residue of STAT3 and induces apoptosis in H-Ras transformed human mammary epithelial cells. Sci. Rep. 2018, 8, 6409. [Google Scholar] [CrossRef]
- Larasati, Y.; Yoneda-Kato, N.; Nakamae, I.; Yokoyama, T.; Meiyanto, E.; Kato, J.-Y. Curcumin targets multiple enzymes involved in the ROS metabolic pathway to suppress tumor cell growth. Sci. Rep. 2018, 8, 2039. [Google Scholar] [CrossRef]
- Meshkibaf, M.H.; Maleknia, M.; Noroozi, S. Effect of curcumin on gene expression and protein level of methionine sulfoxide reductase A (MSRA), SOD, CAT and GPx in Freund’s adjuvant inflammation-induced male rats. J. Inflamm. Res. 2019, 12, 241–249. [Google Scholar] [CrossRef] [PubMed] [Green Version]
- Beevers, C.S.; Huang, S. The targets of curcumin. Curr. Drug Targets 2011, 12, 332–347. [Google Scholar] [CrossRef]
- Tsvetkov, P.; Asher, G.; Reiss, V.; Shaul, Y.; Sachs, L.; Lotem, J. Inhibition of NAD(P)H:quinone oxidoreductase 1 activity and induction of p53 degradation by the natural phenolic compound curcumin. Proc. Natl. Acad. Sci. USA 2005, 102, 5535–5540. [Google Scholar] [CrossRef] [PubMed] [Green Version]
- Lin, J.K.; Lin-Shiau, S.Y. Mechanisms of cancer chemoprevention by curcumin. Proc. Natl. Sci. Counc. Repub. China. Part B Life Sci. 2001, 25, 59–66. [Google Scholar]
- Lin, J.-K. Molecular targets of curcumin. In The Molecular Targets and Therapeutic Uses of Curcumin in Health and Disease; Aggarwal, B.B., Surh, Y.-J., Shishodia, S., Eds.; Springer: Boston, MA, USA, 2007; pp. 227–243. [Google Scholar]
- Nishinaka, T.; Ichijo, Y.; Ito, M.; Kimura, M.; Katsuyama, M.; Iwata, K.; Miura, T.; Terada, T.; Yabe-Nishimura, C. Curcumin activates human glutathione S-transferase P1 expression through antioxidant response element. Toxicol. Lett. 2007, 170, 238–247. [Google Scholar] [CrossRef] [PubMed]
- Park, W.; Amin, A.R.; Chen, Z.G.; Shin, D.M. New Perspectives of Curcumin in Cancer Prevention. Cancer Prev. Res. 2013, 6, 387–400. [Google Scholar] [CrossRef] [Green Version]
- Zhang, L.; Yang, G.; Zhang, R.; Dong, L.; Chen, H.; Bo, J.; Xue, W.; Huang, Y. Curcumin inhibits cell proliferation and motility via suppression of TROP2 in bladder cancer cells. Int. J. Oncol. 2018, 53, 515–526. [Google Scholar] [CrossRef] [Green Version]
- Ma, J.; Fang, B.; Zeng, F.; Pang, H.; Zhang, J.; Shi, Y.; Wu, X.; Cheng, L.; Ma, C.; Xia, J.; et al. Curcumin inhibits cell growth and invasion through up-regulation of miR-7 in pancreatic cancer cells. Toxicol. Lett. 2014, 231, 82–91. [Google Scholar] [CrossRef]
- Wu, G.-Q.; Chai, K.-Q.; Zhu, X.-M.; Jiang, H.; Wang, X.; Xue, Q.; Zheng, A.-H.; Zhou, H.-Y.; Chen, Y.; Chen, X.-C.; et al. Anti-cancer effects of curcumin on lung cancer through the inhibition of EZH2 and NOTCH1. Oncotarget 2016, 7, 26535–26550. [Google Scholar] [CrossRef] [PubMed] [Green Version]
- Sultana, S.; Munir, N.; Mahmood, Z.; Riaz, M.; Akram, M.; Rebezov, M.; Kuderinova, N.; Moldabayeva, Z.; Shariati, M.A.; Rauf, A.; et al. Molecular targets for the management of cancer using Curcuma longa Linn. phytoconstituents: A Review. Biomed. Pharmacother. 2021, 135, 111078. [Google Scholar] [CrossRef]
- Jahanbakhshi, F.; Dana, P.M.; Badehnoosh, B.; Yousefi, B.; Mansournia, M.A.; Jahanshahi, M.; Asemi, Z.; Halajzadeh, J. Curcumin anti-tumor effects on endometrial cancer with focus on its molecular targets. Cancer Cell Int. 2021, 21, 120. [Google Scholar] [CrossRef] [PubMed]
- Hosseinzadehdehkordi, M.; Adelinik, A.; Tashakor, A. Dual effect of curcumin targets reactive oxygen species, adenosine triphosphate contents and intermediate steps of mitochondria-mediated apoptosis in lung cancer cell lines. Eur. J. Pharmacol. 2015, 769, 203–210. [Google Scholar] [CrossRef] [PubMed]
- Song, X.; Zhang, M.; Dai, E.; Luo, Y. Molecular targets of curcumin in breast cancer (review). Mol. Med. Rep. 2018, 19, 23–29. [Google Scholar] [CrossRef] [PubMed] [Green Version]
- Sun, M.-X.; Yu, F.; Gong, M.-L.; Fan, G.-L.; Liu, C.-X. Effects of curcumin on the role of MMP-2 in endometrial cancer cell proliferation and invasion. Eur. Rev. Med. Pharmacol. Sci. 2018, 22, 5033–5041. [Google Scholar] [PubMed]
- Skrzypczak-Jankun, E.; Zhou, K.; McCabe, N.P.; Selman, S.H.; Jankun, J. Structure of curcumin in complex with lipoxygenase and its significance in cancer. Int. J. Mol. Med. 2003, 12, 17–24. [Google Scholar] [CrossRef] [PubMed]
- Duarte, V.M.; Han, E.; Veena, M.S.; Salvado, A.; Suh, J.D.; Liang, L.-J.; Faull, K.F.; Srivatsan, E.S.; Wang, M.B. Curcumin enhances the effect of cisplatin in suppression of head and neck squamous cell carcinoma via inhibition of IKKβ protein of the NFκB pathway. Mol. Cancer Ther. 2010, 9, 2665–2675. [Google Scholar] [CrossRef] [PubMed] [Green Version]
- Ghosh, S.; Banerjee, S.; Sil, P.C. The beneficial role of curcumin on inflammation, diabetes and neurodegenerative disease: A recent update. Food Chem. Toxicol. 2015, 83, 111–124. [Google Scholar] [CrossRef] [PubMed]
- Nakatake, R.; Hishikawa, H.; Matushima, H.; Nakamura, Y.; Ishizaki, M.; Matsui, K.; Kaibori, M.; Nishizawa, M.; Okumura, T.; Kon, M. Curcumin protects liver inflammation by suppressing expression of inducible nitric oxide synthase in primary cultured rat hepatocytes. Funct. Foods Health Dis. 2017, 7, 716. [Google Scholar] [CrossRef]
- Leu, T.-H.; Su, S.L.; Chuang, Y.-C.; Maa, M.-C. Direct inhibitory effect of curcumin on Src and focal adhesion kinase activity. Biochem. Pharmacol. 2003, 66, 2323–2331. [Google Scholar] [CrossRef]
- Reddy, S.; Aggarwal, B.B. Curcumin is a non-competitive and selective inhibitor of phosphorylase kinase. FEBS Lett. 1994, 341, 19–22. [Google Scholar] [CrossRef] [Green Version]
- Shetty, N.P.; Prabhakaran, M.; Srivastava, A.K. Pleiotropic nature of curcumin in targeting multiple apoptotic-mediated factors and related strategies to treat gastric cancer: A review. Phytother. Res. 2021. [Google Scholar] [CrossRef]
- Ezhang, X.; Echen, Q.; Ewang, Y.; Epeng, W.; Ecai, H. Effects of curcumin on ion channels and transporters. Front. Physiol. 2014, 5, 94. [Google Scholar] [CrossRef] [Green Version]
- Tabeshpour, J.; Banaeeyeh, S.; Eisvand, F.; Sathyapalan, T.; Hashemzaei, M.; Sahebkar, A. Effects of Curcumin on Ion Channels and Pumps: A Review. IUBMB Life 2019, 71, 812–820. [Google Scholar] [CrossRef]
- Lian, Y.-T.; Yang, X.-F.; Wang, Z.-H.; Yang, Y.; Yang, Y.; Shu, Y.-W.; Cheng, L.-X.; Liu, K. Curcumin serves as a human Kv1.3 blocker to inhibit effector memory T lymphocyte activities. Phytother. Res. 2012, 27, 1321–1327. [Google Scholar] [CrossRef] [PubMed]
- Öz, A.; Çelik, O. Curcumin inhibits oxidative stress-induced TRPM2 channel activation, calcium ion entry and apoptosis values in SH-SY5Y neuroblastoma cells: Involvement of transfection procedure. Mol. Membr. Biol. 2016, 33, 76–88. [Google Scholar] [CrossRef] [PubMed] [Green Version]
- Parikh, A.; Kathawala, K.; Song, Y.; Zhou, X.-F.; Garg, S. Curcumin-loaded self-nanomicellizing solid dispersion system: Part I: Development, optimization, characterization, and oral bioavailability. Drug Deliv. Transl. Res. 2018, 8, 1389–1405. [Google Scholar] [CrossRef]
- Homayouni, A.; Amini, M.; Sohrabi, M.; Varshosaz, J.; Nokhodchi, A. Curcumin nanoparticles containing poloxamer or soluplus tailored by high pressure homogenization using antisolvent crystallization. Int. J. Pharm. 2019, 562, 124–134. [Google Scholar] [CrossRef] [PubMed]









| General Classification of Inhibitor * | Name or Inhibitor (or Representative Example) | IC50 ** (µM) | Some Comments on Specificity | References | |
|---|---|---|---|---|---|
| Repurposed inhibitors of other ion channels | Gadolinium (Gd3+) | 0.27 | Inhibits many classes of ion channels | [97,98,99] | |
| Flufenamic acid (FFA) | 70 | Inhibits numerous TRP channels, Ca2+-activated Cl− channels, mitochondrial permeability transition pore | [96,100,101,102,103] | ||
| 2-(3-methylphenyl) aminobenzoic acid (3-MFA) | 76 | Inhibits numerous TRP channels | [102,104] | ||
| Econazole | 3–30 | Inhibits numerous TRP channels, and store-operated Ca2+ entry channels | [100,101,104] | ||
| Clotrimazole | 3–30 | Inhibits numerous TRP channels and Ca2+-activated potassium channels (KCa3.1), cytochrome P-450 and N-methyl D-aspartate receptors | [96,101,103,105] | ||
| N-(p-amylcinnamoyl) anthranilic acid (ACA) | 1.7 | Inhibits numerous TRP channels and Ca2+-activated chloride channels | [96,101,103] | ||
| (E)-2-(3-(3′-(Trifluoromethyl)-[1,1′-biphenyl]-4-yl)acrylamido)benzoic Acid (A23) (a derivative ACA) | 0.78 | Inhibits numerous TRP channels | [106] | ||
| 2-aminoethoxydiphenyl borate (2-APB) | 1 | Inhibits numerous TRP channels and store-operated Ca2+ entry channels | [96,107] | ||
| Analogues of endogenous TRPM2 ligands | Modifications of ADP-ribose: adenosine | 8-Br-ADPR (8-bromo substitution) | 300 | [96,108] | |
| 8-phenyl-ADPR (Adenosine modification with a bulky hydrophobic group) | 11 | [96,108,109] | |||
| 8-(3-thiophenyl)-ADPR (Adenosine modification with a bulky hydrophobic group) | 51 | [96,108,109] | |||
| 8-(3-Acetylphenyl)- ADPR (modification with a bulky hydrophobic group) | 49 | [96,108,109] | |||
| 8-Ph-2′-deoxy-ADPR (8-phenyl substitution of the adenine and 2′-deoxy modification at the adenosine ribose) | 3 | [96,108] | |||
| Modifications of ADP-ribose: pyrophosphate | 1″-O-Methyl-2″,2′,3″,3′-O-isopropylidene-5’-difluoromethylenediphosphoribose-2-chloroadenosine (7i) | 5.7 | Inhibits numerous TRP channels | [96,108,110] | |
| 1″-O-Methyl-2″,3″-O-isopropylidene-5’-methylenediphosphoribose adenosine (8a) | 5.4 | Inhibits numerous TRP channels | [96,108,110] | ||
| Modifications of ADP-ribose: terminal ribose | 1″-deoxy-ADPR (Removal of hydroxyl group from terminal ribose) | ND | [96,110] | ||
| 3″-deoxy-ADPR (Removal of hydroxyl group from terminal ribose) | ND | [96,110] | |||
| 1″- β-O-Me-2″,3″-O-iPr-ADPR (Masking all hydroxyl groups on the terminal ribose) | ND | [96,110] | |||
| α -1″-O-methyl-ADPR | ND | [96,111] | |||
| THF-ADP | ND | [96,111] | |||
| methyl-ADP | ND | [96,111] | |||
| Adenosine monophosphate (AMP) | 70 | [112] | |||
| 8-Br-cyclic ADPR (a cyclic ADPR analogue) | 100 | [112] | |||
| Peptide inhibitor | N-Tyr-Gly-Arg-Lys-Lys-Arg-Arg-Gln-Arg-Arg-Arg-Gly-Ser-Arg-Glu-Pro-Gly-Glu-Met-Leu-Pro-Arg-Lys-Leu-Lys-Arg-Val-Leu-Arg-Gln-Glu-Phe-Trp-Val-OH (tat-M2NX) | 0.40 | Designed to correspond to the C-terminal NUDT9-H domain | [96,103,113] | |
| Molecules identified by high throughput screening | Scalaradial | 0.21 | Inhibits TRPM7 channels | [96,114] | |
| Ethyl (3-[4-(trifluoromethyl)phenyl]-5,6,7,8-tetrahydrocyclohepta[c]pyrazol-1(4H)-yl)acetate (JNJ-28583113) | 0.013 | One of the most potent TRPM2 inhibitors so far discovered. Membrane permeable but rapidly metabolised in vivo | [96,104] | ||
| Molecules identified by high virtual screening | 2-(3-phenyl-1H-pyrazol-4-yl)-2,3-dihydroquinazolin-4(1H)-one (H1) (phenyl group at 3′-position of pyrazole ring) | 3.7–5.1 | [96,115] | ||
| 2,3-dihydro-quinazolin-4(1H)-one (D9) (It has naphthyl group at 3′-position of pyrazole ring, and C8 as Br) | 3.7 | [96,115] | |||
| Molecules identified by other approaches | 2-Cyano-3-(3,4-dihydroxyphenyl)-N-(benzyl)-2-propenamide, 2-Cyano-3-(3,4-dihydroxyphenyl)-N-(phenylmethyl)-2-propenamide (Tyrphostin, AG490) | 3.0 | Inhibits TRPM2 activation within 2 min of pretreatment but does not affect intracellular Ca2+ level during opening state of TRPM2 | [116] | |
| (E)-2-Cyano-3-(3,4-dihydroxyphenyl)-N-(3-phenylpropyl)-2-propenamide (AG555) | 2.1 | Stronger inhibitory effect on H2O2-induced TRPM2 activation than AG490 | [117,118] | ||
| (E)-2-Cyano-3-(3,4-dihydroxyphenyl)-N-(4-phenylbutyl)-2-propenamide (AG556) | 0.94 | Stronger inhibitory effect on H2O2-induced TRPM2 activation than AG490 | [117,118] | ||
| Curcumin ((1E,6E)-1,7-bis(4-hydroxy-3-methoxyphenyl)-1,6-heptadiene-3,5-dione) | 0.05 | Mechanism does not appear to involve direct block of the channel or a reduction in ROS | [119] | ||
| Biochemical Pathway | Examples of Proteins That Have Been Identified as Targets, or Putative Targets, of Curcumin Action | References | 
|---|---|---|
| Removal of reactive oxygen species (Predominantly pathways activated) | Catalase | [130,131] | 
| Superoxide dismutase | [130] | |
| Glutathione peroxidase | [130,131] | |
| Carbonyl reductase [NADPH] | [129,131] | |
| Peroxiredoxin-1 | [129] | |
| Quinone oxidoreductase | [129,132] | |
| Glutathione S-transferase | [129] | |
| Heme oxygenase-1 (HO-1) | [133,134] | |
| Glutathione S-transferase | [129,135] | |
| NAD(P)H dehydrogenase, quinone 1 | [129] | |
| NAD(P)H dehydrogenase, quinone 2 | [129] | |
| Cell proliferation pathways (Predominantly pathways inhibited) | Phospholipase C (PLC) | [136] | 
| Trophoblast cell surface antigen 2 | [137] | |
| miRNA-7 | [138] | |
| miRNA-let7c and miR-101 (via effects on EZH2 and NOTCH1) | [139] | |
| Apoptotic pathways (Predominantly pathways induced) | Cleavage inhibitor of apoptosis (CIAP) | [136,140] | 
| Fas-associated protein with death domain (FADD) | [136,140] | |
| FLICE-like inhibitory protein (FLIP) | [136,140] | |
| JAK–STAT signalling pathway | [141] | |
| WNT signalling pathway | [141] | |
| Protein C-ets-1 (ETS-1) | [141] | |
| Death-inducing signalling complex (DISC) | [136] | |
| X-linked inhibitor of apoptosis protein (XIAP) | [136] | |
| Caspase 3/7 | [142] | |
| Matrix metalloproteinase (MMP) (MMP-2, MMP-9) | [141,143,144] | |
| Inflammation and cytokine pathways (Predominantly pathways inhibited) | Lipoxygenase (LOX)/cyclooxygenase (COX) | [133,134,141,145] | 
| Nuclear factor-κB (NF-κB) | [141,143,146] | |
| Tumour necrosis factor α | [131] | |
| Interleukin 1 | [131] | |
| Interleukin 6 | [131] | |
| Signal transducer and activator of transcription (STAT) | [141,147] | |
| Cyclin D1 | [141,147] | |
| Inducible nitrogen oxide synthase (iNOS) | [148] | |
| Protein kinase signalling pathways (Activation or inhibition depends on cell conditions (normal vs. injured/transformed) and types)) | Focal adhesion kinase (FAK) | [149] | 
| Protein kinase (PK) C | [150] | |
| Phosphatidylinositol-3-kinase (PI3K) | [143] | |
| Mechanistic target or rapamycin (mTOR) | [140,143] | |
| Cyclin-dependent kinase (CDK) | [143] | |
| Mitogen activated protein kinase | [140] | |
| Inhibitor of κB kinase | [140] | |
| Protein kinase B (Akt) | [131] | |
| Growth factors signalling pathways (Activation or inhibition depends on cell conditions (normal vs. injured/transformed) and types)) | Human epidermal growth factor receptor 2 | [143] | 
| Vascular endothelial growth factor receptor (VEGFR) | [140,143] | |
| Vascular endothelial growth factor (VEGF) | [140,143] | |
| Fibroblast growth factor (FGF) | [136,140] | |
| Epidermal growth factor (EGF) | [136,140,151] | |
| Platelet-derived growth factor (PDGF) | [136] | |
| Ion channels and transporter signalling and biochemical pathways (Activation or inhibition depends on cell conditions (normal vs. injured/transformed) and types)) | High voltage-gated Ca2+ channels | [152] | 
| Cav2.2 and Cav2.1 | [152,153] | |
| Ca2+ release-activated Ca2+ (CRAC) channels | [152,153] | |
| Cystic fibrosis transmembrane conductance regulator (CFTR) | [152] | |
| Aquaporin 4 (AQP-4) | [152] | |
| Voltage-Gated Potassium Channel Kv1.3 (Kv1.3) | [152,154] | |
| ATP-binding cassette drug transporter | [152] | |
| Glucose transporter protein 2 GLUT2 | [152] | |
| Glucose transporter protein 4 (GLUT4) | [152] | |
| Transient receptor potential cation channel, subfamily M, member 2 (TRPM2) | [119] | 
| Publisher’s Note: MDPI stays neutral with regard to jurisdictional claims in published maps and institutional affiliations. | 
© 2021 by the authors. Licensee MDPI, Basel, Switzerland. This article is an open access article distributed under the terms and conditions of the Creative Commons Attribution (CC BY) license (https://creativecommons.org/licenses/by/4.0/).
Share and Cite
Ali, E.S.; Rychkov, G.Y.; Barritt, G.J. TRPM2 Non-Selective Cation Channels in Liver Injury Mediated by Reactive Oxygen Species. Antioxidants 2021, 10, 1243. https://doi.org/10.3390/antiox10081243
Ali ES, Rychkov GY, Barritt GJ. TRPM2 Non-Selective Cation Channels in Liver Injury Mediated by Reactive Oxygen Species. Antioxidants. 2021; 10(8):1243. https://doi.org/10.3390/antiox10081243
Chicago/Turabian StyleAli, Eunus S., Grigori Y. Rychkov, and Greg J. Barritt. 2021. "TRPM2 Non-Selective Cation Channels in Liver Injury Mediated by Reactive Oxygen Species" Antioxidants 10, no. 8: 1243. https://doi.org/10.3390/antiox10081243
APA StyleAli, E. S., Rychkov, G. Y., & Barritt, G. J. (2021). TRPM2 Non-Selective Cation Channels in Liver Injury Mediated by Reactive Oxygen Species. Antioxidants, 10(8), 1243. https://doi.org/10.3390/antiox10081243
 
         
                                                



 
       