Exploring the 3,5-Dibromo-4,6-dimethoxychalcones and Their Flavone Derivatives as Dual α-Glucosidase and α-Amylase Inhibitors with Antioxidant and Anticancer Potential
Abstract
1. Introduction
2. Materials and Methods
2.1. Materials and Instrumentation
2.2. A Typical Method for the Synthesis of Chalcone Derivatives 2a–f
- (E)-1-(3,5-Dibromo-2-hydroxy-4,6-dimethoxyphenyl)-3-phenylprop-2-en-1-one (2a)
- (E)-1-(3,5-Dibromo-2-hydroxy-4,6-dimethoxyphenyl)-3-(4-fluorophenyl)prop-2-en-1-one (2b)
- (E)-1-(3,5-Dibromo-2-hydroxy-4,6-dimethoxyphenyl)-3-(4-chlorophenyl)prop-2-en-1-one (2c)
- (E)-1-(3,5-Dibromo-2-hydroxy-4,6-dimethoxyphenyl)-3-(4-methoxyphenyl)prop-2-en-1-one (2d)
- (E)-1-(3,5-Dibromo-2-hydroxy-4,6-dimethoxyphenyl)-3-(p-tolyl)prop-2-en-1-one (2e)
- (E)-1-(3,5-Dibromo-2-hydroxy-4,6-dimethoxyphenyl)-3-(4-isopropylphenyl)prop-2-en-1-one (2f)
2.3. Typical Method for the Synthesis of the 6,8-Dibromo-5,7-dimethoxyflavones 3a–f
- 6,8-Dibromo-5,7-dimethoxy-2-phenyl-4H-chromen-4-one (3a)
- 6,8-Dibromo-2-(4-fluorophenyl)-5,7-dimethoxy-4H-chromen-4-one (3b)
- 6,8-Dibromo-2-(4-chlorophenyl)-5,7-dimethoxy-4H-chromen-4-ONE (3c)
- 6,8-Dibromo-5,7-dimethoxy-2-(4-methoxyphenyl)-4H-chromen-4-one (3d)
- 6,8-Dibromo-5,7-dimethoxy-2-(p-tolyl)-4H-chromen-4-one (3e)
- 6,8-Dibromo-5,7-dimethoxy-2-(4-isopropylphenyl)-4H-chromen-4-one (3f)
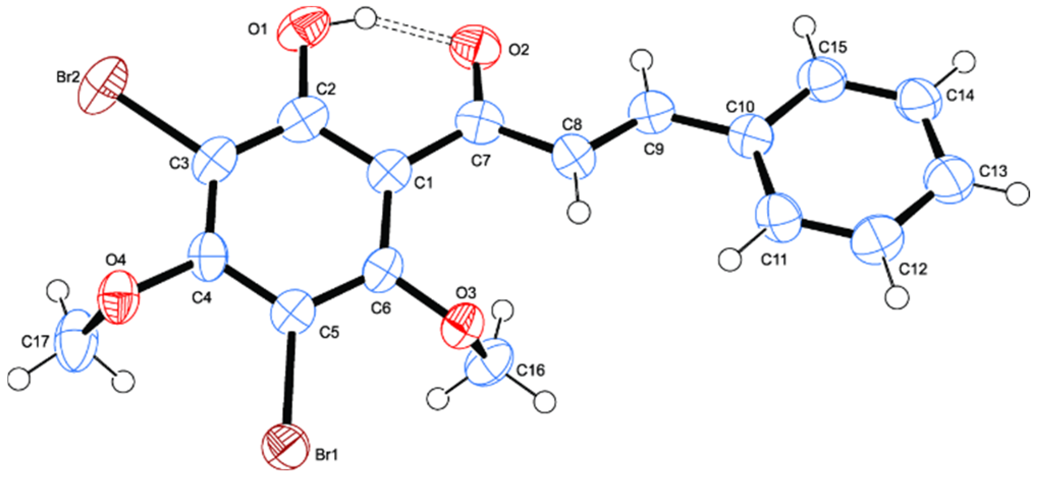
2.4. Single-Crystal X-ray Diffraction Data Collection and Refinement for 2a
2.5. Enzyme Inhibition Studies
2.5.1. In Vitro α-Glucosidase Inhibitory Assay of 2a–f and 3a–f
2.5.2. In Vitro α-Amylase Inhibitory Assay of Selected Compounds 2 and 3
2.6. Antioxidant Activity Assays of 2a–f and 3a–f
2.6.1. Nitric Oxide (NO) Free Radical Scavenging Assays of 2a–f and 3a–f
2.6.2. An In Vitro SOD Inhibitory Assay on Compounds 2a, 2b, 2c, 3a, 3c, 3e and 3f
2.6.3. Metal Ions (Zn2+ and/or Cu2+) Chelation Assays on 3c and Quercetin
2.7. Cytotoxicity Studies of 2a–c, 3a, 3c, 3e and 3f
2.8. Molecular Docking Studies of 2a–f and 3a–f into α-Glucosidase and α-Amylase
2.9. Pharmacokinetic of Compounds 2a–f and 3a–f
3. Results and Discussion
3.1. Chemical Synthesis and Characterization of the Chalcones and Flavone Derivatives
3.2. Biological Activity Evaluation of Chalcones (2a–f) and Flavones (3a–f) with SAR
3.2.1. Inhibition of α-Glucosidase
3.2.2. Inhibition of α-Amylase
3.2.3. Evaluation of Compounds 2 and 3 for Nitric Oxide Radical Scavenging Activity
3.2.4. Inhibition or Activation of SOD
3.2.5. Metal Complexation of Flavone 3c
3.2.6. Proposed Mechanism for the Metal Ion Chelation of 3
3.3. Cytotoxicity Assay of the Chalcones 2 and Flavone Derivatives 3
3.4. Molecular Docking (In Silico) Studies
4. Conclusions
Supplementary Materials
Author Contributions
Funding
Institutional Review Board Statement
Informed Consent Statement
Data Availability Statement
Acknowledgments
Conflicts of Interest
References
- Chaudhury, A.; Duvoor, C.; Dendi, V.S.R.; Kraleti, S.; Chada, A.; Ravilla, R.; Marco, A.; Shekhawat, N.S.; Montales, M.T.; Kuriakose, K.; et al. Clinical review of antidiabetic drugs: Implications for type 2 diabetes mellitus, management. Front. Endocrinol. 2017, 8, 6. [Google Scholar] [CrossRef]
- Gong, L.; Feng, D.; Wang, T.; Ren, Y.; Liu, Y.; Wang, J. Inhibitors of α-amylase and α-glucosidase: Potential linkage for whole cereal foods on prevention of hyperglycemia. Food Sci. Nutr. 2020, 8, 6320–6337. [Google Scholar] [CrossRef]
- Kashtoh, H.; Baek, K.-H. New insights into the latest advancement in α-amylase inhibitors of plant origin with anti-diabetic effects. Plants 2023, 12, 2944. [Google Scholar] [CrossRef]
- Lam, T.-P.; Tran, N.-V.N.; Pham, L.-H.D.; Lai, N.V.-T.; Dang, B.-T.N.; Truong, N.-L.N.; Nguyen-Vo, S.-K.; Hoang, T.-L.; Mai, T.T.; Tran, T.-D. Flavonoids as dual-target inhibitors against α-glucosidase and α-amylase: A systematic review of in vitro studies. Nat. Prod. Bioprospect. 2024, 14, 4. [Google Scholar] [CrossRef]
- Mai, T.T.; Phan, M.-H.; Thai, T.T.; Lam, T.-P.; Lai, N.V.-T.; Nguyen, T.-T.; Nguyen, T.-V.-P.; Vo, C.-V.T.; Thai, K.-M.; Tran, T.-D. Discovery of novel flavonoid derivatives as potential dual inhibitors against α-glucosidase and α-amylase: Virtual screening, synthesis, and biological evaluation. Mol. Divers. 2024, 28, 1629–1650. [Google Scholar]
- Proenҫa, C.; Freitas, M.; Ribeiro, D.; Oliveira, E.F.T.; Sousa, J.L.C.; Tomė, S.M.; Ramos, M.J.; Silva, A.M.S.; Fernandes, P.A.; Fernandes, E. α-Glucosidase inhibition by flavonoids: An in vitro and in silico structure–activity relationship study. J. Enzyme Inhib. Med. Chem. 2017, 32, 1216–1228. [Google Scholar] [CrossRef]
- Kumar, S.; Narwal, S.; Kumar, V.; Prakash, O. α-glucosidase inhibitors from plants: A natural approach to treat diabetes. Pharmacogn. Rev. 2011, 5, 19–29. [Google Scholar] [CrossRef]
- Ighodaro, O.M. Molecular pathways associated with oxidative stress in diabetes mellitus. Biomed. Pharmacother. 2018, 108, 656–662. [Google Scholar] [CrossRef]
- Bhatti, J.S.; Sehrawat, A.; Mishra, J.; Sidhu, I.S.; Navik, U.; Khullar, N.; Kumar, S.; Bhatti, G.K.; Reddy, P.H. Oxidative stress in the pathophysiology of type 2 diabetes and related complications: Current therapeutics strategies and future perspectives. Free Radic. Biol. Med. 2022, 184, 114–134. [Google Scholar] [CrossRef]
- Abudawood, M. Diabetes and cancer: A comprehensive review. J. Res. Med. Sci. 2019, 24, 94. [Google Scholar] [CrossRef]
- Pili, R.; Chang, J.; Partis, R.A.; Mueller, R.A.; Chrest, F.J.; Passaniti, A. The α-glucosidase I inhibitor castanospermine alters endothelial cell glycosylation, prevents angiogenesis, and inhibits tumor growth. Cancer Res. 1995, 55, 2920–2926. [Google Scholar]
- Samuel, S.M.; Varghese, E.; Varghese, S.; Büsselberg, D. Challenges and perspectives in the treatment of diabetes associated breast cancer. Cancer Treat. Rev. 2018, 70, 98–111. [Google Scholar] [CrossRef]
- Jasim, H.A.; Nahar, L.; Jasim, M.A.; Moore, S.A.; Ritchie, K.J.; Sarker, S.D. Chalcones: Synthetic chemistry follows where nature leads. Biomolecules 2021, 11, 1203. [Google Scholar] [CrossRef]
- Singh, M.; Kaur, M.; Silakari, O. Flavones: An important scaffold for medicinal chemistry. Eur. J. Med. Chem. 2014, 18, 206–239. [Google Scholar] [CrossRef]
- Naz, S.; Imran, M.; Rauf, A.; Orhan, I.E.; Shariati, M.A.; Iahtisham-Ul-Haq; IqraYasmin; Shahbaz, M.; Qaisrani, T.B.; Shah, Z.A.; et al. Chrysin: Pharmacological and therapeutic properties. Life Sci. 2019, 235, 116797. [Google Scholar] [CrossRef]
- Hairani, R.; Chavasiri, W. A new series of chrysin derivatives as potent non-saccharide α-glucosidase inhibitors. Fitoterapia 2022, 163, 105301. [Google Scholar] [CrossRef]
- Gao, S.; Siddiqui, N.; Etim, I.; Du, T.; Zhang, Y.; Liang, D. Developing nutritional component chrysin as a therapeutic agent: Bioavailability and pharmacokinetics consideration, and ADME mechanisms. Biomed. Pharmacother. 2021, 142, 112080. [Google Scholar] [CrossRef]
- Liu, Y.; Song, X.; He, J.; Zheng, X.; Wu, H. Synthetic derivatives of chrysin and their biological activities. Med. Chem. Res. 2014, 23, 555–563. [Google Scholar] [CrossRef]
- Walle, T. Methylation of dietary flavones increases their metabolic stability and chemopreventive effects. Int. J. Mol. Sci. 2009, 10, 5002–5019. [Google Scholar] [CrossRef]
- Walle, T. Methoxylated flavones, a superior cancer chemopreventive flavonoid subclass? Semin. Cancer Biol. 2007, 17, 354–362. [Google Scholar] [CrossRef]
- Tung, Y.; Chou, Y.; Hung, W.; Cheng, A.; Yu, R.; Ho, C.; Pan, M.-H. Polymethoxyflavones: Chemistry and molecular mechanisms for cancer prevention and treatment. Curr. Pharmacol. Rep. 2019, 5, 98–113. [Google Scholar] [CrossRef]
- Berim, A.; Gang, D.R. Methoxylated flavones: Occurrence, importance, biosynthesis. Phytochem. Rev. 2016, 15, 363–390. [Google Scholar] [CrossRef]
- Kumar, V.; Kumar, S.; Rani, P. Pharmacophore modeling and 3D-QSAR studies on flavonoids as α-glucosidase inhibitors. Pharma Chem. 2010, 2, 324–335. [Google Scholar]
- Zheng, X.; Meng, W.D.; Xu, Y.Y.; Cao, J.G.; Qing, F.L. Synthesis and anticancer effect of chrysin derivatives. Bioorg. Med. Chem. Lett. 2003, 13, 881–884. [Google Scholar] [CrossRef]
- Walle, T.; Ta, N.; Kawamori, T.; Wen, X.; Tsuji, P.A.; Walle, U.K. Cancer chemopreventive properties of orally bioavailable flavonoids– methylated versus unmethylated flavones. Biochem. Pharmacol. 2007, 73, 1288–1296. [Google Scholar] [CrossRef]
- Kleinova, A.; Biela, M.; Lukes, V.; Klein, F. Thermodynamics of demethylation of polymethoxyflavones: Implications for antioxidant and photoprotective activity. J. Mol. Struct. 2024, 1303, 137646. [Google Scholar] [CrossRef]
- Jornada, D.H.; dos Santos Fernandes, G.F.; Chiba, D.E.; de Melo, T.R.F.; dos Santos, J.L.; Chung, M.C. The prodrug approach: A successful tool for improving drug solubility. Molecules 2016, 21, 42. [Google Scholar] [CrossRef]
- Chiodi, D.; Ishihara, Y. The role of the methoxy group in approved drugs. Eur. J. Med. Chem. 2024, 273, 116364. [Google Scholar] [CrossRef]
- Lu, Y.; Wang, Y.; Zhu, W. Nonbonding interactions of organic halogens in biological systems: Implications for drug discovery and biomolecular design. Phys. Chem. Chem. Phys. 2010, 12, 4543–4551. [Google Scholar] [CrossRef]
- Zheng, M.; Liu, Y.; Zhang, G.; Yang, Z.; Xu, W.; Chen, Q. The applications and mechanisms of superoxide dismutase in medicine, food, and cosmetics. Antioxidants 2023, 12, 1675. [Google Scholar] [CrossRef]
- Śtellerová, D.; Michalík, M.; Lukeš, V. Methoxylated flavones with potential therapeutic and photo-protective attributes: Theoretical investigation of substitution effect. Phytochemistry 2022, 203, 113387. [Google Scholar] [CrossRef]
- Sarowar, C.H.; Moran, G.; Willett, G.D. A study of divalent metal cations Cu2+, Zn2+ and Pb2+ attachment to 3-hydroxyflavone, 5-hydroxyflavone and 5-methoxyflavone by nanoelectrospray ionization LTQ Orbitrap mass spectrometry. Int. J. Mass Spectrom. 2013, 333, 44–54. [Google Scholar] [CrossRef]
- Cechinel-Filhol, V.; Vaz, Z.R.; Zunino, L.; Calixtoz, J.B.; Yunes, R.A. Synthesis of xanthoxyline derivatives with antinociceptive and antioedematogenic activities. Eur. J. Med. Chem. 1996, 31, 833–839. [Google Scholar] [CrossRef]
- Farrugia, L.J. WinGX and ORTEP for Windows an update. J. Appl. Crystallogr. 2012, 245, 849–854. [Google Scholar] [CrossRef]
- Sheldrick, G.M. SHELXT-Integrated space-group and crystal-structure determination. Acta Crystallogr. 2015, A71, 3–8. [Google Scholar] [CrossRef]
- Sheldrick, G.M. SHELXL-2017/1. Acta Crystallogr. 2015, C71, 3–8. [Google Scholar] [CrossRef]
- Spek, A.L. Structure validation in chemical crystallography. Acta Crystallogr. 2009, D65, 148–155. [Google Scholar] [CrossRef]
- Mphahlele, M.J.; Nkoana, J.K.; Gildenhuys, S.; Elhenawy, A.A. Structure and biological property studies of the fluorinated sulfonic esters derived from 2-hydroxy-4-(hydroxy/methoxy)acetophenone as inhibitors of biochemical targets linked to type 2 diabetes mellitus. J. Fluorine Chem. 2024, 272, 110233. [Google Scholar] [CrossRef]
- Mphahlele, M.J.; Magwaza, N.M.; More, G.K.; Elhenawy, A.A. Synthesis, structure of the N-(alkyl/arylsulfonyl) substituted 5-(bromo/iodo)-3-methylindazoles and bioactivity screening against some of the biochemical targets linked to type 2 diabetes mellitus. J. Mol. Struct. 2024, 1312 Pt 2, 138636. [Google Scholar] [CrossRef]
- Nkoana, J.K.; Mphahlele, M.J.; More, G.K.; Elhenawy, A.A. Synthesis and in vitro exploration of the 8-carbo substituted 5-methoxyflavones as anti-breast and anti-lung cancer agents targeting protein kinases (VEGFR-2 & EGFR). Bioorg. Chem. 2024, 153, 107875. [Google Scholar]
- Morris, G.M.; Huey, R.; Lindstrom, W.; Sanner, M.F.; Belew, R.K.; Goodsell, D.S.; Olson, A.J. AutoDock4 and AutoDockTools4: Automated docking with selective receptor flexibility. J. Comput. Chem. 2009, 40, 2785–2791. [Google Scholar] [CrossRef]
- Hanwell, M.D.; Curtis, D.E.; Lonie, D.C.; Vandermeersch, T.; Zurek, E.; Hutchison, G.R. Avogadro: An advanced semantic chemical editor, visualization, and analysis platform. J. Cheminform. 2012, 4, 17. [Google Scholar] [CrossRef]
- Adasme, M.F.; Linnemann, K.L.; Bolz, S.N.; Kaiser, F.; Salentin, S.; Haupt, V.J.; Schroeder, M. PLIP 2021: Expanding the scope of the protein–ligand interaction profiler to DNA and RNA. Nucleic Acids Res. 2021, 49, W530–W534. [Google Scholar] [CrossRef]
- Leonte, D.; Ungureanu, D.; Zaharia, V. Flavones and related compounds: Synthesis and biological activity. Molecules 2023, 28, 6528. [Google Scholar] [CrossRef]
- Kendrew, K.W.; Wing-Fat, C.; Ka-Ying, L.; Wai-Yee, L.; Weng-Cheong, N.; Siu-Fung, L. Probing the rate-determining step of the Claisen-Schmidt condensation by competition reactions. J. Chem. Educ. 2007, 84, 1819. [Google Scholar]
- Rosenthal, J.; Schuster, D.I. The anomalous reactivity of fluorine in electrophilic aromatic substitution and related phenomena. J. Chem. Educ. 2003, 80, 679. [Google Scholar]
- Santos, C.M.M.; Silva, A.M.M. Transition metal-catalyzed transformations of chalcones. Chem. Rec. 2024, 24, e202400060. [Google Scholar] [CrossRef]
- Hansen, E.; Spanget-Larsen, J. NMR and IR investigations of strong intramolecular hydrogen bonds. Molecules 2017, 22, 552. [Google Scholar] [CrossRef]
- Bassi, D.; Corbo, C.; Lubich, l.; Oss, S.; Scotoni, M. Infrared spectroscopy of the C–H stretching modes of partially F-substituted benzenes. III. The first overtone of fluorobenzene. J. Chem. Phys. 1997, 107, 1106–1114. [Google Scholar] [CrossRef]
- Rezai, T.; Bock, J.A.; Zhou, M.V.; Kalyanraman, C.; Loky, R.; Jacobson, M. Conformational flexibility, internal hydrogen bonding, and passive membrane permeability: Successful in silico prediction of the relative permeabilities of cyclic peptides. J. Am. Chem. Soc. 2006, 128, 14073–14080. [Google Scholar] [CrossRef]
- Rocha, S.; Sousa, A.; Ribeiro, D.; Correia, C.M.; Silva, V.L.M.; Santos, C.M.M.; Silva, A.M.S.; Araujo, A.N.; Fernades, E.; Freitus, M. A study towards drug discovery for the management of type 2 diabetes mellitus through inhibition of the carbohydrate-hydrolyzing enzymes α-amylase and α-glucosidase by chalcone derivatives. Food Funct. 2019, 10, 5510–5520. [Google Scholar] [CrossRef]
- Mahapatra, D.K.; Asati, V.; Bharti, S.K. Chalcones and their therapeutic targets for the management of diabetes: Structural and pharmacological perspectives. Eur. J. Med. Chem. 2015, 92, 839–865. [Google Scholar] [CrossRef]
- Dewi, R.M.; Megawati, M.; Antika, L.D. Antidiabetic properties of dietary chrysin: A cellular mechanism review. Mini Rev. Med. Chem. 2022, 22, 1450–1457. [Google Scholar] [CrossRef]
- Naumann, K. Influence of chlorine substituents on biological activity of chemicals: A review. Pest. Manag. Sci. 2000, 56, 3–21. [Google Scholar] [CrossRef]
- Pinheiro, P.d.S.M.; Franco, L.S.; Fraga, C.A.M. The magic methyl and its tricks in drug discovery and development. Pharmaceuticals 2023, 16, 1157. [Google Scholar] [CrossRef]
- Sheen, A.J. Is there a role for α-glucosidase inhibitors in the prevention of type 2 diabetes mellitus? Drugs 2003, 63, 933–951. [Google Scholar] [CrossRef]
- Csermely, P.; Agoston, V.; Pongor, S. The efficiency of multi-target drugs: The network approach might help drug design. Trends Pharm. Sci. 2005, 26, 178–182. [Google Scholar] [CrossRef]
- Sadasivam, M.; Kumarasamy, C.; Thangaraj, A.; Govindan, M.; Kasirajan, G.; Vijayan, V.; Devadasan, V.; Chia-Her, L.; Madhusudhanan, G.R.; Ramarajd, T.; et al. Phytochemical constituents from dietary plant Citrus hystrix. Nat. Prod. Res. 2018, 32, 1721–1726. [Google Scholar] [CrossRef]
- Li, C.; Begum, A.; Numao, S.; Park, K.H.; Withers, S.G.; Brayer, G.D. Acarbose rearrangement mechanism implied by the kinetic and structural analysis of human pancreatic α-amylase in complex with analogues and their elongated counterparts. Biochemistry 2005, 44, 347–3357. [Google Scholar] [CrossRef]
- Vieira, R.; Souto, S.B.; Sánchez-López, E.; Machado, A.L.; Severino, P.; Jose, S.; Santini, A.; Silva, A.M.; Fortuna, A.; García, M.L.; et al. Sugar-lowering drugs for type 2 diabetes mellitus and metabolic syndrome- Review of classical and new compounds: Part-I. Pharmaceuticals 2019, 12, 152. [Google Scholar] [CrossRef]
- Chang, J.; Block, T.M.; Guo, J.-T. Antiviral therapies targeting host ER alpha-glucosidases: Current status and future directions. Antivir. Res. 2013, 99, 251–260. [Google Scholar] [CrossRef]
- Atsumi, S.; Nosaka, C.; Ochi, Y.; Linuma, H.; Umezawa, K. Inhibition of experimental metastasis by an α-glucosidase inhibitor, 1,6-epicyclophellitol. Cancer Res. 1993, 53, 4896–4899. [Google Scholar]
- Flora, S.J.S. Structural, chemical and biological aspects of antioxidants for strategies against metal and metalloid exposure. Oxid. Med. Cell. Long. 2009, 2, 191–206. [Google Scholar] [CrossRef]
- Lundberg, J.O.; Weitzberg, E. Nitric oxide signaling in health and disease. Cell 2022, 85, 2853–2878. [Google Scholar] [CrossRef]
- Spiegel, M.; Andruniów, T.; Sroka, Z. Flavones’ and flavonols’ antiradical structure–activity relationship—A quantum chemical study. Antioxidants 2020, 9, 461. [Google Scholar] [CrossRef]
- Heijnen, C.G.; Haenen, G.R.M.M.; Oostveen, R.M.; Stalpers, E.M.; Bast, A. Protection of flavonoids against lipid peroxidation: The structure activity relationship revisited. Free Radic. Res. 2002, 36, 575–581. [Google Scholar] [CrossRef]
- Famuyiwa, S.O.; Sanusi, K.; Faloye, K.O.; Yimaz, Y.; Ceylan, Ü. Antidiabetic and antioxidant activities: Is there any link between them? New J. Chem. 2019, 43, 13326–13329. [Google Scholar] [CrossRef]
- Huang, P.; Feng, L.; Oldham, E.A.; Keating, M.J.; Plunkett, W. Superoxide dismutase as a target for the selective killing of cancer cells. Nature 2000, 40, 390–395. [Google Scholar] [CrossRef]
- Li, B.; Yang, M.; Liu, J.W.; Yin, G.T. Protective mechanism of quercetin on acute myocardial infarction in rats. Genet. Mol. Res. 2016, 15, 15017117. [Google Scholar] [CrossRef]
- Gęgotek, A.; Skrzydlewska, E. Antioxidative and anti-inflammatory activity of ascorbic acid. Antioxidants 2022, 11, 1993. [Google Scholar] [CrossRef]
- Younus, H. Therapeutic potentials of superoxide dismutase. Int. J. Health Sci. 2018, 12, 88–93. [Google Scholar]
- Gulcin, İ.; Alwasel, S.H. Metal ions, metal chelators and metal chelating assay as antioxidant method. Processes 2022, 10, 132. [Google Scholar] [CrossRef]
- Pȩkal, A.; Biesaga, M.; Pyrzynska, K. Interaction of quercetin with copper ions: Complexation, oxidation and reactivity towards radicals. Biometals 2011, 24, 41–49. [Google Scholar] [CrossRef]
- Mira, L.; Fernandez, M.T.; Santos, M.; Rocha, R.; Florencio, M.H.; Jennings, K.R. Interactions of flavonoids with iron and copper ions: A mechanism for their antioxidant activity. Free Radic. Res. 2002, 36, 1199–1208. [Google Scholar] [CrossRef]
- Vander Heiden, M.G.; Cantley, L.C.; Thompson, C.B. Understanding the Warburg effect: The metabolic requirements of cell proliferation. Science 2009, 324, 1029–1033. [Google Scholar] [CrossRef]
- Liao, Y.-F.; Yin, S.; Chen, Z.-Q.; Li, F.; Zhao, B. High glucose promotes tumor cell proliferation and migration in lung adenocarcinoma via the RAGE NOXs pathway. Mol. Med. Rep. 2018, 17, 8536–8541. [Google Scholar]
- Reyes-Farias, M.; Carrasco-Pozo, C. The anti-cancer effect of quercetin: Molecular implications in cancer metabolism. Int. J. Mol. Sci. 2019, 20, 3177. [Google Scholar] [CrossRef]
- Thakkar, D.; Sanskriti Singh, S.; Wairkar, S. Advanced delivery strategies of nintedanib for lung disorders and beyond: A comprehensive review. AAPS PharmSciTech 2024, 25, 150. [Google Scholar] [CrossRef]
- Liu, C.-H.; Huang, T.-T.; Chu, P.-Y.; Huang, C.-T.; Lee, C.-H.; Wang, W.L.; Lau, K.Y.; Tsai, W.C.; Chao, T.I.; Su, J.C.; et al. The tyrosine kinase inhibitor nintedanib activates SHP-1 and induces apoptosis in triple-negative breast cancer cells. Exp. Mol. Med. 2017, 49, e366. [Google Scholar] [CrossRef]
- Gomes, L.M.; Moysés, D.A.; Nascimento, H.F.S.; Mota, T.C.; Bonfim, L.T.; Cardoso, P.C.S.; Burbano, R.M.R.; Bahia, M.O. Genotoxic and cytotoxic effects of the drug dipyrone sodium in African green monkey kidney (Vero) cell line exposed in vitro. Naunyn-Schmiedeberg’s Arch. Pharmacol. 2021, 394, 1529–1535. [Google Scholar] [CrossRef]
- Dos Santos, C.R.M.; Mota, T.C.; Guimarães, A.C.; Bonfim, L.T.; Burbano, R.R.; De Oliveira Bahia, M. Cytotoxic and genotoxic effects of fluconazole on African Green Monkey Kidney (Vero) cell line. BioMed. Res. Int. 2018, 2018, 6271547. [Google Scholar]
- Menezes, C.; Valério, E.; Dias, E. The kidney Vero-E6 cell line: A suitable model to study the toxicity of microcystins. In New Sights into Toxicity and Drug Testing; InTechOpen: Rijeka, Croatia, 2013; Volume 2, pp. 29–48. [Google Scholar]
- Srivastava, R. Theoretical studies on the molecular properties, toxicity, and biological efficacy of 21 new chemical entities. ACS Omega 2021, 6, 24891–24901. [Google Scholar] [CrossRef]
- Lim, J.; Ferruzzi, M.G.; Hamaker, B.R. Structural requirements of flavonoids for the selective inhibition of α-amylase versus α-glucosidase. Food Chem. 2022, 370, 130. [Google Scholar] [CrossRef]
- Adinortey, C.A.; Kwarko, G.B.; Koranteng, R.; Boison, D.; Obuaba, I.; Wilson, M.D.; Kwofie, S.K. Molecular structure-based screening of the constituents of Calotropis procera identifies potential inhibitors of diabetes mellitus target alpha glucosidase. Curr. Issues Mol. Biol. 2022, 44, 963–987. [Google Scholar] [CrossRef]
- Shinda, N.K.; De Brevern, A.G.; Schmidtk, P. Halogens in protein-ligand binding mechanism: A structural perspective. J. Med. Chem. 2019, 62, 9341–9356. [Google Scholar] [CrossRef]
- Li, S.; Pan, M.-H.; Lo, C.-Y.; Tan, D.; Wang, Y.; Shahidi, F.; Ho, C.T. Chemistry and health effects of polymethoxyflavones and hydroxylated polymethoxyflavones. J. Funct. Foods 2009, 1, 2–12. [Google Scholar] [CrossRef]
- Banerjee, P.; Kemmler, E.; Dunkel, M.; Preissner, R. ProTox 3.0: A webserver for the prediction of toxicity of chemicals. Nucleic Acids Res. 2024, 52, W513–W520. [Google Scholar] [CrossRef]







| Compounds | IC50 (μM ± SD) | |||
|---|---|---|---|---|
| α-Glucosidase | α-Amylase | NO | SOD | |
| 2a | 14.5 ± 0.010 | 7.3 ± 0.110 | 11.0 ± 0.010 | 11.5 ± 0.01 |
| 2b | 7.3 ± 0.004 | 6.5 ± 0.070 | 6.5 ± 0.005 | 9.3 ± 0.03 |
| 2c | 12.3 ± 0.003 | 18.0 ± 0.060 | 28.0 ± 0.003 | 8.3 ± 0.04 |
| 2d | 16.3 ± 0.020 | - | 9.5 ± 0.004 | - |
| 2e | 27.4 ± 0.020 | - | 16.1.0 ± 0.030 | - |
| 2f | 23.6 ± 0.100 | - | 17.4 ± 0.015 | - |
| 3a | 14.2 ± 0.005 | 4.9 ± 0.190 | 16.7.0 ± 0.006 | 12.6 ± 0.04 |
| 3b | 19.5 ± 0.005 | - | 5.4 ± 0.002 | - |
| 3c | 0.8 ± 0.002 | 6.3 ± 0.120 | 4.7 ± 0.020 | 24.2 ± 0.05 |
| 3d | 15.2 ± 0.002 | - | 5.3 ± 0.005 | - |
| 3e | 10.9 ± 0.007 | 25.4 ± 0.040 | 13.3 ± 0.080 | 9.6 ± 0.02 |
| 3f | 5.6 ± 0.006 | 28.0 ± 0.060 | 12.1 ± 0.070 | 15.1 ± 0.05 |
| Acarbose | 8.3 ± 0.002 | 5.2 ± 0.330 | - | - |
| Quercetin | - | - | 4.8 ± 0.010 | 22.0 ± 0.04 |
| Ascorbic acid | - | - | - | 10.2 ± 0.20 |
| Compounds | IC50 (μM ± SD) | ||
|---|---|---|---|
| MCF-7 | A549 | Vero | |
| 2a | 4.12 ± 0.55 | 7.40 ± 0.67 | 6.04 ± 0.54 |
| 2b | 12.11 ± 0.72 | 18.65 ± 0.89 | 25.00 ± 1.09 |
| 2c | 15.07 ± 0.91 | 9.68 ± 0.80 | 20.28 ± 1.01 |
| 3a | 8.50 ± 0.82 | 12.38 ± 0.97 | 16.23 ± 0.91 |
| 3c | 5.10 ± 0.61 | 11.66 ± 1.00 | 28.09 ± 1.29 |
| 3e | 6.96 ± 0.66 | 6.42 ± 0.79 | 9.45 ± 0.79 |
| 3f | 10.66 ± 1.02 | 16.15 ± 1.15 | 11.73 ± 1.02 |
| Quercetin | 35.40 ± 1.78 | 35.38 ± 1.78 | 45.56 ± 1.80 |
| Nintedanib | 0.53 ± 0.11 | 0.74 ± 0.15 | 0.89 ± 0.18 |
| Properties | Compound | |||||||||||
|---|---|---|---|---|---|---|---|---|---|---|---|---|
| 2a | 2b | 2c | 2d | 2e | 2f | 3a | 3b | 3c | 3d | 3e | 3f | |
| Number of atoms | 23 | 24 | 24 | 25 | 24 | 26 | 23 | 24 | 24 | 25 | 24 | 26 |
| Rotatable bonds | 5 | 5 | 5 | 6 | 5 | 6 | 3 | 5 | 5 | 6 | 5 | 6 |
| Topological polar surface area (TPSA; Å) | 55.77 | 55.77 | 55.77 | 65.00 | 55.77 | 55.77 | 48.68 | 55.77 | 55.77 | 65.00 | 55.77 | 55.77 |
| Absorption (%) [109 − (0.345 × TPSA)] | 89.76 | 89.76 | 89.76 | 86.58 | 89.76 | 89.76 | 92.21 | 89.76 | 89.76 | 86.58 | 89.76 | 89.76 |
| Molecular volume | 296.73 | 301.66 | 310.27 | 322.28 | 313.29 | 346.68 | 286.86 | 301.66 | 310.27 | 322.28 | 313.29 | 346.68 |
| Hydrogen bond donor | 4 | 4 | 4 | 5 | 4 | 4 | 4 | 4 | 4 | 5 | 4 | 4 |
| Hydrogen bond acceptor | 1 | 1 | 1 | 1 | 1 | 1 | 0 | 1 | 1 | 1 | 1 | 1 |
| Molecular weight | 442.10 | 460.09 | 476.55 | 472.13 | 456.13 | 484.18 | 440.09 | 460.09 | 476.55 | 472.13 | 456.13 | 484.18 |
| miLogP | 5.04 | 5.20 | 5.71 | 5.09 | 5.48 | 6.55 | 5.23 | 5.20 | 5.71 | 5.09 | 5.48 | 6.55 |
| Lipinski’s violation | 1 | 1 | 1 | 1 | 1 | 1 | 1 | 1 | 1 | 1 | 1 | 1 |
Disclaimer/Publisher’s Note: The statements, opinions and data contained in all publications are solely those of the individual author(s) and contributor(s) and not of MDPI and/or the editor(s). MDPI and/or the editor(s) disclaim responsibility for any injury to people or property resulting from any ideas, methods, instructions or products referred to in the content. |
© 2024 by the authors. Licensee MDPI, Basel, Switzerland. This article is an open access article distributed under the terms and conditions of the Creative Commons Attribution (CC BY) license (https://creativecommons.org/licenses/by/4.0/).
Share and Cite
Nkoana, J.K.; Mphahlele, M.J.; More, G.K.; Choong, Y.S. Exploring the 3,5-Dibromo-4,6-dimethoxychalcones and Their Flavone Derivatives as Dual α-Glucosidase and α-Amylase Inhibitors with Antioxidant and Anticancer Potential. Antioxidants 2024, 13, 1255. https://doi.org/10.3390/antiox13101255
Nkoana JK, Mphahlele MJ, More GK, Choong YS. Exploring the 3,5-Dibromo-4,6-dimethoxychalcones and Their Flavone Derivatives as Dual α-Glucosidase and α-Amylase Inhibitors with Antioxidant and Anticancer Potential. Antioxidants. 2024; 13(10):1255. https://doi.org/10.3390/antiox13101255
Chicago/Turabian StyleNkoana, Jackson K., Malose J. Mphahlele, Garland K. More, and Yee Siew Choong. 2024. "Exploring the 3,5-Dibromo-4,6-dimethoxychalcones and Their Flavone Derivatives as Dual α-Glucosidase and α-Amylase Inhibitors with Antioxidant and Anticancer Potential" Antioxidants 13, no. 10: 1255. https://doi.org/10.3390/antiox13101255
APA StyleNkoana, J. K., Mphahlele, M. J., More, G. K., & Choong, Y. S. (2024). Exploring the 3,5-Dibromo-4,6-dimethoxychalcones and Their Flavone Derivatives as Dual α-Glucosidase and α-Amylase Inhibitors with Antioxidant and Anticancer Potential. Antioxidants, 13(10), 1255. https://doi.org/10.3390/antiox13101255

