Abstract
Hepatitis B virus represents an important global health problem. In highly developed countries, mass vaccination campaigns of newborns in recent decades have drastically reduced the proportion of carriers. However, workers exposed to blood and body fluids, including healthcare students, can be at risk of exposure. In order to assess the proportion of susceptible individuals in the specific population of healthcare students in highly developed countries, a systematic review and meta-analysis was performed to summarize the evidence on the persistence of humoral immune protection induced by the primary cycle of hepatitis B vaccination, as well as the proportion of true non-responders. Forty-six studies were included in the final analysis (52,749 participants). Overall, the seroprotection prevalence at the pre-exposure assessment was equal to 73.8% (95% CI 69.1–78.0); the prevalence of anamnestic response following the administration of a challenge dose was 90.9% (95% CI 87.7–93.3), demonstrating a high proportion of persistence of vaccination-induced immunity. Among those without evidence of anamnestic response, 5.0% (95% CI 2.1–11.5) were non-responders following the completion of a secondary immunization cycle. These findings demonstrate that the majority of healthcare students vaccinated with the complete HBV primary cycle maintain an effective humoral immunity against this pathogen for over two decades.
1. Introduction
Hepatitis B virus (HBV) represents a common cause of viral hepatitis, with an estimated 250 million people living with chronic HBV infection globally, causing nearly 900,000 deaths every year [1]. This viral pathogen spreads through contact with contaminated body fluids and blood. Recent data from the European Centre for Disease Prevention and Control have shown that although most cases in Europe are transmitted by the sexual route and mother-to-child route, occupationally acquired infection due to needle-stick injuries and other professional exposures comprise more than 2% of cases in this region [2]. Indeed, there is still a risk for occupationally acquired hepatitis B among healthcare workers (HCWs), including healthcare students, largely due to exposures to patients with chronic HBV infection, with the estimated attributable fraction within this occupational group reaching 37% [3]. Estimates in high-income countries suggest that around 1% of all HCWs are infected with HBV [4], and although less than 5% of infected adults develop chronic infection, this progression not only represents a risk of complications, including liver cirrhosis and hepatocellular carcinoma, at the patient level, but also a source of transmission to others at the population level [5]. The widespread use of safe and effective hepatitis B vaccine since the 1980s, particularly in countries with a high degree of healthcare development, has considerably reduced the incidence of acute and chronic HBV infections [1,6]. Nonetheless, because the concentration of vaccine-induced neutralizing anti-HBs antibodies declines over time, the serologic testing of HCWs years after vaccination might not accurately distinguish responders from non-responders. For this reason, the cornerstone of the primary prevention of healthcare workers and students vaccinated with the first three-dose immunization cycle, enacted by the occupational health services in many developed nations, is to assess anti-HBs results at three time points: prior to exposure, all subjects are checked for the serologic correlate of protection (HBsAb titer ≥ 10 mIU/mL); to those who present a lower titer, a fourth booster dose is administered to challenge the immunological memory to recall the anamnestic response, with testing performed after a month; if, despite the fourth vaccine dose, the titer is still not protective, another two separate vaccine doses are administered in order to complete the secondary vaccination cycle to induce adequate immunization, and a final serologic test is performed a month following the last dose [7,8]. Indeed, only those that do not mount an appropriate immune response after the completion of the additional secondary immunization cycle (i.e., after the administration of six vaccine doses) are considered true non-responders and, therefore, susceptible to infection.
To date, however, the significance of the decline in vaccine-induced circulating antibodies, with respect to the persistence of long-term immunological memory, and the proportion of true non-responders, has not yet been clearly defined. This information is particularly useful for the fitness for work evaluation of healthcare students and trainees, a group of subjects that can be exposed to this pathogen many years after receiving the primary vaccination, and, in addition, could be at higher risk of needle-stick and sharp injuries due to the lack of experience [9,10]. Therefore, the current systematic review and meta-analysis aims to summarize the available evidence in the literature on the persistence of seroprotection induced by the three-dose primary cycle of hepatitis B vaccination among healthcare students and trainees, as well as the proportion of true non-responders in this category, in order to inform occupational health professionals and policy makers with up-to-date scientific information and key elements that ought to be taken into consideration in the workers’ health evaluation and risk assessments.
2. Materials and Methods
The current systematic review of the literature and meta-analysis is reported according to the Preferred Reporting Items for Systematic reviews and Meta-Analyses (PRISMA) guidelines [11].
An extensive search strategy was designed in order to retrieve all research articles reporting the prevalence of immune protection against hepatitis B virus in vaccinated healthcare students, published from 1 January 2000 to 30 November 2021, in English and Italian language, through systematic searches of major scientific databases, including PubMed/MEDLINE, Scopus, Web of Science, ProQuest, and ScienceDirect, using the UNO per TUTTO platform). Each source was last searched or consulted on 30 November 2021. In addition, a manual screening of relevant references of the included studies was performed to obtain additional studies. Studies were eligible if they met the following PICO inclusion criteria: P (population): healthcare students and medical residents; if healthcare workers were included in the study population, a 50% + 1 majority of students was required as an inclusion criterion; I (intervention): anti-HBs antibody serologic testing; C (comparator): no comparisons; O (outcome): persistence of serologic immunity induced by vaccination following: (i) anti-HBV vaccination with a three-dose primary cycle, (ii) the administration of a single booster dose in those without evidence of seroprotection, and (iii) the completion of additional two vaccine doses in those without evidence of anamnestic response. Review articles, modelling studies, case series, and case reports were excluded. When it was not possible to make a decision on a study’s inclusion or exclusion based on the title and/or abstract, the full text of the study was examined. All prevalence studies were included in the current study. A time filter was applied to include studies published since 2000, in order to better gather recent data from students who were vaccinated after the implementation of HBV vaccination policies in the 1990s. Only studies from countries with a Human Development Index (HDI) of “very high”, meaning with a value equal or higher than 0.800, were included [12], in consideration of comparable vaccination policies, higher standards of healthcare services, and a lower prevalence of HBsAg positivity in the general population, with the aim of reducing confounders. Further details of the search strategy can be found in Supplementary File S1.
The literature search was performed by two researchers independently (AR and GD). In case of disagreement, consensus was reached through discussion and consultation; in case consensus could not be reached, a third researcher (AM) acted as a final referee. The relevant information was extracted from each included article by two researchers independently (AR and BKV). For data extraction, an ad hoc Microsoft Excel (version 2203) spreadsheet was designed and utilized. From each eligible study, the following variables were extracted in the dataset: name of first author, year of publication, country, field of study, sample size, average age, gender ratio, foreigner ratio, proportion of previous first vaccination cycle, time since primary cycle, proportion of first vaccination cycle in infancy or adolescence, prevalence of seroprotection at first screening, prevalence of anamnestic response following a challenge dose, and prevalence of non-response after second cycle completion. A meta-analysis for each outcome (seroprotection after primary vaccination cycle, anamnestic response after a challenge dose, non-responders after a complete second vaccination cycle), by means of effect size (ES), was computed by pooling together the various prevalence.
The quality assessment of included studies was performed independently by two authors (AR and BKV) using the Joanna Briggs Institute Critical Appraisal Checklist tool for prevalence studies included in this review. A third author (AM) was involved to resolve disagreements regarding the quality grading.
2.1. Data Analysis
For every study included, we calculated the prevalence of serologic correlate of protection, anamnestic response, and non-response. The random-effects model was applied to estimate a pooled effect size. Forest plots were produced to represent all studies based on the effect size and 95% confidence interval (CI). The heterogeneity between studies was assessed using the I2 statistic, with a value higher than 50% considered as substantial heterogeneity [13]. Sensitivity analyses were performed by excluding individual studies from the meta-analysis in order to assess the robustness of the results. Potential publication bias was investigated visually inspecting the asymmetry of the funnel plot, and, if present, the Duval and Tweedie’s trim-and-fill analysis and the Egger’s regression test were performed [14,15]. When at least ten studies presented a specific covariate, we performed a weighted meta-regression with a random-effects model to assess the effect of moderators on the pooled effect size. A p < 0.05 was considered statistically significant. All statistical analyses were performed using Prometa (version 3.0) software.
2.2. Registration and Protocol
This review was not registered. The review protocol is available from the corresponding author on reasonable request.
3. Results
Systematic Review
The initial systematic search resulted in a pool of 2815 potentially relevant articles. After deleting duplicates, we obtained a set of 1974 unique items. Screening titles and/or abstracts led to the exclusion of 1853 items. A pool of articles was sought for retrieval and were evaluated in the full text. After reviewing the eligibility criteria, 46 articles were included in the final qualitative and quantitative analysis (Figure 1).
Figure 1.
Study selection [11].
Of the 46 included articles, 22 were performed in Italy, 4 in Japan, 3 in the United States and Saudi Arabia, 2 in Germany, and 1 in Australia, Cyprus, Greece, Hong Kong–China (SAR), Israel, Malaysia, the Netherlands, South Korea, Spain, Switzerland, Turkey, and the United Arab Emirates, respectively. The majority of the articles (n = 39) were published after 2010. Concerning the field of study of the included samples, 26 studies included overall healthcare students, 18 studies included medical students and trainees, whereas only 2 studies focused on nursing students. The critical appraisal of the methodological quality of the included studies is reported in Supplementary File S2.
The sample sizes ranged from 100 to 10,294 subjects, with a total of 52,749 participants. Between studies, the mean age ranged from 19.0 to 29.9 years; the female gender ratio ranged from 33.7% to 79.4%; the prevalence of the completed primary cycle of HBV vaccination ranged from 40.3 to 100.0%; and the time since primary cycle completion went from 0.08 to 21.4 years. The main characteristics of the included studies are presented in Table 1.
Table 1.
Characteristics of the studies included in the current meta-analysis.
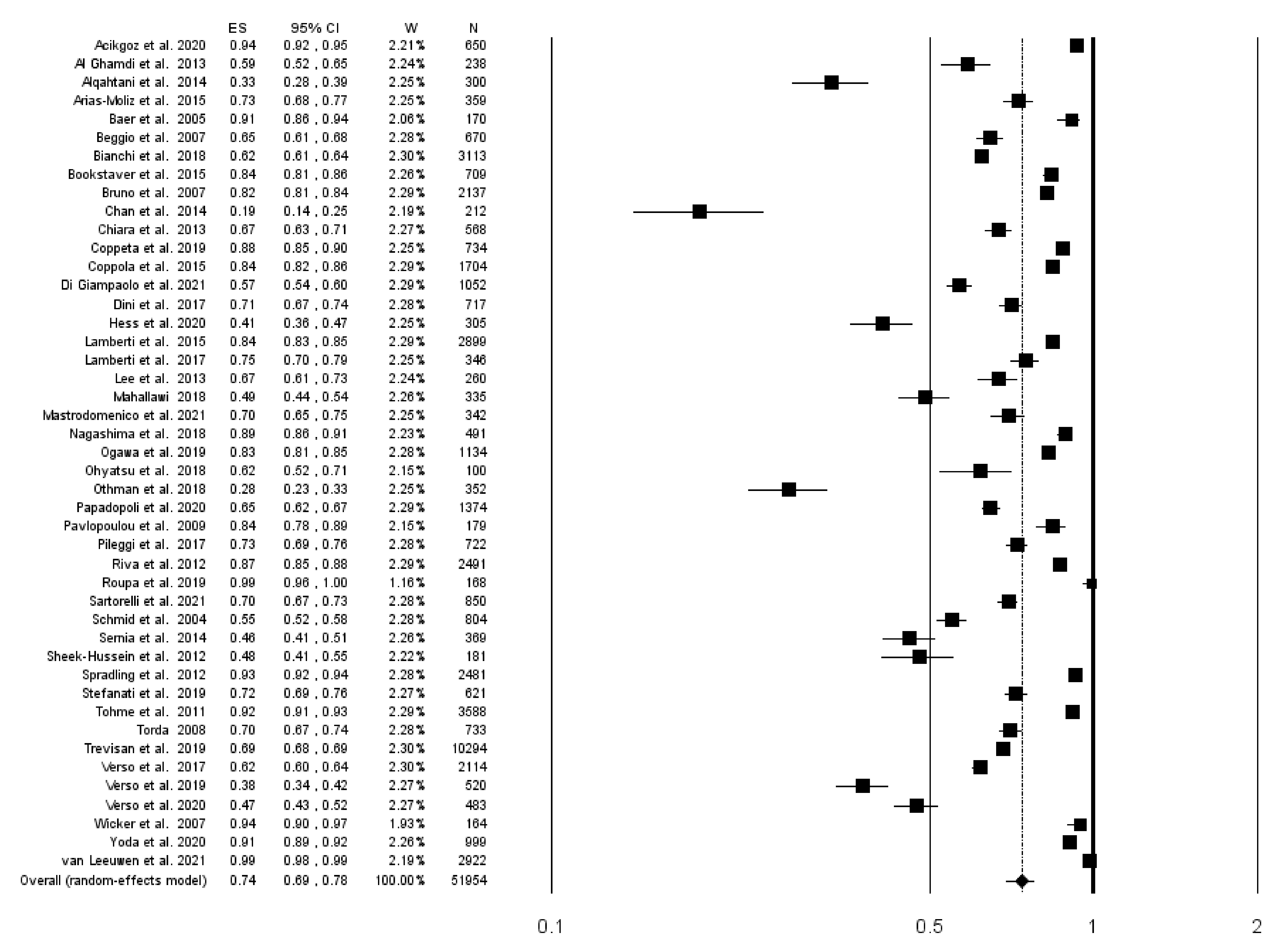
Forty-five studies reported data on the prevalence of seroprotection in the sample. Pooling the results from these studies, including 51,954 subjects, an overall prevalence of 73.8% was found (95% CI 69.1–78.0; I2 = 99.1%), with no evidence of publication bias (Figure 2 and Figure 3).
Figure 2.
Forest plot of the prevalence of subjects with a serological correlate of protection (anti-HBs antibodies ≥10 mUI/mL).
Figure 3.
Funnel plot for the prevalence of seroprotection.
In the meta-regression analysis, the proportion of students vaccinated during adolescence (intercept = −0.12, slope = 0.03, p = 0.001) resulted in a moderator with a positive association with the prevalence of the correlate of protection (Figure 4), whereas the time past following primary immunization (intercept = 2.41, slope = −0.08, p = 0.001) and the proportion of students vaccinated during infancy (intercept = 2.35, slope = −0.03, p = 0.000) showed negative associations (Figure 5).
Figure 4.
Meta-regression analysis for proportion of vaccination during adolescence, showing positive association with the proportion of seroprotected individuals.
Figure 5.
Meta-regression analysis for time (in years) since primary cycle vaccination (A) and proportion of vaccination during infancy (B), showing negative associations with the proportion of seroprotected individuals.
Concerning the anamnestic response rate following the administration of a challenge dose, pooling the results from 18 studies, including 4775 subjects, we found a proportion of 90.9% (95% CI 87.7–93.3; I2 = 89.3%) (Figure 6), but with the presence of publication bias, identified by the visual inspection of the funnel plot, the Duval and Tweedie’s trim-and-fill analysis (Figure 7), however, with insignificant Egger’s linear regression test (intercept = 1.50, t = 1.12, p = 0.281).
Figure 6.
Forest plot of the prevalence of subjects showing an anamnestic response following challenge dose.
Figure 7.
Funnel plot for the prevalence of anamnestic response following challenge dose.
Vaccination at infancy, adolescence, or time passed since primary immunization did not show any significant moderating effect on this outcome.
Concerning the non-response rate following the administration of two further doses in subjects that did not show an anamnestic response, pooling the results from 14 studies, including 868 subjects, we found a proportion of 5.0% (95% CI 2.1–11.5; I2 = 81.1%), with no evidence of publication bias (Figure 8 and Figure 9).
Figure 8.
Forest plot of the prevalence of subjects not responding to the completion (fifth and sixth dose) of the second vaccination cycle.
Figure 9.
Funnel plot for the prevalence of non-response rate after the completion (fifth and sixth dose) of the second vaccination cycle.
At the meta-regression analysis, female gender (intercept = 5.07, slope = −0.12, p = 0.002) showed a negative association with the proportion of non-responders (Figure 10).
Figure 10.
Meta-regression analysis for proportion of female gender, showing negative associations with the proportion of non-responding individuals.
4. Discussion and Conclusions
To the Authors’ knowledge, this systematic review and meta-analysis is the first to specifically study and summarize the long-term protection induced by hepatitis B vaccination in healthcare students. The findings of the present study demonstrate that the vast majority of students and resident doctors vaccinated with a complete anti-HBV primary immunization cycle maintain an effective humoral immunity against this pathogen decades after vaccination. Indeed, three out of four students showed a protective HBsAb titer (≥10 mIU/mL) at the first serological assessment performed at the medical visit prior to occupational exposure. Furthermore, among those that did not show the correlate of protection, over 90% demonstrated an anamnestic response after receiving a challenge dose. The high response rate confirms the evidence of prior established immunological memory, which could have been successfully deployed following a new exposure to the wild virus in vaccinated subjects. This could be explained by the fact that waning immunity detected in peripheral blood, especially of the humoral branch, is not a completely reliable indicator of effective reduction in immunity. Indeed, only a small fraction of lymphocytes (less than 10%) is constantly circulating in the bloodstream, whereas the rest are deposited in tissues and organs [62]; this is particularly important considering that memory B cells and plasma cells, prime actors in secondary immune responses to infections (or antigen exposures), are mostly housed in bone marrow and lymphoid organs [63]. This type of immune response is particularly effective against pathogens that present long incubation periods, such as HBV; immunological memory has enough time to mount a decisive response against the infection [64]. Interestingly, although the seroprotection at the first assessment was found to be negatively associated with the length of time since primary cycle vaccination, this association was not found with the anamnestic response, indicating a possible waning immunity effect only in the peripheral blood, with a persistence of immunity in the lymphoid organs.
When considering individuals who had not shown an anamnestic response following the challenge dose administration, and that received another two doses of vaccination in order to complete a secondary immunization cycle, it was found that only 1 in 20 did not develop a protective immune reaction, and, thus, could be considered as true non-responders and potentially susceptible to the occupational risk of this bloodborne infection. Taking into account all the findings from this study, we can estimate that in a population of healthcare students in developed countries, 2.4% might be not protected at the baseline pre-exposure visit (i.e., those with a non-protective antibody titer), with only 0.1% of true non-responders after the completion of the secondary cycle. These findings show that the vast majority of people that have undergone the full primary cycle vaccination responded in an effective way, even though the baseline peripheral blood evaluation may have shown a measurement of antibodies lower than the correlate of protection. Moreover, previous studies have also suggested that any presence of humoral immunity in the peripheral blood, often regarded as a HBsAb titer higher than 2 mIU/mL, the limit of detection of most serological tests used to assess this value, might be sufficient for immune protection against HBV infection [65].
Interestingly, the results showed a reduced association between female students and non-responders, suggesting a mediating role in the immune response to HBV vaccination due to sexual differences, that can be caused by multiple factors, mainly biological ones, including hormonal and genetic [66,67,68].
Based on these results, occupational physicians could prioritize the HBV risk assessment and management of individual healthcare workers and students, taking into consideration the health and immune status of the subject, the specific tasks and procedures, as well as the prevalence of HBV patients in the community and in the specific workplace. Indeed, thanks to the mass vaccination campaigns enacted in many developed countries in the past decades, the prevalence of the contagious reservoir of HBsAg-positive has dramatically reduced in these countries, reaching levels of around 1% in regions such as Europe. However, specific occupational settings, such as healthcare systems, and also prisons and homeless shelters, and populations such as injection drug users and migrants from endemic areas, represent non negligible pockets of potential infective sources [69].
Although public health’s objectives of reducing the transmission of the disease, and the prevalence of the infected reservoir not requiring the systematic demonstration of acquired immunity after primary cycle immunization thanks to the highly effective vaccines available, from an occupational health perspective of reducing the risk and protecting all individual exposed workers, and in accordance to Italian national regulations, evaluations performed before exposing workers and students to potential bloodborne risks require the assessment of the HBsAb titer, with a recommendation to proceed to further vaccinations if less than the 10 mIU/mL cut-off is measured [8,70]. The present results support preventive strategies for healthy healthcare students based on a more tailored and personalized risk assessment, considering that most of these individuals, if not all, have been already vaccinated with a complete primary vaccination cycle during childhood or adolescence, thus reaching protection against HBV, and do not generally perform high-risk procedures [71].
The findings of this study are strengthened by the comprehensive and rigorous methodological approach adopted in the literature search and study quality assessment. However, this study presents some limitations, namely the different types of vaccination used in the included studies (e.g., plasma derived and recombinant vaccines, accurate dosages, and timing of administrations), no study assessed the effectiveness among immunocompromised students (e.g., effect of corticosteroid treatment, HIV infection, treatment with biologics), and the quantitative analysis identified substantial heterogeneity, suggesting ample differences between the included study populations. Studies improving on these limitations could further expand our knowledge and widen the scope of the implications to all exposed workers and individuals.
In conclusion, the present findings show that the vast majority of vaccinated healthcare students remain protected against HBV infection decades after the primary immunization cycle. These results can inform occupational physicians, who are in the unique position to assess each individual student’s risks based on specific health susceptibilities and the presence of serological markers of immunity, with the aim of ensuring fitness for work in specific training placements and tasks, collaborating with other occupational health and safety professionals. Further research should be performed to assess whether any evidence of humoral immunity induced by vaccination, even with lower antibody concentrations than the currently accepted cutoff (i.e., values ranging between the detection limit of the serological test and the protective threshold of 10 mIU/mL), could be considered sufficient to reach and, more importantly, to maintain protection against HBV infection in occupational settings.
Supplementary Materials
The following supporting information can be downloaded at: https://www.mdpi.com/article/10.3390/vaccines10111841/s1, Supplementary File S1: Search strategy; Supplementary File S2: Critical appraisal of prevalence studies.
Author Contributions
Conceptualization, A.R., A.M. and G.D.; methodology, A.R. and G.D.; software, A.R. and B.K.V.; formal analysis, A.R., A.M., B.K.V. and G.D.; data curation, A.R. and B.K.V.; writing—original draft preparation, A.R., A.M. and G.D.; writing—review and editing, A.R., A.M., G.D., B.K.V. and P.D.; supervision, G.D., N.D. and P.D.; project administration, G.D., N.D. and P.D. All authors have read and agreed to the published version of the manuscript.
Funding
This research received no external funding.
Institutional Review Board Statement
Not applicable.
Informed Consent Statement
Not applicable.
Data Availability Statement
The data that support the findings of this study are available on request from the corresponding author.
Conflicts of Interest
The authors declare no conflict of interest.
References
- World Health Organization. Global Hepatitis Report. 2017. Available online: https://apps.who.int/iris/rest/bitstreams/1082592/retrieve (accessed on 1 October 2022).
- European Centre for Disease Prevention and Control. Hepatitis B. In Annual Epidemiological Report for 2019; ECDC: Stockholm, Sweden, 2021. [Google Scholar]
- Prüss-Ustün, A.; Rapiti, E.; Hutin, Y. Estimation of the global burden of disease attributable to contaminated sharps injuries among health-care workers. Am. J. Ind. Med. 2005, 48, 482–490. [Google Scholar] [CrossRef]
- Mahamat, G.; Kenmoe, S.; Akazong, E.W.; Ebogo-Belobo, J.T.; Mbaga, D.S.; Bowo-Ngandji, A.; Foe-Essomba, J.R.; Amougou-Atsama, M.; Monamele, C.G.; Mbongue Mikangue, C.A.; et al. Global prevalence of hepatitis B virus serological markers among healthcare workers: A systematic review and meta-analysis. World J. Hepatol. 2021, 13, 1190–1202. [Google Scholar] [CrossRef] [PubMed]
- World Health Organization. Fact sheets: Hepatitis B. 2021. Available online: https://www.who.int/news-room/fact-sheets/detail/hepatitis-b (accessed on 1 October 2022).
- Pattyn, J.; Hendrickx, G.; Vorsters, A.; Van Damme, P. Hepatitis B Vaccines. J. Infect. Dis. 2021, 224, S343–S351. [Google Scholar] [CrossRef] [PubMed]
- Centers for Disease Control and Prevention. Hepatitis B. In Epidemiology and Prevention of Vaccine-Preventable Diseases, 14th ed.; Hall, E., Wodi, A.P., Hamborsky, J., Morelli, V., Schillie, S., Eds.; Public Health Foundation: Washington, DC, USA, 2021. [Google Scholar]
- Ministero Della Salute. Il Piano Nazionale Prevenzione Vaccinale. 2017–2019. Available online: https://www.salute.gov.it/imgs/C_17_pubblicazioni_2571_allegato.pdf (accessed on 1 October 2022).
- Bagnasco, A.; Zanini, M.; Catania, G.; Watson, R.; Hayter, M.; Dasso, N.; Dini, G.; Agodi, A.; Pasquarella, C.; Zotti, C.M.; et al. Predicting needlestick and sharps injuries in nursing students: Development of the SNNIP scale. Nurs. Open 2020, 7, 1578–1587. [Google Scholar] [CrossRef] [PubMed]
- Black Thomas, L.M. Underreporting of Bloodborne Pathogen Exposures in Nursing Students. Nurse Educ. 2020, 45, 78–82. [Google Scholar] [CrossRef] [PubMed]
- Page, M.J.; McKenzie, J.E.; Bossuyt, P.M.; Boutron, I.; Hoffmann, T.C.; Mulrow, C.D.; Shamseer, L.; Tetzlaff, J.M.; Akl, E.A.; Brennan, S.E.; et al. The PRISMA 2020 statement: An updated guideline for reporting systematic reviews. BMJ 2021, 372, 71. [Google Scholar] [CrossRef]
- United Nations Development Programme. Human Development Report 2020. The Next Frontier Human Development and the Anthropocene; United Nations Development Programme: New York, NY, USA, 2021. [Google Scholar]
- Deeks, J.J.; Higgins, J.P.T.; Altman, D.G. Chapter 10: Analysing data and undertaking meta-analyses. In Cochrane Handbook for Systematic Reviews of Interventions Version 6.2 (Updated February 2021); Higgins, J.P.T., Thomas, J., Chandler, J., Cumpston, M., Li, T., Page, M.J., Welch, V.A., Eds.; Cochrane: London, UK, 2021; Available online: https://www.training.cochrane.org/handbook (accessed on 1 October 2022).
- Duval, S.; Tweedie, R. Trim and fill: A simple funnel-plot-based method of testing and adjusting for publication bias in meta-analysis. Biometrics 2000, 56, 455–463. [Google Scholar] [CrossRef]
- Egger, M.; Davey Smith, G.; Schneider, M.; Minder, C. Bias in meta-analysis detected by a simple, graphical test. BMJ 1997, 315, 629–634. [Google Scholar] [CrossRef]
- Acikgoz, A.; Cimrin, D.; Kizildag, S.; Esen, N.; Balci, P.; Sayiner, A.A. Hepatitis A, B and C seropositivity among first-year healthcare students in western Turkey: A seroprevalence study. BMC Infect. Dis. 2020, 20, 529. [Google Scholar] [CrossRef]
- Al Ghamdi, S.S.; Fallatah, H.I.; Fetyani, D.M.; Al-Mughales, J.A.; Gelaidan, A.T. Long-term efficacy of the hepatitis B vaccine in a high-risk group. J. Med. Virol. 2013, 85, 1518–1522. [Google Scholar] [CrossRef]
- Alqahtani, J.M.; Abu-Eshy, S.A.; Mahfouz, A.A.; El-Mekki, A.A.; Asaad, A.M. Seroprevalence of hepatitis B and C virus infections among health students and health care workers in the Najran region, southwestern Saudi Arabia: The need for national guidelines for health students. BMC Public Health 2014, 14, 577. [Google Scholar] [CrossRef] [PubMed]
- Arias-Moliz, M.T.; Rojas, L.; Liébana-Cabanillas, F.; Bernal, C.; Castillo, F.; Rodríguez-Archilla, A.; Castillo, A.; Liébana, J. Serologic control against hepatitis B virus among dental students of the University of Granada, Spain. Med. Oral. Patol. Oral. Cir. Bucal. 2015, 20, e566–e571. [Google Scholar] [CrossRef] [PubMed]
- Baer, G.; Bonhoeffer, J.; Schaad, U.B.; Heininger, U. Seroprevalence and immunization history of selected vaccine preventable diseases in medical students. Vaccine 2005, 23, 2016–2020. [Google Scholar] [CrossRef] [PubMed]
- Beggio, M.; Giraldo, M.; Borella-Venturini, M.; Mongillo, M.; Zanetti, E.; Bruno, A.; Davanzo, E.; Trevisan, A. Prevalenza dei marcatori dell’epatite (A, B e C) in relazione alla provenienza geografica degli studenti dei corsi di laurea in medicina [Prevalence of hepatitis virus A, B, and C markers according to the geographic origin of medical students]. G. Ital. Med. Lav. Ergon. 2007, 29, 745–747. (In Italian) [Google Scholar]
- Bianchi, F.P.; Gallone, M.S.; Gallone, M.F.; Larocca, A.M.V.; Vimercati, L.; Quarto, M.; Tafuri, S. HBV seroprevalence after 25 years of universal mass vaccination and management of non-responders to the anti-Hepatitis B vaccine: An Italian study among medical students. J. Viral. Hepat. 2019, 26, 136–144. [Google Scholar] [CrossRef]
- Bookstaver, P.B.; Foster, J.L.; Lu, Z.K.; Mann, J.R.; Ambrose, C.; Grant, A.; Burgess, S. Hepatitis B virus seroconversion rates among health sciences students in the southeastern United States. J. Am. Coll. Health 2016, 64, 69–73. [Google Scholar] [CrossRef]
- Bruno, A.; Borella-Venturini, M.; Giraldo, M.; Mongillo, M.; Zanetti, E.; Beggio, M.; Davanzo, E.; Trevisan, A. Prevalenza dei marcatori dell’epatite B negli studenti dei corsi di laurea in medicina [Prevalence of virus hepatitis B markers among medical students]. G. Ital. Med. Lav. Ergon. 2007, 29, 752–754. (In Italian) [Google Scholar]
- Chan, P.K.; Ngai, K.L.; Lao, T.T.; Wong, M.C.; Cheung, T.; Yeung, A.C.; Chan, M.C.; Luk, S.W. Response to booster doses of hepatitis B vaccine among young adults who had received neonatal vaccination. PLoS ONE 2014, 9, e107163. [Google Scholar] [CrossRef]
- Chiara, F.; Bartolucci, G.B.; Mongillo, M.; Ferretto, L.; Nicolli, A.; Trevisan, A. Hepatitis B vaccination at three months of age: A successful strategy? Vaccine 2013, 31, 1696–1700. [Google Scholar] [CrossRef]
- Coppeta, L.; Pompei, A.; Balbi, O.; Zordo, L.M.; Mormone, F.; Policardo, S.; Lieto, P.; Pietroiusti, A.; Magrini, A. Persistence of Immunity for Hepatitis B Virus among Heathcare Workers and Italian Medical Students 20 Years after Vaccination. Int. J. Environ. Res. Public Health 2019, 16, 1515. [Google Scholar] [CrossRef]
- Coppola, N.; Corvino, A.R.; De Pascalis, S.; Signoriello, G.; Di Fiore, E.; Nienhaus, A.; Sagnelli, E.; Lamberti, M. The long-term immunogenicity of recombinant hepatitis B virus (HBV) vaccine: Contribution of universal HBV vaccination in Italy. BMC Infect. Dis. 2015, 15, 149. [Google Scholar] [CrossRef] [PubMed]
- Di Giampaolo, L.; Costantini, E.; Di Nicola, M.; Porreca, A.; D’Amore, G.; Coppeta, L.; Mangifesta, R. Titer of anti-HBs in health professions trainees: Prevalence of antibody coverage in a University of Central Italy. Hum. Vaccines Immunother. 2022, 18, 1886805. [Google Scholar] [CrossRef] [PubMed]
- Dini, G.; Toletone, A.; Barberis, I.; Debarbieri, N.; Massa, E.; Paganino, C.; Bersi, F.; Montecucco, A.; Alicino, C.; Durando, P. Persistence of protective anti-HBs antibody levels and anamnestic response to HBV booster vaccination: A cross-sectional study among healthcare students 20 years following the universal immunization campaign in Italy. Hum. Vaccines Immunother. 2017, 13, 440–444. [Google Scholar] [CrossRef] [PubMed]
- Grazzini, M.; Arcangeli, G.; Mucci, N.; Bonanni, P.; Bini, C.; Bechini, A.; Boccalini, S.; Tiscione, E.; Paolini, D. High chance to overcome the non-responder status to hepatitis B vaccine after a further full vaccination course: Results from the extended study on healthcare students and workers in Florence, Italy. Hum. Vaccines Immunother. 2020, 16, 949–954. [Google Scholar] [CrossRef] [PubMed]
- Hess, L.; Riesenberg, K.; Rolston, K.V.I.; Nesher, L. Administering an additional hepatitis B vaccination dose after 18 years maintains adequate long-term protection levels in healthcare workers. Infect. Dis. 2020, 52, 330–335. [Google Scholar] [CrossRef]
- Lamberti, M.; De Rosa, A.; Garzillo, E.M.; Corvino, A.R.; Sannolo, N.; De Pascalis, S.; Di Fiore, E.; Westermann, C.; Arnese, A.; Gabriella, D.G.; et al. Vaccination against hepatitis b virus: Are Italian medical students sufficiently protected after the public vaccination programme? J. Occup. Med. Toxicol. 2015, 10, 41. [Google Scholar] [CrossRef] [PubMed]
- Lamberti, M.; Garzillo, E.; Muoio, M.; Arnese, A.; Nienhaus, A.; Abbondante, E.; Giuseppe, G.; Pedata, P.; Rosado, A. Seropositivity for Hepatitis B Virus, Vaccination Status and Response to Vaccine in a Cohort of Dental Students. Open J. Prev. Med. 2017, 7, 32–39. [Google Scholar] [CrossRef]
- Lee, J.; Song, H.; Lee, J.M.; Cho, J. Seroprevalence of hepatitis A and B viruses in medical school students planning for medical clerkships. Am. J. Infect. Control 2014, 42, 89–90. [Google Scholar] [CrossRef]
- Mahallawi, W. Persistence of hepatitis B surface antibody and immune memory to hepatitis B vaccine among medical college students in Madinah. Ann. Saudi. Med. 2018, 38, 413–419. [Google Scholar] [CrossRef]
- Mastrodomenico, M.; Muselli, M.; Provvidenti, L.; Scatigna, M.; Bianchi, S.; Fabiani, L. Long-term immune protection against HBV: Associated factors and determinants. Hum. Vaccines Immunother. 2021, 17, 2268–2272. [Google Scholar] [CrossRef]
- Nagashima, S.; Yamamoto, C.; Ko, K.; Chuon, C.; Sugiyama, A.; Ohisa, M.; Akita, T.; Katayama, K.; Yoshihara, M.; Tanaka, J. Acquisition rate of antibody to hepatitis B surface antigen among medical and dental students in Japan after three-dose hepatitis B vaccination. Vaccine 2019, 37, 145–151. [Google Scholar] [CrossRef] [PubMed]
- Ogawa, M.; Akine, D.; Sasahara, T. Comparison of hepatitis B vaccine efficacy in Japanese students: A retrospective study. Environ. Health Prev. Med. 2019, 24, 80. [Google Scholar] [CrossRef] [PubMed]
- Ohyatsu, M.; Ishikawa, Y.; Chibana, Y.; Watanabe, N.; Ohrui, M.; Tsuchida, K.; Tominaga, K.; Murohisa, T.; Iijima, M.; Hiraishi, H. Results of Hepatitis B Vaccination 3 Years After a Primary Vaccine Series in Medical Students. Dokkyo J. Med. Sci. 2018, 45, 1–8. [Google Scholar]
- Othman, S.N.; Zainol Rashid, Z.; Abdul Wahab, A.; Abdul Samat, M.N.; Ding, C.H.; Ali, U.K. Hepatitis B seroepidemiology and booster vaccination in pre-clinical medical students in a Malaysian university. Malays. J. Pathol. 2018, 40, 295–302. [Google Scholar] [PubMed]
- Papadopoli, R.; De Sarro, C.; Torti, C.; Pileggi, C.; Pavia, M. Is There Any Opportunity to Provide an HBV Vaccine Booster Dose Before Anti-Hbs Titer Vanishes? Vaccines 2020, 8, 227. [Google Scholar] [CrossRef] [PubMed]
- Pavlopoulou, I.D.; Daikos, G.L.; Tzivaras, A.; Bozas, E.; Kosmidis, C.; Tsoumakas, C.; Theodoridou, M. Medical and nursing students with suboptimal protective immunity against vaccine-preventable diseases. Infect. Control. Hosp. Epidemiol. 2009, 30, 1006–1011. [Google Scholar] [CrossRef] [PubMed]
- Pileggi, C.; Papadopoli, R.; Bianco, A.; Pavia, M. Hepatitis B vaccine and the need for a booster dose after primary vaccination. Vaccine 2017, 35, 6302–6307. [Google Scholar] [CrossRef]
- Riva, M.A.; Madotto, F.; Conti, S.; Fornari, C.; Patronella, G.; Sormani, M.; D'Orso, M.I.; De Vito, G.; Latocca, R.; Cesana, G. Copertura vaccinale anti-epatite B e dose di rinforzo: Risultati di uno studio su una popolazione universitaria [Hepatitis B vaccination coverage and booster dose: Results from a survey on healthcare students]. G. Ital. Med. Lav. Ergon. 2012, 34, 283–285. (In Italian) [Google Scholar]
- Roupa, Z.; Noula, M.; Farazi, E.; Stylianides, A.; Papaneophytou, C. Vaccination Coverage and Awareness of Hepatitis B Virus Among Healthcare Students at a University in Cyprus. Mater. Sociomed. 2019, 31, 190–196. [Google Scholar] [CrossRef]
- Sartorelli, P.; Occhialini, F.; Miceli, R.; Pietronigro, A.; Bianciardi, L.; Salini, C.; Messina, G. The seroprevalence of the hepatitis B virus in Italian medical students after 3 decades since the introduction of universal vaccination. Int. J. Occup. Med. Environ. Health 2022, 35, 75–80. [Google Scholar] [CrossRef]
- Schmid, K.; Wallaschofski, H.; Drexler, H. Student health policy of a German medical school—Results of a cross sectional study concerning students’ immunity to vaccine-preventable diseases. Int. J. Hyg. Environ. Health 2004, 207, 595–600. [Google Scholar] [CrossRef]
- Sernia, S.; Ortis, M.; Antoniozzi, T.; Maffongelli, E.; La Torre, G. Levels of anti-HBs antibody in HBV-vaccinated students enrolled in the faculty of medicine, dentistry and health professions of a large Italian University. Biomed. Res. Int. 2015, 2015, 712020. [Google Scholar] [CrossRef] [PubMed]
- Sheek-Hussein, M.; Hashmey, R.; Alsuwaidi, A.R.; Al Maskari, F.; Amiri, L.; Souid, A.K. Seroprevalence of measles, mumps, rubella, varicella-zoster and hepatitis A–C in Emirati medical students. BMC Public Health 2012, 12, 1047. [Google Scholar] [CrossRef] [PubMed]
- Spradling, P.R.; Williams, R.E.; Xing, J.; Soyemi, K.; Towers, J. Serologic testing for protection against hepatitis B virus infection among students at a health sciences university in the United States. Infect. Control Hosp. Epidemiol. 2012, 33, 732–736. [Google Scholar] [CrossRef]
- Stefanati, A.; Bolognesi, N.; Sandri, F.; Dini, G.; Massa, E.; Montecucco, A.; Lupi, S.; Gabutti, G. Long-term persistency of hepatitis B immunity: An observational cross-sectional study on medical students and resident doctors. J. Prev. Med. Hyg. 2019, 60, E184–E190. [Google Scholar] [CrossRef] [PubMed]
- Tohme, R.A.; Ribner, B.; Huey, M.J.; Spradling, P.R. Hepatitis B vaccination coverage and documented seroprotection among matriculating healthcare students at an academic institution in the United States. Infect. Control Hosp. Epidemiol. 2011, 32, 818–821. [Google Scholar] [CrossRef] [PubMed]
- Torda, A.J. Vaccination and screening of medical students: Results of a student health initiative. Med. J. Aust. 2008, 189, 484–486. [Google Scholar] [CrossRef] [PubMed]
- Trevisan, A.; Frasson, C.; De Nuzzo, D.; Nicolli, A.; Scapellato, M.L. Significance of anti-HB levels below 10 IU/L after vaccination against hepatitis B in infancy or adolescence: An update in relation to sex. Hum. Vaccines Immunother. 2020, 16, 460–464. [Google Scholar] [CrossRef]
- van Leeuwen, L.P.M.; Doornekamp, L.; Goeijenbier, S.; de Jong, W.; de Jager, H.J.; van Gorp, E.C.M.; Goeijenbier, M. Evaluation of the Hepatitis B Vaccination Programme in Medical Students in a Dutch University Hospital. Vaccines 2021, 9, 69. [Google Scholar] [CrossRef]
- Verso, M.G.; Lo Cascio, N.; Noto Laddeca, E.; Amodio, E.; Currieri, M.; Giammanco, G.; Ferraro, D.; De Grazia, S.; Picciotto, D. Predictors of Hepatitis B Surface Antigen Titers two decades after vaccination in a cohort of students and post-graduates of the Medical School at the University of Palermo, Italy. Ann. Agric. Environ. Med. 2017, 24, 303–306. [Google Scholar] [CrossRef][Green Version]
- Verso, M.G.; Costantino, C.; Vitale, F.; Amodio, E. Immunization against Hepatitis B Surface Antigen (HBsAg) in a Cohort of Nursing Students Two Decades after Vaccination: Surprising Feedback. Vaccines 2019, 8, 1. [Google Scholar] [CrossRef] [PubMed]
- Verso, M.G.; Costantino, C.; Marrella, A.; Immordino, P.; Vitale, F.; Amodio, E. Kinetics of Anti-Hepatitis B Surface Antigen Titers in Nurse Students after a Two-Year Follow-Up. Vaccines 2020, 8, 467. [Google Scholar] [CrossRef] [PubMed]
- Wicker, S.; Rabenau, H.F.; Gottschalk, R.; Doerr, H.W.; Allwinn, R. Seroprevalence of vaccine preventable and blood transmissible viral infections (measles, mumps, rubella, polio, HBV, HCV and HIV) in medical students. Med. Microbiol. Immunol. 2007, 196, 145–150. [Google Scholar] [CrossRef]
- Yoda, T.; Katsuyama, H. Analysis of antibody-negative medical students after hepatitis B vaccination in Japan. Hum. Vaccines Immunother. 2021, 17, 852–856. [Google Scholar] [CrossRef]
- Rovenský, J.; Payer, J. (Eds.) Lymphocytes—Circulation. In Dictionary of Rheumatology; Springer: Vienna, Austria, 2009. [Google Scholar] [CrossRef]
- Palm, A.E.; Henry, C. Remembrance of Things Past: Long-Term B Cell Memory After Infection and Vaccination. Front. Immunol. 2019, 10, 1787. [Google Scholar] [CrossRef]
- European Consensus Group on Hepatitis B Immunity. Are booster immunisations needed for lifelong hepatitis B immunity? Lancet 2000, 355, 561–565. [Google Scholar] [CrossRef]
- Chiara, F.; Bartolucci, G.B.; Cattai, M.; Piazza, A.; Nicolli, A.; Buja, A.; Trevisan, A. Hepatitis B vaccination of adolescents: Significance of non-protective antibodies. Vaccine 2013, 32, 62–68. [Google Scholar] [CrossRef]
- Trevisan, A.; Giuliani, A.; Scapellato, M.L.; Anticoli, S.; Carsetti, R.; Zaffina, S.; Brugaletta, R.; Vonesch, N.; Tomao, P.; Ruggieri, A. Sex Disparity in Response to Hepatitis B Vaccine Related to the Age of Vaccination. Int. J. Environ. Res. Public Health 2020, 17, 327. [Google Scholar] [CrossRef]
- Cook, I.F. Sexual dimorphism of humoral immunity with human vaccines. Vaccine 2008, 26, 3551–3555. [Google Scholar] [CrossRef]
- Fish, E.N. The X-files in immunity: Sex-based differences predispose immune responses. Nat. Rev. Immunol. 2008, 8, 737–744. [Google Scholar] [CrossRef]
- European Centre for Disease Prevention and Control. Systematic Review on Hepatitis B and C Prevalence in the EU/EEA; ECDC: Stockholm, Sweden, 2016. [Google Scholar]
- Decree-Law 9 April 2008, Coordinated Text with Legislative Decree 3 August 2009, n. 106, Consolidated Law on Occupational Health and Safety. [Testo Coordinato con il D.Lgs. 3 Agosto 2009, n. 106, Testo Unico Sulla Salute e Sicurezza sul Lavoro]. Available online: https://www.ispettorato.gov.it/it-it/in-evidenza/Documents/Testo-unico-salute-sicurezza-gennaio-2020.pdf (accessed on 1 October 2022).
- Bruce, M.G.; Bruden, D.; Hurlburt, D.; Zanis, C.; Thompson, G.; Rea, L.; Toomey, M.; Townshend-Bulson, L.; Rudolph, K.; Bulkow, L.; et al. Antibody Levels and Protection After Hepatitis B Vaccine: Results of a 30-Year Follow-up Study and Response to a Booster Dose. J. Infect. Dis. 2016, 214, 16–22. [Google Scholar] [CrossRef] [PubMed]
Publisher’s Note: MDPI stays neutral with regard to jurisdictional claims in published maps and institutional affiliations. |
© 2022 by the authors. Licensee MDPI, Basel, Switzerland. This article is an open access article distributed under the terms and conditions of the Creative Commons Attribution (CC BY) license (https://creativecommons.org/licenses/by/4.0/).









