Long-Term Immuno-Response and Risk of Breakthrough Infection After SARS-CoV-2 Vaccination in Kidney Transplantation
Abstract
1. Introduction
2. Methods
Statistics and Analyses
3. Results
3.1. Patients
3.2. Immune Response
3.3. Determinants of Immune Response
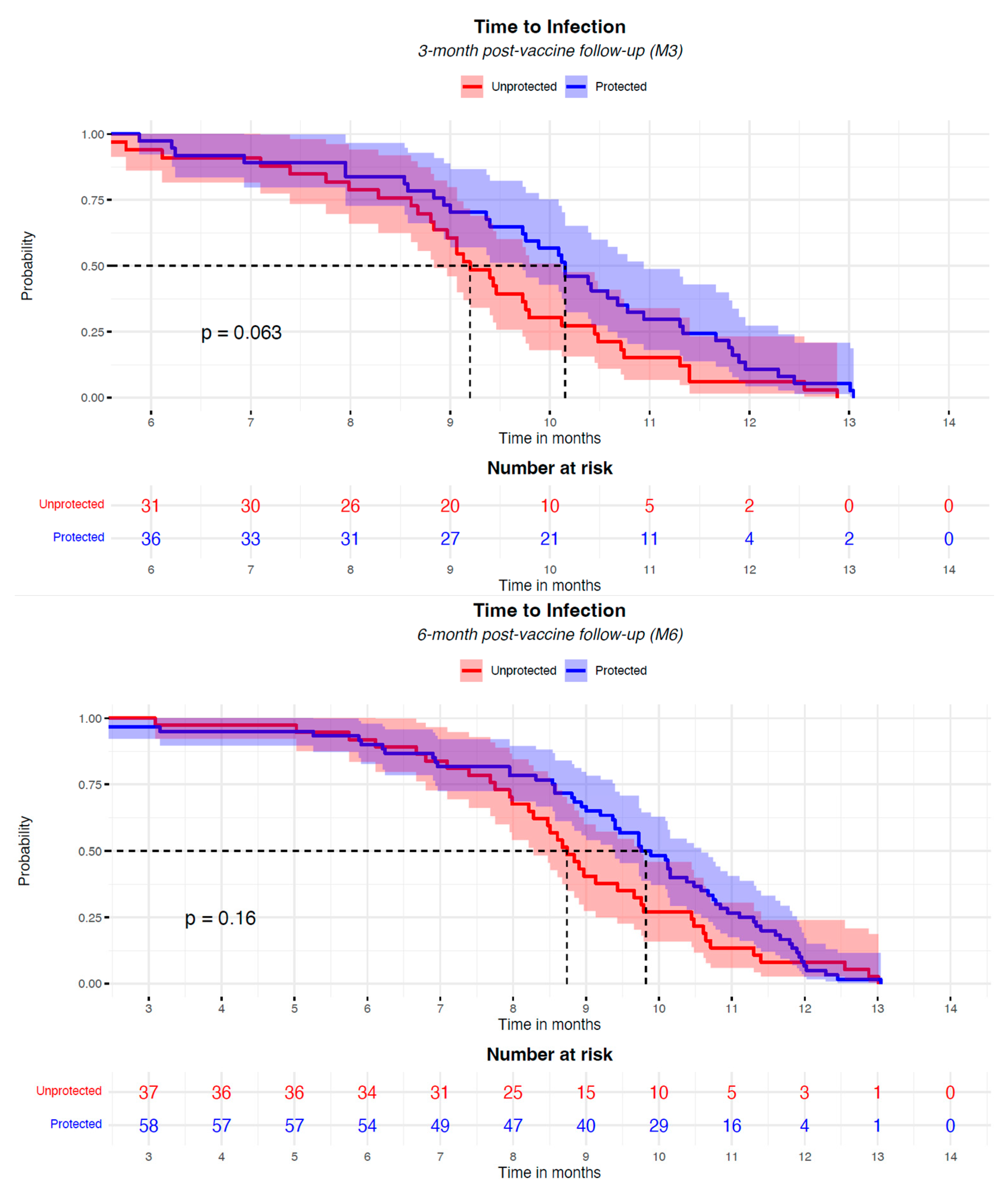
3.4. Breakthrough Infection
4. Discussion
5. Conclusions
Author Contributions
Funding
Institutional Review Board Statement
Informed Consent Statement
Data Availability Statement
Acknowledgments
Conflicts of Interest
List of Abbreviations
| Ab | Neutralizing IgG |
| aRR | Adjusted rate ratio risk |
| AU | Antibody Units |
| BAU | Binding Antibody Units |
| BMI | Body mass index |
| CI | Confidence interval |
| CNI | Calcineurin inhibitors |
| COVID | Coronavirus disease |
| DIS | Patients with previous SARS-CoV-2 disease |
| eGFR | Estimated Glomerular Filtration Rate |
| INF | Patients with previous SARS-CoV-2 infection |
| IQRs | Interquartile ranges |
| KTx | Kidney transplant |
| LMM | Linear mixed model |
| M1/3/6/9/12 | Time-point month 1/3/6/9/12 |
| MMF | Mycophenolate |
| mRNA | Messenger ribonucleic acid |
| mTORi | Mammalian Target Of Rapamycin inhibitors |
| NEG | Patients who are SARS-CoV-2 infection-naïve |
| NS | Non-significant |
| OR | Odds ratio |
| SARS-CoV-2 | SARS-coronavirus-2 |
| SOT | Solid organ transplant |
| V1/2 | Time-point vaccine 1/2 |
References
- Jacobson, I.M.; Jaffers, G.; Dienstag, J.L.; Tolkoff-Rubin, N.E.; Cosimi, A.B.; Delmonico, F.; Watkins, E.; Hinkle, C.; O’rourke, S.; Russell, P.S.; et al. Immunogenicity of Hepatitis B Vaccine in Renal Transplant Recipients. Transplantation 1985, 39, 393–395. [Google Scholar] [CrossRef]
- Azzi, Y.; Bartash, R.; Scalea, J.; Loarte-Campos, P.; Akalin, E. COVID-19 and Solid Organ Transplantation: A Review Article. Transplantation 2021, 105, 37–55. [Google Scholar] [CrossRef]
- Banerjee, D.; Popoola, J.; Shah, S.; Ster, I.C.; Quan, V.; Phanish, M. COVID-19 infection in kidney transplant recipients. Kidney Int. 2020, 97, 1076–1082. [Google Scholar] [CrossRef] [PubMed]
- Luxi, N.; Giovanazzi, A.; Capuano, A.; Crisafulli, S.; Cutroneo, P.M.; Fantini, M.P.; Ferrajolo, C.; Moretti, U.; Poluzzi, E.; Raschi, E.; et al. COVID-19 Vaccination in Pregnancy, Paediatrics, Immunocompromised Patients, and Persons with History of Allergy or Prior SARS-CoV-2 Infection: Overview of Current Recommendations and Pre- and Post-Marketing Evidence for Vaccine Efficacy and Safety. Drug Saf. 2021, 44, 1247–1269. [Google Scholar] [CrossRef]
- Polack, F.P.; Thomas, S.J.; Kitchin, N.; Absalon, J.; Gurtman, A.; Lockhart, S.; Perez, J.L.; Pérez Marc, G.; Moreira, E.D.; Zerbini, C.; et al. Safety and Efficacy of the BNT162b2 mRNA Covid-19 Vaccine. N. Engl. J. Med. 2020, 383, 2603–2615. [Google Scholar] [CrossRef]
- Boyarsky, B.J.; Werbel, W.A.; Avery, R.K.; Tobian, A.A.R.; Massie, A.B.; Segev, D.L.; Garonzik-Wang, J.M. Antibody Response to 2-Dose SARS-CoV-2 mRNA Vaccine Series in Solid Organ Transplant Recipients. JAMA 2021, 325, 2204. [Google Scholar] [CrossRef]
- Hall, V.G.; Ferreira, V.H.; Ierullo, M.; Ku, T.; Marinelli, T.; Majchrzak-Kita, B.; Yousuf, A.; Kulasingam, V.; Humar, A.; Kumar, D. Humoral and cellular immune response and safety of two-dose SARS-CoV-2 mRNA-1273 vaccine in solid organ transplant recipients. Am. J. Transplant. 2021, 21, 3980–3989. [Google Scholar] [CrossRef] [PubMed]
- Rodríguez-Espinosa, D.; Montagud-Marrahi, E.; Cacho, J.; Arana, C.; Taurizano, N.; Hermida, E.; Del Risco-Zevallos, J.; Casals, J.; Rosario, A.; Cuadrado-Payán, E.; et al. Incidence of severe breakthrough SARS-CoV-2 infections in vaccinated kidney transplant and haemodialysis patients. J. Nephrol. 2022, 35, 769–778. [Google Scholar] [CrossRef] [PubMed]
- Montagud-Marrahi, E.; Cucchiari, D.; Cuadrado-Payán, E.; Cofan, F.; Torregrosa, J.-V.; Ventura-Aguiar, P.; Revuelta, I.; Bodro, M.; Piñeiro, G.J.; Esforzado, N.; et al. SARS-CoV-2 Infection After Full Vaccination in Kidney Transplant Recipients. Transplantation 2021, 105, e278–e279. [Google Scholar] [CrossRef]
- Anjan, S.; Natori, Y.; Fernandez Betances, A.A.; Agritelley, M.S.; Mattiazzi, A.; Arosemena, L.; Andrews, D.M.; Simkins, J.; Guerra, G.; Abbo, L.M. Breakthrough COVID-19 Infections After mRNA Vaccination in Solid Organ Transplant Recipients in Miami, Florida. Transplantation 2021, 105, e139–e141. [Google Scholar] [CrossRef]
- Hamm, S.R.; Møller, D.L.; Pérez-Alós, L.; Hansen, C.B.; Pries-Heje, M.M.; Heftdal, L.D.; Hasselbalch, R.B.; Fogh, K.; Madsen, J.R.; Almagro Armenteros, J.J.; et al. Decline in Antibody Concentration 6 Months After Two Doses of SARS-CoV-2 BNT162b2 Vaccine in Solid Organ Transplant Recipients and Healthy Controls. Front. Immunol. 2022, 13, 832501. [Google Scholar] [CrossRef]
- Efros, O.; Anteby, R.; Halfon, M.; Meisel, E.; Klang, E.; Soffer, S. Efficacy and Safety of Third Dose of the COVID-19 Vaccine among Solid Organ Transplant Recipients: A Systemic Review and Meta-Analysis. Vaccines 2022, 10, 95. [Google Scholar] [CrossRef]
- Charmetant, X.; Espi, M.; Benotmane, I.; Barateau, V.; Heibel, F.; Buron, F.; Gautier-Vargas, G.; Delafosse, M.; Perrin, P.; Koenig, A.; et al. Infection or a third dose of mRNA vaccine elicits neutralizing antibody responses against SARS-CoV-2 in kidney transplant recipients. Sci. Transl. Med. 2022, 14, eabl6141. [Google Scholar] [CrossRef] [PubMed]
- Cochran, W.; Shah, P.; Barker, L.; Langlee, J.; Freed, K.; Boyer, L.; Scott Anderson, R.; Belden, M.; Bannon, J.; Kates, O.S.; et al. COVID-19 Clinical Outcomes in Solid Organ Transplant Recipients During the Omicron Surge. Transplantation 2022, 106, e346–e347. [Google Scholar] [CrossRef] [PubMed]
- Bilancio, G.; Celano, M.; Cozza, V.; Zingone, F.; Palladino, G.; Cirillo, M. Early Prediction of Cardiovascular Disease in Kidney Trans-plant Recipients. Transplant. Proc. 2017, 49, 2092–2098. [Google Scholar] [CrossRef] [PubMed]
- English, E.; Cook, L.E.; Piec, I.; Dervisevic, S.; Fraser, W.D.; John, W.G. Performance of the Abbott SARS-CoV-2 IgG II Quantitative Antibody Assay Including the New Variants of Concern, VOC 202012/V1 (United Kingdom) and VOC 202012/V2 (South Africa), and First Steps towards Global Harmonization of COVID-19 Antibody Methods. J. Clin. Microbiol. 2021, 59, e00288-e21. [Google Scholar] [CrossRef]
- Elecsys® Anti-SARS-CoV-2. Package Insert 2020-07, V3.0; Material Numbers 09203095190 and 09203079190. Available online: https://diagnostics.roche.com/global/en/products/params/elecsys-anti-sars-cov-2.html (accessed on 22 May 2025).
- Vollset, S.E. Confidence intervals for a binomial proportion. Stat. Med. 1993, 12, 809–824. [Google Scholar] [CrossRef]
- Abdi, H.; Williams, L.J. Tukey’s Honestly Significant Difference (HSD) Test. In Encyclopedia of Research Design; Salkind, N., Ed.; Sage: Thousand Oaks, CA, USA, 2010; Volume 31, pp. 1–5. [Google Scholar]
- Kamar, N.; Abravanel, F.; Marion, O.; Couat, C.; Izopet, J.; Del Bello, A. Three Doses of an mRNA COVID-19 Vaccine in Solid-Organ Transplant Recipients. N. Engl. J. Med. 2021, 385, 661–662. [Google Scholar] [CrossRef]
- Benotmane, I.; Gautier, G.; Perrin, P.; Olagne, J.; Cognard, N.; Fafi-Kremer, S.; Caillard, S. Antibody Response After a Third Dose of the mRNA-1273 SARS-CoV-2 Vaccine in Kidney Transplant Recipients with Minimal Serologic Response to 2 Doses. JAMA 2021, 326, 1063. [Google Scholar] [CrossRef]
- Caillard, S.; Thaunat, O.; Benotmane, I.; Masset, C.; Blancho, G. Antibody Response to a Fourth Messenger RNA COVID-19 Vaccine Dose in Kidney Transplant Recipients: A Case Series. Ann. Intern. Med. 2022, 175, 455–456. [Google Scholar] [CrossRef]
- Thomson, T.; Prendecki, M.; Gleeson, S.; Martin, P.; Spensley, K.; De Aguiar, R.C.; Sandhu, B.; Seneschall, C.; Gan, J.; Clarke, C.L.; et al. Immune responses following 3rd and 4th doses of heterologous and homologous COVID-19 vaccines in kidney transplant recipients. eClinicalMedicine 2022, 53, 101642. [Google Scholar] [CrossRef] [PubMed]
- Chen, X.; Luo, D.; Mei, B.; Du, J.; Liu, X.; Xie, H.; Liu, L.; Su, S.; Mai, G. Immunogenicity of COVID-19 vaccines in solid organ transplant recipients: A systematic review and meta-analysis. Clin. Microbiol. Infect. 2023, 29, 441–456. [Google Scholar] [CrossRef]
- Lasrado, N.; Barouch, D.H. SARS-CoV-2 Hybrid Immunity: The Best of Both Worlds. J. Infect. Dis. 2023, 228, 1311–1313. [Google Scholar] [CrossRef] [PubMed]
- Bertrand, D.; Hamzaoui, M.; Lemée, V.; Lamulle, J.; Hanoy, M.; Laurent, C.; Lebourg, L.; Etienne, I.; Lemoine, M.; Le Roy, F.; et al. Antibody and T Cell Response to SARS-CoV-2 Messenger RNA BNT162b2 Vaccine in Kidney Transplant Recipients and Hemodialysis Patients. J. Am. Soc. Nephrol. 2021, 32, 2147–2152. [Google Scholar] [CrossRef]
- Cucchiari, D.; Egri, N.; Bodro, M.; Herrera, S.; Del Risco-Zevallos, J.; Casals-Urquiza, J.; Cofan, F.; Moreno, A.; Rovira, J.; Banon-Maneus, E.; et al. Cellular and humoral response after MRNA-1273 SARS-CoV-2 vaccine in kidney transplant recipients. Am. J. Transplant. 2021, 21, 2727–2739. [Google Scholar] [CrossRef] [PubMed]
- Hou, Y.-C.; Lu, K.-C.; Kuo, K.-L. The Efficacy of COVID-19 Vaccines in Chronic Kidney Disease and Kidney Transplantation Patients: A Narrative Review. Vaccines 2021, 9, 885. [Google Scholar] [CrossRef]
- Sanders, J.-S.F.; Bemelman, F.J.; Messchendorp, A.L.; Baan, C.C.; van Baarle, D.; van Binnendijk, R.; Diavatopoulos, D.A.; Frölke, S.C.; Geers, D.; GeurtsvanKessel, C.H.; et al. The RECOVAC Immune-response Study: The Immunogenicity, Tolerability, and Safety of COVID-19 Vaccination in Patients with Chronic Kidney Disease, on Dialysis, or Living with a Kidney Transplant. Transplantation 2022, 106, 821–834. [Google Scholar] [CrossRef]
- Balsby, D.; Nilsson, A.C.; Möller, S.; Lindvig, S.O.; Davidsen, J.R.; Abazi, R.; Poulsen, M.K.; Holden, I.K.; Justesen, U.S.; Bistrup, C.; et al. Determinants of Antibody Response to a Third SARS-CoV-2 mRNA Vaccine Dose in Solid Organ Transplant Recipients: Results from the Prospective Cohort Study COVAC-Tx. Vaccines 2022, 10, 565. [Google Scholar] [CrossRef]
- Sakai, A.; Morishita, T.; Suzumura, K.; Hanatate, F.; Yoshikawa, T.; Sasaki, N.; Lee, S.; Fujita, K.; Hara, T.; Araki, H.; et al. The Trajectory of the COVID-19 Vaccine Antibody Titers Over Time and the Association of Mycophenolate Mofetil in Solid Organ Transplant Recipients. Transplant. Proc. 2022, 54, 2638–2645. [Google Scholar] [CrossRef]
- Alejo, J.L.; Mitchell, J.; Chiang, T.P.-Y.; Chang, A.; Abedon, A.T.; Werbel, W.A.; Boyarsky, B.J.; Zeiser, L.B.; Avery, R.K.; Tobian, A.A.R.; et al. Predicting a Positive Antibody Response After 2 SARS-CoV-2 mRNA Vaccines in Transplant Recipients: A Machine Learning Approach with External Validation. Transplantation 2022, 106, e452–e460. [Google Scholar] [CrossRef]
- Rezahosseini, O.; Hamm, S.R.; Heftdal, L.D.; Pérez-Alós, L.; Møller, D.L.; Perch, M.; Madsen, J.R.; Hald, A.; Hansen, C.B.; Armenteros, J.J.A.; et al. Humoral and T-cell response 12 months after the first BNT162b2 vaccination in solid organ transplant recipients and controls: Kinetics, associated factors, and role of SARS-CoV-2 infection. Front. Immunol. 2023, 13, 1075423. [Google Scholar] [CrossRef] [PubMed]
- Giannella, M.; Righi, E.; Pascale, R.; Rinaldi, M.; Caroccia, N.; Gamberini, C.; Palacios-Baena, Z.R.; Caponcello, G.; Morelli, M.C.; Tamè, M.; et al. Evaluation of the Kinetics of Antibody Response to COVID-19 Vaccine in Solid Organ Transplant Recipients: The Prospective Multicenter ORCHESTRA Cohort. Microorganisms 2022, 10, 1021. [Google Scholar] [CrossRef] [PubMed]
- Zong, K.; Peng, D.; Yang, H.; Huang, Z.; Luo, Y.; Wang, Y.; Xiang, S.; Li, T.; Mou, T.; Wu, Z. Risk Factors for Weak Antibody Response of SARS-CoV-2 Vaccine in Adult Solid Organ Transplant Recipients: A Systemic Review and Meta-Analysis. Front. Immunol. 2022, 13, 888385. [Google Scholar] [CrossRef]
- Manothummetha, K.; Chuleerarux, N.; Sanguankeo, A.; Kates, O.S.; Hirankarn, N.; Thongkam, A.; Dioverti-Prono, M.V.; Torvorapanit, P.; Langsiri, N.; Worasilchai, N.; et al. Immunogenicity and Risk Factors Associated with Poor Humoral Immune Response of SARS-CoV-2 Vaccines in Recipients of Solid Organ Transplant: A Systematic Review and Meta-Analysis. JAMA Netw. Open 2022, 5, e226822. [Google Scholar] [CrossRef]
- Biagio, P.; Rosa, C.; Nicola, S.M.; Fabrizio, S.; Amerigo, P.; Giulia, Z.; Riccardo, S.; Riccardo, V.; Paolo, R.; Lorenzo, S.; et al. Serological Response and Clinical Protection of Anti-SARS-CoV-2 Vaccination and the Role of Immunosuppressive Drugs in a Cohort of Kidney Transplant Patients. Viruses 2022, 14, 1951. [Google Scholar] [CrossRef] [PubMed]
- Bae, S.; Alejo, J.L.; Chiang, T.P.Y.; Werbel, W.A.; Tobian, A.A.R.; Moore, L.W.; Guha, A.; Huang, H.J.; Knight, R.J.; Gaber, A.O.; et al. mTOR inhibitors, mycophenolates, and other immunosuppression regimens on antibody response to SARS-CoV-2 mRNA vaccines in solid organ transplant recipients. Am. J. Transplant. 2022, 22, 3137–3142. [Google Scholar] [CrossRef]
- Istituto Superiore Sanità. Prevalenza e Distribuzione Delle Varianti di SARS-CoV-2 di Interesse per la Sanità Pubblica in Italia. Rapporto n. 17, 18 Febbraio 2022. Available online: https://www.epicentro.iss.it/coronavirus/pdf/sars-cov-2-monitoraggio-varianti-rapporti-periodici-18-febbraio-2022.pdf (accessed on 22 May 2025).
- Cele, S.; Jackson, L.; Khoury, D.S.; Khan, K.; Moyo-Gwete, T.; Tegally, H.; San, J.E.; Cromer, D.; Scheepers, C.; Amoako, D.; et al. SARS-CoV-2 Omicron has extensive but incomplete escape of Pfizer BNT162b2 elicited neutralization and requires ACE2 for infection, Infectious Diseases (except HIV/AIDS). medRxiv 2021. [Google Scholar] [CrossRef]
- Sun, J.; Zheng, Q.; Madhira, V.; Olex, A.L.; Anzalone, A.J.; Vinson, A.; Singh, J.A.; French, E.; Abraham, A.G.; Mathew, J.; et al. Association Between Immune Dysfunction and COVID-19 Breakthrough Infection After SARS-CoV-2 Vaccination in the US. JAMA Intern. Med. 2022, 182, 153. [Google Scholar] [CrossRef] [PubMed]
- Agrawal, U.; Bedston, S.; McCowan, C.; Oke, J.; Patterson, L.; Robertson, C.; Akbari, A.; Azcoaga-Lorenzo, A.; Bradley, D.T.; Fagbamigbe, A.F.; et al. Severe COVID-19 outcomes after full vaccination of primary schedule and initial boosters: Pooled analysis of national prospective cohort studies of 30 million individuals in England, Northern Ireland, Scotland, and Wales. The Lancet 2022, 400, 1305–1320. [Google Scholar] [CrossRef]
- Netti, G.S.; Infante, B.; Troise, D.; Mercuri, S.; Panico, M.; Spadaccino, F.; Catalano, V.; Gigante, M.; Simone, S.; Pontrelli, P.; et al. mTOR inhibitors improve both humoral and cellular response to SARS-CoV-2 messenger RNA BNT16b2 vaccine in kidney transplant recipients. Am. J. Transplant. 2022, 22, 1475–1482. [Google Scholar] [CrossRef]
- Bonazzetti, C.; Tazza, B.; Gibertoni, D.; Pasquini, Z.; Caroccia, N.; Fanì, F.; Fornaro, G.; Pascale, R.; Rinaldi, M.; Miani, B.; et al. Relationship Between Immune Response to Severe Acute Respiratory Syndrome Coronavirus 2 Vaccines and Development of Breakthrough Infection in Solid Organ Transplant Recipients: The CONTRAST Cohort. Clin. Infect. Dis. 2023, 76, 1761–1767. [Google Scholar] [CrossRef] [PubMed]
- Wijaya, R.; Johnson, M.; Campbell, N.; Stuart, B.; Kelly, A.; Tipler, N.; Menne, T.; Ahearne, M.J.; Willimott, V.; Al-Naeeb, A.B.; et al. Predicting COVID-19 infection risk in people who are immunocompromised by antibody testing. Lancet 2023, 402, 99–102. [Google Scholar] [CrossRef] [PubMed]
- Vanlerberghe, B.; Vrij, C.; Bogaerts, K.; Vermeersch, P.; Lagrou, K.; Molenberghs, G.; Rega, F.; Ceulemans, L.J.; Van Raemdonck, D.; Jochmans, I.; et al. SARS-CoV-2 vaccine antibody response and breakthrough infections in transplant recipients. J. Med. Virol. 2023, 95, e28736. [Google Scholar] [CrossRef] [PubMed]
- Han, A.; Min, S.; Jo, E.-A.; Lee, H.; Kim, Y.C.; Han, S.S.; Kang, H.G.; Ahn, Y.H.; Oh, I.; Song, E.Y.; et al. Association Between Low Anti-spike Antibody Levels After the Third Dose of SARS-CoV-2 Vaccination and Hospitalization due to Symptomatic Breakthrough Infection in Kidney Transplant Recipients. Ann. Lab. Med. 2024, 44, 64–73. [Google Scholar] [CrossRef]
- Koelle, K.; Martin, M.A.; Antia, R.; Lopman, B.; Dean, N.E. The changing epidemiology of SARS-CoV-2. Science 2022, 375, 1116–1121. [Google Scholar] [CrossRef]
- Altarawneh, H.N.; Chemaitelly, H.; Ayoub, H.H.; Tang, P.; Hasan, M.R.; Yassine, H.M.; Al-Khatib, H.A.; Smatti, M.K.; Coyle, P.; Al-Kanaani, Z.; et al. Effects of Previous Infection and Vaccination on Symptomatic Omicron Infections. N. Engl. J. Med. 2022, 387, 21–34. [Google Scholar] [CrossRef]





| All Patients | SARS-CoV-2 Subgroups | |||
|---|---|---|---|---|
| Disease | Infection | Negative | ||
| Patients, n | 189 | 22 | 10 | 157 |
| Gender, % males | 73.5 | 77.3 | 50.0 | 74.5 |
| Age, years | 55.4 ± 11.1 | 52.0 ± 14.0 | 49.9 ± 13.1 | 56.2 ± 12.8 |
| BMI, kg/m2 | 26.2 ± 4.6 | 27.0 ± 5.0 | 26.1 ± 4.4 | 26.1 ± 4.7 |
| Diabetes, % | 16.4 | 4.5 | 20.0 | 17.8 |
| Kidney disease, % | ||||
| Glomerulonephritis | 15.3 | 27.3 | 20.0 | 13.4 |
| Diabetic nephropathy | 2.6 | 0.0 | 0.0 | 3.2 |
| Interstitial nephropathy | 1.1 | 0.0 | 0.0 | 1.3 |
| Nephroangiosclerosis | 4.8 | 9.1 | 0.0 | 4.5 |
| Immune diseases | 11.6 | 4.5 | 10.0 | 12.7 |
| Unknown | 33.9 | 36.4 | 50.0 | 32.5 |
| Congenital/ADPKD | 30.7 | 22.7 | 20.0 | 32.5 |
| Previous transplant, % | 15.9 | 9.1 | 0.0 | 17.8 |
| Current transplant, % | ||||
| Deceased donor | 87.8 | 90.8 | 90.0 | 87.3 |
| Living donor | 10.6 | 9.1 | 10.0 | 10.8 |
| Kidney/pancreas | 1.6 | 0.0 | 0.0 | 1.9 |
| Transplant age, years | 12.9 ± 8.22 | 13.0 ± 8.37 | 17.0 ± 8.38 | 12.6 ± 8.17 |
| eGFREPI, mL/min/1.73 m2 | 61.7 ± 27.9 | 65.0 ± 30.9 | 56.0 ± 31.7 | 61.6 ± 27.4 |
| Immunosuppressive drugs, % | ||||
| Calcineurin-i | 97.4 | 95.5 | 100 | 97.5 |
| mTOR-i | 16.4 | 13.6 | 10.0 | 17.2 |
| Antimetabolite | 69.3 | 81.0 | 60.0 | 68.2 |
| Steroids | 89.9 | 95.5 | 100 | 97.5 |
| Time-Points from V2 to M12 | ||||
|---|---|---|---|---|
| Coefficient | Value | % | 95% CI | p-Value |
| (Intercept) | 1.956 | 8936.50 | 417.6/157,298.3 | 0.002 |
| M1 | 1.193 | 1459.60 | 420.0/4588.1 | <0.001 |
| M3 | 0.839 | 590.20 | 123.9/2023.2 | 0.001 |
| M6 | 0.870 | 641.30 | 153.5/2067.7 | <0.001 |
| M9 | 1.317 | 1974.90 | 557.7/6461.5 | <0.001 |
| M12 | 1.465 | 2817.40 | 769.0/9672.4 | <0.001 |
| Age | −0.022 | −4.9 | −7.3/−2.5 | <0.001 |
| Gender, male | −0.021 | −4.7 | −53.5/95.4 | 0.896 |
| BMI | 0.043 | 10.40 | 3.0/18.0 | 0.004 |
| Antimetabolite | −0.528 | −70.4 | −87.2/−31.0 | 0.005 |
| Steroid | −0.792 | −83.9 | −94.2/−55.1 | 0.001 |
| Donor type, living donor | 0.162 | 45.20 | −42.3/264.8 | 0.426 |
| Diabetes | −0.222 | −40.0 | −74.4/40.6 | 0.237 |
| eGFR | 0.000 | 0.00 | −1.4/1.6 | 0.945 |
| COVID-19 Breakthrough Infection | No COVID-19 Breakthrough Infection | p-Value | |
|---|---|---|---|
| Patients, n (%) | 104 (31.9) | 222 (68.1) | |
| Age, years | 55.1 ± 12.9 | 56.9 ± 11.7 | 0.22 |
| Gender, % male | 66.3 | 69.8 | 0.52 |
| BMI, kg/m2 | 26.0 ± 4.2 | 26.8 ± 4.7 | 0.20 |
| Previous transplant, % | 16.3 | 11.7 | 0.29 |
| Transplant type, % alive | 14.4 | 10.8 | 0.36 |
| Age at transplant, years | 42.2 ± 13.2 | 44.2 ± 13.5 | 0.15 |
| Diabetes, % | 15.4 | 17.1 | 0.75 |
| Antimetabolite, % | 75.0 | 69.4% | 0.36 |
| mTORi, % | 8.7 | 17.6 | 0.04 |
| Steroid, % | 91.3 | 89.2 | 0.69 |
| eGFR, mL/min/1.73 m2 | 62.0 ± 22.0 | 62.0 ± 28.7 | 0.93 |
| Anti-spike IgG-II titer V2, AU/mL | 5.55 ± 23.30 | 4.10 ± 40.70 | 0.88 |
| Anti-spike IgG-II titer V2, % >50 AU/mL | 10.6 | 14.4 | 0.57 |
| Anti-spike IgG-II titer M3, AU/mL | 65.30 ± 461.00 | 115.00 ± 951.00 | 0.23 |
| Anti-spike IgG-II titer M3, % >50 AU/mL | 35.6 | 45.0 | 0.25 |
| Booster, % | 90.4 | 96.4 | 0.11 |
| Anti-spike IgG-II titer M6, AU/mL | 193.00 ± 1160.00 | 140.00 ± 3690.00 | 0.81 |
| Anti-spike IgG-II titer M6, % >50 AU/mL | 57.7 | 53.2 | 0.80 |
| Symptomatic, n (%) | 63 (60.5) | --- | 0.99 |
| Death, n (%) | 2 (2) | --- | 0.99 |
Disclaimer/Publisher’s Note: The statements, opinions and data contained in all publications are solely those of the individual author(s) and contributor(s) and not of MDPI and/or the editor(s). MDPI and/or the editor(s) disclaim responsibility for any injury to people or property resulting from any ideas, methods, instructions or products referred to in the content. |
© 2025 by the authors. Licensee MDPI, Basel, Switzerland. This article is an open access article distributed under the terms and conditions of the Creative Commons Attribution (CC BY) license (https://creativecommons.org/licenses/by/4.0/).
Share and Cite
Bellizzi, V.; Fordellone, M.; Secondulfo, C.; Chiodini, P.; Bilancio, G. Long-Term Immuno-Response and Risk of Breakthrough Infection After SARS-CoV-2 Vaccination in Kidney Transplantation. Vaccines 2025, 13, 566. https://doi.org/10.3390/vaccines13060566
Bellizzi V, Fordellone M, Secondulfo C, Chiodini P, Bilancio G. Long-Term Immuno-Response and Risk of Breakthrough Infection After SARS-CoV-2 Vaccination in Kidney Transplantation. Vaccines. 2025; 13(6):566. https://doi.org/10.3390/vaccines13060566
Chicago/Turabian StyleBellizzi, Vincenzo, Mario Fordellone, Carmine Secondulfo, Paolo Chiodini, and Giancarlo Bilancio. 2025. "Long-Term Immuno-Response and Risk of Breakthrough Infection After SARS-CoV-2 Vaccination in Kidney Transplantation" Vaccines 13, no. 6: 566. https://doi.org/10.3390/vaccines13060566
APA StyleBellizzi, V., Fordellone, M., Secondulfo, C., Chiodini, P., & Bilancio, G. (2025). Long-Term Immuno-Response and Risk of Breakthrough Infection After SARS-CoV-2 Vaccination in Kidney Transplantation. Vaccines, 13(6), 566. https://doi.org/10.3390/vaccines13060566

