Effect of Methacrylic Acid Monomer on UV-Grafted Polyethersulfone Forward Osmosis Membrane
Abstract
1. Introduction
2. Materials and Methods
2.1. Materials
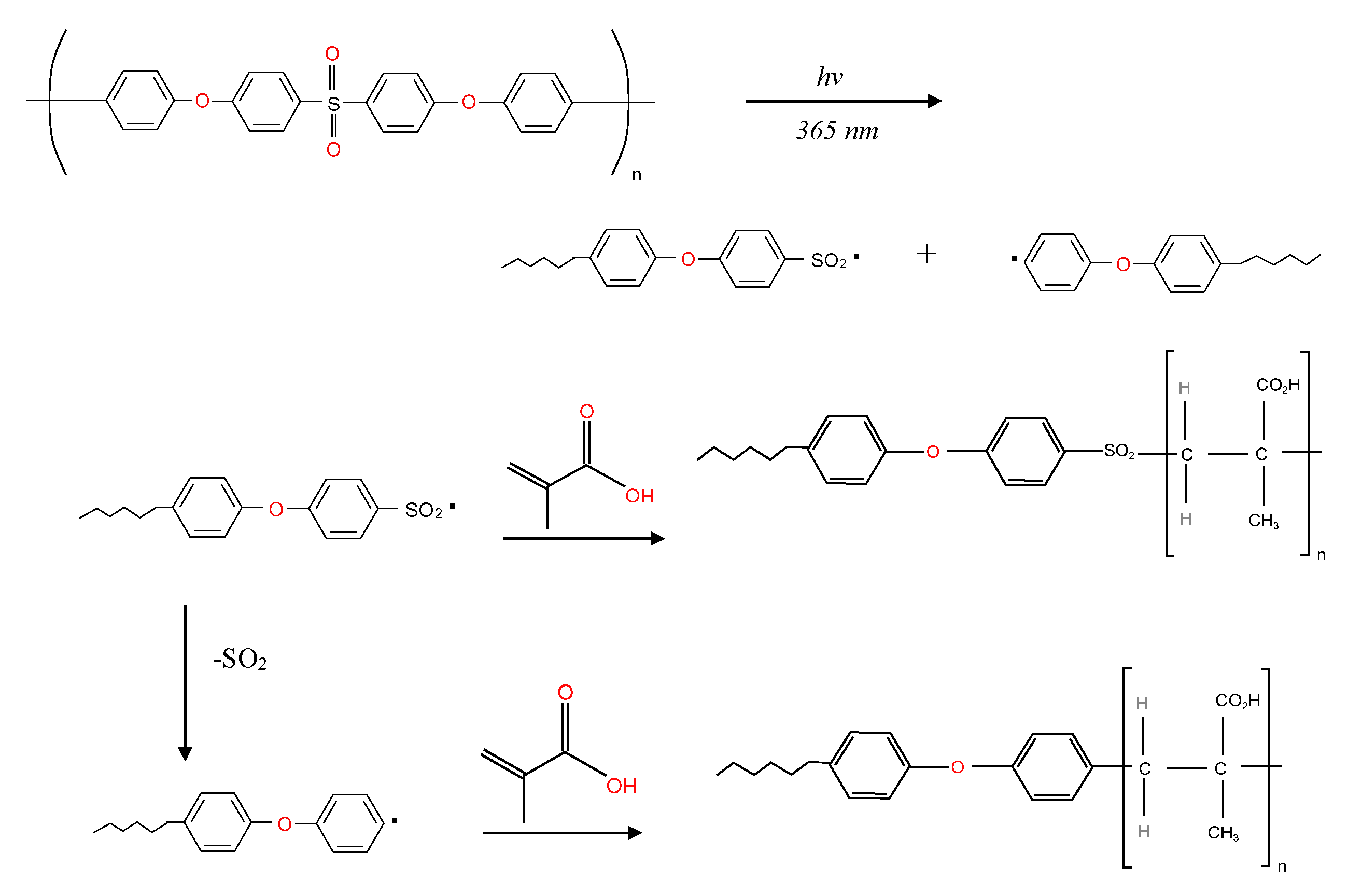
2.2. UV Irradiation
2.3. Morphological Characterization
2.4. FO Membrane Performance
3. Results and Discussion
3.1. Membrane Characteristics
3.2. Degree of Grafting (DG)
3.3. Surface Roughness
3.4. Membrane Structure
3.5. Evaluation of FO Membrane Performance
3.6. Intrinsic Test
4. Conclusions
Supplementary Materials
Author Contributions
Funding
Institutional Review Board Statement
Data Availability Statement
Acknowledgments
Conflicts of Interest
References
- Sark, J.F.; Jullok, N.; Lau, W.J. Improving the structural parameter of the membrane sublayer for enhanced forward osmosis. Membranes 2021, 11, 448. [Google Scholar] [CrossRef] [PubMed]
- Wang, R.; Shi, L.; Tang, C.Y.; Chou, S.; Qiu, C.; Fane, A.G. Characterization of novel forward osmosis hollow fiber membranes. J. Membr. Sci. 2010, 355, 158–167. [Google Scholar] [CrossRef]
- Yuan, H.; Hao, R.; Sun, H.; Zeng, W.; Lin, J.; Lu, S.; Yu, M.; Lin, S.; Li, J.; Chen, L. Engineered Janus cellulose membrane with the asymmetric-pore structure for the superhigh-water flux desalination. Carbohydr. Polym. 2022, 291, 119601. [Google Scholar] [CrossRef] [PubMed]
- Yip, N.Y.; Tiraferri, A.; Phillip, W.A.; Schiffman, J.D.; Elimelech, M. High performance thin-film composite forward osmosis membrane. Environ. Sci. Technol. 2010, 44, 3812–3818. [Google Scholar] [CrossRef] [PubMed]
- Zeng, W.; Yu, M.; Lin, J.; Huang, L.; Li, J.; Lin, S.; Chen, L. Electrospun chitosan nanofiber constructing superhigh-water-flux forward osmosis membrane. Int. J. Biol. Macromol. 2023, 226, 833–839. [Google Scholar] [CrossRef]
- Suwaileh, W.; Johnson, D.; Khodabakhshi, S.; Hilal, N. Superior cross-linking assisted layer by layer modification of forward osmosis membranes for brackish water desalination. Desalination 2019, 463, 1–12. [Google Scholar] [CrossRef]
- Yang, L.; Zhang, J.; Song, P.; Wang, Z. Layer-by-Layer Assembly for Preparation of High-Performance Forward Osmosis Membrane. In Proceedings of IOP Conference Series: Materials Science and Engineering, Xiamen, China, 15–17 December 2017; p. 012032. [Google Scholar]
- Ying, A.L.Y.; Seman, M.N.A. Effect of number of layers and deposition time on layer-by-layer (LbL) composite forward osmosis membrane. Mater. Today Proc. 2021, 41, 9–13. [Google Scholar] [CrossRef]
- Rahman, A.A.; Seman, M.A. Modification of commercial Ultrafiltration and Nanofiltration Membranes by UV-photografting Technique for Forward Osmosis Application. Mater. Today Proc. 2019, 17, 590–598. [Google Scholar] [CrossRef]
- Rahman, A.; Aziz, S.; Seman, M.A. Water flux prediction of UV-photografted nanofiltration membrane for forward osmosis application. Proc. IOP Conf. Ser. Mater. Sci. Eng. 2020, 736, 022094. [Google Scholar] [CrossRef]
- Rahman, A.F.H.B.A.; Seman, M.N.B.A. Surface modification of polyethersulfone membrane via UV-grafting for forward osmosis technology. Malays. J. Anal. Sci. 2018, 22, 542–552. [Google Scholar]
- Garcia-Ivars, J.; Iborra-Clar, M.-I.; Alcaina-Miranda, M.-I.; Mendoza-Roca, J.-A.; Pastor-Alcañiz, L. Surface photomodification of flat-sheet PES membranes with improved antifouling properties by varying UV irradiation time and additive solution pH. Chem. Eng. J. 2016, 283, 231–242. [Google Scholar] [CrossRef]
- Ng, L.Y.; Ahmad, A.; Mohammad, A.W. Alteration of polyethersulphone membranes through UV-induced modification using various materials: A brief review. Arab. J. Chem. 2017, 10, S1821–S1834. [Google Scholar] [CrossRef]
- Seman, M.A.; Khayet, M.; Hilal, N. Comparison of two different UV-grafted nanofiltration membranes prepared for reduction of humic acid fouling using acrylic acid and N-vinylpyrrolidone. Desalination 2012, 287, 19–29. [Google Scholar] [CrossRef]
- Rahman, A.F.H.B.A.; Seman, M.N.B.A. Polyacrylic-polyethersulfone membrane modified via UV photografting for forward osmosis application. J. Environ. Chem. Eng. 2018, 6, 4368–4379. [Google Scholar] [CrossRef]
- Kaeselev, B.; Kingshott, P.; Jonsson, G. Influence of the surface structure on the filtration performance of UV-modified PES membranes. Desalination 2002, 146, 265–271. [Google Scholar] [CrossRef]
- Taniguchi, M.; Belfort, G. Low protein fouling synthetic membranes by UV-assisted surface grafting modification: Varying monomer type. J. Membr. Sci. 2004, 231, 147–157. [Google Scholar] [CrossRef]
- Seman, M.A.; Khayet, M.; Ali, Z.B.; Hilal, N. Reduction of nanofiltration membrane fouling by UV-initiated graft polymerization technique. J. Membr. Sci. 2010, 355, 133–141. [Google Scholar] [CrossRef]
- Rahimpour, A. UV photo-grafting of hydrophilic monomers onto the surface of nano-porous PES membranes for improving surface properties. Desalination 2011, 265, 93–101. [Google Scholar] [CrossRef]
- Aziz, S.; Rahman, A.; Seman, A.; Hilal, N. Comparison of the intrinsic parameters (A, B, and S) of a forward osmosis membrane using pressurized and non-pressurized methods. Desalination Water Treat. 2018, 129, 14–23. [Google Scholar] [CrossRef]
- Kim, B.; Gwak, G.; Hong, S. Review on methodology for determining forward osmosis (FO) membrane characteristics: Water permeability (A), solute permeability (B), and structural parameter (S). Desalination 2017, 422, 5–16. [Google Scholar] [CrossRef]
- Morales-Torres, S.; Esteves, C.M.; Figueiredo, J.L.; Silva, A.M. Thin-film composite forward osmosis membranes based on polysulfone supports blended with nanostructured carbon materials. J. Membr. Sci. 2016, 520, 326–336. [Google Scholar] [CrossRef]
- Bilad, M.; Qing, L.; Fane, A.G. Non-linear least-square fitting method for characterization of forward osmosis membrane. J. Water Process Eng. 2018, 25, 70–80. [Google Scholar] [CrossRef]
- Tiraferri, A.; Yip, N.Y.; Straub, A.P.; Castrillon, S.R.-V.; Elimelech, M. A method for the simultaneous determination of transport and structural parameters of forward osmosis membranes. J. Membr. Sci. 2013, 444, 523–538. [Google Scholar] [CrossRef]
- Russo, F.; Bulzomì, M.; Di Nicolò, E.; Ursino, C.; Figoli, A. Enhanced Anti-Fouling Behavior and Performance of PES Membrane by UV Treatment. Processes 2021, 9, 246. [Google Scholar] [CrossRef]
- Bernstein, R.; Singer, C.E.; Singh, S.P.; Mao, C.; Arnusch, C.J. UV initiated surface grafting on polyethersulfone ultrafiltration membranes via ink-jet printing-assisted modification. J. Membr. Sci. 2018, 548, 73–80. [Google Scholar] [CrossRef]
- Ruangdit, S.; Sirijaruku, S.; Chittrakarn, T.; Kaew-on, C. Enhancing hydrophilicity of polysulfone membrane surface by uv irradiation of different wavelengths and by peg grafting. J. Teknol. 2021, 83, 111–117. [Google Scholar] [CrossRef]
- Chung, Y.T.; Ng, L.Y.; Mohammad, A.W. Sulfonated-polysulfone membrane surface modification by employing methacrylic acid through UV-grafting: Optimization through response surface methodology approach. J. Ind. Eng. Chem. 2014, 20, 1549–1557. [Google Scholar] [CrossRef]
- Ahmad, N.; Leo, C.; Ahmad, A.; Ramli, W. Membranes with great hydrophobicity: A review on preparation and characterization. Sep. Purif. Rev. 2015, 44, 109–134. [Google Scholar] [CrossRef]
- Vatanpour, V.; Madaeni, S.S.; Moradian, R.; Zinadini, S.; Astinchap, B. Novel antibifouling nanofiltration polyethersulfone membrane fabricated from embedding TiO2 coated multiwalled carbon nanotubes. Sep. Purif. Technol. 2012, 90, 69–82. [Google Scholar] [CrossRef]
- John Wiley & Sons, Inc. SpectraBase. SpectraBase Compound ID=LB36GSdoVUx, SpectraBase Spectrum ID=C3kq8tt6G80. Available online: https://spectrabase.com/spectrum/C3kq8tt6G80 (accessed on 22 September 2021).
- Arkhangelsky, E.; Kuzmenko, D.; Gitis, V. Impact of chemical cleaning on properties and functioning of polyethersulfone membranes. J. Membr. Sci. 2007, 305, 176–184. [Google Scholar] [CrossRef]
- Yadav, K.; Morison, K.R. Effects of hypochlorite exposure on flux through polyethersulphone ultrafiltration membranes. Food Bioprod. Process. 2010, 88, 419–424. [Google Scholar] [CrossRef]
- Emin, C.; Remigy, J.-C.; Lahitte, J.-F. Influence of UV grafting conditions and gel formation on the loading and stabilization of palladium nanoparticles in photografted polyethersulfone membrane for catalytic reactions. J. Membr. Sci. 2014, 455, 55–63. [Google Scholar] [CrossRef]
- Ye, H.; Yu, T.; Li, Y.; Zhang, Y.; Xin, Q.; Zhao, L.; Li, H. Manipulation of Grafting Location via Photografting To Fabricate High-Performance Ethylene Vinyl Alcohol Copolymer Membrane for Protein Separation. ACS Omega 2019, 4, 3514–3526. [Google Scholar] [CrossRef]
- Wu, C.; Zheng, J.; Hu, J. Novel antifouling polysulfone matrix membrane modified with zwitterionic polymer. J. Saudi Chem. Soc. 2021, 25, 101281. [Google Scholar] [CrossRef]
- Lim, S.J.; Shin, I.H. Graft copolymerization of GMA and EDMA on PVDF to hydrophilic surface modification by electron beam irradiation. Nucl. Eng. Technol. 2020, 52, 373–380. [Google Scholar] [CrossRef]
- Wei, X.; Wang, R.; Li, Z.; Fane, A.G. Development of a novel electrophoresis-UV grafting technique to modify PES UF membranes used for NOM removal. J. Membr. Sci. 2006, 273, 47–57. [Google Scholar] [CrossRef]
- Pinem, J.; Wardani, A.; Aryanti, P.; Khoiruddin, K.; Wenten, I.G. Hydrophilic Modification of Polymeric Membrane using Graft Polymerization Method: A Mini Review. In IOP Conference Series: Materials Science and Engineering; IOP Publishing: Bristol, UK, 2019; p. 012054. [Google Scholar]
- Miller, D.J.; Dreyer, D.R.; Bielawski, C.W.; Paul, D.R.; Freeman, B.D. Surface modification of water purification membranes. Angew. Chem. Int. Ed. 2017, 56, 4662–4711. [Google Scholar] [CrossRef]
- Cohen, Y.; Lin, N.; Varin, K.J.; Chien, D.; Hicks, R.F. Membrane Surface Nanostructuring with Terminally Anchored Polymer Chains. In Functional Nanostructured Materials and Membranes for Water Treatment; Wiley: Hoboken, NJ, USA, 2013; pp. 85–124. [Google Scholar]
- Kahrizi, M.; Gonzales, R.R.; Kong, L.; Matsuyama, H.; Lu, P.; Lin, J.; Zhao, S. Significant roles of substrate properties in forward osmosis membrane performance: A review. Desalination 2022, 528, 115615. [Google Scholar] [CrossRef]
- Philip, W.A.; Yong, J.S.; Elimelech, M. Reverse Draw Solute Permeation in Forward Osmosis: Modeling and Experiments. Environ. Sci. Technol. 2010, 44, 5170–5176. [Google Scholar] [CrossRef]
- Emadzadeh, D.; Lau, W.; Ismail, A.F. Synthesis of thin film nanocomposite forward osmosis membrane with enhancement in water flux without sacrificing salt rejection. Desalination 2013, 330, 90–99. [Google Scholar] [CrossRef]
- Niksefat, N.; Jahanshahi, M.; Rahimpour, A. The effect of SiO2 nanoparticles on morphology and performance of thin film composite membranes for forward osmosis application. Desalination 2014, 343, 140–146. [Google Scholar] [CrossRef]














| Membrane | Monomers | Remarks | Ref. |
|---|---|---|---|
| NF PES membrane purchased from Amfor Inc. (China) | AA | For a high monomer concentration, the thickness of the grafted layer increases, improving the transport resistance. | [15] |
| UF PES membrane purchased from Amfor Inc. (China) | AA | The effect of degradation of PES due to irradiation is unavoidable, because prolonging grafting time leads to an increase in the pore size due to polymeric chain scission. | [11] |
| PES UF membrane manufactured by DSS | NVP, 2-acrylamido glycolic acid monohydrate (AAG) and 2-acrylamido-2-methyl-1-propane sulfonic acid (AAP) | The membrane grafted with AAG shows a higher grafting level compared to the rest of the membranes. | [16] |
| PES membranes with different MWCO obtained from Pall Filtron Corp. (East Hills, NY) | NVP, 2-hydroxyethyl methacrylate (HEMA), 2-acrylamido-2-methyl-1-propane sulfonic acid (AMPS), 3-sulfopropyl methacrylate potassium salt (SPMA), 2-acrylamido glycolic acid (AAG) and AA | The selection of the monomer is dictated by the applications in which the modified membrane would be used. | [17] |
| NFPES10, supplied by Hoechst Company | AA | The AA UV-grafted membrane exhibits higher rejection factors and low fouling tendency versus the unmodified membrane for similar humic acid (HA) pH values. | [18] |
| PES flat sheet membranes (self-made via phase inversion) | 2-hydroxyethyl methacrylate (HEMA), AA, 1,3-phenylenediamine (mPDA) and ethylenediamine (EDA) | All grafted PES membranes are more hydrophilic than unmodified ones, and HEMA-grafted membrane exhibits the best hydrophilic surface. | [19] |
| NFPES10, supplied by Hoechst Company | NVP and AA | Higher degree of grafting (DG) is observed for longer irradiation until a certain level at which it starts to decrease, probably due to overexposure to UV light. | [14] |
| Membrane | Monomer Concentration (M) | Irradiation Time (min) |
|---|---|---|
| NF2 PES | - | - |
| 0.1MAA3 | 0.1 | 3 |
| 0.1MAA5 | 0.1 | 5 |
| 0.1MAA10 | 0.1 | 10 |
| 0.5MAA3 | 0.5 | 3 |
| 0.5MAA5 | 0.5 | 5 |
| 0.5MAA10 | 0.5 | 10 |
| 1.0MAA3 | 1.0 | 3 |
| 1.0MAA5 | 1.0 | 5 |
| 1.0MAA10 | 1.0 | 10 |
| Membrane | Ra (nm) | Rq (nm) | Rz (nm) |
|---|---|---|---|
| NF2 PES | 2.173 | 2.769 | 24.429 |
| 0.1 MAA 3 | 3.276 | 4.304 | 36.371 |
| 0.5 MAA 3 | 1.502 | 1.827 | 10.915 |
| 1.0 MAA 3 | 2.304 | 3.200 | 51.720 |
| 0.5 MAA 5 | 1.629 | 2.073 | 18.826 |
| 0.5 MAA 10 | 2.237 | 3.244 | 35.234 |
| Sample | A (Lm−2h−1bar−1) | B (Lm−2h−1) | S (µm) | B/A | E (%) |
|---|---|---|---|---|---|
| NF 2 PES | 0.0112 | 0.2912 | - | 26.0 | 8.58 |
| 0.1 MAA 3 | 0.0239 | 0.3445 | 1211.23 | 14.4 | 1.41 |
| 0.1 MAA 5 | 0.0252 | 0.3352 | 965.85 | 13.3 | 1.21 |
| 0.1 MAA 10 | 0.0287 | 0.3620 | 1019.96 | 12.6 | 1.09 |
| 0.5 MAA 3 | 0.0285 | 0.3707 | 956.12 | 13.0 | 0.90 |
| 0.5 MAA 5 | 0.0311 | 0.3404 | 637.69 | 10.9 | 1.11 |
| 0.5 MAA 10 | 0.0324 | 0.4441 | 672.45 | 13.7 | 1.44 |
| 1.0 MAA 3 | 0.0248 | 0.3248 | 834.80 | 13.1 | 1.52 |
| 1.0 MAA 5 | 0.0251 | 0.3295 | 690.90 | 13.1 | 1.11 |
| 1.0 MAA 10 | 0.0327 | 0.4664 | 641.62 | 14.3 | 1.52 |
Disclaimer/Publisher’s Note: The statements, opinions and data contained in all publications are solely those of the individual author(s) and contributor(s) and not of MDPI and/or the editor(s). MDPI and/or the editor(s) disclaim responsibility for any injury to people or property resulting from any ideas, methods, instructions or products referred to in the content. |
© 2023 by the authors. Licensee MDPI, Basel, Switzerland. This article is an open access article distributed under the terms and conditions of the Creative Commons Attribution (CC BY) license (https://creativecommons.org/licenses/by/4.0/).
Share and Cite
A. Aziz, S.N.S.; Abu Seman, M.N.; Saufi, S.M.; Mohammad, A.W.; Khayet, M. Effect of Methacrylic Acid Monomer on UV-Grafted Polyethersulfone Forward Osmosis Membrane. Membranes 2023, 13, 232. https://doi.org/10.3390/membranes13020232
A. Aziz SNS, Abu Seman MN, Saufi SM, Mohammad AW, Khayet M. Effect of Methacrylic Acid Monomer on UV-Grafted Polyethersulfone Forward Osmosis Membrane. Membranes. 2023; 13(2):232. https://doi.org/10.3390/membranes13020232
Chicago/Turabian StyleA. Aziz, S. N. S., M. N. Abu Seman, S. M. Saufi, A. W. Mohammad, and M. Khayet. 2023. "Effect of Methacrylic Acid Monomer on UV-Grafted Polyethersulfone Forward Osmosis Membrane" Membranes 13, no. 2: 232. https://doi.org/10.3390/membranes13020232
APA StyleA. Aziz, S. N. S., Abu Seman, M. N., Saufi, S. M., Mohammad, A. W., & Khayet, M. (2023). Effect of Methacrylic Acid Monomer on UV-Grafted Polyethersulfone Forward Osmosis Membrane. Membranes, 13(2), 232. https://doi.org/10.3390/membranes13020232

