Survival of Breast Cancer by Stage, Grade and Molecular Groups in Mallorca, Spain
Abstract
:1. Introduction
2. Materials and Methods
2.1. Patient Involvement
2.2. Variables
2.3. Statistical Analysis
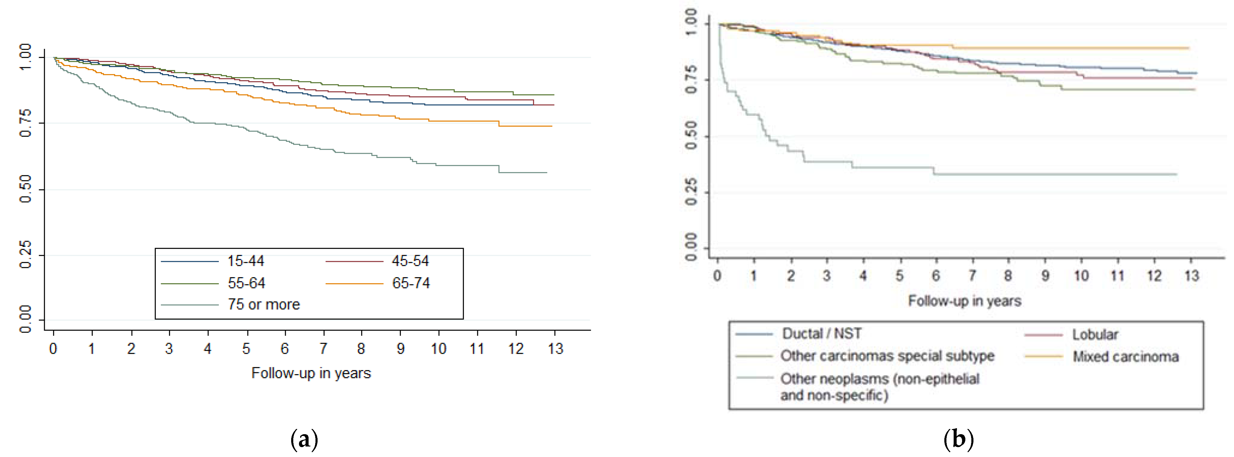
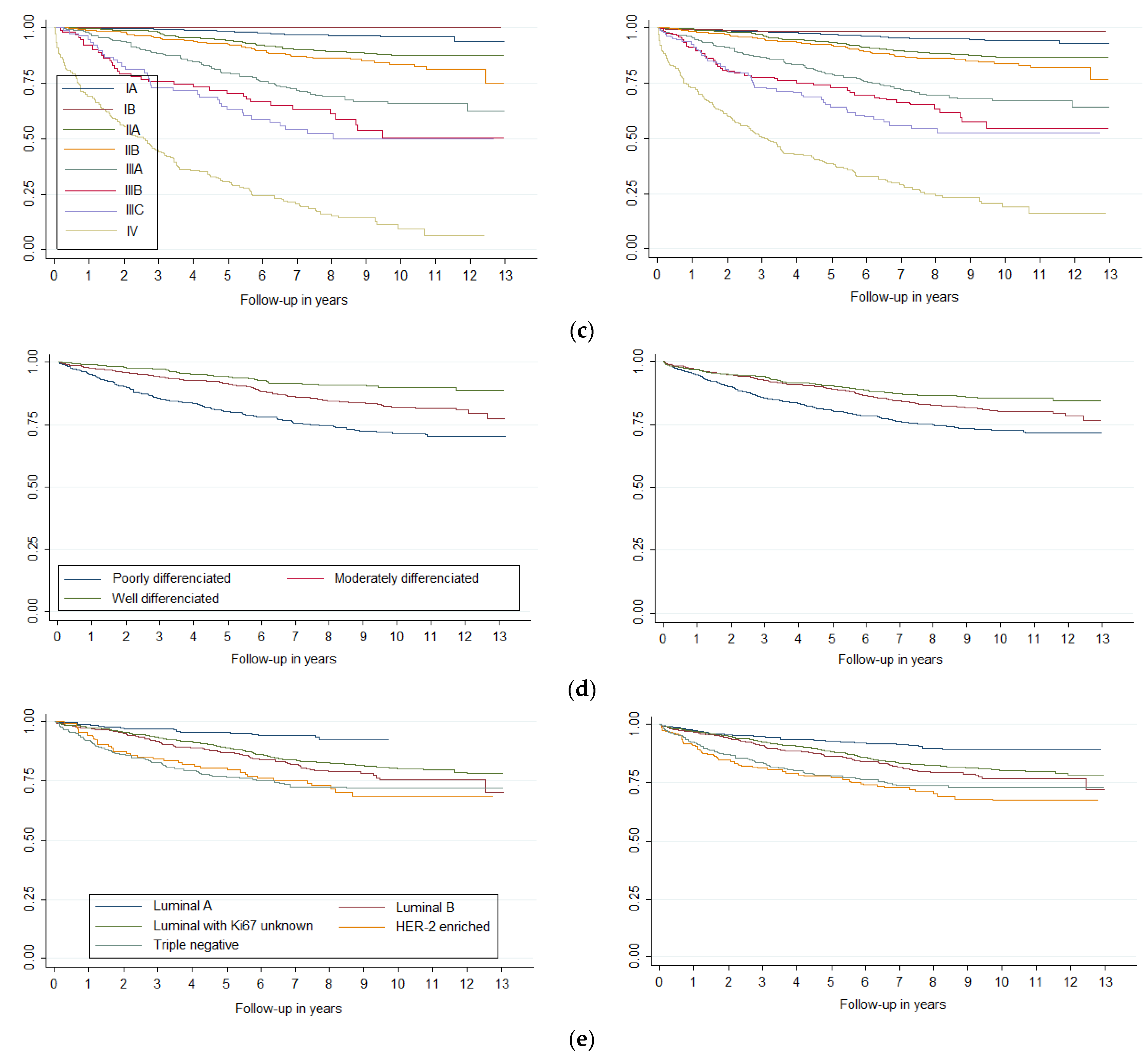
3. Results
4. Discussion
5. Conclusions
Supplementary Materials
Author Contributions
Funding
Institutional Review Board Statement
Informed Consent Statement
Data Availability Statement
Conflicts of Interest
References
- Cancer Today. Available online: https://gco.iarc.fr/today/home (accessed on 13 March 2022).
- Redecan. Available online: https://redecan.org/es (accessed on 13 March 2022).
- Sant, M.; Lopez, M.D.C.; Agresti, R.; Pérez, M.J.S.; Holleczek, B.; Bielska-Lasota, M.; Dimitrova, N.; Innos, K.; Katalinic, A.; Langseth, H.; et al. Survival of women with cancers of breast and genital organs in Europe 1999–2007: Results of the EUROCARE-5 study. Eur. J. Cancer 2015, 51, 2191–2205. [Google Scholar] [CrossRef] [PubMed]
- Chirlaque, M.D.; the REDECAN Working Group; Salmerón, D.; Galceran, J.; Ameijide, A.; Mateos, A.; Torrella, A.; Jiménez, R.; Larrañaga, N.; Marcos-Gragera, R.; et al. Cancer survival in adult patients in Spain. Results from nine population-based cancer registries. Clin. Transl. Oncol. 2018, 20, 201–211. [Google Scholar] [CrossRef] [PubMed]
- Fei, F.; Zhang, K.; Siegal, G.P.; Wei, S. A simplified breast cancer prognostic score: Comparison with the AJCC clinical prognostic staging system. Mod. Pathol. 2021, 34, 2141–2147. [Google Scholar] [CrossRef] [PubMed]
- Ho-Huynh, A.; Tran, A.; Bray, G.; Abbot, S.; Elston, T.; Gunnarsson, R.; De Costa, A. Factors influencing breast cancer outcomes in Australia: A systematic review. Eur. J. Cancer Care 2019, 28, e13038. [Google Scholar] [CrossRef]
- García Rodríguez, J.; García Colmenero, C.; Clèries Soler, R.; Oleaga Sánchez, I. Supervivencia a los cinco años de las mujeres diagnosticadas de cancer de mama durante el periodo 1997–1999 en el area de Toledo centro y Mancha. Rev. Esp. Salud Publica 2010, 84, 843–850. [Google Scholar]
- DeSantis, C.E.; Ma, J.; Gaudet, M.M.; Newman, L.A.; Miller, K.D.; Goding Sauer, A.; Jemal, A.; Siegel, R.L. Breast cancer statistics, 2019. CA Cancer J. Clin. 2019, 69, 438–451. [Google Scholar] [CrossRef]
- Hanis, T.M.; Yaacob, N.M.; Hairon, S.M.; Abdullah, S. Net survival differences of breast cancer between stages at diagnosis and age groups in the east coast region of West Malaysia: A retrospective cohort study. BMJ Open 2021, 11, e043642. [Google Scholar] [CrossRef]
- UICC. TNM Classification of Malignant Tumours. Available online: https://www.uicc.org/resources/tnm (accessed on 13 March 2022).
- White, I.R.; Royston, P.; Wood, A.M. Multiple imputation using chained equations: Issues and guidance for practice. Stat. Med. 2011, 30, 377–399. [Google Scholar] [CrossRef]
- Ramos, M.; Montaño, J.; Esteva, M.; Barceló, A.; Franch, P. Colorectal cancer survival by stage of cases diagnosed in Mallorca, Spain, between 2006 and 2011 and factors associated with survival. Cancer Epidemiol. 2016, 41, 63–70. [Google Scholar] [CrossRef]
- Rubin, D. Multiple Imputation for Nonresponse in Surveys; John Wiley & Sons: Hoboken, NJ, USA, 1987. [Google Scholar]
- Ederer, F.; Axtell, L.M.; Cutler, S.J. The relative survival rate: A statistical methodology. Natl. Cancer Inst. Monogr. 1961, 6, 101–121. [Google Scholar]
- IBESTAT. Available online: https://ibestat.caib.es/ibestat/inici (accessed on 19 March 2022).
- Fine, J.P.; Gray, R.J. A Proportional Hazards Model for the Subdistribution of a Competing Risk. J. Am. Stat. Assoc. 1999, 94, 496. [Google Scholar] [CrossRef]
- Cox, D.R. Regression Models and Life-Tables. J. R. Stat. Soc. Ser. B Stat. Methodol. 1972, 34, 187–202. [Google Scholar] [CrossRef]
- De Lacerda, G.F.; Howlader, N.; Mariotto, A.B. Differences in Cancer Survival with Relative versus Cause-Specific Approaches: An Update Using More Accurate Life Tables. Cancer Epidemiol. Biomark. Prev. 2019, 28, 1544–1551. [Google Scholar] [CrossRef] [PubMed]
- Makkar, N.; Ostrom, Q.T.; Kruchko, C.; Barnholtz-Sloan, J.S. A comparison of relative survival and cause-specific survival methods to measure net survival in cancer populations. Cancer Med. 2018, 7, 4773–4780. [Google Scholar] [CrossRef] [PubMed]
- Allemani, C.; Matsuda, T.; Di Carlo, V.; Harewood, R.; Matz, M.; Nikšić, M.; Bonaventure, A.; Valkov, M.; Johnson, C.J.; Estève, J.; et al. Global surveillance of trends in cancer survival 2000–2014 (CONCORD-3): Analysis of individual records for 37,513,025 patients diagnosed with one of 18 cancers from 322 population-based registries in 71 countries. Lancet 2018, 391, 1023–1075. [Google Scholar] [CrossRef]
- Sant, M.; Allemani, C.; Santaquilani, M.; Knijn, A.; Marchesi, F.; Capocaccia, R. EUROCARE-4. Survival of cancer patients diagnosed in 1995–1999. Results and commentary. Eur. J. Cancer 2009, 45, 931–991. [Google Scholar] [CrossRef] [PubMed]
- Servidor Interactivo de Información Epidemiológica ARIADNA. Instituto de Salud Carlos III. Available online: http://ariadna.cne.isciii.es/ (accessed on 30 May 2022).
- Grande, E.; Inghelmann, R.; Francisci, S.; Verdecchia, A.; Micheli, A.; Baili, P.; Capocaccia, R.; De Angelis, R. Regional Estimates of Breast Cancer Burden in Italy. Tumori J. 2007, 93, 374–379. [Google Scholar] [CrossRef]
- Dal Maso, L.; Panato, C.; Tavilla, A.; Guzzinati, S.; Serraino, D.; Mallone, S.; Botta, L.; Boussari, O.; Capocaccia, R.; Colonna, M.; et al. Cancer cure for 32 cancer types: Results from the EUROCARE-5 study. Int. J. Epidemiol. 2020, 49, 1517–1525. [Google Scholar] [CrossRef]
- Bao, J.; Yu, K.-D.; Jiang, Y.-Z.; Shao, Z.-M.; Di, G.-H. The Effect of Laterality and Primary Tumor Site on Cancer-Specific Mortality in Breast Cancer: A SEER Population-Based Study. PLoS ONE 2014, 9, e94815. [Google Scholar] [CrossRef]
- Maajani, K.; Jalali, A.; Alipour, S.; Khodadost, M.; Tohidinik, H.R.; Yazdani, K. The Global and Regional Survival Rate of Women with Breast Cancer: A Systematic Review and Meta-analysis. Clin. Breast Cancer 2019, 19, 165–177. [Google Scholar] [CrossRef]
- Freedman, R.A.; Keating, N.L.; Lin, N.U.; Winer, E.P.; Vaz-Luís, I.; Lii, J.; Exman, P.; Barry, W.T. Breast cancer-specific survival by age: Worse outcomes for the oldest patients. Cancer 2018, 124, 2184–2191. [Google Scholar] [CrossRef] [PubMed]
- Nordenskjöld, A.E.; Fohlin, H.; Arnesson, L.G.; Einbeigi, Z.; Holmberg, E.; Albertsson, P.; Karlsson, P. Breast cancer survival trends in different stages and age groups—A population-based study 1989–2013. Acta Oncol. 2019, 58, 45–51. [Google Scholar] [CrossRef] [PubMed]
- Baeyens-Fernández, J.A.; Molina-Portillo, E.; Pollán, M.; Rodríguez-Barranco, M.; Del Moral, R.; Arribas-Mir, L.; Ramírez, E.S.-C.; Sánchez, M.-J. Trends in incidence, mortality and survival in women with breast cancer from 1985 to 2012 in Granada, Spain: A population-based study. BMC Cancer 2018, 18, 781. [Google Scholar] [CrossRef]
- Howlader, N.; Cronin, K.A.; Kurian, A.W.; Andridge, R. Differences in Breast Cancer Survival by Molecular Subtypes in the United States. Cancer Epidemiol. Biomark. Prev. 2018, 27, 619–626. [Google Scholar] [CrossRef] [PubMed]
- Li, X.; Yang, J.; Peng, L.; Sahin, A.A.; Huo, L.; Ward, K.C.; O’Regan, R.; Torres, M.A.; Meisel, J.L. Triple-negative breast cancer has worse overall survival and cause-specific survival than non-triple-negative breast cancer. Breast Cancer Res. Treat. 2017, 161, 279–287. [Google Scholar] [CrossRef]
- Takahashi, H.; Oshi, M.; Asaoka, M.; Yan, L.; Endo, I.; Takabe, K. Molecular Biological Features of Nottingham Histological Grade 3 Breast Cancers. Ann. Surg. Oncol. 2020, 27, 4475–4485. [Google Scholar] [CrossRef] [PubMed]
- Allemani, C.; Sant, M.; Weir, H.K.; Richardson, L.C.; Baili, P.; Storm, H.; Siesling, S.; Torrella-Ramos, A.; Voogd, A.; Aareleid, T.; et al. Breast cancer survival in the US and Europe: A CONCORD high-resolution study. Int. J. Cancer 2013, 132, 1170–1181. [Google Scholar] [CrossRef]
- Derks, M.; Bastiaannet, E.; van de Water, W.; de Glas, N.; Seynaeve, C.; Putter, H.; Nortier, J.; Rea, D.; Hasenburg, A.; Markopoulos, C.; et al. Impact of age on breast cancer mortality and competing causes of death at 10 years follow-up in the adjuvant TEAM trial. Eur. J. Cancer 2018, 99, 1–8. [Google Scholar] [CrossRef]
- O’Brien, K.M.; Mooney, T.; Fitzpatrick, P.; Sharp, L. Screening status, tumour subtype, and breast cancer survival: A national population-based analysis. Breast Cancer Res. Treat. 2018, 172, 133–142. [Google Scholar] [CrossRef]
- Andre, F.; Ismaila, N.; Allison, K.H.; Barlow, W.E.; Collyar, D.E.; Damodaran, S.; Henry, N.L.; Jhaveri, K.; Kalinsky, K.; Kuderer, N.M.; et al. Biomarkers for Adjuvant Endocrine and Chemotherapy in Early-Stage Breast Cancer: ASCO Guideline Update. J. Clin. Oncol. 2022, 40, 1816–1837. [Google Scholar] [CrossRef]
- Copeland, J.; Oyedeji, A.; Powell, N.; Cherian, C.J.; Tokumaru, Y.; Murthy, V.; Takabe, K.; Young, J. Breast Cancer in Jamaica: Stage, Grade and Molecular Subtype Distributions across Age Blocks, the Implications for Screening and Treatment. World J. Oncol. 2021, 12, 93–103. [Google Scholar] [CrossRef] [PubMed]



| Variable | Categories | Number | % | % after MI |
|---|---|---|---|---|
| Age | 15–44 | 478 | 16.7 | |
| 45–54 | 687 | 23.9 | ||
| 55–64 | 673 | 23.5 | ||
| 65–74 | 454 | 15.8 | ||
| 75 or more | 575 | 20.0 | ||
| Missing | 2 | 0.1 | ||
| Histology | Ductal/NST | 2353 | 82.0 | |
| Lobular | 214 | 7.5 | ||
| Other carcinomas special subtype | 151 | 5.3 | ||
| Mixed carcinomas | 99 | 3.5 | ||
| Other neoplasms (non-epithelial and non-specific) | 52 | 1.8 | ||
| Laterality | Left | 1325 | 46.2 | 49.0 |
| Right | 1287 | 44.9 | 47.0 | |
| Bilateral | 102 | 3.6 | 4.0 | |
| Missing | 155 | 5.4 | ||
| Sublocation | Nipple/Central region | 221 | 7.4 | 9.3 |
| Intern upper quadrant | 206 | 7.2 | 8.8 | |
| Intern lower quadrant | 115 | 4.0 | 4.9 | |
| Extern upper quadrant | 772 | 26.9 | 32.4 | |
| Extern lower quadrant | 144 | 5.0 | 6.2 | |
| Axillary | 18 | 0.6 | 1.1 | |
| More than one location | 882 | 30.7 | 37.3 | |
| Missing | 521 | 18.2 | ||
| Stage | IA | 724 | 25.2 | 30.1 |
| IB | 78 | 2.7 | 3.4 | |
| IIA | 587 | 20.5 | 24.1 | |
| IIB | 385 | 13.4 | 15.7 | |
| IIIA | 256 | 8.9 | 11.2 | |
| IIIB | 88 | 3.1 | 3.8 | |
| IIIC | 75 | 2.6 | 3.4 | |
| IV | 196 | 6.8 | 8.3 | |
| Missing | 480 | 16.7 | ||
| Histologic grade | Well differentiated | 518 | 18.1 | 24.1 |
| Moderately differentiated | 971 | 33.8 | 43.7 | |
| Poorly differentiated | 730 | 25.4 | 32.2 | |
| Missing | 650 | 22.7 | ||
| Estrogen receptors | Positive | 1798 | 62.7 | |
| Negative | 465 | 16.2 | ||
| Missing | 606 | 21.1 | ||
| Progesterone receptors | Positive | 1441 | 50.2 | |
| Negative | 813 | 28.3 | ||
| Missing | 615 | 21.4 | ||
| HER-2 | Positive | 356 | 12.4 | |
| Negative | 1816 | 63.3 | ||
| Missing | 697 | 24.3 | ||
| Ki67 | Low | 391 | 13.6 | |
| High | 485 | 16.9 | ||
| Missing | 1993 | 69.5 | ||
| Molecular classification | Luminal A | 349 | 12.2 | 15.6 |
| Luminal B | 482 | 16.8 | 21.5 | |
| Luminal with Ki67 unknown | 999 | 34.8 | 44.4 | |
| HER-2 enriched | 130 | 4.5 | 6.2 | |
| Triple negative | 277 | 9.7 | 12.3 | |
| Missing | 632 | 22.0 | ||
| Vital status at the end of follow-up | Alive | 2042 | 71.2 | |
| Death from breast cancer | 522 | 18.2 | ||
| Death from other causes | 302 | 10.5 | ||
| Cause of death is unknown | 3 | 0.1 |
| Original Data Set N = 2387 | Imputed Data Set N = 2867 | |||||||||||||||||
|---|---|---|---|---|---|---|---|---|---|---|---|---|---|---|---|---|---|---|
| Year | IA | IB | IIA | IIB | IIIA | IIIB | IIIC | IV | Total | IA | IB | IIA | IIB | IIIA | IIIB | IIIC | IV | Total |
| 1 | 100 | 100 | 100 | 99 | 98 | 92 | 95 | 69 | 96 | 99 | 99 | 99 | 98 | 96 | 91 | 93 | 73 | 96 |
| 2 | 99 | 100 | 99 | 98 | 94 | 79 | 83 | 56 | 94 | 99 | 99 | 98 | 97 | 91 | 80 | 81 | 61 | 93 |
| 3 | 99 | 100 | 98 | 96 | 88 | 76 | 73 | 44 | 91 | 98 | 98 | 97 | 95 | 87 | 77 | 73 | 51 | 91 |
| 4 | 99 | 100 | 96 | 94 | 85 | 73 | 72 | 36 | 89 | 98 | 98 | 95 | 93 | 83 | 75 | 71 | 43 | 88 |
| 5 | 98 | 100 | 94 | 93 | 80 | 71 | 63 | 31 | 87 | 97 | 98 | 93 | 92 | 79 | 73 | 64 | 39 | 87 |
| 6 | 98 | 100 | 92 | 89 | 76 | 67 | 59 | 24 | 84 | 96 | 98 | 91 | 89 | 76 | 69 | 60 | 33 | 84 |
| 7 | 97 | 100 | 90 | 87 | 72 | 64 | 54 | 21 | 82 | 95 | 98 | 89 | 87 | 72 | 66 | 56 | 29 | 82 |
| 8 | 96 | 100 | 89 | 86 | 69 | 62 | 52 | 16 | 81 | 95 | 98 | 88 | 86 | 70 | 64 | 55 | 25 | 81 |
| 9 | 96 | 100 | 88 | 85 | 67 | 54 | 49 | 14 | 80 | 95 | 98 | 88 | 85 | 68 | 58 | 52 | 23 | 80 |
| 10 | 96 | 100 | 87 | 84 | 66 | 51 | 49 | 9 | 79 | 94 | 98 | 87 | 84 | 67 | 55 | 52 | 19 | 79 |
| 11 | 96 | 100 | 87 | 81 | 66 | 51 | 49 | 6 | 78 | 94 | 98 | 87 | 82 | 67 | 55 | 52 | 16 | 79 |
| 12 | 94 | 100 | 87 | 81 | 63 | 51 | 49 | 6 | 77 | 93 | 98 | 87 | 82 | 65 | 55 | 52 | 16 | 78 |
| 13 | 94 | 100 | 87 | 76 | 63 | 51 | 49 | 6 | 76 | 93 | 98 | 87 | 77 | 65 | 55 | 52 | 16 | 77 |
| Original Data Set N = 2235 | Imputed Data Set N = 2867 | |||||||||||
|---|---|---|---|---|---|---|---|---|---|---|---|---|
| Year | Luminal A | Luminal B | Luminal with Ki67 Unknown | HER-2 Enriched | Triple Negative | Total | Luminal A | Luminal B | Luminal with Ki67 Unknown | HER-2 Enriched | Triple Negative | Total |
| 1 | 99 | 97 | 98 | 95 | 92 | 97 | 98 | 97 | 97 | 91 | 92 | 96 |
| 2 | 97 | 95 | 95 | 88 | 86 | 94 | 95 | 94 | 95 | 85 | 87 | 93 |
| 3 | 97 | 92 | 93 | 84 | 83 | 92 | 95 | 91 | 92 | 81 | 84 | 91 |
| 4 | 96 | 89 | 91 | 82 | 79 | 89 | 93 | 88 | 90 | 79 | 80 | 88 |
| 5 | 95 | 87 | 89 | 80 | 77 | 87 | 93 | 86 | 88 | 77 | 78 | 87 |
| 6 | 94 | 84 | 86 | 76 | 75 | 85 | 92 | 84 | 86 | 74 | 76 | 84 |
| 7 | 94 | 82 | 84 | 75 | 73 | 83 | 91 | 82 | 83 | 73 | 74 | 82 |
| 8 | 93 | 79 | 83 | 73 | 73 | 82 | 90 | 79 | 82 | 71 | 74 | 81 |
| 9 | 93 | 78 | 81 | 68 | 72 | 80 | 90 | 79 | 81 | 67 | 73 | 80 |
| 10 | 93 | 75 | 80 | 68 | 72 | 79 | 90 | 76 | 80 | 67 | 73 | 79 |
| 11 | 93 | 75 | 80 | 68 | 72 | 79 | 90 | 76 | 80 | 67 | 73 | 79 |
| 12 | 93 | 75 | 78 | 68 | 72 | 78 | 90 | 76 | 78 | 67 | 73 | 78 |
| 13 | 93 | 69 | 78 | 68 | 72 | 77 | 90 | 71 | 78 | 67 | 73 | 77 |
| Variables | Original Data Set | Imputed Data Set | ||
|---|---|---|---|---|
| CSS | RS | CSS | RS | |
| Stage | N = 2387 | N = 2867 | ||
| IA | 98 | 98.5 | 97 | 98.2 |
| IB | 100 | 99.8 | 98 | 99.1 |
| IIA | 94 | 95.8 | 93 | 95.7 |
| IIB | 93 | 94.6 | 92 | 94.0 |
| IIIA | 80 | 79.9 | 79 | 79.9 |
| IIIB | 71 | 77.7 | 73 | 81.6 |
| IIIC | 63 | 65.9 | 64 | 66.8 |
| IV | 31 | 31.1 | 39 | 39.6 |
| Molecular classification | N = 2235 | N = 2867 | ||
| Luminal A | 95 | 96.4 | 93 | 94.6 |
| Luminal B | 87 | 88.4 | 86 | 88.3 |
| Luminal with ki67 unknown | 89 | 91.3 | 88 | 91.0 |
| HER-2 enriched | 80 | 81.5 | 77 | 78.6 |
| Triple negative | 77 | 75.9 | 78 | 77.9 |
| Model 1 (Original Data Set) N = 1924 | Model 2 (Imputed Data Set) N = 2787 | |||||||
|---|---|---|---|---|---|---|---|---|
| Variables | Subhazard Ratio | St. Err. | p | CI 95% | Subhazard Ratio | St. Err. | p | CI 95% |
| Age (ref. 55–64) | ||||||||
| 15–44 | 1.11 | 0.20 | 0.548 | 0.78, 1.59 | 1.21 | 0.20 | 0.240 | 0.88, 1.67 |
| 45–54 | 1.06 | 0.19 | 0.737 | 0.75, 1.51 | 1.15 | 0.18 | 0.374 | 0.84, 1.57 |
| 65–74 | 1.42 | 0.27 | 0.063 | 0.98, 2.07 | 1.47 | 0.25 | 0.022 | 1.06, 2.06 |
| 75 or more | 2.78 | 0.48 | <0.001 | 1.98, 3.89 | 2.72 | 0.43 | <0.001 | 1.99, 3.71 |
| Sublocation (ref. Extern lower quadrant) | ||||||||
| Nipple/Central region | 1.04 | 0.30 | 0.894 | 0.58, 1.85 | 0.97 | 0.25 | 0.924 | 0.58, 1.63 |
| Intern upper quadrant | 1.96 | 0.57 | 0.020 | 1.11, 3.46 | 1.20 | 0.31 | 0.480 | 0.72, 2.00 |
| Intern lower quadrant | 0.94 | 0.37 | 0.878 | 0.44, 2.02 | 1.00 | 0.44 | 0.997 | 0.39, 2.56 |
| Extern upper quadrant | 1.34 | 0.33 | 0.244 | 0.82, 2.18 | 1.10 | 0.24 | 0.647 | 0.72, 1.68 |
| Axillary | 0.48 | 0.29 | 0.220 | 0.15, 1.56 | 0.63 | 0.64 | 0.660 | 0.06, 6.75 |
| More than one location | 1.60 | 0.39 | 0.051 | 1.00, 2.58 | 1.23 | 0.27 | 0.351 | 0.79, 1.90 |
| Stage (ref. IA) | ||||||||
| IIA | 2.27 | 0.56 | 0.001 | 1.40, 3.69 | 1.80 | 0.46 | 0.034 | 1.05, 3.07 |
| IIB | 3.25 | 0.82 | <0.001 | 1.97, 5.34 | 2.46 | 0.64 | 0.002 | 1.44, 4.22 |
| IIIA | 8.65 | 2.05 | <0.001 | 5.42, 13.78 | 5.53 | 1.47 | <0.001 | 3.13, 9.79 |
| IIIB | 8.70 | 2.56 | <0.001 | 4.89, 15.47 | 5.84 | 1.96 | <0.001 | 2.85, 11.93 |
| IIIC | 12.40 | 3.49 | <0.001 | 7.14, 21.53 | 7.77 | 2.34 | <0.001 | 4.14, 14.60 |
| IV | 45.75 | 10.93 | <0.001 | 28.64, 73.09 | 21.78 | 5.43 | <0.001 | 12.83, 36.95 |
| Laterality (ref. Left) | ||||||||
| Right | 1.22 | 0.14 | 0.089 | 0.97, 1.54 | 1.10 | 0.12 | 0.356 | 0.89, 1.36 |
| Bilateral | 1.74 | 0.37 | 0.009 | 1.15, 2.64 | 1.38 | 0.39 | 0.278 | 0.75, 2.54 |
| Molecular classification (ref. Luminal with Ki67 unknown) | ||||||||
| Luminal A | 0.38 | 0.09 | <0.001 | 0.24, 0.62 | 0.62 | 0.22 | 0.222 | 0.26, 1.44 |
| Luminal B | 1.01 | 0.15 | 0.950 | 0.76, 1.34 | 1.03 | 0.20 | 0.897 | 0.66, 1.58 |
| Her-2 enriched | 1.56 | 0.34 | 0.038 | 1.02, 2.38 | 1.31 | 0.29 | 0.239 | 0.83, 2.06 |
| Triple negative | 2.69 | 0.42 | <0.001 | 1.98, 3.66 | 1.89 | 0.30 | <0.001 | 1.38, 2.59 |
Publisher’s Note: MDPI stays neutral with regard to jurisdictional claims in published maps and institutional affiliations. |
© 2022 by the authors. Licensee MDPI, Basel, Switzerland. This article is an open access article distributed under the terms and conditions of the Creative Commons Attribution (CC BY) license (https://creativecommons.org/licenses/by/4.0/).
Share and Cite
Pascual, M.C.; Montaño, J.J.; Franch, P.; Sánchez-Contador, C.; Ramos, M. Survival of Breast Cancer by Stage, Grade and Molecular Groups in Mallorca, Spain. J. Clin. Med. 2022, 11, 5708. https://doi.org/10.3390/jcm11195708
Pascual MC, Montaño JJ, Franch P, Sánchez-Contador C, Ramos M. Survival of Breast Cancer by Stage, Grade and Molecular Groups in Mallorca, Spain. Journal of Clinical Medicine. 2022; 11(19):5708. https://doi.org/10.3390/jcm11195708
Chicago/Turabian StylePascual, Maria Clara, Juan José Montaño, Paula Franch, Carmen Sánchez-Contador, and Maria Ramos. 2022. "Survival of Breast Cancer by Stage, Grade and Molecular Groups in Mallorca, Spain" Journal of Clinical Medicine 11, no. 19: 5708. https://doi.org/10.3390/jcm11195708
APA StylePascual, M. C., Montaño, J. J., Franch, P., Sánchez-Contador, C., & Ramos, M. (2022). Survival of Breast Cancer by Stage, Grade and Molecular Groups in Mallorca, Spain. Journal of Clinical Medicine, 11(19), 5708. https://doi.org/10.3390/jcm11195708

