Social Connectedness and Associations with Gambling Risk in New Zealand
Abstract
1. Introduction
2. Methods
2.1. Participants
2.2. Procedure
2.3. Measures
2.3.1. Gambling Risk Level
2.3.2. Gambling Frequency and Participation in Specific Gambling Activities
2.3.3. General Psychological Distress
2.3.4. Quality of Life
2.4. Leisure Activity
2.4.1. Social Connectedness
2.4.2. Demographics
2.5. Data Analysis
3. Results
3.1. Participants
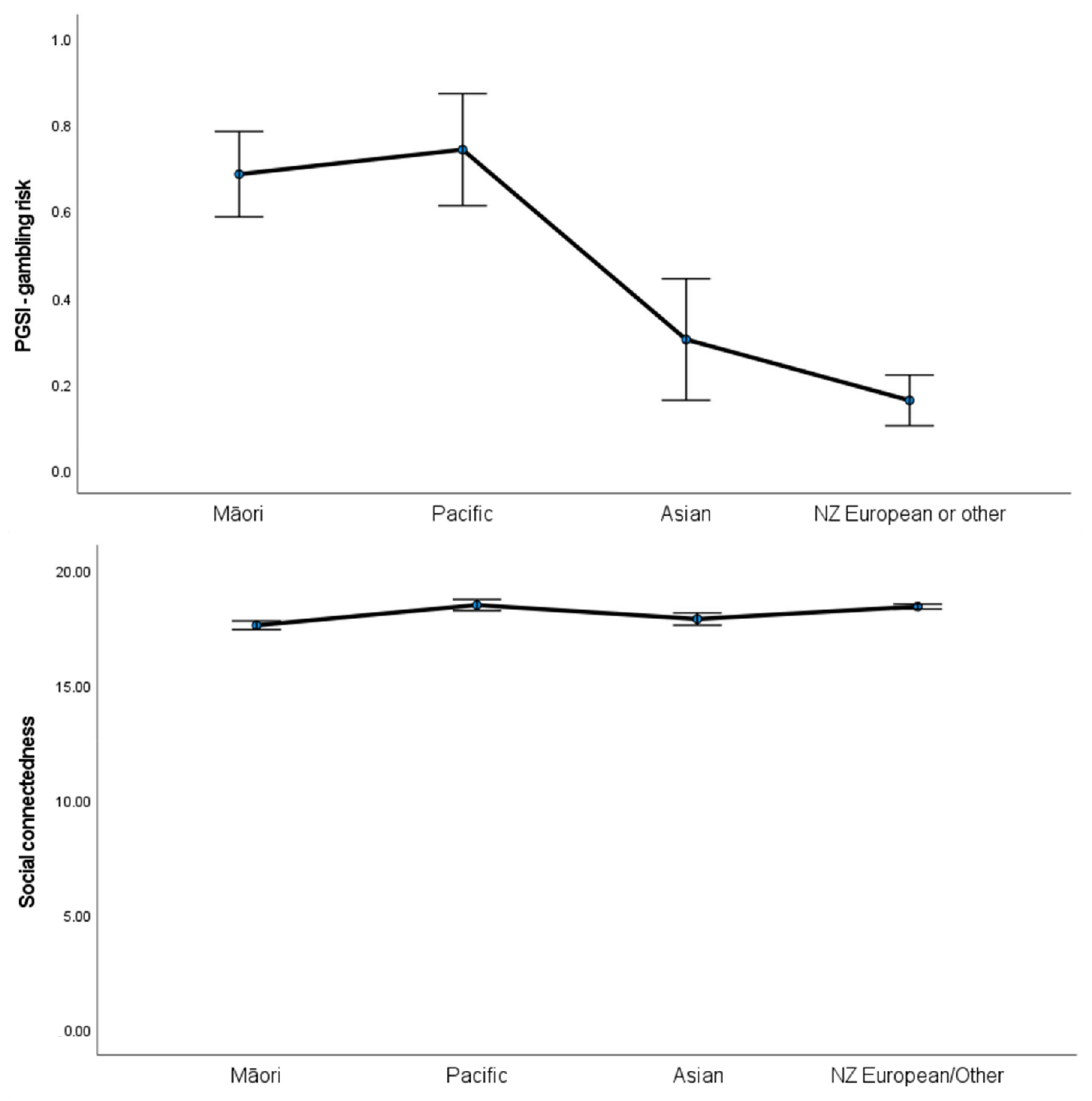
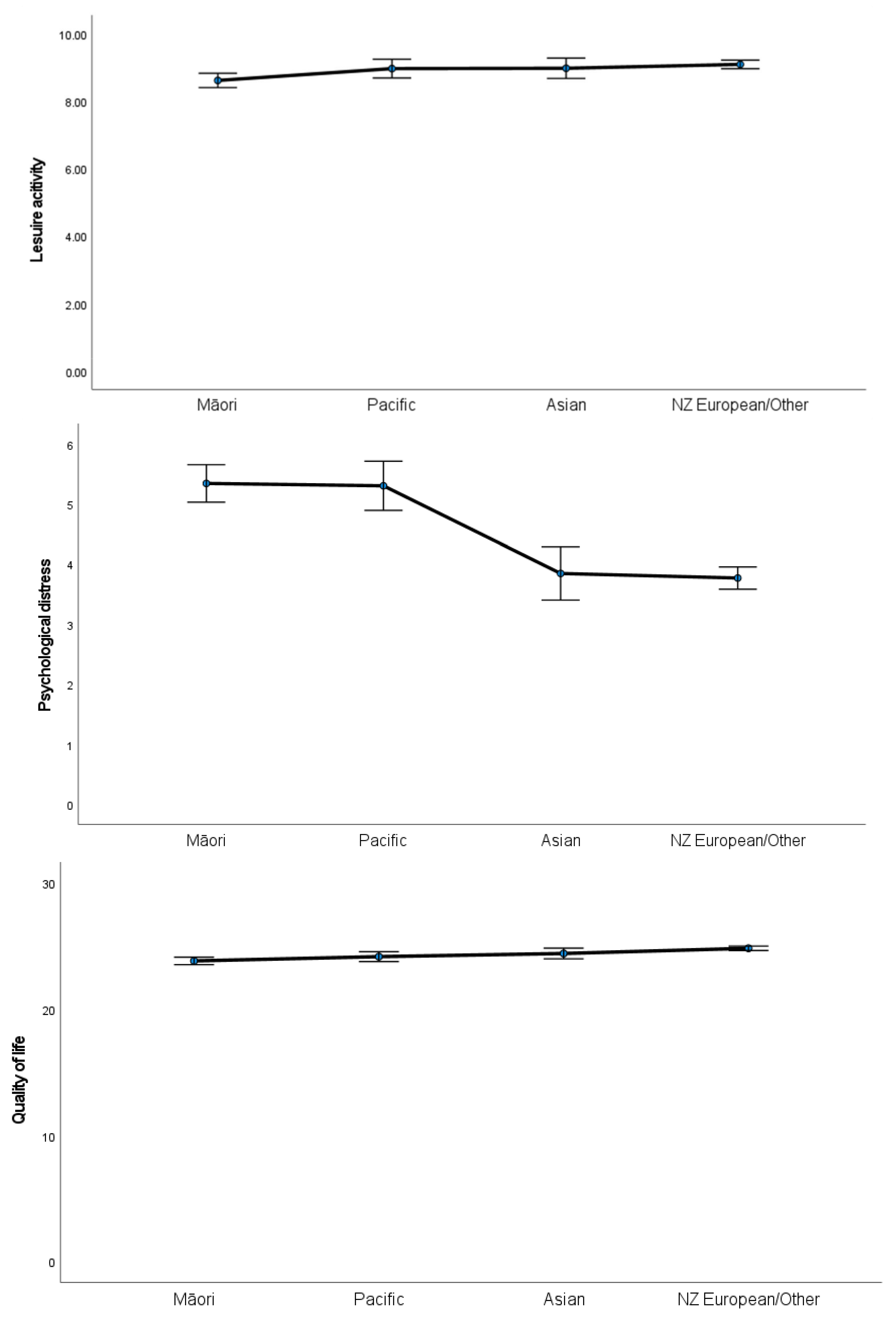
3.2. Comparison of Gambling Risk, Quality of Life, Psychological Distress, and Social Connectedness between Ethnic Groups and Sex
3.3. Correlations of Gambling Risk with Quality of Life, Psychological Distress, Social Connectedness, Leisure Activities, and Age
3.4. Predicting Gambling Risk by Ethnicity, Social Connectiveness, Leisure Activities and Psychological Distress
3.5. Prediction of Quality of Life by Social Connectiveness, Leisure Activity, Psychological Distress and Gambling Risk
4. Discussion
Author Contributions
Funding
Institutional Review Board Statement
Informed Consent Statement
Data Availability Statement
Conflicts of Interest
References
- David, J.L.; Thomas, S.L.; Randle, M.; Daube, M. A public health advocacy approach for preventing and reducing gambling related harm. Aust. N. Z. J. Public Health 2020, 44, 14–19. [Google Scholar] [CrossRef]
- Price, A.; Hilbrecht, M.; Billi, R. Charting a path towards a public health approach for gambling harm prevention. J. Public Health 2021, 29, 37–53. [Google Scholar] [CrossRef]
- Veselka, L.; Wijesingha, R.; Leatherdale, S.T.; Turner, N.E.; Elton-Marshall, T. Factors associated with social casino gaming among adolescents across game types. BMC Public Health 2018, 18, 1–15. [Google Scholar] [CrossRef]
- Hofmarcher, T.; Romild, U.; Spångberg, J.; Persson, U.; Håkansson, A. The societal costs of problem gambling in Sweden. BMC Public Health 2020, 20, 1921. [Google Scholar] [CrossRef]
- Browne, M.; Rawat, V.; Newall, P.; Begg, S.; Rockloff, M.; Hing, N. A framework for indirect elicitation of the public health impact of gambling problems. BMC Public Health 2020, 20, 1717. [Google Scholar] [CrossRef]
- Griffiths, M.D. The cognitive psychology of gambling. J. Gambl. Stud. 1990, 6, 31–42. [Google Scholar] [CrossRef]
- Armstrong, T.; Rockloff, M.; Browne, M. Gamble with Your Head and Not Your Heart: A Conceptual Model for How Thinking-Style Promotes Irrational Gambling Beliefs. J. Gambl. Stud. 2020, 36, 183–206. [Google Scholar] [CrossRef]
- Ramnerö, J.; Molander, O.; Lindner, P.; Carlbring, P. What can be learned about gambling from a learning perspective? A narrative review. Nord. Psychol. 2019, 71, 303–322. [Google Scholar] [CrossRef]
- Browne, M.; Hing, N.; Rockloff, M.; Russell, A.M.T.; Greer, N.; Nicoll, F.; Smith, G. A Multivariate Evaluation of 25 Proximal and Distal Risk-Factors for Gambling-Related Harm. J. Clin. Med. 2019, 8, 509. [Google Scholar] [CrossRef]
- Fong, T.W. The biopsychosocial consequences of pathological gambling. Psychiatry 2005, 2, 22–30. [Google Scholar]
- Blaszczynski, A.; Nower, L. A pathways model of problem and pathological gambling. Addiction 2002, 97, 487–499. [Google Scholar] [CrossRef]
- Sacco, P.; Torres, L.R.; Cunningham-Williams, R.M.; Woods, C.; Unick, G.J. Differential Item Functioning of Pathological Gambling Criteria: An Examination of Gender, Race/Ethnicity, and Age. J. Gambl. Stud. 2011, 27, 317–330. [Google Scholar] [CrossRef]
- Wardman, D.; el-Guebaly, N.; Hodgins, D. Problem and pathological gambling in North American Aboriginal populations: A review of the empirical literature. J. Gambl. Stud. 2001, 17, 81–100. [Google Scholar] [CrossRef]
- Saunders, P.; Doyle, K. Gambling interventions in Indigenous communities, from theory to practice: A rapid qualitative review of the literature. J. Gambl. Stud. 2021, 37, 947–982. [Google Scholar] [CrossRef]
- Abbott, M. Gambling and Gambling Harm in New Zealand: A 28-Year Case Study. Int. J. Ment. Health Addict. 2017, 15, 1221–1241. [Google Scholar] [CrossRef]
- Kolandai-Matchett, K.; Langham, E.; Bellringer, M.; Siitia, P.A.-H. How gambling harms experienced by Pacific people in New Zealand amplify when they are culture-related. Asian J. Gambl. Issues Public Health 2017, 7, 5. [Google Scholar] [CrossRef]
- Health Promotion Agency. Release 5.4.1-Health and Lifestyles Survey 2020; Health Promotion Agency: Wellington, New Zealand, 2020.
- Abbott, M.; Bellringer, M.; Garrett, N.; Mundy-McPherson, S. New Zealand 2012 National Gambling Study: Overview and Gambling Participation; Ministry of Health: Wellington, New Zealand, 2014.
- Raylu, N.; Oei, T.P. Role of culture in gambling and problem gambling. Clin. Psychol. Rev. 2004, 23, 1087–1114. [Google Scholar] [CrossRef]
- Awaworyi Churchill, S.; Farrell, L. Australia’s Gambling Epidemic: The Role of Neighbourhood Ethnic Diversity. J. Gambl. Stud. 2020, 36, 97–118. [Google Scholar] [CrossRef]
- Clarke, D.; Tse, S.; Abbott, M.; Townsend, S.; Kingi, P.; Manaia, W. Key Indicators of the Transition from Social to Problem Gambling. Int. J. Ment. Health Addict. 2006, 4, 247. [Google Scholar] [CrossRef]
- Okuda, M.; Liu, W.; Cisewski, J.A.; Segura, L.; Storr, C.L.; Martins, S.S. Gambling Disorder and Minority Populations: Prevalence and Risk Factors. Curr. Addict. Rep. 2016, 3, 280–292. [Google Scholar] [CrossRef]
- Barnes, G.M.; Welte, J.W.; Tidwell, M.-C.O. Gambling involvement among Native Americans, Blacks, and Whites in the United States. Am. J. Addict. 2017, 26, 713–721. [Google Scholar] [CrossRef]
- Neighbors, C.; Lostutter, T.W.; Cronce, J.M.; Larimer, M.E. Exploring college student gambling motivation. J. Gambl. Stud. 2002, 18, 361–370. [Google Scholar] [CrossRef]
- Lee, H.-P.; Chae, P.K.; Lee, H.-S.; Kim, Y.-K. The five-factor gambling motivation model. Psychiatry Res. 2007, 150, 21–32. [Google Scholar] [CrossRef]
- Marshall, D.C.; Baker, R.G. The evolving market structures of gambling: Case studies modelling the socioeconomic assignment of gaming machines in Melbourne and Sydney, Australia. J. Gambl. Stud. 2002, 18, 273–291. [Google Scholar] [CrossRef]
- Pearce, J.; Mason, K.; Hiscock, R.; Day, P. A national study of neighbourhood access to gambling opportunities and individual gambling behaviour. J. Epidemiol. Community Health 2008, 62, 862–868. [Google Scholar] [CrossRef]
- Wardle, H.; Keily, R.; Astbury, G.; Reith, G. ‘Risky places?’: Mapping gambling machine density and socio-economic deprivation. J. Gambl. Stud. 2014, 30, 201–212. [Google Scholar] [CrossRef]
- Ocean, G.; Smith, G.J. Social reward, conflict, and commitment: A theoretical model of gambling behavior. J. Gambl. Stud. 1993, 9, 321–339. [Google Scholar] [CrossRef]
- Sirola, A.; Kaakinen, M.; Savolainen, I.; Oksanen, A. Loneliness and online gambling-community participation of young social media users. Comput. Hum. Behav. 2019, 95, 136–145. [Google Scholar] [CrossRef]
- Dowling, N.; Jackson, A.C.; Thomas, S.A. Behavioral interventions in the treatment of pathological gambling: A review of activity scheduling and desensitization. Int. J. Behav. Consult. Ther. 2008, 4, 172. [Google Scholar] [CrossRef][Green Version]
- Jackson, A.C.; Francis, K.L.; Byrne, G.; Christensen, D.R. Leisure substitution and problem gambling: Report of a proof of concept group intervention. Int. J. Ment. Health Addict. 2013, 11, 64–74. [Google Scholar] [CrossRef]
- Buckingham, S.A.; Frings, D.; Albery, I.P. Group membership and social identity in addiction recovery. Psychol. Addict. Behav. 2013, 27, 1132. [Google Scholar] [CrossRef]
- Nuske, E.M.; Holdsworth, L.; Breen, H. Significant life events and social connectedness in Australian women’s gambling experiences. Nord. Stud. Alcohol Drugs 2016, 33, 7–26. [Google Scholar] [CrossRef]
- Brajša-Žganec, A.; Merkaš, M.; Šverko, I. Quality of Life and Leisure Activities: How do Leisure Activities Contribute to Subjective Well-Being? Soc. Indic. Res. 2011, 102, 81–91. [Google Scholar] [CrossRef]
- Garcia Diaz, L.; Savundranayagam, M.Y.; Kloseck, M.; Fitzsimmons, D. The Role of Cultural and Family Values on Social Connectedness and Loneliness among Ethnic Minority Elders. Clin. Gerontol. 2019, 42, 114–126. [Google Scholar] [CrossRef]
- Rose, T.; McDonald, A.; Von Mach, T.; Witherspoon, D.P.; Lambert, S. Patterns of Social Connectedness and Psychosocial Wellbeing among African American and Caribbean Black Adolescents. J. Youth Adolesc. 2019, 48, 2271–2291. [Google Scholar] [CrossRef]
- Jang, Y.; Park, J.; Choi, E.Y.; Cho, Y.J.; Park, N.S.; Chiriboga, D.A. Social isolation in Asian Americans: Risks associated with socio-demographic, health, and immigration factors. Ethn. Health 2022, 27, 1428–1441. [Google Scholar] [CrossRef]
- Oetzel, J.G.; Ruru, S.; Zhang, Y.; Simpson, M.L.; Nock, S.; Meha, P.; Holmes, K.; Clark, M.; Adams, H.; Akapita, N.; et al. Enhancing Well-Being and Social Connectedness for Māori Elders Through a Peer Education (Tuakana-Teina) Programme: A Cross-Sectional Baseline Study. Front. Public Health 2021, 9, 775545. [Google Scholar] [CrossRef]
- Ataera-Minster, J.; Trowland, H. Te Kaveinga: Mental Health and Wellbeing of Pacific Peoples. Results from the New Zealand Mental Health Monitor & Health and Lifestyles Survey; Health Promotion Agency: Wellington, New Zealand, 2018.
- Ferris, J.; Wynne, H. The Canadian Problem Gambling Index: Final Report; Canadian Centre on Substance Abuse: Ottawa, ON, Canada, 2001. [Google Scholar]
- Devlin, M.E.; Walton, D. The prevalence of problem gambling in New Zealand as measured by the PGSI: Adjusting prevalence estimates using meta-analysis. Int. Gambl. Stud. 2012, 12, 177–197. [Google Scholar] [CrossRef]
- Kessler, R.C.; Andrews, G.; Colpe, L.J.; Hiripi, E.; Mroczek, D.K.; Normand, S.L.; Walters, E.E.; Zaslavsky, A.M. Short screening scales to monitor population prevalences and trends in non-specific psychological distress. Psychol. Med. 2002, 32, 959–976. [Google Scholar] [CrossRef]
- Schmidt, S.; Mühlan, H.; Power, M. The EUROHIS-QOL 8-item index: Psychometric results of a cross-cultural field study. Eur. J. Public Health 2006, 16, 420–428. [Google Scholar] [CrossRef]
- Victorian Responsible Gambling Foundation. The Victorian Gambling Study: A Longitudinal Study of Gambling and Public Health-Wave Three Findings; Victorian Responsible Gambling Foundation: Melbourne, Australia, 2012.
- Shead, N.W.; Derevensky, J.L.; Gupta, R. Risk and protective factors associated with youth problem gambling. Int. J. Adolesc. Med. Health 2010, 22, 39. [Google Scholar]
- Räsänen, T.; Lintonen, T.; Tolvanen, A.; Konu, A. The role of social support in the association between gambling, poor health and health risk-taking. Scand. J. Public Health 2016, 44, 593–598. [Google Scholar] [CrossRef]
- Livazović, G.; Bojčić, K. Problem gambling in adolescents: What are the psychological, social and financial consequences? BMC Psychiatry 2019, 19, 308. [Google Scholar] [CrossRef]
- Savolainen, I.; Sirola, A.; Vuorinen, I.; Mantere, E.; Oksanen, A. Online Communities and Gambling Behaviors—A Systematic Review. Curr. Addict. Rep. 2022, 1–10. [Google Scholar] [CrossRef]
- Castrén, S.; Basnet, S.; Salonen, A.H.; Pankakoski, M.; Ronkainen, J.-E.; Alho, H.; Lahti, T. Factors associated with disordered gambling in Finland. Subst. Abus.Treat. Prev. Policy 2013, 8, 24. [Google Scholar] [CrossRef]
- Diener, E.; Seligman, M.E.P. Beyond Money:Toward an Economy of Well-Being. Psychol. Sci. Public Interest 2004, 5, 1–31. [Google Scholar] [CrossRef]
- Cohen, S. Social relationships and health. Am. Psychol. 2004, 59, 676. [Google Scholar] [CrossRef]
- McMillen, J.; Marshall, D.; Murphy, L.; Lorenzen, S.; Waugh, B. Help-Seeking by Problem Gamblers, Friends and Families: A Focus on Gender and Cultural Groups; Centre for Gambling Research (CGR), ANU: Canberra, Australia, 2007. [Google Scholar]
- McMillen, J.; Donnelly, K. Gambling in Australian Indigenous communities: The state of play. Aust. J. Soc. Issues 2008, 43, 397–426. [Google Scholar] [CrossRef]
- Breen, H.; Gainsbury, S. Aboriginal Gambling and Problem Gambling: A Review. Int. J. Ment. Health Addict. 2013, 11, 75–96. [Google Scholar] [CrossRef]
- Boldero, J.M.; Bell, R.C.; Moore, S.M. Do gambling activity patterns predict gambling problems? A latent class analysis of gambling forms among Australian youth. Int. Gambl. Stud. 2010, 10, 151–163. [Google Scholar] [CrossRef]
- Scalese, M.; Bastiani, L.; Salvadori, S.; Gori, M.; Lewis, I.; Jarre, P.; Molinaro, S. Association of Problem Gambling with Type of Gambling Among Italian General Population. J. Gambl. Stud. 2016, 32, 1017–1026. [Google Scholar] [CrossRef]
- Caler, K.R.; Vargas Garcia, J.R.; Nower, L. Problem gambling among ethnic minorities: Results from an epidemiological study. Asian J. Gambl. Issues Public Health 2017, 7, 7. [Google Scholar] [CrossRef]
- Siddharth, P. Quantifying Māori Spend on Tobacco, Alcohol & Gambling; New Zealand Institute of Economic Research: Wellington, New Zealand, 2019. [Google Scholar]
- Volberg, R.A.; Abbott, M.W. Gambling and problem gambling among indigenous peoples. Subst. Use Misuse 1997, 32, 1525–1538. [Google Scholar] [CrossRef]
- Wheeler, B.W.; Rigby, J.E.; Huriwai, T. Pokies and poverty: Problem gambling risk factor geography in New Zealand. Health Place 2006, 12, 86–96. [Google Scholar] [CrossRef]
- Bourke, S.; Wright, A.; Guthrie, J.; Russell, L.; Dunbar, T.; Lovett, R. Evidence Review of Indigenous Culture for Health and Wellbeing. Int. J. Health Wellness Soc. 2018, 8, 11–27. [Google Scholar] [CrossRef]
- Hilbrecht, M.; Baxter, D.; Abbott, M.; Binde, P.; Clark, L.; Hodgins, D.C.; Manitowabi, D.; Quilty, L.; SpÅngberg, J.; Volberg, R.; et al. The Conceptual Framework of Harmful Gambling: A revised framework for understanding gambling harm. J. Behav. Addict. 2020, 9, 190–205. [Google Scholar] [CrossRef]
- Toepoel, V. Ageing, Leisure, and Social Connectedness: How could Leisure Help Reduce Social Isolation of Older People? Soc. Indic. Res. 2013, 113, 355–372. [Google Scholar] [CrossRef]
- Nielsen, L.; Hinrichsen, C.; Madsen, K.R.; Nelausen, M.K.; Meilstrup, C.; Koyanagi, A.; Koushede, V.; Santini, Z.I. Participation in social leisure activities may benefit mental health particularly among individuals that lack social connectedness at work or school. Ment. Health Soc. Incl. 2021, 25, 341–351. [Google Scholar] [CrossRef]


| Māori | Pacific | Asian | NZ European/Other | |
|---|---|---|---|---|
| (n = 997) | (n = 582) | (n = 493) | (n = 2832) | |
| Mean (SD) | Mean (SD) | Mean (SD) | Mean (SD) | |
| Age (years) | 43.03 (15.31) | 41.41 (13.78) | 40.27(13.13) | 52.33 (17.45) |
| Female (%) | 62.7 | 59.3 | 50.1 | 56.1 |
| Highest Education (%) | ||||
| No formal Qual | 30.0 | 19.6 | 4.7 | 17.2 |
| Secondary School | 21.9 | 35.9 | 19.9 | 21.4 |
| Vocational or Trade | 23.6 | 22.3 | 10.5 | 24.2 |
| University Degree or Higher | 24.4 * | 22.2 | 64.9 | 37.2 |
| Employment (%) | ||||
| Full time | 43.0 | 50.5 | 60.6 | 44.4 |
| Par time | 15.4 | 10.5 | 12.2 | 17.6 |
| Currently search for job | 7.2 | 7.4 | 4.7 | 2.6 |
| Student | 4.3 | 4.6 | 6.5 | 2.1 |
| Homemaker | 8.7 | 10.3 | 8.3 | 5.5 |
| Beneficiary | 13.2 | 9.6 | 1.0 | 4.4 |
| Retired | 7.4 | 6.0 | 6.3 | 22.8 |
| Other | 0.6 | 1.0 | 0.4 | 0.5 |
| Social connectedness | 17.65 (3.07) | 18.50 (2.97) | 17.89 (2.87) | 18.43 (3.00) |
| Leisure | 8.62 (3.49) | 8.96 (3.81) | 8.97 (3.49) | 9.09 (3.27) |
| Quality of life | 23.81 (5.22) | 24.16 (4.81) | 24.43 (4.45) | 24.83 (4.67) |
| Psychological distress | 5.34 (6.13) | 5.29 (5.82) | 3.84 (4.69) | 3.77 (4.41) |
| PGSI score | 0.68 (2.48) | 0.74 (2.25) | 0.30 (1.14) | 0.16 (0.97) |
| 1 | 2 | 3 | 4 | 5 | 6 | |
|---|---|---|---|---|---|---|
| 1. Social connectedness | - | |||||
| 2. Leisure activity | 0.220 ** | - | ||||
| 3. Quality of life | 0.244 ** | 0.123 ** | - | |||
| 4. Psychological distress | −0.114 ** | 0.023 | −0.440 ** | - | ||
| 5. PGSI score | −0.068 ** | −0.032 * | −0.151 ** | 0.192 ** | - | |
| 6. Age | 0.162 ** | −0.088 ** | 0.043 ** | −0.156 ** | −0.122 ** | - |
| Variables | B | SD | p | Exp(B) | 95% Confidence Interval for Exp(B) | |
|---|---|---|---|---|---|---|
| Lower | Upper | |||||
| Social connectedness | −0.001 | 0.0020 | 0.547 | 0.999 | 0.995 | 1.003 |
| Leisure activities | −0.009 | 0.0018 | <0.001 | 0.991 | 0.988 | 0.994 |
| Psychological distress | −0.002 | 0.0012 | 0.092 | 0.998 | 0.996 | 1.000 |
| Māori a | 0.084 | 0.0147 | <0.001 | 1.088 | 1.057 | 1.119 |
| Pacific a | 0.071 | 0.0181 | <0.001 | 1.074 | 1.036 | 1.112 |
| Asian a | −0.111 | 0.0209 | <0.001 | 0.895 | 0.859 | 0.933 |
| Variables | B | SD | p | Exp(B) | 95% Confidence Interval for Exp(B) | |
|---|---|---|---|---|---|---|
| Lower | Upper | |||||
| Social connectedness | −0.008 | 0.004 | 0.043 | 0.992 | 0.984 | 1.000 |
| Leisure activities | 0.012 | 0.004 | <0.001 | 1.012 | 1.005 | 1.020 |
| Psychological distress | −0.003 | 0.0024 | 0.276 | 0.997 | 0.993 | 1.002 |
| Māori a | 0.130 | 0.0298 | <0.001 | 1.139 | 1.074 | 1.207 |
| Pacific a | 0.063 | 0.0374 | 0.092 | 1.065 | 0.990 | 1.146 |
| Asian a | 0.010 | 0.0406 | 0.809 | 1.010 | 0.933 | 1.094 |
| Predictor | B | SD | t | p |
|---|---|---|---|---|
| Social connectedness | 0.283 | 0.020 | 14.185 | <0.001 |
| Leisure activities | 0.123 | 0.018 | 6.862 | <0.001 |
| Psychological distress | −0.430 | 0.012 | −35.911 | <0.001 |
| PGSI score | −0.102 | 0.037 | −2.743 | 0.006 |
Publisher’s Note: MDPI stays neutral with regard to jurisdictional claims in published maps and institutional affiliations. |
© 2022 by the authors. Licensee MDPI, Basel, Switzerland. This article is an open access article distributed under the terms and conditions of the Creative Commons Attribution (CC BY) license (https://creativecommons.org/licenses/by/4.0/).
Share and Cite
Wang, G.Y.; Bellringer, M.E. Social Connectedness and Associations with Gambling Risk in New Zealand. J. Clin. Med. 2022, 11, 7123. https://doi.org/10.3390/jcm11237123
Wang GY, Bellringer ME. Social Connectedness and Associations with Gambling Risk in New Zealand. Journal of Clinical Medicine. 2022; 11(23):7123. https://doi.org/10.3390/jcm11237123
Chicago/Turabian StyleWang, Grace Y., and Maria E. Bellringer. 2022. "Social Connectedness and Associations with Gambling Risk in New Zealand" Journal of Clinical Medicine 11, no. 23: 7123. https://doi.org/10.3390/jcm11237123
APA StyleWang, G. Y., & Bellringer, M. E. (2022). Social Connectedness and Associations with Gambling Risk in New Zealand. Journal of Clinical Medicine, 11(23), 7123. https://doi.org/10.3390/jcm11237123

