Next Article in Journal
Growth Trajectories during the First 6 Years in Survivors Born at Less Than 25 Weeks of Gestation Compared with Those between 25 and 29 Weeks
Next Article in Special Issue
Persistent Atrial Fibrillation in Elderly Patients: Limited Efficacy of Pulmonary Vein Isolation
Previous Article in Journal
Oral Health-Related Quality of Life in Patients after Stroke—A Systematic Review
Previous Article in Special Issue
Antithrombotic Strategies in Patients with Atrial Fibrillation and Acute Coronary Syndromes Undergoing Percutaneous Coronary Intervention
 
 
Font Type:
Arial Georgia Verdana
Font Size:
Aa Aa Aa
Line Spacing:
Column Width:
Background:
Review

Breast Cancer and Atrial Fibrillation

by
Emanuela Mauro
1,†,
Fabiana Lucà
2,†,
Cecilia Tetta
1,†,
Orlando Parise
1,
Iris Parrini
3,
Gianmarco Parise
1,
Carmelo Massimiliano Rao
2,
Francesco Matteucci
1,
Linda Renata Micali
1,
Michele Massimo Gulizia
4,5,
Mark La Meir
6,† and
Sandro Gelsomino
1,6,*
1
Cardiothoracic Department, CARIM School for Cardiovascular Diseases, Maastricht University, 6229HX Maastricht, The Netherlands
2
Cardiology Department, Grande Ospedale Metropolitano—GMO Hospital, 89124 Reggio Calabria, Italy
3
Cardiology Department, Mauriziano Umberto I Hospital, 10128 Torino, Italy
4
Cardiology Department, Garibaldi Nesima Hospital, 95123 Catania, Italy
5
Heart Care Foundation, Via Alfonso la Marmora 36, 50121 Firenze, Italy
6
Cardiothoracic Department, Brussels University Hospital, 1090 Brussels, Belgium
*
Author to whom correspondence should be addressed.
These authors contributed equally to this work.
J. Clin. Med. 2022, 11(5), 1417; https://doi.org/10.3390/jcm11051417
Submission received: 31 December 2021 / Revised: 16 February 2022 / Accepted: 1 March 2022 / Published: 4 March 2022
(This article belongs to the Special Issue State of the Art in Management of Atrial Fibrillation)

Abstract

:
This study aims to establish the incidence of atrial fibrillation (AF) in breast cancer (BC) patients, focusing on staging and anti-cancer treatment. A meta-analysis was conducted to investigate the incidence of AF in BC patients and compare this incidence to other cancers. Furthermore, we evaluated the occurrence of AF as an adverse effect of biological therapies vs. non-biological therapies vs. biological therapies + non-biological therapies in BC. Finally, we compared the incidence of AF in early BC and metastatic BC. Thirty studies were included. Twenty-two studies focused on BC, encompassing 166,271 patients. In the BC group, 2.7% of patients developed AF, while in the “all cancer” group, 5.8% of patients developed AF. In addition, there was no difference between different types of therapies (p = 0.61) and between early and metastatic BC (p = 0.57). The type of anti-cancer therapy and the staging of BC does not influence AF’s occurrence in this neoplastic disease.

1. Introduction

Cancer patients have a risk of atrial fibrillation (AF) 47% higher than patients without cancer [1,2,3]. Conversely, an increased risk of incidentally finding cancer in patients with known AF has also been reported so that this relationship might be bidirectional [4].
Several underlying mechanisms and risk factors are shared between these two entities [5]. Although the cause of this correlation is still not fully understood, it has been hypothesized that inflammation might play a crucial role in this association [6]. Additionally, cancer treatments might predispose to AF [7]. Patients with breast cancer (BC), the most frequent women’s tumor [8], have an increased risk of cardiovascular diseases (CVD) [9], and, among them, AF has been often reported in BC [10]. It has been hypothesized that the female sex might be a significant AF predisposing factor [4,11]. Moreover, apart from the direct effects of cancer and shared risk factors between the two diseases [6], adverse effects of cancer therapy [12] have been evoked to explain the association between AF and BC [13,14].
Nonetheless, while numerous studies have suggested a higher risk of cancer following an AF diagnosis [15] with a significant prevalence of colorectal cancer [16], there is a paucity of research in the literature focusing on AF in patients with preexisting BC [17]. In addition, despite the well-known cardiotoxic side effects of treatments frequently used in BC [18,19,20], including radiotherapy [10], little is known whether cardiotoxic chemotherapy may enhance the link between BC and AF [5,21]. Finally, the higher risk of AF has been more commonly reported in the early stage of the disease [22], whereas AF associated with metastatic breast cancer (MBC) has been rarely reported.
Therefore, this study investigates the incidence of AF following BC cancer and explores whether this association is related to BC anti-cancer treatment and whether it varies depending on BC staging.

2. Materials and Methods

2.1. Search Strategy

A literature search was performed in conformity with the principles of the Preferred Reporting Items for Systematic Review and Meta-Analyses (PRISMA) [23]. Two authors (EM and FL) decided on the search strategy approved by another author (CT). Additional references identified through original articles were reviewed manually and cross-checked for other relevant reports. Titles and abstracts of all articles published in January 2005 and August 2020 were initially screened. One investigator (EM) with great expertise in performing the literature search, performed queries, and focused on detecting articles regarding cancer and AF.
We searched PubMed, Medline, EMBASE databases. The search strategy included the following search terms: “atrial fibrillation” AND cancer, (“atrial fibrillation” AND “breast cancer”) AND (chemotherapy [MeSH Terms]), “breast cancer” AND “cardiac toxicity *,” (cancer OR “malignant neoplasm” OR neoplasm OR tumor) AND “atrial fibrillation” OR AF; (“breast cancer” OR “breast carcinoma” OR “mammary cancer”) AND “atrial fibrillation,”.

2.2. Selection Criteria

Article selection was based on the following inclusion criteria: (a) studies with cohorts of more than 10 patients; (b) comparative studies (BC vs. no-BC) with data on the AF incidence in a cancer population, (c) non-comparative studies on BC (BC-only).
The exclusion criteria were: (a) non-human studies, (b) case reports, (c) previous reviews and meta-analyses, (d) editorials, (e) studies consisting of less than 10 individuals, (f) studies reporting a post-operative AF, (e) studies in which data was not separated for AF and other atrial arrhythmias, (f) studies focused on BC following AF.

2.3. Endpoints and Definitions

The primary endpoints of this meta-analysis are: (1) To investigate the incidence of AF following BC. (2) The evaluation of the occurrence of AF during biological therapies vs. non-biological therapies (i.e., chemotherapy, radiotherapy, and hormone therapy (HT) vs. biological therapies + non-biological therapies in BC); (3) comparison between early breast cancer (EBC) and metastatic breast cancer (MBC) in terms of AF incidence. As expressed by the Union for International Cancer Control [24], we categorized EBC as (a) stage I–IIIA BC in case no specific description was reported by the study; (b) stage I–III BC, which was referred to as “early” in the study; (c) stage I–III BC for studies in which the absence of MBC was explicitly reported. We categorized MBC as BC at the IV stage [24].

2.4. Assessment of the Risk of Bias

The risk of bias for the included studies was independently assessed by two reviewers (EM and FL). The ROBINS-I tool (Risk of Bias in Non-randomized Studies-of Interventions) and ROB 2 tool (Risk of Bias for Randomized Trials) were used for the assessment of bias in non-randomized and randomized studies, respectively [25]. The domains assessed using the ROBINS-I tool were (1) bias due to confounding; (2) bias in the selection of participants into the study; (3) bias in classification of interventions; (4) bias due to deviations from intended interventions; (5) bias due to missing data; (6) bias in the measurement of outcomes; (7) bias in the selection of the reported result; and (8) overall bias assessment. The domains were graded as ‘Low”, “Moderate,” “Serious,” “Critical,” and “No Information” [26].
The domains assessed in the ROB 2 tool were (1) bias arising from the randomization process; (2) bias due to deviations from intended interventions; (3) bias due to missing outcome data; (4) bias in the measurement of the outcome; (5) bias in the selection of the reported result; and (6) overall bias assessment. We graded each domain as “Low,” “Some concerns,” and “High risk” [27]. Additionally, the plots for ROBINS-I and ROB 2 tools were generated using the software robvis [28].

2.5. Statistical Analysis

The meta-analysis was conducted using v. 3.6.1 (R Foundation for Statistical Computing, Vienna, Austria). Risk ratio (RR) and proportion with 95% confidence interval (CI) were used as index statistics for dichotomous variables. The random-effects model was employed because heterogeneity among studies was anticipated. Heterogeneity was evaluated with Higgin’s I2 test [29]. I2 values < 40% were considered having low heterogeneity, I2 values > 75% were considered having high heterogeneity. Publication bias was assessed using Egger’s test of the intercept.
A multiple (stratified) analysis was conducted. Firstly, the analysis was carried out in studies at low risk of bias, followed by a high risk of bias and all studies together, to test whether the risk of bias impacted results.
In addition, a sub-analysis was performed to explore the impact of therapies and cancer spread on the proportion of AF recurrence. p values < 0.05 were considered statistically significant.

3. Results

3.1. Search Results and Characteristics of the Studies

The selection process is shown in Figure 1. The Prisma checklist can be found in the Supplementary Materials (Table S1). The studies included are listed in Table 1 Since the variables needed to analyze the endpoints were not unanimously described in all papers, the variables investigated by each analysis are listed in Table 2. Twenty-two studies focused on BC, encompassing 166,271 patients [10,12,22,30,31,32,33,34,35,36,37,38,39,40,41,42] further excluding three more papers not specifically dealing with BC [22,38,42]. The mean age of BC patients was 56.88 years [95% CI: 52.93, 60.83]. Among the studies that did report information on the stage of BC, we found that 4232 patients had MBC, and 84,042 patients had EBC. Table 3 reports the characteristics of BC, while detailed information on the therapeutic strategies is presented in Table 4. The risk of bias evaluation is shown in Supplementary Materials Figures S1 and S2.

3.2. AF following Breast Cancer

In the BC group, 2.7% of patients developed AF Figure 2. In the stratified analysis, the incidence of AF in BC was comparable in patients with low and high risk of bias compared to the overall population (3% [95% CI 2–3) vs. 3% [95% CI 1–3], in low and high risk of bias, respectively) showing that the risk of bias did not impact results (Supplementary Materials Figure S3).

3.3. AF and Anti-Cancer Therapy

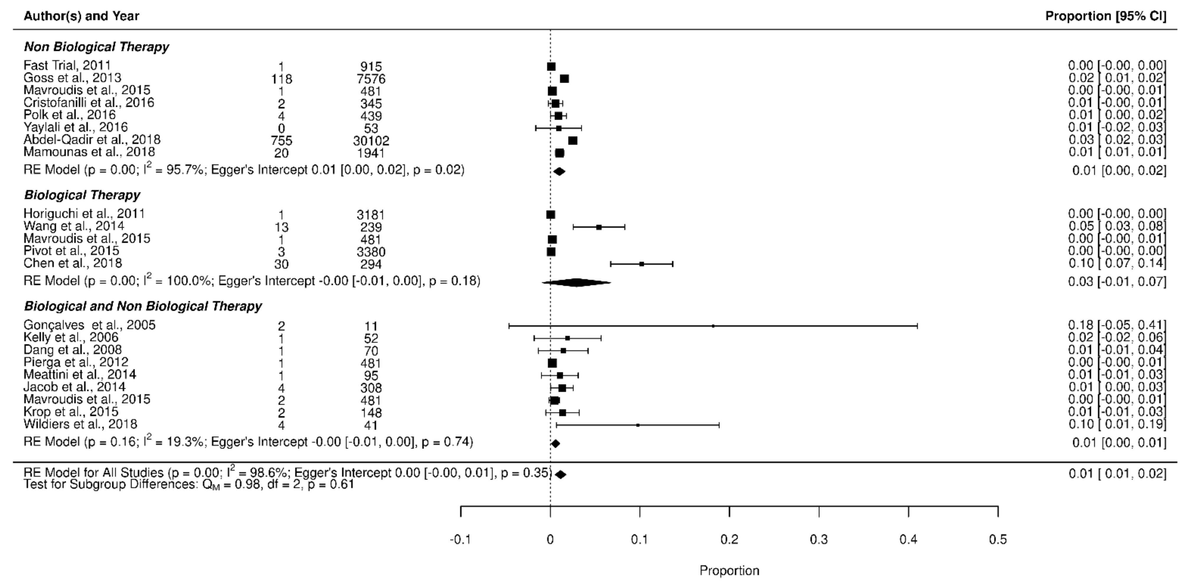
We found no statistically significant difference in the occurrence of AF in BC patients undergoing biological therapy, non-biological therapy, or their association; as shown in Figure 3, non-biological therapies had a cumulative AF incidence of 1% [95% CI: 0%, 2%], with 2.1% of patients developing AF while biological treatment showed a cumulative AF incidence of 3% [95% CI: −1%, 7%], with 0.6% of patients developing AF. For biological therapy associated with non-biological treatment, we reported a cumulative AF incidence of 1% [95% CI: 1%, 2%], with 1.1% of patients developing AF. The test for sub-group differences was not significant (p = 0.61).

3.4. AF in Early vs. Metastatic Breast Cancer

Only 0.3% of patients with MBC developed AF, leading to a cumulative incidence near to 0% [95% CI: 0–1%]. In EBC patients, 4.0% developed AF, leading to a cumulative incidence of 1% [95% CI: 0–3%]. As shown in Figure 4, there was no statistically significant difference between EBC and MBC (p = 0.57).
Funnel plots are reported in the Supplementary Materials (Figures S4–S6).

4. Discussion

In the current meta-analysis, we evaluated the incidence of AF in breast cancer (BC) patients. As far as we know this is the first meta-analysis that addresses this association related to anti-cancer therapies and cancer stages.
We estimated that the overall incidence of AF in patients with BC is 2.7%. It has been postulated that hormones play a role in the population affected by BC, in which estrogens involvement in the development/protection of AF is still controversial. Some evidence supports the antiarrhythmic role of estrogens, which could directly act on the electrical conduction of cardiomyocytes [51]. The controversy arises because exogenous and endogenous hormones exert opposite effects. On the one hand, hormone replacement therapy (HRT) in estrogen monotherapy seems to be a risk factor for AF [52]. On the other hand, some studies draw attention to the role of endogenous estrogens, which seem to be protective for the heart through their effect on blood pressure, body–mass index, and LDL [53]. In this regard, it is essential to acknowledge that the presence of estrogen receptors on the heart, which protect from cytotoxic, ischemic, and hypertrophic mechanisms, prevents left ventricular hypertrophy, commonly related to AF [53]. At the same time, low levels of endogenous hormones have been associated with AF risk factors such as obesity, dyslipidemia, and hypertension [53].
Yuan and coworkers [1] found that the risk of AF is increased in cancer patients only in the first 90 days from the cancer diagnosis. They attribute this to the hyperactivation of the sympathetic nervous system because of the diagnosis-derived mental stress. In addition, at the time of diagnosis, cancer might manifest with acute phenomena such as infections, bleeding, thrombosis, and anemia, all complications that can per se induce AF [51]. Many studies found that the risk of developing AF in cancer patients beyond the 90 days of diagnosis is equal to controls [16,54]. Remarkably, in our analysis, most studies did not include patients with newly diagnosed cancer. However, it needs to be mentioned that our results could be influenced by the high heterogeneity found, as AF might be defined and detected differently in each study.
Furthermore, in our meta-analysis, we found no difference in the incidence of AF between the different therapeutic strategies used in BC. This is not surprising since literature already reports that chemotherapeutic agents, radiotherapy, and trastuzumab have been equally associated with cardiotoxicity [55,56,57]. Chemotherapy and radiotherapy have cardiotoxic effects that lead to AF, either due to LV dysfunction or the direct action on the myocardium [58]. Ultimately, changes in the myocardium can lead to electrophysiological remodeling. Chemotherapeutic drugs cause abnormalities in potassium, sodium, and calcium channels, resulting in reducing the action potential and refractory period, facilitating the sustain of AF [57]. Additionally, they activate pro-inflammatory pathways that exacerbate the inflammatory status and predispose to AF; this is particularly true for anthracyclines, while cyclophosphamide-derived AF is due to myocardial fibrosis and hypertrophy because of modifications in the cytokine pathways. Moreover, both anthracyclines and trastuzumab lead to the accumulation of reactive oxygen species (ROS, producing cell damage, apoptosis, and cardiotoxicity, culminating in AF [57].
Finally, our sub-analysis suggest that BC staging is not a predictor of therapy-induced AF. The reason behind this balanced result could be patients’ age [59]. Younger patients seem to be frequently diagnosed with a higher stage and more aggressive BC, and so more predisposed to metastasize, but their age could decrease the risk of AF, as presumably, they have fewer comorbidities at baseline. On the contrary, older patients are mostly diagnosed with EBC, which has a better prognosis [60], and so despite their baseline conditions age-related, the AF risk could be comparable to those of younger patients with MBC.

Clinical Implications

The cornerstones of AF management are stroke prevention, heart rate control, and rhythm control [2].
Regarding anticoagulation for the prevention of stroke, two main things must be considered when treating patients with BC and AF: (I) BC itself and cancer therapies cause a prothrombotic state [52,53]. (II) BC and Chemotherapy may increase the risk of hemorrhage, with an unpredictable anticoagulant response [1].
The European Society of Cardiology Position Paper on Cancer treatments recommends the use of anticoagulants in cancer as in non-oncological patients [54].
Despite the current evidence, anticoagulants are underused associated with large and inappropriate use of antiplatelet agents for stroke prevention as described in current registries in AF [54,55].
Therefore, although embolic-hemorrhagic risk must be evaluated in any single patient with BC and AF, anticoagulants should be prescribed as in non-oncological patients.
The use of direct oral anticoagulants (DOACs) should be preferred over vitamin K antagonists (VKAs) since the control of the international normalized ratio (INR) may be challenging [56], especially during chemotherapy. Nonetheless, Pardo Sanz et al. [57] showed that BC patients treated with DOACs experienced similar rates of stroke and bleeding as those with VKAs.
The general conditions and the quality of life of patients with BC may be strongly impacted by AF. A high heart rate, as well as the loss of the atrial contribution to left ventricular filling, reduce the left ventricular output leading to hemodynamic impairment [57]. The management should be patient-specific and can be a pharmacological or an ablative treatment [58]. Rhythm control may be required in seriously symptomatic patients, particularly when a rapid impairment of ventricular function occurs, requiring urgent cardioversion. Electrical cardioversion is preferred, while anti-arrhythmic drugs may be used only in patients with no contraindications for these drugs, and if any interference with chemotherapy drugs can be excluded. Among antiarrhythmics, dronedarone has shown also anticancer effects through antagonizing the thyroid hormone receptor alpha 1 (THRα1) that seems to play a role in breast cancer progression [59].
In very selected cancer patients with a good oncologic prognosis, a catheter ablation (CA) with pulmonary vein isolation (PVI) may be considered for rhythm control. PVI in BC patients showed rates of symptom improvements, recurrent arrhythmia, and the need for repeat ablations compared to the non-cancer population, despite a higher rate of complications [60]. Nonetheless, often BC patients have more dilated LA, therefore, presumably, more remodeled atria. Therefore, PVI alone is less effective, and more extensive lesions are necessary [60].
Finally, a rate control strategy may be obtained using beta-blockers, since the multiple interferences of verapamil, diltiazem, and digitalis with chemotherapy.
This paper has some limitations that need to be addressed. Firstly, in most reports, the number of patients who underwent radiotherapy and/or endocrine therapy was unknown. Secondly, most papers did not have two groups that could be compared.

5. Conclusions

Patients with BC have a >2% risk of developing AF. This risk is not influenced either by the type of anti-cancer therapy or by the BC stage. The treatment of this arrhythmia should be considered to improve the quality of life of these patients and to prevent the risk of stroke. Further specific studies are necessary to lead to specific prediction scales and precise recommendations in these patients.

Supplementary Materials

The following supporting information can be downloaded at: https://www.mdpi.com/article/10.3390/jcm11051417/s1, Figure S1: The risk-of-bias plot for the Robins-I, Figure S2: The risk-of-bias plot for the RoB2, Figure S3: (A) Odds-Ratio forrest plot of Supraventricular Arrhytmias vs. OSA, (B) Odds-Ratio forrest plot of AF vs. OSA, Figure S4: Funnel plot of AF incidence in breast cancer and in other types of cancer, Figure S5: Funnel plot of AF incidence in non-biological therapy vs. biological therapy vs. biological + non-biological therapy, Figure S6: Funnel plot of AF incidence Early Breast Cancer (BC) vs. Metastatic BC, Table S1: The PRISMA statement.

Author Contributions

Conceptualization, E.M., F.L. and C.T.; methodology, E.M., C.T. and F.L.; software, G.P.; validation, S.G., M.M.G. and M.L.M.; formal analysis, O.P., I.P. and C.M.R.; investigation, F.L.; data curation, O.P.; writing—original draft preparation, E.M.; writing—review and editing, S.G.; project administration, F.M. and L.R.M. All authors have read and agreed to the published version of the manuscript.

Funding

This research received no external funding.

Conflicts of Interest

The authors declare no conflict of interest.

References

  1. Yuan, M.; Zhang, Z.; Tse, G.; Feng, X.; Korantzopoulos, P.; Letsas, K.P.; Yan, B.P.; Wu, W.K.K.; Zhang, H.; Li, G.; et al. Association of Cancer and the Risk of Developing Atri-al Fibrillation: A Systematic Review and Meta-Analysis. Cardiol. Res. Pract. 2019, 2019, 8985273. [Google Scholar] [CrossRef] [PubMed]
  2. Hindricks, G.; Potpara, T.; Dagres, N.; Arbelo, E.; Bax, J.J.; Blomström-Lundqvist, C.; Boriani, G.; Castella, M.; Dan, G.; Dilaveris, P.E.; et al. 2020 ESC Guidelines for the diagnosis and management of atrial fibrillation developed in collaboration with the European Association of Cardio-Thoracic Surgery (EACTS). Eur. Heart J. 2020, 2, 373–498. [Google Scholar]
  3. Jakobsen, C.B.; Lamberts, M.; Carlson, N.; Lock-Hansen, M.; Torp-Pedersen, C.; Gislason, G.H.; Schou, M. Incidence of atrial fibrillation in different major cancer subtypes: A Nationwide population-based 12 year follow up study. BMC Cancer 2019, 19, 1105. [Google Scholar] [CrossRef] [PubMed]
  4. Conen, D.; Wong, J.A.; Sandhu, R.K.; Cook, N.R.; Lee, I.-M.; Buring, J.E.; Albert, C. Risk of Malignant Cancer Among Women with New-Onset Atrial Fibrillation. JAMA Cardiol. 2016, 1, 389–396. [Google Scholar] [CrossRef] [PubMed] [Green Version]
  5. Farmakis, D.; Parissis, J.; Filippatos, G. Insights into onco-cardiology: Atrial fibrillation in cancer. J. Am. Coll. Cardiol. 2014, 63, 945–953. [Google Scholar] [CrossRef] [PubMed] [Green Version]
  6. Cheng, W.-L.; Kao, Y.-H.; Chen, S.-A.; Chen, Y.-J. Pathophysiology of cancer therapy-provoked atrial fibrillation. Int. J. Cardiol. 2016, 219, 186–194. [Google Scholar] [CrossRef]
  7. Sanz, A.P.; Gómez, J.L.Z. AF in Cancer Patients: A Different Need for Anticoagulation? Eur. Cardiol. Rev. 2019, 14, 65–67. [Google Scholar] [CrossRef] [Green Version]
  8. Harbeck, N.; Gnant, M. Breast cancer. Lancet 2017, 389, 1134–1150. [Google Scholar] [CrossRef]
  9. Gulati, M.; Mulvagh, S.L. The connection between the breast and heart in a woman: Breast cancer and cardiovascular disease. Clin. Cardiol. 2018, 41, 253–257. [Google Scholar] [CrossRef]
  10. D’Souza, M.; Smedegaard, L.; Madelaire, C.; Nielsen, D.; Torp-Pedersen, C.; Gislason, G.; Schou, M.; Fosbøl, E. Incidence of atrial fibrillation in conjunction with breast cancer. Heart Rhythm. 2019, 16, 343–348. [Google Scholar] [CrossRef]
  11. Zopf, Y.; Rabe, C.; Neubert, A.; Gaßmann, K.G.; Rascher, W.; Hahn, E.G.; Brune, K.; Dormann, H. Women encounter ADRs more often than do men. Eur. J. Clin. Pharmacol. 2008, 64, 999–1004. [Google Scholar] [CrossRef] [PubMed]
  12. Yaylali, Y.T.; Saricopur, A.; Yurtdas, M.; Senol, H.; Gokoz-Dogu, G. Atrial Function in Patients with Breast Cancer After Treatment with Anthracyclines. Arq. Bras. Cardiol. 2016, 107, 411–419. [Google Scholar] [CrossRef] [PubMed]
  13. Mery, B.; Guichard, J.-B.; Guy, J.-B.; Vallard, A.; Barthelemy, J.-C.; Da Costa, A.; Magné, N.; Bertoletti, L. Atrial fibrillation in cancer patients: Hindsight, insight and foresight. Int. J. Cardiol. 2017, 240, 196–202. [Google Scholar] [CrossRef]
  14. Alexandre, J.; Salem, J.-E.; Moslehi, J.; Sassier, M.; Ropert, C.; Cautela, J.; Thuny, F.; Ederhy, S.; Cohen, A.; Damaj, G.; et al. Identification of anticancer drugs associated with atrial fibrillation: Analysis of the WHO pharmacovigilance database. Eur. Heart J. Cardiovasc. Pharmacother. 2021, 7, 312–320. [Google Scholar] [CrossRef]
  15. Kim, C.H.; Al-Kindi, S.G.; Oliveira, G.H. Atrial Fibrillation and Cancer—Validation in the Real World. JAMA Cardiol. 2017, 2, 343–344. [Google Scholar] [CrossRef] [PubMed]
  16. Erichsen, R.; Christiansen, C.F.; Mehnert, F.; Weiss, N.S.; Baron, J.A.; Sørensen, H.T. Colorectal cancer and risk of atrial fibrillation and flutter: A population-based case–control study. Intern. Emerg. Med. 2011, 7, 431–438. [Google Scholar] [CrossRef] [PubMed]
  17. Increased Risk of Atrial Fibrillation in Women with Breast Cancer. Oncol. Times 2019, 41, 20. [CrossRef]
  18. Darby, S.C.; Cutter, D.J.; Boerma, M.; Constine, L.S.; Fajardo, L.F.; Kodama, K.; Mabuchi, K.; Marks, L.B.; Mettler, F.A.; Pierce, L.J.; et al. Radiation-Related Heart Disease: Current Knowledge and Future Prospects. Int. J. Radiat. Oncol. 2010, 76, 656–665. [Google Scholar] [CrossRef] [Green Version]
  19. Cardinale, D.; Colombo, A.; Torrisi, R.; Sandri, M.T.; Civelli, M.; Salvatici, M.; Lamantia, G.; Colombo, N.; Cortinovis, S.; Dessanai, M.A.; et al. Trastuzumab-Induced Cardiotoxicity: Clinical and Prognostic Implications of Troponin I Evaluation. J. Clin. Oncol. 2010, 28, 3910–3916. [Google Scholar] [CrossRef]
  20. Shan, K.; Lincoff, A.M.; Young, J.B. Anthracycline-induced cardiotoxicity. Ann. Intern. Med. 1997, 126, 827–828. [Google Scholar] [CrossRef]
  21. Abdel-Qadir, H.; Thavendiranathan, P.; Fung, K.; Amir, E.; Austin, P.C.; Anderson, G.S.; Lee, D.S. Association of Early-Stage Breast Cancer and Subsequent Chemotherapy with Risk of Atrial Fibrillation. JAMA Network Open. 2019, 2, e1911838. [Google Scholar] [CrossRef] [PubMed] [Green Version]
  22. Guzzetti, S.; Costantino, G.; Vernocchi, A.; Sada, S.; Fundarò, C. First diagnosis of colorectal or breast cancer and prevalence of atrial fibrillation. Intern. Emerg. Med. 2008, 3, 227–231. [Google Scholar] [CrossRef] [PubMed]
  23. Liberati, A.; Altman, D.G.; Tetzlaff, J.; Mulrow, C.; Gøtzsche, P.C.; Ioannidis, J.P.; Ioannidis, J.P.A.; Clarke, M.; Devereaux, P.J.; Kleijnen, J.; et al. The PRISMA statement for reporting systematic reviews and meta-analyses of studies that evaluate health care interventions: Explanation and elaboration. J. Clin. Epidemiol. 2009, 62, e1–e34. [Google Scholar] [CrossRef] [Green Version]
  24. Brierley, J.D.; Gospodarowicz, M.K.; Wittekind, C. TNM Classification of Malignant Tumours, 8th ed.; Wiley-Blackwell: Oxford, UK; Hoboken, NJ, USA, 2017. [Google Scholar]
  25. Higgins, J.P.; Thomas, J.; Chandler, J.; Cumpston, M.; Li, T.; Page, M.J.; Welch, V. Cochrane Handbook for Systematic Reviews of Interventions; John Wiley & Sons: Hoboken, NJ, USA, 2019. [Google Scholar]
  26. Jüni, P.; Loke, Y.; Pigott, T.; Ramsay, C.; Regidor, D.; Rothstein, H.; Sandhu, L.; Santaguida, P.L.; Schünemann, H.J.; Shea, B. Risk of Bias in Non-Randomized Studies of Interventions (ROBINS-I): Detailed Guidance. 2016. Available online: http://www.riskofbias.info (accessed on 1 January 2022).
  27. Afzal, M.R.; Samanta, A.; Chatta, J.; Ansari, B.; Atherton, S.; Sabzwari, S.; Turagam, M.; Lakkireddy, D.; Houmsse, M.; Houmsse, M. Adjunctive ablation strategies improve the efficacy of pulmonary vein isolation in non-paroxysmal atrial fibrillation: A systematic review and meta-analysis. Expert Rev. Cardiovasc. Ther. 2017, 15, 227–235. [Google Scholar] [CrossRef] [PubMed]
  28. McGuinness, L.A.; Higgins, J.P. Risk-of-bias VISualization (robvis): An R package and Shiny web app for visualizing risk-of-bias assessments. Res. Synth. Methods 2020, 12, 55–61. [Google Scholar] [CrossRef] [PubMed]
  29. Wyse, D.G. The Atrial Fibrillation Follow-up Investigation of Rhythm Management (AFFIRM) Investigators: A Comparison of Rate Control and Rhythm Control in Patients with Atrial Fibrillation. N. Engl. J. Med. 2002, 347, 1825–1833. [Google Scholar] [PubMed]
  30. Chalazan, B.; Lentz, R.; McCauley, M.; Kolek, M.; Farber-Eger, E.; Wells, Q.; Moslehi, J.; Darbar, D. Chemotherapy Treatment Increases the Risk of Developing Atrial Fibrillation in Breast Cancer. Circulation 2016, 134 (Suppl. S1), A20758. [Google Scholar]
  31. Chen, J.; Long, J.; Hurria, A.; Owusu, C.; Steingart, R.; Gross, C. Early termination of adjuvant trastuzumab associated with cardiovascular events in older women with breast cancer. Am. Heart Assoc. 2012, 126, A18979. [Google Scholar]
  32. Dang, C.; Fornier, M.; Sugarman, S.; Troso-Sandoval, T.; Lake, D.; D’Andrea, G.; Seidman, A.; Sklarin, N.; Dickler, M.; Currie, V.; et al. The safety of dose-dense doxorubicin and cy-clophosphamide followed by paclitaxel with trastuzumab in HER-2/neu overexpressed/amplified breast cancer. J. Clin. Oncol. 2008, 26, 1216–1222. [Google Scholar] [CrossRef]
  33. Goncalves, A.; Braud, A.; Viret, F.; Tarpin, C.; Charaffe-Jauffret, E.; Jacquemier, J.; Seidman, A.; Sklarin, N.; Dickler, M.; Currie, V.; et al. High-dose alkylating agents with autologous hematopoietic stem cell support and trastuzumab in ERBB2 overexpressing metastatic breast cancer: A feasibility study. Anticancer Res. 2005, 25, 663–667. [Google Scholar]
  34. Jacob, J.; Belin, L.; Pierga, J.-Y.; Gobillion, A.; Vincent-Salomon, A.; Dendale, R.; Beuzeboc, P.; Campana, F.; Fourquet, A.; Kirova, Y.M. Concurrent administration of trastuzumab with locoregional breast radiotherapy: Long-term results of a prospective study. Breast Cancer Res. Treat. 2014, 148, 345–353. [Google Scholar] [CrossRef] [PubMed]
  35. Kelly, H.; Kimmick, G.; Dees, E.C.; Collichio, F.; Gatti, L.; Sawyer, L.; Ivanova, A.; Dressler, L.; Graham, M.L.; Carey, L.A. Response and Cardiac Toxicity of Trastuzumab Given in Conjunction with Weekly Paclitaxel After Doxorubicin/Cyclophosphamide. Clin. Breast Cancer 2006, 7, 237–243. [Google Scholar] [CrossRef] [PubMed]
  36. Krop, I.E.; Suter, T.M.; Dang, C.T.; Dirix, L.; Romieu, G.; Zamagni, C.; Citron, M.L.; Campone, M.; Xu, N.; Smitt, M.; et al. Feasibility and Cardiac Safety of Trastuzumab Emtansine After Anthracycline-Based Chemotherapy As (neo)Adjuvant Therapy for Human Epidermal Growth Factor Receptor 2–Positive Early-Stage Breast Cancer. J. Clin. Oncol. 2015, 33, 1136–1142. [Google Scholar] [CrossRef] [PubMed] [Green Version]
  37. Meattini, I.; Cecchini, S.; Muntoni, C.; Scotti, V.; Cardillo, C.D.L.; Mangoni, M.; Bonomo, P.; Nori, J.; Casella, D.; Simoncini, R.; et al. Cutaneous and cardiac toxicity of concurrent trastuzumab and adjuvant breast radiotherapy: A single institution series. Med. Oncol. 2014, 31, 891. [Google Scholar] [CrossRef] [PubMed]
  38. O’Neal, W.T.; Lakoski, S.G.; Qureshi, W.; Judd, S.E.; Howard, G.; Howard, V.J.; Cushman, M.; Soliman, E.Z. Relation Between Cancer and Atrial Fibrillation (from the REasons for Geographic and Racial Differences in Stroke Study). Am. J. Cardiol. 2015, 115, 1090–1094. [Google Scholar] [CrossRef] [PubMed] [Green Version]
  39. Pierga, J.-Y.; Petit, T.; Delozier, T.; Ferrero, J.-M.; Campone, M.; Gligorov, J.; Lerebours, F.; Roché, H.; Bachelot, T.; Charafe-Jauffret, E.; et al. Neoadjuvant bevacizumab, trastuzumab, and chemotherapy for primary inflammatory HER2-positive breast cancer (BEVERLY-2): An open-label, single-arm phase 2 study. Lancet Oncol. 2012, 13, 375–384. [Google Scholar] [CrossRef]
  40. Polk, A.; Shahmarvand, N.; Vistisen, K.; Vaage-Nilsen, M.; Larsen, F.O.; Schou, M.; Nielsen, D.L. Incidence and risk factors for capecitabine-induced symptomatic cardiotoxicity: A retrospective study of 452 consecutive patients with metastatic breast cancer. BMJ Open 2016, 6, e012798. [Google Scholar] [CrossRef] [Green Version]
  41. Wang, S.-Y.; Long, J.B.; Hurria, A.; Owusu, C.; Steingart, R.M.; Gross, C.P.; Chen, J. Cardiovascular events, early discontinuation of trastuzumab, and their impact on survival. Breast Cancer Res. Treat. 2014, 146, 411–419. [Google Scholar] [CrossRef]
  42. Ay, C.; Grilz, E.; Königsbrügge, O.; Klimek, P.; Thurner, S.; Posch, F.; Pabinger, I. Prevalence and Relative Risk of Atrial Fibrillation in Patients with Cancer—A Nationwide Cohort Study. In Nurses and Orals Abstracts: Research and Practice in Thrombosis and Haemostasis; 2019; pp. 1–228. Available online: https://www.riskofbias.info/ (accessed on 1 January 2022).
  43. Agrawal, R.K.; Alhasso, A.; Barrett-Lee, P.J.; Bliss, J.M.; Bliss, P.; Bloomfield, D.; Bowen, J.; Brunt, A.M.; Donovan, E.; Emson, M.; et al. First results of the randomised UK FAST Trial of radiotherapy hypofractionation for treatment of early breast cancer (CRUKE/04/015): The FAST Trialists group. Radiother. Oncol. 2011, 100, 93–100. [Google Scholar]
  44. Horiguchi, H.; Yasunaga, H.; Hashimoto, H.; Matsuda, S. Incidence of Severe Adverse Events Requiring Hospital Care after Trastuzumab Infusion for Metastatic Breast Cancer: A Nationwide Survey using an Administrative Claim Database. Breast J. 2011, 17, 683–685. [Google Scholar] [CrossRef]
  45. Goss, P.E.; Ingle, J.N.; Pritchard, K.I.; Ellis, M.J.; Sledge, G.W.; Budd, G.T.; Rabaglio, M.; Ansari, R.H.; Johnson, D.B.; Tozer, R.; et al. Exemestane Versus Anastrozole in Postmenopausal Women with Early Breast Cancer: NCIC CTG MA.27—A Randomized Controlled Phase III Trial. J. Clin. Oncol. 2013, 31, 1398–1404. [Google Scholar] [CrossRef] [PubMed]
  46. Mavroudis, D.; Saloustros, E.; Malamos, N.; Kakolyris, S.; Boukovinas, I.; Papakotoulas, P.; Kentepozidis, N.; Ziras, N.; Georgoulias, V. Six versus 12 months of adjuvant trastuzumab in combination with dose-dense chemotherapy for women with HER2-positive breast cancer: A multicenter randomized study by the Hellenic Oncology Research Group (HORG). Ann. Oncol. 2015, 26, 1333–1340. [Google Scholar] [CrossRef] [PubMed]
  47. Pivot, X.; Suter, T.; Nabholtz, J.M.; Pierga, J.Y.; Espie, M.; Lortholary, A.; Khayat, D.; Pauporte, I.; Romieu, G.; Kramar, A.; et al. Cardiac toxicity events in the PHARE trial, an adju-vant trastuzumab randomised phase III study. Eur. J. Cancer 2015, 51, 1660–1666. [Google Scholar] [CrossRef]
  48. Cristofanilli, M.; Turner, N.C.; Bondarenko, I.; Ro, J.; Im, S.-A.; Masuda, N.; Colleoni, M.; DeMichele, A.; Loi, S.; Verma, S.; et al. Fulvestrant plus palbociclib versus fulvestrant plus placebo for treatment of hormone-receptor-positive, HER2-negative metastatic breast cancer that progressed on previous en-docrine therapy (PALOMA-3): Final analysis of the multicentre, double-blind, phase 3 randomised controlled trial. Lancet Oncol. 2016, 17, 425–439. [Google Scholar] [PubMed] [Green Version]
  49. Mamounas, E.P.; Bandos, H.; Lembersky, B.C.; Jeong, J.-H.; Geyer, C.E., Jr.; Rastogi, P.; Fehrenbacher, L.; Graham, M.L.; Chia, S.K.; Brufsky, A.M.; et al. Use of letrozole after aromatase inhibitor-based therapy in postmenopausal breast cancer (NRG Oncology/NSABP B-42): A randomised, double-blind, placebo-controlled, phase 3 trial. Lancet Oncol. 2019, 20, 88–99. [Google Scholar] [CrossRef]
  50. Wildiers, H.; Tryfonidis, K.; Lago, L.D.; Vuylsteke, P.; Curigliano, G.; Waters, S.; Brouwers, B.; Altintas, S.; Touati, N.; Cardoso, F.; et al. Pertuzumab and trastuzumab with or without metronomic chemotherapy for older patients.e HER2-positive metastatic breast cancer (EORTC 75111-10114): An open-label, randomised, phase 2 trial from the Elderly Task Force/Breast Cancer Group. Lancet Oncol. 2018, 19, 323–336. [Google Scholar] [CrossRef]
  51. Wong, J.A.; Rexrode, K.; Sandhu, R.K.; Moorthy, M.V.; Conen, D.; Albert, C. Menopausal age, postmenopausal hormone therapy and incident atrial fibrillation. Heart 2017, 103, 1954–1961. [Google Scholar] [CrossRef]
  52. Rossi, R.; Grimaldi, T.; Origliani, G.; Fantini, G.; Coppi, F.; Modena, M.G. Menopause and cardiovascular risk. Pathophysiol. Haemost. Thromb. 2002, 32, 325–328. [Google Scholar] [CrossRef]
  53. Luo, T.; Kim, J.K. The Role of Estrogen and Estrogen Receptors on Cardiomyocytes: An Overview. Can. J. Cardiol. 2016, 32, 1017–1025. [Google Scholar] [CrossRef] [Green Version]
  54. Saliba, W.; Rennert, H.S.; Gronich, N.; Gruber, S.B.; Rennert, G. Association of atrial fibrillation and cancer: Analysis from two large population-based case-control studies. PLoS ONE 2018, 13, e0190324. [Google Scholar] [CrossRef]
  55. Alexandre, J.; Moslehi, J.J.; Bersell, K.R.; Funck-Brentano, C.; Roden, D.M.; Salem, J.-E. Anticancer drug-induced cardiac rhythm dis-orders: Current knowledge and basic underlying mechanisms. Pharmacol. Ther. 2018, 189, 89–103. [Google Scholar] [CrossRef]
  56. Buza, V.; Rajagopalan, B.; Curtis, A.B. Cancer Treatment–Induced Arrhythmias: Focus on Chemotherapy and Targeted Therapies. Circ. Arrhythmia Electrophysiol. 2017, 10, e005443. [Google Scholar] [CrossRef] [PubMed]
  57. Yang, X.; Li, X.; Yuan, M.; Tian, C.; Yang, Y.; Wang, X.; Zhang, X.; Sun, Y.; He, T.; Han, S.; et al. Anticancer Therapy-Induced Atrial Fibrillation: Electrophysiology and Related Mechanisms. Front. Pharmacol. 2018, 9, 1058. [Google Scholar] [CrossRef] [PubMed] [Green Version]
  58. Zamorano, J.L.; Lancellotti, P.; Rodriguez Muñoz, D.; Aboyans, V.; Asteggiano, R.; Galderisi, M.; Habib, G.; Lenihan, D.J.; Lip, G.Y.H.; Lyon, A.R.; et al. 2016 ESC Position Paper on cancer treatments and cardiovascular toxicity developed under the auspices of the ESC Committee for Practice Guidelines: The Task Force for cancer treatments and cardiovascular toxicity of the European Society of Cardiology (ESC). Eur. Heart J. 2016, 37, 2768–2801. [Google Scholar] [CrossRef]
  59. Charati, R.Y.; Hajian-Tilaki, K.; Sharbatdaran, M. Comparison of pathologic characteristics of breast cancer in younger and older women. Casp. J. Intern. Med. 2019, 10, 42–47. [Google Scholar] [CrossRef]
  60. Esteva, F.J.; Hortobagyi, G.N. Prognostic molecular markers in early breast cancer. Breast Cancer Res. 2004, 6, 109. [Google Scholar] [CrossRef]
Figure 1. Selection of studies.
Figure 1. Selection of studies.
Jcm 11 01417 g001
Figure 2. Forest plot of AF incidence in breast cancer and in other types of cancer.
Figure 2. Forest plot of AF incidence in breast cancer and in other types of cancer.
Jcm 11 01417 g002
Figure 3. Forest plot of AF incidence in non-biological therapy vs. biological therapy vs. biological + non-biological therapy.
Figure 3. Forest plot of AF incidence in non-biological therapy vs. biological therapy vs. biological + non-biological therapy.
Jcm 11 01417 g003
Figure 4. Forest plot of AF incidence Early Breast Cancer (BC) vs. Metastatic BC.
Figure 4. Forest plot of AF incidence Early Breast Cancer (BC) vs. Metastatic BC.
Jcm 11 01417 g004
Table 1. Study characteristics.
Table 1. Study characteristics.
AuthorYearDesignPtsAgeStageTherapyFU (mo)
Gonçalves et al. [33]2005PS1150.6 ± 30.4IVBT+ CT-
Kelly et al. [35]2006PhII Trial5247 ± 33.3IIB–IVBT+ CT39.0 ± NS
Dang et al. [32]2008PhII NRT7049.3 ± 33.3-BT + CT29.3 ± NS
Fast Trial [43]2011RT91562.9 ± 7.2I–III *RTx37.3 [NS]
Horiguchi et al. [44]2011RS318158.1 ± 9.3IVBT-
Pierga et al. [39]2012PhII NRT5248.4 ± 32.4I–II (T4d) BT + CT60
Goss et al. [45]2013PhIII RCT757664.1 ± NSI–III *HT49.0 [NS]
Jacob et al. [34]2014PS30853.3 ± 42.9I–III *BT + RTx63.1 ± 83.7
Meattini et al. [37]2014-9553.3 ± 34.8I–IIIBT + RT5.3 ± 6.7
Wang et al. [41]2014-23971.6 ± NSI–IIIBT50.0 [NS]
Krop et al. [36]2015PS153-I–III *BT + CT24.6 [NS]
Mavroudis et al. [46]2015RT48152.3 ± 35.5I–III *CT/BT47.0 [NS]
51.0 [NS]
Pivot et al. [47]2015PhIII RT3380-I–III *BT53.5 ± 9.9
Cristofanilli et al. [48]2016PhIII RCT52157.2 ± 41.2IVCT + HT8.9 ± 0.4
Polk et al. [40]2016PS45259.7 ± 44.4IVCT-
Yaylali et al. [12]2016RS5348 ± 8.0-CT-
Chalazan et al. [30]2018RS212458.9 ± 12.8-CT-
Chen et al. [31]2018RS29471.5 ± NSI–IIIBT-
Mamounas et al. [49]2018PhIII RCT3966-I–IIIAHT81.0 [73.0–89.0]
Wildiers et al. [50]2018PhII RT8078.1 ± 10.0IVBT + CT20.7 [12.5–30.4]
Abdel-Qadir et al. [21]2019RS68,11360 ± 13.0I–IIICT67.0 ± 33.0
D’Souza et al. [10]2019RS74,15562 ± 13.3---
Values are expressed as number or mean ± SD or median [IQR]. Abbreviations: BT = Biological Therapy, CT = Chemotherapy, FU = Follow-Up, HT = Hormone Therapy, NRT = Non-Randomized Trial, Ph = Phase, PS = Prospective Study, Pts = Patients, RCT = Randomized Controlled Trial, RS = Retrospective Study, RT = Randomized Trial, RTx = Radiotherapy. * I–III: stage reported as early-stage breast cancer, T4d: inflammatory breast cancer, maximum follow-up.
Table 2. Variables reported in each study.
Table 2. Variables reported in each study.
AuthorYearVariables Reported
Gonçalves et al. [33]2005Incidence of AF in breast cancer
Incidence of AF in MBC
Incidence of AF in biological therapy + chemotherapy (combined biological therapy)
Kelly et al. [35]2006Incidence of AF in breast cancer
Incidence of AF in biological therapy + chemotherapy (combined biological therapy)
Dang et al. [32]2008Incidence of AF in breast cancer
Incidence of AF in biological therapy + chemotherapy (combined biological therapy)
Fast Trial [43]2011Incidence of AF in breast cancer
Incidence of AF in EBC
Incidence of AF in non-biological therapies
Horiguchi et al. [44]2011Incidence of AF in breast cancer
Incidence of AF in MBC
Incidence of AF in biological therapy
Pierga et al. [39]2012Incidence of AF in breast cancer
Incidence of AF in biological therapy + chemotherapy (combined biological therapy)
Goss et al. [45]2013Incidence of AF in breast cancer
Incidence of AF in EBC
Incidence of AF in non-biological therapies
Jacob et al. [34]2014Incidence of AF in breast cancer
Incidence of AF in biological therapy + radiotherapy (combined biological therapy)
Meattini et al. [37]2014Incidence of AF in breast cancer
Incidence of AF in biological therapy + radiotherapy (combined biological therapy)
Wang et al. [41]2014Incidence of AF in breast cancer
Incidence of AF in biological therapy *
Krop et al. [36]2015Incidence of AF in breast cancer
Incidence of AF in EBC
Incidence of AF in biological therapy + chemotherapy (combined biological therapy)
Mavroudis et al. [46]2015Incidence of AF in breast cancer
Incidence of AF in biological therapy
Incidence of AF in biological therapy + chemotherapy (combined biological therapy)
Incidence of AF in non-biological therapies
Pivot et al. [47]2015Incidence of AF in breast cancer
Incidence of AF in EBC
Incidence of AF in biological therapy
Cristofanilli et al. [48]2016Incidence of AF in breast cancer
Incidence of AF in MBC
Incidence of AF in non-biological therapies
Polk et al. [40]2016Incidence of AF in breast cancer
Incidence of AF in MBC
Incidence of AF in non-biological therapies
Yaylali et al. [12]2016Incidence of AF in no-cancer vs. cancer patients
Incidence of AF in breast cancer
Incidence of AF in non-biological therapies
Chalazan et al. [30]2018Incidence of AF in breast cancer
Incidence of AF in non-biological therapies
Chen et al. [31]2018Incidence of AF in breast cancer
Incidence of AF in biological therapy
Mamounas et al. [49]2018Incidence of AF in breast cancer
Incidence of AF in EBC
Incidence of AF in non-biological therapies
Wildiers et al. [50]2018Incidence of AF in breast cancer
Incidence of AF in MBC
Incidence of AF in biological therapy + chemotherapy (combined biological therapy)
Abdel-Qadir et al. [21]2019Incidence of AF in no-cancer vs. cancer patients
Incidence of AF in breast cancer
Incidence of AF in EBC
Incidence of AF in non-biological therapies
D’Souza et al. [10]2019Incidence of AF in no-cancer vs. cancer patients
Incidence of AF in breast cancer
The studies are ordered chronologically. Abbreviations: AF = Atrial Fibrillation, EBC = Early Breast Cancer, MBC = Metastatic Breast Cancer. * Early discontinuation of trastuzumab.
Table 3. Breast cancer characteristics.
Table 3. Breast cancer characteristics.
AuthorYearHER2 StatusN StatusHR Status
Gonçalves et al. [33]2005HER2+: 11 (100)
HER2−: 0 (0)
N+: 7 (63.6)HR+ *: 6 (54.5)
Kelly et al. [35]2006HER+: 52 (100)
HER2−: 0 (0)
-ER+: 24 (46.0)
Dang et al. [32]2008HER2+: 32 (46.0)
HER−: 38 (54.0)
-ER+: 32 (46.0)
PR+: 23 (33.0)
Fast Trial [43]2011---
Horiguchi et al. [44]2011HER2+: 3181 (100)
HER2−: 0 (0)
--
Pierga et al. [39]2012HER+: 52 (100)
HER2−: 0 (0)
N−: 14 (27.0)
N+: 37 (71.2)
Unknown: 1 (2.0)
-
Goss et al. [45]2013-N−: 5371 (70.9)
N+ †: 2206 (29.1)
ER+: 7525 (99.3)
PR+: 6090 (80.4)
Jacob et al. [34]2014HER+: 308 (100)
HER2-: 0 (0)
N−: 175 (58.8)
N+:133 (43.2)
Unknown:1 (0.3)
HR+ *: 165 (53.6)
Meattini et al. [37]2014HER2+: 95 (100)N−: 35 (36.9)
N+: 60 (63.2)
ER+: 60 (63.1)
PR+: 47 (48.5)
Wang et al. [41]2014HER2+: 239 (100)
HER2−: 0 (0)
N−: 112 (47.0)
N+: 111 (46.4)
-
Krop et al. [36]2015HER2+: 153 (100)
HER2−: 0 (0)
-HR+ *: 95 (62.1)
Mavroudis et al. [46]2015HER+: 481 (100)
HER2−: 0 (0)
N−: 101 (21.0)
N+: 380 (79.0)
HR+ *: 321 (66.7)
Unknown: 1 (0.2)
Pivot et al. [47]2015HER2+: 3380 (100)
HER2−: 0 (0)
--
Cristofanilli et al. [48]2016HER+: 0 (0)
HER2−: 521 (100)
--
Polk et al. [40]2016---
Yaylali et al. [12]2016---
Chalazan et al. [30]2018---
Chen et al. [31]2018---
Mamounas et al. [49]2018HER2+: 565 (14.2)
HER2−: 3093 (78.0)
Unknown: 308 (7.8)
N+: 1687 (42.5)
N−: 2279 (57.5)
-
Wildiers et al. [50]2018HER2+: 80 (100)
HER2−: 0 (0)
-HR+ *: 55 (68.8)
Abdel-Qadir et al. [21]2019---
D’Souza et al. [10]2019---
Values are expressed as n (%). Abbreviations: ER = Estrogen Receptor, HER2 = Human Epidermal Growth Factor Receptor 2, HR = Hormonal Receptor, N = Nodal, PR = Progesterone Receptor. * Estrogen/progesterone receptor or both, † Positive lymph nodes/missing data.
Table 4. Therapeutic strategies.
Table 4. Therapeutic strategies.
AuthorYearBiological TherapyChemotherapyRadiotherapyEndocrine Therapy
Gonçalves et al. [33]2005Trastuzumab: 11 (100)Alkylating agents: 11 (100)NoNo
Kelly et al. [35]2006Trastuzumab: 52 (100)AC regimen + antimicrotubule agents (paclitaxel): 52 (100)NoNo
Dang et al. [32]2008Trastuzumab: 70 (100)AC regimen + antimicrotubule agents (paclitaxel): 70 (100)NoNo
Fast Trial [43]2011NoNoYesNo
Horiguchi et al. [44]2011Trastuzumab: 3181 (100)NoNoNo
Pierga et al. [39]2012Bevacizumab: 52 (100) *,†
Trastuzumab: 52 (100) *,†
Antimetabolites (fluorouracil): 52 (100) *
Anthracyclines (epirubicin): 52 (100) *
Alkylating agents (cyclophosphamide): 52 (100) *
Antimicrotubule agents (docetaxel): 52 (100) *
Yes†Yes ‡
Goss et al. [45]2013Trastuzumab: 74 (1.0)NoNoAromatase inhibitors: 7576 (100)
Jacob et al. [34]2014Trastuzumab: 308 (100)FEC regimen + antimicrotubule agents (paclitaxel): 293 (95.1)YesAromatase inhibitors: 76
LHRH agonists: 42
Tamoxifen: 30
Aromatase inhibitors + LHRH agonist: 9
Meattini et al. [37]2014Trastuzumab: 95 (100)Anthracyclines (epirubicin, doxorubicin): 91 (95.8)YesAromatase inhibitors: 50 (52.6)
LHRH agonist/
Tamoxifen: 11 (11.6)
Wang et al. [41]2014Trastuzumab: 585 (100)AC regimen + antimicrotubule
agents (paclitaxel and docetaxel): 585 (100)
NoNo
Krop et al. [36]2015Trastuzumab emtansine:
148 (96.7)
Trastuzumab: 74 (48.4)
AC regimen + antimicrotubule agents (docetaxel): 68 (44.4)
FEC regimen + antimicrotubule agents (docetaxel): 84 (54.9)
Yes62 (40.5)
Mavroudis et al. [46]2015Trastuzumab: 481 (100) FEC regimen + antimicrotubule agents (docetaxel): 481 (100) †Yes ‡Yes ‡
Pivot et al. [47]2015Trastuzumab: 3380 (100)Yes ‡Yes ‡Yes ‡
Cristofanilli et al. [48]2016NoNoNoFulvestrant + palbociclib: 191 (78.9)
Fulvestrant: 51 (21.1)
Polk et al. [40]2016Trastuzumab: 54 (12.0)§Antimetabolites (capecitabine): 452 (100)
Anthracyclines: 242 (54.0) §
NoNo
Yaylali et al. [12]2016NoAC regimen + antimicrotubule agents (paclitaxel): 53 (100)NoNo
Chalazan et al. [30]2018Monoclonal antibodiesTyrosine kinase inhibitors
Alkylating agents
Antimetabolites
Mitotic inhibitors
Topoisomerase inhibitors
Antineoplastic antibiotics
YesHormonal modifiers
Chen et al. [31]2018Trastuzumab: 294 (100)NoNoNo
Mamounas et al. [49]2018NoNoNoAromatase inhibitor (letrozole): 1983 (100)
Wildiers et al. [50]2018Pertuzumab + trastuzumab: 80 (100)Alkylating agents (cyclophosphamide): 41 (51.3)Yes ‡Yes ‡
Abdel-Qadir et al. [21]2019Trastuzumab: 8365 (12.3)Anthracyclines or other chemotherapy: 36,222 (53.2)48,816 (71.7)No
D’Souza et al. [10]2019----
Values are expressed as n (%). Abbreviations: AC = Doxorubicin plus Cyclophosphamide, FEC = Fluorouracil plus Epirubicin plus Cyclophosphamide, LHRH = Luteinizing Hormone-Releasing Hormone. * Neoadjuvant, † Adjuvant, ‡ At the investigator’s discretion in patients with hormone receptor-positive breast cancer (unknown number), § Previous or concurrent treatment.
Publisher’s Note: MDPI stays neutral with regard to jurisdictional claims in published maps and institutional affiliations.

Share and Cite

MDPI and ACS Style

Mauro, E.; Lucà, F.; Tetta, C.; Parise, O.; Parrini, I.; Parise, G.; Rao, C.M.; Matteucci, F.; Micali, L.R.; Gulizia, M.M.; et al. Breast Cancer and Atrial Fibrillation. J. Clin. Med. 2022, 11, 1417. https://doi.org/10.3390/jcm11051417

AMA Style

Mauro E, Lucà F, Tetta C, Parise O, Parrini I, Parise G, Rao CM, Matteucci F, Micali LR, Gulizia MM, et al. Breast Cancer and Atrial Fibrillation. Journal of Clinical Medicine. 2022; 11(5):1417. https://doi.org/10.3390/jcm11051417

Chicago/Turabian Style

Mauro, Emanuela, Fabiana Lucà, Cecilia Tetta, Orlando Parise, Iris Parrini, Gianmarco Parise, Carmelo Massimiliano Rao, Francesco Matteucci, Linda Renata Micali, Michele Massimo Gulizia, and et al. 2022. "Breast Cancer and Atrial Fibrillation" Journal of Clinical Medicine 11, no. 5: 1417. https://doi.org/10.3390/jcm11051417

APA Style

Mauro, E., Lucà, F., Tetta, C., Parise, O., Parrini, I., Parise, G., Rao, C. M., Matteucci, F., Micali, L. R., Gulizia, M. M., La Meir, M., & Gelsomino, S. (2022). Breast Cancer and Atrial Fibrillation. Journal of Clinical Medicine, 11(5), 1417. https://doi.org/10.3390/jcm11051417

Note that from the first issue of 2016, this journal uses article numbers instead of page numbers. See further details here.

Article Metrics

Back to TopTop