Systemic Capillary Responses to Acute Exercise in Hypertensive Seniors: Insights from a Single-Center Pilot Study
Abstract
1. Introduction
2. Materials and Methods
2.1. Participants
2.2. Study Design
2.3. Sample Size
2.4. Measurement of Nailfold Capillary Parameters
2.5. Body Composition and Physical Activities
2.6. Measurement of the CAVI and ABI
2.7. Bone Mineral Density
2.8. Statistical Analysis
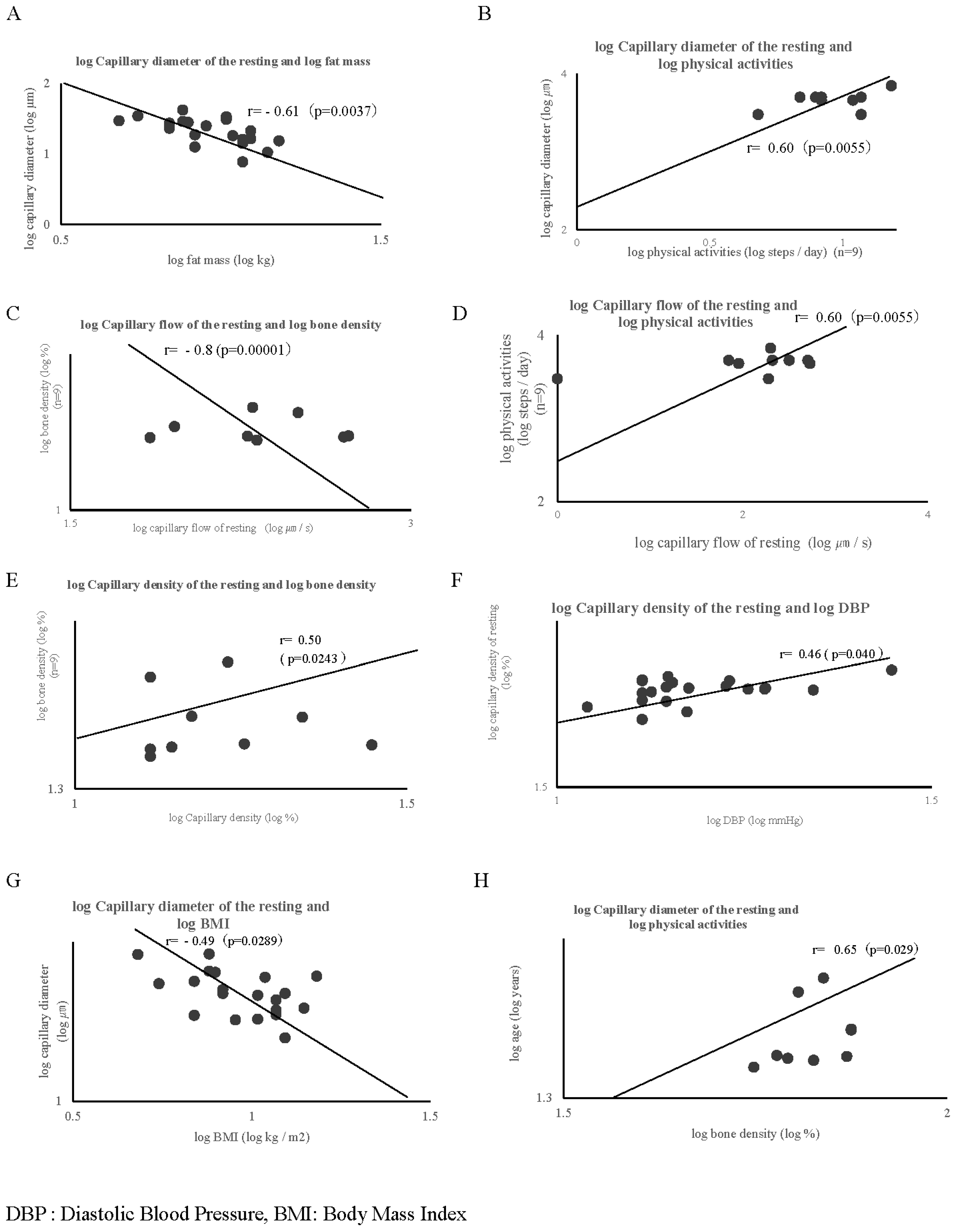
3. Results
4. Discussion
5. Conclusions
Author Contributions
Funding
Institutional Review Board Statement
Informed Consent Statement
Data Availability Statement
Acknowledgments
Conflicts of Interest
References
- Angeli, F.; Reboldi, G.; Verdecchia, P. The 2014 hypertension guidelines: Implications for patients and practitioners in Asia. Heart Asia 2015, 7, 21–25. [Google Scholar] [CrossRef] [PubMed]
- Zdrojewski, T.; Bandosz, P.; Rutkowski, M. Dissemination, detection and efficacy of treatment of hypertension in Poland: Results of NATPOL study 2011. Arter Hypertens. 2014, 18, 116–117. [Google Scholar]
- Feihl, F.; Liaudet, L.; Waeber, B. The macrocirculation and microcirculation of hypertension. Curr. Hypertens. Rep. 2009, 11, 182–189. [Google Scholar] [CrossRef]
- Serne, E.H.; Gans, R.O.; ter Maaten, J.C.; ter Wee, P.M.; Donker, A.J.; Stehouwer, C.D. Capillary recruitment is impaired in essential hypertension and relates to insulin's metabolic and vascular actions. Cardiovasc. Res. 2001, 49, 161–168. [Google Scholar] [CrossRef] [PubMed]
- Jorneskog, G.; Brismar, K.; Fagrell, B. Skin capillary circulation severely impaired in toes of patients with IDDM, with and without late diabetic complications. Diabetologia 1995, 38, 474–480. [Google Scholar] [CrossRef] [PubMed]
- Holowatz, L.A.; Thompson-Torgerson, C.S.; Kenney, W.L. The human cutaneous circulation as a model of generalized microvascular function. J. Appl. Physiol. 2008, 105, 370–372. [Google Scholar] [CrossRef] [PubMed]
- He, F.J.; Marciniak, M.; Markandu, N.D.; Antonios, T.F.; MacGregor, G.A. Effect of modest salt reduction on skin capillary rarefaction in white, black, and Asian individuals with mild hypertension. Hypertension 2010, 56, 253–259. [Google Scholar] [CrossRef] [PubMed]
- de Moraes, R.; Tibirica, E. Early Functional and Structural Microvascular Changes in Hypertension Related to Aging. Curr. Hypertens. Rev. 2017, 13, 24–32. [Google Scholar] [CrossRef] [PubMed]
- Benetos, A.; Zervoudaki, A.; Kearney-Schwartz, A.; Perret-Guillaume, C.; Pascal-Vigneron, V.; Lacolley, P.; Labat, C.; Weryha, G. Effects of lean and fat mass on bone mineral density and arterial stiffness in elderly men. Osteoporos. Int. 2009, 20, 1385–1391. [Google Scholar] [CrossRef]
- Morland, C.; Andersson, K.A.; Haugen, O.P.; Hadzic, A.; Kleppa, L.; Gille, A.; Rinholm, J.E.; Palibrk, V.; Diget, E.H.; Kennedy, L.H.; et al. Exercise induces cerebral VEGF and angiogenesis via the lactate receptor HCAR1. Nat. Commun. 2017, 8, 15557. [Google Scholar] [CrossRef]
- Hurley, B.F.; Roth, S.M. Strength training in the elderly: Effects on risk factors for age-related diseases. Sports Med. 2000, 30, 249–268. [Google Scholar] [CrossRef] [PubMed]
- Pludowski, P.; Jaworski, M.; Niemirska, A.; Litwin, M.; Szalecki, M.; Karczmarewicz, E.; Michalkiewicz, J. Vitamin D status, body composition and hypertensive target organ damage in primary hypertension. J. Steroid Biochem. Mol. Biol. 2014, 144 Pt A, 180–184. [Google Scholar] [CrossRef]
- Dela, F.; Mohr, T.; Jensen, C.M.; Haahr, H.L.; Secher, N.H.; Biering-Sørensen, F.; Kjaer, M. Cardiovascular control during exercise: Insights from spinal cord-injured humans. Circulation 2003, 107, 2127–2133. [Google Scholar] [CrossRef] [PubMed]
- Tsuji, H.; Venditti, F.J., Jr.; Manders, E.S.; Evans, J.C.; Larson, M.G.; Feldman, C.L.; Levy, D. Reduced heart rate variability and mortality risk in an elderly cohort. The Framingham Heart Study. Circulation 1994, 90, 878–883. [Google Scholar] [CrossRef] [PubMed]
- Spranger, M.D.; Krishnan, A.C.; Levy, P.D.; O’Leary, D.S.; Smith, S.A. Blood flow restriction training and the exercise pressor reflex: A call for concern. Am. J. Physiol. Heart Circ. Physiol. 2015, 309, H1440–H1452. [Google Scholar] [CrossRef]
- Alderman, M.H.; Furberg, C.D.; Kostis, J.B.; Laragh, J.H.; Psaty, B.M.; Ruilope, L.M.; Volpe, M.; Jackson, R. Hypertension guidelines: Criteria that might make them more clinically useful. Am. J. Hypertens. 2002, 15, 917–923. [Google Scholar] [CrossRef] [PubMed]
- Pescatello, L.S.; American College of Sports Medicine. ACSM’s Guidelines for Exercise Testing and Prescription; Wolters Kluwer Health: Philadelphia, PA, USA, 2014. [Google Scholar]
- McGuigan, M.R.; Bronks, R.; Newton, R.U.; Sharman, M.J.; Graham, J.C.; Cody, D.V.; Kraemer, W.J. Resistance training in patients with peripheral arterial disease: Effects on myosin isoforms, fiber type distribution, and capillary supply to skeletal muscle. J. Gerontol. A Biol. Sci. Med. Sci. 2001, 56, B302–B310. [Google Scholar] [CrossRef] [PubMed]
- Simms, A.G.; Parrino, R.; Gameiro, G.R.; Cipolla, J.; Wang, J.; Jiang, H.; Signorile, J.F. Decreased retinal capillary density as a beneficial response to 24-week high-speed circuit resistant training in healthy older adults. Microvasc. Res. 2024, 153, 104668. [Google Scholar] [CrossRef]
- Yin, H.; Wu, Z.; Huang, A.; Luo, J.; Liang, J.; Lin, J.; Ye, Q.; Xie, M.; Ye, C.; Li, X.; et al. Automated nailfold capillary density measurement method based on improved YOLOv5. Microvasc. Res. 2023, 150, 104593. [Google Scholar] [CrossRef]
- Homma, M.; Miura, M.; Hirayama, Y.; Takahashi, T.; Miura, T.; Yoshida, N.; Miyata, S.; Kohzuki, M.; Ebihara, S. Belt Electrode-Skeletal Muscle Electrical Stimulation in Older Hemodialysis Patients with Reduced Physical Activity: A Randomized Controlled Pilot Study. J. Clin. Med. 2022, 11, 6170. [Google Scholar] [CrossRef]
- Boyaci, F.; Akcay, M.; Hatem, E.; Yanik, A.; Gokdeniz, T. Assessment of Arterial Stiffness with Cardio-Ankle Vascular Index in Patients with Mitral Annular Calcification. Eurasian J. Med. 2021, 53, 90–95. [Google Scholar] [CrossRef] [PubMed]
- Métrailler, A.; Hans, D.; Lamy, O.; Gonzalez Rodriguez, E.; Shevroja, E. Heel quantitative ultrasound (QUS) predicts incident fractures independently of trabecular bone score (TBS), bone mineral density (BMD), and FRAX: The OsteoLaus Study. Osteoporos. Int. 2023, 34, 1401–1409. [Google Scholar] [CrossRef] [PubMed]
- Virani, S.S.; Newby, L.K.; Arnold, S.V.; Bittner, V.; Brewer, L.C.; Demeter, S.H.; Dixon, D.L.; Fearon, W.F.; Hess, B.; Johnson, H.M.; et al. 2023 AHA/ACC/ACCP/ASPC/NLA/PCNA Guideline for the Management of Patients With Chronic Coronary Disease: A Report of the American Heart Association/American College of Cardiology Joint Committee on Clinical Practice Guidelines. Circulation 2023, 148, e9–e119. [Google Scholar] [CrossRef] [PubMed]
- Abularrage, C.J.; Sidawy, A.N.; Aidinian, G.; Singh, N.; Weiswasser, J.M.; Arora, S. Evaluation of the microcirculation in vascular disease. J. Vasc. Surg. 2005, 42, 574–581. [Google Scholar] [CrossRef]
- Vina, J.; Sanchis-Gomar, F.; Martinez-Bello, V.; Gomez-Cabrera, M.C. Exercise acts as a drug; the pharmacological benefits of exercise. Br. J. Pharmacol. 2012, 167, 1–12. [Google Scholar] [CrossRef] [PubMed]
- Katayama, K.; Saito, M. Muscle sympathetic nerve activity during exercise. J. Physiol. Sci. 2019, 69, 589–598. [Google Scholar] [CrossRef] [PubMed]
- Shoji, M.K.; Cousins, C.C.; Saini, C.; Nascimento, E.S.R.; Wang, M.; Brauner, S.C.; Greenstein, S.H.; Pasquale, L.R.; Shen, L.Q. Paired Optic Nerve Microvasculature and Nailfold Capillary Measurements in Primary Open-Angle Glaucoma. Transl. Vis. Sci. Technol. 2021, 10, 13. [Google Scholar] [CrossRef] [PubMed]
- Dima, A.; Berza, I.; Popescu, D.N.; Parvu, M.I. Nailfold capillaroscopy in systemic diseases: Short overview for internal medicine. Rom. J. Intern. Med. 2021, 59, 201–217. [Google Scholar] [CrossRef] [PubMed]
- Aldahhan, R.A.; Motawei, K.H.; Al-Hariri, M.T. Lipotoxicity-related sarcopenia: A review. J. Med. Life 2022, 15, 1334–1339. [Google Scholar] [CrossRef]
- Exercise and acute cardiovascular events: Placing the risks into perspective. Med. Sci. Sports Exerc. 2007, 39, 886–897. [CrossRef]
- Hoier, B.; Hellsten, Y. Exercise-induced capillary growth in human skeletal muscle and the dynamics of VEGF. Microcirculation 2014, 21, 301–314. [Google Scholar] [CrossRef] [PubMed]
- Gilbert, P.A.; Khokhar, S. Changing dietary habits of ethnic groups in Europe and implications for health. Nutr. Rev. 2008, 66, 203–215. [Google Scholar] [CrossRef] [PubMed]





| Parameter | n = 20 | 
|---|---|
| Age (years) | 67.2 ± 6.2 | 
| Male/female | 7/13 | 
| Diabetes | 4/20 | 
| BMI (kg/m2) | 22.1 ± 3.6 | 
| Skeletal muscle mass (kg) | 38.7 ± 6.2 | 
| Fat mass (kg) | 22.6 ± 8.8 | 
| Systolic blood pressure (mmHg) | 150.1 ± 17.9 | 
| Diastolic blood pressure (mmHg) | 93.1 ± 11.7 | 
| CAVI | 8.4 ± 1.0 | 
| ABI | 1.1 ± 0.1 | 
| Diameter of the nailfold capillary | 9.7 ± 2.6 | 
| Flow rate of the nailfold capillary | 295.8 ± 172.2 | 
| Density of the nailfold capillary | 7.0 ± 1.5 | 
| Bone mineral density (%) | 26.3 ± 3.7 (n = 9) | 
| Physical activities (steps/day) | 4714.3 ± 1277.8 (n = 9) | 
| Disclaimer/Publisher’s Note: The statements, opinions and data contained in all publications are solely those of the individual author(s) and contributor(s) and not of MDPI and/or the editor(s). MDPI and/or the editor(s) disclaim responsibility for any injury to people or property resulting from any ideas, methods, instructions or products referred to in the content. | 
© 2024 by the authors. Licensee MDPI, Basel, Switzerland. This article is an open access article distributed under the terms and conditions of the Creative Commons Attribution (CC BY) license (https://creativecommons.org/licenses/by/4.0/).
Share and Cite
Miura, M.; Kohzuki, M.; Saito, C.; Sakai, S.; Sugaya, H.; Koyama, S.; Matsui, Y.; Sakuma, T.; Ito, O.; Yamagata, K. Systemic Capillary Responses to Acute Exercise in Hypertensive Seniors: Insights from a Single-Center Pilot Study. J. Clin. Med. 2024, 13, 2818. https://doi.org/10.3390/jcm13102818
Miura M, Kohzuki M, Saito C, Sakai S, Sugaya H, Koyama S, Matsui Y, Sakuma T, Ito O, Yamagata K. Systemic Capillary Responses to Acute Exercise in Hypertensive Seniors: Insights from a Single-Center Pilot Study. Journal of Clinical Medicine. 2024; 13(10):2818. https://doi.org/10.3390/jcm13102818
Chicago/Turabian StyleMiura, Misa, Masahiro Kohzuki, Chie Saito, Satoshi Sakai, Hisashi Sugaya, Shingo Koyama, Yasushi Matsui, Tohru Sakuma, Osamu Ito, and Kunihiro Yamagata. 2024. "Systemic Capillary Responses to Acute Exercise in Hypertensive Seniors: Insights from a Single-Center Pilot Study" Journal of Clinical Medicine 13, no. 10: 2818. https://doi.org/10.3390/jcm13102818
APA StyleMiura, M., Kohzuki, M., Saito, C., Sakai, S., Sugaya, H., Koyama, S., Matsui, Y., Sakuma, T., Ito, O., & Yamagata, K. (2024). Systemic Capillary Responses to Acute Exercise in Hypertensive Seniors: Insights from a Single-Center Pilot Study. Journal of Clinical Medicine, 13(10), 2818. https://doi.org/10.3390/jcm13102818
 
        



 
       