Abstract
The AquaCrop model was calibrated and validated for canola (Brassica napus) under Moistube irrigation (MTI) and various water regimes [(i) 100%, (ii) 75%, and (iii) 55% of crop water requirement (ETc)] over two seasons, 2019 and 2020. The normalised root mean square (nRMSE), Model Efficiency (EF), R2, and the Willmot’s index of agreement (d) statistics were used to evaluate the model’s efficiency in simulating biomass (B), canopy cover (CC), yield (Y), and harvest index (HI). The calibration results indicated the model simulated with accuracy the CC (under 100% ETc R2 = 0.99, EF = 0.92, nRMSE = 6.4%, d = 0.98) and 75% ETc (R2 = 0.99, EF = 0.92, nRMSE = 10.3%, d = 0.98). The model simulated CC well for validation for 100% ETc (R2 = 0.97, EF = 0.93, nRMSE = 22.5%, d = 0.98) and 75% ETc (R2 = 0.84, EF = 0.45, nRMSE = 59.2%, d = 0.86) irrigation regimes. Final biomass simulations were reasonably good under 100% ETc, 75% ETc, and 55% ETc irrigation regimes (R2 > 0.90, d > 0.65). The study showed the usefulness of AquaCrop for assessing yield response of canola to full and deficit irrigation scenarios under MTI.
1. Introduction
The global agricultural water consumption utilises 70% of the world’s freshwater. Water is a finite resource, and climate variability and change have exacerbated the natural resource’s depletion. Burgeoning populations have also increased per capita water use, thus compounding the global freshwater water scarcity situation [1]. Modern agricultural practices in sub-Saharan Africa (SSA) are a dualistic exercise that meets the poor’s food security needs and is also a primary economic driver [2]. As such, using advanced irrigation techniques will maximise water productivity (WP), and subsequently, increase yields. Climate variability and change threaten food security, and industrial crops are not spared. An increase in global temperatures will lead to high carbon concentrations and warmer temperature; this consequently impacts cool climate C3 (canola, flax, wheat, and soybean) industrial crops [3]. Expanding irrigation land under current irrigation technologies and strategies can accelerate water scarcity, i.e., an increase in demand will lead to water scarcity under the present climate change variability scenarios [4,5]. Henceforth, adopting efficient irrigation techniques and strategies can ameliorate the accelerated demand on the finite water resource [6].
Canola is a C3 crop of economic importance. The crop produces oilseed that is processed into oil products for human consumption [7], and it is also used for forage production and phytoremediation [8]. Canola is considered a “healthy” trade oil. It contains no cholesterol, thus reducing the risk of cardiovascular diseases [9]. This has subsequently increased its demand, leading to expanded irrigated canola hectarage worldwide. Efficient irrigation technology is required for improved yield, water productivity (WP), and water use efficiency (WUE). Several researchers have investigated canola production under various drip irrigation technologies and deficit irrigation strategies. For example, Katuwal et al. [10] investigated and assessed the soil water extraction pattern and water use efficiency of spring canola under drip irrigation. Their study [10] revealed that deficit irrigated canola at the vegetative stage extracted the same amount of water as the fully irrigated canola. Safi et al. [11] investigated the effects of deficit irrigation (DI) on transplanted and directly sown spring canola and revealed that directly sown cultivars had low grain yield.
Hergert et al. [12] performed full and deficit drip irrigation trials on spring canola and revealed that deficit irrigation accelerated crop maturity. The study also showed a high WUE of 7.6 kg·ha−1·mm−1, thus proving that deficit irrigation is attractive for canola growth. Another study by Bañuelos et al. [8] investigated the vegetative production of canola under drip irrigation in central California, and the study argued that optimal yields were obtained by irrigating at 125% ETc. Interestingly, the study by Bañuelos et al. [8] contradicted finding by Safi et al. [11] and Hergert et al. [12] despite employing near-similar DI strategies. Taylor et al. [13] also used drip irrigation to assess the effects of irrigation and nitrogen fertiliser on yield, oil content, nitrogen accumulation, and canola crop efficiency. The study revealed that the WUE for grain production and biomass were 7.5 and 23 kg·ha−1·mm−1, respectively. Other studies also performed different investigations on canola under different irrigation technologies and irrigation management processes [11,12,14,15,16,17].
Moistube irrigation (MTI) is a relatively new subsurface semi-permeable membrane irrigation technology [18]. Discharge is facilitated by a response to soil water potential and system pressure [18,19]. The matric potential effect can only be utilised for 44 h; thereafter, external pressure is required to drive the system [19,20]. MTI is a subsurface irrigation technology; hence, it minimises non-beneficial water such as deep percolation, run-off, and soil evaporation [19,21] and it has a reported high water use efficiency (WUE) compared to other technologies such as sprinkler and drip irrigation [19].
MTI has been used in China’s arid regions and for legume production in some parts of SSA [22]. Kanda et al. [22] applied deficit irrigation techniques under MTI for cowpea production and the resultant WUE for grain production at 100% ETc and 70% ETc irrigation were 0.92 and 0.95 kg·m−3, respectively. The study by Kanda et al. [22] was a comparative study between MTI and subsurface drip irrigation (SDI), and MTI exhibited a high WUE (100% ETc = 0.95 kg·m−3) as compared to SDI (100% ETc = 0.82 kg·m−3). MTI presents an opportunity for canola production under various irrigation regimes. Despite the extensive research on irrigated canola, there is a gap in canola production under MTI. MTI can potentially offer realistic matric potential informed irrigation schedules for maximised irrigation water use.
Crop modelling is a cost-effective method for quantifying crop yields and crop WP [23]. Crop modelling tools are either carbon-driven, radiation use efficiency (RUE), or water-driven models [24]. Various studies have applied crop modelling techniques to canola production. For example, He et al. [25] used Agricultural Production Systems Simulator (APSIM), a radiation driven model to simulate canola phenology. The study revealed that APSIM accurately simulated canola phenology under different growing environments. However, the study also revealed that APSIM required extensive data for accurate canola phenology simulation during the vernalisation sensitivity; photoperiod sensitivity phases which subsequently influence grain yield formation. Robertson and Kirkegaard [26] used APSIM to simulate rainfed canola grain yields accurately. Qian et al. [27] carried out a comparative study to assess two C3 crops’ simulation performance: canola and wheat under rained conditions. CROPGRO was used to simulate canola yields, whilst Crop Environment Resources Synthesis (CERES) was used to simulate wheat yields. The study results showed that both models successfully simulated yields with the R2 > 0.90 and nRMSE range of 5–18.2%.
AquaCrop is a water-driven model that simulates yield, biomass production, and beneficial water use [28,29,30]. Water-driven models are an attractive option compared to their counterparts because of the ease of use. They facilitate easy normalisation of WP parameter under different climatic conditions (evaporative demand and atmospheric carbon dioxide). AquaCrop use has been applied to different crops such as cowpea [31], groundnuts [32], wheat [33,34,35,36,37], maize [38,39,40], and much recently on leafy vegetables [41]. Zeleke et al. [42] used AquaCrop to simulate canola yields under rainfed and irrigated conditions. The percentage relative difference (%D) between the observed and simulated yield was 2.2%. This signified AquaCrop’s capability in simulating canola grain yield. This study investigated the capability of MTI for canola production under full and deficit irrigation scenarios. Identifying optimal DI strategies can potentially save water without imposing yield penalties on the canola grower. To extend the study’s applicability beyond location-specific results, the experiment adopted AquaCrop modelling software [28]. The model has been used in numerous studies [31,32,33,34,37,38,40,41,43,44,45,46,47] to assess yield response to water stress; however, there is a need to calibrate and test the AquaCrop model for industrial crops such as canola under MTI. As mentioned prior, there is a gap in how canola performs under MTI water stress conditions. The study was premised on the hypothesis that AquaCrop cannot effectively simulate canola crop performance under varying MTI water regimes. The specific objectives for this study were to (i) calibrate AquaCrop for canola under MTI water stress conditions and (ii) evaluate its ability to simulate CC, biomass, yield, and evapotranspiration (ET) under local South African conditions.
2. Materials and Methods
2.1. Model Description
AquaCrop is a water-driven modelling software used to simulate plant growth processes such as canopy cover (CC), biomass accumulation, and yield [28]. The model simulates yield response to water, i.e., water productivity [41]. Water productivity (WP*) is one of the crucial variables together with simulated transpiration (Tr), and reference evapotranspiration (ETo) required to compute daily biomass (B) production (Equation (1)) [42]. For this study, canola biomass referred only to the above-ground component. AquaCrop’s calculation scheme includes simulating the water stored in the root zone. The water stress coefficient is instrumental in determining the harvest index (HI). Once B is determined, the crop yield (Y) is then computed as per Equation (2):
where WP* = water productivity (g·m−3), B = biomass (g·m−2), Tr = transpiration (mm), ETo = reference evapotranspiration (mm), HI = harvest index, and Y = yield (kg·ha−1).
Y = B × HI
AquaCrop simulates water use as a function of four stress factors, namely (1) canopy expansion, (2) stomatal closure, (3) early canopy senescence, and (4) aeration stress [41,46,48]. The model is relatively easy to use, as it requires few explicit parameters and largely intuitive input variables [29]. AquaCrop is underpinned by two sets of parameters: conservative parameters and non-conservative parameters. The former does not change with time management and are applicable on a large spatial variation scale, whereas the latter change with time, management, and location [41,49].
2.2. Experimental Design
Study Site and Description of the Field Experiment
The experiment was conducted at the Ukulinga farm at the University of KwaZulu-Natal in Pietermaritzburg, South Africa (29°39′44.8′′ S 30°24′18.2′′ E, altitude: 636 m). The experiment was run over two growing seasons, 2019 (July–September) and 2020 (September–November), in a tunnel, which was not temperature-controlled but was designed to exclude rainfall. The 2019 growing season was used to calibrate the AquaCrop model, and the 2020 season was used for model validation. The experiment was a split-plot design that consisted of three MTI regimes, namely 100%, 75% ETc, and 55% crop water requirement (ETc), under tunnel conditions measuring 30 m by 10 m. The ETc was computed according to Equation (3):
where ETc = crop water requirement (mm·day−1), Kc = crop coefficient, and ETo = evapotranspiration (mm·day−1).
ETc = Kc × ETo
Each MTI regime comprised of four experimental plots measuring 2 m by 1 m. The MTI AquaCrop deficit irrigation schedules followed the procedure by Geerts et al. [50]. The varied irrigation scheduling is summarised in Table 1.
Table 1.
Irrigation frequencies and application times.
The experiment was done under a tunnel to facilitate better control of water fluxes and exclude of rainfall. A 1-m buffer hydrologically separated each experimental plot; a 250-micron plastic sheeting was vertically inserted to a depth of 1 m in each buffer space. PR2/6 profile probe access tubes were installed in each plot for soil water measurement at depths of 10, 20, 30, 40, 60, and 100 cm. Soil water content (SWC) measurements were done weekly using a PR2/6 profile probe connected to an HH2 handheld moisture meter (Delta-T, Cambridge, UK). Kanda et al. [31] performed weekly SWC measurements for cowpea production under MTI and showed that there was minimal temporal and spatial SWC variability. The canola was nursed at the University of KwaZulu-Natal—Pietermaritzburg (UKZN—PMB) (29°37′34.0′′ S 30°24′11.9′′ E) Controlled Environment Facilities (CEF) for two months before transplanting to the Ukulinga farm. Soil water measurements commenced two weeks before transplanting. Each plot accommodated 18 plants resulting in 9 plants·m−2. Heng et al. [40] adopted plant densities of 6–8 plants·m−2 to prevent canola lodging.
2.3. Model Parameters and Input Data
The following data were collected during the July 2019–October 2019 and the October 2020–December 2020 growing season.
2.3.1. Weather Data
HOBO temperature and relative humidity (RH) sensors (Onset Computer Corporation, USA) were installed in the greenhouse for additional data collection (Figure 1 and Figure 2 and Table 2). The ETo for the local conditions (within), the greenhouse were calculated using the evapotranspiration (ETo) calculator [51]. Some variables required for calculating ETo were obtained from the automatic weather station (AWS) situated 100 m away from the greenhouse. The AWS uses the CS-500 Vaisala probe (Campbell Scientific, Logan, UT, USA) to measure temperature and relative humidity (converted into vapour pressure deficit), L1-200 pyranometer (Campbell Scientific, Logan, UT, USA) to measure solar radiation, and the Penman-Monteith equation to calculate reference evapotranspiration. The signal was transmitted wirelessly, and downloadable files are available from the South African Sugarcane Research Institute (SASRI) weather data portal.
Figure 1.
Average maximum and minimum temperatures recorded in the greenhouse during the 2019 growing season.
Figure 2.
Average maximum and minimum temperatures recorded in the greenhouse during the 2020 growing season.
Table 2.
Summarised meteorological conditions for the respective growing seasons (Si).
The weather data were used to create the climate file (.CLI) in AquaCrop consisting of ETo (.ETO) and daily minimum and maximum temperature (.TMP). Solar radiation data were input into the ETo calculator [51] for computing ETo. There was no daily rainfall file (.PLU).
2.3.2. Canopy Cover (CC)
The leaf area index (LAI) was measured every two weeks using the LAI 2200 Canopy Analyser (Li-Cor, Lincoln, NE, USA). Since AquaCrop uses canopy cover (CC), Equation (4) was used to convert LAI to CC. Mabhaudhi et al. [46] argued that diffuse non-interceptance (DIFN) (Equation (5)), which is an output of the LAI 2200, can be used to compute CC. The DIFN utilises gap fractions to estimate the sections not “fully” obscured by the growing canopy [46,52]. The DIFN value ranges from 0 (no sky visible to the sensor) to 1 (no canopy obscuring the sun):
where = canopy gap fraction at zenith angle (averaged over azimuth angle and horizontal area) [52]. Since the seedlings were transplanted, the initial canopy cover (CCo) was calculated by Equation (6). The computed CCo was 4.5%:
CC = 1 − DIFN
CCo = [plant density (plants·m−2) × size of CC/seedling (m2·plant−1)] × 100
2.3.3. Soil Data
Soil samples were subjected to soil textural analyses using the hydrometer method. The experiment sampled five depths for textural analysis, and the resultant textural data were fed into the SPAW model (Saxton and Willey, 2005) to determine the saturated hydraulic conductivity (Ks) and the bulk density (BD) (Table 3). Other soil hydraulic parameters total porosity () and residual soil water content () were laboratory determined using the soil-water retention pressure method [53,54,55]. The soil data were used to create the soil file in AquaCrop (.SOL).
Table 3.
Soil textural and soil hydraulic parameters.
2.4. Field and Water Management Practices
The experiment was done under greenhouse conditions; hence, no rainfed systems were considered. The canola was subjected to optimal and deficit irrigation (DI) regimes. The optimal conditions consisted of irrigating at 100% of the crop water requirements (100% ETc), whereas the DI irrigation regimes consisted of 75% ETc and 55% ETc. The irrigation intervals were used to create the irrigation file (.IRR). The SWC data were one of the parameters used to create the observation file (.OBS). The .OBS file was used for calibration and validation, respectively. The experiment assumed zero fertility stress. Other field management practices considered were (i) no weeds, (ii) no mulch, and (iii) zero runoff.
2.4.1. Biomass (B)
The above-ground biomass (AGB) (g·m−2) was harvested three times during each growing season. To avoid border effects, the samples were collected from the middle row. The freshly collected leaves and stems were weighed and then oven-dried at 85 °C for four days until there was consistent mass. One of each irrigation regime’s plot was dedicated to destructive sampling. The harvest index (HI) was calculated as per Equation (7):
where HI = Harvest index (no units), Y = yield (g·m−2), and B = above ground biomass (g·m−2).
HI = Y/B
Other crop parameters recorded were transplanting date, amount of irrigation water, agronomic practices, time to flowering, time to yield formation, time to senescence, and harvesting dates.
2.4.2. Actual Evapotranspiration (ETa)
The water budget method (Equation (8)) [31,56] was used to compute actual evapotranspiration for canola over the growing seasons:
where ETa = actual evapotranspiration (mm), Pr = rainfall/precipitation (mm), I = irrigation (mm), C = capillary rise (mm), SR = surface runoff (mm), Dr = drainage (mm), and = change in soil water storage (mm).
The experiments were carried out in a greenhouse; hence, rainfall was zero. MTI is a subsurface irrigation method; therefore, surface runoff assumed a zero value. The impermeable layer at Ukulinga farm lies at a depth of 60 cm; thus, it prevented drainage and capillary rise [31]. ETa was converted from mm to m3·ha−1 by multiplying Equation (8) by (10) [51].
2.4.3. Water Productivity (WPET)
Water productivity (WPET) was computed by Equation (9) [33]:
where WP ET = water productivity (kg·m−3).
2.5. Model Calibration
The calibration involved fine-tuning the non-conservative parameters for the canola crop. Table 4 presents summarised conservative and non-conservative values derived from the experiment. The parameters were adopted by Zeleke et al. [42] for calibrating and testing the FAO AquaCrop model for canola in Wagga Wagga, Australia. The study adopted the canola crop files calibrated by researchers from Lethbridge University Alberta, Canada [57]. The crop file was calibrated for warmer and drier climates in Swift Current, Saskatchewan, Canada.
Table 4.
Conservative and non-conservative parameters for canola.
The study destructively measured the seedling leaf area (4.50 cm2) of the canola shoots at 90% emergence. Other input parameters were minimum rooting depth at 90% emergence (5 cm) and maximum rooting depth at harvesting. The average maximum rooting depths were 15.69 cm, 16.24 cm, and 20.41 cm for the 100% ETc, 75% ETc, and 55% ETc irrigation regimes, respectively. The reference harvest index (HIo) was computed using Equation (2). Fine-tuning the HIo resulted in adopting a value of 25% for good simulations.
The calibration involved adjusting the non-conservative parameters HIo, initial canopy cover (CCo), and canopy growth coefficient (CGC) until the simulated CC, B, and Y closely matched the observed data. The time to flowering was measured from the day of transplanting, and it was defined as the time when 50% of the plants had visible yellow flowering. Length of the flowering stage was the date after 50% flowering to the date when 50% of the plants had formed pods [31,58]. The maximum rooting depth was measured from the fully matured harvestable plants.
2.6. Model Validation and Evaluation Statistics
The model was validated using an independent dataset from the 2020 growing season. The data consisted of optimum irrigation (100% ETc) and two DI regimes of 75% ETc and 55% ETc. It was validated, similar to the calibration, for SWC, CC, final B, Y, and WPET.
Statistical analyses were employed to assess the model’s ability to simulate canola crop growth and yield under MTI. The study applied the following criteria; normalised root mean square error (), Wilmott’s index of agreement (), Model efficiency (EF), and the to assess the model’s performance. The selected criteria are defined by Equations (10)–(13) [54,59]:
where Oi and Pi = observed and predicted value(s), respectively, = mean observed data, and m = number of observations. The error index nRMSE showed the model’s performance but did not clearly indicate the degree of over or under-estimation, hence using the EF statistical tool in the analysis. The EF statistic measured the residual variance vs. the measured data variance, and it ranges from to 1. EF values between 0.0 and 1.0 are considered acceptable (Table 5); however, Yang et al. [60] asserted that there exists a positive and scattered correlation between EF and d. Thus, when estimating soil water content, a satisfactory agreement can be considered when EF is greater than or equal to −1 and when d is greater than or equal to 0.60. R2 represents the goodness of fit between the observed and simulated values [31]. For R2, a range of 0.5–1.0 represents good collinearity between observed and simulated values [61].
Table 5.
General performance rating for model evaluation statistics [61].
Above ground biomass, yield, and ET differences were computed as percentage relative differences (%D) using Equation (14). Relative differences of ±10% were considered accurate, whilst differences of ±20% were deemed acceptable [29,32,45]:
3. Results and Discussion
3.1. The Effects of Water Regimes on Growth, Yield, and Water Productivity of Canola
The leaf area index, represented by CCx, was significantly high for the 100% ETc treatment (Figure 3). CCx under 100% ETc was reached after approximately nine weeks after transplanting. Pavlista et al. [17] reached CCx after 10 weeks of planting under optimal irrigation conditions. The 75% ETc treatment recorded a 91% CCx and 85.7% CCx for season 1 (S1) and season 2 (S2), respectively. The 55% ETc treatment recorded a low 74% CCx during S1 and CCx of 86% for S2. The 55% ETc S2 observation contradicted the norm since severe deficit irrigation is reported to yield a reduced canopy cover. The CCx was reached at week eight and week seven after transplanting under 75% ETc and 55% ETc, respectively. Deficit irrigation allows early crop maturity and small canopy cover as a form of drought avoidance mechanism. Small canopy development occurs to minimise water losses through transpiration [31,62].
Figure 3.
Variation in canopy cover for the 100% ETc, 75% ETc, and 55% ETc irrigation regimes over two seasons (Si).
Soil water content (SWC) varied across the irrigation regimes (Table 6). Soil water content between the 100% ETc and 75% ETc did not differ significantly (p > 0.05). There was no significant difference between the 75% ETc and the 55% ETc irrigation regime.
Table 6.
Effects of irrigation regime on the soil water content.
Under the 100% ETc irrigation regimes, the recorded yields were 1.32 ton·ha−1, whilst under 75% ETc and 55% ETc, the yield was 0.73 ton·ha−1 and 0.56 ton·ha−1, respectively, during S1. The recorded yields during S2 for the 100% ETc, 75% ETc, and the 55% ETc irrigation regimes were 1.48 ton·ha−1, 1.15 ton·ha−1, and 0.75 ton·ha−1, respectively (Table 7).
Table 7.
Summarised observed yields and biomass accumulation over two growing seasons.
The recorded yields under 100% ETc were approximately consistent with Zeleke et al. [42], who obtained canola yields of about 1.75 ton·ha−1 using the Bln3343-Co0401 cultivar. Additionally, Zeleke et al. [63] recorded canola grain yields of 0.77–1.51 ton·ha−1 under stressed irrigation and final biomasses in the range of 4–10.47 ton·ha−1 for irrigated and stressed canola in Wagga Wagga, Australia. Pavlista et al. [17] recorded canola grain yields of 1.68 ton·ha−1 under fully irrigated canola in Nebraska, whilst Safi et al. [11] recorded a canola grain yield of 1.27 ton·ha−1. Majnooni-Heris et al. [16] also reported a canola yield range of 1.12–1.78 ton·ha−1 under full irrigation. Deficit irrigation imposed yield penalties because limited irrigation water supply inhibits canopy growth. Small canopy size results in low biomass, which consequently affects pod formation and grain yield. Biomass accumulation was also influenced by deficit irrigation. Extreme deficit irrigation strategies are not suitable for canola crop growth and yield development. It is worth mentioning that the yields attained were under tunnel conditions and the referenced literature performed the experiments under field conditions. Thus, this study reveals that there is no significant effect in growing canola under tunnel conditions compared to field conditions under full and optimal irrigation.
3.2. Model Calibration
3.2.1. Soil Water Content
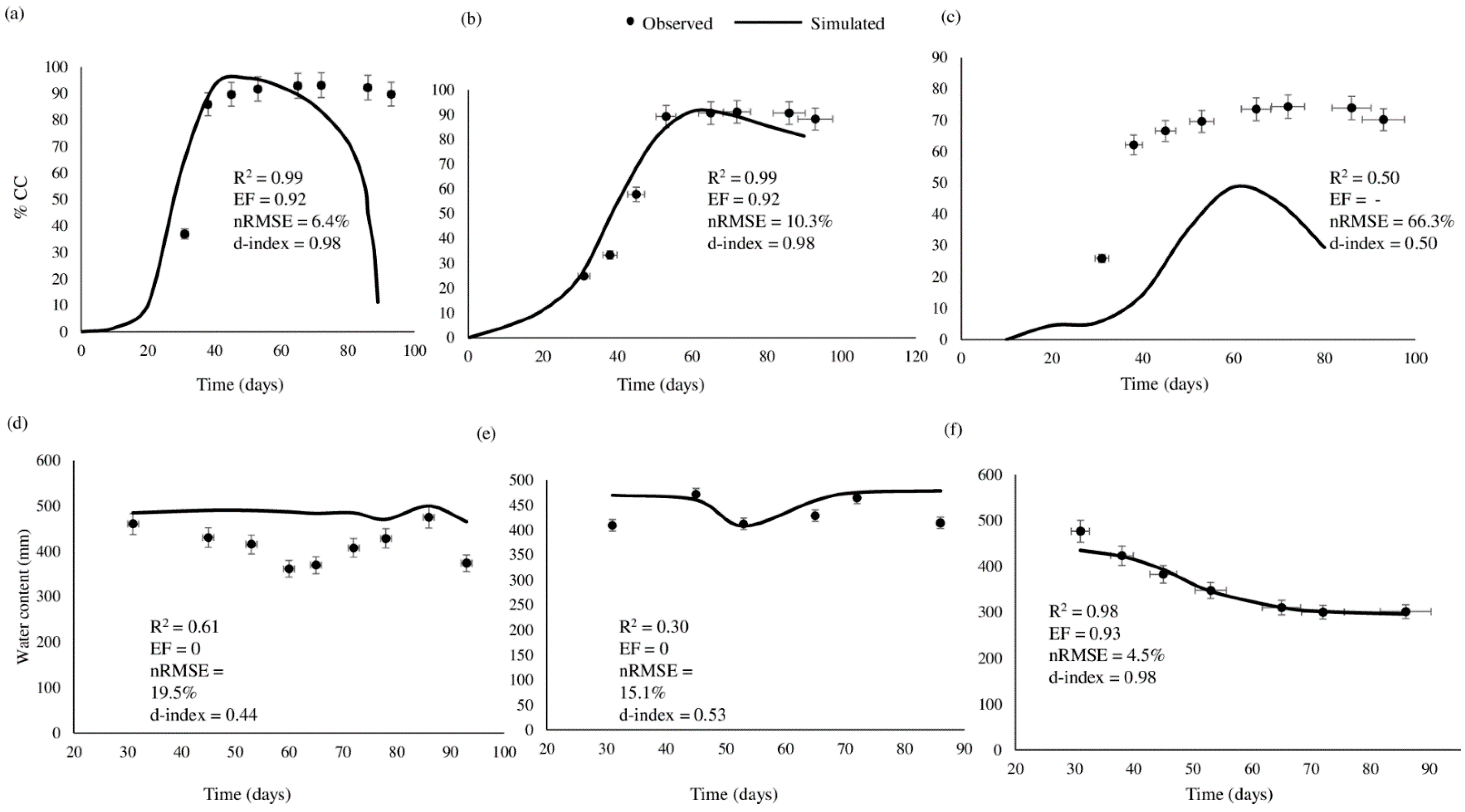
Since AquaCrop is a water-driven model, the model was firstly calibrated for soil water content (SWC). SWC simulations, if done accurately, will improve the accuracy of the simulated biomass and yield [31]. The model satisfactorily simulated the SWC under the 100% ETc irrigation regime (R2 = 0.99, nRMSE = 16.3%, and d = 0.44); thus, the model was successfully calibrated for SWC (Figure 4d). The EF was significantly low, considering that the model successfully simulated CC under the 100% ETc regime. The low EF can potentially be attributed to inherent errors experienced during the calibration for CC. Under 100% ETc, it is evident that the model over-estimated the SWC. This could be potentially attributed to discrepancies in initiating drainage under the continuous irrigation regime. Furthermore, MTI is a slow-release irrigation technology hence the delay in wetting the soil to field capacity. Zeleke et al. [42] attributed the same phenomenon to the lag in AquaCrop to initiate drainage. The model simulated the SWC under the 55% ETc regime well (R2 = 0.98, EF = 0.93, nRMSE = 4.5%, and d = 0.98) (Figure 4f). Despite having simulated the CC under the 75% ETc irrigation regimes well, the model yielded average simulation statistics for SWC (R2 = 0.30, EF = 0, nRMSE = 15.1%, and d = 0.53). Inherent modelling errors in simulating CC can be attributed to the poor R2 value under the 75% ETc irrigation regime (Figure 4e).
Figure 4.
Canopy cover (CC) for (a) 100% ETc, (b) 75% ETc, and (c) 55% ETc and soil water content (SWC) for (d) 100% ETc, (e) 75% ETc, and (f) 55% ETc irrigation regimes during calibration.
3.2.2. Canopy Cover
The model successfully simulated the canopy cover for the 100% ETc treatment (R2 = 0.99, EF = 0.92, nRMSE = 6.4%, and d = 0.98) (Figure 4a). Under the 75% ETc deficit irrigation regime (Figure 4b) the model performed well (R2 = 0.99, EF = 0.92, nRMSE = 10.3%, and d = 0.98). The finding concurred with Zeleke et al. [42], who observed a nRMSE = 8.4–12.4%, EF = 0.72–0.82, and d = 0.90–0.97 during AquaCrop calibration for canola grown in Wagga Wagga, Australia. However, under the 55% ETc irrigation regime, the model under-estimated the CC; the evaluation statistics were: R2 = 0.50, nRMSE = 66.3%, and d = 0.50). The R2 and d-index were within the acceptable range; however, the EF was very low, and the nRMSE was significantly high. This resulted from the model capturing poor plant establishment and poor crop development after the transplanting exercise. Zeleke et al. [42] noted a poor CC whenever AquaCrop picked poor crop establishment and development. A careful calibration for C3 crops under extreme water deficit is required to produce a smooth and fitting CC curve. AquaCrop has simulation inaccuracies when predicting CC under water stress conditions [39,42].
3.2.3. Biomass (B) and Yield (Y)
The model generally simulated the biomass well (Table 7). The model satisfactorily simulated the biomass accumulation for the 100% ETc and 75% ETc irrigation regimes (R2 > 0.90, EF > 0.50, and d > 0.89). The nRMSE under 100 ETc was 6.1%, and under 75% ETc was 37.3%, signifying a high residual variance in estimating the biomass. The model simulated the biomass under the 55% ETc irrigation regime well (R2 = 0.90, EF = 0.30, nRMSE = 26.9%, and d = 0.75) (Figure 5). The nRMSE = 26.9% was seemingly high; however, Ahmadi et al. [39] asserted that an nRMSE < 30% could be acceptable for crop simulation models. Thus, AquaCrop was successfully calibrated for biomass accumulation. It is worth noting that under the 55% ETc irrigation regime, the model under-estimated biomass by 25.50% (Figure 5c). This is a common phenomenon with AquaCrop under deficit irrigation scenarios [31]. On the contrary, Zeleke et al. [42] showed that AquaCrop over-estimated the canola biomass because of heat stress. This study, however, was carried out during the winter (cool) season. The model simulated biomass with deviations of −27.48%, −2.30%, and 20.31%. The deviations fell within the acceptable ranges; thus, further asserting that the model was successfully calibrated for biomass under MTI.
Figure 5.
Observed and simulated biomass (B) under (a) 100% ETc, (b) 75% ETc, and (c) 55% ETc irrigation regimes.
The model over-estimated yield simulations despite having simulated CC well. Yield simulations were in the over-estimation range of ±34–97% and an under-estimation under the 100% ETc water regime, all of which are deemed unacceptable (Table 8). The inability of AquaCrop to simulate yield can be attributed to the low heat units available during the winter season in which the experiment was run. Spring canola cultivar is a cool-season crop that requires a substantial amount of heat units for optimal growth [17]. Hergert et al. [12] also attributed low grain yield for canola to frost.
Table 8.
Observed and simulated yield and final biomass during calibration.
3.2.4. Water Productivity (WPET)
The model successfully predicted the grain WPET under 100% ETc and 75% ETc irrigation regimes and, more interestingly, under 55% ETc, since the yield was low. Under the 100% ETc, the observed WPET was 0.42 kg·m−3, whilst the simulated WPET was 0.36 kg·m−3 (D = 14.29%). Under the 75% ETc, the observed and simulated WPET were 0.48 and 0.49 kg·m−3, respectively, whilst under the 55% ETc, the observed and simulated WPET was 0.26 kg·m−3. The WPET under the 55% ETc represented an optimal calibration scenario, whilst under the 100% ETc irrigation regime, the model under-estimated the WPET by 13% and over-estimated WPET by 2.1% under the 75% ETc irrigation regime. The observed WPET under the 100% ETc and 75% ETc irrigation regimes slightly matched those reported by Kumar et al. [36] for potatoes (C3 crop) grown in saline soils. The reported WPET were in the range of 0.63–0.98 kg·m−3, although the model exhibited a low EF of 0.27.
3.3. Model Validation
Model validation was done after the calibration exercise. An independent dataset from the 2020 growing season was used to validate the model. Canola was transplanted on 27 October 2020 and harvested on 4 January 2021.
3.3.1. Soil Water Content
The model successfully simulated the SWC under the 100% ETc irrigation regime (R2 = 0.90, EF = 0.37, nRMSE = 8.7%, and d = 0.83) and 75% ETc irrigation regime (R2 = 0.91, EF = 0.17, nRMSE = 4.1%, and d = 0.79) (Figure 6d,e). The EF was relatively low, but it signified a generally good model performance for the crop models [60]. The model reasonably simulated the SWC under the 55% ETc irrigation regime (R2 = 0.55, EF = 0.05, nRMSE = 9.6%, and d = 0.63). The observation was attributed to the poor CC simulations’ errors in which the model under-estimated the canopy growth (Figure 6c). The model successfully simulated SWC during the flowering and yield formation stages across all three irrigation regimes. The evidence revealed the capability of AquaCrop to simulate soil water content with reasonable accuracy for canola grown under MTI.
Figure 6.
Canopy cover (CC) for (a) 100% ETc, (b) 75% ETc, and (c) 55% ETc and soil water content (SWC) for (d) 100% ETc, (e) 75% ETc, and (f) 55% ETc irrigation regimes during validation.
3.3.2. Canopy Cover
The model successfully simulated the CC under the 100% ETc (R2 = 0.97, EF = 0.93, nRMSE = 22.5%, and d = 0.98) (Figure 6a). Under the 75% ETc, the successfully simulated canopy growth during the early stages of plant growth (R2 = 0.84, EF = 0.45, nRMSE = 59.2%, and d = 0.86); however, it under-estimated the canopy growth (Figure 6b). The model poorly simulated the CC under the 55% ETc irrigation regime (R2 = 0.61, nRMSE = 87.9%, and d = 0.40). This finding is consistent with literature that states that AquaCrop inaccurately simulates CC under water stress conditions for various crops such as sunflower (Todorovic et al. [30]), maize (Ahmadi et al. [39]), cotton (Farahani et al. [45]), canola (Zeleke et al. [42]), and cowpea (Kanda et al. [31]).
3.3.3. Biomass and Yield
The model simulated the yield with accuracy. The observed deviations (%D) were 7.43%, −25.22%, and 12.0% for the 100% ETc, 75% ETc, and 55% ETc irrigation regimes, respectively (Table 9). The findings concur with Zeleke et al. [42], who found the D = −2.1–12% for spring canola cultivars grown in Wagga Wagga, Australia. The results obtained during validation were relatively accurate than those obtained during calibration.
Table 9.
Observed and simulated yield and final biomass during validation.
The model over-estimated the final biomass under 100% ETc and the 75% ETc irrigation regimes giving D ≥ ±54.47% deviations. The model reasonably simulated the biomass data under the 55% ETc irrigation regime (D = 20.12%). The presented evidence demonstrates that AquaCrop can confidently simulate crop yields and biomass for canola under various MTI regimes with necessary adjustments.
3.3.4. Water Productivity (WPET)
The simulated WPET across the three irrigation regimes matched those obtained during calibration; thus, AquaCrop was successfully calibrated and validated for simulating WPET. Under the 100% ETc, the observed WPET was 0.42 kg·m−3, whilst the simulated was 0.36 kg·m−3 (D = 14.29%). Under the 75% ETc, the observed and simulated WPET were 0.48 and 0.49 kg·m−3, respectively, whilst under the 55% ETc, the observed and simulated WPET was 0.26 kg·m−3. The D values were within the good range (D ≤ ±15%). WPET was high under the 75% ETc, signifying that optimal yields and WPET can be achieved with optimal deficit irrigation management practices.
4. Conclusions and Recommendations
This study sought to calibrate and validate the FAO AquaCrop model for canola grown under MTI and local South Africa conditions. The study was premised on the hypothesis that AquaCrop cannot effectively simulate the yield response of canola under varying irrigation regimes. The study, thus, failed to reject the null hypothesis for the 100% ETc and 75% ETc and rejected the hypothesis for the 55% ETc irrigation regime. The model was successfully calibrated and validated for soil water content, canopy cover, biomass accumulation, final biomass, yield, and water productivity under 100% ETc and 75% ETc irrigation regimes. AquaCrop poorly simulated the canopy cover and the SWC under the extreme deficit irrigation regime (55% ETc). The poor simulation results can potentially be attributed to canola’s sensitivity to extreme deficit irrigation scenarios. The study revealed that good deficit irrigation regimes could achieve optimum canola growth. The 75% ETc irrigation regime had an optimal grain yield and relatively high water productivity (WPET) compared to the 100% ETc irrigation regime. Thus, appropriate deficit management practices can produce high biomass and lower yield penalties. The study revealed the capability of the AquaCrop model to simulate canola response to various irrigation regimes. It is recommended that the study be done in open field conditions and assess the reliability of the reported results in this study. Additionally, the authors recommend the study be carried over several DI regimes and investigate the WPET and yield correlation. In addition, the field experiments will generate an independent dataset that will be used to further test AquaCrop.
Author Contributions
Conceptualisation, T.L.D., T.M. and A.S.; methodology, T.L.D.; validation, T.L.D.; formal analysis, T.L.D.; investigation, T.L.D.; resources, T.M. and A.S.; data curation, T.L.D.; writing—original draft preparation, T.L.D.; writing—review and editing, T.L.D. and A.S.; visualisation, T.L.D., T.M. and A.S.; supervision, T.M. and A.S.; project administration, T.M. and A.S.; funding acquisition, T.M. and A.S. All authors have read and agreed to the published version of the manuscript.
Funding
This work is based on the research supported in part by the National Research Foundation of South Africa (Grant Number 131377).
Institutional Review Board Statement
Not applicable.
Informed Consent Statement
Not applicable.
Data Availability Statement
Data for this study are available on request from the corresponding author.
Acknowledgments
The authors wish to acknowledge the support from the Ukulinga Research farm staff and the Bioresources Engineering Department.
Conflicts of Interest
The authors declare no conflict of interest.
References
- Mustafa, M.; Mabhaudhi, T.; Avvari, M.V.; Massawe, F. Transition toward sustainable food systems: A holistic pathway toward sustainable development. In Food Security and Nutrition; Galanakis, C., Ed.; Academic Press: London, UK, 2020; pp. 44–45. [Google Scholar]
- Chimonyo, V.G.P.; Wimalasiri, E.M.; Kunz, R.; Modi, A.T.; Mabhaudhi, T. Optimizing Traditional Cropping Systems Under Climate Change: A Case of Maize Landraces and Bambara Groundnut. Front. Sustain. Food Syst. 2020, 4, 186. [Google Scholar] [CrossRef]
- Korres, N.E.; Norsworthy, J.K.; Tehranchian, P.; Gitsopoulos, T.K.; Loka, D.A.; Oosterhuis, D.M.; Gealy, D.R.; Moss, S.R.; Burgos, N.R.; Miller, M.R.; et al. Cultivars to face climate change effects on crops and weeds: A review. Agron. Sustain. Dev. 2016, 36, 1–22. [Google Scholar] [CrossRef]
- Fujihara, Y.; Tanaka, K.; Watanabe, T.; Nagano, T.; Kojiri, T. Assessing the impacts of climate change on the water resources of the Seyhan River Basin in Turkey: Use of dynamically downscaled data for hydrologic simulations. J. Hydrol. 2008, 353, 33–48. [Google Scholar] [CrossRef]
- Kang, Y.; Khan, S.; Ma, X. Climate change impacts on crop yield, crop water productivity and food security—A review. Prog. Nat. Sci. 2009, 19, 1665–1674. [Google Scholar] [CrossRef]
- Zhang, B.; Fu, Z.; Wang, J.; Zhang, L. Farmers’ adoption of water-saving irrigation technology alleviates water scarcity in metropolis suburbs: A case study of Beijing, China. Agric. Water Manag. 2019, 212, 349–357. [Google Scholar] [CrossRef]
- Raymer, P.L. Canola: An emerging oilseed crop. In Trends in New Crops New Uses; Janick, J., Whipkey, A., Eds.; ASHS Press: Alexandria, VA, USA, 2002; pp. 122–126. [Google Scholar]
- Bañuelos, G.S.; Bryla, D.R.; Cook, C.G. Vegetative production of kenaf and canola under irrigation in central California. Ind. Crop. Prod. 2002, 15, 237–245. [Google Scholar] [CrossRef]
- Lordkipanidze, N.; Epperson, J.; Ames, G. An economic analysis of the import demand for canola oil in the United States. J. Int. Food Agribus. Mark. 1998, 9, 23–34. [Google Scholar] [CrossRef]
- Katuwal, K.B.; Cho, Y.; Singh, S.; Angadi, S.V.; Begna, S.; Stamm, M. Soil water extraction pattern and water use efficiency of spring canola under growth-stage-based irriga-tion management. Agric. Water Manag. 2020, 239, 106232. [Google Scholar] [CrossRef]
- Safi, S.Z.; Kamgar-Haghighi, A.A.; Zand-Parsa, S.; Emam, Y.; Honar, T. Evaluation of Yield, Actual Crop Evapotranspiration and Water Productivity of Two Canola Cultivars as Influenced by Transplanting and Seeding and Deficit Irrigation. Int. J. Plant Prod. 2018, 13, 23–33. [Google Scholar] [CrossRef]
- Hergert, G.; Margheim, J.; Pavlista, A.; Martin, D.; Isbell, T.; Supalla, R. Irrigation response and water productivity of deficit to fully irrigated spring camelina. Agric. Water Manag. 2016, 177, 46–53. [Google Scholar] [CrossRef]
- Taylor, A.J.; Smith, C.J.; Wilson, I.B. Effect of irrigation and nitrogen fertilizer on yield, oil content, nitrogen accumulation and water use of canola (Brassica napus L.). Nutr. Cycl. Agroecosystems 1991, 29, 249–260. [Google Scholar] [CrossRef]
- Katuwal, K.B.; Angadi, S.V.; Singh, S.; Cho, Y.; Begna, S.; Umesh, M.R. Growth-Stage-Based Irrigation Management on Biomass, Yield, and Yield Attributes of Spring Canola in the Southern Great Plains. Crop. Sci. 2018, 58, 2623–2632. [Google Scholar] [CrossRef]
- Khalili, M.; Aboughadareh, A.P.; Naghavi, M.R.; Talebzadeh, S.J. Response of spring canola (Brassica napus L.) genotypes to water deficit stress. Int. J. Agric. Crop Sci. 2012, 4, 1579–1586. [Google Scholar]
- Majnooni-Heris, A.; Nazemi, A.H.; Sadraddini, A.A. Effects of deficit irrigation on the yield, yield components, water and irrigation water use efficiency of spring canola. Biodivers. Environ. Sci. 2014, 5, 44–53. [Google Scholar]
- Pavlista, A.; Hergert, G.; Margheim, J.; Isbell, T. Growth of spring canola (Brassica napus) under deficit irrigation in Western Nebraska. Ind. Crop. Prod. 2016, 83, 635–640. [Google Scholar] [CrossRef]
- Yang, W.; Tian, L.; Du, T.; Ding, R.; Yang, Q. Research Prospect of the Water-saving Irrigation by Semi-permeable Film. J. Water Resour. Water Eng. 2008, 19, 60–63. [Google Scholar]
- Kanda, E.K.; Niu, W.; Mabhaudhi, T.; Senzanje, A. Moistube Irrigation Technology: A Review. Agric. Res. 2020, 9, 139–147. [Google Scholar] [CrossRef]
- Dirwai, T.; Mabhaudhi, T.; Kanda, E.; Senzanje, A. Moistube irrigation technology development, adoption and future prospects: A systematic scoping review. Heliyon 2021, 7, e06213. [Google Scholar] [CrossRef]
- Locascio, S.J. Management of Irrigation for Vegetables: Past, Present, and Future. HortTechnology 2005, 15, 482–485. [Google Scholar] [CrossRef]
- Kanda, E.K.; Senzanje, A.; Mabhaudhi, T. Effect of Moistube and subsurface drip irrigation on cowpea (Vigna unguiculata (l.) Walp) production in South Africa. Water SA 2020, 46, 197–204. [Google Scholar]
- Foster, T.; Brozović, N.; Butler, A.P.; Neale, C.M.U.; Raes, D.; Steduto, P.; Fereres, E.; Hsiao, T.C. AquaCrop-OS: An open source version of FAO’s crop water productivity model. Agric. Water Manag. 2017, 181, 18–22. [Google Scholar] [CrossRef]
- Bauböck, R. Simulating the yields of bioenergy and food crops with the crop modeling software BioSTAR: The carbon-based growth engine and the BioSTAR ET0 method. Environ. Sci. Eur. 2014, 26, 1. [Google Scholar] [CrossRef]
- He, D.; Wang, E.; Wang, J.; Lilley, J.; Luo, Z.; Pan, X.; Pan, Z.; Yang, N. Uncertainty in canola phenology modelling induced by cultivar parameterization and its impact on simulated yield. Agric. Forest Meteorol. 2017, 232, 163–175. [Google Scholar] [CrossRef]
- Robertson, M.; Kirkegaard, J. Crop modelling for the Australian canola industry: A review. In Proceedings of the 13th Australian Research Assembly on Brassicas, Tamworth Regional Entertainment Centre, Tamworth, NSW, Australia, 8–12 September 2003. [Google Scholar]
- Qian, B.; Jing, Q.; Zhang, X.; Shang, J.; Liu, J.; Wan, H.; Dong, T.; De Jong, R. Adapting estimation methods of daily solar radiation for crop modelling applications in Canada. Can. J. Soil Sci. 2019, 99, 533–547. [Google Scholar] [CrossRef]
- Raes, D.; Steduto, P.; Hsiao, T.C.; Fereres, E. AquaCrop—The FAO crop model to simulate yield response to water: II. Main algorithms and software de-scription. Agron. J. 2009, 101, 438–447. [Google Scholar] [CrossRef]
- Steduto, P.; Hsiao, T.C.; Raes, D.; Fereres, E. AquaCrop—The FAO Crop Model to Simulate Yield Response to Water: I. Concepts and Underlying Principles. Agron. J. 2009, 101, 426–437. [Google Scholar] [CrossRef]
- Todorovic, M.; Albrizio, R.; Zivotic, L.; Saab, M.-T.A.; Stöckle, C.; Steduto, P. Assessment of AquaCrop, CropSyst, and WOFOST Models in the Simulation of Sunflower Growth under Different Water Regimes. Agron. J. 2009, 101, 509–521. [Google Scholar] [CrossRef]
- Kanda, E.K.; Senzanje, A.; Mabhaudhi, T. Calibration and validation of the AquaCrop model for full and deficit irrigated cowpea (Vigna unguiculata (L.) Walp). Phys. Chem. Earth Parts A/B/C 2020, 102941. [Google Scholar] [CrossRef]
- Chibarabada, T.; Modi, A.; Mabhaudhi, T. Calibration and evaluation of aquacrop for groundnut (Arachis hypogaea) under water deficit conditions. Agric. Forest Meteorol. 2020, 281, 107850. [Google Scholar] [CrossRef]
- Andarzian, B.; Bannayan, M.; Steduto, P.; Mazraeh, H.; Barati, M.; Rahnama, A. Validation and testing of the AquaCrop model under full and deficit irrigated wheat production in Iran. Agric. Water Manag. 2011, 100, 1–8. [Google Scholar] [CrossRef]
- Iqbal, M.A.; Shen, Y.; Stricevic, R.; Pei, H.; Sun, H.; Amiri, E.; Penas, A.; del Rio, S. Evaluation of the FAO AquaCrop model for winter wheat on the North China Plain under deficit irrigation from field experiment to regional yield simulation. Agric. Water Manag. 2014, 135, 61–72. [Google Scholar] [CrossRef]
- Jin, X.-L.; Feng, H.-K.; Zhu, X.-K.; Li, Z.-H.; Song, S.-N.; Song, X.-Y.; Yang, G.-J.; Xu, X.-G.; Guo, W.-S. Assessment of the AquaCrop Model for Use in Simulation of Irrigated Winter Wheat Canopy Cover, Biomass, and Grain Yield in the North China Plain. PLoS ONE 2014, 9, e86938. [Google Scholar] [CrossRef] [PubMed]
- Kumar, P.; Sarangi, A.; Singh, D.; Parihar, S. Evaluation of aquacrop model in predicting wheat yield and water productivity under irrigated saline regimes. Irrig. Drain. 2014, 63, 474–487. [Google Scholar] [CrossRef]
- Toumi, J.; Er-Raki, S.; Ezzahar, J.; Khabba, S.; Jarlan, L.; Chehbouni, A. Performance assessment of AquaCrop model for estimating evapotranspiration, soil water content and grain yield of winter wheat in Tensift Al Haouz (Morocco): Application to irrigation management. Agric. Water Manag. 2016, 163, 219–235. [Google Scholar] [CrossRef]
- Abedinpour, M.; Sarangi, A.; Rajput, T.; Singh, M.; Pathak, H.; Ahmad, T. Performance evaluation of AquaCrop model for maize crop in a semi-arid environment. Agric. Water Manag. 2012, 110, 55–66. [Google Scholar] [CrossRef]
- Ahmadi, S.H.; Mosallaeepour, E.; Kamgar-Haghighi, A.A.; Sepaskhah, A.R. Modeling maize yield and soil water content with AquaCrop under full and deficit irrigation manage-ments. Water Resour. Manag. 2015, 29, 2837–2853. [Google Scholar] [CrossRef]
- Heng, L.K.; Hsiao, T.; Evett, S.; Howell, T.; Steduto, P. Validating the FAO AquaCrop Model for Irrigated and Water Deficient Field Maize. Agron. J. 2009, 101, 488–498. [Google Scholar] [CrossRef]
- Nyathi, M.; van Halsema, G.; Annandale, J.; Struik, P. Calibration and validation of the AquaCrop model for repeatedly harvested leafy vegetables grown under different irrigation regimes. Agric. Water Manag. 2018, 208, 107–119. [Google Scholar] [CrossRef]
- Zeleke, K.T.; Luckett, D.; Cowley, R. Calibration and Testing of the FAO AquaCrop Model for Canola. Agron. J. 2011, 103, 1610–1618. [Google Scholar] [CrossRef]
- Araya, A.; Habtu, S.; Hadgu, K.M.; Kebede, A.; Dejene, T. Test of AquaCrop model in simulating biomass and yield of water deficient and irrigated barley (Hordeum vulgare). Agric. Water Manag. 2010, 97, 1838–1846. [Google Scholar] [CrossRef]
- Araya, A.; Keesstra, S.; Stroosnijder, L. Simulating yield response to water of Teff (Eragrostis tef) with FAO’s AquaCrop model. Field Crop. Res. 2010, 116, 196–204. [Google Scholar] [CrossRef]
- Farahani, H.J.; Izzi, G.; Oweis, T.Y. Parameterization and Evaluation of the AquaCrop Model for Full and Deficit Irrigated Cotton. Agron. J. 2009, 101, 469–476. [Google Scholar] [CrossRef]
- Mabhaudhi, T.; Modi, A.T.; Beletse, Y.G. Parameterisation and evaluation of the FAO-AquaCrop model for a South African taro (Colocasia esculenta L. Schott) landrace. Agric. Forest Meteorol. 2014, 192, 132–139. [Google Scholar] [CrossRef]
- Maniruzzaman, M.; Talukder, M.; Khan, M.; Biswas, J.; Nemes, A. Validation of the AquaCrop model for irrigated rice production under varied water regimes in Bangladesh. Agric. Water Manag. 2015, 159, 331–340. [Google Scholar] [CrossRef]
- Vanuytrecht, E.; Raes, D.; Willems, P. Global sensitivity analysis of yield output from the water productivity model. Environ. Model. Softw. 2014, 51, 323–332. [Google Scholar] [CrossRef]
- Montoya, F.; Camargo, D.; Ortega, J.; Córcoles, J.; Domínguez, A. Evaluation of Aquacrop model for a potato crop under different irrigation conditions. Agric. Water Manag. 2016, 164, 267–280. [Google Scholar] [CrossRef]
- Geerts, S.; Raes, D.; García, M. Using AquaCrop to derive deficit irrigation schedules. Agric. Water Manag. 2010, 98, 213–216. [Google Scholar] [CrossRef]
- FAO. Crop Evapotranspiration—Guidelines for Computing Crop Water Requirements. In FAO Irrigation and Drainage; Allen, R., Pereira, L.S., Raes, D., Smith, M., Eds.; FAO: Rome, Italy, 1998. [Google Scholar]
- Rautiainen, M.; Mõttus, M.; Stenberg, P. On the relationship of canopy LAI and photon recollision probability in boreal forests. Remote Sens. Environ. 2009, 113, 458–461. [Google Scholar] [CrossRef]
- Cresswell, H.P.; Green, T.W.; McKenzie, N.J. The Adequacy of Pressure Plate Apparatus for Determining Soil Water Retention. Soil Sci. Soc. Am. J. 2008, 72, 41–49. [Google Scholar] [CrossRef]
- Kanda, E.K.; Senzanje, A.; Mabhaudhi, T. Soil water dynamics under Moistube irrigation. Phys. Chem. Earth Parts A/B/C 2020, 115, 102836. [Google Scholar] [CrossRef]
- Klute, A. Water Retention: Laboratory Methods. In Methods of Soil Analysis Part 1; American Society of Agronomy-Soil Science Society of America: Madison, WI, USA, 1986; Volume 5, pp. 635–662. [Google Scholar]
- Qin, W. Exploring Options for Improving Water and Nitrogen Use Efficiency in Crop Production Systems; Wageningen University: Wageningen, The Netherlands, 2015. [Google Scholar]
- Lethbridge University. Canola Swift Current Dataset. In Canola Swift Current; Lethbridge University: Lethbridge, AB, Canada, 2020. [Google Scholar]
- Brink, M. Rates of Progress towards Flowering and Podding in Bambara Groundnut (Vigna subterranea) as a Function of Temperature and Photoperiod. Ann. Bot. 1997, 80, 505–513. [Google Scholar] [CrossRef][Green Version]
- Karandish, F.; Šimůnek, J. A comparison of the HYDRUS (2D/3D) and SALTMED models to investigate the influence of various water-saving irrigation strategies on the maize water footprint. Agric. Water Manag. 2019, 213, 809–820. [Google Scholar] [CrossRef]
- Yang, J.; Liu, S.; Hoogenboom, G. An evaluation of the statistical methods for testing the performance of crop models with observed data. Agric. Syst. 2014, 127, 81–89. [Google Scholar] [CrossRef]
- Moriasi, D.N.; Arnold, J.G.; Van Liew, M.W.; Bingner, R.L.; Harmel, R.D.; Veith, T.L. Model Evaluation Guidelines for Systematic Quantification of Accuracy in Watershed Simulations. Trans. ASABE 2007, 50, 885–900. [Google Scholar] [CrossRef]
- Prasad, P.; Staggenborg, S.; Ristic, Z. Impacts of drought and/or heat stress on physiological, developmental, growth, and yield processes of crop plants. In Response of Crops to Limited Water: Understanding and Modelling Water Stress Effects on Plant Growth Processes; Ahuja, L.R., Reddy, V.R., Ristic, Z., Eds.; American Society of Agronomy: Wisconsin, WI, USA, 2008; pp. 301–355. [Google Scholar]
- Zeleke, K.T.; Luckett, D.J.; Cowley, R.B. Response of canola (Brassica napus L.) and mustard (B. juncea L.) to different watering regimes. Exp. Agric. 2014, 50, 573–590. [Google Scholar] [CrossRef]
Publisher’s Note: MDPI stays neutral with regard to jurisdictional claims in published maps and institutional affiliations. |
© 2021 by the authors. Licensee MDPI, Basel, Switzerland. This article is an open access article distributed under the terms and conditions of the Creative Commons Attribution (CC BY) license (http://creativecommons.org/licenses/by/4.0/).





