Active Packaging of Button Mushrooms with Zeolite and Açai Extract as an Innovative Method of Extending Its Shelf Life
Abstract
1. Introduction
2. Materials and Methods
2.1. Preparation of Active Membranes
2.2. Packaging and Storage of Mushrooms
2.3. Physical Analysis of Mushrooms
2.3.1. Gas Composition
2.3.2. Physiological Weight Loss
2.3.3. Color Analysis
CIE L*a*b* Analysis
Color Change of Mushroom Cap
2.3.4. Texture Analysis
2.4. Chemical Analysis of Mushrooms
2.4.1. Mushroom Extraction for TPC, DPPH and FRAP Analysis
2.4.2. Total Phenolic Compounds (TPC)
2.4.3. Vitamin C (L-Ascorbic Acid, Vitamin C) Content
2.4.4. Malonylodialdehyd (MDA) Content
2.4.5. Ferric Reducing Antioxidant Power (FRAP)
2.4.6. DPPH Radical Scavenging Assay
2.4.7. E-Nose Analysis
2.5. Statistical Analysis
3. Results and Discussion
3.1. Physical Quality Assessment of Agaricus bisporus
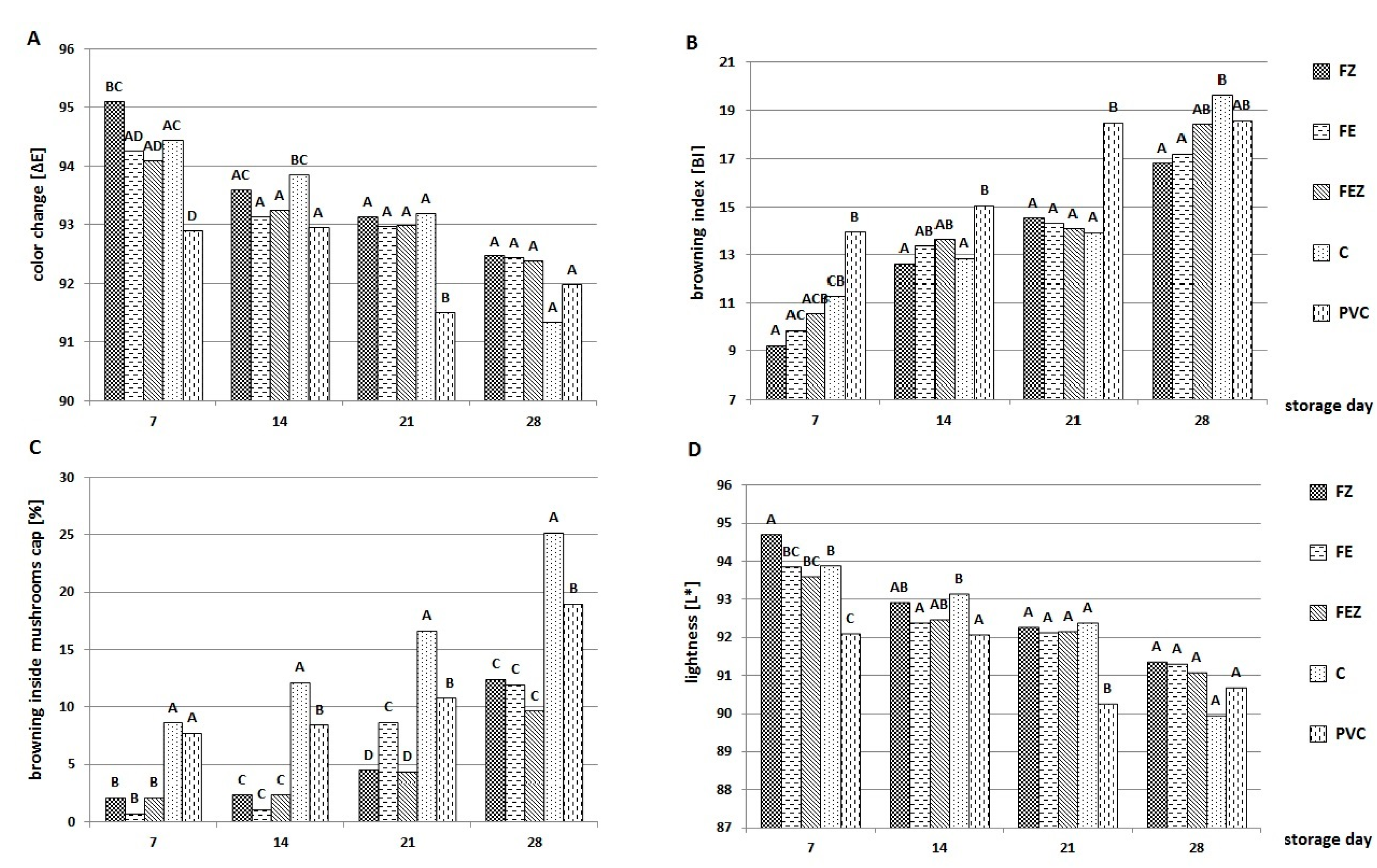
3.1.1. Outer (L*a*b*) and Inner Color of Mushrooms
3.1.2. Weight Loss and Texture
3.1.3. Gas Composition
3.2. Chemical Composition Analysis of Agaricus bisporus
3.2.1. Total Phenolic Compounds
3.2.2. Vitamin C Content
3.2.3. Antioxidant Activity (DPPH and FRAP)
3.2.4. Malondialdehyde Content
3.2.5. Volatile Compounds Analysis
4. Conclusions
Author Contributions
Funding
Acknowledgments
Conflicts of Interest
References
- Barrera, E.L.; Hertel, T. Global food waste across the income spectrum: Implications for food prices, production and resource use. Food Policy 2021, 98, 101874. [Google Scholar] [CrossRef]
- Filimonau, V.; Nghiem, V.N.; Wang, L. Food waste management in ethnic food restaurants. Int. J. Hosp. Manag. 2021, 92, 102731. [Google Scholar] [CrossRef]
- Lin, Z.; Goddard, J. Photo-Curable Metal-Chelating Coatings Offer a Scalable Approach to Production of Antioxidant Active Packaging. J. Food Sci. 2018, 83, 367–376. [Google Scholar] [CrossRef]
- European Commission. Commission Regulation (EC) No 450/2009 of 29 May 2009 on active and intelligent materials and articles intended to come into contact with food. Off. J. Eur. Union 2009, 135, 3–11. [Google Scholar]
- Omerović, N.; Djisalov, M.; Živojević, K.; Mladenović, M.; Vunduk, J.; Milenković, I.; Knežević, N.Ž.; Gadjanski, I.; Vidić, J. Antimicrobial nanoparticles and biodegradable polymer composites for active food packaging applications. Compr. Rev. Food Sci. Food Saf. 2021, 20, 2428–2454. [Google Scholar] [CrossRef] [PubMed]
- Eroglu, N.; Emekci, M.; Athanassiou, C.G. Applications of natural zeolites on agriculture and food production. J. Sci. Food Agric. 2017, 97, 3487–3499. [Google Scholar] [CrossRef] [PubMed]
- Yildirim, S.; Röcker, B.; Pettersen, M.K.; Nilsen-Nygaard, J.; Ayhan, Z.; Rutkaite, R.; Radusin, T.; Suminska, P.; Marcos, B.; Coma, V. Active Packaging Applications for Food. Compr. Rev. Food Sci. F. 2017, 17, 165–199. [Google Scholar] [CrossRef]
- Lim, S.-H.; Nam, H.; Baek, H.-H. Aroma Characteristics of Acai Berry. Korean J. Food Sci. Technol. 2016, 48, 122–127. [Google Scholar] [CrossRef][Green Version]
- Earling, M.; Beadle, T.; Niemeyer, E.D. Açai Berry (Euterpe oleracea) Dietary Supplements: Variations in Anthocyanin and Flavonoid Concentrations, Phenolic Contents, and Antioxidant Properties. Plant Foods Hum. Nutr. 2019, 74, 421–429. [Google Scholar] [CrossRef] [PubMed]
- Hanula, M.; Wyrwisz, J.; Moczkowska, M.; Horbańczuk, O.K.; Pogorzelska-Nowicka, E.; Wierzbicka, A. Optimization of Microwave and Ultrasound Extraction Methods of Açai Berries in Terms of Highest Content of Phenolic Compounds and Antioxidant Activity. J. Appl. Sci. 2020, 10, 8325. [Google Scholar] [CrossRef]
- Siwulski, M.; Budka, A.; Rzymski, P.; Gąsecka, M.; Kalač, P.; Budzyńska, S.; Magdziak, Z.; Niedzielski, P.; Mleczek, P.; Mleczek, M. Worldwide basket survey of multielemental composition of white button mushroom Agaricus bisporus. Chemosphere 2020, 239, 124718. [Google Scholar] [CrossRef]
- Muszyńska, B.; Piotrowska, J.; Krakowska, A.; Gruba, A.; Kała, K.; Sułkowska-Ziaja, K.; Kryczyk, A.; Opoka, W. Study of physiologically active components in different parts of fruiting bodies of varieties of Agaricus bisporus (white mushroom). Eur. Food Res. Technol. 2017, 243, 2135–2145. [Google Scholar] [CrossRef]
- Mushroom Cultivation Market. Mushroom Cultivation Market by Type (Button Mushroom, Oyster Mushroom, Shiitake Mushroom, Other Types), By Phase, By Region (North America, Europe, Asia Pacific, South America, Rest of the World)—Global Forecast to 2025. Report 2020. pp. 1–141. Available online: https://www.researchandmarkets.com/reports/5018601 (accessed on 7 June 2021).
- Djekic, I.; Vunduk, J.; Tomašević, I.; Kozarski, M.; Petrovic, P.; Niksic, M.; Pudja, P.; Klaus, A. Total quality index of Agaricus bisporus mushrooms packed in modified atmosphere. J. Sci. Food Agric. 2016, 97, 2675–2680. [Google Scholar] [CrossRef]
- Singleton, V.L.; Rossi, J.A. Colorimetry of Total Phenolics with Phosphomolybdic-Phosphotungstic Acid Reagents. Am. J. Enol. Vitic. 1965, 16, 144–158. [Google Scholar]
- Balogh, T.; Szarka, A. A comparative study: Methods for the determination of ascorbic acid in small and middle sized food analytic laboratories. Acta Aliment. 2016, 45, 354–362. [Google Scholar] [CrossRef]
- Shah, K.; Kumar, R.G.; Verma, S.; Dubey, R. Effect of cadmium on lipid peroxidation, superoxide anion generation and activities of antioxidant enzymes in growing rice seedlings. Plant Sci. 2001, 161, 1135–1144. [Google Scholar] [CrossRef]
- Wang, Q.; Chu, L.; Kou, L. UV-C Treatment maintains quality and delays senescence of oyster mushroom (Pleurotus ostreatus). Sci. Hortic. 2017, 225, 380–385. [Google Scholar] [CrossRef]
- Belwal, T.; Dhyani, P.; Bhatt, I.D.; Rawal, R.S.; Pande, V. Optimization extraction conditions for improving phenolic content and antioxidant activity in Berberis asiatica fruits using response surface methodology (RSM). Food Chem. 2016, 207, 115–124. [Google Scholar] [CrossRef]
- Zhang, R.; Wang, X.; Li, L.; Cheng, M.; Zhang, L. Optimization of konjac glucomannan/carrageenan/nano-SiO2 coatings for extending the shelf-life of Agaricus bisporus. Int. J. Biol. Macromol. 2019, 122, 857–865. [Google Scholar] [CrossRef]
- Zhang, K.; Pu, Y.-Y.; Sun, D.-W. Recent advances in quality preservation of postharvest mushrooms (Agaricus bisporus): A review. Trends Food Sci. Tech. 2018, 78, 72–82. [Google Scholar] [CrossRef]
- Lin, X.; Sun, D.-W. Research advances in browning of button mushroom (Agaricus bisporus): Affecting factors and controlling methods. Trends Food Sci. Tech. 2019, 90, 63–75. [Google Scholar] [CrossRef]
- Walkowiak-Tomczak, D.; Idaszewska, N.; Bieńczak, K.; Kómoch, W. The Effect of Mechanical Actions Occurring during Transport on Physicochemical Changes in Agaricus bisporus Mushrooms. Sustainability 2020, 12, 4993. [Google Scholar] [CrossRef]
- Liu, Z.; Wang, X. Changes in color, antioxidant, and free radical scavenging enzyme activity of mushrooms under high oxygen modified atmospheres. Postharvest Biol. Tec. 2012, 69, 1–6. [Google Scholar] [CrossRef]
- Gholami, R.; Ahmadi, E.; Farris, S. Shelf life extension of white mushrooms (Agaricus bisporus) by low temperatures conditioning, modified atmosphere, and nanocomposite packaging material. Food Packag. Shelf Life 2017, 14, 88–95. [Google Scholar] [CrossRef]
- Wrona, M.; Bentayeb, K.; Nerín, C. A novel active packaging for extending the shelf-life of fresh mushrooms (Agaricus bisporus). Food Control 2015, 54, 200–207. [Google Scholar] [CrossRef]
- Gormley, R. Chill storage of mushrooms. J. Sci. Food Agric. 1975, 26, 401–411. [Google Scholar] [CrossRef]
- Shekari, A.; Hassani, R.N.; Aghdam, M.S.; Rezaee, M.; Jannatizadeh, A. The effects of melatonin treatment on cap browning and biochemical attributes of Agaricus bisporus during low temperature storage. Food Chem. 2021, 348, 129074. [Google Scholar] [CrossRef] [PubMed]
- Pogorzelska-Nowicka, E.; Hanula, M.; Wojtasik-Kalinowska, I.; Stelmasiak, A.; Zalewska, M.; Półtorak, A.; Wierzbicka, A. Packaging in a High O2 or Air Atmospheres and in Microperforated Films Effects on Quality of Button Mushrooms Stored at Room Temperature. Agriculture 2020, 10, 479. [Google Scholar] [CrossRef]
- Oz, A.T.; Ulukanlı, Z.; Bozok, F.; Baktemur, G. The postharvest quality, sensory and shelf life of Agaricus bisporus in active map. J. Food Process Pres. 2015, 39, 100–106. [Google Scholar] [CrossRef]
- Nagrockiene, D.; Girskas, G. Research into the properties of concrete modified with natural zeolite addition. Constr. Build. Mater. 2016, 113, 964–969. [Google Scholar] [CrossRef]
- Han, L.; Qin, Y.; Liu, D.; Chen, H.; Li, H.; Yuan, M. Evaluation of biodegradable film packaging to improve the shelf-life of Boletus edulis wild edible mushrooms. Innov. Food Sci. Emerg. Technol. 2015, 29, 288–294. [Google Scholar] [CrossRef]
- Cheng, M.; Wang, J.; Zhang, R.; Kong, R.; Lu, W.; Wang, X. Characterization and application of the microencapsulated carvacrol/sodium alginate films as food packaging materials. Int. J. Biol. Macromol. 2019, 141, 259–267. [Google Scholar] [CrossRef]
- Ghasemi-Vernamkhasti, M.; Mohammad-Razdari, A.; Yoosefian, S.H.; Izadi, Z. Effects of the combination of gamma irradiation and Ag nanoparticles polyethylene films on the quality of fresh bottom mushroom (Agaricus bisporus L.). J. Food Process. Pres. 2018, 42, e13652. [Google Scholar] [CrossRef]
- Antmann, G.; Ares, G.; Lema, P.; Lareo, C. Influence of modified atmosphere packaging on sensory quality of shiitake mushrooms. Postharvest Biol. Technol. 2008, 49, 164–170. [Google Scholar] [CrossRef]
- Singh, S.; Gaikwad, K.K.; Lee, M.; Lee, Y.S. Thermally buffered corrugated packaging for preserving the postharvest freshness of mushrooms (Agaricus bispours). J. Food Eng. 2018, 216, 11–19. [Google Scholar] [CrossRef]
- Zhang, L.; Liu, Z.; Sun, Y.; Wang, X.; Li, L. Combined antioxidant and sensory effects of active chitosan/zein film containing α-tocopherol on Agaricus bisporus. Food Packag. Shelf Life 2020, 24, 100470. [Google Scholar] [CrossRef]
- Salamat, R.; Ghassemzadeh, H.R.; Ranjbar, F.; Jalali, A.; Mahajan, P.; Herppich, W.B.; Mellmann, J. The effect of additional packaging barrier, air moment and cooling rate on quality parameters of button mushroom (Agaricus bisporus). Food Packag. Shelf Life 2020, 23, 100448. [Google Scholar] [CrossRef]
- Liu, J.; Liu, S.; Zhang, X.; Kan, J.; Jin, C. Effect of gallic acid grafted chitosan film packaging on the postharvest quality of white button mushroom (Agaricus bisporus). Postharvest Biol. Technol. 2019, 147, 39–47. [Google Scholar] [CrossRef]
- Qin, Y.; Liu, D.; Wu, Y.; Yuan, M.; Li, L.; Yang, J. Effect of PLA/PCL/cinnamaldehyde antimicrobial packaging on physicochemical and microbial quality of button mushroom (Agaricus bisporus). Postharvest Biol. Technol. 2015, 99, 73–79. [Google Scholar] [CrossRef]
- Joshi, K.; Warby, J.; Velverde, J.; Tiwari, B.; Cullen, P.J.; Frias, J.M. Impact of cold chain and product variability on quality attributes of modified atmosphere packed mushrooms (Agaricus bisporus) throughout distribution. J. Food Eng. 2018, 232, 44–55. [Google Scholar] [CrossRef]
- Gao, M.; Feng, L.; Jiang, T. Browning inhibition and quality preservation of button mushroom (Agaricus bisporus) by essential oils fumigation treatment. Food Chem. 2014, 149, 107–113. [Google Scholar] [CrossRef]
- Dokhanieh, A.Y.; Aghdam, M.S. Postharvest browning alleviation of Agaricus bisporus using salicylic acid treatment. Sci. Hortic. 2016, 207, 146–151. [Google Scholar] [CrossRef]
- Ding, Y.; Zhu, Z.; Zhao, J.; Nie, Y.; Zhang, Y.; Sheng, J.; Meng, D.; Mao, H.; Tang, X. Effects of Postharvest Brassinolide Treatment on the Metabolism of White Button Mushroom (Agaricus bisporus) in Relation to Development of Browning During Storage. Food Bioproc. Technol. 2016, 9, 1327–1334. [Google Scholar] [CrossRef]
- Vunduk, J.; Kozarski, M.; Djekic, I.; Tomašević, I.; Klaus, A. Effect of modified atmosphere packaging on selected functional characteristics of Agaricus bisporus. Eur. Food Res. Technol. 2021, 247, 829–838. [Google Scholar] [CrossRef]
- Ojeda, G.A.; Sgroppo, S.C.; Martín-Belloso, O.; Soliva-Fortuny, R. Chitosan/tripolyphosphate nanoaggregates enhance the antibrowning effect of ascorbic acid on mushroom slices. Postharvest Biol. Technol. 2019, 156, 110934. [Google Scholar] [CrossRef]
- Servatan, M.; Zarrintaj, P.; Mahmodi, G.; Kim, S.-J.; Ganjali, M.R.; Saeb, M.R.; Mozafari, M. Zeolites in drug delivery: Progress, challenges and opportunities. Drug Discov. Today 2020, 25, 642–656. [Google Scholar] [CrossRef]
- Montero-Prado, P.; Bentayeb, K.; Nerín, C. Pattern recognition of peach cultivars (Prunus persica L.) from their volatile components. Food Chem. 2013, 138, 724–731. [Google Scholar] [CrossRef]
- Gutiérrez, L.; Batlle, R.; Sánchez, C.; Nerín, C. New Approach to Study the Mechanism of Antimicrobial Protection of an Active. Packaging. Foodborne Pathog. Dis. 2010, 7, 1063–1069. [Google Scholar] [CrossRef] [PubMed]
- Tokarz, K.M.; Makowski, W.; Tokarz, B.; Hanula, M.; Sitek, E.; Muszyńska, E.; Jędrzejczyk, R.; Banasiuk, R.; Chajec, Ł.; Mazur, S. Can Ceylon Leadwort (Plumbago zeylanica L.) Acclimate to Lead Toxicity?—Studies of Photosynthetic Apparatus Efficiency. Int. J. Mol. Sci. 2020, 21, 1866. [Google Scholar] [CrossRef]
- Hsu, A.F.; Shieh, J.J.; Bills, D.D.; White, K. Inhibition of Mushroom Polyphenoloxidase by Ascorbic Acid Derivatives. J. Food Sci. 1988, 53, 765–767. [Google Scholar] [CrossRef]
- Janani, N.; Zare, E.N.; Salimi, F.; Makvandi, P. Antibacterial tragacanth gum-based nanocomposite films carrying ascorbic acid antioxidant for bioactive food packaging. Carbohydr. Polym. 2020, 247, 116678. [Google Scholar] [CrossRef]
- Njus, D.; Kelly, P.M.; Tu, Y.-J.; Schlegel, B. Ascorbic acid: The chemistry underlying its antioxidant properties. Free Radic. Biol. Med. 2020, 159, 37–43. [Google Scholar] [CrossRef]
- Lin, Q.; Lu, Y.; Zhang, J.; Liu, W.; Guan, W.; Wang, Z. Effects of high CO2 in-package treatment on flavor, quality and antioxidant activity of button mushroom (Agaricus bisporus) during postharvest storage. Postharvest Biol. Technol. 2017, 123, 112–118. [Google Scholar] [CrossRef]
- Huyut, Z.; Beydemir, Ş.B.; Gülҫin, İ. Antioxidant and Antiradical Properties of Selected Flavonoids and Phenolic Compounds. Biochem. Res. Int. 2017, 2017, 7616791. [Google Scholar] [CrossRef]
- Chen, J.; Yang, J.; Ma, L.; Li, J.; Shahzad, N.; Kim, C.K. Structure-antioxidant activity relationship of methoxy, phenolic hydroxyl, and carboxylic acid groups of phenolic acids. Sci. Rep. 2020, 10, 2611. [Google Scholar] [CrossRef] [PubMed]
- Bernaś, E. Comparison of the mechanism of enzymatic browning in frozen white and brown A. bisporus. Eur. Food Res. Technol. 2018, 244, 1239–1248. [Google Scholar] [CrossRef]
- Ghahremani-Majd, H.; Dashti, F. Chemical Composition and Antioxidant Properties of Cultivated Button Mushrooms (Agaricus bisporus). Hort. Environ. Biotechnol. 2015, 56, 376–382. [Google Scholar] [CrossRef]
- Wu, X.; Guan, W.; Yan, R.; Lei, J.; Xu, L.; Wang, Z. Effects of UV-C on antioxidant activity, total phenolics and main phenolic compounds of the melanin biosynthesis pathway in different tissues of button mushroom. Postharvest Biol. Technol. 2016, 118, 51–58. [Google Scholar] [CrossRef]
- Hu, Y.-H.; Chen, C.-M.; Xu, L.; Cui, Y.; Yu, X.-Y.; Gao, H.-J.; Wang, Q.; Liu, K.; Shi, Y.; Chen, Q.-X. Postharvest application of 4-methoxy cinnamic acid for extending the shelf life of mushroom (Agaricus bisporus). Postharvest Biol. Technol. 2015, 104, 33–41. [Google Scholar] [CrossRef]
- Saw, A.K.-C.; Yam, W.; Wong, K.-C.; Lai, C. A Comparative Study of the Volatile Constituents of Southeast Asian Coffea arabica, Coffea liberica and Coffea robusta Green Beans and their Antioxidant Activities. J. Essent. Oil Bear. Plants 2015, 18, 64–73. [Google Scholar] [CrossRef]
- Moczkowska, M.; Karp, S.; Horbanczuk, O.K.; Hanula, M.; Wyrwisz, J.; Kurek, M.A. Effect of rosemary extract addition on oxidative stability and quality of hemp seed oil. Food Bioprod. Process. 2020, 124, 33–47. [Google Scholar] [CrossRef]
- Nasiri, F.; Tarzi, B.G.; Bassiri, A.R.; Hoseini, S.E.; Aminafshar, M. Comparative Study on the Main Chemical Composition of Button Mushroom’s (Agaricus bisporus) Cap and Stipe. J. Food Biosci. Technol. 2013, 3, 41–48. [Google Scholar]
- Ayala, A.; Muñoz, M.F.; Argüelles, S. Lipid Peroxidation: Production, Metabolism, and Signaling Mechanisms of Malondialdehyde and 4-Hydroxy-2-Nonenal. Oxid. Med. Cell. Longev. 2014, 2014, 360438. [Google Scholar] [CrossRef]
- Vahdatzadeh, M.; Splivallo, R. Improving truffle mycelium flavour through strain selection targeting volatiles of the Ehrlich pathway. Sci. Rep. 2018, 8, 9304. [Google Scholar] [CrossRef]
- Feng, T.; Yang, M.; Ma, B.; Zhao, Y.; Zhuang, H.; Zhang, J.; Chen, D. Volatile profiles of two genotype Agaricus bisporus species at different growth stages. Food Res. Int. 2020, 140, 109761. [Google Scholar] [CrossRef]





| Storage Day | Type Active Packaging | Hardness [N] |
|---|---|---|
| 0 | FM * | 14.33 |
| 7 | FZ | 12.41 A |
| FE | 12.86 AB | |
| FEZ | 13.35 AB | |
| C | 13.25 AB | |
| PVC | 13.83 B | |
| 14 | FZ | 12.14 B |
| FE | 10.94 A | |
| FEZ | 11.19 AB | |
| C | 11.27 AB | |
| PVC | 12.14 B | |
| 21 | FZ | 9.66 A |
| FE | 9.83 A | |
| FEZ | 10.02 A | |
| C | 9.02 A | |
| PVC | 9.29 A | |
| 28 | FZ | 9.26 A |
| FE | 9.90 A | |
| FEZ | 9.71 A | |
| C | 8.07 A | |
| PVC | 8.43 A |
| vit. C | MDA | DPPH | FRAP | TPC | L* | ΔE | BI | BIMC | |
|---|---|---|---|---|---|---|---|---|---|
| vit. C | 1.00 | −0.10 | 0.19 * | 0.11 | −0.11 | 0.07 | −0.30 *** | −0.46 ** | −0.06 |
| MDA | 1.00 | 0.08 | −0.09 | 0.05 | −0.19 * | 0.16 | 0.03 | 0.22 * | |
| DPPH | 1.00 | 0.52 *** | 0.55 *** | −0.43 *** | −0.02 | 0.31 *** | 0.05 | ||
| FRAP | 1.00 | 0.66 *** | −0.3 *** | 0.14 | 0.11 | −0.21 * | |||
| TPC | 1.00 | −0.12 | 0.13 | 0.36 *** | −0.08 | ||||
| L* | 1.00 | 0.14 | −0.22 * | −0.15 | |||||
| ΔE | 1.00 | 0.46 *** | 0.08 | ||||||
| BI | 1.00 | −0.11 | |||||||
| BIMC | 1.00 |
| Identified Volatile Compounds | Sensory Descriptors | Day of Storage | ||||||||||
|---|---|---|---|---|---|---|---|---|---|---|---|---|
| 0 | 14 | 28 | ||||||||||
| FM | E | Z | EZ | C | PVC | E | Z | EZ | C | PVC | ||
| aldehydes | ||||||||||||
| 3,7-dimethyl-2,6-octadienal | citrus | + | + | + | ||||||||
| 2-methylpropanal | burnt | + | ||||||||||
| 6-decanal | green | + | ||||||||||
| butanal | chocolate | + | + | + | ||||||||
| alcohols | ||||||||||||
| 1-propanol | alkoholic | + | + | + | + | + | + | + | + | + | + | |
| nonan-3-ol | herbiceous | + | ||||||||||
| 4-methylhexan-1-ol | grassy | + | + | |||||||||
| butan-1-ol | cheese | + | ||||||||||
| propane-1,2-diol | carmelized | + | + | + | ||||||||
| 2-methyl-5-prop-1-en-2-ylcyclohex-2-en-1-ol | caraway | + | + | + | + | |||||||
| acids | ||||||||||||
| 2,4-hexadienoic acid | + | + | + | + | + | |||||||
| formic acid | acidic | + | + | + | ||||||||
| pentanoic acid | beefy | + | ||||||||||
| ketones | ||||||||||||
| decan-2-one | citrus | + | + | + | + | + | ||||||
| butane-2,3-dione | butter | + | + | + | + | + | ||||||
| hydrocarbons | ||||||||||||
| trichloroethane | sweet | + | + | |||||||||
| nonane | alkane | + | ||||||||||
| ethers | ||||||||||||
| 2,3-dimethoxyphenol | medicinal | + | + | + | ||||||||
| 2-methylfuran | burnt | + | + | + | ||||||||
| esters | ||||||||||||
| methyl propanoate | etheral | + | ||||||||||
| terpenes | ||||||||||||
| 1-methyl-4-propan-2-ylcyclohexa-1,4-diene | citrus | + | + | |||||||||
| 2,6,6-trimethylbicyclo[3.1.1]hept-2-ene | camphor | + | + | + | + | + | + | + | + | + | + | |
Publisher’s Note: MDPI stays neutral with regard to jurisdictional claims in published maps and institutional affiliations. |
© 2021 by the authors. Licensee MDPI, Basel, Switzerland. This article is an open access article distributed under the terms and conditions of the Creative Commons Attribution (CC BY) license (https://creativecommons.org/licenses/by/4.0/).
Share and Cite
Hanula, M.; Pogorzelska-Nowicka, E.; Pogorzelski, G.; Szpicer, A.; Wojtasik-Kalinowska, I.; Wierzbicka, A.; Półtorak, A. Active Packaging of Button Mushrooms with Zeolite and Açai Extract as an Innovative Method of Extending Its Shelf Life. Agriculture 2021, 11, 653. https://doi.org/10.3390/agriculture11070653
Hanula M, Pogorzelska-Nowicka E, Pogorzelski G, Szpicer A, Wojtasik-Kalinowska I, Wierzbicka A, Półtorak A. Active Packaging of Button Mushrooms with Zeolite and Açai Extract as an Innovative Method of Extending Its Shelf Life. Agriculture. 2021; 11(7):653. https://doi.org/10.3390/agriculture11070653
Chicago/Turabian StyleHanula, Monika, Ewelina Pogorzelska-Nowicka, Grzegorz Pogorzelski, Arkadiusz Szpicer, Iwona Wojtasik-Kalinowska, Agnieszka Wierzbicka, and Andrzej Półtorak. 2021. "Active Packaging of Button Mushrooms with Zeolite and Açai Extract as an Innovative Method of Extending Its Shelf Life" Agriculture 11, no. 7: 653. https://doi.org/10.3390/agriculture11070653
APA StyleHanula, M., Pogorzelska-Nowicka, E., Pogorzelski, G., Szpicer, A., Wojtasik-Kalinowska, I., Wierzbicka, A., & Półtorak, A. (2021). Active Packaging of Button Mushrooms with Zeolite and Açai Extract as an Innovative Method of Extending Its Shelf Life. Agriculture, 11(7), 653. https://doi.org/10.3390/agriculture11070653

