Exogenous Proline Alleviated Low Temperature Stress in Maize Embryos by Optimizing Seed Germination, Inner Proline Metabolism, Respiratory Metabolism and a Hormone Regulation Mechanism
Abstract
:1. Introduction
2. Materials and Methods
2.1. Experimental Varieties
2.2. Experimental Design
2.2.1. Proline Concentration Screening Experiment
2.2.2. Germination Experiment of Seeds Soaked with Proline under Low Temperature Treatment
2.3. Measurement and Methods
2.3.1. Determination of Germination Potential, Germination Rate, Germination Index and Vigor Index
2.3.2. Determination of Coleoptile Length, Radicle Length and Dry-Fresh Weight of Young Buds
2.3.3. Determination of α-Amylase Activity
2.3.4. Determination of Proline Content
2.3.5. Determination of Enzymes Activities of P5CS, OAT and ProDH
2.3.6. Determination of Vt, ρValt, and ρVcyt
2.3.7. Determination of Enzymes Activities of COX and AOX
2.3.8. Determination of Enzymes Activities of HXK, PFK and PK
2.3.9. Determination of Enzymes Activities of IDH, SDH and MDH
2.3.10. Determination of Enzymes Activities of G-6-PDH and 6-P-GDH
2.3.11. Determination of ATP Content
2.3.12. Determination of Contents of ABA, IAA, GA and ZR
2.4. Data Analysis
3. Results
3.1. Germination Potential, Germination Rate, Germination Index and Vitality Index
3.2. Length of Coleoptile and Radicle, Weight of Young Buds and α-Amylase Activity
3.3. Proline Contents and Activities of P5CS, OAT and ProDH
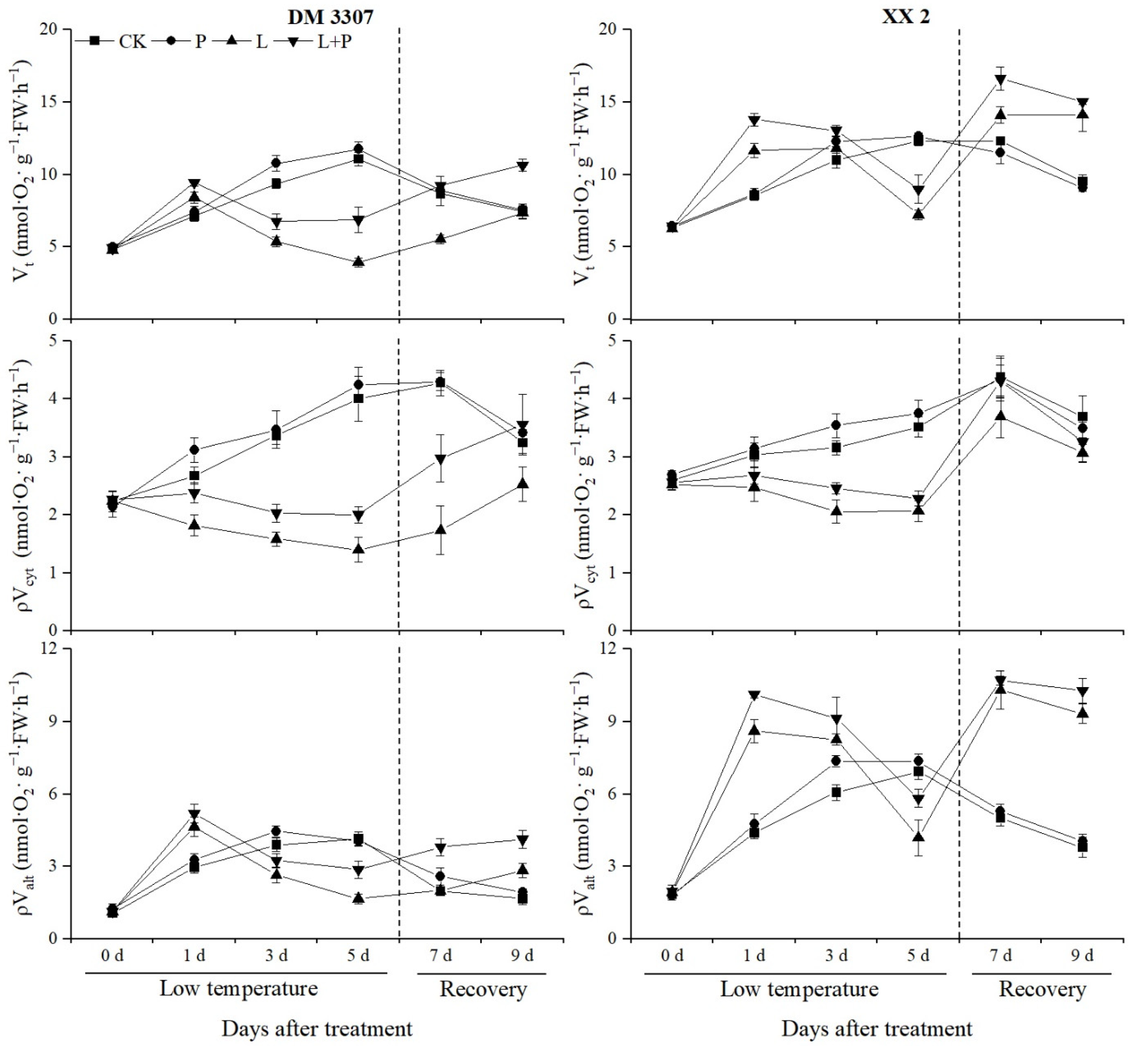
3.4. Vt, ρValt and ρVcyt
3.5. Activities of COX and AOX
3.6. Activities of PFK, HXK and PK
3.7. Activities of IDH, SDH and MDH
3.8. Activities of G-6-PDH and 6-P-GDH
3.9. ATP Contents
3.10. Contents of ABA, IAA, GA, ZR and GA/ABA Ratio
4. Discussion
5. Conclusions
Author Contributions
Funding
Institutional Review Board Statement
Informed Consent Statement
Data Availability Statement
Conflicts of Interest
References
- Calicioglu, O.; Flammini, A.; Bracco, S.; Lorenzo Bellù, L.; Sims, R. The future challenges of food and agriculture: An integrated analysis of trends and solutions. Sustainability 2019, 11, 222. [Google Scholar] [CrossRef] [Green Version]
- Gao, L.W. Characteristics and Reduction Potential of Losses and Waste of Major Grains of the Food Supply in China. Ph.D. Thesis, Chinese Academy of Agricultural Sciences, Beijing, China, 2018. [Google Scholar]
- Ahuja, I.; De Vos, R.C.H.; Bones, A.M.; Hall, R.D. Plant molecular stress responses face climate change. Trends Plant Sci. 2010, 15, 664–674. [Google Scholar] [CrossRef]
- Pereira, A. Plant abiotic stress challenges from the changing environment. Front. Plant Sci. 2016, 7, 1123. [Google Scholar] [CrossRef] [Green Version]
- IPCC. Climate Change 2014: Synthesis Report; IPCC: Geneva, Switzerland, 2014. [Google Scholar]
- Allen, D.J.; Ort, D.R. Impacts of chilling temperatures on photosynthesis in warm-climate plants. Trends Plant Sci. 2001, 6, 36–42. [Google Scholar] [CrossRef]
- Shannon, H.D.; Motha, R.P. Managing weather and climate risks to agriculture in North America, Central America and the Caribbean. Weather. Clim. Extrem. 2015, 10, 50–56. [Google Scholar] [CrossRef] [Green Version]
- Vogel, E.; Donat, M.G.; Alexander, L.V.; Meinshausen, M.; Frieler, K. The effects of climate extremes on global agricultural yields. Environ. Res. Lett. 2019, 14, 054010. [Google Scholar] [CrossRef]
- Lobell, D.B.; Gourdji, S.M. The influence of climate change on global crop productivity. Plant Physiol. 2012, 160, 1686–1697. [Google Scholar] [CrossRef] [Green Version]
- Grzybowski, M.; Adamczyk, J.; Jończyk, M.; Sobkowiak, A.; Szczepanik, J.; Frankiewicz, K.; Fronk, J.; Sowiński, P. Increased photosensitivity at early growth as a possible mechanism of maize adaptation to cold springs. J. Exp. Bot. 2019, 70, 2887–2904. [Google Scholar] [CrossRef] [Green Version]
- Turk, H.; Erdal, S.; Dumlupinar, R. Carnitine-induced physio-biochemical and molecular alterations in maize seedlings in response to cold stress. Arch. Agron. Soil Sci. 2019, 66, 925–941. [Google Scholar] [CrossRef]
- Li, M.; Sui, N.; Lin, L.; Yang, Z.; Zhang, Y.H. Transcriptomic profiling revealed genes involved in response to cold stress in maize. Funct. Plant Biol. 2019, 46, 830–844. [Google Scholar] [CrossRef]
- Miedema, P. The effects of low temperature on Zea mays. Adv. Agron. 1982, 35, 93–128. [Google Scholar] [CrossRef]
- Trzcinska-Danielewicz, J.; Bilska, A.; Fronk, J.; Zielenkiewicz, P.; Jarochowska, E.; Roszczyk, M.; Jonczyk, M.; Axentowicz, E.; Skoneczny, M.; Sowinski, P. Global analysis of gene expression in maize leaves treated with low temperature. I. Moderate chilling (14 °C). Plant Sci. 2009, 177, 648–658. [Google Scholar] [CrossRef]
- Jończyk, M.; Sobkowiak, A.; Trzcinska-Danielewicz, J.; Skoneczny, M.; Solecka, D.; Fronk, J.; Sowinski, P. Global analysis of gene expression in maize leaves treated with low temperature. II.combined effect of severe cold (8 A degrees C) and circadian rhythm. Plant Mol. Biol. 2017, 95, 279–302. [Google Scholar] [CrossRef] [Green Version]
- Rodríguez, V.M.; Romay, M.C.; Ordás, A.; Revilla, P. Evaluation of European maize (Zea mays L.) germplasm under cold conditions. Genet. Resour. Crop Evol. 2010, 57, 329–335. [Google Scholar] [CrossRef] [Green Version]
- Tian, B.X.; Yu, M.; Li, H.R.; Yin, S.P.; Li, Y.G.; Ji, Y.H. The Lowest Temperature Index in Spring and Its Effects on Crop Yield in Heilongjiang. Chin. Agric. Sci. Bull. 2018, 34, 97–103. [Google Scholar]
- Wang, C.Y. Study on Low Temperature Chilling Injury of Crops in Northeast China; China Meteorological Press: Beijing, China, 2008. [Google Scholar]
- Shi, Z.Z.; Ben, X.M.; Zhang, J.T.; Tanik, C.; Song, G.Y. The emerging pattern and preventive measure of maize cold damage in the Sanjiang River Plain. Heilong Jiang Agricutural Sci. 2003, 2, 7–10. [Google Scholar]
- Yang, R.Z.; Zhou, G.S. A Comprehensive risk assessment of the main maize agrometeorological disasters in three provinces of northeast China. Acta Meteorol. Sin. 2015, 73, 1141–1153. [Google Scholar] [CrossRef]
- Waqas, M.A.; Wang, X.K.; Zafar, S.A.; Noor, M.A.; Hussain, H.A.; Nawaz, M.A.; Farooq, M. Thermal stresses in maize: Effects and management strategies. Plants 2021, 10, 293. [Google Scholar] [CrossRef]
- Zhang, Q.; Liu, Y.X.; Yu, Q.Q.; Ma, Y.; Gu, W.R.; Yang, D.G. Physiological changes associated with enhanced cold resistance during maize (Zea mays) germination and seedling growth in response to exogenous calcium. Crop. Pasture Sci. 2020, 71, 529–538. [Google Scholar] [CrossRef]
- Kishor, P.B.K.; Sangam, S.; Amrutha, R.N.; Laxmi, P.S.; Naidu, K.R.; Rao, K.R.S.S.; Rao, S.; Reddy, K.J.; Theriappan, P.; Sreenivasulu, N. Regulation of proline biosynthesis, degradation, uptake and transport in higher plants: Its implications in plant growth and abiotic stress tolerance. Curr. Sci. 2005, 88, 424–438. Available online: https://www.jstor.org/stable/24110209 (accessed on 7 April 2022).
- Sun, C.H.; Li, X.H.; Hu, Y.L.; Zhao, P.Y.; Gao, X.L. Proline, sugars, and antioxidant enzymes respond to drought stress in the leaves of strawberry plants. Korean J. Hortic. Sci. Technol. 2015, 33, 625–632. [Google Scholar] [CrossRef] [Green Version]
- Venekamp, J.H.; Koot, J. The distribution of free amino acids, especially of proline, in the organs of field bean plants, Vicia faba L. during development in the field. J. Plant Physiol. 1984, 116, 343–349. [Google Scholar] [CrossRef]
- Ku, H.M.; Tan, C.W.; Su, Y.S.; Chiu, C.Y.; Chen, C.T.; Jan, F.J. The effect of water deficit and excess copper on proline metabolism in Nicotiana benthamiana. Biol. Plant. 2012, 56, 337–343. [Google Scholar] [CrossRef]
- Armengaud, P.; Thiery, L.; Buhot, N.; Grenier-de March, G.; Savoure, A. Transcriptional regulation of proline biosynthesis in Medicago truncatula reveals developmental and environmental specific features. Physiol. Plant. 2010, 120, 442–450. [Google Scholar] [CrossRef]
- Hare, P.D.; Cress, W.A.; Van Staden, J.V. A regulatory role for proline metabolism in stimulating Arabidopsis thaliana seed germination. Plant Growth Regul. 2003, 39, 41–50. [Google Scholar] [CrossRef]
- May, G.P.; Maldon, M.D. Instance of spontaneous perforation of the stomach. Lancet 1840, 34, 41–43. [Google Scholar] [CrossRef] [Green Version]
- Mattioli, R.; Falasca, G.; Sabatini, S.; Maddalena Altamura, M.; Maurizio Trovato, M. The proline biosynthetic genes P5CS1 and P5CS2 play overlapping roles in Arabidopsis flower transition but not in embryo development. Physiol. Plant. 2010, 137, 72–85. [Google Scholar] [CrossRef]
- Gavazzi, G.; Nava-Racchi, M.; Tonelli, C. A mutation causing proline requirement in Zea mays. Theor. Appl. Genet. 1975, 46, 339–345. [Google Scholar] [CrossRef]
- Wang, G.; Zhang, J.S.; Wang, G.F.; Fan, X.Y.; Sun, X.; Qin, H.L.; Xu, N.; Zhong, M.Y.; Qiao, Z.Y.; Tang, Y.P.; et al. Proline responding1 plays a critical role in regulating general protein synthesis and the cell cycle in maize. Plant Cell 2014, 26, 2582–2600. [Google Scholar] [CrossRef] [Green Version]
- Heikal, M.D.; Shaddad M, A. Alleviation of osmotic stress on seed germination and seedling growth of cotton, pea and wheat by proline. Phyton 1982, 22, 275–287. [Google Scholar]
- Karalija, E.; Selovic, A.; Dahija, S.; Demir, A.; Samardzic, J.; Vrobel, O.; Zeljkovic, S.C.; Paric, A. Use of seed priming to improve Cd accumulation and tolerance in Silene sendtneri, novel Cd hyper-accumulator. Ecotoxicol. Environ. Saf. 2021, 210, 111882. [Google Scholar] [CrossRef]
- Buchanan, B.B.; Balmer, Y. Redox regulation: A broadening horizon. Annu. Rev. Plant Biol. 2005, 56, 187–220. [Google Scholar] [CrossRef]
- Graham, D.; Patterson, B.D. Responses of plants to low, nonfreezing temperatures: Proteins, metabolism, and acclimation. Annu. Rev. Plant Biol. 1982, 33, 347–372. [Google Scholar] [CrossRef]
- Mizuno, N.; Sugie, A.; Kobayashi, F.; Takumi, S. Mitochondrial alternative pathway is associated with development of freezing tolerance in common wheat. J. Plant Physiol. 2008, 165, 462–467. [Google Scholar] [CrossRef] [Green Version]
- Covey-Cump, E.M.; Attwood, R.G.; Atkin, O.K. Regulation of root respiration in two species of Plantago that differ in relative growth rate: The effect of short-and long-term changes in temperature. Plant Cell Environ. 2002, 25, 1501–1513. [Google Scholar] [CrossRef]
- Matos, A.R.; Hourton-Cabassa, C.; Cicek, D.; Reze, N.; Arrabaca, J.D.; Zachowski, A.; Moreau, F. Alternative oxidase involvement in cold stress response of Arabidopsis thaliana fad2 and FAD3+ cell suspensions altered in membrane lipid composition. Plant Cell Physiol. 2007, 48, 856–865. [Google Scholar] [CrossRef] [Green Version]
- Liu, L.J. Effects of ABA on Sugar Metabolism and Expression of Antifreeze Genes of Winter Wheat. Ph.D. Thesis, Northeast Agricultural University, Harbin, China, June 2013. [Google Scholar]
- Sarkar, D.; Bhowmik, P.C.; Young-In-Kwon; Shetty, K. Cold acclimation responses of three cool-season turfgrasses and the role of proline-associated pentose phosphate pathway. J. Am. Soc. Hortic. Sci. 2009, 134, 210–220. [Google Scholar] [CrossRef] [Green Version]
- Yin, G.K.; Sun, H.M.; Xin, X.; Qin, G.Z.; Liang, Z.; Jing, X.M. Mitochondrial damage in the soybean seed axis during imbibition at chilling temperatures. Plant Cell Physiol. 2009, 50, 1305–1318. [Google Scholar] [CrossRef] [Green Version]
- Wang, Y.L.; Cui, Y.T.; Hu, G.H.; Wang, X.D.; Chen, H.Z.; Shi, Q.H.; Xiang, J.; Zhang, Y.K.; Zhu, D.F.; Zhang, Y.P. Reduced bioactive gibberellin content in rice seeds under low temperature leads to decreased sugar consumption and low seed germination rates. Plant Physiol. Biochem. 2018, 133, 1–10. [Google Scholar] [CrossRef]
- Mahajan, S.; Tuteja, N. Cold, salinity and drought stresses: An overview. Arch. Biochem. Biophys. 2005, 444, 139–158. [Google Scholar] [CrossRef]
- Janowiak, F.; Maas, B.; Dörffling, K. Importance of abscisic acid for chilling tolerance of maize seedlings. J. Plant Physiol. 2002, 159, 635–643. [Google Scholar] [CrossRef]
- Huang, X.B.; Shi, H.Y.; Hu, Z.R.; Liu, A.; Amombo, E.; Chen, L.; Fu, J.M. ABA is involved in regulation of cold stress response in bermudagrass. Front. Plant Sci. 2017, 8, 1613. [Google Scholar] [CrossRef] [PubMed] [Green Version]
- Magome, H.; Yamaguchi, S.; Hanada, A.; Kamiya, Y.; Oda, K. Dwarf and delayed-flowering 1, a novel Arabidopsis mutant deficient in gibberellin biosynthesis because of overexpression of a putative AP2 transcription factor. Plant J. 2004, 37, 720–729. [Google Scholar] [CrossRef] [PubMed]
- Zeng, Y.H.; Zhang, Y.P.; Xiang, J.; Wu, H.; Chen, H.Z.; Zhang, Y.K.; Zhu, D.F. Effects of chilling tolerance induced by spermidine pretreatment on antioxidative activity, endogenous hormones and ultrastructure of indica-japonica hybrid rice seedlings. J. Integr. Agric. 2016, 15, 295–308. [Google Scholar] [CrossRef] [Green Version]
- Ding, Y.; Sheng, J.P.; Li, S.Y.; Nie, Y.; Zhao, J.H.; Zhu, Z.; Wang, Z.D.; Tang, X.M. The role of gibberellins in the mitigation of chilling injury in cherry tomato (Solanum lycopersicum L.) fruit. Postharvest Biol. Technol. 2015, 101, 88–95. [Google Scholar] [CrossRef]
- Dalla, G.C.; Scordo, E.; Allera, C.; Farina, E. Effects of low temperatures and gibberellic acid on flowering of Limonium gmelinii. Acta Hortic. 2000, 541, 323–326. [Google Scholar] [CrossRef]
- Jiao, C.; Duan, Y. The role of glycogen synthase kinase-3 in gibberellic acid-induced chilling tolerance and defense response in postharvest peach fruit. Food Bioprocess Technol. 2019, 12, 1733–1740. [Google Scholar] [CrossRef]
- Xia, J.; Shi, X.J.; Hao, X.Z.; Li, N.N.; Tian, Y.; Li, J.H.; Luo, H.H. Effects of low temperature on enzyme activity and hormone content in germination of different genotypes of cotton seeds. Plant Physiol. J. 2019, 55, 1291–1305. [Google Scholar] [CrossRef]
- Zeng, G.H.; Ma, Q.P.; Wang, W.D.; Zhou, L.; Yin, Y.; Li, X.H. Effect of Natural Low-temperature on Endogenous Hormones of Camellia sinensis (L.) Kuntze Plant. J. Tea Sci. 2016, 36, 85–91. [Google Scholar] [CrossRef]
- Yu, X.F.; Qiu, X.L.; Zhang, S.H.; Zhang, Y.F.; Zeng, M.; Zeng, L.Q.; Yang, S.M. Effects of low temperature and nitrogen coupling on endogenous hormone content of rice. J. Northwet AF Univ. 2020, 48, 73–80. [Google Scholar] [CrossRef]
- Yao, J.F.; An, J.P.; You, C.X.; Wang, X.F.; Hao, Y.J. Molecular Cloning and Tolerance Identification of Apple Cytokinin Oxidase Gene MdCKX7. 2. Acta Hortic. Sin. 2019, 46, 409–420. [Google Scholar] [CrossRef]
- Veselova, S.V.; Farhutdinov, R.G.; Veselov, S.Y.; Kudoyarova, G.R.; Veselov, D.S.; Hartung, W. The effect of root cooling on hormone content, leaf conductance and root hydraulic conductivity of durum wheat seedlings (Triticum durum L.). J. Plant Physiol. 2005, 162, 21–26. [Google Scholar] [CrossRef] [PubMed]
- Zhang, X.; Zhang, P.; Chen, L.J.; Tao, H.B.; Wang, P. Effect of Grain Filling and Endogenous Hormones Changes on Maize Grains in Vitro Culture under Low Temperature Stress during Grain Filling Stage. J. Maize Sci. 2017, 25, 49–54. [Google Scholar] [CrossRef]
- Lehmann, S.; Funck, D.; Szabados, L.; Rentsch, D. Proline metabolism and transport in plant development. Amino Acids 2010, 39, 949–962. [Google Scholar] [CrossRef] [Green Version]
- Liu, L.J.; Huang, L.; Lin, X.Y.; Sun, C.L. Hydrogen peroxide alleviates salinity-induced damage through enhancing proline accumulation in wheat seedlings. Plant Cell Rep. 2020, 39, 567–575. [Google Scholar] [CrossRef] [PubMed]
- Sánchez, E.; Garcia, P.C.; López-Lefebre, L.R.; Rivero, R.M.; Ruiz, J.M.; Romero, L. Proline metabolism in response to nitrogen deficiency in French bean plants (Phaseolus vulgaris L. cv Strike). Plant Growth Regul. 2002, 36, 261–265. [Google Scholar] [CrossRef]
- Wei, M.; Zhuang, Y.; Li, H.; Li, P.H.; Huo, H.Q.; Shu, D.; Huang, W.Z.; Wang, S.H. The cloning and characterization of hypersensitive to salt stress mutant, affected in quinolinate synthase, highlights the involvement of NAD in stress-induced accumulation of ABA and proline. Plant J. 2020, 102, 85–98. [Google Scholar] [CrossRef]
- Hamilton, E.W.; Heckathorn, S.A. Mitochondrial adaptations to NaCl. complex I is protected by anti-oxidants and small heat shock proteins, whereas complex II is protected by proline and betaine. Plant Physiol. 2001, 126, 1266–1274. [Google Scholar] [CrossRef] [Green Version]
- Banu, N.A.; Hoque, A.; Watanabe-Sugimoto, M.; Matsuoka, K.; Nakamura, Y.; Shimoishi, Y.; Murata, Y. Proline and glycinebetaine induce antioxidant defense gene expression and suppress cell death in cultured tobacco cells under salt stress. J. Plant Physiol. 2009, 166, 146–156. [Google Scholar] [CrossRef]
- Naliwajski, M.; Skodowska, M. The relationship between the antioxidant system and proline metabolism in the leaves of cucumber plants acclimated to salt stress. Cells 2021, 10, 609. [Google Scholar] [CrossRef]
- Franco, A.C.; Ball, E.; Luttge, U. The influence of nitrogen, light and water stress on CO2 exchange and organic acid accumulation in the tropical C3-CAM tree, Clusia minor. J. Exp. Bot. 1991, 42, 597–603. [Google Scholar] [CrossRef]
- Wattanakulpakin, P.; Photchanachai, S.; Miyagawa, S.; Ratanakhanokchai, K. Loss of maize seed vigor as affected by biochemical changes during hydropriming. Crop Sci. 2012, 52, 2783. [Google Scholar] [CrossRef]
- Bates, L.S.; Waldren, R.P.; Teare, I.D. Rapid determination of free proline for water-stress studies. Plant Soil 1973, 39, 205–207. [Google Scholar] [CrossRef]
- Garcia-Rios, M.; Fujita, T.; Larosa, P.C.; Locy, R.D.; Clithero, J.M.; Csonka, B.L.N. Cloning of a polycistronic cDNA from tomato encoding γ-glutamyl kinase and γ-glutamyl phosphate reductase. Proc. Natl. Acad. Sci. USA 1997, 94, 8249–8254. [Google Scholar] [CrossRef] [PubMed] [Green Version]
- Vogel, R.H.; Kopac, M.J. Some properties of ornithine δ-transaminase from Neurospora. Biochim. Biophys. Acta 1960, 37, 539–540. [Google Scholar] [CrossRef]
- Yang, S.L.; Lan, S.S.; Gong, M. Hydrogen peroxide-induced proline and metabolic pathway of its accumulation in maize seedlings. J. Plant Physiol. 2009, 166, 1694–1699. [Google Scholar] [CrossRef]
- Deng, Y.; Kohlwein, S.D.; Mannella, C.A. Fasting induces cyanide-resistant respiration and oxidative stress in the amoeba Chaos carolinensis: Implications for the cubic structural transition in mitochondrial membranes. Protoplasma 2002, 219, 160–167. [Google Scholar] [CrossRef]
- Stamp, P. Activities of phosphofructokinase and cytochrome-c-oxidase in leaves of maize seedlings (Zea mays L.) in relation to genotype and to temperature changes. Z. Für Pflanzenphysiol. 1981, 103, 131–137. [Google Scholar] [CrossRef]
- Umbach, A.L.; Siedow, J.N. Covalent and noncovalent dimers of the cyanide-resistant alternative oxidase protein in higher plant mitochondria and their relationship to enzyme activity. Plant Physiol. 1993, 103, 845–854. [Google Scholar] [CrossRef]
- Braithwaite, S.S.; Palazuk, B.; Colca, J.R.; Edwards, C.W., 3rd; Hofmann, C. Reduced expression of hexokinase II in insulin-resistant diabetes. Diabetes 1995, 44, 43–51. [Google Scholar] [CrossRef]
- Gajewska, E.; Niewiadomska, E.; Tokarz, K.; Słaba, M.; Skłodowska, M. Nickel-induced changes in carbon metabolism in wheat shoots. J. Plant Physiol. 2013, 170, 369–377. [Google Scholar] [CrossRef] [PubMed]
- Yuan, J.C.; Song, J.H.; Weng, Q.Y.; Ma, H.L.; Wang, L.Y.; Liu, Y.H. Cloning and Character Analysis of NADP+-Dependent Isocitrate Dehydrogenase Gene in Maize. Plant Physiol. J. 2015, 51, 481–487. [Google Scholar] [CrossRef]
- Kumar, R.G.; Shah, K.; Dubey, R.S. Salinity induced behavioural changes in malate dehydrogenase and glutamate dehydrogenase activities in rice seedlings of differing salt tolerance. Plant Sci. 2000, 156, 23–34. [Google Scholar] [CrossRef]
- Cooper, T.G.; Beevers, H. Mitochondria and glyoxysomes from castor bean endosperm enzyme constitutents and catalytic capacity. J. Biol. Chem. 1969, 244, 3507–3513. [Google Scholar] [CrossRef]
- Pu, X.C.; Han, J.G.; Li, M.; Du, G.P.; Ni, X.Q. Studies on Respiratory Pathways of Zoysiagrass Seed When Breaking Dormancy. Acta Prataculturae Sin. 1996, 5, 57–61. [Google Scholar]
- Wan, Z.H.; Ren, B.Z.; Zhao, B.; Liu, P.; Dong, S.T.; Zhang, J.W. Grain filling, dehydration characteristics and changes of endogenous hormones of summer maize hybrids differing in maturities. Acta Agron. Sinica 2019, 45, 1446–1453. [Google Scholar] [CrossRef]
- Posmyk, M.M.; Janas, K.M. Effects of seed hydropriming in presence of exogenous proline on chilling injury limitation in Vigna radiata L. seedlings. Acta Physiol. Plant. 2007, 29, 509–517. [Google Scholar] [CrossRef]
- Khajeh-Hossein, M.; Powell, A.A.; Bingham, I.J. The interaction between salinity stress and seed vigour during germination of soyabean seeds. Seed Sci. Technol. 2003, 31, 715–725. [Google Scholar] [CrossRef]
- Perruc, E.; Kinoshita, N.; Lopez-Molina, L. The role of chromatin-remodeling factor PKL in balancing osmotic stress responses during Arabidopsis seed germination. Plant J. 2010, 52, 927–936. [Google Scholar] [CrossRef]
- Rajjou, L.; Duva, L.M.; Gallardo, K.; Catusse, J.; Job, D. Seed germination and vigor. Annu. Rev. Plant Biol. 2012, 63, 507–533. [Google Scholar] [CrossRef] [Green Version]
- Dodd, G.L.; Donovan, L.A. Water potential and ionic effects on germination and seedling growth of two cold desert shrubs. Am. J. Bot. 1999, 86, 1146–1153. [Google Scholar] [CrossRef] [PubMed]
- Chang, B.W.; Zhong, P.; Liu, J.; Tang, Z.H.; Gao, Y.B.; Yu, H.J.; Guo, W. Effect of low-temperature stress and gibberellin on seed germination and seedling physiological responses in peanut. Acta Agron. Sin. 2019, 45, 118–130. [Google Scholar] [CrossRef]
- Zheng, Y.Y.; Cao, D.D.; Zhang, S.; Guan, Y.J.; Hu, J. Effect of Polyamines on Chilling Tolerance in Seed Imbibition and Seed Germination in Maize. Acta Agron. Sin. 2008, 2, 261–267. [Google Scholar] [CrossRef]
- Nawaz, K.; Talat, A.; Iqra, K.H.; Majeed, A. Induction of salt tolerance in two cultivars of sorghum (Sorghum bicolor L.) by exogenous application of proline at seedling stage. World Appl. Sci. J. 2013, 10, 93–99. [Google Scholar]
- Yaqoob, H.; Akram, N.A.; Iftikhar, S.; Ashraf, M.; Khalid, N.; Sadiq, M.; Alyemeni, M.N.; Wijaya, L.; Ahmad, P. Seed pretreatment and foliar application of proline regulate morphological, physio-biochemical processes and activity of antioxidant enzymes in plants of two cultivars of quinoa (Chenopodium quinoa Willd). Plants 2019, 8, 588. [Google Scholar] [CrossRef] [PubMed] [Green Version]
- Rady, M.M.; Kuşvuran, A.; Alharby, H.F.; Alzahrani, Y.; Kuşvuran, S. Pretreatment with proline or an organic bio-stimulant induces salt tolerance in wheat plants by improving antioxidant redox state and enzymatic activities and reducing the oxidative stress. J. Plant Growth Regul. 2019, 38, 449–462. [Google Scholar] [CrossRef]
- Krasensky, J.; Jonak, C. Drought, salt, and temperature stress-induced metabolic rearrangements and regulatory networks. J. Exp. Bot. 2012, 63, 1593–1608. [Google Scholar] [CrossRef] [Green Version]
- Kubala, S.; Wojtyla, L.; Quinet, M.; Lechowska, K.; Lutts, S.; Garnczarska, M. Enhanced expression of the proline synthesis gene P5CSA in relation to seed osmopriming improvement of Brassica napus germination under salinity stress. J. Plant Physiol. 2015, 183, 1–12. [Google Scholar] [CrossRef] [Green Version]
- Zhang, C.; Lu, Q.; Verma, D.P.S. Removal of feedback inhibition of Δ1-pyrroline-5-carboxylate synthetase, a bifunctional enzyme catalyzing the first two steps of proline biosynthesis in plants. J. Biol. Chem. 1995, 270, 20491–20496. [Google Scholar] [CrossRef] [Green Version]
- Egert, A.; Keller, F.; Peters, S. Abiotic stress-induced accumulation of raffinose in Arabidopsis leaves is mediated by a single raffinose synthase (RS5, At5 g40390). BMC Plant Biol. 2013, 13, 218. [Google Scholar] [CrossRef] [Green Version]
- Li, L.J.; Gu, W.R.; Li, J.; Li, C.F.; Xie, T.L.; Qu, D.Y.; Meng, Y.; Li, C.F.; Wei, S. Exogenously applied spermidine alleviates photosynthetic inhibition under drought stress in maize (Zea mays L.) seedlings associated with changes in endogenous polyamines and phytohormones. Plant Physiol. Biochem. 2018, 129, 35–55. [Google Scholar] [CrossRef] [PubMed]
- Wang, Y.; Wang, G.J.; Zheng, Y.T.; Zheng, Y.Y.; Xu, S.C. Polyamines are involved in chilling tolerance in tobacco (Nicotiana tabacum) seedlings. Plant Growth Regul. 2019, 89, 153–166. [Google Scholar] [CrossRef]
- Choudhary, N.L.; Sairam, R.K.; Tyagi, A. Expression of Δ1-pyrroline-5-carboxylate synthetase gene during drought in rice (Oryza sativa L.). Indian J. Biochem. Biophys. 2005, 42, 366–370. [Google Scholar]
- Kishor, P.B.K.; Hong, Z.; Miao, G.H.; Hu, C.A.A.; Verma, D.P.S. Overexpression of Δ1-pyrroline-5-carboxylate synthetase increases proline production and confers osmotolerance in transgenic plants. Plant Physiol. 1995, 108, 1387–1394. [Google Scholar] [CrossRef] [PubMed] [Green Version]
- Liu, S.R.; Guo, S.R.; Sun, J.; Cheng, Y.J.; Liu, C.J.; Wang, L.P. Effects of Proline on Reactive Oxygen Metabolism and Content of Osmotic Adjustment Substances of Cucumber under High Temperature Stress. Acta Agric. Boreali-Occident. Sin. 2010, 19, 127–131. [Google Scholar]
- Plaxton, W.C.; Podestá, F.E. The functional organization and control of plant respiration. Crit. Rev. Plant Sci. 2006, 25, 159–198. [Google Scholar] [CrossRef]
- Dahal, K.; Vanlerberghe, G.C. Alternative oxidase respiration maintains both mitochondrial and chloroplast function during drought. New Phytol. 2016, 213, 560–571. [Google Scholar] [CrossRef]
- Thomas, Y.; Araújo, W.L.; Allen, A.E.; Fernie, A.R.; Bowler, C. Downregulation of mitochondrial alternative oxidase affects chloroplast function, redox status and stress response in a marine diatom. New Phytol. 2018, 221, 1303–1316. [Google Scholar] [CrossRef] [Green Version]
- Yan, Y.C. The Effects of Different Temperature Stresses and Salicylic Acid Treatment on Cyanide-Resistant Respiration and the Molecular Biology Studies on Expression of Alternative Oxidase Gene in Tobacco Callus. Master’s Thesis, Sichuan University, Chengdu, China, April 2002. [Google Scholar]
- Lam, E.; Kato, N.; Lawton, M. Programmed cell death, mitochondria and the plant hypersensitive response. Nature 2001, 411, 848–853. [Google Scholar] [CrossRef]
- Wang, H.; Huang, J.; Liang, X.; Bi, Y.L. Involvement of hydrogen peroxide, calcium, and ethylene in the induction of the alternative pathway in chilling-stressed Arabidopsis callus. Planta 2012, 235, 53–67. [Google Scholar] [CrossRef]
- Hao, J.; Li, X.; Xu, G.; Yang, H. Exogenous progesterone treatment alleviates chilling injury in postharvest banana fruit associated with induction of alternative oxidase and antioxidant defense. Food Chem. 2019, 286, 329–337. [Google Scholar] [CrossRef] [PubMed]
- Rumiantsev, A.M.; Padkina, M.V.; Sambuk, E.V. Effect of nitrogen source on gene expression of first steps of methanol utilization pathway in Pichia pastoris. Russ. J. Genet. 2013, 49, 394–400. [Google Scholar] [CrossRef]
- Millar, A.H.; Whelan, J.; Soole, K.L.; Day, D.A. Organization and regulation of mitochondrial respiration in plant. Annu. Rev. Plant Biol. 2011, 62, 79–104. [Google Scholar] [CrossRef]
- Dong, W.K.; Ma, X.; Zhang, Y.J.; Guo, R.; Zhang, Z.H.; Zhang, Y.; Ma, H.L. Effects of low-temperature stress on glycolysis metabolism and related gene expression of different Poa pratensis varieties. Acta Agrestia Sin. 2019, 27, 1503–1510. [Google Scholar] [CrossRef]
- Weitbrecht, K.; Muller, K.; Leubner-Metzger, G. First off the mark: Early seed germination. J. Exp. Bot. 2011, 62, 3289–3309. [Google Scholar] [CrossRef] [Green Version]
- He, Y.; Chen, L.; Zhou, Y.; Thomas, P.; Mawhinney, B. Functional characterization of Arabidopsis thaliana isopropylmalate dehydrogenases reveals their important roles in gametophyte development. New Phytol. 2010, 189, 160–175. [Google Scholar] [CrossRef]
- Venkat, S.; Gregory, C.; Sturges, J.; Gan, Q.; Fan, C. Studying the lysine acetylation of malate dehydrogenase. J. Mol. Biol. 2017, 429, 1396–1405. [Google Scholar] [CrossRef]
- Ying, J.; Lee, E.A.; Tollenaar, M. Response of maize leaf photosynthesis to low temperature during the grain-filling period. Field Crop. Res. 2000, 68, 87–96. [Google Scholar] [CrossRef]
- Sun, H.; Lin, L.; Xu, W.; Wu, S.; Wang, X. Ascorbate-glutathione cycle of mitochondria in osmoprimed soybean cotyledons in response to imbibitional chilling injury. J. Plant Physiol. 2011, 168, 226–232. [Google Scholar] [CrossRef]
- Bunik, V.I.; Fernie, A.R. Metabolic control exerted by the 2-oxoglutarate dehydrogenase reaction: A cross-kingdom comparison of the crossroad between energy production and nitrogen assimilation. Biochem. J. 2009, 422, 405–421. [Google Scholar] [CrossRef] [Green Version]
- Berley, J.D.; Black, M. Physiology and Biochemistry of Seeds; Spring: Berlin/Heidelberg, Germany, 1988. [Google Scholar]
- Verslues, P.E.; Sharma, S. Proline metabolism and its implications for plant-environment interaction. Arab. Book 2010, 8, e0140. [Google Scholar] [CrossRef] [PubMed] [Green Version]
- Khan, A.A. Primary, preventive and permissive roles of hormones in plant systems. Bot. Rev. 1975, 41, 391–420. [Google Scholar] [CrossRef]
- Liu, Y.X.; Shi, K.M.; Lin, J.; Cui, L.J. Response of endogenous hormone to temperatures changes during the seed germination of Phoebe zhennan. J. Cent. South Univ. For. Technol. 2020, 40, 89–95. [Google Scholar] [CrossRef]
- Peleg, Z.; Blumwald, E. Hormone balance and abiotic stress tolerance in crop plants. Curr. Opin. Plant Biol. 2011, 14, 290–295. [Google Scholar] [CrossRef]
- Roychoudhury, A.; Basu, S.; Sengupta, D.N. Effects of exogenous abscisic acid on some physiological responses in a popular aromatic indica rice compared with those from two traditional non-aromatic indica rice cultivars. Acta Physiol. Plant. 2009, 31, 915–926. [Google Scholar] [CrossRef]
- Sharma, S.; Verslues, P.E. Mechanisms independent of abscisic acid (ABA) or proline feedback have a predominant role in transcriptional regulation of proline metabolism during low water potential and stress recovery. Plant Cell Environ. 2010, 33, 1838–1851. [Google Scholar] [CrossRef]
- Cadman, C.S.C.; Toorop, P.E.; Hilhorst, H.W.M.; Finch-Savage, W.E. Gene expression profiles of Arabidopsis Cvi seeds during dormancy cycling indicate a common underlying dormancy control mechanism. Plant J. 2010, 46, 805–822. [Google Scholar] [CrossRef]









| Variety | Treatment | Germination Potential (%) | Relative Germination Potential | Germination Rate (%) | Relative Germination Rate | Germination Index | Relative Germination Index | Vitality Index | Relative Vitality Index |
|---|---|---|---|---|---|---|---|---|---|
| XX 2 | CK | 89.5 ± 2.18 b | 1.00 ± 0.00 a | 98.0 ± 0.55 ab | 1.00 ± 0.00 a | 20.51 ± 0.71 b | 1.00 ± 0.00 b | 19.1 ± 1.18 b | 1.00 ± 0.00 b |
| P1 | 89.6 ± 0.78 b | 1.00 ± 0.03 a | 97.9 ± 0.67 b | 1.00 ± 0.01 a | 20.38 ± 1.15 b | 1.00 ± 0.09 bc | 19.0 ± 3.24 b | 0.99 ± 0.12 bc | |
| P2 | 91.7 ± 1.93 ab | 1.03 ± 0.05 a | 97.8 ± 0.76 b | 1.00 ± 0.01 a | 21.65 ± 0.52 a | 1.06 ± 0.02 ab | 20.8 ± 0.69 b | 1.09 ± 0.08 b | |
| P3 | 94.1 ± 0.81 a | 1.05 ± 0.003 a | 99.5 ± 0.87 a | 1.02 ± 0.01 a | 22.38 ± 0.18 a | 1.09 ± 0.04 a | 24.1 ± 0.81 a | 1.27 ± 0.12 a | |
| P4 | 94.5 ± 1.30 a | 1.06 ± 0.04 a | 99.2 ± 0.68 ab | 1.01 ± 0.01 a | 22.62 ± 0.18 a | 1.10 ± 0.05 a | 24.9 ± 1.41 a | 1.30 ± 0.02 a | |
| L | 66.3 ± 2.51 f | 0.74 ± 0.05 d | 79.9 ± 0.76 e | 0.82 ± 0.01 d | 15.12 ± 0.50 e | 0.74 ± 0.04 f | 9.3 ± 0.51 f | 0.49 ± 0.05 f | |
| L + P1 | 70.1 ± 2.50 e | 0.78 ± 0.05 cd | 84.3 ± 1.07 d | 0.86 ± 0.02 c | 17.47 ± 0.43 d | 0.85 ± 0.02 e | 12.6 ± 0.83 e | 0.66 ± 0.08 e | |
| L + P2 | 74.8 ± 2.71 d | 0.84 ± 0.01 bc | 85.4 ± 1.40 d | 0.87 ± 0.01 c | 17.49 ± 0.47 d | 0.85 ± 0.04 e | 13.3 ± 1.10 de | 0.70 ± 0.10 de | |
| L + P3 | 79.6 ± 3.16 c | 0.89 ± 0.06 b | 89.4 ± 0.98 c | 0.91 ± 0.01 b | 18.93 ± 0.41 c | 0.92 ± 0.003 d | 16.0 ± 0.89 d | 0.84 ± 0.09 cd | |
| L + P4 | 76.3 ± 2.04 cd | 0.85 ± 0.00 b | 89.2 ± 0.72 c | 0.91 ± 0.01 b | 18.29 ± 0.59 cd | 0.89 ± 0.004 e | 15.1 ± 1.64 cd | 0.79 ± 0.13 de | |
| DM 3307 | CK | 60.4 ± 1.93 c | 1.00 ± 0.00 c | 92.1 ± 0.82 ab | 1.00 ± 0.00 ab | 16.16 ± 0.33 b | 1.00 ± 0.00 b | 13.1 ± 1.25 b | 1.00 ± 0.00 b |
| P1 | 61.5 ± 1.80 c | 1.02 ± 0.06 c | 91.5 ± 0.95 b | 0.99 ± 0.01 b | 16.18 ± 0.35 b | 1.00 ± 0.04 b | 13.3 ± 1.77 b | 1.03 ± 0.23 b | |
| P2 | 68.4 ± 2.69 b | 1.13 ± 0.08 b | 92.4 ± 0.50 ab | 1.00 ± 0.01 ab | 17.04 ± 1.04 ab | 1.06 ± 0.08 ab | 15.1 ± 0.97 a | 1.16 ± 0.18 ab | |
| P3 | 73.4 ± 4.03 a | 1.21 ± 0.05 ab | 94.0 ± 0.52 a | 1.02 ± 0.01 ab | 17.89 ± 0.69 a | 1.11 ± 0.05 a | 16.6 ± 1.05 a | 1.28 ± 0.20 a | |
| P4 | 74.1 ± 2.21 a | 1.23 ± 0.04 a | 94.5 ± 0.46 a | 1.03 ± 0.01 a | 17.94 ± 0.23 a | 1.11 ± 0.01 a | 16.6 ± 0.89 a | 1.28 ± 0.19 a | |
| L | 34.2 ± 2.21 g | 0.57 ± 0.02 g | 61.6 ± 1.92 e | 0.67 ± 0.02 e | 8.27 ± 0.48 e | 0.51 ± 0.04 e | 4.6 ± 0.77 e | 0.36 ± 0.10 d | |
| L + P1 | 40.9 ± 2.36 f | 0.68 ± 0.03 f | 69.1 ± 1.68 d | 0.75 ± 0.02 f | 10.22 ± 0.27 d | 0.63 ± 0.00 d | 7.1 ± 0.20 d | 0.54 ± 0.04 cd | |
| L + P2 | 46.7 ± 2.90 e | 0.77 ± 0.03 e | 71.7 ± 2.69 d | 0.78 ± 0.02 f | 10.90 ± 0.63 d | 0.67 ± 0.04 d | 7.8 ± 0.28 cd | 0.60 ± 0.05 c | |
| L + P3 | 53.3 ± 2.91 d | 0.88 ± 0.08 d | 77.1 ± 1.64 c | 0.84 ± 0.02 c | 12.46 ± 0.47 c | 0.77 ± 0.04 c | 9.5 ± 0.59 c | 0.72 ± 0.02 c | |
| L + P4 | 50.9 ± 4.05 de | 0.84 ± 0.06 de | 75.6 ± 3.10 c | 0.82 ± 0.04 c | 11.01 ± 0.43 d | 0.68 ± 0.04 d | 8.3 ± 0.49 cd | 0.64 ± 0.03 c | |
| ANOVA | |||||||||
| Variety (V) | 1664.947 ** | 1.667 ns | 852.122 *** | 39.200 *** | 1532.251 *** | 60.750 *** | 397.003 *** | 2.613 ns | |
| Temperature (T) | 1003.252 *** | 481.667 *** | 2508.733 *** | 540.800 *** | 1310.700 *** | 690.083 *** | 637.042 *** | 308.053 *** | |
| Proline concentration (P) | 55.554 *** | 35.567 *** | 57.112 *** | 11.300 *** | 50.149 *** | 25.292 *** | 36.852 *** | 16.247 *** | |
| V × T | 9.136 ** | 41.667 *** | 170.126 *** | 39.200 *** | 70.689 *** | 80.083 *** | 1.955 ns | 5.333 * | |
| V × P | 5.250 ** | 5.167 ** | 3.049 * | 0.700 ns | 0.358 ns | 0.958 ns | 1.940 ns | 0.247 ns | |
| T × P | 3.628 * | 2.167 ** | 30.226 *** | 11.300 *** | 8.366 *** | 1.958 * | 2.972 * | 1.153 ns | |
| V × T × P | 0.403 ns | 1.500 ns | 1.779 ns | 0.700 ns | 0.487 ns | 0.292 ns | 0.192 ns | 0.033 ns | |
| Variety | Treatment | Coleoptile Length (%) | Relative Coleoptile Length | Radicle Length (%) | Relative Radicle Length | Fresh Weight of Young Buds (g) | Relative Dry Weight of Young Buds | Dry Weight of Young Buds (g) | Relative Dry Weight of Young Buds | α-Amylase Activity (mg·g−1·min−1 FW) |
|---|---|---|---|---|---|---|---|---|---|---|
| XX 2 | CK | 5.6 ± 0.1 a | 1.00 ± 0.00 a | 7.5 ± 0.1 b | 1.00 ± 0.00 b | 0.93 ± 0.08 bc | 1.00 ± 0.00 abc | 0.099 ± 0.002 b | 1.000 ± 0.000 b | 1.35 ± 0.02 bc |
| P1 | 5.3 ± 0.1 b | 0.95 ± 0.02 b | 7.6 ± 0.1 ab | 1.01 ± 0.02 ab | 0.93 ± 0.12 bc | 0.99 ± 0.05 abc | 0.103 ± 0.005 ab | 1.037 ± 0.032 ab | 1.31 ± 0.04 c | |
| P2 | 5.4 ± 0.1 b | 0.96 ± 0.03 b | 7.6 ± 0.2 ab | 1.01 ± 0.02 ab | 0.96 ± 0.04 b | 1.030 ± 0.09 ab | 0.107 ± 0.003 a | 1.078 ± 0.030 a | 1.38 ± 0.03 abc | |
| P3 | 5.7 ± 0.1 a | 1.01 ± 0.01 a | 7.8 ± 0.2 a | 1.04 ± 0.02 a | 1.08 ± 0.04 a | 1.16 ± 0.15 a | 0.107 ± 0.003 a | 1.085 ± 0.047 a | 1.45 ± 0.05 a | |
| P4 | 5.7 ± 0.1 a | 1.01 ± 0.01 a | 7.8 ± 0.1 a | 1.03 ± 0.01 a | 1.10 ± 0.05 a | 1.18 ± 0.05 a | 0.107 ± 0.003 a | 1.077 ± 0.014 a | 1.40 ± 0.03 ab | |
| L | 3.0 ± 0.1 e | 0.53 ± 0.01 e | 3.9 ± 0.2 f | 0.52 ± 0.03 f | 0.62 ± 0.04 f | 0.67 ± 0.10 e | 0.063 ± 0.002 e | 0.640 ± 0.016 e | 0.96 ± 0.06 f | |
| L + P1 | 3.3 ± 0.2 d | 0.58 ± 0.03 d | 4.3 ± 0.1 e | 0.58 ± 0.00 r | 0.72 ± 0.03 ef | 0.78 ± 0.10 de | 0.078 ± 0.002 d | 0.791 ± 0.009 d | 0.98 ± 0.05 f | |
| L + P2 | 3.4 ± 0.2 d | 0.61 ± 0.04 d | 4.9 ± 0.1 d | 0.65 ± 0.01 d | 0.76 ± 0.08 de | 0.82 ± 0.16 cde | 0.083 ± 0.004 cd | 0.835 ± 0.028 cd | 1.11 ± 0.08 e | |
| L + P3 | 4.1 ± 0.2 c | 0.72 ± 0.03 c | 5.1 ± 0.2 c | 0.68 ± 0.02 c | 0.85 ± 0.04 bcd | 0.91 ± 0.13 bcd | 0.086 ± 0.004 c | 0.865 ± 0.034 c | 1.22 ± 0.03 d | |
| L + P4 | 3.9 ± 0.1 c | 0.69 ± 0.02 c | 4.9 ± 0.2 d | 0.65 ± 0.03 d | 0.82 ± 0.09 cde | 0.89 ± 0.17 bcd | 0.083 ± 0.005 cd | 0.842 ± 0.060 cd | 1.15 ± 0.03 de | |
| DM 3307 | CK | 5.0 ± 0.1 bc | 1.00 ± 0.00 ab | 6.1 ± 0.0 b | 1.00 ± 0.00 b | 0.81 ± 0.06 bc | 1.00 ± 0.00 abc | 0.086 ± 0.004 b | 1.000 ± 0.000 b | 1.20 ± 0.03 b |
| P1 | 4.9 ± 0.2 c | 0.97 ± 0.04 b | 6.1 ± 0.1 b | 1.01 ± 0.01 b | 0.82 ± 0.09 bc | 1.02 ± 0.19 abc | 0.085 ± 0.002 b | 0.997 ± 0.046 b | 1.11 ± 0.08 c | |
| P2 | 5.2 ± 0.1 ab | 1.03 ± 0.01 a | 6.2 ± 0.1 ab | 1.02 ± 0.01 ab | 0.88 ± 0.01 ab | 1.10 ± 0.09 ab | 0.088 ± 0.005 b | 1.031 ± 0.012 b | 1.20 ± 0.03 b | |
| P3 | 5.2 ± 0.0 ab | 1.03 ± 0.02 a | 6.4 ± 0.1 a | 1.05 ± 0.02 a | 0.93 ± 0.06 a | 1.16 ± 0.17 a | 0.094 ± 0.002 a | 1.102 ± 0.028 a | 1.32 ± 0.03 a | |
| P4 | 5.2 ± 0.2 a | 1.04 ± 0.03 a | 6.4 ± 0.1 a | 1.05 ± 0.02 a | 0.92 ± 0.06 a | 1.15 ± 0.17 a | 0.094 ± 0.002 a | 1.094 ± 0.035 a | 1.23 ± 0.03 b | |
| L | 1.9 ± 0.1 f | 0.38 ± 0.01 e | 3.0 ± 0.1 f | 0.50 ± 0.02 f | 0.56 ± 0.06 e | 0.70 ± 0.13 d | 0.048 ± 0.004 f | 0.562 ± 0.064 f | 0.62 ± 0.02 g | |
| L + P1 | 2.5 ± 0.1 e | 0.49 ± 0.00 d | 3.8 ± 0.3 e | 0.63 ± 0.04 e | 0.69 ± 0.02 d | 0.86 ± 0.0.7 cd | 0.069 ± 0.004 e | 0.806 ± 0.033 e | 0.72 ± 0.03 f | |
| L + P2 | 2.6 ± 0.1 e | 0.52 ± 0.01 d | 4.2 ± 0.2 d | 0.69 ± 0.03 d | 0.72 ± 0.03 d | 0.89 ± 0.05 cd | 0.075 ± 0.002 d | 0.876 ± 0.013 d | 0.81 ± 0.02 e | |
| L + P3 | 3.0 ± 0.2 d | 0.59 ± 0.04 c | 4.5 ± 0.2 c | 0.74 ± 0.03 c | 0.76 ± 0.05 cd | 0.94 ± 0.04 bc | 0.080 ± 0.003 c | 0.934 ± 0.016 c | 0.98 ± 0.05 d | |
| L + P4 | 3.0 ± 0.1 d | 0.60 ± 0.03 c | 4.4 ± 0.2 cd | 0.73 ± 0.03 cd | 0.76 ± 0.03 cd | 0.94 ± 0.10 bc | 0.077 ± 0.001 cd | 0.904 ± 0.032 cd | 0.85 ± 0.03 e | |
| ANOVA | ||||||||||
| V | 547.646 *** | 15.125 *** | 825.143 *** | 12.500 * | 23.310 *** | 0.424 ns | 4.000 ns | 0.111 ns | 409.936 ** | |
| T | 5818.785 *** | 2080.125 *** | 5657.286 *** | 1568.000 *** | 141.241 *** | 60.988 *** | 4.000 * | 592.111 *** | 821.400 *** | |
| P | 67.234 *** | 23.250 *** | 71.085 *** | 24.813 *** | 12.966 *** | 6.071 ** | 4.000 * | 49.611 *** | 41.333 *** | |
| V × T | 65.620 *** | 55.125 *** | 124.321 *** | 4.500 * | 3.448 * | 0.188 ns | 4.000 ns | 9.000 ** | 24.067 *** | |
| V × P | 4.070 ** | 0.750 ns | 1.326 ns | 1.563 ns | 0.552 ns | 0.247 ns | 4.000 * | 3.722 * | 1.267 ns | |
| T × P | 32.108 *** | 10.750 *** | 29.719 *** | 12.688 *** | 1.241 ns | 0.812 ns | 4.000 ** | 16.278 *** | 7.067 *** | |
| V × T × P | 0.715 ns | 0.750 ns | 1.085 ns | 0.437 ns | 0.345 ns | 0.071 ns | 4.000 * | 3.722 * | 0.733 ns | |
Publisher’s Note: MDPI stays neutral with regard to jurisdictional claims in published maps and institutional affiliations. |
© 2022 by the authors. Licensee MDPI, Basel, Switzerland. This article is an open access article distributed under the terms and conditions of the Creative Commons Attribution (CC BY) license (https://creativecommons.org/licenses/by/4.0/).
Share and Cite
Zuo, S.; Li, J.; Gu, W.; Wei, S. Exogenous Proline Alleviated Low Temperature Stress in Maize Embryos by Optimizing Seed Germination, Inner Proline Metabolism, Respiratory Metabolism and a Hormone Regulation Mechanism. Agriculture 2022, 12, 548. https://doi.org/10.3390/agriculture12040548
Zuo S, Li J, Gu W, Wei S. Exogenous Proline Alleviated Low Temperature Stress in Maize Embryos by Optimizing Seed Germination, Inner Proline Metabolism, Respiratory Metabolism and a Hormone Regulation Mechanism. Agriculture. 2022; 12(4):548. https://doi.org/10.3390/agriculture12040548
Chicago/Turabian StyleZuo, Shiyu, Jing Li, Wanrong Gu, and Shi Wei. 2022. "Exogenous Proline Alleviated Low Temperature Stress in Maize Embryos by Optimizing Seed Germination, Inner Proline Metabolism, Respiratory Metabolism and a Hormone Regulation Mechanism" Agriculture 12, no. 4: 548. https://doi.org/10.3390/agriculture12040548
APA StyleZuo, S., Li, J., Gu, W., & Wei, S. (2022). Exogenous Proline Alleviated Low Temperature Stress in Maize Embryos by Optimizing Seed Germination, Inner Proline Metabolism, Respiratory Metabolism and a Hormone Regulation Mechanism. Agriculture, 12(4), 548. https://doi.org/10.3390/agriculture12040548
