Abstract
Communities in rural America have experienced significant decline over the past century. Professionals working within these communities, such as extension or community development professionals, may leverage their position as trusted sources to decrease negative outcomes associated with novel and emerging societal problems, such as rural stress. This study was grounded in the community capitals framework and sought to examine the importance of capitals relative to the perception of rural stress. A sample of extension agents from a southeastern land-grant university in the United States provided rating and ranking data. A modified Borda Count and weighted ranking score were computed to generate a heuristic ranking of capitals relative to importance to rural stress. Human and natural capital were consistently regarded as highly important, while cultural and built–financial capital were consistently sorted to the bottom. Therefore, human and natural capital may represent critical entry points for professionals to develop programming related to rural stress perceptions and coping mechanisms. Overall, the results of this study support the continued use of the community capitals framework to guide community development strategies that address rural stress concerns and provides evidence to inform rural development policies and interventions. Such strategies should involve community members to facilitate an inside-out approach and develop sustainable solutions based on local knowledge and needs.
1. Introduction
Agrarian-based communities characteristic of rural America impose demanding conditions on their inhabitants [1]. For example, individuals who make their livelihoods in the farming sector face challenges such as caring for livestock and crops, combatting weather-related issues, and enduring long workdays and nights [2]. In the face of such conditions, rural communities operate in ways different from those employed by their urban counterparts. The Pew Research Center reported that approximately 58% of rural residents believe that the values of their urban counterparts are very or somewhat different from the values embodied by their own communities [3].
Indeed, rural American culture can be characterized as “proud or private” [4] (p. 11) with a penchant for stoicism and masculinity [5,6]. There is an emphasis on family and community, independence, and individualism [2]. As a result, many residents believe that individuals who do not come from a similar type of community do not understand the problems facing rural populations [3]. Accordingly, the use of resources made available by outside entities to alleviate problems, such as inadequate health care [7], rural blight [8], and mental health awareness [9], is stigmatized by skepticism, distrust, and fear of being taken advantage of [4]. Trust is a critical component in gaining access to and influence in rural communities; however, in rural environments, trust and community acceptance can be difficult to gain [4].
Given this context, outside personnel (e.g., community, health, extension, and education professionals) have a unique opportunity to become involved in rural communities and serve as external links to resources and information [10,11]. This study proposes using the community capitals framework (CCF) as an entry point in rural communities to address programmatic needs regarding rural stress concerns. By shifting from an outside-in perspective—where the impact of the program is viewed as a result of the outside organization’s presence—to an inside-out perspective—where communities identify their own needs and develop solutions accordingly—outside personnel can tailor programmatic needs specific to their communities, thereby generating meaningful social impact [12].
Professionals serving within these communities will be able to assess the importance of capitals and use this knowledge to introduce programming and inform policy designed to address critical community issues. By appealing to and strengthening these capitals, communities may recover internally. A key aspect of this approach is promoting healthy internal and external relationships between community members, community leaders, and outside service personnel and examining how these relationships relate to increased community capacity. Examining the environmental context of communities and using this information to implement well-received programs and inform meaningful policies may help to develop sustainable, resilient communities.
Conceptual Framework
The conceptual framework for this research study was grounded in the community capitals framework (CCF) and the concept of rural stress. The CCF represents a systems-thinking approach to community development strategies [13,14]. Capitals represent the assets available to a specific community, whether human or material [14], with the potential to generate additional resources [13]. Flow or investment into one capital may impact other capital’s stocks [14]. This can initiate a “spiraling-up” process where gaining assets increases the likelihood of other assets gained [14]. Therefore, individuals and organizations may precipitate positive community change by strategically investing in certain capitals [14].
The CCF has been conceptualized as an interrelated web of human (i.e., human, social, cultural, and political) and material (i.e., natural, financial, and built) assets [14]. Human capital is defined as an individual’s attributes (existing or potential) that result from genetic, social, and environmental factors [15]. Social capital refers to connections among people and organizations, while cultural capital describes the ways in which individuals understand and interact with their surrounding environment [12]. Political capital is defined as an individual’s access to personal and structured power, as well as group capacity to take collective action [12,13]. Natural capital is understood to be a community’s natural assets, both renewable and non-renewable [16], while built capital refers to a community’s manufactured and structured assets [17]. Finally, financial capital is defined as the monetary assets available to individuals for community improvement [12].
To quantify community capital stocks, Lamm, Borron et al. [17] developed the Community Diagnostics and Social Impact Toolkit (CD + SITM Toolkit), which measures capital assets through community perceptions. Completing such evaluations prior to program administration provides professionals with a “baseline set of data that serves as a diagnostic tool for a targeted community” [12] (p. 84). With this baseline data, professionals can identify critical entry points within a community that can be leveraged to inform program development, research design, and policy intervention [13,17]. Personal agency, or an individual’s ability to act within an existing structure, may be combined with community capital perceptions to provide a more comprehensive understanding of a community and its assets [17].
Hart proposed that a “sustainable community is one that nurtures its natural, human, and financial capital” [18] (p. 9). Emery and Flora found that investments in human and social capital led to increases in financial capital, which reversed the spiraling-down process [14]. Therefore, social capital has been identified as a critical entry point for community change [14]. Additionally, an evaluation of social impact associated with social capital flow may offer greater insights into community characteristics prior to program development and implementation [12]. Mueller et al. imply that high social capital may hinder progress [19]. These findings contradict Yang et al., who found that rural households with higher social capital had greater access to resources and were better suited to resist long-term livelihood pressures [20].
Specifically, within this study, the community capitals were examined in terms of their importance related to rural stress. While the literature is ambiguous on a concrete definition of rural stress, for the purposes of this study, we adopt the definition proposed by Lamm, Powell et al. [21]. Thus, rural stress refers to the physiological reaction precipitated by internal and socioeconomic stresses within rural communities [21]. This term encompasses the stressors unique to rural areas and common stressors experienced in a rural context [22]. While the literature base related to rural stress is expanding, there is no universal model that conceptualizes events and manifestations of stress in rural areas [22].
Rural stress has been closely examined with farm stress, due to the considerable overlaps between these populations [23]. Life in rural areas is unique, and there are many factors that may influence stress responses and represent an emerging societal problem in rural areas [23]. In general, farming has been identified as a more stressful occupation than others [24,25,26]. This may be due to the financial stress, economic insecurity, and isolation that many farmers face [24,26]. Additionally, rural areas often lack sufficient infrastructure for health care services, education, and broadband access [23,27,28]. Kornelsen et al. found that lack of access to maternity care increased stress among pregnant women living in rural areas [29]. Finally, reduced economic opportunities and higher poverty rates may also contribute to higher levels of depression, psychosocial stress, and suicide rates among rural populations [23].
2. Materials and Methods
The purpose of this study is to examine agricultural extension professionals’ perception of the importance of community capitals related to rural stress. The study was motivated by the following research objectives:
- Describe an absolute rating frequency count of community capitals associated with importance to rural stress;
- Describe an absolute ranking frequency count of community capitals associated with importance to rural stress;
- Develop a preliminary ranking of importance of community capitals related to rural stress using the Borda Count method;
- Develop a preliminary ranking of importance of community capitals related to rural stress using a weighted ranking method.
Approval for the study was obtained from the Institutional Review Board at the University of Georgia [IRB protocol STUDY00005642]. Data were collected from a convenience sample of Extension agents from a single southern state employed by a land-grant university. Respondents were participating in Extension regional meetings and were asked to respond to an online survey. A total of 290 agents were present at the meetings, and there were 172 complete responses, resulting in a 59.3% response rate. Respondents represented 91 counties within the state, out of a total of 159 counties. Among respondents, there were 6.8% (n = 11) who indicated they had worked in the county for less than 1 year, 36.4% (n = 59) indicated they had worked in the county for 1 to 4 years, 21.0% (n = 34) indicated they had worked in the county for 5 to 9 years, 9.9% (n = 16) indicated they had worked in the county for 10 to 14 years, 8.6% (n = 14) indicated they had worked in the county for 15 to 19 years, and 17.3% (n = 28) indicated they had worked in the county for 20 or more years.
Respondents were also asked to indicate their primary focus area; the majority of respondents (40.0%, n = 64) indicated they were focused on the 4-H programming area, the next 38.8% (n = 61) indicated they were focused on the agriculture and natural resources programming area, the next 12.5% (n = 20) indicated they were focused on the family and consumer sciences programming area, the next 6.3% (n = 10) indicated they served in an administrative role, and 3.1 (n = 5) indicated their role was not categorizable given the provided options. Within the context of this study, importance was defined as the degree to which outside personnel should consider a community capital as an entry point for community engagement.
2.1. Data Analysis
2.1.1. Rating Data
Rating data were collected by asking participants to “Please indicate the level of importance you associate with each item as it relates to rural stress” on a five-point, Likert-type scale, with values ranging from “1 = not at all important” to “5 = extremely important”. Participants were presented six brief statements representing one of the six community capitals operationalized within the CD + SITM toolkit developed by Lamm et al. [16]. Specifically, “Access to and/or use of the natural environment (such as lakes, parks, agricultural production land, etc.) in the community …” represented Natural capital; “Abilities of individuals in the community …” represented Human capital; “Connections between people and organizations in the community…” represented Social capital; “People’s understanding of, and interact with, the world around them in the community …” represented Cultural capital; “Access to local and political leaders in the community …” represented Political capital; and “Access to money for improvements in the community …” represented Built–Financial capital.
2.1.2. Ranking Data
Ranking data were collected by asking participants to “Please rank the following items by dragging and dropping each of the statements so the most important category related to rural stress is on top, and the least important category related to rural stress is on bottom with the rest ranked accordingly.” Specifically, participants were presented with the following list of options: “Human—people’s natural and learned competencies”, “Social—connections among people and organizations”, “Cultural—how people understand and interact with the world around them”, “Natural—environmental assets that exist in a specific location”, “Built/Financial—monetary support for community improvement and physical infrastructure”, “Political—access to personal and structured power”.
2.1.3. Modified Borda Count
A modified Borda count (BC) is used as a descriptive statistic in votes on n options where voters may rank all n options [30]. Scores are determined by the frequency an option is ranked in the n-th place with weights determined by preference. Weights are determined as follows: For each first-place ranking, n points are awarded. For each second-place ranking, (n − 1) points are awarded. Points are awarded continuing in this fashion until the n-th (i.e., last) place ranking with (n − k) points awarded for each k-th place ranking where 1 ≤ k ≤ (n − 1).
A total Borda count is calculated by the following formula:
where:
- n denotes the number of possible rankings;
- i denotes the i-th ranking (e.g., i = 1 implies capital is given first-place ranking);
- frequencyi denotes the number of times a capital is given an i-th place ranking.
The voting option with the highest Borda count is then considered the “winner”. In the context of this study, the Borda count allows us to propose a comprehensive ranking of community capitals, where the capital associated with the highest Borda count is ranked first, the capital associated with the second highest Borda count ranked second, and so forth, until the capital associated with the lowest Borda count, which is ranked last. Previous research has used the Borda Count Method to analyze critical risks associated with stakeholder risk perception of rural land supply reform in China [31].
2.1.4. Paired Data
Paired data consisted of rating and ranking data collected from the same participant. The completed set of paired responses totaled n = 160 for an 83.33% response rate. Paired data were analyzed using weighted ranking (WR). Weighted rankings for each capital were calculated using the following formula:
where i denotes the i-th participant from whom the paired data were collected.
Weighted rankings enable us to look at each capital’s ranking as multiplied by its importance (i.e., weight as measured by capital’s rating). Summing these weighted rankings across all participants yields a more holistic picture of each capital’s importance, as determined by ranking and rating, compared across all capitals. To maintain consistency, we weighted the rankings according to the weights outlined in the Borda count section. Therefore, a first-place ranking was associated with a weight of six, second place was associated with a weight of five, third place with a weight of four, fourth place with a weight of three, fifth place with a weight of two, and sixth place with a weight of one.
3. Results
Table 1 depicts the absolute frequency counts for the community capital rating scores. Built–financial capital was associated with the highest frequency count for a rating of five, while human capital was associated with the lowest frequency count for a rating of five.
Table 1.
Absolute Rating Frequency Counts for Single Items.
Figure 1 depicts the rating frequency distributions for each community capital. These distributions indicate that most participants associated the capitals with a moderately high to extremely high importance.
Figure 1.
Absolute Frequency Distributions for Community Capital Rating Data: (a) Built–Financial; (b) Social; (c) Natural; (d) Cultural; (e) Political; (f) Human.
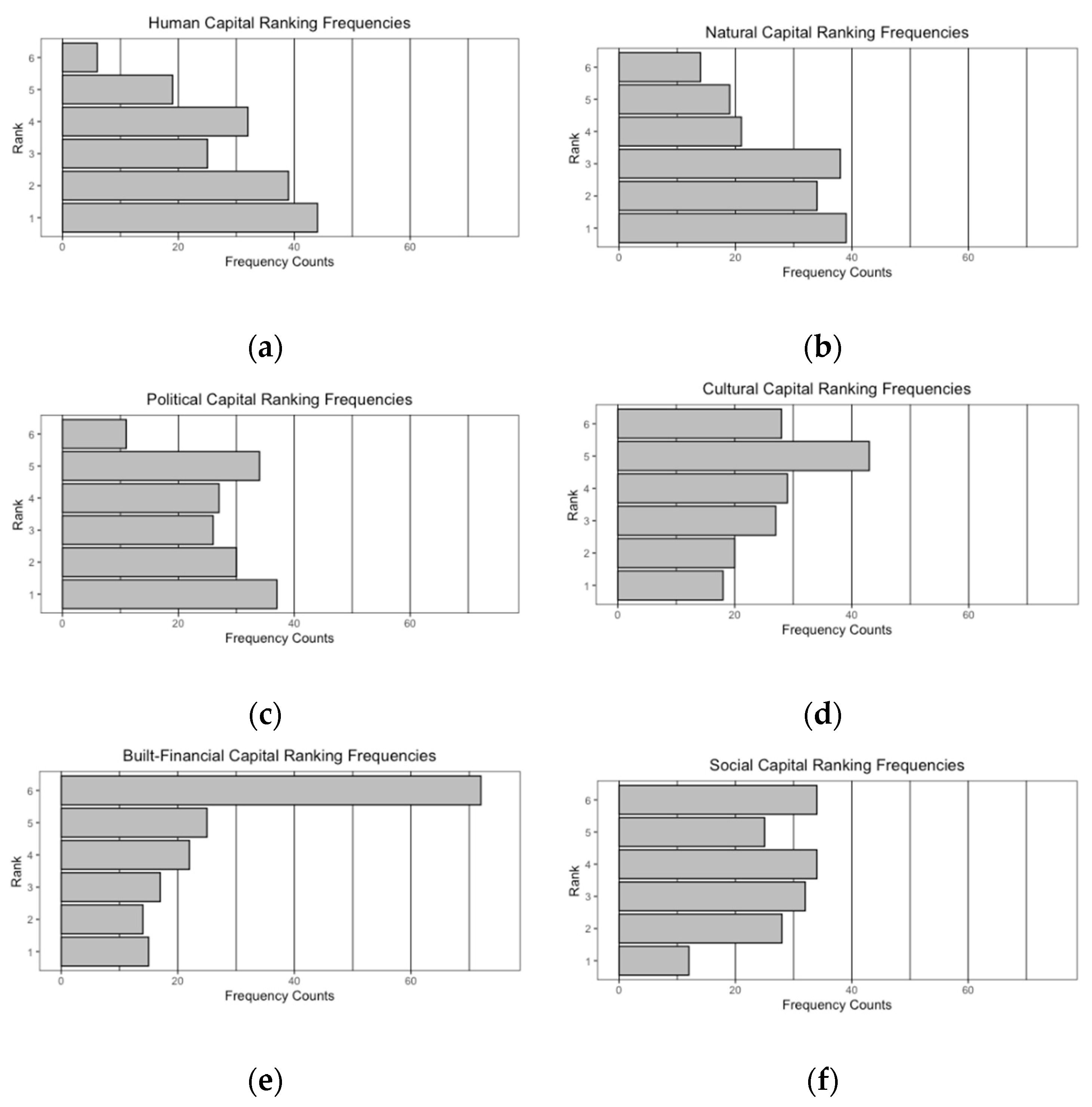
Table 2 depicts the absolute frequency counts for the community capital ranking scores. Human capital was associated with the highest frequency count for a rank of one, indicating that on average, it was ranked as the most important capital.
Table 2.
Absolute Ranking Frequency Counts for Single Items.
Figure 2 depicts the ranking frequency distributions for the community capitals. Human and natural capital ranking frequency distributions were skewed, indicating that they were ranked with higher importance compared to the other capitals. Cultural and built–financial capital ranking frequency distributions were skewed in the opposite direction, indicating that they were ranked with lesser importance compared to the other capitals.
Figure 2.
Absolute Frequency Distributions for Community Capital Ranking Data: (a) Human; (b) Natural; (c) Political; (d) Cultural; (e) Built–Financial; (f) Social.
Table 3 depicts the Borda counts for each community capital as determined by ranking scores. Human capital was associated with the highest Borda count. According to the interpretation of Borda count data by Emerson [30], these findings indicate that human capital should be ranked first—i.e., is the most important capital—while built–financial capital should be ranked last—i.e., is the least important capital.
Table 3.
Community Capital Borda Counts.
Table 4 depicts the weighted rankings for each community capital. Human capital was associated with the highest weighted ranking score. Cultural capital was associated with the lowest weighted ranking score.
Table 4.
Community Capital Weighted Rankings.
4. Discussion
Human capital was consistently scored as the most important capital across most rating and ranking measures. Humans and their methods of interaction form the basis of society; therefore, investment in human capital may be a necessary condition for improving rural stress outcomes. This finding may therefore provide empirical evidence to inform rural development policies and interventions, specifically as it relates to rural stress. Sackey and Sanda found that women in supervisory and managerial roles reported higher levels of stress when they felt unsupported in their roles (i.e., when there was minimal or limited investment in their human capital) [32]. Extension personnel may have indicated human capital as a critical entry point because an underinvestment in human capital affects not only rural stress perceptions but also community development [33]. Čadil et al. and Ramos et al. found that endowment in human capital—primarily in terms of education—may not accurately reflect a region’s true economic growth or unemployment rates, particularly in agricultural areas [34,35]. Therefore, human capital may not give appropriate insights into perceptions of rural stress outcomes related to economic growth and unemployment.
The results of our study, however, seem to contradict these findings. When considering the community capitals in terms of rural stress, respondents consistently scored human capital as one of the most important capitals. Human capital may be a reliable indicator of perceptions of stress within rural communities and, therefore, should be considered as one of the first entry points for community engagement. We recommend that future research on community-level rural stress specifically focus on the interaction between human capital and nuances of stress, including whether training and educational programs have an inverse relationship with community perceptions of rural stress.
The consistent regard of human capital as highly important demonstrates that one of the key tools that rural communities possess to examine and alleviate rural stress-related outcomes is themselves [14,36]. For example, young adults represent critical human capital assets within rural communities [37,38]. However, many young adults leave rural areas due to a perceived lack of educational and employment opportunities [37,38]. For family-run, agricultural operations, this loss of human capital may increase stress due to decreased support for family farms. Additionally, the return to rural areas stimulates the development of human, social, and financial capital by slowing population loss, creating more jobs, and raising average education level [38].
Therefore, a potential policy strategy to precipitate the spiraling-up process may be incentivizing the return of young adults post-graduation [38]. An associated recommendation would be to increase investment in post-secondary technical and training programs, as well as the promotion of university or government scholarships that support students pursuing agricultural-related degrees [20]. One example is the University of Georgia’s College of Agricultural and Environmental Sciences Rural Scholars Program, which financially supports rural youth seeking degrees in agricultural-related fields [39]. Such scholarships may aid youth involved in family agricultural operations in seeking an applicable agricultural degree and may be used to incentivize such students to return to their hometowns and support their family operation.
Like human capital, natural capital was consistently regarded as highly important compared to other capitals across almost all measures. Kaplan found that natural environments offer restorative benefits, enabling individuals to renew their attention resources and effectively manage their daily life [40]. Wells and Evans extended Kaplan’s initial thesis, positing that nature may act as a buffer against the impacts of stressful life events on psychological well-being and self-worth [41]. These conclusions were further supported by the work of Greenwood and Gatersleben, who found that natural environments were related to reduced stress levels and improved mood [42]. The COVID-19 lockdowns further confirmed the positive health outcomes associated with time spent in nature [43,44]. Thus, natural capital stock may be an important mechanism in alleviating the impacts of rural stress at the individual and community levels.
Conversely, natural capital can be a source of stress for rural residents, particularly those involved in agricultural production [20]. Concerns about the weather and how that will affect agricultural outputs was found to be a primary driver of farmer stress [45,46,47]. Additionally, natural disasters and the impacts of climate change can influence agricultural production and livelihood [20]. Owners of agricultural businesses may be forced to leverage natural capital (i.e., agricultural production land) as collateral for production or operation loans [48]. International trade wars and the impacts of COVID-19 have decreased farm income and cash flow, which may prompt more farmers to leverage their natural assets as collateral [48,49]. However, small-scale farms maybe unable to attain loans due to low financial capital [20]. Thus, farmers may need to adjust their production structure by selling consumer or production assets, such as crops, cattle, or equipment [20]. Additionally, agricultural opinion leaders were found to be less likely to engage in risk-taking behaviors [50]. Therefore, opinion leaders may not encourage farmers to try high-risk strategies to address environmental and economic pressures. An associated recommendation for potential rural development interventions would be to provide educational programming on available loan programs sponsored by the federal government [51]. Additionally, incentivizing the expansion of specialized industries through specialty crop grants allows farmers to diversify agricultural production, increase financial capital, and may decrease rural stress from economic pressures.
Within this study, we found that the capital regarded as least important varied depending on the rating and ranking measure used. For absolute rating frequency counts, human capital received the lowest frequency count for a rating of five. For absolute ranking frequency counts, social capital received the lowest frequency count for a ranking of one. Across the Borda count and weighted ranking measures, built–financial capital was consistently regarded as less important. While built–financial capital received the highest absolute frequency count for a rating of five, further analyses indicate that built–financial capital is regarded as less important in terms of rural stress. This finding contradicts Yang et al., who found that households with limited financial capital had a lower ability to effectively resist livelihood stressors [20]. Additionally, cultural capital was consistently regarded as less important across all rating and ranking measures. This finding contradicts previous research that found cultural capital to be an important factor in community development, community resilience, and community identity [52,53].
We take care to emphasize that each community is different and has different needs as evidenced in the rankings observed. We caution readers from generalizing the results of this study to indicate that human capital should be the default approach. An alternative interpretation might be that each of the six community capitals are valid under separate conditions. However, all options being equal, the results of this study emphasize that human and natural capital sorted to the top, while built–financial and cultural capital sorted to the bottom. Therefore, it is not that built–financial and cultural capital are unimportant. However, it may be more appropriate to first consider human and natural capital as entry points into rural communities before considering the other capitals. We recommend these results be used to establish a mental schema for outside personnel on how to begin engagement at the community level. Furthermore, these results are intended to provide a preliminary base upon which to ground future rural development policies and interventions, particularly as it relates to rural stress.
One limitation of this study was that data were collected via a convenience sample of agricultural extension personnel. Subsequent studies should gather data from a more holistic sampling of those experienced with rural stress, including rural stress experts, rural community leaders and residents, rural health practitioners, and outside personnel working in rural communities.
The community capitals are an interlinked network connected by their interaction with, and facilitation by, humans and the social rules that govern these interactions and relationships. Our results demonstrate that investment in human and natural capital is of utmost importance when designing community development programs, such as those directed to address rural stress. However, it is important to note that there are significant and varying implications for this approach based on who determines which capitals are important in a community. While our discussion mainly focuses on how outside personnel can use the community capitals framework to determine entry points for community engagement, policy development, and potential interventions, we strongly recommend that residents of the affected communities be involved in this process. Each community is different, and to enact sustainable, long-term change, it is important to involve community members and provide them with the resources necessary for success [54].
Outside personnel certainly have a place in community engagement, development, and policy-related efforts, particularly in communities that may be somewhat unfamiliar with the emerging societal problem of rural stress. However, the work of outside personnel within a community should never be at the expense of community members themselves. Therefore, we strongly recommend that outside personnel and community members alike use the community capitals framework to determine key touchstones for effective community engagement, policy interventions, and rural stress programming. We recommend that future research and programming use an empirically validated instrument to measure levels of community capitals (see [16]). Additionally, we recommend that future research examining rural stress at the local level focus specifically on the relationship of human and natural capital to nuances of stress, as well as the potential impacts of various policy interventions intended to affect community capitals. Subsequent avenues of research may include the effects of training and educational programs on rural stress, as well as acknowledgement for the interconnected systems, including the natural environment. These considerations should also include social constraints, such as human capital and community members’ perceptions of stress and subsequent actions.
Author Contributions
Conceptualization, K.W.L. and A.B.; methodology, K.W.L. and A.B.; formal analysis, K.W.L. and A.P.; investigation, K.W.L., A.B. and K.A.; resources, K.W.L. and A.B.; data curation, K.W.L.; writing—original draft preparation, A.P.; writing—review and editing, K.W.L., A.B., A.P. and S.H.; visualization, A.P.; supervision, K.W.L.; project administration, K.W.L.; funding acquisition, K.W.L. and A.B. All authors have read and agreed to the published version of the manuscript.
Funding
This research received no external funding.
Institutional Review Board Statement
The study was conducted in accordance with the Declaration of Helsinki and approved by the Institutional Review Board at the University of Georgia (protocol code STUDY00005642, approved 2 April 2018).
Informed Consent Statement
The study was conducted according to the guidelines of the Declaration of Helsinki, and approved by the Institutional Review Board (or Ethics Committee) of University of Georgia (protocol code STUDY00005642 on 2 April 2018).
Data Availability Statement
Not applicable.
Conflicts of Interest
This work was supported by the University of Georgia. This research is sponsored by the University of Georgia and may lead to the development of products that may be licensed to the University of Georgia Research Foundation, in which we have a professional relationship. We have fully disclosed those interests to Agriculture.
References
- Arbuckle, J.; Kast, C. Quality of life on the agricultural treadmill: Individual and community determinants of farm family well-being. J. Rural Soc. Sci. 2007, 27, 84–113. Available online: https://egrove.olemiss.edu/jrss/vol27/iss1/4 (accessed on 17 December 2020).
- Hirsch, J.K. A review of the literature on rural suicide: Risk and protective factors, incidence, and prevention. Crisis 2006, 27, 189–199. [Google Scholar] [CrossRef] [PubMed]
- Key Findings about American Life in Urban, Rural, and Suburban Areas. Available online: https://www.pewresearch.org/fact-tank/2018/05/22/key-findings-about-american-life-in-urban-suburban-and-rural-areas/ (accessed on 5 April 2022).
- Behringer, B.; Friedell, G.H. Appalachia: Where place matters in health. Prev. Chronic Dis. 2006, 3, 1–4. [Google Scholar]
- Kilpatrick, S.; Willis, K.; Johns, S.; Peek, K. Supporting farmer and fisher health and wellbeing in ‘difficult times’: Communities of place and industry associations. Rural Soc. 2012, 22, 31–44. [Google Scholar] [CrossRef]
- Parent, M.; Steede, M. Minority stress among gay and bisexual men in agricultural occupations. J. Rural Soc. Sci. 2020, 35, 1–22. Available online: https://egrove.olemiss.edu/jrss/vol35/iss1/3 (accessed on 17 December 2020).
- Clay, R.A. Reducing rural suicide. Am. Psychol. Assoc. 2014, 45, 36–38. Available online: https://www.apa.org/monitor/2014/04/rural-suicide (accessed on 17 December 2020).
- Skobba, K.; Osinubi, A.; Tinsley, K.L. What about rural blight? Housing and neighborhood conditions in southeastern small towns. Rural Sociol. 2020, 85, 85–110. [Google Scholar] [CrossRef]
- Hoyt, D.R.; Conger, R.D.; Velde, J.G.; Weihs, K. Psychological distress and help-seeking in rural America. Am. J. Community Psychol. 1997, 25, 449–470. [Google Scholar] [CrossRef]
- Healy, K.; Hampshire, A.; Ayres, L. Beyond the local: Extending the social capital discourse. Aust. J. Soc. Issues 2004, 39, 329–342. [Google Scholar] [CrossRef]
- McKenzie, F.H. The challenges of achieving community self-determination and capacity building in a neo-liberal political environment. Aust. J. Prim. Health 2003, 9, 39–49. [Google Scholar] [CrossRef]
- Borron, A.; Lamm, K.; Darbisi, C.; Randall, N. Social impact assessment in the cooperative extension system: Revitalizing the community capitals framework in measurement and approach. J. Int. Agric. Ext. Educ. 2019, 26, 75–88. [Google Scholar] [CrossRef]
- Borron, A.; Lamm, K.W.; Atkins, K. The development and validation of a personal agency scale based in the community capitals framework. J. Int. Agric. Ext. Educ. 2020, 27, 43–58. [Google Scholar] [CrossRef]
- Emery, M.; Flora, C.B. Spiraling-up: Mapping community transformation with community capitals framework. Community Dev. 2006, 37, 19–35. [Google Scholar] [CrossRef]
- Flint, R.W. Seeking resiliency in the development of sustainable communities. Hum. Ecol. Rev. 2010, 17, 44–57. Available online: https://www.jstor.org/stable/24707514 (accessed on 17 December 2020).
- Lamm, K.; Borron, A.; Atkins, K. The development and validation of an empirical scale to inform community diagnostics and change. J. Agric. Ext. Educ. 2021, 27, 287–306. [Google Scholar] [CrossRef]
- Lamm, K.W.; Borron, A.; Atkins, K. The community diagnostics and social impact toolkit: Development and validation of a reliable measure. J. Agric. Educ. 2020, 61, 249–265. [Google Scholar] [CrossRef]
- What is Community Capital-Sustainable Measures? Available online: http://www.sustainablemeasures.com/Training/Indicators/Capital.html (accessed on 5 April 2022).
- Mueller, D.; Hoard, S.; Roemer, K.; Sanders, C.; Rijkhoff, S.A.M. Quantifying the community capitals framework: Strategic application of the community assets and attributes model. Community Dev. 2020, 51, 535–555. [Google Scholar] [CrossRef]
- Yang, X.; Guo, S.; Deng, X.; Xu, D. Livelihood adaptation of rural households under livelihood stress: Evidence from Sichuan Province, China. Agriculture 2021, 11, 506. [Google Scholar] [CrossRef]
- Lamm, K.W.; Powell, A.N.; Holt, J.; Borron, A.; Atkins, D.K. Development and validation of a rural stress instrument. J. Agric. Educ. 2020, 61, 32–43. [Google Scholar] [CrossRef]
- Somashekar, B.; Reddy, P.S.; Wuntakal, B. Stress and rural mental health. In Mental Health and Illness in the Rural World; Chaturvedi, S.K., Ed.; Springer: Singapore, 2020; pp. 74–96. [Google Scholar] [CrossRef]
- Derringer, J.C.; Biddle, M.J. Potential directions for farm stress research: A systematic review of educational interventions to reduce psychosocial stress among farm and rural populations. J. Rural Health 2021, 1–20. [Google Scholar] [CrossRef]
- Hansen, B.G.; Østerås, O. Farmer welfare and animal welfare: Exploring the relationship between farmer’s occupational well-being and stress, farm expansion and animal welfare. Prev. Vet. Med. 2019, 170, 104741. [Google Scholar] [CrossRef] [PubMed]
- Carvajal, S.C.; Kibor, C.; McClelland, D.J.; Ingram, M.; de Zapien, J.G.; Torres, E.; Redondo, F.; Rodriguez, K.; Rubio-Goldsmith, R.; Meister, J.; et al. Stress and sociocultural factors related to health status among US-Mexico border farmworkers. J. Immigr. Minority Health 2014, 16, 1176–1182. [Google Scholar] [CrossRef] [PubMed]
- Hounsome, B.; Edwards, R.T.; Hounsome, N.; Edward-Jones, G. Psychological morbidity of farmers and non-farming population: Results from a UK survey. Community Ment. Health J. 2012, 48, 503–510. [Google Scholar] [CrossRef]
- Raja, U.; McManus, D.J.; Hardin, J.M.; Haynes, B.C. Collaborative rural healthcare network: A conceptual model. Int. J. Interact. Mob. Technol. 2011, 5, 20–23. [Google Scholar] [CrossRef][Green Version]
- Bauerly, B.C.; McCord, R.F.; Hulkower, R.; Pepin, D. Broadband access as a public health issue: The role of law in expanding broadband access and connecting underserved communities for better health outcomes. J. Law Med. Ethics 2019, 47, 39–42. [Google Scholar] [CrossRef] [PubMed]
- Kornelsen, J.; Stoll, K.; Grzybowski, S. Stress and anxiety associated with lack of access to maternity services for rural parturient women. Aust. J. Rural Health 2011, 19, 9–14. [Google Scholar] [CrossRef] [PubMed]
- Emerson, P. The original Borda count and partial voting. Soc. Choice Welf. 2013, 40, 353–358. [Google Scholar] [CrossRef]
- Qu, Z.; Wei, Y.; Li, X. Risk perception of rural land supply reform in China: From the perspective of stakeholders. Agriculture 2021, 11, 646. [Google Scholar] [CrossRef]
- Sackey, J.; Sanda, M. Sustenance of human capital: Social support as a managerial stress reliever for women in developing economies. Res. Pract. Hum. Resour. Manag. 2011, 19, 1–23. Available online: https://www.researchgate.net/publication/287378114_Sustenance_of_human_capital_Social_support_as_a_managerial_stress_reliever_for_women_in_developing_economies (accessed on 17 December 2020).
- Joshi, M.L.; Bliss, J.C.; Bailey, C.; Teeter, L.J.; Ward, K.J. Investing in industry, underinvesting in human capital: Forest-based rural development in Alabama. Soc. Nat. Resour. 2000, 13, 291–319. [Google Scholar] [CrossRef]
- Čadil, J.; Petkovovö, L.; Blatná, D. Human capital, economic structure, and growth. Procedia Econ. Financ. 2014, 12, 85–92. [Google Scholar] [CrossRef]
- Ramos, R.; Surinach, J.; Artís, M. Regional economic growth and human capital: The role of overeducation. Reg. Stud. 2012, 46, 1389–1400. [Google Scholar] [CrossRef]
- Graham, D.L.; Arnold, S.; Jayaratne, K.S.U. Research priority six: Vibrant, resilient communities. In American Association for Agricultural Education National Research Agenda: 2016–2020; Roberts, T.G., Harder, A., Brashears, M.T., Eds.; American Association of Agricultural Education: Gainesville, FL, USA, 2016; pp. 50–56. Available online: http://aaaeonline.org/resources/Documents/AAAE_National_Research_Agenda_2016-2020.pdf (accessed on 17 December 2020).
- Cook, J.; Cuervo, H. Staying, leaving, and returning: Rurality and the development of reflexivity and motility. Curr. Sociol. 2020, 68, 60–76. [Google Scholar] [CrossRef]
- Why Some Return Home to Rural America and Why it Matters. Available online: https://www.ers.usda.gov/amber-waves/2015/july/why-some-return-home-to-rural-america-and-why-it-matters/ (accessed on 5 April 2022).
- Gift from Alumni Create CAES Rural Scholars Program. Available online: https://news.uga.edu/caes-rural-scholars-program/ (accessed on 5 April 2022).
- Kaplan, S. The restorative benefits of nature: Toward an integrative framework. J. Environ. Psychol. 1995, 15, 169–182. [Google Scholar] [CrossRef]
- Wells, N.M.; Evans, G.W. Nearby nature: A buffer of life stress among rural children. Environ. Behav. 2003, 35, 311–330. [Google Scholar] [CrossRef]
- Greenwood, A.; Gatersleben, B. Let’s go outside! Environmental restoration among adolescents and the impact of friends and phones. J. Environ. Psychol. 2016, 48, 131–139. [Google Scholar] [CrossRef]
- Cindrich, S.L.; Lansing, J.E.; Brower, C.S.; McDowell, C.P.; Herring, M.P.; Meyer, J.D. Associations between change in outside times pre- and post-COVID-19 public health restrictions and mental health: Brief research report. Front. Public Health 2021, 9, 8. [Google Scholar] [CrossRef]
- Naomi, A.S. Access to nature has always been important; With COVID-19, it is essential. Health Environ. Res. Des. J. 2020, 13, 242–244. [Google Scholar] [CrossRef]
- Henning-Smith, C.; Alberth, A.; Bjornestad, A.; Becot, F.; Inwood, S. Farmer mental health in the US Midwest: Key informant perspectives. J. Agromedicine 2022, 27, 15–24. [Google Scholar] [CrossRef]
- Farmer Stress in Georgia. Available online: https://extension.uga.edu/content/dam/extension/topic-areas/timely-topics/rural/Report_Farmer%20Stress%20in%20Georgia.pdf (accessed on 5 April 2022).
- Morton, L.W.; McGuire, J.M.; Cast, A.D. A good farmer pays attention to the weather. Clim. Risk Manag. 2017, 15, 18–31. [Google Scholar] [CrossRef]
- U.S. Farmers to Leverage Land as Farm Economy Deteriorates: Survey. Available online: https://www.reuters.com/article/us-usa-farmers-land/u-s-farmers-to-leverage-land-as-farm-economy-deteriorates-survey-idUSKBN1XN1AU (accessed on 5 April 2022).
- Farms and Farm Households during the COVID-19 Pandemic. Available online: https://www.ers.usda.gov/covid-19/farms-and-farm-households/ (accessed on 5 April 2022).
- Lamm, K.W.; Lamm, A.J.; Carter, H.S. Opinion leadership development: Context and audience characteristics count. J. Agric. Educ. 2014, 55, 91–105. [Google Scholar] [CrossRef]
- U.S. Department of Agriculture [USDA] (n.d.). Grants and Loans. Available online: https://www.usda.gov/topics/farming/grants-and-loans (accessed on 4 March 2022).
- Duxbury, N.; Campbell, H. Developing and revitalizing rural communities through arts and culture. Small Cities Impr. 2011, 3, 111–122. [Google Scholar]
- Acebes, P.; Iglesias-González, Z.; Muñoz-Galvez, F.J. Do Traditional Livestock Systems Fit into Contemporary Landscapes? Integrating Social Perceptions and Values on Landscape Change. Agriculture 2021, 11, 1107. [Google Scholar] [CrossRef]
- Majee, W.; Anakwe, A.; Jooste, K. Youth and young adults these days: Perceptions of community resources and factors associated with rural community engagement. J. Rural Soc. Sci. 2020, 35, 1–24. Available online: https://egrove.olemiss.edu/jrss/vol35/iss1/1 (accessed on 17 December 2020).
Publisher’s Note: MDPI stays neutral with regard to jurisdictional claims in published maps and institutional affiliations. |
© 2022 by the authors. Licensee MDPI, Basel, Switzerland. This article is an open access article distributed under the terms and conditions of the Creative Commons Attribution (CC BY) license (https://creativecommons.org/licenses/by/4.0/).

