Next Article in Journal
Improving Environmental Water Supply in Wetlands through Optimal Cropping Patterns
Previous Article in Journal
Efficient Utilization Mechanism of Soil Moisture and Nutrients with Ridge Film Furrow Seeding Technology of Sloping Farmlands in Semi-Arid and Rain-Fed Areas
Previous Article in Special Issue
Spatial Characteristics of Transfer Plots and Conservation Tillage Technology Adoption: Evidence from a Survey of Four Provinces in China
 
 
Font Type:
Arial Georgia Verdana
Font Size:
Aa Aa Aa
Line Spacing:
Column Width:
Background:
Article

Agriculture–Tourism Integration’s Impact on Agricultural Green Productivity in China

1
School of Economics and Management, Chongqing Normal University, Chongqing 401331, China
2
School of Public Policy and Administration, Chongqing University, Chongqing 400044, China
3
School of Economics and Business Administration, Chongqing University, Chongqing 400044, China
4
School of Law, Chongqing University, Chongqing 400044, China
*
Author to whom correspondence should be addressed.
Agriculture 2023, 13(10), 1941; https://doi.org/10.3390/agriculture13101941
Submission received: 3 August 2023 / Revised: 28 September 2023 / Accepted: 29 September 2023 / Published: 5 October 2023
(This article belongs to the Special Issue Natural Resource and Environmental Economics in Agriculture)

Abstract

:
Currently, the integrated development of agriculture and tourism is one of the most critical strategic measures in China. The rapid growth of agricultural tourism integration presents the typical characteristics of expanding regional differences. Exploring the impact of agricultural tourism integration on the growth of green total factor productivity in agriculture has important theoretical and practical significance. This study constructs a comprehensive index system for agricultural tourism integration, measuring the development level of agricultural tourism integration in 30 sample provinces from 2008 to 2018. Using the generalized system method of moments approach and Tobit model, the impact of agricultural tourism integration on agriculture was empirically tested, and the regulatory role of rural human capital was discussed. It was found that agricultural tourism integration contributes significantly to the improvement in green total factor productivity in agriculture, with rural mobility human capital, education human capital, and health human capital all playing a significant positive moderating role in this process. Finally, it is recommended that priority be given to agricultural tourism integration in the policy framework, promoting industrial chain upgrading, raising investment in rural infrastructure, and upgrading rural human capital levels to contribute the rural economic development.

1. Introduction

The integration of agricultural tourism refers to the entire development process of agriculture and tourism, through the extension of the industrial chain and the integration of the value chain, mutual infiltration, intersection, and gradual integration, ultimately forming new formats and models [1]. Agriculture–tourism integration originated in Europe, and experienced the embryonic stage (the 1930s), the growth stage (mid-20th century), and the mature stage (1980s), and has become the leading industrial form driving economic development in rural areas [2,3]. In developed countries such as the United States, France, Germany, and Japan, and developing countries such as Malaysia and Indonesia, agricultural tourism integration has become a meaningful way to increase farmers’ income and improve agricultural efficiency [4]. Previous research has explored various aspects of agritourism, including its connotation and expansion [5,6], development ideas [7,8,9], and typical cases [10,11]. Undoubtedly, agritourism is an ongoing and dynamic development process. The integration of agriculture and tourism has become a common practice in Europe. This integration not only stimulates rural economic development but also supports the preservation and promotion of agricultural and rural culture. It brings about multiple benefits in terms of economy, environment, and culture. Farm tourism, where farmers simultaneously operate agricultural products and offer tourism services such as catering and accommodation, is widely adopted in European countries as a means to diversify income. Italy and Poland serve as prime examples of successful agritourism. These findings have been backed by numerous scholars’ studies. For instance, Fernandez-Hernandez [12] suggested that rural tourism destinations can enhance their economic performance by attracting environmentally conscious tourists and implementing environmental policies. Lupi [13] emphasized the significance of landscape and environmental factors as key determinants of agritourism activities. Taking into account other factors related to the economic dimension of farms, specialization, and the characteristics of farmers, Italy has some regions that can offer the potential for agritourism, in the context of rural development, landscapes, and reducing the possible beneficial effects of depopulation. Sadowski [14] revealed that the cultural and natural appeal of a destination contributes significantly to its development. Their study also indicated that many farmers, particularly those with semi-subsistence or family farms, seek to acquire EU funds to supplement their income. Moreover, some scholars have examined the spatial distribution of agriculture–tourism integration. Research indicates that the remarkable growth in agricultural farms and the expansion of service provision offer increased opportunities and available spaces for tourists [15]. Barbieri and others further put forward the future development direction of agricultural tourism integration [3].
The 19th National Congress of the Communist Party of China introduced a strategy for high-quality economic development by prioritizing the raising of total factor productivity as an internal driving force. In addition to this, it placed an emphasis on the significance of the development of leisure to agriculture, which is an important policy, and should be supported by many different sectors of society, because it is the source of income for rural people and it provides food for China’s huge population. Thus, the concept of TFP has gained widespread in the scientific community as a tool for assessing the quality of economic growth and development [16,17]. Total factor productivity (TFP) describes the level of growth in “desirable output” as a consequence of creative thinking or management. It does not take into account tangible elements such as capital and labor. It also does not take into consideration the detrimental effect of environmental degradation, which is considered as “undesirable output” within the context of the paradigm used to calculate economic growth. The Green Total Factor Productivity (GTFP) includes the estimation of pollutant emissions and incorporates them into the framework of a growth accountant [18,19]. This approach provides a more comprehensive assessment method to measure the actual situation of economic growth and promote excellent-quality development in agriculture along with encouraging rural revitalization and modernization in agriculture [20], as well as solving the problem of low incomes for Chinese residents and enhancing the living standard of local residents [21]. At the same time, GTFP also considers environmental factors, and the damage to the ecological environment is further alleviated. This leads to a series of theoretical and practical questions. How does the integration of agriculture and tourism affect the development of green total factor productivity, and what is the underlying mechanism that drives this influence? In addition, what are the different ramifications and repercussions that come up as a result of this integration?
Furthermore, the integration of agriculture and tourism paves the way for new possibilities for rural inhabitants and agricultural businesses, such as farmer cooperatives, family farms, and large-scale farmers, to actively engage in the agro-tourist sector of the economy. By participating in this integration, they not only have the opportunity to contribute to the development of environmentally responsible farming practices, but also to increase their production in ways that are kind to the environment. This synergy between agriculture and tourism encourages the rise of green factor productivity in agriculture, which ultimately results in favorable consequences for the environment as well as economic advantages for the parties involved [22]. However, the cognition, recognition, and final acquisition of related technologies and management knowledge of agricultural tourism integration depend largely on the level of rural human capital. Agricultural business entities at different levels of human capital have different amounts of knowledge of agricultural tourism integration, production and management expertise, and factor distribution capacity; as a result, there are unavoidable differences in the efficiency of production and management activities when making relevant decisions on agricultural tourism integration and acquiring corresponding knowledge and technology resources. Does the existence of skilled people in rural areas have an impact, either positive or negative, on the association between the development of green total factor productivity in agriculture and the integration of agricultural and tourism practices?
Existing research exhibits certain shortcomings. Most prominently, investigations into the amalgamation of agriculture and tourism predominantly emphasize the meaning and implication of unifying agricultural and cultural tourism [6], evolutionary history and development trends [7], typical models and major forms [10], and planning and design [23]. Due to the poor availability of statistical data, quantitative evaluation studies on agricultural tourism integration are relatively insufficient and more focused on specific regions, making it challenging to conduct in-depth and detailed comparative studies in wider regions. Second, there has been relatively little discussion of the ‘externalities’ of agriculture–tourism integration, focusing mainly on the impact on income growth for farmers and other stakeholders [24], regional economic growth [25], and poverty reduction of low-income people [26]. The “externalities” of agricultural tourism integration have rarely been discussed from input–output efficiency at the level of related industries.
This study used China as the study case and examined the impact on the growth of the green total factor productivity role played by agriculture to promote agricultural tourism. Also, this study introduces a novel framework that takes into account agricultural green total factor production as part of the evaluation of agricultural tourist integration’s “externality.” The research focuses on a number of important contributions. To begin, it sets up a method for establishing an evaluation index in order to determine the extent to which agriculture and tourism are already integrated. In order to evaluate the intensity of agricultural tourism integration’s development, between 2008 and 2018, data from thirty provinces of China were collected, and gray correlation and factor analysis were used to analyze the proposed data. The study also explores the temporal evolution and spatial differences in agriculture–tourism integration, and it provides insights into its evolutionary dynamics and regional variants as a result. In addition, the concept of green total factor productivity in agriculture is analyzed and included in the framework for the integration of agricultural tourism. The present study employs systematic GMM estimation and Tobit models to simulate the increase in productivity caused by agricultural tourism integration and the moderating role of investments in rural human resources (for example, healthiness, education, and migration) in these effects. As a result, research on the externalities of agricultural tourism integration is either enriched or expanded. This study sheds light on the theoretical underpinnings of the natural connection that exists between the integration of agricultural tourism and the expansion of agricultural green total factor production. This study expands on the internal relationship between agricultural tourist integration and the growth of agricultural green total factor productivity, expanding the research results on the externalities of agricultural tourism integration. In terms of theory, this study focuses on the internal association between agricultural tourism integration and the growth of agricultural green total factor production. In execution, the level of China’s agriculture–tourism integration was assessed over an extended period of time and across various regions. Additionally, its temporal formation and spatial changes were investigated in depth, which provides a more comprehensive view of the efficacy of China’s integrated agricultural tourism development and the disparity between regions. It provides a baseline for the rest of the globe to use in determining the level of integration of agricultural tourism and the spatial distinctions that exist in terms of the methodologies and channels involved. In addition, the findings of this study provide evidence that the integration of agricultural tourism has a positive influence on total factor productivity growth and that rural human capital investment also plays a part in this phenomenon. It offers a wealth of policy ideas for the development of agricultural tourism and rural human capital investment in order to support sustainable agricultural growth all over the world, particularly in developing nations.

2. Theoretical Analysis

2.1. The Influence of Agriculture–Tourism Integration on Agricultural GTFP Growth

The synergistic relationship between agriculture and tourism primarily showcases its impact on the expansion of green total factor productivity growth in agriculture affected by different key factors: the technological progress effect, factor allocation effect, structural optimization effect, and output growth effects of agriculture–tourism integration [27]. These effects permeate and interact with each other [28] and collectively boost the efficiency of agricultural input and output.
The technological advancement effect is primarily seen in agricultural tourism integration, which facilitates the breaking down, reconfiguring, and expanding operation chain within two industries [29]. The advanced technology and management experience of tourism enterprises penetrate into agricultural business entities through the geographical proximity, talent flow, and technological interaction of the two industrial business entities. The new format and model derived from agricultural tourism integration have a high technical level, and an advanced process management mode as well [30], such as Ctrip, Qunar, and other platform enterprises, integrating the business of relevant agricultural tourism enterprises or business entities in the agriculture–tourism integration chain, forming an “overflow” mechanism of embedded tourism technology or process management with leading enterprises as the core, horizontal, and vertical combination, thus improving the technology of relevant agricultural business entities [31]. In addition, agricultural business entities are bound to actively import advanced agricultural technology equipment and business models [32] in the “tourism” functions of integrating agricultural resources, expanding agricultural products and production activities, such as pastoral agriculture, folk customs, leisure vacations, popular science education, etc., which helps improve the agricultural technology level.
The influence of factor allocation. Because of the dominance of restricted capital, ample land, and primary labor resources in the framework of factor allocation in agriculture, the allocation of agricultural factors of production is generally inefficient [33]. The tourism industry’s reach expands into the agricultural sector, creating new opportunities for business. By integrating and expanding the industrial chain as well as the value chain, the core of the agricultural industry is able to enter the tourism market and increase the size of its companies [34]. As a result of this process, the capital, technology, talents, information, management, and other factors of the two industries have realized market-oriented flow and full interaction. This has resulted in the promotion of the optimal allocation of various factors of production at a higher and deeper level of integration of the factor system, as well as an effective increase in the allocation efficiency of agricultural factors. In addition, the integration of agriculture and tourism creates a plethora of non-agricultural jobs and opportunities for rural entrepreneurs to start their own businesses [35,36] This encourages rural labor to transition away from direct agricultural production and operation activities, which, in turn, promotes the moderate scale and intensive management of agricultural land resources, which, in turn, allows for the release of moderate economies of scale at lower costs and higher levels of efficiency.
Optimization of the structural framework effect. The combination of tourism and agriculture has broadened the scope of what can be included in the development of rural tourism. Numerous content-rich products and services geared toward rural tourism have been developed in recent years [37]. These include national agricultural parks, leisure farms, rural camps, rural manors, rural museums, citizen farms, and rural residential houses. Because of their requirements, the distribution of agricultural production elements is forced to undergo a significant rethinking and rearranging of their roles. Because of this, the structure of agricultural production, product structure, and numerous structures are all able to be optimized. The structural adjustment of the agricultural supply, which is directly related to changes in market demand, makes it possible to increase the efficiency of agricultural production and operation [38]. Agriculture–tourism integration boosts the development of agricultural multifunctionality [39]. Diversified consumer demand for agricultural tourism products and services expands the diversity of agriculture, manifesting itself in the combined prominence of agricultural supply, employment and security, ecology, recreation, culture, and education, which further leads to the process of increasing the efficiency of agricultural technology and technological progress.
Output growth effect. Agricultural output includes not only desirable or expected output but also undesirable or unexpected output such as carbon emissions [40,41]. Agricultural tourism products or services have good ecological functions [42,43]; local governments and agricultural tourism entities will inevitably reduce environmental pollution through green technological innovation and ecological environment creation to meet consumers’ needs and demands for green consumption. Then, agriculture–tourism integration expands the tourism function of agricultural resources. Agricultural merchandise, ecological nature, and human resources become tourism products and realize value increment [44]. In terms of time, every value chain link can be creatively experienced by tourists, which changes the “single” value realization function under traditional agriculture. In terms of space, it effectively integrates various natural resources, human resources, and productive resources through orderly project organization and route setting [45]. Therefore, such “time empowerment” and “space empowerment” have effectively expanded the income growth point of agricultural production and operation activities. Finally, agriculture–tourism integration assists in fostering agricultural merchandise and regional brands, raising the visibility and reputation of agricultural merchandise, and increasing the added value of agricultural sales.
Based on the above analysis, this study formulates Hypothesis 1: Agriculture–tourism integration effectively promotes an increase in agricultural green total factor productivity.

2.2. The Regulatory Role of Rural Human Capital Investment

Human capital is the capital embodied in laborers, including their intellectual, cultural, and technological levels and their state of health. Since the introduction of the concept of human capital by Schultz, ‘human capital’ has become an influential aspect in the new growth theories to explain the roots of economic growth and production efficiency differences. In terms of human capital formation, the level of investment in health, education, and training, as well as transport and communication, are crucial factors influencing human capital accumulation and are widely recognized as prominent roles in improving the quality and productivity of the population. Investment in healthy human capital helps improve the population’s health status and increases the labor force participation rate and the labor supply for economic growth. Individual or household investment in healthy human capital enhances strategic and long-term future production and business allocation through the reinforcing effect of investment and financing confidence, thereby acquiring long-term business performance [46,47]. Productivity enhancement depends not only on the health of human capital and the supply of labor quantity, but also on human capital’s knowledge capacity and professionalism. Investment in education and training can effectively reduce productivity losses due to low decision-making capacity by improving knowledge and enhancing the efficiency of decision making in production and operation [48,49]. In addition, in a modern society where interpersonal interactions are increasingly frequent, investment in transport and communications can expand workers’ geographical mobility and interpersonal networks. This enables them to effectively access a broader range of business information, investment opportunities, knowledge, experience, and social capital. It has been widely researched that the social and interpersonal interactions resulting from transport and communication investments greatly enhance individuals’ and households’ employment and entrepreneurship levels [50]. Rural people’s transport and communication investments alleviate the urban–rural ‘information divide’, increase the effectiveness of rural people’s market integration and participation, and contribute to the growth of agricultural productivity [51].
Human capital is not only a factor input that directly influences micro and macro-economic growth and productivity performance. Its ‘special status’ as the most active [52,53], dynamic, and creative of all production factors makes the human capital level an indispensable moderating part in the impact of agricultural tourism integration on agricultural green total factor productivity growth. Based on the previous analysis, agricultural tourism integration contributes to the growth of agricultural green total factor productivity through multiple effects such as influencing technological change and factor allocation in agricultural production. However, the extent to which the impact of agricultural tourism integration on agricultural green total factor productivity is visible is still limited by the overall level of rural human capital in each region. Firstly, the technology identification and selection theory based on the factor endowment structure suggests that the technology structure needs to be highly compatible with the factor investment structure. Different levels of human capital differ greatly in their ability to accumulate skills, acquire knowledge, and absorb foreign technology [54]. They have different effects on identifying opportunities for technology spillovers, their absorption and application, and their transformation [55]. Technology exchange is an essential route for explicit and invisible knowledge and technology spillovers. To a large extent, the standard of human capital influences the depth and breadth of technology exchange and knowledge diffusion. Thus, in the process of technological spillover from agricultural tourism integration to agriculture, investment in rural human capital improves the business quality of workers, which helps to enhance the knowledge and technology spillover effect of agricultural tourism integration on agricultural technology, thus promoting agricultural technological progress. Secondly, in factor allocation, human capital determines the direction or operation scope of factor allocation to a greater extent. Laborers with higher levels of human capital are more inclined to strategic and long-term factor allocation. They are more capable of integrating other factors of production like land, production technology, and capital, which contribute to the overall efficiency of factor allocation and productivity. Consequently, the level of rural human capital affects the extent to which agricultural tourism integration influences the factor allocation impact in agriculture, which, in turn, significantly affects the growth of green total factor productivity in agriculture.
Therefore, this study puts forward Hypothesis 2: Rural human capital has a positive-going regulatory aspect in the impact of agricultural tourism integration on the growth of agricultural green total factor productivity.

3. Models, Estimation Methods, and Variables

3.1. Measurement Model and Estimation Method

The most commonly used estimation methods of panel data models generally include mixed-effects (POLS), fixed effects (FE), random effects (RE), and other models [56]. However, if the explained variable has an endogeneity problem, the estimation of the results of the above three models will be biased. The existence of endogenous variables makes it evident that least squares estimators (OLS) will obtain inconsistent estimation results; even if Fixed Effects (FE) are adopted, or the sample size estimates are enlarged, they will not converge to the actual values of parameters [57]. The traditional instrumental variables approach controls for endogeneity, but they are not effective in avoiding dynamic panel bias [58]. However, the systematic GMM method developed based on the differential GMM method can effectively solve the above problems [59,60]. The differential GMM utilizes endogenous differential variables as instrumental variables for the homologous variables in the level equations, and the system GMM builds on this by using level endogenous variables as instrumental variables for the corresponding variables in the differential equations and by integrating both the differential and the level equations. GMM estimation is performed systematically as an equation. Compared with the differential GMM, the system GMM allows more instrumental variables to be introduced. When the new instrumental variables are resultful, the system GMM uses more information, greatly improving estimation efficiency. The paper concludes with a two-stage systematic GMM approach to parameter estimation. In the actual estimation process, the higher-order lag terms of the endogenous variables are used as their instrumental variables, and the number of instrumental variables is minimized to settle the loss of degrees of freedom. The sample variance–covariance matrix is adjusted for small samples.
G T F P i t = α + β 1 L N C O i t + β 2 G T F P i t 1 + β 3 L N X i t + μ i + λ t + ε i t
In Formula (1), C O is the core explanatory variable, representing the integration degree of agriculture and tourism; G T F P is the explained variable, representing the agricultural green TFP; X is the set of control variables; L N stands for the natural logarithm; i and t represent the ith province and the tth period, respectively; t - 1 represents a lag period; μ i stands for regional fixed effect; λ t represents year fixed effect, and ε i t represents random disturbance item.
Moreover, for investigating the moderating effect of rural human capital on the impact of agritourism integration on the growth of green total factor productivity in agriculture, we further add the interaction term between agricultural tourism integration and rural human capital to the baseline Equation (10), obtaining the Equation (2):
G T F P i t = α + β 1 L N C O i t + β 2 G T F P i t 1 + β 3 L N ( C O i t × H C i t ) + β 3 X i t + μ i + λ t + ε i t
In Formula (2), L N ( C O i t × H C i t ) represents the natural logarithm value of the interaction item between the agriculture–tourism integration and rural human capital (specifically subdivided into migratory human capital, educational human capital, and healthy human capital); and X i t represents a series of control variables.
In order to predigest the model and avoid the situation where the model cannot be identified due to it having too many parameters, the model only contains one interactive item at a time in the inspection process, and the inspections are carried out in turn. For the parameter estimation of Formulas (1) and (2), the two-step system GMM method is adopted.

3.2. Explanation of the Variables

3.2.1. Explained Variable

The explained variable in this paper is agricultural green total factor productivity (GTFP). Referring to [61], this study uses the SBM-ML index method to calculate the GTFP growth index. The output index is the desired output expressed by the total value of agriculture, forestry, animal husbandry, and fishery, and the total value of agriculture, forestry, animal husbandry, and fishery is calculated by the price index (2008 = 100) to eliminate the influence of price changes. Taking agricultural carbon emissions caused by six factors, such as chemical fertilizer, pesticide, agricultural film, diesel oil, plowing, and irrigation, as undesirable output [62,63,64,65], the unit (10,000 tons), its accounting formula is E = E i = T i δ i .
The input indicators are as follows: agricultural labor input is represented by the number of employees in the primary industry, land input is represented by the actual sown area of crops, machinery input level is represented by the total power of agricultural machinery, chemical fertilizer input level is represented by the pure amount of chemical fertilizer application, and irrigation input is represented by the effective irrigation area. All data are from China Statistical Yearbook, China Population and Employment Statistical Yearbook, and provincial statistical yearbooks from 2008 to 2018. Any missing data are calculated using the interpolation method of the stata17 software.
Since the SBM-ML index method for estimating green total factor productivity in agriculture is the ring growth data of two adjacent periods, it can only reflect short-term changes. If it is directly included in the model, it may lead to biased results. Therefore, referring to the existing literature [66,67], constructing the cumulative agricultural green total factor productivity growth index is based on the base period year. The chain index of each province is multiplied cumulatively, and the two decomposed indexes (technical progress and technical efficiency) are also sorted according to this method. The calculation process is as follows:
G T F P i t = t = 1 t T F P i t

3.2.2. Core Explanatory Variables

Agriculture–tourism integration (CO). This variable is measured by the comprehensive index of agricultural tourism integration.
Despite numerous references to agriculture–tourism integration in government policy documents, the academic study is a primarily qualitative description or typical case analysis. It has not yet formed an authoritative and relatively unified framework for measuring the agriculture–tourism integration level.
Hu and Zhong [68] chose the number of selected demonstration counties in prefecture-level cities to represent the development level of agricultural tourism integration under the framework of “Opinions of National Tourism Administration of the Ministry of Agriculture on Establishing National Leisure Agriculture and Rural Tourism Demonstration Counties and National Leisure Agriculture Demonstration Sites”. Although this description method can partly reflect the development level of agriculture–tourism integration, there is still a certain gap in the essential connotation of agriculture–tourism integration. This study holds that agriculture–tourism integration is the systematic integration and internal relationship between agriculture and tourism in the industrial and value chains, leading to improved economic and social benefits. Therefore, based on the development connotation and goal orientation of agriculture–tourism integration, fully considering the existing literature and the feasibility of data collection, this study describes the regional agriculture–tourism integration development level from three dimensions. First, we selected the relevant output indicators of agriculture and tourism, and used the grey correlation method to calculate the correlation degree of agricultural tourism integration in various regions. The second one is to select the quantities of national leisure agriculture and rural tourism demonstration counties and demonstration sites in a variety of regions, representing the degree of development of new forms of agricultural tourism integration in various regions. Thirdly, the data on investment, employment, agriculture, and tourism in different regions are selected to show the economic and social effects of agriculture–tourism integration. Based on the aforementioned three-dimensional space and data from 14 indicators, we systematically measured the development level of agriculture–tourism integration in each region by employing factor analysis and the entropy method. The constructed index system is shown in Table 1 below. The specific calculation method and process are as follows: we calculate the five subdivision indicators of industrial correlation degree by using the grey correlation method referring to the practice of [69], and take the average value of the four correlation coefficients as the grey correlation degree levels of agriculture and tourism in each region.
In this indicator system, the data related to agriculture are mainly based on China Statistical Yearbook 2008–2018, the data related to tourism mainly come from local statistical yearbooks at the provincial level from 2008 to 2018, etc., and the integration of new formats is mainly from the Identification List of National Demonstration Counties and Demonstration Sites of Leisure Agriculture and Rural Tourism published by the Ministry of Agriculture and the National Tourism Administration.

3.2.3. Control Variables

Based on the previous literature, the following variables are considered to serve as the control variables. The Marketization index of China’s provinces is used as a measurement tool to determine the marketization level or index (MI). The ratio of secondary or tertiary industries to GDP is a characteristic often known as industrial structure (IS) [70,71]. The ratio of the urban population to the total population as at the end of the year is one of the key indicators of urbanization (URBAN) [72]. The ratio of total government financial expenditure (FE) to regional gross value is the standard unit of the regional economy [73]. The percentage of a region’s regional/provincial gross domestic product (GDP) to its total amount of foreign direct investment (FDI) is one way to measure foreign direct investment [74].

3.2.4. Adjusting Variables

Rural human capital index (HC). This research utilizes transportation and telecommunication expenditure (MH) to represent migratory human capital, culture, education, and entertainment expenditure (EH) to stand for educational human capital, and health care expenditure (HH) to represent healthy human capital. Specific instructions are given below:
Migratory human capital. The migration of human capital has a positive-going effect on the development of economic diversification in agriculture and enhanced regional innovation. Additionally, increased investment in agricultural transportation and telecommunications has enabled rural farmers to improve the level of interregional communication, which has been instrumental in the dissemination and diffusion of knowledge and technology [75]. In order to express migratory human capital, this article makes use of the percentage of total expenditure that is allocated to transportation and communications costs.
Educational human capital. Within the framework of the urban–rural dichotomy, the education of rural farmers has emerged as a central focus of concern both in the United States and in other countries. The fundamental rationale for cultivating talents in higher education is to improve the comprehensive quality of farmers. Meanwhile, higher human capital also dramatically improves agricultural production efficiency and indirectly enhances the level of rural economic development [76]. The expression “educational human capital” will be used throughout this study to refer to the percentage of total expenditure that goes toward spending on culture, education, and entertainment.
Healthy human capital. Human capital must invest in medicine and health. Better medical and health infrastructure makes the health of rural residents more secure and economic growth more dynamic [77]. This paper uses the proportion of medical care expenditure to total expenditure to express healthy human capital.

3.3. Data Sources and Descriptive Statistics

For this study, a representative sample of the data from 30 of China’s provinces, municipalities, and autonomous territories from 2008 to 2018 was chosen (with the exception of Hong Kong, Macao, Taiwan, and Tibet, due to a lack of data for those series). The market-oriented index involved is based on the report of China’s sub-provincial market-oriented index (2018) [78] published by Wang Xiaolu, Fan Gang, and Hu Lipeng, and the original data of other control variables come from China Statistical Yearbook from 2008 to 2018. To eliminate heteroscedasticity and magnitude order, the data on marketization degree, industrial structure, urbanization degree, government financial expenditure, and foreign direct investment are processed numerically. Variable descriptions and descriptive data are shown in Table 2.

4. Results and Discussion

4.1. Evolution Trend

4.1.1. The Evolution Trend of Agriculture–Tourism Integration

This study employs a factor analysis based on panel data to investigate the integration of agricultural tourism in mainland China’s 30 provinces (with the exception of Tibet) from 2008 to 2018. The dynamic historical progression of agricultural tourism’s incorporation can be seen in Table 3, which covers the entire country, as well as the eastern, central, and western regions, and the provinces.
In Table 3, it is found that there were apparent differences in the integration level of agriculture and tourism in different provinces from 2008 to 2018. The provinces with high agriculture–tourism integration degrees are principally concentrated in the eastern and central regions. In contrast, the provinces with relatively low agriculture–tourism integration degrees are concentrated in the western region. In general, the standard of agriculture–tourism integration indicates a gradient characterized by the central region being higher than the eastern area and the eastern area being higher than the western region.

4.1.2. Re-Examination Based on Kernel Density Estimation

This study employs kernel density estimation to analyze the integration of agricultural and tourism industries. Kernel density estimation is a non-parametric estimation method that enables the characterization of regional disparity distribution patterns by utilizing the temporal variations in random variables. Its advantage lies in, first, the kernel density estimation of density curve is continuous and smooth, and can be directly mapped out. Kernel density estimation provides a visual representation of the distribution of the data. This helps to explain the distributional characteristics and properties of the data, as well as to detect outliers or multiple spikes. Second, kernel density estimation is a nonparametric method that does not require any a priori assumptions about the distribution of the data [79]. This gives it an advantage when dealing with data with complex or unknown distributions, as it is not restricted to a particular distribution form. Assuming that the density function of the random variable x is denoted as f(x), the probability density at a particular value x can be expressed as follows:
f ( x ) = 1 N h i = 1 N K ( X i x h )
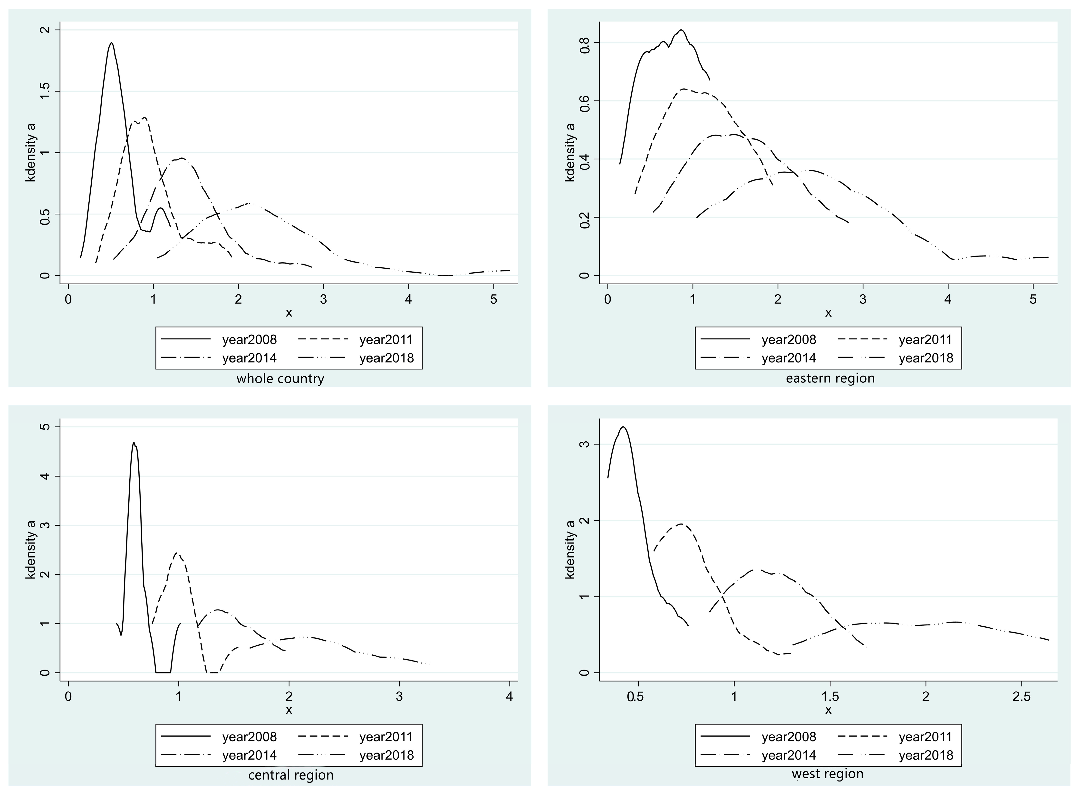
In the above equation, N represents the sample size, h denotes the bandwidth, Xi refers to independently and identically distributed observations, x represents the mean, and K(·) denotes the kernel function. This study utilizes the Gaussian kernel density, taking the years 2008, 2011, 2014, and 2018 as reference points to estimate the distribution of agricultural tourism industry integration in China as well as in three major regions. The analysis of the distribution of agricultural tourism industry integration can be performed by examining the position, shape, and spread of the kernel density plots. The result is shown in Figure 1.
Figure 1 demonstrates that the center of the kernel density curve of the integration level of agriculture and tourism in the whole country and three major regions shows a trend of moving to the right. The peak degree changes from peak to broad peak, indicating that the agriculture–tourism integration level is rising during the investigation period, and the regional gap is gradually widening. Specific to the distribution situation in the whole country and three major regions, the peak value of the nuclear density curve shows a significant downward trend at the national level, and there is a transition from multi-peak to single-peak, which indicates that the regional differences gradually increase during the process of improving the integration level of agriculture and tourism. In the case of the eastern region, the right tail of the kernel density curve is significantly elongated, with peaks varying from multiple peaks to single peaks to multiple peaks, and smaller horizontal peaks, which suggests that regional differences in the level of agritourism integration in the eastern region are gradually increasing. For the central region, the peaks declined significantly and the “multi-peak” pattern gradually disappeared, indicating a weakening of the multipolar phenomenon. In the central district, the standard of agriculture–tourism integration is increasing, and regional disparities are clearly enlarging. In the western region, the peak also shows a decreasing trend, and the two ends show a lengthening trend. As the regional gap narrows, the level of integration between agriculture and tourism is increasing.
In the previous section, a theoretical explanation was given of the methods by which agricultural tourism integration affects the rise of green total factor productivity in agriculture. To be more specific, it is not entirely evident, based on the available scientific evidence, which factors influence the expansion of green total factor productivity in agriculture, nor is it certain whether or not rural human capital is necessary for agriculture. The increase in the total factor productivity of green areas has a moderating influence, which unquestionably contributes to the research value of the topic. The degree of marketization, industrial structure, urbanization rate, government fiscal spending, and foreign direct investment are chosen as control factors for this study. Adjustment variables include migratory human capital, educational human capital, and healthy human capital. Using the two-step dynamic system GMM as a methodology, we conducted an empirical study to investigate the impact that agricultural tourism integration has on the increase in green total factor productivity in agricultural settings. In the meantime, research was conducted to investigate the moderating effect of rural population capital. The findings of academic study on agricultural tourist integration reveal that the majority of attention is paid to the development of agritourism integration, the influence of agricultural tourism integration on agroecological efficiency, and the effect of agricultural tourism integration on rural poverty. On the other hand, there is a paucity of research on the subject of how the integration of agricultural tourism affects agriculture and the complete spectrum of green growth drivers. The purpose of this study is to investigate the incorporation of agricultural tourism innovations into the framework of green total factor productivity in agriculture, theoretically interpret the impact and role that agricultural tourism incorporation plays in the growth of green total factor productivity in agriculture, and further investigate the moderating function of rural human capital in the above roles.

4.2. Benchmark Regression Based on Two-Step GMM

In the previous subsection, we briefly analyzed the evolution trend of agriculture–tourism integration to strengthen our knowledge and understanding of agriculture–tourism integration. Next, we focus on the impact of agriculture–tourism integration on agricultural GTFP to verify the theoretical hypotheses in the second part.
First of all, the model parameters were estimated using the two-step dynamic system GMM, and the results are presented in Table 4 for Model I, Model II, Model III, and Model IV, respectively. Among them, Model I is the estimation result of uncontrolled regional and time effects; Model II is the estimation result of uncontrolled regional effect but controlled time effect; Model III is the estimated results of uncontrolled time effect but controlled regional effect; and Model IV is the estimated results of simultaneously controlled regional and time effects. In this study, Model IV is taken as the benchmark model for discussion.
Dynamic panel GMM estimations can effectively avoid the result deviation caused by endogeneity. The GMM model can be divided into one-step GMM and two-step GMM. In generalized moment estimation, the two-step method is usually more effective than the one-step method, so this paper uses the two-step method for estimation. As shown in column (4) of Table 4, AR (1) and AR (2) tests show that the equation residual sequence does not reject the first-order sequence correlation, but can significantly reject the second-order correlation. Before employing the GMM mode, the Durbin–Wu–Hausman Test and the autocorrelation test were analyzed to confirm that not all explanatory variables are exogenous, indicating that the model setting is feasible. The p-value of the Hansen test is greater than 0.1 and less than 0.8, which accepts the alternative hypothesis rather than rejects the null hypothesis, which means that the instrument variables selected for this study are valid. Therefore, it can be considered that the results are consistent and reliable to estimate Model 4.
The association between industrial integration and agricultural tourism confirms a significant level at less than 1% with the positive sign of a coefficient value of 0.365. This confirms that by controlling other variables agricultural tourism can have a positive and significant effect on green total factor productivity in agriculture. A one-percentage-point rise in the integration of the agriculture and tourism industry (CO) made the agricultural green total factor productivity 0.365% worse off. This shows that the performance of promoting the integration of the agriculture and tourism industry is evident, which can significantly boost the high-quality development of the agricultural economy with green total factor productivity as an endogenous power. The research conducted by Zhong Yiping has demonstrated beyond a reasonable doubt that the integration of agricultural tourism encourages the improvement and optimization of the rural industrial structure. The accumulation of capital serves as a facilitator for the integration of agricultural tourism, which, in turn, enables the improvement and optimization of the structure of rural industry. However, this research confirms that agricultural tourism integration has promoted the overall agricultural economy’s high-quality development under the control variables’ influence. The convenience, technology integration, and optimization of industrial resource allocation brought by the agricultural tourism integration can fit the development concept of China’s agricultural modernization and versatility. At the same time, the agricultural tourism integration industry not only promotes faster interaction between advanced technologies, improves corporate management, and increases capital injection and investment, but also provides a strong guarantee for agricultural ecological environment protection.
For other control variables, the coefficient of marketization degree is dramatically negative at the level of 10%, which demonstrates that the acceleration of the marketization process has significantly restricted the growth of agricultural green total factor productivity. It is possible that this is due to the fact that market-oriented reform accelerates the movement of high-quality labor and capital from rural areas to the secondary and tertiary sectors in urban and suburban areas. This results in a suboptimal allocation of factors for agricultural development and restricts the growth of agricultural green total factor production. The coefficient of urbanization development becomes notably negative once it reaches the level of 10%. This indicates that the development of urban areas has a significant negative impact on the expansion of farming’s contribution to total green factor output. One possible explanation is that the level of development has not yet reached a satisfactory level. The influence of feedback on the development of high-quality farming has not been made obvious due to the fact that the primary drive is the increase in green total factor production. Spending on public goods and services by the government has a coefficient that is 1% considerably positive. This indicates that the existing framework of the government’s fiscal expenditure has been significantly enhanced, and that this improvement has contributed to the expansion of agricultural green total factor output. The rate of direct investment from other countries is considered to be rather healthy when it reaches five percent. One possible explanation for this phenomenon is that foreign direct investment (FDI), which boosts the growth of green total factor production in agriculture through the knowledge or technology spillover effect, also contributes to the industry’s advancement of technological progress and technical efficiency.

4.3. Stability Test Based on the Tobit Model

In order to guarantee the credibility and stability of the estimation results, this paper tests some critical recognition assumptions. Therefore, the Tobit model is used for further testing in this study. Tobit model was put forward by Tobin [80], and its general form is as follows:
y * = β X i + μ i y i = y i * if y i * > 0 y i = 0 if y i * > 0
In Formula (5), y i * is a latent variable; y i is an observed dependent variable; X i is an independent variable vector; β is a correlation coefficient vector; and the error term μ i is independent and obeys normal distribution.
Before regression analysis in panel Tobit, we should choose the appropriate model. After the Hausman test, we finally chose the fixed effect model. Because the semiparametric estimation method does not need to assume the specific form of residual error, it can obtain consistent estimators even if individuals have heteroscedasticity [81], so this paper uses this method to regress the model. The consequences show that (due to the limited space, the text is not reported) the coefficient of agricultural tourism integration is 0.485, and it significantly promotes the increase in agricultural green total factor productivity at the level of 1%, which shows the robustness of the research conclusion again.

4.4. Heterogeneity Test of the Impact of Agriculture–Tourism Integration on Agricultural Technology Progress and Efficiency

It has been demonstrated that agriculture–tourism integration significantly contributes to the growth of green total factor productivity in agriculture. Green total factor productivity in agriculture can also be decomposed into an index of agricultural technological progress and an index of agricultural technical efficiency. Further study on the heterogeneous effects of agriculture–tourism integration on agricultural technological progress and agricultural technological efficiency may have additional policy implications. The regression results based on GMM estimation of the system are presented in Table 5 below.
As shown in Table 5, both the index of agricultural technological advancement and the coefficient of agricultural technical efficiency trailing behind by one period show positive values at a significance level of 1%. This indicates that agricultural technological progress is being made. Also, it shows that advancements in agricultural technology and improvements in technical efficiency appear to follow the same trend. The integration of agriculture and tourism has a highly negative influence on the effectiveness of environmentally friendly agricultural technology, the so-called GETP, at the 1% level, but it has a considerable positive effect on the progression of environmentally friendly agricultural technology at the 10% level. This indicates that while the integration of agriculture and tourism effectively supports the advancement of green agricultural technology, it does so at a slower pace than the improvement in the efficiency of green total factor productivity in agriculture. It is possible that this is due to the fact that the development of environmentally friendly farming technology is dependent on the utilization of agricultural goods and tools, as well as the utilization of more modern industrial technology. The merging of agriculture and tourism fosters greater opportunities for collaborative problem solving and personal interaction among workers in agricultural tourist enterprises. Additionally, it has the potential to considerably increase the technical understanding or content of the actions involved in farm production and operation. Moreover, the integration of agriculture and tourism motivates relevant enterprises in the industrial chain or value chain to invest more money in material tools and production management technology. This is a very essential step toward accelerating the development of farming technology. Nevertheless, the improvement in agricultural technology efficiency depends on the systematic integration and optimal allocation of multiple production factors such as capital, land, and labor, and the moderate scale operation under the circulation of agricultural land. This factor allocation and scale economy effect are difficult to highlight in the short term.

4.5. The Moderating Role of Rural Human Capital

The results of preceding theoretical analyses indicate that the interaction or synergy between rural human capital and agriculture–tourism integration has a positive moderating effect on the growth of green total factor productivity in agriculture. However, Zhong Yiping argues that capital accumulation is conducive to agriculture–tourism integration and is an indispensable condition for promoting the upgrading of the rural industrial structure. This study set up an interactive project of mobile human capital, education human capital, health human capital, and agricultural tourism integration, and further explores the joint impact of rural human capital and agricultural tourism integration on agricultural green total factor productivity. The estimated results are shown in Table 6. Column (1) is the interactive effect between rural migratory human capital and agriculture–tourism integration, column (2) is the interactive effect between rural educational human capital and agriculture–tourism integration, and column (3) is the interactive effect between rural healthy human capital and agriculture–tourism integration.
From column (1) to column (3), it can be seen that the estimation coefficient of agriculture–tourism integration becomes precarious after three interactive items of rural human capital and agriculture–tourism integration are covered in the model, because the impact of agriculture–tourism integration on agricultural green total factor productivity growth changes from the benchmark model (1) of β 1 to the Formula (13) of β 1 + β 3 C O i t . We focus on the interaction coefficient between agricultural tourism integration and rural human capital; that is, the synergistic effect or common influencing mechanism of disparate categories of rural human capital and agricultural tourism integration on agricultural green total factor productivity.
Mobility human capital, educational human capital, and health human capital show positive interaction coefficients with agricultural tourism integration at a significance level of at least 10%. The synergy between improving human capital in rural districts and integrating agricultural tourism can significantly enhance agricultural GTFP. Specifically, individuals from rural areas who possess migratory human capital often acquire new experiences and education in other regions or countries, gaining advanced agricultural production technology and management knowledge. Upon their return or during their stay in rural areas, their skills and knowledge effectively transfer to other farmers, thereby improving overall agricultural production efficiency and quality. Furthermore, the integration of agricultural tourism promotes agricultural green total factor productivity [82]. Education equips farmers with knowledge in agricultural science, innovation, environmental protection, market demand, and other related areas, enabling them to make informed decisions and better participate in agricultural tourism [55,83]. Physical health serves as the foundation for engaging in agricultural production and agritourism activities, exerting a prominent impact on the development of rural human capital and the quality and efficiency of agricultural production. Healthy human capital enables farmers to adapt better to the requirements of agritourism activities, enhancing work efficiency, reducing production risks, and ultimately contributing to the improvement of agricultural green TFP [55]. Overall, the research confirms the significant role of migratory human capital, educational human capital, and health human capital in the integration of agritourism and agricultural green TFP. As rural human capital levels and agritourism integration continue to improve, the skills, knowledge, and health of farmers engaged in agricultural production and agritourism will collectively contribute to significant improvements in green agricultural total factor productivity. Consequently, it is essential for the government to not only promote agritourism integration but also enhance rural residents’ understanding of agritourism integration policies, fostering improvements in agricultural production efficiency and green total factor productivity. Simultaneously, investments in migrant farmers, healthcare infrastructure, education, and training should be increased to enhance rural–urban mobility, facilitate the transfer of urban technology and industrial civilization to rural areas, and elevate rural human capital levels. Failure to do so will significantly limit the positive influences of agritourism integration on agricultural green total factor productivity.

5. Conclusions and Policy Implications

5.1. Conclusions

Firstly, this study initially constructs a comprehensive index system to measure the comprehensive development level of agriculture–tourism integration from 2008 to 2018 in 30 sample provinces of mainland China (excluding Tibet). It also provides a brief analysis of the development trends of the comprehensive development level of agriculture–tourism integration to gain a clearer understanding. Secondly, rural human capital is incorporated into the theoretical analysis framework between agriculture–tourism integration and agricultural green total factor productivity. It not only examines the impact of agriculture–tourism integration on the growth of agricultural green total factor productivity but also discusses the moderating effect of rural human capital on the relationship between agriculture–tourism integration and the growth of agricultural green total factor productivity. Through empirical data validation and theoretical analysis, the research findings indicate that (1) The level of agricultural tourism integration in China shows the typical characteristics of rapid increase and widening regional differences, and exhibits higher gradient characteristics in the central than in the east, and higher in the east than in the west. (2) Agricultural tourism integration has significantly contributed to the growth of agricultural green total factor productivity. (3) Agricultural green total factor productivity can be decomposed into indicators of agricultural technology progress and technical efficiency. Our findings indicate that agriculture–tourism integration significantly promotes agricultural technology progress but inhibits improvements in agricultural technical efficiency. Moreover, both the coefficients of the agricultural technology progress index and the lagged one-period agricultural technical efficiency are significantly positive. This suggests that both agricultural technology progress and improvements in technical efficiency exhibit clear path dependence. (4) Rural migratory human capital, educational human capital, and health human capital all play a noteworthy positive-going moderating part in the influence of agricultural tourism integration on agricultural green total factor productivity growth.

5.2. Implications

The implications of this study are as follows: (1) Taking China as an example, this study confirms that agricultural tourism integration can help promote agricultural green total factor productivity growth. Hence, all countries in the world can use agricultural tourism integration development as an essential way to achieve agricultural green total factor productivity growth. Owing to the differences in the endowment conditions of factors for agricultural or tourism development in different regions, they should stand out as differences and characteristics in the mode and form of integrated development of agriculture and tourism. According to their resource endowment conditions, countries or regions can integrate local natural resources, human resources, and agricultural resources to develop a variety of new businesses with their characteristics, for instance, national agricultural parks, leisure farms, rural camps, rural estates, rural museums, civic farms, rural lodging, etc., to drive the growth of green total factor productivity in regional agriculture. (2) This research confirms that agricultural tourism integration promotes agricultural technological progress while inhibiting agricultural technological efficiency, indicating that the process of agricultural tourism integration releases a great effect on agricultural technological progress. Therefore, the further strengthening of agricultural tourism integrated development and introducing more common technologies for agricultural tourism can promote progress in agricultural science and technology, and boost the increase in agricultural green total factor productivity. However, the inhibiting effect of agricultural technology efficiency presented by agricultural tourism integration should also be given high priority; it is especially advisable to avoid problems such as over-exploitation and rough use of resources in developing agricultural tourism integration. (3) This study also confirms that rural healthiness, education, and migration investments in rural human capital reinforce the effect of agricultural tourism integration on green total factor productivity growth in agriculture to different degrees. This suggests that countries or regions worldwide should focus heavily on investment in rural human capital to drive green total factor productivity growth in agriculture through integrated agricultural tourism development. Only through human capital investment and raising the comprehensive quality of the rural labor force can we better further exploit the role of agricultural tourism integration in enhancing agricultural productivity.

5.3. Prospects

This study has conducted an in-depth exploration of the development status of rural tourism integration and its impact on agricultural green total factor productivity in China. Although it has enriched the theoretical and empirical framework to some extent, there are still some areas that need improvement. Firstly, the sample selection in this study is relatively limited, only including samples from 30 provinces in China and excluding other regions with different levels of agricultural and tourism development worldwide. This somewhat limits the global adaptability and generalizability of this study. Secondly, although the study covers the period from 2008 to 2018, considering that rural tourism integration is a long-term development process, future research needs to further extend this study period. Furthermore, while this study deeply analyzes the impact of rural human capital, it does not consider other important factors that may affect agricultural productivity, such as relevant agricultural policies and improvements in rural infrastructure. Lastly, although the quantitative analysis methods used in this study are helpful for understanding phenomena in this field, there is limited in-depth qualitative research on the specific situations of rural tourism integration in certain regions, which may limit the depth of understanding and interpretation.
Based on the above limitations, future research should try to expand from the following perspectives: Firstly, the geographical scope of the research can be extended to gain insights into the impact of different rural tourism integration models on agricultural productivity growth through cross-country comparisons. Secondly, further extending the time span of the study will provide a better understanding of the historical and future development trends of rural tourism integration. Furthermore, in-depth qualitative research methods should be employed to comprehensively analyze the actual situation of rural tourism integration in different regions and to reveal the existing problems and challenges. Lastly, all factors that may affect agricultural productivity, such as policy environment, socio-cultural factors, natural environment, and market mechanisms, should be considered in the analysis to construct a more comprehensive analytical framework of factors influencing agricultural production efficiency.

Author Contributions

Conceptualization, Y.W. and Z.T.; methodology, Y.W., Z.T. and S.C.; formal analysis, Y.W., M.X., Z.Z., Z.T., J.H. and L.Z.; resources, Y.W., Z.Z. and Z.T.; writing—original draft preparation, Y.W., Z.Z., Z.T., J.H., S.C. and L.Z.; writing—review and editing, Y.W., Z.Z., M.X., Z.T., J.H., L.Z. and S.C.; visualization, Z.Z., Z.T. and M.X.; supervision, Z.T. All authors have read and agreed to the published version of the manuscript.

Funding

This research received no external funding.

Institutional Review Board Statement

Not applicable.

Data Availability Statement

Data supporting reported results are available, upon request, from the authors.

Conflicts of Interest

The authors declare no conflict of interest.

References

  1. Dorocki, S.; Szymańska, A.I.; Zdon-Korzeniowska, M. Agricultural Tourism Farms in Poland: How the Farmers Improve Their Businesses—A Case Study. In Understanding Innovation in Emerging Economic Spaces: Global and Local Actors, Networks and Embeddedness; Routledge: Oxford, UK, 2016; pp. 247–262. [Google Scholar]
  2. Lin, Y. The Operating Experience and Enlightenment of Foreign Agricultural Tourism. Agric. Econ. Issues 2009, 30, 101–103. [Google Scholar]
  3. Barbieri, C. Agritourism research: A perspective article. Tour. Rev. 2019, 75, 149–152. [Google Scholar] [CrossRef]
  4. Veeck, G.; Hallett, L.; Che, D.; Veeck, A. The Economic Contributions of Agricultural Tourism in Michigan. Geogr. Rev. 2016, 106, 421–440. [Google Scholar] [CrossRef]
  5. Arroyo, C.G.; Barbieri, C.; Rich, S.R. Defining agritourism: A comparative study of stakeholders’ perceptions in Missouri and North Carolina. Tour. Manag. 2013, 37, 39–47. [Google Scholar] [CrossRef]
  6. Streifeneder, T. Agriculture first: Assessing European policies and scientific typologies to define authentic agritourism and differentiate it from countryside tourism. Tour. Manag. Perspect. 2016, 20, 251–264. [Google Scholar] [CrossRef]
  7. Yan, A.; Gong, R. The Mechanism and Path of Endogenous Development in the Precise Assistance of Rural Tourism. J. S. Cent. Univ. Natl. Humanit. Soc. Sci. Ed. 2021, 41, 154–160. [Google Scholar]
  8. Chou, Y. The Over-Densification of Rural Tourism Industry and Its Impact on Rural Revitalization—Reflection on the Path of Rural Industrial Revitalization. Guizhou Soc. Sci. 2020, 12, 155–162. [Google Scholar]
  9. Rezvani, M.R.; Nickravesh, F.; Kazemi, N. Spatial Zoning of Agricultural Tourism Capabilities in Rural Areas of Lorestan Province. Geogr. Environ. Sustain. 2021, 11, 93–112. [Google Scholar]
  10. Geng, S.; Zhang, S. Study on the Coordinated Development of Rural Tourism and Cultural Industry under the Background of Rural Revitalization. J. Nanjing Agric. Univ. Soc. Sci. Ed. 2021, 21, 44–52. [Google Scholar]
  11. Ilyukhina, N.A.; Parushina, N.V.; Chekulina, T.A.; Gubina, O.V.; Suchkova, N.A.; Maslova, O.L. Global Trends and Regional Policy in Agricultural Tourism. In Proceedings of the IOP Conference Series: Earth and Environmental Science, Surakarta, Indonesia, 24–25 August 2021; IOP Publishing: Bristol, UK, 2021; Volume 839, p. 22054. [Google Scholar]
  12. Fernández-Hernández, C.; Leon, C.J.; Araña, J.E.; Díaz-Pére, F.; University of La Laguna. Market segmentation, activities and environmental behaviour in rural tourism. Tour. Econ. 2016, 22, 1033–1054. [Google Scholar] [CrossRef]
  13. Lupi, C.; Giaccio, V.; Mastronardi, L.; Giannelli, A.; Scardera, A. Exploring the features of agritourism and its contribution to rural development in Italy. Land Use Policy 2017, 64, 383–390. [Google Scholar] [CrossRef]
  14. Sadowski, A.; Wojcieszak, M.M. Geographic differentiation of agritourism activities in Poland vs. cultural and natural attractiveness of destinations at district level. PLoS ONE 2019, 14, e0222576. [Google Scholar] [CrossRef] [PubMed]
  15. Bajgier-Kowalska, M.; Tracz, M.; Uliszak, R. Modeling the state of agritourism in the Malopolska region of Poland. Tour. Geogr. 2017, 19, 502–524. [Google Scholar] [CrossRef]
  16. Li, J.; Chen, J.; Liu, H. Analysis on the Growth and Coordination of China’s Agricultural Total Factor Productivity under the Background of Urbanization. World Agric. 2021, 35–44+131. [Google Scholar]
  17. Wang, F.; Zeng, L. Agricultural Total Factor Productivity and Agricultural Priority Development. Financ. Econ. 2021, 121–132. [Google Scholar]
  18. Ji, C.; Xia, H. Analysis of Regional Difference and Convergence of Green Total Factor Productivity of Agriculture in My Country. China Agric. Resour. Reg. Plan. 2020, 41, 136–143. [Google Scholar]
  19. Wang, C. How Does Foreign Capital Liberalization Affect Green Total Factor Productivity. Econ. Manag. Rev. 2021, 37, 138–149. [Google Scholar]
  20. Ye, F.; Ma, J.; Hu, Q. Empirical Research on the Impact of Industrial Integration Development on Agricultural Total Factor Productivity. Stat. Decis. 2020, 36, 87–91. [Google Scholar]
  21. Liu, Y.; Ouyang, Y.; Cai, H. Research on the Spatial and Temporal Evolution Characteristics of Green Total Factor Productivity Measurement of China’s Agriculture. Quant. Econ. Tech. Econ. 2021, 38, 39–56. [Google Scholar]
  22. Chen, F.; Yang, M. The Impact of International Trade of Agricultural Products on China’s Agricultural Green Total Factor Productivity. J. South China Agric. Univ. Soc. Sci. Ed. 2021, 20, 94–104. [Google Scholar]
  23. Zhang, Q. Planning and Design of Rural Tourism Landscape under the Background of Integration of Agriculture and Tourism. Ind. Constr. 2021, 51, 245. [Google Scholar]
  24. Zhu, Z. Agri-Tourism Integration, Factor Allocation and Agricultural Labor Productivity. J. Manag. 2022, 35, 29–43. [Google Scholar]
  25. Zhou, P.; Shen, Y.; Li, A. Can Agri-Tourism Integration Promote High-Quality Agricultural Development? An Empirical Test Based on Provincial Panel Data. Macroeconomics 2021, 10, 117–130. [Google Scholar] [CrossRef]
  26. Zhou, P.; Yang, S.; Shen, Y. Analysis of the Effect of Integration of Agriculture and Tourism in Promoting Green Poverty Reduction: Mechanism of Action and Statistical Verification. J. Xi’an Univ. Financ. Econ. 2022, 35, 29–39. [Google Scholar] [CrossRef]
  27. Fang, S.; Wang, H. Research on the Evolution Mechanism of the Integration System of Agriculture and Tourism Industry. J. Xiangtan Univ. Philos. Soc. Sci. Ed. 2019, 43, 63–68. [Google Scholar]
  28. Qi, W.; Li, J.J.; Cao, J.M.; Teng, C. Research on the Mechanism and Path of Rural Industrial Integration Increasing Farmers’ Income—Based on the New Perspective of Rural Heterogeneity. Agric. Technol. Econ. 2021, 08, 105–118. [Google Scholar]
  29. Jiang, H.; Chen, S. Promote the Green Revitalization of Rural Industries in My Country. Macroecon. Manag. 2019, 03, 50–57. [Google Scholar]
  30. Zhao, F.; Liu, Y. International References and Countermeasures for the Development of Rural Tertiary Industry Integration. Econ. Asp. 2018, 09, 122–128. [Google Scholar]
  31. Wang, Q.; Xu, L. Research on the Integration of Tourism and Agriculture in Beijing from the Perspective of Industry Association. Tour. J. 2013, 28, 102–110. [Google Scholar]
  32. Wu, X. Difficulties and Countermeasures for the Transformation of Agricultural Cultural Resources into Tourism from the Perspective of Integration of Agriculture and Tourism. Agric. Econ. 2021, 03, 99–100. [Google Scholar]
  33. Asghar, S.; Tsusaka, T.W.; Jourdain, D.; Saqib, S.E.; Sasaki, N. Assessing the efficiency of smallholder sugarcane production: The case of Faisalabad, Pakistan. Agric. Water Manag. 2022, 269, 107643. [Google Scholar] [CrossRef]
  34. Wang, T.; Tai, P. The Spatial Differentiation Characteristics and Influencing Factors of National Rural Tourism Destinations in Shandong Province. Econ. Geogr. 2016, 36, 161–168. [Google Scholar]
  35. Musa, S.F.P.D.; Chin, W.L. The role of farm-to-table activities in agritourism towards sustainable development. Tour. Rev. 2021, 77, 659–671. [Google Scholar] [CrossRef]
  36. Çukur, T.; Kizilaslan, N.; Çukur, F. Contribution of the Cooperation between Agriculture and Tourism for Rural Development. In Proceedings of the Rural Development 2019: Research and Innovation for Bioeconomy (RD2019): Proceedings of the 9th international scientific conference, Kaunas, Lithuania, 26–28 September 2019; Agriculture Academy of Vytautas Magnus University: Kaunas, Lithuania, 2019; pp. 371–375. [Google Scholar]
  37. Streifeneder, T.; Hoffmann, C.; Corradini, P. The future of agritourism? A review of current trends of touristic commercialisation in rural areas. Ann. Reg. Sci. 2023, 71, 93–119. [Google Scholar] [CrossRef]
  38. Wang, Y.; Zhu, M. Development Characteristics, Optimization Models and Driving Mechanisms of the Spatial Structure of Agricultural Tourism in Shandong Province. Econ. Geogr. 2019, 39, 232–240. [Google Scholar]
  39. Lane, B.; Kastenholz, E. Rural Tourism: The Evolution of Practice and Research Approaches–towards a New Generation Concept? J. Sustain. Tour. 2015, 23, 1133–1156. [Google Scholar] [CrossRef]
  40. Guo, H.; Liu, X. Spatio-Temporal Evolution of Green Total Factor Productivity in China’s Agriculture. Chin. Manag. Sci. 2020, 28, 66–75. [Google Scholar]
  41. Myeki, L.W.; Matthews, N.; Bahta, Y.T. Decomposition of Green Agriculture Productivity for Policy in Africa: An Application of Global Malmquist–Luenberger Index. Sustainability 2023, 15, 1645. [Google Scholar] [CrossRef]
  42. Ma, G.; Tan, Y. Research on the Impact of Environmental Regulations on Agricultural Green Total Factor Productivity—An Analysis Based on the Panel Threshold Model. Agric. Technol. Econ. 2021, 05, 77–92. [Google Scholar]
  43. Ingrassia, M.; Bacarella, S.; Bellia, C.; Columba, P.; Adamo, M.M.; Altamore, L.; Chironi, S. Circular economy and agritourism: Asustainable behavioral model for tourists andfarmers in the post-COVID era. Front. Sustain. Food Syst. 2023, 7, 1174623. [Google Scholar] [CrossRef]
  44. He, A.; Yang, X.; Chen, J.; Wang, Z. The Impact of Rural Tourism Development on Farmers’ Livelihoods: Taking Rural Tourism Destinations in the Northern Foot of Qinling Mountains as an Example. Econ. Geogr. 2014, 34, 174–181. [Google Scholar]
  45. Wang, J.; Zhou, I. The Effect of Integrated Development of Agriculture and Tourism on Agricultural Ecological Efficiency. J. Hunan Agric. Univ. Soc. Sci. Ed. 2021, 22, 50–56. [Google Scholar]
  46. Deng, L.; Tang, D.; Xu, C. An Empirical Study on the Effects of Health Human Capital on the Rural Residents’ Non-Agricultural Employment Income. Sustain. Dev. 2018, 40, 102–112. [Google Scholar]
  47. Kang, H.; Li, S. E-Commerce, Poverty Alleviation and Rural Revitalization: Role and Paths. J. Guangdong Univ. Financ. Econ. 2020, 35, 65–77. [Google Scholar]
  48. Xing, M.; Zhang, H. The Influence of Human Capital and Social Capital on Rural Labor Employment—Empirical Analysis Based on CFPS2018 Data. World Surv. Res. 2020, 02, 18–23. [Google Scholar]
  49. Zhao, X.; Li, X. The Influence of Education and Healthy Human Capital on Labor Productivity. Soc. Sci. Front. 2020, 05, 53–60. [Google Scholar]
  50. Yang, J.; Ding, S. Rural Industrial Convergence, Human Capital and Income Gap. J. South China Agric. Univ. Sci. Ed. 2017, 16, 1–10. [Google Scholar]
  51. Chen, H.; Mu, Y. Social Network, Transaction Cost and Farmers’ Market Participation Behavior. Soc. Netw. Trans. Cost Farmers’ Mark. Particip. Behav. 2020, 37, 45–53. [Google Scholar]
  52. Hanushek, E.A.; Woessmann, L. Education, Knowledge Capital, and Economic Growth. In The Economics of Education; Academic Press: Cambridge, MA, USA, 2020; pp. 171–182. [Google Scholar]
  53. Wang, Y.; Liu, J.; Huang, H.; Tan, Z.; Zhang, L. Does Digital Inclusive Finance Development Affect the Agricultural Multifunctionality Extension? Evidence from China. Agriculture 2023, 13, 804. [Google Scholar] [CrossRef]
  54. Wierzbicka, W. Differentiation in Levels of Human Capital among Small Cities in Warminsko-Mazurskie Voivodship. Entrep. Sustain. Issues 2021, 9, 209–222. [Google Scholar] [CrossRef]
  55. Ogundari, K.; Awokuse, T. Human capital contribution to economic growth in Sub-Saharan Africa: Does health status matter more than education? Econ. Anal. Policy 2018, 58, 131–140. [Google Scholar] [CrossRef]
  56. Fernández-Val, I.; Weidner, M. Fixed Effects Estimation of Large-TPanel Data Models. Annu. Rev. Econ. 2018, 10, 109–138. [Google Scholar] [CrossRef]
  57. Nickell, S. Biases in Dynamic Models with Fixed Effects. Econometrica 1981, 49, 1417–1426. [Google Scholar] [CrossRef]
  58. Cameron, A.C.; Trivedi, P.K. Microeconometrics Using StataMicroeconometrics Using Stata; Routledge: Oxford, UK, 2009. [Google Scholar]
  59. Arellanoa, M.; Boverb, O. Another Look at the Instrumental Variable Estimation of Error-Components Models. J. Econom. 1995, 68, 29–51. [Google Scholar] [CrossRef]
  60. Blundella, R.; Bondb, S. Initial Conditions and Moment Restrictions in Dynamic Panel Data Models. J. Econom. 1998, 87, 115–143. [Google Scholar] [CrossRef]
  61. Gong, R.; Xie, L.; Wang, Y. The Interaction Mechanism and Empirical Test of High-Quality Agricultural Development and New Urbanization. Reform 2020, 7, 145–159. [Google Scholar]
  62. Muchen, L.; Hamdan, R.; Ab-Rahim, R. Data-Driven Evaluation and Optimization of Agricultural Environmental Efficiency with Carbon Emission Constraints. Sustainability 2022, 14, 11849. [Google Scholar] [CrossRef]
  63. Tian, Y.; Zhang, J.; Li, B. Research on China’s Agricultural Carbon Emissions: Measurement, Spatial and Temporal Comparison and Decoupling Effects. Resour. Sci. 2012, 34, 2097–2105. [Google Scholar]
  64. Duan, H.; Zhang, Y.; Zhao, J.; Bian, X. Analysis of Carbon Footprint of Chinese Farmland Ecosystem. J. Soil Water Conserv. 2011, 25, 203–208. [Google Scholar]
  65. Xu, X.; Huang, X.; Huang, J.; Gao, X.; Chen, L. Spatial-Temporal Characteristics of Agriculture Green Total Factor Productivity in China, 1998–2016: Based on More Sophisticated Calculations of Carbon Emissions. Int. J. Environ. Res. Public Health 2019, 16, 3932. [Google Scholar] [CrossRef]
  66. Shi, X.; Zhang, Y.; Xia, E. Research on the Impact of Mobile Internet on Agricultural Total Factor Productivity. Technol. Ind. 2020, 20, 67–74. [Google Scholar]
  67. Zhou, Z. Study on the Spatio-Temporal Characteristics of China’s Agricultural Productivity: A Nonparametric Measurement Framework Based on Serial DEA. Hubei Soc. Sci. 2014, 02, 78–83. [Google Scholar]
  68. Zhong, Y.; Tang, L.; Hu, P. The Mechanism and Empirical Analysis of the Integration of Agriculture and Tourism to Promote the Optimization and Upgrading of Rural Industrial Structure: Taking the National Leisure Agriculture and Rural Tourism Demonstration Counties as an Example. China Rural Econ. 2020, 07, 80–98. [Google Scholar]
  69. Yang, S.; Zhou, C.; Yang, G. Analysis of the Relationship between the Integration of Agriculture and Tourism Industry and the Alleviation of Rural Poverty. Stat. Decis. 2020, 36, 81–86. [Google Scholar]
  70. Zeng, F.; Wu, Y. An Empirical Study on Fiscal Decentralization, Marketization and Economic Growth. Stat. Decis. Mak. 2020, 36, 94–99. [Google Scholar] [CrossRef]
  71. Liu, W.; Zhang, J. Fiscal Decentralization, Industrial Structure Adjustment and Green Total Factor Productivity: From the Perspective of Environmental Pollution Threshold Effect. J. Hebei Univ. Philos. Soc. Sci. Ed. 2022, 47, 69–80. [Google Scholar]
  72. Pang, X.; Ran, G. Research on the Impact of Traditional Urbanization and In-Situ Urbanization on Farmers’ Income: A Perspective Based on Time-Varying Analysis. China Soft Sci. 2017, 9, 91–98. [Google Scholar]
  73. Tian, S.; Tong, M.; Li, X. Fiscal Expenditure, Government Competition and Medical and Health Service Level: An Empirical Analysis Based on the Provincial Panel Entropy Tobit Model. J. Yunnan Univ. Financ. Econ. 2022, 38, 19–36. [Google Scholar] [CrossRef]
  74. Chu, D.; Jiang, C. Fiscal Transparency, FDI and High-Quality Economic Development. China Soft Sci. 2022, 4, 11–22. [Google Scholar]
  75. Wang, C.; Lan, Z.; Zhang, C.; Hou, X. High-Speed Rail Construction, Human Capital Migration and Regional Innovation. China Ind. Econ. 2020, 12, 102–120. [Google Scholar]
  76. Lou, J.; Liu, Z. An Empirical Analysis of the Impact of Human Capital on Agricultural Economy. Stat. Decis. 2020, 36, 67–70. [Google Scholar]
  77. Jia, J.; Ke, R. Free Compulsory Education Policy and Rural Human Capital Accumulation—An Empirical Study Based on CFPS. Educ. Econ. 2020, 01, 19–30. [Google Scholar]
  78. Wang, X.; Fan, G.; Hu, L. China’s Provincial Marketization Index Report; Social Science Literature: Beijing, China, 2019. [Google Scholar]
  79. Parzen, E. On Estimation of a Probability Density Function and Mode. Ann. Math. Stat. 1962, 33, 1065–1076. [Google Scholar] [CrossRef]
  80. Tobin, J. Estimation of Relationships for Limited Dependent Variables. Econom. Soc. 1958, 26, 24–36. [Google Scholar] [CrossRef]
  81. Bo, E. Honoré Trimmed Lad and Least Squares Estimation of Truncated and Censored Regression Models with Fixed Effects. Econometrica 1992, 60, 533–565. [Google Scholar]
  82. Pindado, E.; Sánchez, M.; Verstegen, J.A.A.M.; Lans, T. Searching for the entrepreneurs among new entrants in European Agriculture: The role of human and social capital. Land Use Policy 2018, 77, 19–30. [Google Scholar] [CrossRef]
  83. Parman, J. Good schools make good neighbors: Human capital spillovers in early 20th century agriculture. Explor. Econ. Hist. 2012, 49, 316–334. [Google Scholar] [CrossRef]
Figure 1. Kernel density estimation.
Figure 1. Kernel density estimation.
Agriculture 13 01941 g001
Table 1. Evaluation indicator system of the integration degree in agriculture and tourism.
Table 1. Evaluation indicator system of the integration degree in agriculture and tourism.
CriteriaIndicators
Agriculture–tourism correlationGrey correlation degree of agriculture and tourism industryRegional agricultural added value
Total regional tourism revenue
Total numbers of person-time of regional tourists
Regional domestic tourism revenue
Regional foreign exchange tourism revenue
New integrated industry form Number of national leisure agriculture and rural tourism demonstration counties by region
Number of national leisure agriculture and rural tourism demonstration sites by region
Economic and social effects of integrated development of agriculture and tourismInvestment-drivenInvestment in rural households’ fixed assets by region
Newly increased Investment in fixed assets in agriculture by region
Orchard area by region
Employment effectNumber of rural self-employed persons by region
Number of employed persons in rural private enterprises by region
Contributions of agriculture and tourism to economic growthTotal regional tourism revenue/region GDP
Regional agricultural added value/region GDP
Table 2. Variable description and statistics.
Table 2. Variable description and statistics.
Names of VariablesCodeSample SizeMeanSEMaxMinVariable Declaration
Agricultural green total factor productivity G T F P 3301.360.504.750.31GTFP growth index measured by the SBM-ML index method
Agriculture–tourism integration C O 3301.330.745.190.14Integration index of agriculture and tourism industry measured by factor analysis method and entropy method
Marketization degree M I 3306.431.832.5310.83Marketization index of provinces
Industrial structure I S 33089.765.3599.7170.99Percentage of the output value of secondary and tertiary industries/GDP (%)
Urbanization rate U R B A N 33055.2913.1189.6129.12Percentage of the permanent urban population in total population (%)
Government fiscal expenditure F E 33023.609.9562.698.74Percentage of provincial fiscal expenditure in GDP (%)
Foreign direct investment F D I 3302.161.680.018.19Percentage of actual utilized foreign direct investment in GDP (%)
Technology change T C 3301.460.473.440.25Technical change decomposed by GTFP growth index
Technology efficiency index E C 3300.940.251.820.34Technical efficiency index decomposed by GTFP growth index
Migratory human capital M H 33011.762.477.2017.90Percentage of transportation and communication expenditure in total consumption expenditure (%)
Educational human capital E H 3309.132.4614.804.50Percentage of expenditure on culture, education, and entertainment in total consumption expenditure (%)
Healthy human capital H H 3308.882.2016.804.00Percentage of health care expenditure in total consumption expenditure (%)
Table 3. Agriculture–tourism integration indexes of 30 sample provincial regions in mainland China.
Table 3. Agriculture–tourism integration indexes of 30 sample provincial regions in mainland China.
Provinces200820102012201420162018
Eastern regionBeijing0.480.680.91.121.431.77
Tianjin0.360.470.670.780.961.14
Hebei1.001.101.501.822.442.95
Liaoning0.660.881.161.481.722.08
Shanghai0.620.750.981.251.491.78
Jiangsu1.201.491.842.212.532.93
Zhejiang1.171.521.952.483.093.71
Fujian0.510.851.091.511.932.49
Shandong1.171.602.232.864.025.19
Guangdong0.941.121.361.682.102.48
Hainan0.140.200.420.530.661.04
Mean0.750.971.281.612.032.51
Central regionShanxi0.700.851.101.381.611.91
Jilin0.510.851.091.511.932.49
Heilongjiang0.590.971.241.491.712.14
Anhui1.171.602.232.864.025.19
Jiangxi1.021.331.691.802.232.70
Henan0.640.851.271.972.443.29
Hubei0.570.861.261.562.002.51
Hunan0.941.121.361.682.102.48
Mean0.771.051.411.782.262.84
Western regionInner Mongolia0.460.620.881.191.341.70
Guangxi0.550.841.181.481.792.33
Chongqing0.400.560.871.161.481.95
Sichuan0.761.141.471.692.022.64
Guizhou0.340.460.701.061.502.06
Yunnan0.420.630.941.371.852.50
Shaanxi0.640.791.051.321.521.83
Gansu0.490.620.921.241.582.62
Qinghai0.400.490.670.871.091.37
Ningxia0.380.510.700.881.061.30
Xinjiang0.340.460.690.971.331.76
Mean0.470.650.921.201.512.01
Table 4. Estimation results of the impact of agriculture–tourism integration on agricultural GTFP growth.
Table 4. Estimation results of the impact of agriculture–tourism integration on agricultural GTFP growth.
Model IModel IIModel IIIModel IV
L N C O 0.082 ***
(3.16)
0.366 ***
(2.73)
0.061 **
(2.17)
0.365 ***
(3.02)
L N M I −0.490 ***
(−3.48)
−0.068
(−0.22)
−0.378 ***
(−3.76)
−0.477 *
(−1.91)
L N I S −1.040
(−0.61)
−3.282
(−1.36)
−2.902 ***
(−3.10)
1.435
(0.95)
L N U R B A N 0.700
(1.56)
1.202
(1.51)
1.537 ***
(7.00)
−0.948 *
(−1.75)
L N F E −0.237 **
(−2.37)
0.268
(1.56)
−0.520 ***
(−7.58)
0.563 ***
(2.69)
L N F D I 0.001
(0.05)
0.054
(1.64)
0.002
(0.10)
0.106 **
(2.27)
L N G T F P i t 1 1.197 ***
(15.26)
1.086 ***
(7.00)
1.188 ***
(26.57)
1.456 ***
(18.14)
Effect in controlled areaUncontrolledUncontrolledControlledControlled
Control time effectUncontrolledControlledUncontrolledControlled
AR (1)0.0190.0090.0160.019
AR (2)0.5330.6510.5680.325
Hansen0.1170.1780.2560.177
N330330330330
* T statistic is in parentheses; and *, **, and *** indicate significance at the level of 10%, 5%, and 1%, respectively.
Table 5. Decomposition of agricultural GTFP.
Table 5. Decomposition of agricultural GTFP.
(TC) (EC)
L N C O 0.199 *
(1.85)
−0.117 ***
(−3.21)
T C i t 1 0.921 ***
(9.29)
E C i t 1 1.049 ***
(12.69)
Control variableControlledControlled
Time effectControlledControlled
Region effectControlledControlled
AR (1)0.0130.094
AR (2)0.4350.124
Hansen0.5210.676
N300300
* T statistic is in parentheses; and *, and *** indicate significance at the level of 10% and 1%, respectively.
Table 6. Interaction effect of rural human capital and agricultural tourism integration (explained variable GTFP).
Table 6. Interaction effect of rural human capital and agricultural tourism integration (explained variable GTFP).
(1)(2)(3)
L N G T F P i t 1 1.360 ***
(24.23)
1.138 ***
(6.68)
1.339 ***
(10.52)
L N C O 0.092
(0.45)
−0.266
(−0.69)
0.030
(0.15)
L N ( C O × M H ) 0.056 *
(1.70)
L N ( C O × E H ) 0.181 **
(2.32)
L N ( C O × H H ) 0.073 *
(1.69)
Control variableControlledControlledControlled
Time effectControlledControlledControlled
Region effectControlledControlledControlled
AR (1)0.0240.0000.019
AR (2)0.1430.2310.655
Hansen0.2000.4770.131
N270270270
* T statistic is in parentheses; and *, **, and *** indicate significance at the level of 10%, 5%, and 1%, respectively.
Disclaimer/Publisher’s Note: The statements, opinions and data contained in all publications are solely those of the individual author(s) and contributor(s) and not of MDPI and/or the editor(s). MDPI and/or the editor(s) disclaim responsibility for any injury to people or property resulting from any ideas, methods, instructions or products referred to in the content.

Share and Cite

MDPI and ACS Style

Wang, Y.; Zhao, Z.; Xu, M.; Tan, Z.; Han, J.; Zhang, L.; Chen, S. Agriculture–Tourism Integration’s Impact on Agricultural Green Productivity in China. Agriculture 2023, 13, 1941. https://doi.org/10.3390/agriculture13101941

AMA Style

Wang Y, Zhao Z, Xu M, Tan Z, Han J, Zhang L, Chen S. Agriculture–Tourism Integration’s Impact on Agricultural Green Productivity in China. Agriculture. 2023; 13(10):1941. https://doi.org/10.3390/agriculture13101941

Chicago/Turabian Style

Wang, Yafei, Zihan Zhao, Ming Xu, Zhixiong Tan, Jingwei Han, Lichen Zhang, and Siying Chen. 2023. "Agriculture–Tourism Integration’s Impact on Agricultural Green Productivity in China" Agriculture 13, no. 10: 1941. https://doi.org/10.3390/agriculture13101941

APA Style

Wang, Y., Zhao, Z., Xu, M., Tan, Z., Han, J., Zhang, L., & Chen, S. (2023). Agriculture–Tourism Integration’s Impact on Agricultural Green Productivity in China. Agriculture, 13(10), 1941. https://doi.org/10.3390/agriculture13101941

Note that from the first issue of 2016, this journal uses article numbers instead of page numbers. See further details here.

Article Metrics

Back to TopTop