Systematic Evaluation of Nitrogen Application in the Production of Multiple Crops and Its Environmental Impacts in Fujian Province, China
Abstract
1. Introduction
2. Materials and Methods
2.1. Study Area
2.2. Data Sources
2.3. Methods
2.3.1. NUE
2.3.2. N Surplus
2.3.3. GHG Emissions
- (1)
- N2O emissions from fertilizer
- (2)
- CH4 emissions from rice fields
2.3.4. Statistical Analysis
3. Results
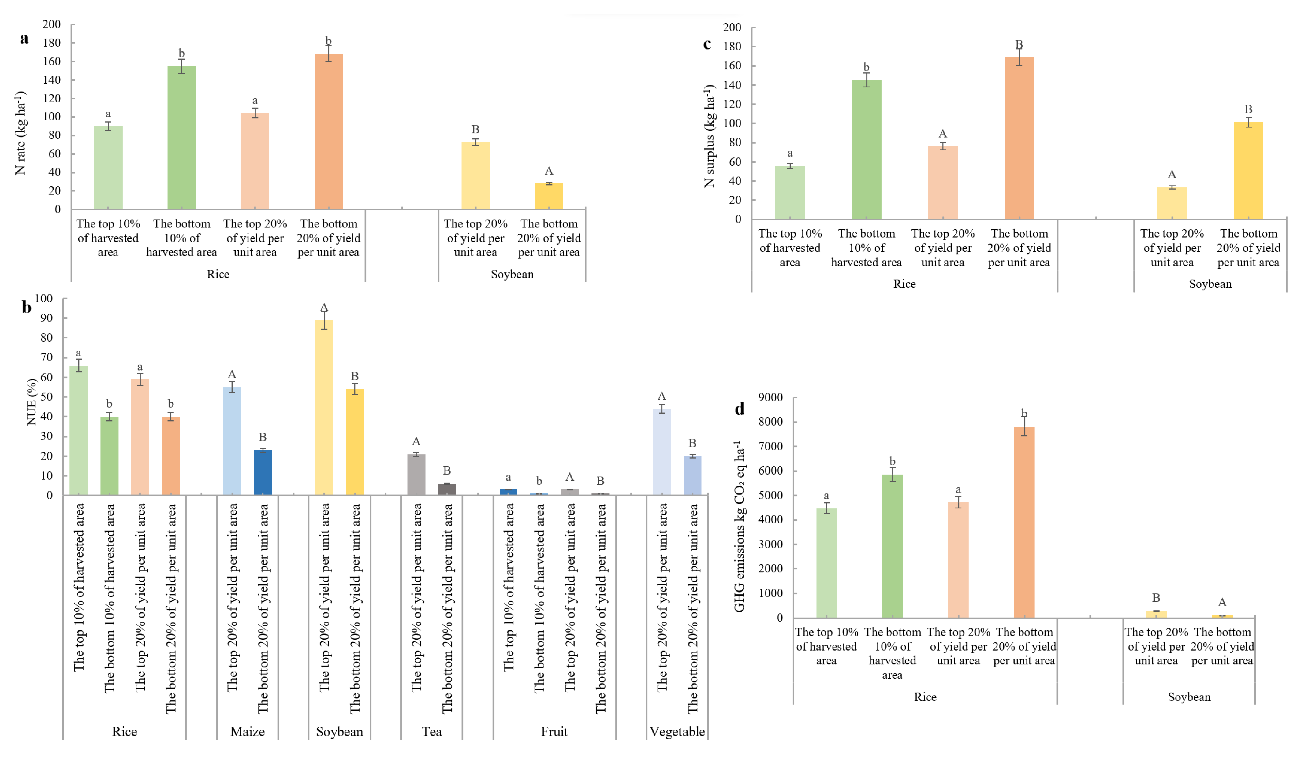
3.1. Analysis of N Rate in Multiple Crops at the County Scale in Fujian Province
3.2. Analysis of NUE in Multiple Crops at the County Scale in Fujian Province
3.3. Analysis of N Surplus in Multiple Crops at the County Scale in Fujian Province
3.4. Analysis of GHG Emissions in Multiple Crops at the County Scale in Fujian Province
4. Discussion
4.1. The Reasons for the Spatial Differences in N Fertilizer Use and Its Environmental Impacts among Counties
4.2. N Fertilizer Use on Multiple Crops at the County Scale in Fujian Province Compared with That in Other Regions
4.3. Environmental Impacts of Multiple Crops at the County Scale in Fujian Province Compared with Those in Other Regions
4.4. Limitations
5. Conclusions
Author Contributions
Funding
Institutional Review Board Statement
Informed Consent Statement
Data Availability Statement
Conflicts of Interest
References
- Ren, K.Y.; Xu, M.G.; Li, R.; Zheng, L.; Liu, S.G.; Reis, S.; Wang, H.Y.; Lu, C.A.; Zhang, W.J.; Gao, H.; et al. Optimizing nitrogen fertilizer use for more grain and less pollution. J. Clean. Prod. 2022, 360, 132180. [Google Scholar] [CrossRef]
- Yan, X.Y.; Xia, L.L.; Ti, C.P. Temporal and spatial variations in nitrogen use efficiency of crop production in China. Environ. Pollut. 2022, 293, 118496. [Google Scholar] [CrossRef] [PubMed]
- Zhang, G.; Wang, X.K.; Sun, B.F.; Zhao, H.; Lu, F.; Zhang, L. Status of mineral nitrogen fertilization and net mitigation potential of the state fertilization recommendation in Chinese cropland. Agric. Syst. 2016, 146, 1–10. [Google Scholar] [CrossRef]
- Gu, B.J.; Van Grinsven, H.J.M.; Lam, S.K.; Oenema, O.; Sutton, M.A.; Mosier, A.; Chen, D. A credit system to solve agricultural nitrogen pollution. Innovation 2021, 2, 100079. [Google Scholar] [CrossRef]
- Zhang, X.; Zou, T.; Lassaletta, L.; Mueller, N.D.; Davidson, E.A.; Tubiello, F.N.; Lisk, M.D.; Lu, C.; Conant, R.T.; Dorich, C.D.; et al. Quantification of global and national nitrogen budgets for crop production. Nat. Food 2021, 2, 529–540. [Google Scholar] [CrossRef]
- Zhai, Y.J.; Zhang, T.Z.; Bai, Y.Y.; Ji, C.X.; Ma, X.T.; Shen, X.X.; Hong, J.L. Energy and water footprints of cereal production in China. Resour. Conserv. Recycl. 2021, 164, 105150. [Google Scholar] [CrossRef]
- Khoshnevisan, B.; Rafiee, S.; Pan, J.; Zhang, Y.; Liu, H. A multi-criteria evolutionary-based algorithm as a regional scale decision support system to optimize nitrogen consumption rate: A case study in North China Plain. J. Clean. Prod. 2020, 256, 120213. [Google Scholar] [CrossRef]
- Ma, L.; Bai, Z.H.; Ma, W.Q.; Guo, M.C.; Jiang, R.F.; Liu, J.G.; Oenema, O.; Velthof, G.L.; Whitmore, A.P.; Crawford, J.; et al. Exploring future food provision scenarios for China. Environ. Sci. Technol. 2019, 53, 1385–1393. [Google Scholar] [CrossRef]
- Sun, C.; Chen, L.; Zhai, L.M.; Liu, H.B.; Wang, K.; Jiao, C.; Shen, Z.Y. National assessment of nitrogen fertilizers fate and related environmental impacts of multiple pathways in China. J. Clean. Prod. 2020, 277, 123519. [Google Scholar] [CrossRef]
- Zhang, D.; Wang, H.Y.; Pan, J.T.; Luo, J.F.; Liu, J.; Gu, B.J.; Liu, S.; Zhai, L.M.; Lindsey, S.; Zhang, Y.T.; et al. Nitrogen application rates need to be reduced for half of the rice paddy fields in China. Agric. Ecosyst. Environ. 2018, 265, 8–14. [Google Scholar] [CrossRef]
- Tang, X.P.; Song, N.; Chen, Z.F.; Wang, J.L.; He, J.Q. Estimating the potential yield and ETc of winter wheat across Huang-Huai-Hai Plain in the future with the modified DSSAT model. Sci. Rep. 2018, 8, 15370. [Google Scholar] [CrossRef] [PubMed]
- Yin, Y.; Zhao, R.F.; Yang, Y.; Meng, Q.F.; Ying, H.; Cassman, K.G.; Cong, W.F.; Tian, X.S.; He, K.; Wang, Y.C.; et al. A steady-state N balance approach for sustainable smallholder farming. Proc. Natl. Acad. Sci. USA 2021, 118, e2106576118. [Google Scholar] [CrossRef]
- Tian, Z.; Fan, Y.D.; Wang, K.; Zhong, H.L.; Sun, L.X.; Fan, D.L.; Tubiello, F.N.; Liu, J.G. Searching for “Win-Win” solutions for food-water-GHG emissions tradeoffs across irrigation regimes of paddy rice in China. Resour. Conserv. Recycl. 2021, 166, 105360. [Google Scholar] [CrossRef]
- Zhao, Z.; Cao, L.K.; Deng, J.; Sha, Z.M.; Chu, C.B.; Zhou, D.P.; Wu, S.H.; Lv, W.G. Modeling CH4 and N2O emission patterns and mitigation potential from paddy fields in Shanghai, China with the DNDC model. Agric. Syst. 2020, 178, 102743. [Google Scholar] [CrossRef]
- Zhang, Q.S.; Li, T.Y.; Yin, Y.L.; Ying, H.; Cui, Z.L.; Zhang, F.S. Targeting hotspots to achieve sustainable nitrogen management in China’s smallholder-dominated cereal production. Agronomy 2021, 11, 557. [Google Scholar] [CrossRef]
- Zhu, C.H.; Xiang, J.; Zhang, Y.P.; Zhang, Y.K.; Zhu, D.F.; Chen, H.Z. Mechanized transplanting with side deep fertilization increases yield and nitrogen use efficiency of rice in Eastern China. Sci. Rep. 2019, 9, 5653. [Google Scholar] [CrossRef]
- An, N.; Wei, W.L.; Qiao, L.; Zhang, F.S.; Christie, P.; Jiang, R.F.; Dobermann, A.; Goulding, K.W.T.; Fan, J.L.; Fan, M.S. Agronomic and environmental causes of yield and nitrogen use efficiency gaps in Chinese rice farming systems. Eur. J. Agron. 2018, 93, 40–49. [Google Scholar] [CrossRef]
- Peng, Z.P.; Liu, Y.N.; Li, Y.C.; Abawi, Y.; Wang, Y.Q.; Men, M.X.; Duc Anh, A.V. Responses of nitrogen utilization and apparent nitrogen loss to different control measures in the wheat and maize rotation system. Front. Plant. Sci. 2017, 8, 160. [Google Scholar] [CrossRef]
- Ti, C.P.; Luo, Y.X.; Yan, X.Y. Characteristics of nitrogen balance in open-air and greenhouse vegetable cropping systems of China. Environ. Sci. Pollut. Res. 2015, 22, 18508–18518. [Google Scholar] [CrossRef]
- Fujian Provincial Department of Natural Resources. Main Data Bulletin of the Third Land Survey of Fujian Province. 2021. Available online: http://zrzyt.fujian.gov.cn/zwgk/zfxxgkzl/zfxxgkml/tdgl_19753/202112/t20211231_5805488.htm (accessed on 20 December 2022).
- Fujian Provincial Bureau of Statistics. 2015. Available online: https://tjj.fujian.gov.cn/ (accessed on 20 December 2022).
- National Bureau of Statistics. 2015. Available online: https://www.stats.gov.cn/ (accessed on 20 December 2022).
- Jia, Y.L.; Wang, Q.F.; Zhu, J.X.; Chen, Z.; He, N.P.; Yu, G.R. A spatial and temporal dataset of atmospheric inorganic nitrogen wet deposition in China (1996–2015). China Sci. Data 2018, 4, 1–10. [Google Scholar]
- Zuo, L.J.; Zhang, Z.X.; Carlson, K.M.; MacDonald, G.K.; Brauman, K.A.; Liu, Y.C.; Zhang, W.; Zhang, H.Y.; Wu, W.B.; Zhao, X.L.; et al. Progress towards sustainable intensification in China challenged by land-use change. Nat. Sustain. 2018, 1, 304–313. [Google Scholar] [CrossRef]
- Liang, L.; Ridoutt, B.G.; Wang, L.Y.; Xie, B.; Li, M.H.; Li, Z.B. China’s tea industry: Net greenhouse gas emissions and mitigation potential. Agriculture 2021, 11, 363. [Google Scholar] [CrossRef]
- Price Department, NDRC. National Compilation of Agricultural Cost-Benefit Information; China Statistics Press: Beijing, China, 2015. [Google Scholar]
- Li, H.; Qin, L.; He, H. Characteristics of the water footprint of rice production under different rainfall years in Jilin Province, China. J. Sci. Food Agric. 2018, 98, 3001–3013. [Google Scholar] [CrossRef]
- Smil, V. Nitrogen in crop production: An account of global flows. Globol Biogeochem. Cy. 1999, 13, 647–662. [Google Scholar] [CrossRef]
- Nielson, R.; Mays, M.; Goss, D. Agricultural Waste Management Field Handbook; USDA: Washington, DC, USA, 1996. [Google Scholar]
- Chukalla, A.D.; Krol, M.S.; Hoekstra, A.Y. Grey water footprint reduction in irrigated crop production: Effect of nitrogen application rate, nitrogen form, tillage practice and irrigation strategy. Hydrol. Earth Syst. Sci. 2018, 22, 3245–3259. [Google Scholar] [CrossRef]
- Zhang, X.; Davidson, E.A.; Mauzerall, D.L.; Searchinger, T.D.; Dumas, P.; Shen, Y. Managing nitrogen for sustainable development. Nature 2015, 528, 51–59. [Google Scholar] [CrossRef]
- Bouwman, A.F.; Lee, D.S.; Asman, W.A.H.; Dentener, F.J.; VanderHoek, K.W.; Olivier, J.G.J. A global high–resolution emission inventory for ammonia. Globol Biogeochem. Cy. 1997, 11, 561–587. [Google Scholar] [CrossRef]
- IPCC. IPCC WGI Fifth Assessment Report. 2013. Available online: https://archive.ipcc.ch/report/ar5/wg1/ (accessed on 20 December 2022).
- Chen, X.P.; Cui, Z.L.; Fan, M.S.; Vitousek, P.; Zhao, M.; Ma, W.Q.; Wang, Z.L.; Zhang, W.J.; Yan, X.Y.; Yang, J.C.; et al. Producing more grain with lower environmental costs. Nature 2014, 514, 486–489. [Google Scholar] [CrossRef] [PubMed]
- Gerber, J.S.; Carlson, K.M.; Makowski, D.; Mueller, N.D.; De Cortazar-Atauri, I.G.; Havlik, P.; Herrero, M.; Launay, M.; O’Connell, C.S.; Smith, P.; et al. Spatially explicit estimates of N2O emissions from croplands suggest climate mitigation opportunities from improved fertilizer management. Glob. Chang. Biol. 2016, 22, 3383–3394. [Google Scholar] [CrossRef]
- Mei, B.L.; Zheng, X.H.; Xie, B.H.; Dong, H.B.; Yao, Z.S.; Liu, C.Y.; Zhou, Z.X.; Wang, R.; Deng, J.; Zhu, J.G. Characteristics of multiple–year nitrous oxide emissions from conventional vegetable fields in southeastern China. J. Geophys. Res. 2011, 116, D12113. [Google Scholar] [CrossRef]
- Wang, F.; Chen, Y.; Wu, Z.; Jiang, F.; Zhang, W.; Weng, B.; You, C.M. Estimation of greenhouse gas emissions from chemical nitrogen fertilizer application and production and transportation processes in a typical tea region in China. Tea. Sci. 2020, 40, 205–214. [Google Scholar]
- IPCC. IPCC Guidelines for National Greenhouse Gas Inventories. 2006. Available online: https://www.ipcc-nggip.iges.or.jp/public/2006gl/chinese/index.html (accessed on 20 December 2022).
- Zhang, W.F.; Dou, Z.X.; He, P.; Ju, X.T.; Powlson, D.; Chadwick, D.; Norse, D.; Lu, Y.L.; Zhang, Y.; Wu, L.; et al. New technologies reduce greenhouse gas emissions from nitrogenous fertilizer in China. Proc. Natl. Acad. Sci. USA 2012, 110, 8375–8380. [Google Scholar] [CrossRef]
- Liu, Y.X.; Heuvelink, G.B.M.; Bai, Z.G.; He, P.; Xu, X.P.; Ma, J.C.; Masiliūnas, D. Space-time statistical analysis and modelling of nitrogen use efficiency indicators at provincial scale in China. Eur. J. Agron. 2020, 115, 126032. [Google Scholar] [CrossRef]
- Chai, Q.; Nemecek, T.; Liang, C.; Zhao, C.; Yu, A.; Coulter, J.A.; Wang, Y.F.; Hu, F.; Wang, L.; Siddique, K.H.M.; et al. Integrated farming with intercropping increases food production while reducing environmental footprint. Proc. Natl. Acad. Sci. USA 2021, 118, e2106382118. [Google Scholar] [CrossRef]
- Fujian Provincial Department of Agriculture and Rural Development. 2023. Available online: https://nynct.fujian.gov.cn/ (accessed on 3 March 2023).
- Wu, L.; Zhang, W.F.; Chen, X.P.; Cui, Z.L.; Fan, M.S.; Chen, Q.; Zhang, F.S. Nitrogen fertilizer inputs and production efficiency on Chinese farms. Soil Fertil. Sci. China 2016, 4, 76–83. [Google Scholar]
- Hirono, Y.; Sano, T.; Eguchi, S. Changes in the nitrogen footprint of green tea consumption in Japan from 1965 to 2016. Environ. Sci. Pollut. Res. Int. 2021, 28, 44936–44948. [Google Scholar] [CrossRef] [PubMed]
- Oenema, O.; Brentrup, F.; Lammel, J.; Bascou, P.; Billen, G.; Dobermann, A.; Erisman, J.W.; Garnett, T.; Hammel, M.; Haniotis, T.; et al. Nitrogen Use Efficiency (NUE) an Indicator for the Utilization of Nitrogen in Food Systems; Wageningen University: Wageningen, The Netherlands, 2015. [Google Scholar]
- Zhang, C.; Ju, X.T.; Powlson, D.; Oenema, O.; Smith, P. Nitrogen surplus benchmarks for controlling N pollution in the main cropping systems of China. Environ. Sci. Technol. 2019, 53, 6678–6687. [Google Scholar] [CrossRef]
- Zhang, F.; Liu, F.B.; Ma, X.; Guo, G.Z.; Liu, B.; Cheng, T.H.; Liang, T.; Tao, W.L.; Chen, X.P.; Wang, X.Z. Greenhouse gas emissions from vegetables production in China. J. Clean. Prod. 2021, 317, 128449. [Google Scholar] [CrossRef]
- Yuan, S.; Linquist, B.A.; Wilson, L.T.; Cassman, K.G.; Stuart, A.M.; Pede, V.; Miro, B.; Saito, K.; Agustiani, N.; Aristya, V.E.; et al. Sustainable intensification for a larger global rice bowl. Nat. Commun. 2021, 12, 7163. [Google Scholar] [CrossRef]







Disclaimer/Publisher’s Note: The statements, opinions and data contained in all publications are solely those of the individual author(s) and contributor(s) and not of MDPI and/or the editor(s). MDPI and/or the editor(s) disclaim responsibility for any injury to people or property resulting from any ideas, methods, instructions or products referred to in the content. |
© 2023 by the authors. Licensee MDPI, Basel, Switzerland. This article is an open access article distributed under the terms and conditions of the Creative Commons Attribution (CC BY) license (https://creativecommons.org/licenses/by/4.0/).
Share and Cite
Li, J.; Xing, J.; Ding, R.; Shi, W.; Shi, X.; Wang, X. Systematic Evaluation of Nitrogen Application in the Production of Multiple Crops and Its Environmental Impacts in Fujian Province, China. Agriculture 2023, 13, 694. https://doi.org/10.3390/agriculture13030694
Li J, Xing J, Ding R, Shi W, Shi X, Wang X. Systematic Evaluation of Nitrogen Application in the Production of Multiple Crops and Its Environmental Impacts in Fujian Province, China. Agriculture. 2023; 13(3):694. https://doi.org/10.3390/agriculture13030694
Chicago/Turabian StyleLi, Jun, Jiali Xing, Rui Ding, Wenjiao Shi, Xiaoli Shi, and Xiaoqing Wang. 2023. "Systematic Evaluation of Nitrogen Application in the Production of Multiple Crops and Its Environmental Impacts in Fujian Province, China" Agriculture 13, no. 3: 694. https://doi.org/10.3390/agriculture13030694
APA StyleLi, J., Xing, J., Ding, R., Shi, W., Shi, X., & Wang, X. (2023). Systematic Evaluation of Nitrogen Application in the Production of Multiple Crops and Its Environmental Impacts in Fujian Province, China. Agriculture, 13(3), 694. https://doi.org/10.3390/agriculture13030694

