Abstract
Understanding soil loss pathways in karst regions is crucial for erosion control. Combining high-density measurements of grid points with runoff plot monitoring, we attempt to use a new indirect method to study the characteristics of soil loss in karst rocky desertification areas of Salaxi Town, Guizhou province. One cycle year monitoring data of 12640 grid points were applied in the soil loss analysis. This study identifies underground leakage as the primary pathway of soil loss, with an mean soil leakage of 21.51 kg in potential areas, accounting for 83.12%, and an average leakage of 22.69 kg in in mild karst rocky desertification areas accounting for 81.48%. Mixed vegetation types (forest, shrub, and grass) were better at preventing surface soil loss but increased underground leakage compared to single vegetation types. The rainy season significantly influences soil erosion, accounting for 67.88% of total loss, with slight variations among different karst rocky desertification grades and vegetation types. Mean underground leakage rates during the rainy and dry seasons are 63.34% and 36.66%, respectively. Although this method still has certain limitations, it plays a positive role in revealing the mechanism of soil erosion processes in karst regions.
1. Introduction
Land degradation caused by soil erosion is one of the main problems affecting global sustainable land use [1,2]. In China, rocky desertification regions, covering an area of 45.2 × 104 km2, are experiencing serious soil erosion, which threatens the security of the ecological environment and human survival and development [3]. Distinguished from the features of soil and water loss in other areas, the karst areas possess a special double-layer structure, and this coexistence of soil surface loss and underground leakage makes it a hot spot of current research [4,5,6,7]. Consequently, the prevention of soil and water loss is crucial to control the ecological damage of karst rocky desertification.
The special soil surface loss and underground leakage structure limits the application of traditional soil erosion monitoring methods in karst areas to a certain extent, e.g., runoff plots and erosion lines. To study the soil leakage loss of karst areas, researchers have conducted many explorations of monitoring methods [8,9]. For example, Yang et al. [10] indicated the source of cave leakage soil by analyzing the composition of cave soil particles and their hydrogeochemical indices. Bai et al. [11] and Zhang et al. [12] applied isotope tracer technology to estimate soil loss and track sediment sources in karst areas. Dai et al. [13] analyzed the effects of rainfall intensity and slope on surface soil erosion and underground leakage loss on karst slopes through a rainfall simulation experiment using a variable slope steel trough. Currently, isotope tracers, cave drip tracers, scratching and erosion pins, and simulation experiments constitute the main methods of soil underground leakage estimation [14], but there are still limitations in accurate monitoring. 137Cs tracers have difficulty providing the soil erosion rate on a short time scale and are suitable only for underground leakage monitoring under homogeneous soil cover conditions [15]. The soil leakage obtained via cave drip is generally larger than the true value because of the uncertainty of the inflow area [14]. Although leakage simulation experiments facilitate operation and are extensively used, they are not able to reproduce the complex underground pipeline structure, and the simulation results still deviate from the actual situation in nature [3]. Therefore, more effective methods need to be developed to monitor soil leakage in karst rocky desertification areas.
The contribution rate of soil binary structure loss in karst regions and the main leakage channels have always been a focus of academic attention. Some scholars believe that the continuous cracks, pipes. and holes in karst regions are the main channel of the downwards leakage of surface soil and account for a higher proportion of the total amount of soil erosion [16,17]. A study of a typical karst peak cluster depression showed that underground leakage was inhomogeneous in different parts of the mountain, as the leakage percentage from the top to the foot of the mountain slope ranged from 65.6% to 96.2% of the total erosion [16]. Luo et al. [17] inferred that the underground soil leakage of Puding and Zhenfeng in Guizhou Province accounted for two thirds of the total erosion using a dendrogeomorphological method. However, there are also different opinions on the leakage rate. A few studies have suggested that soil leaks slightly along the cracks because the pores are generally filled with soil, weathered materials, or their mixtures, and karst fissure soil leakage accounts for only 3–34% of the total loss [18,19]. Additionally, it has been found that the principal soil loss path of karst regions is closely related to rainfall intensity; that is, underground leakage is the main mechanism in light rain, while surface soil loss mainly occurs in rainstorms [20,21]. It is precisely because of the complexity and high heterogeneity of karst dual loss structures, as well as the immaturity of monitoring technology, that there are great differences in the results of research on underground leakage. To date, no consensus has been reached regarding the contribution rate of underground leakage and, thus, this topic needs more research results to support and confirm current findings.
Therefore, taking potential and mild rocky desertification as an example, this paper attempted to develop a new approach to estimate the soil leakage loss in a typical karst rocky desertification region. Runoff plot monitoring and grid point field measurements were conducted to measure the soil surface loss and underground leakage loss at the plot scale. The objectives of this study were as follows: (1) to quantitatively estimate the contribution rate of soil surface and underground loss and (2) to reveal the difference in soil leakage of different degrees and vegetation covers of karst rocky desertification. These findings are expected to enrich the methods of soil underground leakage research and provide a reference for ecological restoration in karst regions.
2. Materials and Methods
2.1. Study Area and Experimental Designs
This study was conducted in a typical integrated control area of karst rocky desertification called Salaxi, which extends from 27°11′09″ to 27°17′28″ N and from 105°01′12″ to 105°08′32″ E longitude, with an area of 84 km2. The area is located in Qixingguan District, Bijie city and belongs to Guizhou Province of southwest China. The region is located on the Yangtze paraplatform, mainly composed of carbonate rocks with a large expose area of Cambrian, Permian, Triassic, and Jurassic strata. Karst landforms are widely developed and diverse in type, such as funnels, sinkholes, dissolution fissure, and karst depressions, and have wide distributions of potential and mild rocky desertification. The soil is mainly yellow soil, with severe soil erosion, low fertility, and shallow humus horizons. It is a typical subtropical monsoon region that is affected by the East Asian monsoon and South Asian monsoon, the average annual temperature is approximately 12.8 °C, and the average annual rainfall is approximately 900–1000 mm, 90% of which is concentrated from April to September. Secondary forest, shrub, and shrub–grass are the most common vegetation types.
We divided the runoff plots into two groups, four in each group, based on the level of potential karst rocky desertification (PKRD) and mild karst rocky desertification (MKRD) of the study area. It should be noted that the classification of rocky desertification levels is mainly based on differences in the bedrock exposure rate, soil layer thickness, lithological conditions, etc. The runoff plot was 12 m long and 3 m wide, and the slope was approximately 15 degrees (Figure 1). On the basis of a field survey of land use, the vegetation of each group was set as CL: cultivated land (Corn), FG: forage grass (Ryegrass), FS: forest and shrub–grass mixed planting (Walnut, Rosa roxburghii), and FSG: forest shrub–grass mixed planting (Walnut, Rosa roxburghii, Ryegrass). All crops were planted or transplanted in the same year. At the same time, the synchronous comparative monitoring experiment of soil loss was carried out based on the aforementioned groupings.
Figure 1.
Experimental designs and field measurements. CL: cultivated land, FG: forage grass, FS: forest and shrub–grass mixed planting, FSG: forest shrub–grass mixed planting.
2.2. Monitoring of the Total Soil Loss
Field measurements were conducted from May 2021 to May 2022 in the runoff plots, with a total of 7 periods (measurement period: May 2021, June 2021, July 2021, September 2021, November 2021, March 2022, and May 2022). First, the runoff plot was divided into a grid of 15 cm × 15 cm, and there were 1580 grids in each runoff plot. Then, the surface elevation of each grid node was measured on the spot using a steel drill marked with a scale, and the surface elevation changes of each node represented the changes in a grid of 15 cm × 15 cm. The purpose was to obtain the surface microscale landform of the runoff plot in each measurement period.
The total soil loss of each runoff plot was estimated via filling and excavation analysis. Its specific operation process included taking each grid as the minimum accounting unit. We first multiplied the surface elevation change in the grid by the grid area to obtain the volume change during a certain time interval, and then we summarized all the grids to obtain the total soil loss of the entire runoff plots (Figure 2). It should be emphasized that the premise of filling and excavation analysis is to block the input of external soil and water; in this paper, we achieved this goal by using cement enclosure in the runoff pool. The total soil loss of 1580 grids was then calculated using the following equation:
where Mt is the total soil loss (g/yr); Vc and Vf are the volume of soil eroded and soil deposited (m3) at different time, respectively; and is soil bulk density (g/m3). Due to the concentrated distribution of runoff pools and small difference in soil structure, the soil bulk density came from the average value of multiple samples obtained using a soil ring knife, which covered all runoff plots.
Figure 2.
Profile of soil erosion process in runoff plot. (a): Surface before erosion, (b): Surface after erosion, (c): Change in soil volume.
2.3. Monitoring of Surface Soil Loss
Additionally, we used a water gauge to measure the water depth in the collecting tanks of the runoff plots, and the total surface runoff in a certain period of time was obtained by multiplying the water depth and the bottom area. The calculation formula is as follows:
where Q is the surface runoff of each runoff plot (m3), h is the water depth of the collecting tank (m), and s is the bottom area of the collecting tank (m2).
After that, the muddy water in the collecting tank was fully stirred, and three duplicate samples were collected in each runoff plot using a 1000 mL sampling bottle. The sediment of the samples was obtained using the drying and weighing method, and the main operation process of this method was precipitation, filtration, drying, and weighing. The average sediment of three samples was then calculated, which was regarded as the sediment content per unit of water sample. Finally, the surface soil loss of each runoff plot is acquired by multiplying the runoff and unit sediment concentration. The formula for this calculation is as follows:
where Ms is the surface soil loss (g/m2) and Sc is the sediment concentration of runoff in the slope erosion (g/m3).
2.4. Estimation of Soil Underground Leakage
Due to the difficulty of directly monitoring soil and water underground losses in karst rocky desertification areas, the soil underground leakage within a period was indirectly determined through the difference between the total soil loss and the surface loss, as shown in Equation (4):
where Ml represents the soil underground leakage (g); the meanings of Mt and Ms refer to Equations (1) and (3).
3. Results
3.1. Soil Erosion in Different Karst Rocky Desertification Grades
The annual soil loss of field measurements is shown in Table 1, and the amount of soil loss was obviously different for surface loss and underground leakage. In the potential karst rocky desertification area, the average values of the total soil erosion, surface soil erosion, and underground soil loss were 25.9 kg, 43.7 kg, and 21.5 kg, respectively. The degree of soil erosion in mild karst rocky desertification (MKRD) was larger than that of potential karst rocky desertification (PKRD), and the corresponding total soil erosion, surface erosion, and underground soil were higher by 7.60%, 18.04%, and 5.49%, respectively. Soil erosion was mainly caused by underground leakage, because the mean proportions of total surface soil loss of potential rocky desertification and mild rocky desertification were 15.61% and 17.24%, respectively, and the corresponding percentages were 84.39% and 82.76% in underground soil loss. Furthermore, in the case of consistent land cover, the soil erosion of potential karst rocky desertification was lower than that of mild karst rocky desertification for both the surface loss and the underground leakage. The degree of rock exposure and karst fractures may be the main reasons for the differences, and this result also reflected that the degree of rocky desertification is an important factor affecting soil erosion in karst areas.
Table 1.
Statistics of soil erosion in different runoff plots.
Figure 3 quantitatively illustrates the comparative difference in the erosion amount for the eight runoff plots. The results indicated that the mixed vegetation type was more conducive to the prevention and control of soil erosion, and the effect of the potential karst rocky desertification area was generally better than that of mild karst rocky desertification areas. Compared with the single vegetation type, the total amount of soil loss of FSG could be reduced by 44.10%, at most. However, the largest difference in intensity was observed in the surface soil erosion, and the soil loss of CL was more than 75% higher than that of FSG in the monitoring period. Specific to underground leakage, the difference in soil erosion caused by land cover was still large. The soil underground leakage of FSG was decreased by 33.97% in comparison with CL, which was also the maximum reduction proportion in underground leakage among the different vegetation types. The underground erosion amount in the potential karst rocky desertification was almost equal between FS and FSG, with a difference of only 5%. Overall, the relative difference in surface soil erosion amount among the eight runoff plots was greater than that of underground leakage.
Figure 3.
Comparison of soil loss between two vegetation types. (a): Potential rocky desertification, (b): Mild rocky desertification.
3.2. Characteristics of Soil Leakage under Different Vegetation Types
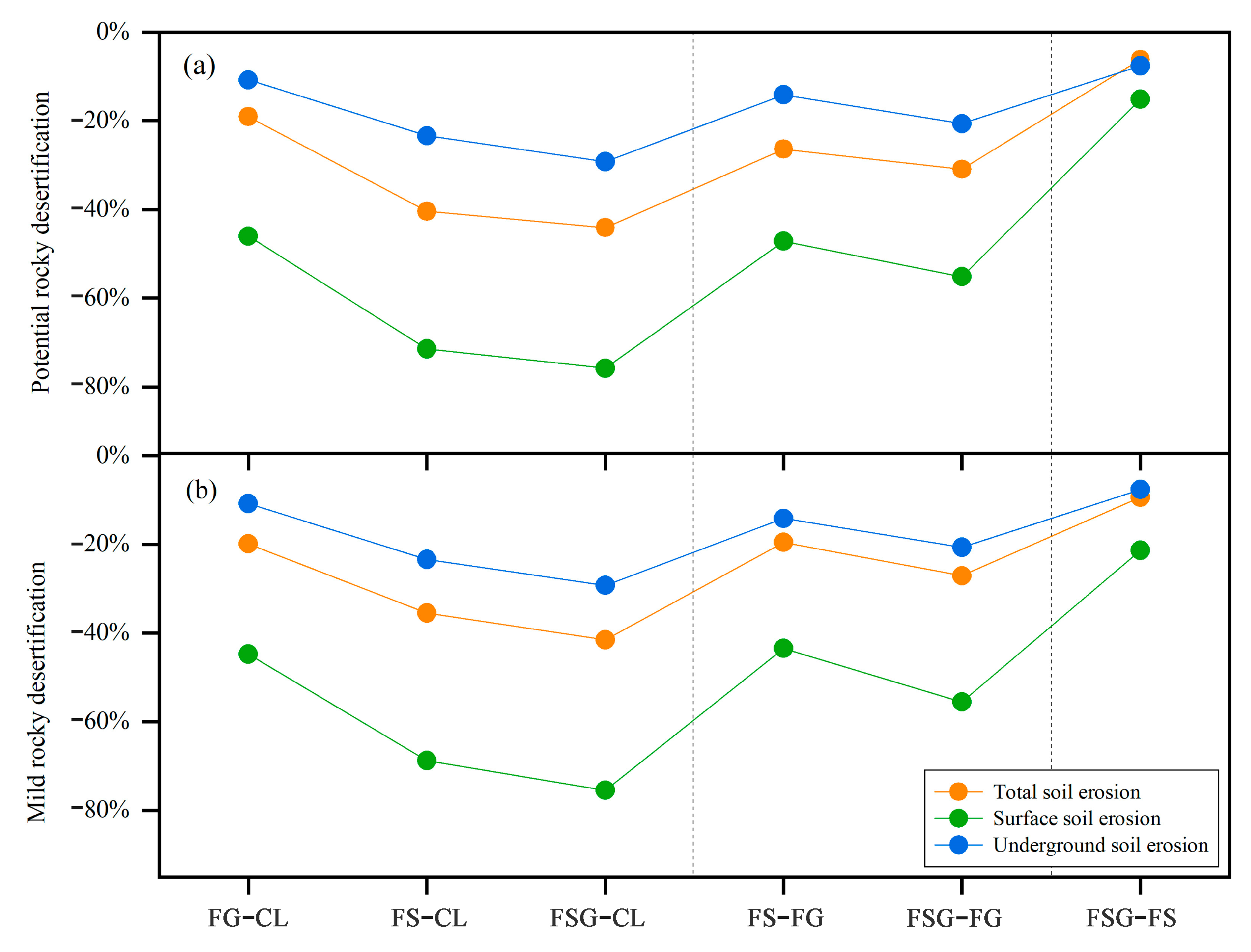
Land cover types play an important role in the prevention of water and soil loss [22,23]. Changes in the plant combination or vegetation coverage may result in an increased or reduced rate of soil loss, and this metric performed well in this study. The difference in plant combinations led to an obvious difference in the contribution rate of soil surface and underground losses. In the areas of potential and mild karst rocky desertification, the proportions of surface soil erosion were 10.48–24.21% and 11.17–26.61%, respectively, while the underground leakage rates were 75.79–89.52% and 73.39–88.83%, respectively. Overall, the contribution rate of surface erosion in mild karst rocky desertification areas was larger than that in potential karst rocky desertification areas, while the contribution rate of the underground leakage rate was the opposite.
Additionally, Figure 4 shows that the more complex the vegetation combination is, the lower the contribution rate of soil erosion to surface loss and the higher the contribution rate of underground leakage. The FSG type, which is a mixed planting of forest, shrub, and grass, had the lowest surface loss rate and the highest underground leakage rate, while the monoculture corn field had the highest surface loss rate and the lowest underground leakage rate. This result may be due to the increase in surface vegetation coverage caused by the mixing of forest, shrub, and grass, which enhances the effect on leaf interception and plant root network fixation, thereby avoiding direct erosion via raindrops and weakening the direct erosion of surface soil via precipitation and surface runoff. The soil and water conservation effect of mixed vegetation types are significantly better than that of single crop species.
Figure 4.
Contribution rate of surface and underground loss of different vegetation types. (a): Potential karst rocky desertification, (b): Mild karst rocky desertification.
3.3. Contribution of Soil Leakage in Dry and Rainy Seasons
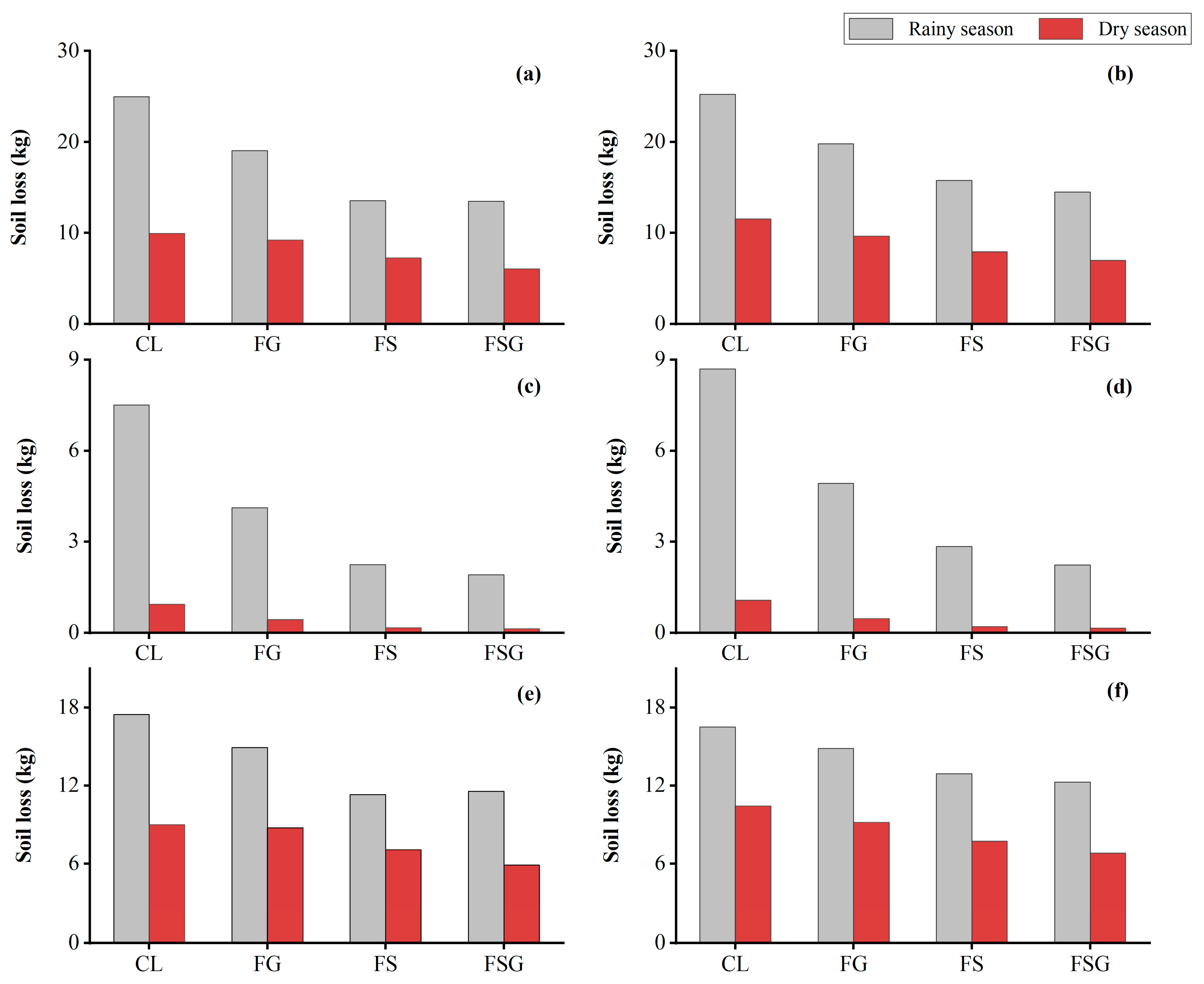
The study area is heavily influenced by the Asian monsoon and Indian monsoon, which have uneven distributions of precipitation throughout the year. Soil erosion mainly occurs in the rainy season with abundant rainfall. Therefore, the characteristics of soil erosion in the rainy season (May 2021–September 2021) and dry season (October 2021–April 2022) were further analyzed (Figure 5). The results show that the rainy season dominated the amount of soil erosion, with the average loss of 18.3 kg accounting for 67.88% of the total soil loss and the average soil loss in the dry season of 8.6 kg accounting for 32.12%. In particular, the surface soil loss was highly concentrated in the rainy season, contributing 91.46% of the total surface soil loss on average and only 8.54% in the dry season. The mean underground leakage of soil in the rainy season and dry season was 63.34% and 36.66%, respectively, and the differentiation in a year was smaller than that of surface loss. The above statistics indicate that precipitation is the key driving force of soil erosion in the study area, but there were differences in the utility of surface and underground soil losses. Furthermore, we found that the percentage characteristics of soil loss in the dry and rainy seasons were relatively similar regardless of the different karst rocky desertification grades or vegetation types, which further indicate that the main pathway of soil loss was consistent.
Figure 5.
Soil loss of surface and underground in dry and rainy seasons. (a): Total soil erosion of PKRD, (b): Total soil erosion of MKRD, (c): Surface soil erosion of PKRD, (d): Surface soil erosion of MKRD, (e): Underground soil erosion of PKRD, (f): Underground soil erosion of MKRD.
3.4. Comparison of Soil Underground Leakage
Some research has been conducted on the rate of soil underground leakage using different methods, mainly resulting in two views: one view is that underground leakage accounts for only a small proportion of soil erosion in karst areas, and the other view is that underground leakage is the main form of soil loss in karst areas. The 137CS isotope tracer results of soil loss showed that underground leakage did not dominate the soil and water losses of karst areas, and its proportion of total soil loss was less than 30% [19,24,25]. The average contribution of fractures to depression sediments is 22.1%, which was obtained using composite fingerprint identification technology [26]. Li et al. [27] found that the proportion was just 0.81% through a cross-section monitoring of a subterranean stream.
However, there are some findings, including those in this paper, supporting the view that soil underground leakage is more serious than surface loss (Table 2). This study found that the proportion of underground leakage in potential and mild karst rocky desertification ranged from 73.39% to 89.52%, which is consistent with the research obtained by some scholars through other methods, such as isotope tracing and artificial simulation experiments [28,29,30,31]. Simultaneously, this demonstrated that combining high-density measurements with runoff plots to monitor soil underground leakage is practicable. By comparing the above two viewpoints, it is not difficult to find that there is no unified consensus on whether soil surface erosion or underground leakage is the dominant path of soil and water loss in karst areas to date as a result of the complex geological conditions.
Table 2.
Statistics of research results on underground leakage.
4. Discussion
Compared with the active exploration of soil erosion in karst areas of China, there is relatively less research conducted on soil leakage in karst regions abroad. Although the phenomenon of soil underground leakage was discovered as early as the 1960s in foreign countries, due to low population pressure and a good ecological environment, the problems of soil erosion in karst areas are not prominent and so only a few researchers carried out partial research [34,35,36,37]. The average soil erosion modulus of the eight plots in this paper is 7.46 t·a−1·y−1, with the highest average soil erosion modulus of 9.95 t·ha−1·y−1 for corn land. This is not only less than the 12–13.7 t·ha−1·y−1 observed in karst regions of Havana, Guba [34] (Febles-Gonzalez et al., 2012) but is also lower than the result of 26.41 t·ha−1·y−1 monitored in the Corrente river watershed of Brazil [37]. However, the results of this study are obviously higher than the karst simulation results conducted in the Mediterranean region, which found that the erosion modulus ranged from 0.9 to 5.3 t·ha−1·y−1 in bare soil and from 0.04 to 1.3 t·ha−1·y−1 in covered soil based on 2-year monitoring [35]. The differences in karst topography, fissure characteristics, soil, vegetation, and climate conditions may be the main reasons for these differences.
Vegetation plays an important role in controlling soil erosion through root network fixation and rainfall interception [38]. Vegetation types and combinations are the key way to regulate the dual soil loss pattern in karst areas. Previous studies have indicated that the vegetation cover can significantly influence runoff and soil loss, and the soil erosion control effect of composite vegetation land is better than that of cultivated land [39]. Ding et al. (2022) explored the impact of vegetation arrangement and combination on soil erosion and found that the grass arranged on a strip-shaped cross slope had the best effect on preventing erosion and reducing sediment, which reduced by 78% of the average erosion amount compared to bare land [40]. The above research results have been further supported in this study; it found that the soil erosion modulus of agroforestry is clearly lower than that of maize monoculture and grass monoculture. The main reason is that the combination of forest and grass is more conducive to reducing soil and plant transpiration, increasing soil moisture content, and improving soil structure, which showed a stronger inhibitory effect on surface runoff [41,42]. Therefore, developing agroforestry and economic fruit forests is an ideal model for karst fragile ecological restoration. It not only effectively controls soil erosion but also increases the economic income of farmers in karst areas [43].
Precipitation is not only the driving force of soil erosion but is also an important transmission medium for soil and water leakage [44]. Rain and heat are synchronous in the karst area of southwest China, and the distribution of rainfall is uneven in a year. During the rainy season, heavy rainfall events such as rainstorms occur frequently and intensity, which greatly aggravate the risk of water and soil loss [45]. In this study, the annual differences in soil loss were obvious. The total soil loss amount, soil surface loss, and underground leakage during the rainy season were nearly 2.12, 11.22, and 1.73 times higher than those of in the dry season, respectively. The surface soil loss showed the largest difference, possibly because of the low rainfall and intensity during the dry season, and most of the runoff entered the soil through leakage, making it difficult to form erosive surface runoff. The small base of soil erosion in the dry season leads to a significant multiple difference in the amount of soil erosion between the two periods. And, some scholars have pointed out that the amount of rainfall required for surface runoff in karst areas is much greater than that in non-karst areas [46]. Furthermore, the research results of this paper have also been demonstrated via indoor simulation experiments, which found that the intensity of rainfall is directly proportional to the amount of soil surface loss/underground leakage. When strong rainfall occurs in the later stages of the rainfall process, it is more likely to cause soil underground leakage; the longer the interval between short-term and multiple rainfall periods, the less likely it is that soil erosion will occur [47].
The path of soil underground leakage in karst areas is hidden and difficult to monitor in the field. Many quantitative methods have been developed to monitor underground leakage and have achieved a series of beneficial research findings, but each method also has certain limitations. For instance, the method of 137CS tracing relies on the assumption of uniform settlement in local space, but Parsons and Foster [15] noted that these assumptions are invalid and that 137Cs tracing cannot be used to provide information about soil erosion rates. Subterranean stream section monitoring cannot determine whether the soil carried by a river originates from underground leakage, as there is difficulty in accurately identifying the catchment area. In addition, the influencing factors of karst soil erosion are complex, and there are inevitable deviations between the artificial simulation results and the actual situation in nature. Specific to this paper, the limitations of this method, which combines high-precision, fixed-point measurement and runoff plot monitoring to indirectly obtain underground leakage, are that it consumes a considerable amount of time and energy and there may be deviations due to differences in the personnel completing the measurements. We will conduct in-depth research on this in the future.
Currently, research on soil erosion in karst areas is continuously deepening, and there is significant controversy about the pathways of soil underground leakage. Therefore, it is necessary to continuously enrich and improve the existing methods of monitoring soil underground leakage, establish a relationship model between surface erosion and underground leakage, and provide support for revealing the mechanism of karst soil erosion. Meanwhile, the identification and quantification of factors affecting soil underground leakage need to be strengthened, and the interaction mechanisms of various influencing factors under different environmental conditions and artificial intervention methods need to be explored [48].
5. Conclusions
Karst areas have a specific surface and underground binary structure, and the proportions of soil surface loss and underground leakage are hot research topics. This study quantitatively estimated the amount of soil underground leakage by combining high-density, fixed-point measurements with surface runoff monitoring in a typical karst mountain area in Southwest China. The main pathway of soil loss in the study area is underground leakage, with an average underground leakage percentage of 83.12% and 81.48% for potential and mild karst rocky desertification runoff plots, respectively. The type of land cover showed a clear impact on soil erosion, and the mixed planting of forest, shrub, and grass had the lowest surface loss rate and the highest underground leakage rate. The corresponding combination is also more effective in controlling soil erosion in karst rocky desertification areas. The corn cultivation showed the largest soil loss with the average amount of 35.84 kg/yr due to the high disturbance intensity on the soil layer. Furthermore, the rainy season dominated the amount of soil erosion, accounting for 67.88% of the total soil loss. The mean underground leakage rates of soil in the rainy season and dry season were 63.34% and 36.66%, respectively. The uneven distribution of regional rainfall in a year is also an important factor inducing differences in karst soil erosion, and more attention should be paid to the prevention and control of soil erosion during the rainy season. This study provides an indirect method to quantify underground leakage contributions to karst soil loss. Although it requires high operational skills and is time-consuming for measurement personnel and there is some uncertainty, it has a positive effect on soil erosion monitoring in karst regions. In the future, we should continue to strengthen the research and development of monitoring methods for soil underground leakage in karst regions and then enhance regional comparison and improve data accuracy.
Author Contributions
Conceptualization, D.Z.; Data Curation, D.Z. and Q.Y.; Funding Acquisition, D.Z.; Investigation, D.Z., Q.Y. and Y.Z.; Methodology, D.Z. and H.X.; Project Administration, D.Z.; Resources, D.Z. Software, Q.Y.; Supervision, H.X.; Validation, D.Z. and Q.Y.; Visualization, Q.Y. and Y.Z.; Writing—Original Draft, Q.Y. and D.Z.; Writing—Review and Editing, Q.Y., D.Z. and Y.Z. All authors have read and agreed to the published version of the manuscript.
Funding
This research was funded by the National Natural Science Foundation of China (No. 42361010); the Guiding Fund Project of Government’s Science and Technology (No. Qian Ke He Zhong Yin Di [2023]005); and the Academic Talent Plan of Guizhou Normal University (No. Qian Shi Xin Miao [2022]B31).
Institutional Review Board Statement
Not applicable.
Data Availability Statement
The data is unavailable due to privacy.
Acknowledgments
We would like to thank Zhigao Wu, Zhen Cao, Ronghan Li, and Linjin Fu for providing assistance during the measurement process.
Conflicts of Interest
The authors declare no conflicts of interest.
References
- Keesstra, S.; Mol, G.; de Leeuw, J.; Okx, J.; Molenaar, C.; de Cleen, M.; Visser, S. Soil-Related Sustainable Development Goals: Four Concepts to Make Land Degradation Neutrality and Restoration Work. Land 2018, 7, 133. [Google Scholar] [CrossRef]
- Liu, B.Y.; Xie, Y.; Li, Z.G.; Liang, Y.; Zhang, W.B.; Fu, S.H.; Yin, S.Q.; Wei, X.; Zhang, K.L.; Wang, Z.Q.; et al. The assessment of soil loss by water erosion in China. Int. Soil Water Conse. 2020, 8, 430–439. [Google Scholar] [CrossRef]
- Dai, Q.H.; Yan, Y.J. Research progress of karst rocky desertification and soil erosion in southwest China. J. Soil. Water. Conserv. 2018, 32, 1–10. (In Chinese) [Google Scholar] [CrossRef]
- Bloom, A.L. Water-Formed Structures: Geomorphology and Hydrology of Karst Terrains. Science 1989, 243, 1618–1619. [Google Scholar] [CrossRef]
- Peng, X.D.; Wang, X.D.; Dai, Q.H.; Ding, G.J.; Li, C.L. Soil structure and nutrient contents in underground fissures in a rock-mantled slope in the karst rocky desertification area. Environ. Earth Sci. 2020, 79, 3. [Google Scholar] [CrossRef]
- He, J.H.; Cao, Y.; Zhang, K.L.; Xiao, S.Z.; Cao, Z.H. Soil loss through fissures and its responses to rainfall based on drip water monitoring in karst caves. J. Hydrol. 2023, 617, 129000. [Google Scholar] [CrossRef]
- Wang, Z.H.; Luo, D.; Xiong, K.N.; Gu, X.; Zhu, Z.Z. Studies on hydrological processes on karst slopes for control of soil and water loss. Sustainability 2022, 14, 5789. [Google Scholar] [CrossRef]
- Al Khoury, I.; Boithias, L.; Labat, D. A Review of the Application of the Soil and Water Assessment Tool (SWAT) in Karst Watersheds. Water 2023, 15, 954. [Google Scholar] [CrossRef]
- Wu, C.X.; Xiong, K.N.; Luo, D.; Gu, X. Progress of Study on Interception of Soil Mulching with an Insight into Karst Soil Leakage Control: A Review. Land 2022, 11, 1984. [Google Scholar] [CrossRef]
- Yang, P.; Tang, Y.Q.; Zhou, N.Q.; Wang, J.X.; She, T.Y.; Zhang, X.H. Characteristics of red clay creep in karst caves and loss leakage of soil in the karst rocky desertification area of Puding County, Guizhou, China. Environ. Earth Sci. 2011, 63, 543–549. [Google Scholar] [CrossRef]
- Bai, X.Y.; Zhang, X.B.; Long, Y.; Liu, X.M.; Zhang, S.Y. Use of 137Cs and 210Pbex measurements on deposits in a karst depression to study the erosional response of a small karst catchment in Southwest China to land-use change. Hydrol Process 2013, 27, 822–829. [Google Scholar] [CrossRef]
- Zhang, X.B.; Bai, X.Y.; Li, H.; Feng, T.; Peng, T.; Yan, D.C.; He, Y.B.; Bao, Y.H.; Wang, Y.C. Contrast of 137Cs Content in Slope Soil with Depressions, and Pond Sediments-Sediments Sources, Transportion and Balance of Karst Basin in SW China. Earth. Environ. 2017, 45, 247–258. (In Chinese) [Google Scholar] [CrossRef]
- Dai, Q.H.; Peng, X.D.; Wang, P.J.; Li, C.L.; Shao, H.B. Surface erosion and underground leakage of yellow soil on slopes in karst regions of southwest China. Land Degrad Dev. 2018, 29, 2438–2448. [Google Scholar] [CrossRef]
- Wu, Q.L.; Liang, H.; Xiong, K.N.; Li, R. Effectiveness of monitoring methods for soil leakage loss in karst regions. Environ. Earth Sci. 2021, 80, 278. [Google Scholar] [CrossRef]
- Parsons, A.J.; Foster, I.D.L. What can we learn about soil erosion from the use of 137Cs? Earth-Sci. Rev. 2011, 108, 101–113. [Google Scholar] [CrossRef]
- Luo, W.Q.; Jiang, Z.C.; Han, Q.Y.; Cao, J.H.; Pei, J.G. Characteristics of Soil Distribution and Erosion at Different Locations of Low-Lying Area of Karst Mountain Peaks. China. Soil. Water. Conse. 2008, 321, 46–49. (In Chinese) [Google Scholar] [CrossRef]
- Luo, M.; Zhou, Y.C.; Wang, K.K. Soil Erosion Characteristics According to Tree-rings in a Karst Area. J. Res. Ecol. 2015, 6, 257–262. [Google Scholar]
- Feng, T.; Chen, H.S.; Zhang, W.; Nie, Y.P.; Wang, K.L. 137Cs profile distribution character and its implication for soil erosion on Karst slopes of northwest Guangxi. Chinese. J. Appl. Ecol. 2011, 22, 593–599. (In Chinese) [Google Scholar] [CrossRef]
- Wei, X.P.; Yan, Y.E.; Xie, D.T.; Ni, J.P.; Loáiciga, H.A. The soil leakage ratio in the Mudu watershed, China. Environ. Earth Sci. 2016, 75, 721. [Google Scholar] [CrossRef]
- Dai, Q.H.; Liu, Z.T.; Shao, H.B.; Yang, Z. Karst bare slope soil erosion and soil quality: A simulation case study. Solid. Earth 2015, 6, 985–995. [Google Scholar] [CrossRef]
- Dai, Q.H.; Peng, X.D.; Yang, Z.; Zhao, L.S. Runoff and erosion processes on bare slopes in the Karst Rocky Desertification Area. Catena 2017, 152, 218–226. [Google Scholar] [CrossRef]
- Wu, Z.G.; Xiong, K.N.; Zhu, D.Y.; Xiao, J. Revelation of Coupled Ecosystem Quality and Landscape Patterns for Agroforestry Ecosystem Services Sustainability Improvement in the Karst Desertification Control. Agriculture 2023, 13, 43. [Google Scholar] [CrossRef]
- Radziuk, H.; Switoniak, M. The effect of erosional transformation of soil cover on the stability of soil aggregates within young hummocky moraine landscapes in Northern Poland. Agronomy 2022, 12, 2595. [Google Scholar] [CrossRef]
- He, Y.B.; Li, H.; Zhang, X.B.; Yan, D.C.; Wen, A.B. 137Cs method study on soil erosion and sediment yield in grass covered peak cluster depression in Maolan, Guizhou. Carsologica. Sinica 2009, 28, 181–188. (In Chinese) [Google Scholar]
- Wei, X.P.; Yuan, D.X.; Xie, S.Y. Study on soil erosion and loss on slope in karst mountain valley area of Chongqing valley with 137Cs and soil nutrient elements. J. Soil. Water. Conserv. 2010, 24, 16–19+23. (In Chinese) [Google Scholar] [CrossRef]
- Li, Z.W.; Xu, X.L.; Zhang, Y.H.; Wang, K.L. Fingerprinting sediment sources in a typical karst catchment of southwest China. Int. Soil Water Conse. 2020, 8, 277–285. [Google Scholar] [CrossRef]
- Li, J.; Xiong, K.N.; Wang, X.P. Observation of Subterranean Soil and Water Loss of Karst Area. China Soil. Water. Conse. 2012, 6, 38–40+76. (In Chinese) [Google Scholar] [CrossRef]
- Wang, K.L.; Su, Y.R.; Zeng, F.P.; Chen, H.S.; Xiao, R.L. Ecological process and vegetation restoration in Karst region of southwest China. Res. Agric. Mod. 2008, 29, 641–645. (In Chinese) [Google Scholar]
- Cheng, Q.Y.; Wang, S.J.; Peng, T.; Cao, L.; Zhang, X.B. Sediment sources, soil loss rates and sediment yields in a Karst plateau catchment in Southwest China. Agric. Ecosyst. Environ. 2020, 304, 107114. [Google Scholar] [CrossRef]
- Dai, Q.H.; Peng, X.D.; Zhao, L.S.; Shao, H.B.; Yang, Z. Effects of Underground Pore Fissures on Soil Erosion and Sediment Yield on Karst Slopes. Land Degrad Dev. 2017, 28, 1922–1932. [Google Scholar] [CrossRef]
- Peng, X.D. Study on the Process and Characteristics of Water & Soil Leakage Loss in Shallow Fissures on Sloping Lands of Karst Plateau. Ph.D. Thesis, Guizhou University, Guiyang, China, 2018. [Google Scholar]
- Zhang, X.B.; Wang, S.J.; Cao, J.H.; Wang, K.L.; Meng, T.Y.; Bai, X.Y. Characteristics of water loss and soil erosion and some scientific problems on karst rocky desertification in Southwest China karst area. Carsologica. Sinica 2010, 29, 274–279. (In Chinese) [Google Scholar]
- Jiang, Z.C.; Luo, W.Q.; Deng, Y.; Cao, J.H.; Qin, X.M.; Li, Y.Q.; Yang, Q.Y. The Leakage of Water and Soil in the Karst Peak Cluster Depression and Its Prevention and Treatment. Acta. Geosci. Sinica 2014, 35, 535–542. (In Chinese) [Google Scholar]
- Febles-Gonzalez, J.M.; Vega-Carreno, M.B.; Tolon-Becerra, A.; Lastra-Bravo, X. Assessment of soil erosion in karst regions of Havana. Cuba. Land Degrad. Dev. 2012, 23, 465–474. [Google Scholar] [CrossRef]
- Čustović, H.; Misilo, M.; Marković, M. Water balance of Mediterranean karst soil in Bosnia and Herzegovina as a water conservation and erosion control factor. Soil Sci. Plant Nutr. 2014, 60, 100–107. [Google Scholar] [CrossRef]
- Shamet, R. Subsurface Characterization of Internally Eroded Soils in Karst Using the Cone Penetration Test. Ph.D. Thesis, University of Central Florida, Orlando, FL, USA, 2020; p. 290. [Google Scholar]
- Tavares, A.S.; Uagoda, R.S. Assessment of soil losses by erosion in a karst environment in the Cerrado Biome of Brazil. Geoespeleologia 2022, 8, 5. Available online: https://repositorio.icmbio.gov.br/handle/cecav/1777 (accessed on 1 April 2022).
- Zhao, T.Y.; Wu, Y.Y.; Sun, L.Q.; Gao, C.C.; Pan, W.S.; Xu, Y.F.; Cheng, F.D. Review of the quantitative study on soil leakage in karst area. Carsologica. Sinica. 2023, 42, 61–70. (In Chinese) [Google Scholar]
- Peng, T.; Wang, S.J. Effects of land use, land cover and rainfall regimes on the surface runoff and soil loss on karst slopes in southwest China. Catena 2011, 90, 53–62. [Google Scholar] [CrossRef]
- Ding, L.; Xu, H.C.; Qin, W.; Yin, Z.; Jiao, J. Erosion and sediment yield under different grass cover patterns and its characterization of connectivity index. Trans. CSAE 2022, 38, 119–128. (In Chinese) [Google Scholar]
- Lin, B.B. The role of agroforestry in reducing water loss through soil evaporation and crop transpiration in coffee agroecosystems. Agric. Forest. Meteorol. 2010, 150, 510–518. [Google Scholar] [CrossRef]
- Wu, Q.L.; Liang, H.; Xiong, K.N.; Li, R. Eco-benefits coupling of agroforestry and soil and water conservation under KRD environment: Frontier theories and outlook. Agroforest. Syst. 2019, 93, 1927–1938. [Google Scholar] [CrossRef]
- Wei, B.; Li, Z.W.; Duan, L.X.; Gu, Z.K.; Liu, X.M. Vegetation types and rainfall regimes impact on surface runoff and soil erosion over 10 years in karst hillslopes. Catena 2023, 232, 107443. [Google Scholar] [CrossRef]
- He, J.H.; Zhang, K.L. A review of underground soil loss in karst area of the Southwest China. J. Sediment. Res. 2022, 47, 66–73. (In Chinese) [Google Scholar]
- Huang, X.Y.; Chen, X.; Zhang, Z.C.; Zhang, Z.X.; Wu, Y.Q.; Huang, Y.Y. Analysis of daily rainfall concentration and its change characteristics in Southwestern karst region—A case study of Wujiang catchment. Earth Environ. 2013, 41, 203–208. (In Chinese) [Google Scholar]
- Wang, Z.X. Analysis of Soil and Water Loss Process and Control Factors in Slope Land of Karst Trough Area. Master’s Thesis, Southwest University, Chongqing, China, 2019. (In Chinese). [Google Scholar]
- Yan, Y.Q.; Liu, Q.; Deng, D.P.; Liao, Q.D. Effect of short-time heavy rainfall on soil surface loss/undergrond leakage of karst slope. Res. Soil. Water. Conse. 2023, 30, 77–82. (In Chinese) [Google Scholar]
- Peng, X.D.; Dai, Q.H. Drivers of soil erosion and subsurface loss by soil leakage during karst rocky desertification in SW China. J. Soil. Water. Conserv. 2022, 10, 217–227. [Google Scholar] [CrossRef]
Disclaimer/Publisher’s Note: The statements, opinions and data contained in all publications are solely those of the individual author(s) and contributor(s) and not of MDPI and/or the editor(s). MDPI and/or the editor(s) disclaim responsibility for any injury to people or property resulting from any ideas, methods, instructions or products referred to in the content. |
© 2024 by the authors. Licensee MDPI, Basel, Switzerland. This article is an open access article distributed under the terms and conditions of the Creative Commons Attribution (CC BY) license (https://creativecommons.org/licenses/by/4.0/).




