Impact of Soil Organic Bioregeneration Amendments on Maize Biomass and Soil Physical Quality
Abstract
1. Introduction
2. Materials and Methods
2.1. Site Description
2.2. Experimental Design
2.3. Measurements of Root Morphology
2.4. Measurements of Soil Physical Parameters
2.5. Statistics
3. Results
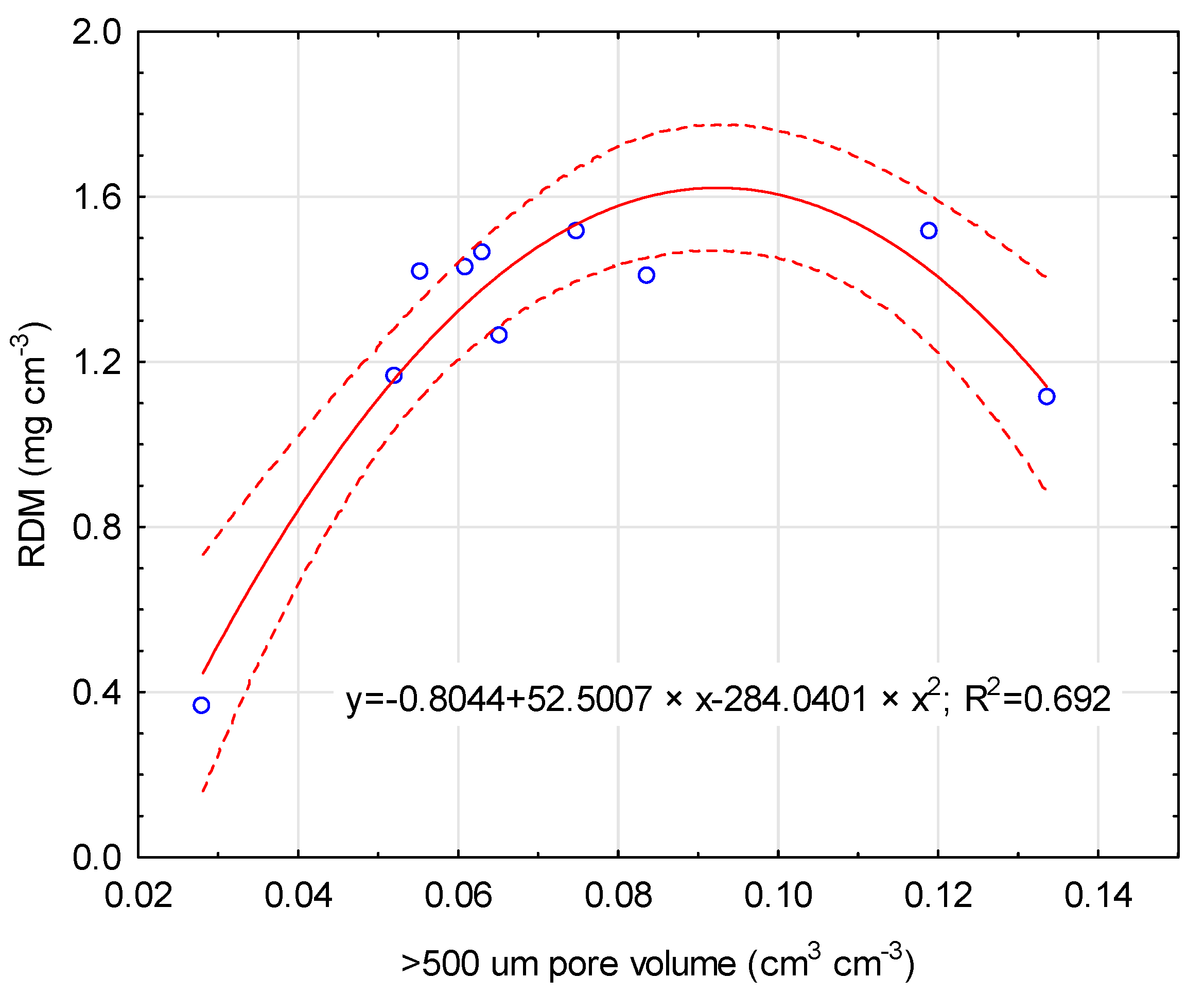
3.1. Soil Pore Characteristics
3.2. Soil Water Retention
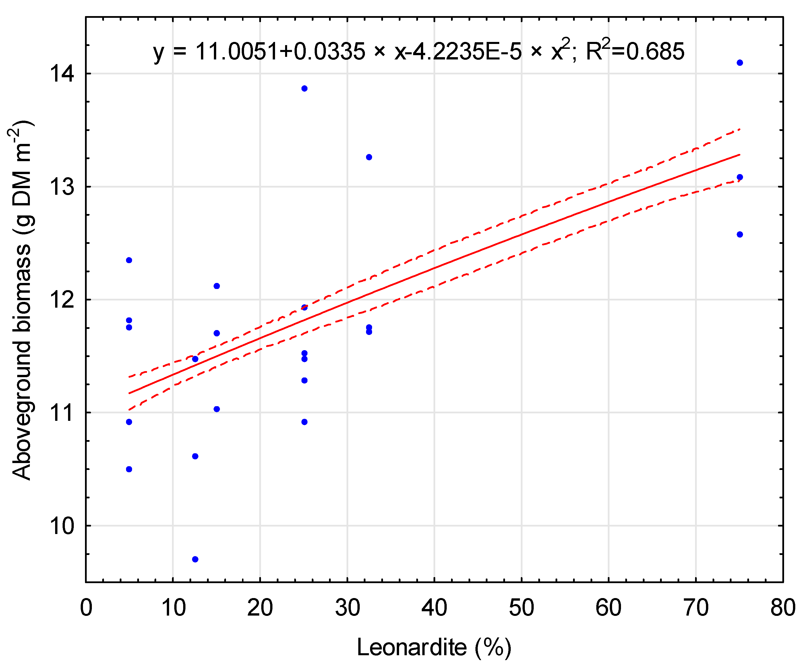
3.3. Soil Bioregeneration Amendments Affect Maize Yield and Root Biomass
3.4. Root Morphometric Parameters
4. Discussion
4.1. Effects of Fertilizer Formulations on Soil Physical Properties
4.2. Impact of Soil Organic Amendments on Maize Productivity and Root Morphology
5. Conclusions
Author Contributions
Funding
Data Availability Statement
Conflicts of Interest
References
- Karlen, D.L.; Rice, C.W. Soil Degradation: Will humankind ever learn? Sustainability 2015, 7, 12490–12501. [Google Scholar] [CrossRef]
- Kacprzak, M.; Kupich, I.; Jasinska, A.; Fijalkowski, K. Bio-based waste’ substrates for degraded soil improvement-advantages and challenges in European context. Energies 2022, 15, 385. [Google Scholar] [CrossRef]
- Ferreira, C.S.S.; Seifollahi-Aghmiuni, S.; Destouni, G.; Ghajarnia, N.; Kalantari, Z. Soil degradation in the European Mediterranean region: Processes, status and consequences. Sci. Total Environ. 2022, 805, 150106. [Google Scholar] [CrossRef]
- Głąb, T.; Żabiński, A.; Sadowska, U.; Gondek, K.; Kopeć, M.; Mierzwa-Hersztek, M.; Tabor, S.; Stanek-Tarkowska, J. Fertilization effects of compost produced from maize, sewage sludge and biochar on soil water retention and chemical properties. Soil Tillage Res. 2020, 197, 104493. [Google Scholar] [CrossRef]
- Lal, R. Restoring Soil Quality to Mitigate Soil Degradation. Sustainability 2015, 7, 5875–5895. [Google Scholar] [CrossRef]
- Hussain, S.; Hussain, S.; Guo, R.; Sarwar, M.; Ren, X.; Krstic, D.; Aslam, Z.; Zulifqar, U.; Rauf, A.; Hano, C.; et al. Carbon sequestration to avoid soil degradation: A review on the role of conservation tillage. Plants 2021, 10, 2001. [Google Scholar] [CrossRef]
- Lal, R. Soil carbon sequestration to mitigate climate change. Geoderma 2004, 123, 1–22. [Google Scholar] [CrossRef]
- Lehman, R.M.; Cambardella, C.A.; Stott, D.E.; Acosta-Martinez, V.; Manter, D.K.; Buyer, J.S.; Maul, J.E.; Smith, J.L.; Collins, H.P.; Halvorson, J.J.; et al. Understanding and enhancing soil biological health: The solution for reversing soil degradation. Sustainability 2015, 7, 988–1027. [Google Scholar] [CrossRef]
- Lorenz, K.; Lal, R.; Ehlers, K. Soil organic carbon stock as an indicator for monitoring land and soil degradation in relation to United Nations’ Sustainable Development Goals. Land Degrad. Dev. 2019, 30, 824–838. [Google Scholar] [CrossRef]
- Körschens, M.; Albert, E.; Armbruster, M.; Barkusky, D.; Baumecker, M.; Behle-Schalk, L.; Bischoff, R.; Čergan, Z.; Ellmer, F.; Herbst, F.; et al. Effect of mineral and organic fertilization on crop yield, nitrogen uptake, carbon and nitrogen balances, as well as soil organic carbon content and dynamics: Results from 20 European long-term field experiments of the twenty-first century. Arch. Agron. Soil Sci. 2013, 59, 1017–1040. [Google Scholar] [CrossRef]
- Chatzistathis, T.; Papaioannou, E.; Giannakoula, A.; Papadakis, I.E. Zeolite and vermiculite as inorganic soil amendments modify shoot-root allocation, mineral nutrition, photosystem ii activity and gas exchange parameters of chestnut (Castanea sativa Mill) plants. Agronomy 2021, 11, 109. [Google Scholar] [CrossRef]
- Abiven, S.; Menasseri, S.; Chenu, C. The effects of organic inputs over time on soil aggregate stability. Soil Biol. Biochem. 2008, 41, 1–12. [Google Scholar] [CrossRef]
- Diacono, M.; Montemurro, F. Long-term effects of organic amendments on soil fertility. A review. Agron. Sustain. Dev. 2010, 30, 401–422. [Google Scholar] [CrossRef]
- Clouard, M.; Criquet, S.; Borschneck, D.; Ziarelli, F.; Marzaioli, F.; Balesdent, J.; Keller, C. Impact of lignite on pedogenetic processes and microbial functions in Mediterranean soils. Geoderma 2014, 232–234, 257–269. [Google Scholar] [CrossRef]
- Paramashivam, D.; Clough, T.J.; Carlton, A.; Gough, K.; Dickinson, N.; Horswell, J.; Sherlock, R.R.; Clucas, L.; Robinson, B.H. The effect of lignite on nitrogen mobility in a low-fertility soil amended with biosolids and urea. Sci. Total Environ. 2015, 543 Pt A, 601–608. [Google Scholar] [CrossRef]
- Ciarkowska, K.; Sołek-Podwika, K.; Filipek-Mazur, B.; Tabak, M. Comparative effects of lignite-derived humic acids and FYM on soil properties and vegetable yield. Geoderma 2017, 303, 85–92. [Google Scholar] [CrossRef]
- Arjumend, T.; Abbasi, M.K.; Rafique, E. Effects of lignite-derived humic acid on some selected soil properties, growth and nutrient uptake of wheat (Triticum aestivum L.) grown under greenhouse conditions. Pak. J. Bot. 2015, 47, 2231–2238. [Google Scholar]
- Akimbekov, N.; Qiao, X.; Digel, I.; Abdieva, G.; Ualieva, P.; Zhubanova, A. The effect of leonardite-derived amendments on soil microbiome structure and potato yield. Agriculture 2020, 10, 147. [Google Scholar] [CrossRef]
- Mukherjee, A.; Lal, R. Biochar impacts on soil physical properties and greenhouse gas emissions. Agronomy 2013, 3, 313–339. [Google Scholar] [CrossRef]
- Herath, H.M.S.K.; Camps-Arbestain, M.; Hedley, M. Effect of biochar on soil physical properties in two contrasting soils: An Alfisol and an Andisol. Geoderma 2013, 209–210, 188–197. [Google Scholar] [CrossRef]
- Głąb, T.; Palmowska, J.; Zaleski, T.; Gondek, K. Effect of biochar application on soil hydrological properties and physical quality of sandy soil. Geoderma 2016, 281, 11–20. [Google Scholar] [CrossRef]
- Zhu, X.; Chen, B.; Zhu, L.; Xing, B. Effects and mechanisms of biochar-microbe interactions in soil improvement and pollution remediation: A review. Environ. Pollut. 2017, 227, 98–115. [Google Scholar] [CrossRef] [PubMed]
- Kavitha, B.; Reddy, P.V.L.; Kim, B.; Lee, S.S.; Pandey, S.K.; Kim, K.H. Benefits and limitations of biochar amendment in agricultural soils: A review. J. Environ. Manag. 2018, 227, 146–154. [Google Scholar] [CrossRef] [PubMed]
- Vinci, G.; Rapa, M. Hydroponic cultivation: Life cycle assessment of substrate choice. Br. Food J. 2019, 121, 1801–1812. [Google Scholar] [CrossRef]
- Commission of the European Communities (CEC). Communication from the Commission to the Council, the European Parliament, the European Economic and Social Committee and the Committee of the Regions. EU Biodiversity Strategy for 2030 Bringing Nature Back into our Lives; COM 380 Final; European Commission: Brussels, Belgium, 2020. [Google Scholar]
- Pal, D.K. Organic carbon sequestration and ecosystem service of Indian tropical soils. In Ecosystem Services and Tropical Soils of India; Springer: Cham, Switzerland, 2019. [Google Scholar] [CrossRef]
- Głąb, T.; Gondek, K.; Mierzwa–Hersztek, M. Biological effects of biochar and zeolite used for remediation of soil contaminated with toxic heavy metals. Sci. Rep. 2021, 11, 6998. [Google Scholar] [CrossRef] [PubMed]
- Zhang, F.B.; Xu, P.Z.; Tang, S.H.; Chen, J.S.; Xie, K.Z.; Huang, X. Effects of chemical fertilizer and composts produced from chicken, swine and cattle manures on yields and quality of leaf vegetables. Chin. Agric. Sci. Bull. 2008, 24, 283–286. [Google Scholar]
- Luo, G.; Li, L.; Friman, V.-P.; Guo, J.; Guo, S.; Shen, Q.; Ling, N. Organic amendments increase crop yields by improving microbe-mediated soil functioning of agroecosystems: A meta-analysis. Soil Biol. Biochem. 2018, 124, 105–115. [Google Scholar] [CrossRef]
- Smucker, A.J.M.; McBurney, S.L.; Srivastava, A.K. Quantitative separation of roots from compacted soil profiles by the hydropneumatic elutriation system. Agron. J. 1982, 74, 500–503. [Google Scholar] [CrossRef]
- Bauhus, J.; Messier, C. Evaluation of fine root length and diameter measurements obtained using RHIZO image analysis. Agron. J. 1999, 91, 142–147. [Google Scholar] [CrossRef]
- Głąb, T.; Gondek, K.; Mierzwa-Hersztek, M. Pyrolysis improves the effect of straw amendment on the productivity of perennial ryegrass (Lolium perenne L.). Agronomy 2020, 10, 1455. [Google Scholar] [CrossRef]
- Klute, A.; Dirksen, C. Water retention. Laboratory methods. In Methods of Soil Analysis. Part 1. Physical and Mineralogical Methods; SSSA Book, Series; Klute, A., Ed.; Wiley: Hoboken, NJ, USA, 1986; Volume 9, pp. 663–686. [Google Scholar]
- Van Genuchten, M.T. A closed-form equation for predicting the hydraulic conductivity of unsaturated soils. Soil Sci. Soc. Am. J. 1980, 44, 892–898. [Google Scholar] [CrossRef]
- Mualem, Y. Hydraulic conductivity of unsaturated soils: Prediction and formulas. In Methods of Soil Analysis. Part 1. Physical and Mineralogical Methods; SSSA Book, Series; Klute, A., Ed.; Wiley: Hoboken, NJ, USA, 1986; Volume 9, pp. 799–823. [Google Scholar]
- Reynolds, W.D.; Drury, C.F.; Yang, X.M.; Tan, C.S. Optimal soil physical quality inferred through structural regression and parameter interactions. Geoderma 2008, 146, 466–474. [Google Scholar] [CrossRef]
- Dexter, A.R. Soil physical quality: Part I. Theory, effects of soil texture, density, and organic matter, and effects on root growth. Geoderma 2004, 120, 201–214. [Google Scholar] [CrossRef]
- Ahuja, L.R.; Fiedler, F.; Dunn, G.H.; Benjamin, J.G.; Garrison, A. Changes in soil water retention curves due to tillage and natural reconsolidation. Soil Sci. Soc. Am. J. 1998, 62, 1228–1233. [Google Scholar] [CrossRef]
- Greenland, D.J. Soil management and soil degradation. J. Soil Sci. 1981, 32, 301–322. [Google Scholar] [CrossRef]
- Hargreaves, J.C.; Adl, M.S.; Warman, P.R. A review of the use of composted municipal solid waste in agriculture. Agric. Ecosyst. Environ. 2008, 123, 1–14. [Google Scholar] [CrossRef]
- Günal, E.; Erdem, H.; Çelik, I. Effects of three different biochars amendment on water retention of silty loam and loamy soils. Agric. Water Manag. 2018, 208, 232–244. [Google Scholar] [CrossRef]
- Głąb, T.; Żabiński, A.; Sadowska, U.; Gondek, K.; Kopeć, M.; Mierzwa–Hersztek, M.; Tabor, S. Effects of co-composted maize, sewage sludge, and biochar mixtures on hydrological and physical qualities of sandy soil. Geoderma 2018, 315, 27–35. [Google Scholar] [CrossRef]
- Głąb, T.; Zaleski, T.; Erhart, E.; Hartl, W. Effect of biowaste compost and nitrogen fertilization on macroporosity and biopores of Molli-gleyic Fluvisol soil. Int. Agrophys. 2008, 22, 303–311. [Google Scholar]
- Zaleski, T.; Kopeć, M. The influence of long-term fertilization on the water retention of the mountain meadow. In Proceedings of the 11th Lysimetertagung‚ Lysimetrie im Netzwerk der Dynamik von Oekosystemen, BAL, Gumpenstein, Austria, 29–30 April 2003; pp. 237–238. [Google Scholar]
- Głąb, T.; Gondek, K. The influence of soil compaction and N fertilization on physico-chemical properties of Mollic Fluvisol soil under red clover/grass mixture. Geoderma 2014, 226–227, 204–212. [Google Scholar] [CrossRef]
- Paluszek, J. Criteria of evaluation of physical quality of Polish arable soils. Acta Agrophys. 2011, 191, 1–139. [Google Scholar]
- Reynolds, W.D.; Drury, C.F.; Tan, C.S.; Fox, C.A.; Yang, X.M. Use of indicators and pore volume-function characteristics to quantify soil physical quality. Geoderma 2009, 152, 252–263. [Google Scholar] [CrossRef]
- Pranagal, J.; Podstawka-Chmielewska, E. Physical properties of a Rendzic Phaeozem during a ten-year period of fallowing under the conditions of south-eastern Poland. Geoderma 2012, 189, 262–267. [Google Scholar] [CrossRef]
- Farhangi-Abriz, S.; Nikpour-Rashidabad, N. Effect of lignite on alleviation of salt toxicity in soybean (Glycine max L.) plants. Plant Physiol. Biochem. 2017, 120, 186–193. [Google Scholar] [CrossRef] [PubMed]
- Li, C.; Xiong, Y.; Zou, J.; Dong, L.; Ren, P.; Huang, G. Impact of biochar and lignite-based amendments on microbial communities and greenhouse gas emissions from agricultural soil. Vadose Zone J. 2021, 20, e20105. [Google Scholar] [CrossRef]
- Tran, C.K.T.; Rose, M.T.; Cavagnaro, T.R.; Patti, A.F. Lignite amendment has limited impacts on soil microbial communities and mineral nitrogen availability. Appl. Soil Ecol. 2015, 95, 140–150. [Google Scholar] [CrossRef]
- Kołodziej, B.; Bryk, M.; Otremba, K. Effect of rockwool and lignite dust on physical state of rehabilitated post-mining soil. Soil Tillage Res. 2020, 199, 104603. [Google Scholar] [CrossRef]
- Shaykewich, J.A. Impact of Leonardite Amendments on Soil Physical Properties of Two Soils Related to Grain Production. Master’s Thesis, University of Manitoba, Winnipeg, MB, Canada, 2000. [Google Scholar]
- Atkinson, C.J.; Fitzgerald, J.D.; Hipps, N.A. Potential mechanisms for achieving agricultural benefits from biochar application to temperate soils: A review. Plant Soil 2010, 337, 1–18. [Google Scholar] [CrossRef]
- Koyama, S.; Urayama, H.; Karunaratne, K.M.P.D.; Yamashita, T. Effects of coir application on soil properties and cucumber production as a reuse model of organic medium used in soilless culture. Trop. Agric. Dev. 2009, 53, 7–13. [Google Scholar] [CrossRef]
- Hongpakdee, P.; Ruamrungsri, S. Water use efficiency, nutrient leaching, and growth in potted marigolds affected by coconut coir dust amended in substrate media. Hortic. Environ. Biotechnol. 2015, 56, 27–35. [Google Scholar] [CrossRef]
- McCarthy, M.C.; Enquist, B.J. Consistency between an allometric approach and optimal partitioning theory in global patterns of plant biomass allocation. Funct. Ecol. 2007, 21, 713–720. [Google Scholar] [CrossRef]
- Głąb, T.; Gondek, K.; Mierzwa-Hersztek, M.; Szewczyk, W. Effects of straw and biochar amendments on grassland productivity and root morphology. Agronomy 2020, 10, 1794. [Google Scholar] [CrossRef]
- Sariyildiz, T. Effects of leonardite and mineral fertilizer applications on plant growth and soil quality of garlic (Allium sativum L.). Turk. J. Agric. Food Sci. Technol. 2020, 8, 1763–1772. [Google Scholar] [CrossRef]
- Akinremi, O.O.; Janzen, H.H.; Lemke, R.L.; Larney, F.J. Response of canola, wheat and green beans to leonardite additions. Can. J. Soil Sci. 2000, 80, 437–443. [Google Scholar] [CrossRef]
- Kaya, C.; Şenbayram, M.; Akram, N.A.; Ashraf, M.; Alyemeni, M.N.; Ahmad, P. Sulfur-enriched leonardite and humic acid soil amendments enhance tolerance to drought and phosphorus deficiency stress in maize (Zea mays L.). Sci. Rep. 2020, 10, 6432. [Google Scholar] [CrossRef] [PubMed]
- Amoah-Antwi, C.; Kwiatkowska-Malina, J.; Thornton, S.F.; Fenton, O.; Malina, G.; Szara, E. Restoration of soil quality using biochar and brown coal waste: A review. Sci. Total Environ. 2020, 722, 137852. [Google Scholar] [CrossRef] [PubMed]
- Chen, Z.; Li, Y.; Zhang, X.; Xiong, Y.; Huang, Q.; Jin, S.; Sun, S.; Chi, D.; Huang, G. Effects of lignite bioorganic product on sunflower growth, water and nitrogen productivity in saline-sodic farmlands at Northwest China. Agric. Water Manag. 2022, 271, 107806. [Google Scholar] [CrossRef]
- Baumann, K.; Schneider, B.; Marschner, P.; Huttl, R.F. Root distribution and nutrient status of mycorrhizal and non-mycorrhizal Pinus sylvestris L. Seedlings growing in a sandy substrate with lignite fragments. Plant Soil 2005, 276, 347–357. [Google Scholar] [CrossRef]
- Ehsani, S.M.; Niknahad-Gharmakher, H.; Motamedi, J.; Akbarlou, M.; Sheidai-Karkaj, E. The impact of lignite and wheat straw biochar application on structural traits of pot-grown Nitraria schoberi L. and soil properties. J. Soil Sci. Plant Nutr. 2021, 21, 1191–1200. [Google Scholar] [CrossRef]
- Prendergast-Miller, M.T.; Duvall, M.; Sohi, S.P. Biochar–root interactions are mediated by biochar nutrient content and impacts on soil nutrient availability. Eur. J. Soil Sci. 2014, 65, 173–185. [Google Scholar] [CrossRef]
- Xiang, Y.; Deng, Q.; Duan, H.; Guo, Y. Effects of biochar application on root traits: A meta-analysis. GCB Bioenergy 2017, 9, 1563–1572. [Google Scholar] [CrossRef]
- Reibe, K.; Götz, K.P.; Roß, C.L.; Döring, T.F.; Ellmer, F.; Ruess, L. Impact of quality and quantity of biochar and hydrochar on soil Collembola and growth of spring wheat. Soil Biol. Biochem. 2015, 83, 84–87. [Google Scholar] [CrossRef]
- Oram, N.J.; van de Voorde, T.F.J.; Ouwehand, G.J.; Bezemer, T.M.; Mommer, L.; Jeffery, S.; Van Groenigen, J.W. Soil amendment with biochar increases the competitive ability of legumes via increased potassium availability. Agric. Ecosyst. Environ. 2014, 191, 92–98. [Google Scholar] [CrossRef]
- Vanek, S.J.; Lehmann, J. Phosphorus availability to beans via interactions between mycorrhizas and biochar. Plant Soil 2015, 395, 105–123. [Google Scholar] [CrossRef]
- Olmo, M.; Villar, R.; Salazar, P.; Alburquerque, J.A. Changes in soil nutrient availability explain biochar’s impact on wheat root development. Plant Soil 2016, 399, 333–343. [Google Scholar] [CrossRef]
- Alburquerque, J.A.; Cabello, M.; Avelino, R.; Barrón, V.; del Campillo, M.C.; Torrent, J. Plant growth responses to biochar amendment of Mediterranean soils deficient in iron and phosphorus. J. Plant Nutr. Soil Sci. 2015, 178, 567–575. [Google Scholar] [CrossRef]
- Agbna, G.; Ali, A.; Bashir, A.; Eltoum, F.; Hassan, M. Influence of biochar amendment on soil water characteristics and crop growth enhancement under salinity stress. Int. J. Eng. Work. 2017, 4, 49–53. [Google Scholar] [CrossRef]
- Erktan, A.; Or, D.; Scheu, S. The physical structure of soil: Determinant and consequence of trophic interactions. Soil Biol. Biochem. 2020, 148, 107876. [Google Scholar] [CrossRef]






| Parameter | Unit | Value |
|---|---|---|
| pH (H2O) | 7.06 ± 0.02 | |
| Corg. | g kg−1 | 11.17 ± 0.09 |
| Ntotal | g kg−1 | 1.26 ± 0.03 |
| C:N | 8.87 | |
| Ptotal | g kg−1 | 0.30 ± 0.06 |
| Ktotal | g kg−1 | 0.37 ± 0.04 |
| Catotal | g kg−1 | 1.04 ± 0.06 |
| Mgtotal | g kg−1 | 0.26 ± 0.02 |
| EC | µS cm−1 | 156.95 |
| Solid particle density | g cm−3 | 2.65 ± 0.06 |
| Sand | g kg−1 | 820 |
| Silt | g kg−1 | 170 |
| Clay | g kg−1 | 10 |
| Component | Treatment | |||||||
|---|---|---|---|---|---|---|---|---|
| T1 | T2 | T3 | T4 | T5 | T6 | T7 | T8 | |
| Coconut coir | 25.00 | 75.00 | 15.00 | 5.00 | 25.00 | 5.00 | 32.53 | 12.53 |
| Biochar | 25.00 | 5.00 | 25.00 | 75.00 | 32.53 | 12.53 | 15.00 | 5.00 |
| Lignite | 15.00 | 5.00 | 32.53 | 12.53 | 25.00 | 75.00 | 25.00 | 5.00 |
| Leonardite | 32.53 | 12.53 | 25.00 | 5.00 | 15.00 | 5.00 | 25.00 | 75.00 |
| ZnSO4·7H2O | 0.44 | 0.44 | 0.44 | 0.44 | 0.44 | 0.44 | 0.44 | 0.44 |
| CuSO4·5H2O | 0.39 | 0.39 | 0.39 | 0.39 | 0.39 | 0.39 | 0.39 | 0.39 |
| MnSO₄·5H₂O | 0.44 | 0.44 | 0.44 | 0.44 | 0.44 | 0.44 | 0.44 | 0.44 |
| FeSO4·7H2O | 0.50 | 0.50 | 0.50 | 0.50 | 0.50 | 0.50 | 0.50 | 0.50 |
| Pseudomonas metabolics | 0.25 | 0.25 | 0.25 | 0.25 | 0.25 | 0.25 | 0.25 | 0.25 |
| Bacillus metabolics | 0.25 | 0.25 | 0.25 | 0.25 | 0.25 | 0.25 | 0.25 | 0.25 |
| Tryptophan | 0.20 | 0.20 | 0.20 | 0.20 | 0.20 | 0.20 | 0.20 | 0.20 |
| Parameter | Unit | Component | |||||
|---|---|---|---|---|---|---|---|
| Coconut Coir | Biochar | Lignite | Leonardite | Metabolic Products of Pseudomonas | Metabolic Products of Bacillus | ||
| Ash | g kg−1 | 222.1 | 120.4 | 130.9 | 446.5 | 169.8 | 344.3 |
| Corg. | g kg−1 | 446.05 | 782.47 | 629.89 | 400.71 | 452.54 | 336.23 |
| Ntotal | g kg−1 | 12.60 | 11.62 | 8.22 | 472.0 | 68.09 | 100.21 |
| C:N | 35.4 | 67.3 | 76.6 | 0.85 | 6.65 | 3.35 | |
| P | g kg−1 | 1.56 | 2.35 | 0.42 | 0.10 | 41.31 | 5.24 |
| K | g kg−1 | 1.74 | 7.23 | 0.53 | 0.73 | 13.65 | 9.95 |
| Ca | g kg−1 | 15.97 | 18.55 | 3.76 | 16.37 | 0.16 | 0.24 |
| Mg | g kg−1 | 2.26 | 1.37 | 2.19 | 1.82 | 1.97 | 0.23 |
| Treatment | Main Component | TP (cm3 cm−3) | BD (g cm−3) | FC (cm3 cm−3) | PWP (cm3 cm−3) | AWC (cm3 cm−3) | PWC (cm3 cm−3) | S | RFC |
|---|---|---|---|---|---|---|---|---|---|
| CTR | 0.451 * | 1.454 * | 0.216 * | 0.031 | 0.183 * | 0.166 * | 0.0891 * | 0.479 * | |
| MF | 0.499 | 1.327 | 0.194 | 0.031 | 0.162 | 0.146 | 0.0952 | 0.389 | |
| 25% rate of the main component | |||||||||
| T1 | Coconut coir | 0.508 ab | 1.305 ab | 0.178 | 0.035 | 0.162 ab | 0.146 ab | 0.0981 | 0.376 b |
| T3 | Biochar | 0.469 b | 1.406 a | 0.206 a | 0.032 | 0.173 a | 0.156 a | 0.0953 | 0.415 a |
| T5 | Lignite | 0.524 a | 1.262 b | 0.192 ab | 0.031 | 0.159 b | 0.143 b | 0.0985 | 0.366 bc |
| T7 | Leonardite | 0.476 b | 1.388 a | 0.201 a | 0.039 | 0.160 ab | 0.143 b | 0.0829 | 0.423 a |
| 75% rate of the main component | |||||||||
| T2 | Coconut coir | 0.497 ab | 1.333 ab | 0.198 a | 0.031 | 0.165 a | 0.149 ab | 0.0945 | 0.398 ab |
| T4 | Biochar | 0.495 ab | 1.337 ab | 0.200 a | 0.030 | 0.168 a | 0.152 a | 0.0962 | 0.403 ab |
| T6 | Lignite | 0.529 a | 1.248 b | 0.182 b | 0.035 | 0.145 c | 0.129 c | 0.0925 | 0.344 c |
| T8 | Leonardite | 0.516 a | 1.282 b | 0.194 ab | 0.031 | 0.141 c | 0.125 c | 0.0925 | 0.332 c |
| Means for the main component | |||||||||
| Coconut coir | 0.502 | 1.319 | 0.188 | 0.033 | 0.164 b | 0.147 b | 0.0963 | 0.387 ab | |
| Biochar | 0.485 | 1.365 | 0.203 | 0.031 | 0.171 a | 0.154 a | 0.0958 | 0.410 a | |
| Lignite | 0.526 | 1.255 | 0.187 | 0.033 | 0.152 c | 0.136 c | 0.0955 | 0.355 c | |
| Leonardite | 0.496 | 1.335 | 0.198 | 0.035 | 0.151 c | 0.134 c | 0.0877 | 0.377 b | |
| Means for the rate of the main component | |||||||||
| 25% | 0.496 b | 1.334 a | 0.194 | 0.034 | 0.164 | 0.147 | 0.0923 | 0.395 | |
| 75% | 0.509 a | 1.300 b | 0.193 | 0.032 | 0.164 | 0.148 | 0.0953 | 0.401 | |
| Treatment | Main Component | Volume of Pores (cm3 cm−3) for Diameter Classes | ||||
|---|---|---|---|---|---|---|
| <0.005 μm | 0.005–0.5 μm | 0.5–50 μm | 50–500 μm | >500 μm | ||
| CTR | 0.0080 * | 0.0379 | 0.214 * | 0.163 * | 0.028 * | |
| MF | 0.0083 * | 0.0356 | 0.190 | 0.200 * | 0.065 | |
| 25% rate of the main component | ||||||
| T1 | Coconut coir | 0.0084 b | 0.0357 c | 0.190 ab | 0.208 a | 0.075 b |
| T3 | Biochar | 0.0084 b | 0.0372 b | 0.202 a | 0.195 ab | 0.052 c |
| T5 | Lignite | 0.0087 b | 0.0358 c | 0.186 ab | 0.209 a | 0.084 b |
| T7 | Leonardite | 0.0126 a | 0.0419 a | 0.182 b | 0.176 b | 0.063 bc |
| 75% rate of the main component | ||||||
| T2 | Coconut coir | 0.0086 b | 0.0364 bc | 0.193 a | 0.198 ab | 0.061 bc |
| T4 | Biochar | 0.0079 b | 0.0356 c | 0.198 a | 0.199 ab | 0.055 c |
| T6 | Lignite | 0.0112 a | 0.0376 b | 0.167 c | 0.195 ab | 0.119 a |
| T8 | Leonardite | 0.0115 a | 0.0372 b | 0.161 c | 0.192 ab | 0.134 a |
| Means for the main component | ||||||
| Coconut coir | 0.0085 b | 0.0361 b | 0.191 a | 0.203 | 0.068 b | |
| Biochar | 0.0082 b | 0.0364 b | 0.200 a | 0.197 | 0.054 b | |
| Lignite | 0.0100 a | 0.0367 b | 0.176 b | 0.202 | 0.101 a | |
| Leonardite | 0.0121 a | 0.0395 a | 0.172 b | 0.184 | 0.098 a | |
| Means for the rate of the main component | ||||||
| 25% | 0.0096 | 0.0377 | 0.190 | 0.197 | 0.068 | |
| 75% | 0.0096 | 0.0378 | 0.191 | 0.195 | 0.065 | |
| Treatments | θs | α | n | R2 * |
|---|---|---|---|---|
| CTR | 0.451 | 0.652 | 1.386 | 0.832 |
| MF | 0.499 | 1.309 | 1.367 | 0.812 |
| T1 | 0.535 | 3.223 | 1.319 | 0.798 |
| T2 | 0.497 | 1.231 | 1.366 | 0.845 |
| T3 | 0.495 | 1.049 | 1.372 | 0.862 |
| T4 | 0.529 | 2.723 | 1.324 | 0.806 |
| T5 | 0.495 | 1.103 | 1.377 | 0.795 |
| T6 | 0.524 | 1.634 | 1.360 | 0.815 |
| T7 | 0.476 | 1.442 | 1.322 | 0.852 |
| T8 | 0.516 | 1.460 | 1.365 | 0.823 |
| Treatment | Main Component | Above-Ground Biomass (g DM m−2) | RDM (mg cm−3) | RSR |
|---|---|---|---|---|
| CTR | 3.87 * | 0.367 * | 0.107 * | |
| MF | 13.15 * | 1.266 * | 0.100 * | |
| 25% rate of main component | ||||
| T1 | Coconut coir | 11.93 | 1.116 | 0.096 b |
| T3 | Biochar | 11.31 | 1.167 | 0.092 c |
| T5 | Lignite | 11.74 | 1.408 | 0.098 b |
| T7 | Leonardite | 12.32 | 1.462 | 0.097 b |
| 75% rate of main component | ||||
| T2 | Coconut coir | 10.92 | 1.430 | 0.093 bc |
| T6 | Biochar | 11.66 | 1.416 | 0.094 bc |
| T7 | Lignite | 11.92 | 1.514 | 0.111 a |
| T8 | Leonardite | 12.67 | 1.513 | 0.097 b |
| Means for the main component | ||||
| Coconut coir | 11.43 c | 1.266 b | 0.095 b | |
| Biochar | 11.49 c | 1.273 b | 0.093 b | |
| Lignite | 11.83 b | 1.466 a | 0.105 a | |
| Leonardite | 12.50 a | 1.488 a | 0.097 b | |
| Means for the rate of main component | ||||
| 25% | 11.83 | 1.283 b | 0.096 b | |
| 75% | 11.79 | 1.468 a | 0.099 a | |
| Treatment | Main Component | RLD (mm cm−3) | SRL (mm mg−1) | MRD (mm) | RSAD (cm2 cm−3) | RVD (cm3 cm−3) |
|---|---|---|---|---|---|---|
| CTR | 14.98 * | 45.09 * | 0.439 * | 0.203 * | 0.00524 * | |
| MF | 20.53 * | 16.89 | 0.492 | 0.304 | 0.00924 | |
| 25% rate of the main component | ||||||
| T1 | Coconut coir | 15.01 | 15.14 | 0.476 | 0.225 | 0.00681 |
| T3 | Biochar | 17.96 | 17.13 | 0.526 | 0.291 | 0.00971 |
| T5 | Lignite | 17.14 | 13.59 | 0.516 | 0.266 | 0.00870 |
| T7 | Leonardite | 21.66 | 16.88 | 0.464 | 0.319 | 0.01035 |
| 75% rate of the main component | ||||||
| T2 | Coconut coir | 19.28 | 14.41 | 0.521 | 0.289 | 0.00890 |
| T6 | Biochar | 21.37 | 15.87 | 0.494 | 0.332 | 0.01082 |
| T7 | Lignite | 21.15 | 15.29 | 0.434 | 0.342 | 0.01090 |
| T8 | Leonardite | 21.33 | 17.10 | 0.484 | 0.315 | 0.01030 |
| Means for the main component | ||||||
| Coconut coir | 17.15 c | 14.78 | 0.498 ab | 0.257 b | 0.00789 b | |
| Biochar | 19.67 b | 16.50 | 0.510 a | 0.312 a | 0.01026 a | |
| Lignite | 19.33 b | 14.52 | 0.471 b | 0.304 a | 0.00980 ab | |
| Leonardite | 21.49 a | 16.99 | 0.474 b | 0.317 a | 0.01033 a | |
| Means for the rate of the main component | ||||||
| 25% | 17.98 b | 15.72 | 0.494 | 0.276 b | 0.00890 b | |
| 75% | 20.78 a | 15.67 | 0.494 | 0.320 a | 0.01023 a | |
Disclaimer/Publisher’s Note: The statements, opinions and data contained in all publications are solely those of the individual author(s) and contributor(s) and not of MDPI and/or the editor(s). MDPI and/or the editor(s) disclaim responsibility for any injury to people or property resulting from any ideas, methods, instructions or products referred to in the content. |
© 2024 by the authors. Licensee MDPI, Basel, Switzerland. This article is an open access article distributed under the terms and conditions of the Creative Commons Attribution (CC BY) license (https://creativecommons.org/licenses/by/4.0/).
Share and Cite
Głąb, T.; Gondek, K.; Mierzwa-Hersztek, M. Impact of Soil Organic Bioregeneration Amendments on Maize Biomass and Soil Physical Quality. Agriculture 2024, 14, 1020. https://doi.org/10.3390/agriculture14071020
Głąb T, Gondek K, Mierzwa-Hersztek M. Impact of Soil Organic Bioregeneration Amendments on Maize Biomass and Soil Physical Quality. Agriculture. 2024; 14(7):1020. https://doi.org/10.3390/agriculture14071020
Chicago/Turabian StyleGłąb, Tomasz, Krzysztof Gondek, and Monika Mierzwa-Hersztek. 2024. "Impact of Soil Organic Bioregeneration Amendments on Maize Biomass and Soil Physical Quality" Agriculture 14, no. 7: 1020. https://doi.org/10.3390/agriculture14071020
APA StyleGłąb, T., Gondek, K., & Mierzwa-Hersztek, M. (2024). Impact of Soil Organic Bioregeneration Amendments on Maize Biomass and Soil Physical Quality. Agriculture, 14(7), 1020. https://doi.org/10.3390/agriculture14071020

