Abstract
The Indian meal moth, Plodia interpunctella, poses a significant threat to global agricultural products. Although pheromone-based technologies show promise for P. interpunctella management, limitations such as single-sex targeting necessitate exploring complementary strategies. Vegetable-based oils represent a potential alternative but their efficacy, sex-specificity, and interaction with sex pheromones remain unclear. To address these questions, we first examined the attraction of P. interpunctella female and male adults to 10 commercially available vegetable oils in semi-field conditions. Sesame, olive, and blended oils were the most attractive, capturing significantly more adults compared to other oils. We then evaluated the effectiveness of these three attractive oils and their combinations with P. interpunctella sex pheromones in a grain warehouse. Traps baited with these oils captured significantly more females and males compared to control traps without attractants; however, the addition of sex pheromones did not improve male capture and significantly reduced female capture, suggesting an inhibitory effect. Finally, we demonstrated that female mating status (mated vs. virgin) did not influence the attractiveness of traps baited with these effective oils. Our findings highlight the potential of standalone traps baited with blended, olive, or sesame oil as a practical, economic, and effective management strategy for P. interpunctella in storage facilities.
1. Introduction
Ensuring global food security is a paramount challenge requiring efficient storage and preservation practices. Stored product pests, particularly insects, cause significant quantitative and qualitative losses in stored grains, diminishing their economic value [1,2]. The Indian meal moth, Plodia interpunctella (Hübner) (Lepidoptera: Pyralidae), is a major polyphagous pest damaging stored grains and processed agricultural products worldwide [3], with reports of emergence even on the Antarctic Peninsula [4,5]. It has been reported that P. interpunctella causes damage to many stored products, including herbs, legumes, dried fruits, nuts, cereals, powdered milk, chocolate, birdseed, and dry pet food [6,7,8].
Infestations by P. interpunctella have substantial economic consequences due to direct product loss, pest control costs, and consumer complaints arising from product contamination. Larval feeding and the resulting production of silk and frass (insect excrement) are the primary causes of damage. This degrades the product quality, promotes fungal growth, and ultimately leads to spoilage [9]. Contaminated products become intermixed with insect remains and waste products, significantly reducing their germination rate, nutritional value, and overall safety. This has translated to substantial economic losses in the United States, China, and many European countries [10,11]. Furthermore, P. interpunctella can potentially serve as a vector for various pathogens, including bacteria, viruses, fungi, protozoa, and helminths, and has been linked to human allergies such as asthma and skin diseases [12]. Its generalist feeding habits, diverse diet, and high capacity to damage food products have demonstrated its status as a globally recognised pest of significant concern [3,11].
Management of P. interpunctella infestations relies on various tactics, including irradiation [13], application of diatomaceous earth and fungal pathogens [14], insect growth regulators [15], and fogging [16]. Fumigation [17], the introduction of parasitoid wasps [18], extreme temperature treatments [19,20], and pheromone-based approaches have also been employed [21]. The major components of the sex pheromones of female P. interpunctella are (Z,E)-9,12-tetradecadienyl acetate (Z9,E12–14:OAc) and (Z,E)-9,12-tetradecadienol (Z9,E12–14:OH) [22,23,24], with the highest trapping efficacy at a 7:3 ratio at a 0.5 mg dose [25]. Pheromone-based technologies like monitoring traps, mass trapping, and mating disruption show promise for P. interpunctella management [26,27,28,29,30]. However, due to limitations like single-sex targeting and low catch rates [3,8,26], it is necessary to explore the integration of pheromones with other approaches, such as food-based attractants [31,32,33], to improve the efficacy of pest management.
Insects may show specific behavioural responses to various olfactory cues from their social environments [34,35,36,37,38,39,40,41], providing a foundation for the development of insect trapping methods that employ pheromones and/or food-based materials as the attractants [42]. Food-derived volatile compounds can be particularly attractive to stored-product pest insects. For example, Storgard Oil—a blended vegetable-based oil with a proprietary composition [43]—has been shown to broadly attract stored-product pest insects, including the red flour beetle Tribolium castaneum, hairy fungus beetle Typhaea stercorea, rusty grain beetle Cryptolestes ferrugineus, sawtoothed grain beetle Oryzaephilus surinamensis, and the cigarette beetle Lasioderma serricorne [43,44,45]. Recent research has also shown that P. interpunctella is attracted to traps baited with Storgard Oil [46]. Furthermore, Nansen and Phillips [47] investigated the ovipositional preferences of P. interpunctella on wheat kernels treated with 18 different commercially available oils, and found that females exhibit a preference for walnut oil. These findings highlight the potential of vegetable-based oils as attractant lures for P. interpunctella.
However, several important questions regarding the attraction of P. interpunctella to vegetable-based oils remain unanswered: (1) Can a single, commercially available vegetable-based oil effectively attract both female and male adults of P. interpunctella? (2) Would the combination of blended oils or integration of vegetable oils with sex pheromones enhance the attractancy? (3) Do male and female adults of P. interpunctella exhibit sex-specific responses to vegetable oil attractants? (4) Does the mating status (mated vs. virgin) of females influence their responses to vegetable oil attractants? This study aims to address these knowledge gaps by conducting three experiments under different environmental conditions. Firstly, a semi-field experiment assessed the attraction of P. interpunctella females and males to traps baited with 10 commercially available vegetable oils, including camellia, corn, olive, peanut, rapeseed, sesame, soybean, sunflower seed, walnut, and a blended oil (a mixture of sunflower seed, rapeseed, soybean, peanut, and sesame oils). Secondly, a field experiment investigated the attractancy of traps baited with the most effective oils identified in the semi-field experiment, both alone and in combination with sex pheromones. Finally, a semi-field experiment examined the effects of female mating status (mated vs. virgin) on the attractancy of traps baited with the effective oils determined in the field experiment. The knowledge from this study provides insights into the development of novel, environment-friendly, and cost-effective monitoring and trapping tools for the management of P. interpunctella.
2. Materials and Methods
2.1. Insects and Test Oils
We collected hundreds of P. interpunctella adults from the Zhoushan Reserve and Transit Grain Depot in Zhejiang Province and reared the resulting larvae in transparent plastic boxes (26.0 cm length × 20.0 cm width × 12.5 cm height), with pinholes in the lids for ventilation. Each box housed 400 larvae on 100 g standard diet consisting of bran middlings, glycerol, and yeast in a 10:1:1 ratio [48]. We maintained the colony at 25 ± 1 °C and 60 ± 10% RH with a photoperiod of 16 h light and 8 h dark.
For this study, 10 commercially available vegetable oils were used. The sources of these oils are as follows: pure camellia oil (Lu Hua, Shandong Luhua Group Co., Ltd., Zhoukou, China); pure corn oil (Jin Long Yu, Yihai Kerry Arawana Holdings Co., Ltd., Hangzhou, China); extra-virgin olive oil (Olivolià, Yihai Kerry Arawana Holdings Co., Ltd., imported from Spain, Shanghai, China); pure peanut oil (Lu Hua, Shandong Luhua Group Co., Ltd., Suzhou, China); pure rapeseed oil (Lu Hua, Shandong Luhua Group Co., Ltd., Zhoukou, China); pure sesame oil (Chu Bang, Guangdong Meiweixian Flavoring Foods Co., Ltd., Zhongshan, China); pure soybean oil (Jin Long Yu, Yihai Kerry Arawana Holdings Co., Ltd., Taizhou, China); pure sunflower seed oil (Lu Hua, Shandong Luhua Group Co., Ltd., Changshu, China); walnut oil (Dao Zi Shu Le, Shanghai Dao Zi Shu Le Trading Co., Ltd., Jian, China); and a blended oil (Jin Long Yu, a mixture of sunflower seed, rapeseed, soybean, peanut, and sesame oils with an undisclosed ratio, Yihai Kerry Arawana Holdings Co., Ltd., Hangzhou, China).
2.2. Semi-Field Experiment I
The semi-field experiment I was conducted in July 2017 in a controlled-environment room (5.0 m length × 5.0 m width × 3.5 m height) located at the Zhoushan Reserve and Transit Grain Depot. The environmental conditions were the same as those for the laboratory-reared culture. Thirty minutes before the scotophase, we prepared oil baits by mixing 50 mL of each test oil with 75 mL of n-hexane (ACS analytical grade, 98%; Sinopharm Chemical Reagent Co., Ltd., Shanghai, China). These oil baits were then applied to traps (i.e., insect sticky boards, 50.0 cm length × 20.0 cm width) using artistic flat painting brushes. A trap coated with 125 mL of hexane solvent only was used as the control.
Eleven traps were numbered and randomly allocated along a loop shape with a radius of approximately 2 m from the moth releasing point (a platform) at the centre of the room (Figure 1). The traps and releasing point were suspended 1.5 m above the floor, with a trap interval of approximately 3 m. Ten minutes before the scotophase, 30 female and 30 male adults (1–3 days old) randomly collected from the colony were placed on the releasing point. Moths were released immediately after the lights were turned off, and the room was secured. To mitigate the potential effect of trap location on attractiveness, the traps were rotated clockwise every 8 h over the subsequent 6 days, ensuring each trap occupied every position within the loop at least once. The number of trapped adult moths was recorded at the end of the experiment and their sex was identified based on morphological characteristics [3]. The experiment was replicated three times, with the room fully ventilated between each replication to eliminate any residual odours.
Figure 1.
Arrangement of vegetable oil traps in the semi-field experiment I.
2.3. Field Experiment
Based on the high attractiveness of sesame, olive, and blended oils observed in the semi-field experiment I, we conducted a field experiment to investigate potential additive effects of combining these oils with the P. interpunctella sex pheromone lure.
We prepared the oil baits as described above and applied them to triangular prism sticky traps (20 cm long, side length 8 cm; Pherobio Technology Co., Ltd., Beijing, China; Figure 2). In the combination traps, a female sex pheromone lure containing a 0.5 mg mixture (7:3 ratio) of Z9,E12–14:OAc and Z9,E12-14:OH compounds [25] (Shin-Etsu Chemical Co., Ltd., Tokyo, Japan) was placed in the centre button of the trap. This resulted in 8 trap treatments: (1) olive oil only, (2) olive oil with sex pheromones, (3) sesame oil only, (4) sesame oil with sex pheromones, (5) blended oil only, (6) blended oil with sex pheromones, (7) sex pheromones only, and (8) control (no oil or sex pheromones). Each trap treatment was replicated four times, totalling thirty-two traps.
Figure 2.
Arrangement of vegetable oil and pheromone traps in the field experiment.
This experiment was carried out in August 2017 within a warehouse (100.0 m length × 150.0 m width × 12.0 m height) at the Zhoushan Reserve and Transit Grain Depot. The warehouse contained various grain seeds heavily infested by P. interpunctella. Ventilation was adjusted according to weather conditions. Traps were randomly distributed as shown in Figure 2. They were suspended 1.5 m above the floor and rotated in order every 8 h over 12 days, ensuring each trap occupied each of the 32 positions at least once. At the end of the experiment, the number of trapped moths was recorded and females and males were identified.
2.4. Semi-Field Experiment II
To assess whether the mating status of females influences their attraction to effective oil traps observed in the field experiment, the semi-field experiment II was conducted in July 2024 in controlled environmental rooms (4.5 m length × 4.0 m width × 3.5 m height) at the Zhejiang Agriculture and Forestry University. The environmental conditions were consistent with those of the semi-field experiment I. Female pupae of P. interpunctella were individually housed in 2-millilitre Eppendorf tubes. Upon emergence, virgin females were either mated to males or housed individually for the subsequent experiment.
Thirty minutes before the scotophase, we prepared 7 trap treatments as described in the field experiment. These treatments included (1) olive oil only, (2) olive oil with sex pheromones, (3) sesame oil only, (4) sesame oil with sex pheromones, (5) blended oil only, (6) blended oil with sex pheromones, and (7) control (125 mL of hexane solvent only). These traps were arranged in a loop similar to the setup in the semi-field experiment I (Figure 1). Ten minutes before the scotophase, 15 mated females or 15 virgin females (1–3 days old) were placed on the releasing point. We released the moths and secured the rooms soon after the lights were turned off. The number of trapped females was counted and recorded at the onset of the photophase. The order of trap treatments was changed between each replication to ensure each treatment occupied every position within the loop at least once. The rooms were ventilated between each replication to eliminate any residual odours. The experiment was repeated 15 times, conducted separately for mated females and virgin females.
2.5. Statistical Analysis
All data were analysed using SAS version 9.13 software (SAS Institute, Cary, NC, USA) with a significance level of α = 0.05. The raw data from the semi-field experiments I and II and the natural-logarithm data [ln(x)] from the field experiment were normally distributed (Shapiro–Wilk test, UNIVARIATE procedure). An analysis of variance (ANOVA) (GLM procedure) was applied to compare the differences in the number of moths captured between the different baits in the semi-field experiment I and the field experiment, with a least significant difference (LSD) test for multiple comparisons. A paired t-test (TTEST procedure) was used to compare the differences in the number of moths captured between sexes for a given trap type in both semi-field and field experiments. For the semi-field experiment II, a two-way ANOVA (GLM procedure) was conducted to examine the effects of the trap type and female mating status (mated vs. virgin) on capture rate. An LSD test was used for multiple comparisons.
3. Results
3.1. Attractiveness of Vegetable Oils to P. interpunctella in Semi-Field Conditions
In semi-field conditions, the mean female recapture rates for traps baited with sesame, olive, blended oil, sunflower, walnut, camellia, corn, rape, peanut, soybean, and the control were 23.3%, 16.7%, 15.6%, 7.78%, 6.67%, 4.44%, 4.44%, 4.44%, 5.56%, 4.44%, and 4.44%, respectively. The sesame oil trap captured significantly more female moths than the olive and blended oil traps, with significantly fewer females captured by the other oils or the control trap (F10,22 = 9.86, p < 0.0001) (Figure 3a).
Figure 3.
Mean (±SE) number of Plodia interpunctella females (a), males (b), and adults (c) captured on sticky traps baited with 10 commercially available vegetable oils in semi-field conditions. Blended refers to a mixture of sunflower seed, rapeseed, soybean, peanut, and sesame oils. The horizontal line represents the mean number of trapped insects in all treatments. Each dot represents the capture number for a single replicate. Bars with different letters indicate statistically significant differences between oil treatments (LSD test: p < 0.05).
The mean male recapture rates for traps baited with sesame, olive, blended oil, sunflower, walnut, camellia, corn, rape, peanut, soybean, and the control were 14.4%, 13.3%, 11.1%, 7.78%, 7.78%, 7.78%, 6.67%, 6.67%, 3.33%, 4.44%, and 7.78%, respectively. The sesame, olive, and blended oil traps captured significantly more male moths compared to the peanut oil trap (F10,22 = 2.38, p = 0.0429) (Figure 3b).
The mean total recapture rates for traps baited with the sesame, olive, blended, sunflower, walnut, camellia, corn, rape, peanut, soybean, and the control were 18.9%, 15.0%, 13.3%, 7.78%, 7.22%, 6.11%, 5.56%, 5.56%, 4.44%, 4.44%, and 6.11%, respectively. Overall, the sesame oil trap was significantly more effective in attracting adult moths than the olive and blended oil traps. The olive and blended oil traps captured significantly more adult moths than the sunflower and walnut oil traps, with the peanut and soybean oil traps capturing significantly fewer moths (F10,22 = 31.32, p < 0.0001) (Figure 3c). There was no significant difference in the number of moths captured between sexes for all trap treatments (t3 = 0–1.73, p > 0.05 for all comparisons).
3.2. Combined Effects of Vegetable Oil and Sex Pheromone on P. interpunctella Captures in Field Conditions
In the field, traps baited with blended, olive, and sesame oils captured significantly more female moths than all the other traps (F7,24 = 55.59, p < 0.0001); however, the addition of pheromones to these oils did not significantly increase the attraction to females compared to the control (p > 0.05 for all comparisons) (Figure 4a). Traps baited with blended oil, olive oil, sesame oil, and pheromones alone captured significantly more males than the control (F7,24 = 19.19, p < 0.0001); however, the combination of these oils with pheromones did not significantly increase male captures compared to the oils or pheromones alone (p > 0.05 for all comparisons) (Figure 4b).
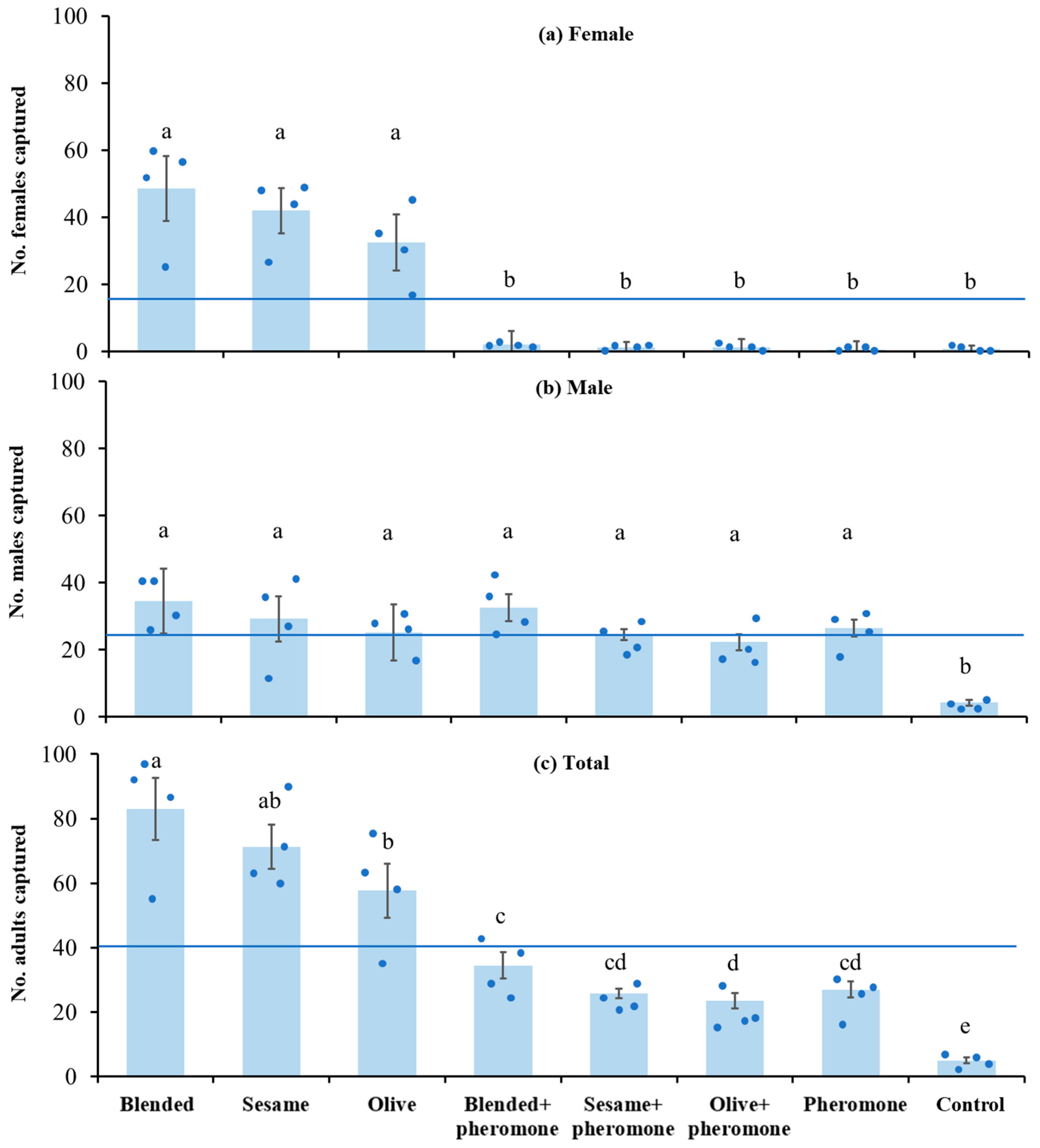
Figure 4.
Effect of vegetable oil and pheromone and their combination on the mean (±SE) number of Plodia interpunctella females (a), males (b), and all adults (c) captured on sticky traps in field conditions. Blended refers to a mixture of sunflower seed, rapeseed, soybean, peanut, and sesame oils. The horizontal line represents the mean number of captured insects in all treatments. Each dot represents the capture number for a single replicate. Bars with different letters indicate statistically significant differences between traps (LSD test: p < 0.05).
Regardless of sex, the total number of moths captured was significantly higher in the blended, olive, and sesame oil traps. Although the addition of pheromones to these oils did not significantly increase the number of moths captured, they still captured significantly more moths than the control (F7,24 = 50.89, p < 0.0001) (Figure 4c). Traps baited with blended, olive, or sesame oil captured a similar number of male and female moths (t3 = 1.29–2.70, p > 0.05 for all comparisons), while traps baited with pheromones alone or in combination with blended, olive, or sesame oils captured significantly more males than females (t3 = 6.59–13.66, p < 0.05 for all comparisons) (Figure 4a,b).
3.3. Effects of Mating Status of P. interpunctella Females on Captures in Semi-Field Conditions
The mean female recapture rates for traps baited with blended oil, sesame, olive, blended oil with sex pheromones, sesame with sex pheromones, olive with sex pheromones, and the control were 18.7%, 18.2%, 17.3%, 0%, 0%, 0%, and 0%, respectively, for mated females, and 19.1%, 16.4%, 18.7%, 0%, 0%, 0%, and 0%, respectively, for virgin females. The number of females captured in traps did not differ significantly between mating statuses (p > 0.05 for all comparisons) (Figure 5). However, traps baited with blended, sesame, and olive oils captured significantly more females than those with additional sex pheromones or the control (F13,196 = 40.66, p < 0.0001) (Figure 5).
Figure 5.
Effect of female mating status (mated vs. virgin) on the number (mean ± SE) of Plodia interpunctella females captured by traps baited with vegetable oil alone and combinations of vegetable oils with pheromone. Blended refers to a mixture of sunflower seed, rapeseed, soybean, peanut, and sesame oils. For each box plot, the lower and upper box lines indicate 25% and 75% of scores falling beyond the lower and upper quartiles, respectively; the line and “×” show the median score and means, respectively; the “⟂” and “⟙” are the lower and upper whiskers representing scores outside the 50% middle; the circles are the outliers of maximum scores. Boxes with different letters denote significant differences between each other (LSD test: p < 0.05).
4. Discussion
This study investigated the olfactory attraction of P. interpunctella adults to various commercially available vegetable oils under semi-field and field conditions. Our findings reveal that commercially available olive, sesame, and blended oils (a mixture of sunflower seed, rapeseed, soybean, peanut, and sesame oils) effectively attracted both male and female adults of P. interpunctella (Figure 3 and Figure 4). This delivers the first empirical evidence that P. interpunctella attraction to vegetable-based oils is not sex-specific, as previous work by Morrison et al. [46] only implies such attraction to traps baited with Storgard Oil—a vegetable oil blend of undisclosed composition. Additionally, we demonstrate for the first time that female mating status (mated vs. virgin) did not influence the attractiveness of traps baited with these effective oils (Figure 5), further substantiating the potential of vegetable-based oils for monitoring and managing P. interpunctella populations.
Volatile compounds within vegetable oils, particularly certain fatty acids, are likely perceived as olfactory cues signalling potential food sources by stored-product pests [47,49], explaining the observed attraction of both male and female P. interpunctella (in this study) and various stored-product pest beetles [43,44,45]. Such behavioural responses may confer significant fitness benefits. For females, attraction to food-related cues increases the probability of locating suitable mating partners, oviposition sites, and resources for offspring development, ultimately enhancing reproductive success [47,50,51]. For males, these responses increase the chance of encountering females, thereby optimising mating opportunities and reproductive success [52,53]. Therefore, exploiting these innate responses of insect pests to food-source cues provides a foundation for developing food-based attractant technologies for the effective monitoring and control of stored-product pests [42,54,55,56].
Combining pheromones with food cues (e.g., vegetable oils) is a common strategy to enhance the efficacy of pheromone-based insect pest monitoring and trapping [31,32,33]. This approach is expected to attract both sexes simultaneously [42]. However, our results show that the addition of sex pheromones to the effective oil traps did not improve trapping efficacy for P. interpunctella (Figure 4c and Figure 5) but rather significantly reduced the capture rate compared to that of the oil trap alone (Figure 4a and Figure 5). This unexpected outcome is likely attributed to the inhibitory effect of sex pheromones on female attraction. The observed repellent effect on females suggests that P. interpunctella females were capable of detecting their sex pheromones, a phenomenon known as autodetection [57,58]. While Pérez-Aparicio et al. [59] report a lack of sex-pheromone-specific olfactory receptor neurons in the Oriental fruit moth, Grapholita molesta—suggesting the absence of pheromone autodetection in this species—our findings (Figure 4a and Figure 5), coupled with the strong electroantennographic responses of P. interpunctella females to their sex pheromones (unpublished data), and numerous demonstrated occurrences of autodetection in field and laboratory studies (reviewed in [58]), suggest that pheromone autodetection is species-specific in insects. Pheromone autodetection may serve various functions, including resource conservation [60], enhanced mating success [61], reduced offspring competition [62], improved offspring survival [63], and decreased predation risk [58,64].
Given the abundance of sensilla trichodea on adult male antennae in P. interpunctella [65] and other moths [66]—which are responsible for sex pheromone detection—and their greater number compared to sensilla basiconica, auricillica, and coeloconica involved in host location [65], it is expected that male capture rates would be higher in pheromone traps compared to those baited with other attractants. However, we show a similar capture rate for pheromone-only and vegetable oil-only traps, with no enhancement in male capture when pheromones were combined with vegetable oils (Figure 4b). While the exact reasons for these findings remain elusive, differential sensitivities of these sensory structures to olfactory cues may be a contributing factor which warrants further investigation. Although a direct comparison of pheromone- and food-based attractant efficacies is challenging due to the complexities of determining equivalent dosages [42], our results (Figure 4 and Figure 5) support the practical and economic advantages of deploying standalone traps baited with blended, olive, or sesame oils for the management of P. interpunctella in storage facilities.
Our findings regarding the attraction of sesame and blended oils to P. interpunctella differed between semi-field and field conditions. In the semi-field experiment I, sesame oil traps captured significantly more adults than the blended oil ones (Figure 3c); however, in the field experiment, the blended oil traps captured a similar number of adults compared to sesame oil ones (Figure 4c), suggesting an increased efficacy of blended oil in field environments. Field environments are inherently more complex compared to controlled semi-field conditions. This complexity could modify the effects of specific volatile components in the attractant lures. The representation of these volatiles can also be altered by factors such as differences in experimental exposure time [38] and concentration [39]. Studies have shown that the mixture of odours present in an environment can significantly impact insects’ ability to detect a specific odour because the background odour may alter the representation of individual odours [39,67,68]. Riffell et al. [69] demonstrate that in the tobacco hornworm Manduca sexta, background odours can influence the neuronal representation in the moth’s central olfactory system, leading to either excitation or inhibition of its ability to track the scent of the Datura wrightii flower bouquet. While the inconsistent pattern between sesame and blended oils could also be partially explained by the low replicate number (three and four in the semi-field experiment I and field experiment, respectively), the sample sizes (180 and 1311, respectively) were sufficiently large and replicate the number aligned with established practices [70]. Nonetheless, to establish a consistent pattern and draw definitive conclusions, a more specific experiment with higher statistical power would be helpful.
Although P. interpunctella can infest a wide variety of stored goods, including the raw materials of the tested blended oil [6,7,8], olives and olive oil are not typically reported as susceptible commodities. Staff at the experimental site confirmed that the storage facilities were primarily used to store dry forms (seeds) of the blended oil components and their by-products, with minimal storage of olives or olive products. The attraction of P. interpunctella to olive oil could be due to its structural similarity to the oxygenated compounds found in other attractive oils (i.e., sesame and blended oils) or may represent a previously unknown attractant encountered in certain environments. Furthermore, our field experiment did not directly address the long-range orientation of P. interpunctella towards the test traps. It is likely that moths were already present within or around the warehouse at the experiment’s onset [10]. Nevertheless, the significantly higher capture rate in traps baited with blended, sesame, or olive oils alone compared to pheromone or control traps (Figure 4c) suggests that the volatile oil cues were perceivable at a long distance from the traps (Figure 2). Identifying the specific attractant compounds within these effective vegetable oils through GC-MS analysis would be crucial for understanding the synergistic or additional attractive role sought when combining the oils with sex pheromones, as well as for developing long-range bisexual attractants for monitoring and trapping P. interpunctella in storage facilities.
5. Conclusions
Our study highlights the potential of commercially available vegetable oils as attractants for both female and male adults of P. interpunctella. Identifying the specific attractant compounds within these oils will help improve food-based monitoring and trapping tools for this important stored-product pest. Additionally, investigating the unexpected repellent effect of sex pheromones on females could lead to novel management strategies that exploit autodetection behaviour for P. interpunctella control. Further research is needed to address the long-range orientation of P. interpunctella towards vegetable-based attractants and the underlying mechanisms influencing the observed responses. Overall, this study contributes valuable insights into the olfactory cues influencing P. interpunctella behaviours, providing novel knowledge for the development of safer and more efficient integrated pest management strategies for stored-product pests.
Author Contributions
Conceptualization, G.Z. and J.D.; methodology, J.L., Z.Y. and J.D.; data curation, J.L. and M.G.; formal analysis, J.L. and X.Z.H.; writing—original draft preparation, J.L. and Z.Y.; writing—review and editing, J.L., X.Z.H., G.Z., M.G. and J.D. All authors have read and agreed to the published version of the manuscript.
Funding
This work was funded by the Zhejiang A&F University Research and Development Foundation (Grant No. 2024LFR057 and 2023LFR072), the Zhejiang Provincial Natural Science Foundation (Grant No. Y3100384), the “Pioneer” and “Leading Goose” R&D Program of Zhejiang (2022C02020), and the Major Science and Technology Task Tackling Program of Ningbo City (2022Z82).
Institutional Review Board Statement
Not applicable.
Data Availability Statement
Data are contained within the article.
Acknowledgments
We thank Yidie Xu, Sijia Yu, and Xinyi Gu as well as the staff of the Zhoushan Reserve and Transit Grain Depot for their technical assistance. We also thank two anonymous reviewers for their constructive comments and suggestions, which have significantly enhanced the quality of this paper.
Conflicts of Interest
The authors declare no conflicts of interest. The funders had no role in the design, data collection, analyses, and interpretation, writing of the manuscript, or in the decision to publish the results.
References
- Arthur, F.H. Structural pest management for stored product insects. In Recent Advances in Stored Product Protection; Athanassiou, C.G., Arthur, F.H., Eds.; Springer: Berlin/Heidelberg, Germany, 2018; pp. 65–81. [Google Scholar]
- Liang, J.; Zhang, X.; Zhang, Q.; Tang, Y.; Kong, W.; Zhang, J.; An, Y. Insect-resistant activities of Elsholtzia ciliata essential oil and its main components carvone against Tribolium castaneum in different development stages. J. Stored Prod. Res. 2024, 107, 102317. [Google Scholar] [CrossRef]
- Mohandass, S.; Arthur, F.H.; Zhu, K.Y.; Throne, J.E. Biology and management of Plodia interpunctella (Lepidoptera: Pyralidae) in stored products. J. Stored Prod. Res. 2007, 43, 302–311. [Google Scholar] [CrossRef]
- Benitez, H.A.; Salinas, C.; Hernández, J.; Contador Mejías, T.; Kim, S.; Maturana, C.S.; Rebolledo, L.; Pérez, L.M.; Câmara, P.E.A.S.; Alves Ferreira, V.; et al. An outsider on the Antarctic peninsula: A new record of the non-native moth Plodia interpunctella (Lepidoptera: Pyralidae). Ecol. Evol. 2024, 14, e10838. [Google Scholar] [CrossRef] [PubMed]
- Câmara, P.E.A.S.; Convey, P.; Ferreira, V.A.; Togni, P.H.B.; Pujol-Luz, J.R. First record of the Indian meal moth Plodia interpunctella (Lepidoptera: Pyralidae) at a research station in Antarctica. Antarct. Sci. 2022, 34, 361–364. [Google Scholar] [CrossRef]
- Razazzian, S.; Hassani, M.R.; Imani, S.; Shojai, M. Life table parameters of Plodia interpunctella (Lepidoptera: Pyralidae) on four commercial pistachio cultivars. J. Asia Pac. Entomol. 2015, 18, 55–59. [Google Scholar] [CrossRef]
- Jaafari-Behi, V.; Ziaee, M.; Kocheili, F.; Ali Hemmati, S.; Francikowski, J. Life-table parameters of Plodia interpunctella (Lepidoptera: Pyralidae) on different stored date palm fruits under laboratory conditions. J. Insect Sci. 2023, 23, 1–9. [Google Scholar] [CrossRef]
- Pan, X.; Wang, C. Population dynamics of Indian meal moth in coffee bean warehouses in New Jersey. J. Stored Prod. Res. 2023, 100, 102044. [Google Scholar] [CrossRef]
- Rees, D.P. Insects of Stored Product; Csiro Publishing: London, UK, 2004. [Google Scholar]
- Adler, C.; Athanassiou, C.; Carvalho, M.O.; Emekci, M.; Gvozdenac, S.; Hamel, D.; Riudavets, J.; Stejskal, V.; Trdan, S.; Trematerra, P. Changes in the distribution and pest risk of stored product insects in Europe due to global warming: Need for pan-European pest monitoring and improved food-safety. J. Stored Prod. Res. 2022, 97, 101977. [Google Scholar] [CrossRef]
- Zhao, J.; Song, C.; Ma, L.; Yan, X.; Shi, J.; Hao, C. The impacts of climate change on the potential distribution of Plodia interpunctella (Hübner) (Lepidoptera: Pyralidae) in China. Insects 2022, 13, 636. [Google Scholar] [CrossRef]
- Binder, M.; Mahler, V.; Hayek, B.; Sperr, W.R.; Schöller, M.; Prozell, S.; Wiedermann, G.; Valent, P.; Valenta, R.; Duchêne, M. Molecular and immunological characterization of arginine kinase from the Indianmeal moth, Plodia interpunctella, a novel cross-reactive invertebrate pan-allergen. J. Immunol. 2001, 167, 5470–5477. [Google Scholar] [CrossRef]
- Hallman, G.J.; Phillips, T.W. Ionizing irradiation of adults of Angoumois grain moth (Lepidoptera: Gelechiidae) and Indianmeal moth (Lepidoptera: Pyralidae) to prevent reproduction, and implications for a generic irradiation treatment for insects. J. Econ. Entomol. 2008, 101, 1051–1056. [Google Scholar] [CrossRef] [PubMed]
- Sabbour, M.; Abd-El-Aziz, S.; Marwa, S. Efficacy of three entomopathogenic fungi alone or in combination with diatomaceous earth modifications for the control of three pyralid moths in stored grains. J. Plant Prot. Res. 2012, 52, 359–363. [Google Scholar] [CrossRef]
- Oh, H.W.; Yun, C.S.; Jeon, J.H.; Kim, J.A.; Park, D.S.; Ryu, H.W.; Oh, S.R.; Song, H.H.; Shin, Y.; Jung, C.S.; et al. Conifer diterpene resin acids disrupt juvenile hormone-mediated endocrine regulation in the Indian meal moth Plodia interpunctella. J. Chem. Ecol. 2017, 43, 703–711. [Google Scholar] [CrossRef]
- Small, G.J. A comparison between the impact of sulfuryl fluoride and methyl bromide fumigations on stored-product insect populations in UK flour mills. J. Stored Prod. Res. 2007, 43, 410–416. [Google Scholar] [CrossRef]
- Jenson, E.A.; Arthur, F.H.; Nechols, J.R. Methoprene and synergized pyrethrins as aerosol treatments to control Plodia interpunctella (Hübner), the Indian meal moth (Lepidoptera: Pyralidae). J. Stored Prod. Res. 2010, 46, 103–110. [Google Scholar] [CrossRef]
- Trematerra, P.; Oliviero, A.; Savoldelli, S.; Schöller, M. Controlling infestation of a chocolate factory by Plodia interpunctella by combining mating disruption and the parasitoid Habrobracon hebetor. Insect Sci. 2017, 24, 503–510. [Google Scholar] [CrossRef] [PubMed]
- Arthur, F.H.; Phillips, T.W. Stored-product insect pest management and control. In Food Plant Sanitation; Hui, Y.H., Bruinsma, B.L., Gorham, J.R., Nip, W.K., Tong, P.S., Ventresca, P., Eds.; Marcel Dekker: New York, NY, USA, 2003; pp. 341–358. [Google Scholar]
- Mason, L.J.; Strait, C.A. Stored product integrated pest management with extreme temperatures. In Temperature Sensitivity in Insects and Application in Integrated Pest Management; Hallman, G.J., Denlinger, D.L., Eds.; CRC Press: Boca Raton, FL, USA, 2019; pp. 141–177. [Google Scholar] [CrossRef]
- Trematerra, P. Advances in the use of pheromones for stored-product protection. J. Pest Sci. 2012, 85, 285–299. [Google Scholar] [CrossRef]
- Kuwahara, Y.; Casida, J.E. Quantitative analysis of the sex pheromone of several phycitid moths by electron-capture gas chromatography. Agric. Biol. Chem. 1973, 37, 681–684. [Google Scholar] [CrossRef]
- Kuwahara, Y.; Kitamura, C.; Takashi, S.; Hara, H.; Ishii, S.; Fukami, H. Sex pheromone of the almond moth and the Indian meal moth: Cis-9,trans-12-tetradecadienyl acetate. Science 1971, 171, 801–802. [Google Scholar] [CrossRef]
- Sower, L.L.; Vick, K.W.; Tumlinson, J.H. (Z,E)-9,12-Tetradecadien-1-ol: A chemical released by female Plodia interpunctella that inhibits the sex pheromone response of male Cadra cautella. Environ. Entomol. 1974, 3, 120–122. [Google Scholar] [CrossRef]
- Yu, Z.; Deng, J.; Wang, Z.; Fu, W.; Zhou, G.; Lin, H.; Cao, Y.; Zheng, X.; Tang, J. Effect of different sex pheromone formulas, trap types and lure sources on captures of Plodia interpuntella. J. Chin. Cereals Oils. Assoc. 2018, 33, 6. [Google Scholar] [CrossRef]
- Trematerra, P.; Athanassiou, C.; Stejskal, V.; Sciarretta, A.; Kavallieratos, N.; Palyvos, N. Large-scale mating disruption of Ephestia spp. and Plodia interpunctella in Czech Republic, Greece and Italy. J. Appl. Entomol. 2011, 135, 749–762. [Google Scholar] [CrossRef]
- Campos, M.; Phillips, T.W. Attract-and-kill and other pheromone-based methods to suppress populations of the Indianmeal moth (Lepidoptera: Pyralidae). J. Econ. Entomol. 2014, 107, 473–480. [Google Scholar] [CrossRef] [PubMed]
- Fadamiro, H.Y.; Baker, T.C. Pheromone puffs suppress mating by Plodia interpunctella and Sitotroga cerealella in an infested corn store. Entomol. Exp. Appl. 2002, 102, 239–251. [Google Scholar] [CrossRef]
- Burks, C.S.; McLaughlin, J.R.; Miller, J.R.; Brandl, D.G. Mating disruption for control of Plodia interpunctella (Hübner) (Lepidoptera: Pyralidae) in dried beans. J. Stored Prod. Res. 2011, 47, 216–221. [Google Scholar] [CrossRef]
- Morrison, W.R., III; Scully, E.D.; Campbell, J.F. Towards developing areawide semiochemical-mediated, behaviorally-based integrated pest management programs for stored product insects. Pest Manag. Sci. 2021, 77, 2667–2682. [Google Scholar] [CrossRef]
- Athanassiou, C.G.; Kavallieratos, N.G.; Sciarretta, A.; Trematerra, P. Mating disruption of Ephestia kuehniella (Zeller) (Lepidoptera: Pyralidae) in a storage facility: Spatio-temporal distribution changed after long-term application. J. Stored Prod. Res. 2016, 67, 1–12. [Google Scholar] [CrossRef]
- James, D.G.; Moore, C.J.; Faulder, R.J. An improved coattractant for pheromone trapping of Carpophilus spp. (Coleoptera: Nitidulidae). Aust. J. Entomol. 1998, 37, 357–361. [Google Scholar] [CrossRef]
- Figueroa-Castro, P.; López-Martínez, V.; Silva-García, F.; González-Hernández, H. Food attractants to increase pheromone-baited trap performance for Scyphophorus acupunctatus (Coleoptera: Dryophthoridae) in mezcal maguey. Fla. Entomol. 2017, 100, 203–205. [Google Scholar] [CrossRef]
- Liu, J.; He, X.Z.; Wang, Q. Male larval experience of cues from adult rivals alters lifetime sperm investment patterns in a sperm heteromorphic moth, Ephestia kuehniella. Insect Sci. 2023, 30, 1773–1783. [Google Scholar] [CrossRef]
- Liu, J.; He, X.Z.; Zheng, X.L.; Zhang, Y.; Wang, Q. Juvenile socio-sexual experience determines lifetime sperm expenditure and adult survival in a polygamous moth, Ephestia kuehniella. Insect Sci. 2023, 30, 232–240. [Google Scholar] [CrossRef]
- Liu, J.; He, X.Z.; Zheng, X.L.; Zhang, Y.; Wang, Q. Larval social cues influence testicular investment in an insect. Curr. Zool. 2022, 68, 1–8. [Google Scholar] [CrossRef]
- Liu, J.; He, X.Z.; Zheng, X.L.; Zhang, Y.; Wang, Q. Pupal cues increase sperm production but not testis size in an insect. Insects 2021, 12, 679. [Google Scholar] [CrossRef]
- Liu, J.; Zhang, Y.; Zheng, X.L.; He, X.Z.; Wang, Q. Combined cues of male competition influence spermatozoal investment in a moth. Funct. Ecol. 2020, 34, 1223–1234. [Google Scholar] [CrossRef]
- Zhou, J.; Zhang, Z.; Liu, H.; Guo, M.; Deng, J. Inhibition effect of non-host plant volatile extracts on reproductive behaviors in the diamondback moth Plutella xylostella (Linnaeus). Insects 2024, 15, 227. [Google Scholar] [CrossRef] [PubMed]
- Deng, J.; Lan, C.; Zhou, J.; Yao, Y.; Yin, X.; Fu, K.; Ding, X.; Guo, W.; Liu, W.; Wang, N.; et al. Analysis of sex pheromone production and field trapping of the Asian corn borer (Ostrinia furnacalis Guenée) in Xinjiang, China. J. Integr. Agric. 2023, 22, 1093–1103. [Google Scholar] [CrossRef]
- Deng, J.; Shen, Z.; Wang, F.; Liu, T.; Hong, W.; Fang, M.; Wo, L.; Chu, S. Enhancement of attraction to sex pheromone of Grapholita molesta (Busck) (Lepidoptera: Tortricidae) by structurally unrelated sex pheromone compounds of Conogethes punctiferalis (Guenée) (Lepidoptera: Crambidae). J. Asia Pac. Entomol. 2022, 25, 101859. [Google Scholar] [CrossRef]
- Chambers, J. Overview on stored-product insect pheromones and food attractants. J. Kansas Entomol. Soc. 1990, 63, 490–499. [Google Scholar]
- Doud, C.W.; Phillips, T.W. Responses of red flour beetle adults, Tribolium castaneum (Coleoptera: Tenebrionidae), and other stored product beetles to different pheromone trap designs. Insects 2020, 11, 733. [Google Scholar] [CrossRef]
- Athanassiou, C.G.; Kavallieratos, N.G.; Campbell, J.F. Effect of the presence of live or dead insects on subsequent captures of six stored-product beetle species: The relative species matters. J. Econ. Entomol. 2017, 110, 770–775. [Google Scholar] [CrossRef] [PubMed]
- Doud, C.W.; Cuperus, G.W.; Kenkel, P.; Payton, M.E.; Phillips, T.W. Trapping Tribolium castaneum (Coleoptera: Tenebrionidae) and other beetles in flourmills: Evaluating fumigation efficacy and estimating population density. Insects 2021, 12, 144. [Google Scholar] [CrossRef]
- Morrison, W.R., III; Agrafioti, P.; Domingue, M.J.; Scheff, D.S.; Lampiri, E.; Gourgouta, M.; Baliota, G.V.; Sakka, M.; Myers, S.W.; Athanassiou, C.G. Comparison of different traps and attractants in 3 food processing facilities in Greece on the capture of stored product insects. J. Econ. Entomol. 2023, 116, 1432–1446. [Google Scholar] [CrossRef] [PubMed]
- Nansen, C.; Phillips, T.W. Ovipositional responses of the Indianmeal moth, Plodia interpunctella (Hübner) (Lepidoptera: Pyralidae) to oils. Ann. Entomol. Soc. Am. 2003, 96, 524–531. [Google Scholar] [CrossRef]
- Cook, P.A.; Gage, M.J.G. Effects of risks of sperm competition on the numbers of eupyrene and apyrene sperm ejaculated by the moth Plodia interpunctella (Lepidoptera, Pyralidae). Behav. Ecol. Sociobiol. 1995, 36, 261–268. [Google Scholar] [CrossRef]
- Phelan, L. Evolution of sex pheromones and the role of asymmetric tracking. In Insect Chemical Ecology: An Evolutionary Approach; Roitberg, B.D., Isman, M.B., Eds.; Chapman Hall: New York, NY, USA, 1992; pp. 265–314. [Google Scholar]
- Yang, X.; Wang, M.; Gu, Y.; Han, W.; Li, X.; Li, X.; Zhong, Y.; Gao, J. The oviposition preference and offspring performance of Aethina tumida (Coleoptera: Nitidulidae). J. Econ. Entomol. 2024, 117, 696–704. [Google Scholar] [CrossRef]
- Kumar, V.R.; Agavekar, G.; Agashe, D. Fitness landscapes reveal context-dependent benefits of oviposition behavior. Evolution 2022, 77, 550–561. [Google Scholar] [CrossRef]
- Fujiwara-Tsujii, N.; Yasui, H.; Wakamura, S. Population differences in male responses to chemical mating cues in the white-spotted longicorn beetle, Anoplophora malasiaca. Chemoecology 2013, 23, 113–120. [Google Scholar] [CrossRef]
- Nishida, Y.; Takagi, M. Male bull-headed shrikes use food caches to improve their condition-dependent song performance and pairing success. Anim. Behav. 2019, 152, 29–37. [Google Scholar] [CrossRef]
- Gregg, P.C.; Del Socorro, A.P.; Henderson, G.S. Development of a synthetic plant volatile-based attracticide for female noctuid moths. II. Bioassays of synthetic plant volatiles as attractants for the adults of the cotton bollworm, Helicoverpa armigera (Hübner) (Lepidoptera: Noctuidae). Aust. J. Entomol. 2010, 49, 21–30. [Google Scholar] [CrossRef]
- He, W.; Zhao, X.; Ali, A.; Ge, S.; Zhang, H.; He, L.; Wu, K. Population dynamics and reproductive developmental analysis of Helicoverpa armigera (Lepidoptera: Noctuidae) trapped using food attractants in the field. J. Econ. Entomol. 2021, 114, 1533–1541. [Google Scholar] [CrossRef]
- Ogawa, Y.; Miyake, T. How do rewardless Bletilla striata flowers attract pollinators to achieve pollination? Plant Syst. Evol. 2020, 306, 78. [Google Scholar] [CrossRef]
- Saad, A.D.; Scott, D.R. Repellency of pheromones released by females of Heliothis armigera and H. zea to females of both species. Entomol. Exp. Appl. 1981, 30, 123–127. [Google Scholar] [CrossRef]
- Holdcraft, R.; Rodriguez-Saona, C.; Stelinski, L.L. Pheromone autodetection: Evidence and implications. Insects 2016, 7, 17. [Google Scholar] [CrossRef]
- Pérez-Aparicio, A.; Ammagarahalli, B.; Gemeno, C. A closer look at sex pheromone autodetection in the Oriental fruit moth. Sci. Rep. 2022, 12, 7019. [Google Scholar] [CrossRef]
- Yasui, H.; Fukaya, M.; Wakamura, S.; Akino, T.; Yasuda, T.; Kobayashi, A.; Arakaki, N. Aggregation of the black chafer Holotrichia loochooana loochooana (Sawada) (Coleoptera: Scarabaeidae): Function of female pheromone and possible adaptive significance. Appl. Entomol. Zool. 2007, 42, 507–515. [Google Scholar] [CrossRef]
- Pearson, G.A.; Dillery, S.; Meyer, J.R. Modeling intra-sexual competition in a sex pheromone system: How much can female movement affect female mating success? J. Theor. Biol. 2004, 231, 549–555. [Google Scholar] [CrossRef]
- Trematerra, P.; Battaini, F. Control of Ephestia kuehniella Zeller by mass-trapping. J. Appl. Entomol. 1987, 104, 336–340. [Google Scholar] [CrossRef]
- Stelinski, L.; Rodriguez-Saona, C.; Meyer, W. Recognition of foreign oviposition-marking pheromone in a multi-trophic context. Sci. Nat. 2009, 96, 585–592. [Google Scholar] [CrossRef] [PubMed]
- Walker, S.E.; Cade, W.H. A simulation model of the effects of frequency dependence, density dependence and parasitoid flies on the fitness of male field crickets. Ecol. Model. 2003, 169, 119–130. [Google Scholar] [CrossRef]
- Ndomo-Moualeu, A.F.; Ulrichs, C.; Radek, R.; Adler, C. Structure and distribution of antennal sensilla in the Indianmeal moth, Plodia interpunctella (Hübner, 1813) (Lepidoptera: Pyralidae). J. Stored. Prod. Res. 2014, 59, 66–75. [Google Scholar] [CrossRef]
- Ma, M.; Chang, M.-M.; Lu, Y.; Lei, C.-L.; Yang, F.-L. Ultrastructure of sensilla of antennae and ovipositor of Sitotroga cerealella (Lepidoptera: Gelechiidae), and location of female sex pheromone gland. Sci. Rep. 2017, 7, 40637. [Google Scholar] [CrossRef] [PubMed]
- Haverkamp, A.; Hansson, B.S.; Knaden, M. Combinatorial codes and labeled lines: How insects use olfactory cues to find and judge food, mates, and oviposition sites in complex environments. Front. Physiol. 2018, 9, 49. [Google Scholar] [CrossRef] [PubMed]
- Bruce, T.J.A.; Pickett, J.A. Perception of plant volatile blends by herbivorous insects—Finding the right mix. Phytochemistry 2011, 72, 1605–1611. [Google Scholar] [CrossRef] [PubMed]
- Riffell, J.A.; Shlizerman, E.; Sanders, E.; Abrell, L.; Medina, B.; Hinterwirth, A.J.; Kutz, J.N. Flower discrimination by pollinators in a dynamic chemical environment. Science 2014, 344, 1515–1518. [Google Scholar] [CrossRef]
- Frommlet, F.; Heinze, G. Experimental replications in animal trials. Lab. Anim. 2021, 55, 65–75. [Google Scholar] [CrossRef]
Disclaimer/Publisher’s Note: The statements, opinions and data contained in all publications are solely those of the individual author(s) and contributor(s) and not of MDPI and/or the editor(s). MDPI and/or the editor(s) disclaim responsibility for any injury to people or property resulting from any ideas, methods, instructions or products referred to in the content. |
© 2024 by the authors. Licensee MDPI, Basel, Switzerland. This article is an open access article distributed under the terms and conditions of the Creative Commons Attribution (CC BY) license (https://creativecommons.org/licenses/by/4.0/).




