Abstract
In artificial grassland systems, the extensive use of inorganic nitrogen (N) fertilizers has greatly enhanced grassland yields but also caused significant environmental issues. The combined use of biochar and N fertilizer is recognized as an effective and sustainable approach to reducing environmental risks while boosting crop production. However, the specific impacts of biochar and N on alfalfa yield, soil properties, and root morphology remain unclear. This study examined the effects of three biochar application rates (0, 10, 20 t hm−2) and four N application levels (0, 47, 94, 188 kg N hm−2 yr−1) on alfalfa growth and soil characteristics. Results revealed that biochar notably promoted root development and increased osmoregulatory substance content. It enhanced root biomass by improving root nodule count, root neck bud formation, and root neck diameter, while N application reduced root nodule numbers. Biochar and N application reduced soil bulk density by 0.8–10.5%, with biochar further increasing available phosphorus and potassium levels. Additionally, their combined use significantly elevated soil nitrate and ammonium concentrations. Overall, the synergy of biochar and nitrogen application enhances alfalfa yield by fostering better root growth and improving soil fertility.
1. Introduction
In recent decades, the increasing demand for crop, livestock, and poultry production has been a major challenge facing China [1,2,3]. To meet this challenge, people often increase yield per unit area by applying excessive fertilizer (especially inorganic nitrogen fertilizer), which significantly improves the yield of crops and animal products while also leading to environmental problems [4,5]. Biochar, a carbon-rich material derived from the pyrolysis of organic matter [6,7,8,9], which can alter the soil chemical and physical properties, reduce nitrogen leaching, and improve nitrogen efficiency and soil productivity [10,11,12,13]. The combination of biochar and N is now regarded as an effective and sustainable approach to mitigating environmental impacts while enhancing soil fertility and agricultural yields [14,15].
Biochar can promote nutrient absorption, enhance resistance, and increase crop productivity by improving root systems, regulating root morphology, and increasing the content of osmoregulatory substances [11,16,17,18]. However, the impact of biochar on plant root and shoot growth is strongly influenced by soil nutrient levels, particularly N [19,20]. A previous study has shown that crop yield is positively correlated with biochar added in nutrient-rich soils, while there is no significant relationship in low-fertility soils [21]. Additionally, some studies highlight that biochar can significantly improve plant root morphology, reduce nitrogen leaching in soil, improve root nitrogen utilization efficiency in soil, and thus increase crop yield both in poor and nitrogen-rich soils [22,23]. Thus, exploring the effects of biochar under varying nitrogen fertilizer levels is crucial to understanding how it aids in optimizing soil nutrient use and improving crop performance.
Since 2012, China’s artificial grassland industry has developed rapidly with the implementation of important policy measures such as the revitalization of the dairy industry and the grain-to-feed action, especially alfalfa (Medicago sativa L.) [24,25]. By the end of 2020, the area of artificial grassland in Gansu province exceeds 2 million hectares. A large amount of nitrogen fertilizer was invested in artificial grassland to achieve high yield, while the sustainability of the grassland ecosystem was ignored [26,27,28,29]. For artificial grassland, the contradiction between high nitrogen fertilization and environmental protection is still a scientific problem that urgently needs to be solved [30]. Numerous studies have demonstrated that the addition of biochar and N significantly influences crop yield and SOC [31,32,33,34,35]. At the same time, it is beneficial to improve nutrient cycling, expand nutrient capacity, reduce nutrient loss, and thus improve soil fertility [36,37,38]. Biochar and nitrogen addition can affect crop yield by improving root growth, including root length [39], root diameter [40], root tissue density [41], rhizobia [42,43], and root biomass [18]. As it is a nitrogen-fixing legume plant widely used in artificial grassland planting, there is still limited understanding of how biochar and N application impact soil properties, root morphology, growth, yield, and quality in alfalfa production.
To address these challenges, this study examined the effects of biochar and N on alfalfa stem and root growth, root morphology, osmoregulatory substances in roots, soil properties, as well as alfalfa yield and quality in northwestern China. The hypotheses were as follows: (a) Applying 10 t hm−2 biochar combined with 94 kg N hm−2 yr−1 could be an optimal dosage for maximizing alfalfa yield. (b) The addition of biochar and nitrogen may enhance root structure and increase osmoregulatory substances, thereby influencing alfalfa yield. (c) Biochar application could reduce soil bulk density and improve soil nutrient levels, ultimately boosting alfalfa production.
2. Materials and Methods
2.1. Experimental Site
The field experiment was conducted at a cultivated grassland research base of Gansu Yasheng Agricultural Research Institute Co. LTD in Jiuquan City, Gansu Province, China (40°24′ N, 98°64′ E). This region features a temperate continental desert climate, with an average annual temperature of 8.3 °C, precipitation of 59.9 mm, and evaporation reaching 2538 mm annually. The vegetative growth period is from April to November. According to the USDA soil taxonomy, the soil is classified as sandy loam. Pre-planting soil analysis showed a bulk density (BD) of 1.63 g cm−3, with clay content at 6.72% (<0.002 mm), silt at 25.14% (0.002–0.05 mm), and sand at 68.17% (>0.05 mm). The soil’s electrical conductivity (EC) was 1.74 mS cm−1, pH was 7.8, and organic carbon (SOC) content measured 11.18 g kg−1. Levels of alkali-hydrolysable nitrogen (AN), available phosphorus (AP), and available potassium (AK) were 43.60 mg kg−1, 12.90 mg kg−1, and 74.15 mg kg−1, respectively.
2.2. Experimental Design and Field Management
The field trial used a split-plot design, with nitrogen levels as the main plots and biochar application rates as the subplots. Four nitrogen treatments were applied: N0 (0 kg N hm−2 yr−1), N1 (47 kg N hm−2 yr−1), N2 (94 kg N hm−2 yr−1), and N3 (188 kg N hm−2 yr−1). Three biochar rates were included: B0 (0 t hm−2), B1 (10 t hm−2), and B2 (20 t hm−2). Each treatment was replicated three times, resulting in a total of 36 plots. Each plot measured 28.26 m2, corresponding to the 3 m radius of the sprinkler irrigation system, and was established in April 2021. To prevent water and fertilizer exchange between adjacent plots, PVC boards were installed to a depth of 120 cm, with a 1.0 m buffer zone between plots.
The experimental field has been uncultivated for 3 years; before that, it was an alfalfa field. The biochar used in the experiment was derived from corn straw through pyrolysis at 450 °C, produced by Suihua Charcoal powder Technology Co., LTD (Suihua, Heilongjiang, China). It contained 55.31% total C, 1.35% N, 0.24% P, and 1.18% K, with a pH of 9.46. In April 2022, biochar was applied once to the soil surface of each plot before alfalfa sowing and incorporated into the soil by plowing to a depth of approximately 30 cm. After the fertilizer completely dissolved in the water, it was sprayed evenly onto the surface of the alfalfa using an irrigation system. Nitrogen fertilizer (urea, 46% N) was applied as 20% basal fertilizer, with the remaining 80% divided into six applications in 2022 and eight in 2023 (twice per cutting) during alfalfa’s early and middle vegetative stages. Phosphate fertilizer (superphosphate, 16% P2O5) was applied at 97.5 kg P2O5 per hectare, with 75% as basal fertilizer and 25% during the early growth stage. Potassium fertilizer (potassium sulfate, 52% K2O) was applied at 150 kg K2O per hectare, with 40% as basal fertilizer and 60% during the final cutting. Other field management practices aligned with standard local production methods.
2.3. Sampling and Measurements
At each cut date in 2022 and 2023, alfalfa plants were manually harvested from three 0.25 m2 areas randomly selected in each plot [44,45]. The harvested plants were separated into leaves and stems, which were dried at 80 °C, weighed, finely ground, and sieved for analysis. Crude protein (CP = N content × 6.25), acid detergent fiber (ADF), and neutral detergent fiber (NDF) were measured. CP was analyzed using an automatic Kjeldahl apparatus (KjeltecTM8400) [46], while ADF [47] and NDF [48] were determined with a semi-automatic fiber analyzer (F800) following the Van Soest method. The relative feeding value (RFV) was calculated using the corresponding equations:
DMI (dry matter intake) = 120/NDF
DDM (digestible dry matter) = 88.9 − 0.799 × ADF
RFV = (DMI × DDM)/1.29
After the final alfalfa harvest in early October 2022 and 2023, root samples were collected from each subplot using a 0.5 × 0.5 × 1.0 m soil column. All visible roots within the soil column were carefully extracted and washed free of soil. Fresh root samples were then analyzed to determine root length, crown diameter, crown bud count, and nodule number. Then, the measured alfalfa roots were evenly divided into two parts, and one was used to calculate the root biomass after constant weight at 80 °C. The other was used to determine root osmoregulatory substances [49].
After the final alfalfa harvest in 2022 and 2023, three soil samples (0–20 cm depth) were collected from each plot and combined into a bulk sample. A portion of the soil was frozen at −20 °C for available nitrogen analysis, while the remaining soil was air-dried for other property measurements. Soil bulk density was determined using 100 cm3 cylinders [50]. Soil pH and EC were measured using the potentiometric method with soil-to-water ratios of 1:2.5 and 1:5, respectively [51,52]. AP was analyzed using the Olsen-P method, and AK was measured with a flame photometer (XP, BWB Technologies, Heath, TX, USA) [53,54]. NO3−-N and NH4+-N were quantified using a continuous flow analyzer [44].
2.4. Statistical Analysis
The effects of biochar and N treatments on alfalfa yield, root morphology indices, root osmoregulatory substances, and soil physicochemical properties were analyzed using multi-factor analysis of variance (ANOVA). Interaction effects between biochar and nitrogen were assessed through two-way ANOVA. Statistical analyses, including ANOVA and Duncan’s multiple range tests, were conducted at a significance level of p = 0.05 using SPSS v. 20.0 (IBM Corp, Armonk, NY, USA).
3. Results
3.1. Alfalfa Yield and Allocation
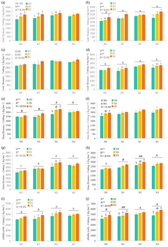
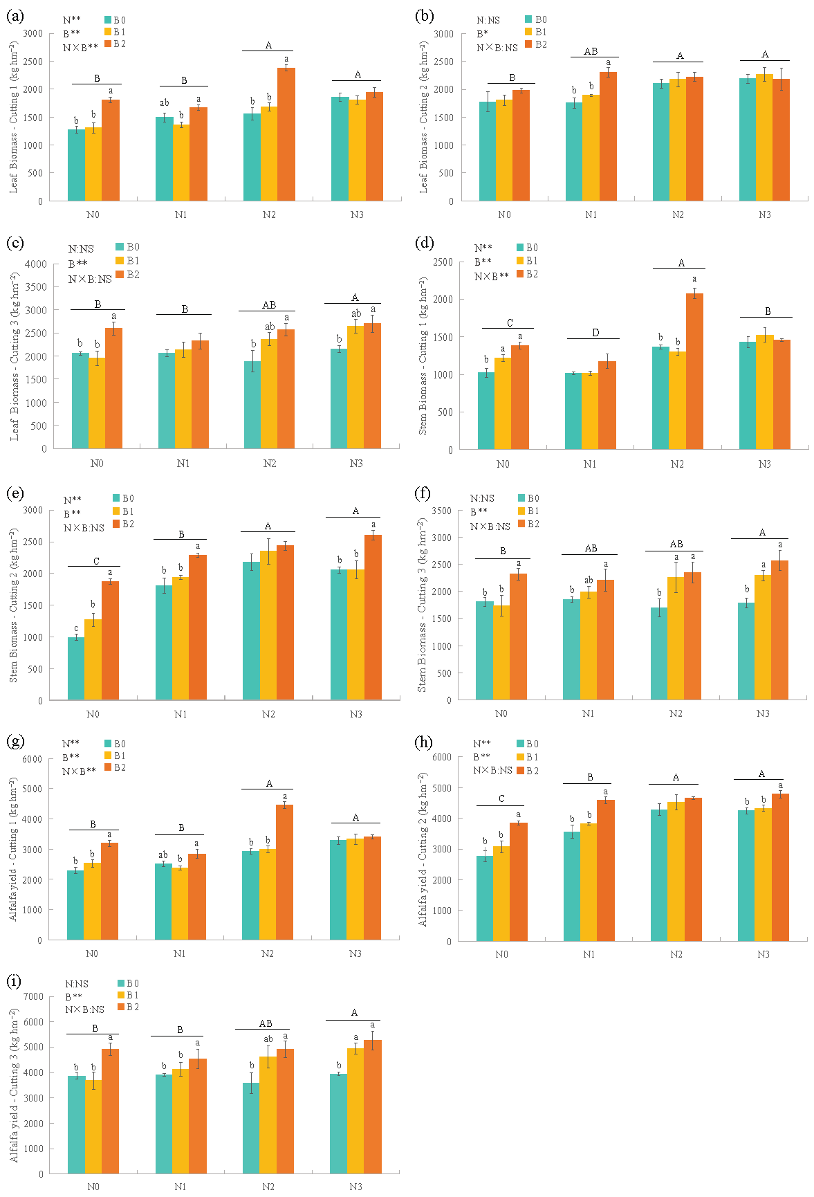
ANOVA showed significant effects of biochar treatment, nitrogen content, and the interaction of biochar and N on alfalfa in 2022 and 2023 (Figure 1 and Figure 2). Leaf biomass increased notably with higher nitrogen application rates in 2022, with N2 and N3 treatments showing significantly higher values than N0 (Figure 1). The leaf biomass increased with the increase of nitrogen and reached a significant level of cuttings 2 and 4 in 2023 (Figure 2). With the increase in biochar, leaf biomass showed an increasing trend, and the maximum biomass was found under the B2 treatment (Figure 1 and Figure 2). Stem biomass was significantly greater in N2 and N3 treatments compared to N0, although no significant difference was observed between N2 and N3. There was a positive correlation between stem biomass and biochar addition, and the stem biomass of B2 was higher than that of B1 and B0. Total alfalfa yield in both years increased with higher nitrogen application rates, with N2 and N3 yielding significantly more than N0, although differences between adjacent treatments (e.g., N0 and N1, N2 and N3) were not significant. Additionally, biochar application significantly improved alfalfa yield across all cuttings in both years, with the yield increase following the order B2 > B1 > B0 (Figure 1 and Figure 2). Thus, the results suggest that the optimal alfalfa yield can be achieved with 94 kg N hm−2 yr−1 and 10 t hm−2 biochar.
Figure 1.
The effects of biochar application and varying N levels on leaf biomass (a–c), stem biomass (d–f), and total alfalfa yield (g–i) at different cutting in 2022. B0, B1, and B2 indicate biochar levels of 0, 10, and 20 t hm−2. N0, N1, N2, and N3 indicate nitrogen levels of 0, 47, 94, and 188 kg N hm−2 yr−1. Different lowercase letters indicate significant differences among biochar treatments within the same nitrogen level, and different capital letters represent significant differences among nitrogen treatments. Error bars show the standard error of the mean. NS, *, and ** denote p > 0.05, p < 0.05, and p < 0.01, respectively.

Figure 2.
The effects of biochar application and varying N levels on leaf biomass (a–d), stem biomass (e–h), and total alfalfa yield (i–l) at different cutting in 2023. B0, B1, and B2 indicate biochar levels of 0, 10, and 20 t hm−2. N0, N1, N2, and N3 indicate nitrogen levels of 0, 47, 94, and 188 kg N hm−2 yr−1. Different lowercase letters indicate significant differences among biochar treatments within the same nitrogen level, and different capital letters represent significant differences among nitrogen treatments. Error bars show the standard error of the mean. NS, *, and ** denote p > 0.05, p < 0.05, and p < 0.01, respectively.
3.2. Alfalfa Quality
In 2022, increasing nitrogen levels showed no significant difference in CP between N0 and other nitrogen treatments. The CP in the N0 treatment decreased with increasing biochar, while in other nitrogen treatments, CP remained unchanged with biochar addition. In 2023, nitrogen application significantly increased alfalfa CP content, with biochar under N1 showing B2 > B1 = B0, whereas CP differences under other nitrogen levels were insignificant (Table 1).
Table 1.
Crude protein (CP) of alfalfa as influenced by different biochar and N levels.
In the first year, neither biochar nor nitrogen significantly affected alfalfa ADF. However, in the second year, biochar significantly reduced ADF at N0 and N1 levels, while at higher nitrogen levels (N2 and N3), biochar had no significant effect (Table 2). For NDF, nitrogen addition in 2022 reduced its content, and biochar addition within the same nitrogen treatment had no significant effect. In 2023, ADF content initially increased and then decreased with higher nitrogen, except under B2, while NDF content followed a B0 > B1 > B2 trend with increasing biochar (Table 3).
Table 2.
Acid detergent fiber (ADF) of alfalfa as influenced by different biochar and N levels.
Table 3.
Neutral detergent fiber (NDF) of alfalfa as influenced of different biochar and N levels.
For B0 and B1 biochar levels, nitrogen treatments showed no significant differences in RFV. In 2022, RFV increased significantly (6.18% to 16.29%) with nitrogen application under B2, while biochar content had no significant effect on other nitrogen treatments. Under the same biochar level, RFV for B0 and B1 decreased initially before increasing with higher nitrogen. In 2023, with the same nitrogen level, RFV under N1 and N2 increased significantly with rising biochar amounts (Table 4). Thus, results suggest that biochar and N affected alfalfa quality, but there were differences between years.
Table 4.
Relative feeding value (RFV) of alfalfa as influenced by different biochar and N levels.
3.3. Root Traits
Both N and biochar supply significantly influenced root traits over two consecutive years, though the responses varied between years (Figure 3). Root length increased consistently with biochar addition, peaking at 20 t hm−2 (Figure 3a,b). In 2022, root crown diameter showed no significant change with nitrogen or biochar addition, but a significant positive correlation was observed in 2023 (Figure 3c,d). Similarly, the number of root crown buds remained unchanged in the first year but increased significantly in 2023 with the application of biochar and nitrogen (Figure 3e,f). Nitrogen fertilizer significantly reduced the number of nodules, while biochar addition significantly increased it in both years (Figure 3g,h). Overall, both biochar and nitrogen application significantly enhanced root biomass over the two years (Figure 3i,j). The results showed that biochar and N could improve root growth and root morphology.
Figure 3.
The effects of biochar application and varying N levels on root length (a,b), root crown diameter (c,d), root crown bud number (e,f), nodule number (g,h), and root biomass (i,j) in 2022 and 2023. B0, B1, and B2 indicate biochar levels of 0, 10, and 20 t hm−2. N0, N1, N2, and N3 indicate nitrogen levels of 0, 47, 94, and 188 kg N hm−2 yr−1. Different lowercase letters indicate significant differences among biochar treatments within the same nitrogen level, and different capital letters represent significant differences among nitrogen treatments. Error bars show the standard error of the mean. NS, *, and ** denote p > 0.05, p < 0.05, and p < 0.01, respectively.
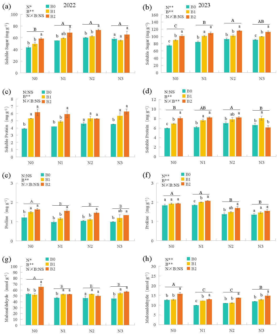
3.4. Root Osmoregulatory Substances
The effects of biochar and nitrogen on root osmoregulatory substances varied (Figure 4). Both treatments significantly increased soluble sugar content in alfalfa roots. Alfalfa root soluble protein was positively correlated with the amount of biochar added, but not with the amount of nitrogen added. Unlike soluble sugar and protein, the content of malondialdehyde and proline in the roots decreased with increasing nitrogen fertilization, while it increased with increasing biochar addition. The results showed that biochar and N significantly increased root osmoregulatory substances.
Figure 4.
The effects of biochar application and varying N levels on soluble sugar (a,b), soluble protein (c,d), proline (e,f), and malonaldehyde (g,h) in 2022 and 2023. B0, B1, and B2 indicate biochar levels of 0, 10, and 20 t hm−2. N0, N1, N2, and N3 indicate nitrogen levels of 0, 47, 94, and 188 kg N hm−2 yr−1. Different lowercase letters indicate significant differences among biochar treatments within the same nitrogen level, and different capital letters represent significant differences among nitrogen treatments. Error bars show the standard error of the mean. NS, *, and ** denote p > 0.05, p < 0.05, and p < 0.01, respectively.
3.5. Soil Physicochemical Properties
In 2022 and 2023, biochar application significantly reduced soil bulk density, whereas nitrogen fertilizer had no notable impact (Figure 5a,b). Soil pH followed the pattern B2 > B1 > B0 with biochar addition. In 2022, the pH in the N2 treatment was significantly lower than in other nitrogen treatments, while in 2023, the N3 treatment showed the lowest pH (Figure 5c,d).
Figure 5.
Effects of biochar and N levels on bulk density (a,b) and pH (c,d) in 2022 and 2023. B0, B1, and B2 indicate biochar levels of 0, 10, and 20 t hm−2. N0, N1, N2, and N3 indicate nitrogen levels of 0, 47, 94, and 188 kg N hm−2 yr−1. Different lowercase letters indicate significant differences among biochar treatments within the same nitrogen level, and different capital letters represent significant differences among nitrogen treatments. Error bars show the standard error of the mean. NS, *, and ** denote p > 0.05, p < 0.05, and p < 0.01, respectively.
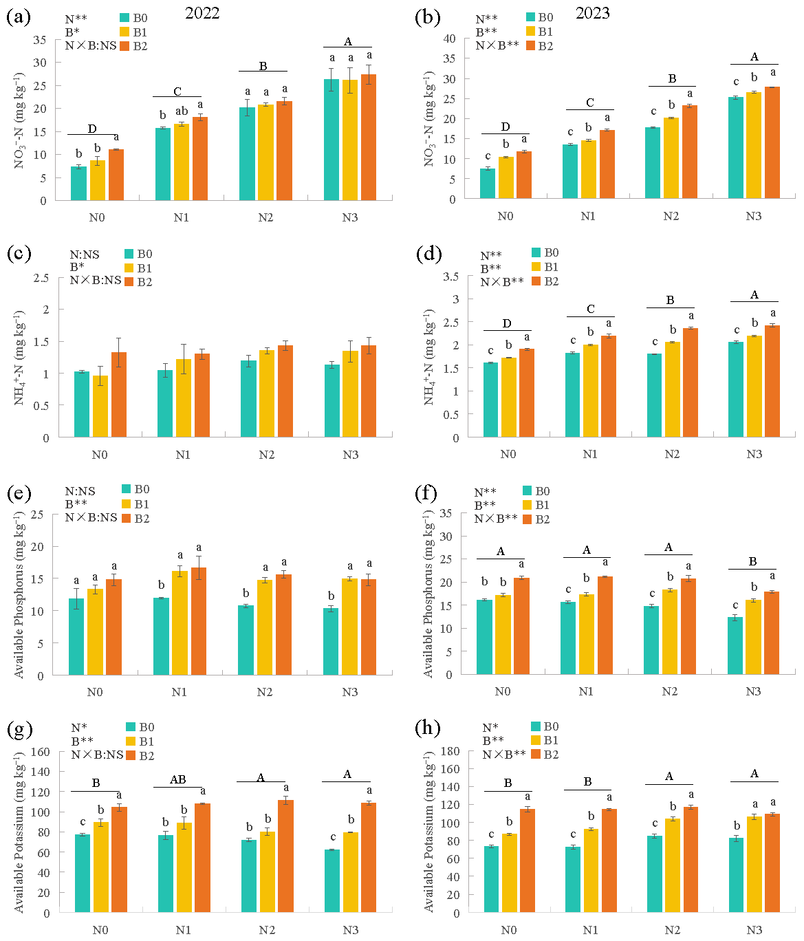
In 2022, the NO3−-N was significantly increased in N0 and N1 after adding the biochar, while that of N2 and N3 was not significantly increased (Figure 6). The NO3−-N value of biochar added with each nitrogen fertilizer treatment increased significantly in 2023. The application of nitrogen fertilizer significantly increased the NO3−-N in the soil. Compared with N0, the average NO3−-N increased by 46.5%, 56.8%, 66.2%, and 34.3%, 51.5%, and 62.7% in 2022 and 2023, respectively, under different nitrogen treatments. In 2023, the NH4+-N content increased due to the addition of nitrogen and biochar in 2023, but there was no significant correlation between NH4+-N and nitrogen and biochar in 2022. The content of AP and AK in alfalfa soil increased significantly after the addition of biochar. Nitrogen had no significant impact on AP in 2022, and AP content in the N3 treatment decreased by 17% compared to N0 in 2023. The addition of nitrogen fertilizer increased the soil available potassium, and the available potassium was N3 = N2 > N1 = N0 with the increase in nitrogen fertilizer application rate. These results indicate that soil bulk density and soil nutrient levels are influenced by biochar and N application dosage.
Figure 6.
Effects of biochar and N level on NO3−-N (a,b), NH4+-N (c,d), available phosphorus (e,f), and available potassium (g,h) in 2022 and 2023. B0, B1, and B2 indicate biochar levels of 0, 10, and 20 t hm−2. N0, N1, N2, and N3 indicate nitrogen levels of 0, 47, 94, and 188 kg N hm−2 yr−1. Different lowercase letters indicate significant differences among biochar treatments within the same nitrogen level, and different capital letters represent significant differences among nitrogen treatments. Error bars show the standard error of the mean. NS, *, and ** denote p > 0.05, p < 0.05, and p < 0.01, respectively.
3.6. Correlation Among Yields, Alfalfa Quality, Root Traits, Root Osmoregulatory Substances, and Soil Physicochemical Parameters
Figure 7 shows the relationships between yields, alfalfa quality, root traits, root osmoregulatory substances, and soil physicochemical parameters. The results showed that alfalfa yield was positively correlated with leaf biomass, stem biomass, ADF, NDF, RL, RCD, RCBN, SS, and soil chemical properties. Conversely, they showed negative correlations with RFV, SP, BD, and malonaldehyde. Furthermore, RFV showed negative correlations with yield, leaf and stem biomass, ADF, NDF, RL, RCD, RCBN, SS, and NH4+-N, but positive correlations with SP and malonaldehyde. RB showed positive correlations with yield, AK, and NO3−-N, but negative correlations with BD.
Figure 7.
Pearson correlation analysis among yields, alfalfa quality, root traits, root osmoregulatory substances, and soil physicochemical parameters. Leaf, leaf biomass; Stem, stem biomass; CP, crude protein; ADF, acid detergent fiber; NDF, neutral detergent fiber; RFV, relative feeding value; RL, root length; RCD, root crown diameter; RCBN, root crown bud number; NN, nodules number; RB, root biomass; SS, soluble sugar; SP, soluble protein; BD, bulk density; NO3−N, nitric nitrogen; NH4−N, ammonium nitrogen; AP, available phosphorus; AK, available potassium. *, ** and *** denote p < 0.05, p < 0.01 and p < 0.001, respectively.
4. Discussion
4.1. Effects of Biochar and N on Root Morphology of Alfalfa
Plant roots play a crucial role in plant growth, influencing above-ground biomass by absorbing nutrients and water from the soil. Biochar can enhance root growth and morphology, improving plant productivity, particularly when combined with fertilizers [11,55,56,57,58]. This study found that under low nitrogen levels (≤94 kg N hm−2 yr−1), biochar addition significantly increased root length, root crown diameter, root crown bud number in 2023, and nodule number and root biomass in both 2022 and 2023. However, with high nitrogen levels (>94 kg N hm−2 yr−1), biochar significantly increased the number of nodules and root crown buds in 2023, but there were no significant effects on root biomass or alfalfa yield. The higher fertilization rate does not increase root biomass nor alfalfa yield. The addition of nitrogen significantly increased root biomass, while biochar addition could increase the utilization rate of nitrogen, reduce the amount of nitrogen fertilizer, and maintain a higher biomass [59]. Another reason is that in fertile soil, crop roots grow to a certain point and tend to supply more nutrients to above-ground growth. In this study, the alfalfa root lengths in the first and second years were greater than 20 cm and 40 cm, respectively. The addition of nitrogen fertilizer may further promote the growth of above-ground parts [60]. In addition, the number of root and crown shoots and crown diameter varied from year to year after adding biochar and nitrogen, which may be due to the particularly stable structure of biochar, whose half-life in the soil can be several decades [6], and the effects of biochar and nitrogen fertilizer on soil and crop yield may have cumulative effects. As a legume plant, alfalfa has different nitrogen nutritional properties than other non-nitrogen-fixing crops. Its roots form a symbiotic relationship with rhizobia, converting atmospheric nitrogen into organic nitrogen, which significantly influences nitrogen accumulation and yield [61]. Nitrogen application impacts root and nodule development, rhizobia infection, and the nitrogen fixation capacity of nodules [62]. Studies have shown that appropriate nitrogen fertilizer promotes nodule formation and growth, enhancing nitrogen fixation, while excessive nitrogen inhibits nodule formation—findings consistent with this study [63,64]. Nitrogen application inhibits the development of nodule primordium and nodule growth [62,65], while increasing organic fertilizer can increase the root nodule number and fresh weight by improving the photosynthesis of crops and thereby increasing the root nitrogen utilization efficiency [61]. Our study showed that biochar supplementation significantly increased the contents of soluble sugar, soluble protein, proline, and malondialdehyde in alfalfa roots at different N fertilizer levels. The application of biochar increased the content of osmoregulatory substances in plant roots, improving their ability to withstand cold and drought and improving their overwintering ability and next year’s alfalfa yield by increasing the number of root buds [49,66]. Application of nitrogen reduced the contents of malondialdehyde and proline in alfalfa roots, thus reducing the stress resistance, while the addition of biochar increased the content of osmotically regulating substances in alfalfa roots. Soil fertility is too high, which may cause crops to be unable to survive drought, cold, and other adverse environmental conditions, because alfalfa is not suitable for overwintering, and the application of biochar can alleviate this phenomenon. Thus, biochar application is regarded as a vital management strategy to enhance root vigor, boost resilience to stress, and improve crop yields.
4.2. Effects of Biochar and N on Soil Physicochemical Properties
Growing evidence suggests that biochar and nitrogen applications enhance crop productivity by improving soil physical properties and fertility [67,68,69]. In this study, biochar significantly reduced soil bulk density, whereas nitrogen had no notable effect. Biochar’s low bulk density, porous structure, and large surface area reduce soil bulk density, increase water-holding capacity in coarse soils, and support root growth by lowering mechanical resistance [6,70,71,72]. Both biochar and nitrogen improved soil fertility [73]. Biochar also increased soil pH, aligning with previous studies [74,75]. The optimal pH for alfalfa growth is 6.5–7.5, and biochar’s effect on pH enhances organic carbon, exchangeable cations, and nutrient uptake by roots [76]. Combined biochar and nitrogen applications significantly increased soil NO3−-N, NH4+-N, K, and P availability. This may be attributed to biochar’s high surface area, negative surface charge, and enhanced soil CEC, which reduce nitrate leaching and improve ammonium adsorption [11]. Biochar promotes root biomass, particularly in deeper soil layers, facilitating nitrate uptake. Ammonium is readily adsorbed by negatively charged clay minerals, and biochar’s superior CEC enhances ammonium retention [77]. Additionally, biochar contains high nutrient levels, particularly P and K, and its functional groups adsorb nutrient ions, increasing soil AP and AK levels to support root growth and yield [78]. Biochar’s structure improves soil permeability, water retention, and carbon cycling, creating a favorable environment for soil microorganisms and accelerating nutrient cycling [12,79,80]. These properties enhance soil nutrient supply, contributing to improved crop growth and productivity.
4.3. Effects of Biochar and N on Alfalfa Yield
Both biochar and nitrogen fertilization significantly boosted alfalfa production in 2022 and 2023. Nitrogen application notably increased stem and leaf biomass, while biochar further enhanced yield. However, at nitrogen rates exceeding 94 kg N hm−2 yr−1, nitrogen had no additional impact on alfalfa yield. No significant yield difference was observed between N2 (94 kg N hm−2 yr−1) and N3 (188 kg N hm−2 yr−1), but both treatments outperformed N0 and N1. Nitrogen fertilizer altered the soil nutrient pool, promoted root nitrogen uptake, and increased yield, though continuous input reduced soil and plant C:N, potentially limiting growth due to carbon constraints [44,81]. Biochar improved C:N ratios, enhanced nitrogen utilization, and further increased alfalfa yield. In this study, biochar addition significantly improved yield at low nitrogen levels (<94 kg N hm−2 yr−1) with B2 > B1 > B0, while at higher nitrogen levels (>94 kg N hm−2 yr−1), there was no significant yield difference between B1 (10 t hm−2) and B2 (20 t hm−2). Previous research has shown that biochar enhances soil nitrogen retention and reduces fertilizer use, with 15 t hm−2 biochar lowering nitrogen input by 20–40% [59] and 24 t hm−2 biochar maintaining high soybean yields when applied alone [58,82]. This study found that 10 t hm−2 biochar combined with 94 kg N hm−2 nitrogen achieved maximum alfalfa yield. Nitrogen fertilizer increased alfalfa CP content in 2023 and under B2 (20 t hm−2) in 2022, as well as RFV by reducing NDF content. This may result from initially low soil nitrogen levels in the test area after three years of fallow. The effects of nitrogen and biochar on alfalfa quality were minimal at low nitrogen levels and became significant only in the second year. The combined positive effects of biochar and nitrogen on yield were linked to improved soil and root characteristics, including reduced bulk density, increased root crown buds, root biomass, osmoregulatory substances, higher soil pH, and greater availability of P and K. These benefits (i) enhanced soil physical and chemical properties, supporting root growth and nutrient uptake [83], and (ii) improved soil nutrient availability and transformation, supplying more nutrients for alfalfa growth and development.
5. Conclusions
Our results show that biochar and N fertilizers play an important role in increasing alfalfa yield and improving soil physicochemical properties. The addition of biochar and N increased the stem, leaf, and root biomass of alfalfa, reduced soil bulk density, improved root traits, and increased the content of root osmoregulatory substances and soil AP, AK, NO3−-N, and NH4+-N content, leading to an increase in alfalfa yield.
Based on our experimental results, 94 kg N hm−2 yr−1 and 10 t hm−2 biochar could be an optimal dose used in practice to improve soil and increase alfalfa yield in sandy loam areas. However, with the increase in biochar application years, the biochar amendment could lead to different results, and the N use efficiency of fertilizers and soil nitrogen dynamics after biochar application are also different under different nitrogen doses. Therefore, it is necessary to monitor the long-term effects of different biochar and nitrogen dosages on fertilizer utilization rate and soil nitrogen dynamics as well as its microbial mechanism.
Author Contributions
Conceptualization, X.Y.; data curation, J.C. and Z.C.; formal analysis, J.C. and H.Y.; funding acquisition, X.Y.; investigation, J.C., Z.C. and W.L.; methodology, J.C. and H.Y.; project administration, X.Y.; software, J.C.; validation, J.C., D.L. and X.Y.; visualization, J.C. and H.Y.; writing—original draft, J.C.; writing—review and editing, J.C. and X.Y. All authors have read and agreed to the published version of the manuscript.
Funding
This research was funded by the National Forage Industry Technology System of China: CARS-34-01A, the Key Research and Development Program in Gansu Province: 23YFNA0030, the Major Science and Technology Projects in Gansu Province: 21ZD4NA023.
Institutional Review Board Statement
Not applicable.
Data Availability Statement
The data presented in this study are available on request from the corresponding author. The data are not publicly available due to privacy.
Acknowledgments
The authors would like to thank the Key Laboratory of the Ministry of Education of the Grassland Ecosystem of Gansu Agricultural University for providing experimental equipment.
Conflicts of Interest
Authors Jinlong Chai, Zhen Chen, Weifang Li and Dongqing Li were employed by the company Gansu Yasheng Agricultural Research Institute, Co., Ltd. The remaining authors declare that the research was conducted in the absence of any commercial or financial relationships that could be construed as a potential conflict of interest.
References
- Valin, H.; Havlík, P.; Mosnier, A.; Herrero, M.; Schmid, E.; Obersteiner, M. Agricultural productivity and greenhouse gas emissions: Trade-offs or synergies between mitigation and food security? Environ. Res. Lett. 2013, 8, 035019. [Google Scholar] [CrossRef]
- Xu, H.; Cai, A.; Wu, D.; Liang, G.; Xiao, J.; Xu, M.; Colinet, G.; Zhang, W. Effects of biochar application on crop productivity, soil carbon sequestration, and global warming potential controlled by biochar C:N ratio and soil pH: A global meta-analysis. Soil. Till. Res. 2021, 213, 105125. [Google Scholar] [CrossRef]
- Zhou, Z. Achieving food security in China: Past three decades and beyond. China Agric. Econ. Rev. 2010, 2, 251–275. [Google Scholar] [CrossRef]
- Ju, X.; Xing, G.; Chen, X.; Zhang, F. Reducing environmental risk by improving N management in intensive Chinese agricultural systems. Proc. Natl. Acad. Sci. USA 2009, 106, 3041–3046. [Google Scholar] [CrossRef] [PubMed]
- Zhang, W.F.; Dou, Z.X.; He, P.; Ju, X.T.; Powlson, D.; Chadwick, D.; Norse, D.; Lu, Y.L.; Zhang, Y.; Wu, L.; et al. New technologies reduce greenhouse gas emissions from nitrogenous fertilizer in China. Proc. Natl. Acad. Sci. USA 2013, 110, 8375–8380. [Google Scholar] [CrossRef] [PubMed]
- Zhang, Y.; Wang, J.; Feng, Y. The effects of biochar addition on soil physicochemical properties: A review. Catena 2021, 202, 105284. [Google Scholar] [CrossRef]
- Chen, X.; Lewis, S.; Heal, K.V.; Lin, Q.; Sohi, S.P. Biochar engineering and ageing influence the spatiotemporal dynamics of soil pH in the charosphere. Geoderma 2021, 386, 114919. [Google Scholar] [CrossRef]
- Sahoo, S.S.; Vijay, V.K.; Chandra, R.; Kumar, H. Production and characterization of biochar produced from slow pyrolysis of pigeon pea stalk and bamboo. Clean. Eng. Technol. 2021, 3, 100101. [Google Scholar] [CrossRef]
- Darby, I.; Xu, C.-Y.; Wallace, H.M.; Joseph, S.; Pace, B.; Bai, S.H. Short-term dynamics of carbon and nitrogen using compost, compost-biochar mixture and organo-mineral biochar. Environ. Sci. Pollut. Res. 2016, 23, 11267–11278. [Google Scholar] [CrossRef] [PubMed]
- Lehmann, F.; Joseph, S. Biochar for Environmental Management: An Introduction. Sci. Tec. 2009, 25, 15801–15811. [Google Scholar] [CrossRef]
- Liu, B.; Li, H.; Li, H.; Zhang, A.; Rengel, Z. Long-term biochar application promotes rice productivity by regulating root dynamic development and reducing nitrogen leaching. GCB Bioenergy 2020, 13, 257–268. [Google Scholar] [CrossRef]
- Prayogo, C.; Jones, J.E.; Baeyens, J.; Bending, G.D. Impact of biochar on mineralisation of C and N from soil and willow litter and its relationship with microbial community biomass and structure. Biol. Fert. Soils 2013, 50, 695–702. [Google Scholar] [CrossRef]
- Joseph, S.; Cowie, A.L.; Van Zwieten, L.; Bolan, N.; Budai, A.; Buss, W.; Cayuela, M.L.; Graber, E.R.; Ippolito, J.A.; Kuzyakov, Y.; et al. How biochar works, and when it doesn’t: A review of mechanisms controlling soil and plant responses to biochar. GCB Bioenergy 2021, 13, 1731–1764. [Google Scholar] [CrossRef]
- Ibrahim, M.M.; Tong, C.; Hu, K.; Zhou, B.; Xing, S.; Mao, Y. Biochar-fertilizer interaction modifies N-sorption, enzyme activities and microbial functional abundance regulating nitrogen retention in rhizosphere soil. Sci. Total Environ. 2020, 739, 140065. [Google Scholar] [CrossRef]
- Sekaran, U.; Sandhu, S.S.; Qiu, Y.; Kumar, S.; Gonzalez Hernandez, J.L. Biochar and manure addition influenced soil microbial community structure and enzymatic activities at eroded and depositional landscape positions. Land. Degrad. Dev. 2019, 31, 894–908. [Google Scholar] [CrossRef]
- Prendergast-Miller, M.T.; Duvall, M.; Sohi, S.P. Localisation of nitrate in the rhizosphere of biochar-amended soils. Soil. Biol. Biochem. 2011, 43, 2243–2246. [Google Scholar] [CrossRef]
- Wen, Y.; Shi, F.; Zhang, B.; Li, K.; Chang, W.; Fan, X.; Dai, C.; Song, F. Rhizophagus irregularisand biochar can synergistically improve the physiological characteristics of saline-alkali resistance of switchgrass. Physiol. Plant. 2024, 176, e14367. [Google Scholar] [CrossRef] [PubMed]
- Xiang, Y.; Deng, Q.; Duan, H.; Guo, Y. Effects of biochar application on root traits: A meta-analysis. GCB Bioenergy 2017, 9, 1563–1572. [Google Scholar] [CrossRef]
- Jeffery, S.; Verheijen, F.G.A.; van der Velde, M.; Bastos, A.C. A quantitative review of the effects of biochar application to soils on crop productivity using meta-analysis. Agric. Ecosyst. Environ. 2011, 144, 175–187. [Google Scholar] [CrossRef]
- Biederman, L.A.; Harpole, W.S. Biochar and its effects on plant productivity and nutrient cycling: A meta-analysis. GCB Bioenergy 2012, 5, 202–214. [Google Scholar] [CrossRef]
- Noguera, D.; Rondón, M.; Laossi, K.-R.; Hoyos, V.; Lavelle, P.; Cruz de Carvalho, M.H.; Barot, S. Contrasted effect of biochar and earthworms on rice growth and resource allocation in different soils. Soil. Biol. Biochem. 2010, 42, 1017–1027. [Google Scholar] [CrossRef]
- Huang, M.; Yang, L.; Qin, H.; Jiang, L.; Zou, Y. Quantifying the effect of biochar amendment on soil quality and crop productivity in Chinese rice paddies. Field Crop. Res. 2013, 154, 172–177. [Google Scholar] [CrossRef]
- Arif, M.; Ali, A.; Umair, M.; Munsif, F.; Ayub, G. Effect of biochar, FYM and mineral nitrogen alone and in combination on yield and yield components of maize. Sarhad J. Agric. 2012, 28, 191–195. [Google Scholar] [CrossRef]
- Wang, W. Improving China’s alfalfa industry development: An economic analysis. China Agric. Econ. Rev. 2020, 13, 211–228. [Google Scholar] [CrossRef]
- Han, Q.; Jia, Z.; Wang, J. The analysis of current situation and development prospect of alfalfa industry at home and abroad. Pratacultural Sci. 2005, 22, 4. [Google Scholar]
- Wei, K.; Zhao, J.; Sun, Y.; López, I.F.; Ma, C.; Zhang, Q. Optimizing nitrogen and phosphorus application to improve soil organic carbon and alfalfa hay yield in alfalfa fields. Front. Plant Sci. 2024, 14, 1276580. [Google Scholar] [CrossRef]
- Stanger, T.F.; Lauer, J.G. Corn Grain Yield Response to Crop Rotation and Nitrogen over 35 Years. Agron. J. 2008, 100, 643–650. [Google Scholar] [CrossRef]
- Elgharably, A.; Benes, S. Alfalfa Biomass Yield and Nitrogen Fixation in Response to Applied Mineral Nitrogen Under Saline Soil Conditions. J. Plant Nutr. Soil. Sci. 2021, 21, 744–755. [Google Scholar] [CrossRef]
- Wang, Y.; Li, M.; Zhuo, Y.; Guo, H.; Yan, H.; Yan, X. Responses of Alfalfa Growth and Nitrogen Utilization to Foliar Fertilization with Different Urea Concentrations. J. Plant Growth Regul. 2023, 49, 5507–5522. [Google Scholar] [CrossRef]
- Zhu, Z.; Xiong, Z.; Xing, G. Impacts of Pollution Growth and Economic Development on the Nitrogen Cycle in Asian. Sci. China Ser. C. 2006, 48, 729–737. [Google Scholar] [CrossRef]
- Dong, L.; Wang, J.; Shen, M.; Zhang, H.; Wang, L.; Li, C.; Lu, C. Biochar combined with nitrogen fertilizer affects soil properties and wheat yield in medium-low-yield farmland. Soil Use Manag. 2021, 38, 584–595. [Google Scholar] [CrossRef]
- Liu, Z.; Li, Z.; Huang, F.; Wang, B.; Zhao, C.; Zhang, P.; Jia, Z. Plastic film mulching and biochar amendment enhance maize yield and nitrogen fertilizer use efficiency by reducing gaseous nitrogen losses. Field Crop. Res. 2022, 289, 108714. [Google Scholar] [CrossRef]
- Zhang, J.; Liu, X.; Wu, Q.; Qiu, Y.; Chi, D.; Xia, G.; Arthur, E. Mulched drip irrigation and maize straw biochar increase peanut yield by regulating soil nitrogen, photosynthesis and root in arid regions. Agric. Water Manag. 2023, 289, 108565. [Google Scholar] [CrossRef]
- Jaufmann, E.; Schmid, H.; Hülsbergen, K.-J. Effects of biochar in combination with cattle slurry and mineral nitrogen on crop yield and nitrogen use efficiency in a three-year field experiment. Eur. J. Agron. 2024, 156, 127168. [Google Scholar] [CrossRef]
- Wu, C.; Sun, Q.; Ren, Z.; Xia, N.; Wang, Z.; Sun, H.; Wang, W. Combined effects of nitrogen fertilizer and biochar on the growth, yield, and quality of pepper. Open Life Sci. 2024, 19, 20220882. [Google Scholar] [CrossRef] [PubMed]
- Laird, D.; Fleming, P.; Wang, B.Q.; Horton, R.; Karlen, D. Biochar impact on nutrient leaching from a Midwestern agricultural soil. Geoderma 2010, 158, 436–442. [Google Scholar] [CrossRef]
- Sachdeva, V.; Hussain, N.; Husk, B.R.; Whalen, J.K. Biochar induced soil stability influences phosphorus retention in a temperate agricultural soil. Geoderma 2019, 351, 71–75. [Google Scholar] [CrossRef]
- Pokharel, P.; Ma, Z.; Chang, S. Biochar increase soil microbial biomass with changes in extra and intracellular enzyme activities: A global meta-analysis. Biochar 2020, 2, 65–79. [Google Scholar] [CrossRef]
- Olmo, M.; Villar, R. Changes in root traits explain the variability of biochar effects on fruit production in eight agronomic species. Org. Agric. 2019, 9, 139–153. [Google Scholar] [CrossRef]
- Sun, C.; Wang, D.; Shen, X.; Li, C.; Liu, J.; Lan, T.; Wang, W.; Xie, H.; Zhang, Y. Effects of biochar, compost and straw input on root exudation of maize (Zea mays L.): From function to morphology. Agric. Ecosyst. Environ. 2020, 297, 106952. [Google Scholar] [CrossRef]
- Bruun, E.W.; Petersen, C.T.; Hansen, E.; Holm, J.K.; Hauggaard-Nielsen, H. Biochar amendment to coarse sandy subsoil improves root growth and increases water retention. Soil Use Manag. 2014, 30, 109–118. [Google Scholar] [CrossRef]
- Wu, Z.F.; Chen, D.X.; Zheng, Y.M.; Wang, C.B.; Sun, X.W.; Li, X.D.; Wang, X.X.; Shi, C.R.; Feng, H.; Yu, T.Y. Supply characteristics of different nitrogen sources and nitrogen use efficiency of peanut. Chin. J. Oil Crop Sci. 2016, 38, 207–213. [Google Scholar]
- Etesami, H. Bacterial mediated alleviation of heavy metal stress and decreased accumulation of metals in plant tissues: Mecha nisms and future prospects. Ecotoxicol. Environ. Saf. 2018, 147, 175–191. [Google Scholar] [CrossRef] [PubMed]
- Xiao, H.; Yang, H.; Zhao, M.; Monaco, T.; Wang, D. Soil extracellular enzyme activities and the abundance of nitrogen-cycling functional genes responded more to N addition than P addition in an Inner Mongolian meadow steppe. Sci. Total Environ. 2020, 759, 143541. [Google Scholar] [CrossRef] [PubMed]
- Usmanov, R.Z.; Babaeva, M.A.; Osipova, S.V. Influence of salted environment on fodder herbs efficiency of pasturable phytocoenoses of the north-western Caspian lowland. South Russ.-Ecol. Dev. 2013, 4, 91–95. [Google Scholar] [CrossRef][Green Version]
- Zhang, Z. Feed Analysis and Feed Quality Testing Technology; China Agricultural University Press: Beijing, China, 2021; pp. 23–56. [Google Scholar]
- Zhang, J.X.; Liu, X.J.; Hao, F.; Fan, J.J.; Feng, B.Z.; Qi, P. Effects of nitrogen and phosphorus regulation on alfalfa nitrogen accumulation and the nitrogen and phosphorus nutrients of soil. Acta Prataculturae Sin. 2016, 24, 61–68. [Google Scholar]
- Liu, M.; Wang, Z.; Mu, L.; Xu, R.; Yang, H. Effect of regulated deficit irrigation on alfalfa performance under two irrigation systems in the inland arid area of midwestern China. Agric. Water Manag. 2021, 248, 106764. [Google Scholar] [CrossRef]
- Li, M.; Cheng, L.; Zhang, M.; Yang, L.; Han, M. Platycodon grandiflorus subjected to full- and restricted-water regimes show differential biosynthesis of triterpenoid saponins. Acta Physiol. Plant. 2023, 45, 45–55. [Google Scholar] [CrossRef]
- Chai, J.; Yu, X.; Xu, C.; Xiao, H.; Zhang, J.; Yang, H.; Pan, T. Effects of yak and Tibetan sheep trampling on soil properties in the northeastern Qinghai-Tibetan Plateau. Appl. Soil Ecol. 2019, 144, 147–154. [Google Scholar] [CrossRef]
- Rojas-Pinzon, P.A.; Prommer, J.; Sedlacek, C.J.; Sandén, T.; Spiegel, H.; Pjevac, P.; Fuchslueger, L.; Giguere, A.T. Inhibition profile of three biological nitrification inhibitors and their response to soil pH modification in two contrasting soils. FEMS Microbiol. Ecol. 2024, 100, fiae072. [Google Scholar] [CrossRef]
- Xiao, M.; Chen, C.; Yao, R.; Wang, X.; Liu, G. Response of Soil Fungal Community in Coastal Saline Soil to Short-Term Water Management Combined with Bio-Organic Fertilizer. Agronomy 2024, 14, 1441. [Google Scholar] [CrossRef]
- Yang, F.; He, B.; Dong, B.; Zhang, G. Film mulched ridge–furrow tillage improves the quality and fertility of dryland agricultural soil by enhancing soil organic carbon and nutrient stratification. Agric. Water Manag. 2024, 292, 108686. [Google Scholar] [CrossRef]
- Ye, C.; Zheng, G.; Tao, Y.; Xu, Y.; Chu, G.; Xu, C.; Chen, S.; Liu, Y.; Zhang, X.; Wang, D. Effect of Soil Texture on Soil Nutrient Status and Rice Nutrient Absorption in Paddy Soils. Agronomy 2024, 14, 1339. [Google Scholar] [CrossRef]
- Nan, Q.; Wang, C.; Wang, H.; Yi, Q.; Liang, B.; Xu, J.; Wu, W. Biochar drives microbially-mediated rice production by increasing soil carbon. J. Hazard. Mater. 2020, 387, 121680. [Google Scholar] [CrossRef]
- Reyes-Cabrera, J.; Leon, R.G.; Erickson, J.E.; Silveira, M.L.; Rowland, D.L.; Morgan, K.T. Biochar Changes Shoot Growth and Root Distribution of Soybean during Early Vegetative Stages. Crop Sci. 2017, 57, 454–461. [Google Scholar] [CrossRef]
- Zhu, Q.; Kong, L.; Xie, F.; Zhang, H.; Wang, H.; Ao, X. Effects of biochar on seedling root growth of soybeans. Chil. J. Agric. Res. 2018, 78, 549–558. [Google Scholar] [CrossRef]
- Wu, D.; Zhang, W.; Xiu, L.; Sun, Y.; Gu, W.; Wang, Y.; Zhang, H.; Chen, W. Soybean Yield Response of Biochar-Regulated Soil Properties and Root Growth Strategy. Agronomy 2022, 12, 1412. [Google Scholar] [CrossRef]
- Ning, C.; Liu, R.; Kuang, X.; Chen, H.; Tian, J.; Cai, C. Nitrogen fertilizer reduction combined with biochar application maintain the yield and nitrogen supply of rice but improve the nitrogen use efficiency. Agronomy 2022, 12, 3039. [Google Scholar] [CrossRef]
- Poorter, H.; Niklas, K.J.; Reich, P.B.; Oleksyn, J.; Poot, P.; Mommer, L. Biomass allocation to leaves, stems and roots: Meta-analyses of interspecific variation and environmental control. New Phytol. 2011, 193, 30–50. [Google Scholar] [CrossRef] [PubMed]
- Zhang, G.; Liu, Q.; Zhang, Z.; Ci, D.; Zhang, J.; Xu, Y.; Guo, Q.; Xu, M.; He, K. Effect of Reducing Nitrogen Fertilization and Adding Organic Fertilizer on Net Photosynthetic Rate, Root Nodules and Yield in Peanut. Plants 2023, 12, 2902. [Google Scholar] [CrossRef] [PubMed]
- Zheng, Y.M.; Wang, C.X.; Liu, Q.M.; Wu, Z.F.; Wang, C.B.; Sun, X.S.; Zheng, Y.P. Effect of nitrogen fertilizer regulation on root growth and nodulating ability of peanut. J. Nucl. Agric. Sci. 2017, 31, 2418–2425. [Google Scholar]
- Jiang, P.; Xu, F.X.; Xiong, H.; Zhang, L.; Zhu, Y.C.; Guo, X.Y.; Chen, L.; Ming, J. Effect of reduced nitrogen application on grain yield and nitrogen use efficiency of hybrid mid-season rice under two yield levels. J. Nucl. Agric. Sci. 2020, 1, 153–162. [Google Scholar]
- Zheng, Y.M.; Sun, X.S.; Wang, C.B.; Zheng, Y.P. Differences in nitrogen utilization characteristics of different peanut genotypes in high fertility soils. J. Appl. Ecol. 2016, 27, 3977–3986. [Google Scholar]
- Qiao, Y.F.; Han, X.Z. Effects of long-term fertilization on root phenotype and nodulation of soybean. Soybean Sci. 2011, 30, 119–122. [Google Scholar]
- Fang, Q.E. Study on the Rules of Alfalfa Crown Bud Developing into Shoot and Its Winter Hardiness in the State of Dormancy. Ph.D. Thesis, Gansu Agricultural University, Lanzhou, China, 2016. [Google Scholar]
- Phares, C.; Amoakwah, E.; Danquah, A.; Akaba, S.; Frimpong, K.; Mensah, T. Improved soil physicochemical, biological properties and net income following the application of inorganic NPK fertilizer and biochar for maize production. Acta Ecol. Sin. 2021, 42, 289–295. [Google Scholar] [CrossRef]
- Ammal, A.; Seutra, K.; Evans, D.; Adutwum, A. A comprehensive review of the effects of biochar on soil physicochemical properties and crop productivity. Waste Dispos. Sustain. Energy 2022, 4, 343–359. [Google Scholar] [CrossRef]
- Wang, P.; Lin, X.; Liu, Q.; Lin, Z.; Yang, Y.; Chen, H.; Fan, S. Interactions between flue gas desulfurization gypsum and biochar on water infiltration characteristics and physicochemical properties of saline-alkaline soil. Environ. Monit. Assess. 2023, 195, 1273. [Google Scholar] [CrossRef]
- Villagra-Mendoza, K.; Horn, R. Effect of biochar addition on hydraulic functions of two textural soils. Geoderma 2018, 326, 88–95. [Google Scholar] [CrossRef]
- Jain, S.; Singh, A.; Khare, P.; Chanda, D.; Mishra, D.; Shanker, K.; Karak, T. Toxicity assessment of Bacopa monnieri L. grown in biochar amended extremely acidic coal mine spoils. Ecol. Eng. 2017, 108, 211–219. [Google Scholar] [CrossRef]
- Brennan, A.; Jiménez, E.M.; Puschenreiter, M.; Alburquerque, J.A.; Switzer, C. Effects of biochar amendment on root traits and contaminant availability of maize plants in a copper and arsenic impacted soil. Plant Soil. 2014, 379, 351–360. [Google Scholar] [CrossRef]
- Singh, C.; Tiwari, S.; Gupta, V.K.; Singh, J.S. The effect of rice husk biochar on soil nutrient status, microbial biomass and paddy productivity of nutrient poor agriculture soils. Catena 2018, 171, 485–493. [Google Scholar] [CrossRef]
- Abujabhah, I.S.; Bound, S.A.; Doyle, R.; Bowman, J.P. Effects of biochar and compost amendments on soil physico-chemical properties and the total community within a temperate agricultural soil. Appl. Soil Ecol. 2016, 98, 243–253. [Google Scholar] [CrossRef]
- Jatav, H.; Jayant, H.; Kumar, S.; Kumar, V.; Chattopadhya, A.; Dhawal, S.; Singh, Y. Role of Biochar: In agriculture sector its implication and perspective. Int. J. Chem. Stud. 2017, 5, 14–18. [Google Scholar]
- McDonald, M.R.; Bakker, C.; Motior, M.R. Evaluation of wood biochar and compost soil amendment on cabbage yield and quality. Can. J. Plant Sci. 2019, 99, 624–638. [Google Scholar] [CrossRef]
- Clough, T.; Condron, L.; Kammann, C.; Müller, C. A review of biochar and soil nitrogen dynamics. Agronomy 2013, 3, 275–293. [Google Scholar] [CrossRef]
- Uroić Štefanko, A.; Leszczynska, D. Impact of Biomass Source and Pyrolysis Parameters on Physicochemical Properties of Biochar Manufactured for Innovative Applications. Front. Energy. Res. 2020, 8, 138. [Google Scholar] [CrossRef]
- Lopes, É.M.G.; Reis, M.M.; Frazão, L.A.; da Mata Terra, L.E.; Lopes, E.F.; dos Santos, M.M.; Fernandes, L.A. Biochar increases enzyme activity and total microbial quality of soil grown with sugarcane. Environ. Technol. Innov. 2021, 21, 101270. [Google Scholar] [CrossRef]
- Li, S.; Wang, S.; Fan, M.; Wu, Y.; Shangguan, Z. Interactions between biochar and nitrogen impact soil carbon mineralization and the microbial community. Soil. Till. Res. 2020, 196, 104437. [Google Scholar] [CrossRef]
- Stevens, C.J.; Duprè, C.; Dorland, E. The impact of nitrogen deposition on acid grasslands in the Atlantic region of Europe. Environ. Pollut. 2011, 159, 2243–2250. [Google Scholar] [CrossRef] [PubMed]
- Agegnehu, G.; Nelson, P.N.; Bird, M.I. Crop yield, plant nutrient uptake and soil physicochemical properties under organic soil amendments and nitrogen fertilization on Nitisols. Soil. Till. Res. 2016, 160, 1–13. [Google Scholar] [CrossRef]
- Chen, M.; Zhang, S.; Liu, L.; Wu, L.; Ding, X. Combined organic amendments and mineral fertilizer application increase rice yield by improving soil structure, P availability and root growth in saline-alkaline soil. Soil Till. Res. 2021, 212, 105060. [Google Scholar] [CrossRef]
Disclaimer/Publisher’s Note: The statements, opinions and data contained in all publications are solely those of the individual author(s) and contributor(s) and not of MDPI and/or the editor(s). MDPI and/or the editor(s) disclaim responsibility for any injury to people or property resulting from any ideas, methods, instructions or products referred to in the content. |
© 2025 by the authors. Licensee MDPI, Basel, Switzerland. This article is an open access article distributed under the terms and conditions of the Creative Commons Attribution (CC BY) license (https://creativecommons.org/licenses/by/4.0/).







