Abstract
In this paper, the nonlinear stiffness of a polyester rope under dynamic loads at different temperatures was experimentally investigated. The effects and evolution of the average load, load period and load amplitude on dynamic stiffness were studied. The experimental results show that the dynamic stiffness at 30 °C was greater than that at 20 °C and 40 °C. This is because the dynamic stiffness reduced as the temperature and humidity increased, while in the closed thermostat, humidity decreased with an increase in temperature. In response to this phenomenon, a new set of empirical equations was proposed to consider temperature, humidity, and dynamic load based on the existing empirical formulas, by combining the experimental results. A set of experiments was conducted at 25 °C to verify the accuracy and applicability of the formula. The experimental results and the predicted results are in good agreement.
1. Introduction
The mooring system is an indispensable system of the offshore floating platform. For deep-water mooring systems, taut mooring has numerous merits, including adaptability to deep water and ultra-deep-water environments, the light weight of the mooring rope, smaller mooring radius, greater ability to maintain platform stability, easy installation and transportation, and lower costs. Polyester ropes have been widely used as taut mooring lines since 1997 because of their excellent performance and low cost in deep waters [1]. During their service life, polyester ropes are incessantly subjected to dynamic loads induced by wave and platform motions.
The tensile properties of synthetic fiber materials are considered to be intermediate between the ideal elastic fixation and the ideal viscous liquid, with both elastic and viscous properties. The nonlinear tensile relationship of synthetic fiber ropes is determined by a number of factors, for example, the braided structure, fiber material, load type, load history, temperature, etc. Li et al. [2] studied the effect of nonlinear mooring line stiffness on offshore floating platforms, mainly analyzing the effect on the motion response and tension variation of different mooring systems. The results show that the effect of nonlinear mooring line stiffness on the taut-leg mooring system is greater than that of the suspension chain line mooring system when synthetic fiber rope is used. Del Vecchio et al. [3] considered the average value, amplitude, and frequency of dynamic loads on dynamic stiffness and summarized an empirical formula. Fernandes et al. [4] performed full-scale tests on a 5-inch diameter polyester mooring rope and found that frequency had a relatively small effect on dynamic stiffness, while the influences of the average value and amplitude of the load were relatively obvious. Casey et al. [5] studied the stiffness characteristics of polyester ropes for breaking loads of 600 to 1000 tons; the effect of amplitude on dynamic stiffness was negligible at low strain amplitudes below 0.3%, while it was found that it should not be neglected at high strain amplitudes of about 0.6%. Liu et al. [6] studied the nonlinear behavior of aramid, polyester, and high modulus polyethylene (HMPE) ropes under cyclic loading. An empirical formula was also proposed, taking into account the effects of average load, strain amplitude, and the number of loading cycles. In the experiment of Bosman et al. [7], the authors demonstrated that the maximum error resulting from extrapolating the sub-cord results to full-size performance should be 2%. It is possible to infer the modulus results obtained from the sub-rope test to the full-size modulus; thus, the experiment can be conducted using sub-ropes instead of ropes, making the experiment safer and more accessible. Francois et al. [8] performed some tests on sub-ropes at full-scale and proved the reliability of experiments with sub-ropes. Li et al. [9] selected three different structures and diameters of high-modulus polyethylene fiber ropes. A comprehensive experimental study of the nonlinear dynamic stiffness of fiber ropes under long-term cyclic loading was conducted, and the authors proposed a set of empirical expressions considering the braided structure, diameter, and output load conditions. Xu et al. [10] studied the mechanical properties of synthetic fiber ropes. Static tensile tests and cyclic loading tests were conducted, respectively. An empirical formula for the dynamic stiffness of the synthetic fiber rope considering the average load, load amplitude, and number of cycles was proposed. Further, they applied the extended Kalman filter to identify the parameters of the proposed empirical expressions. The performance of the extended Kalman filter in the parameter identification of the empirical expressions for dynamic stiffness was also investigated. Sry et al. [11] conducted impact load tests on polyethylene ropes, and the spring-damper model was used to estimate and evaluate the tensile properties in the tests. The calculated results of the spring-damper model were in good agreement with the experimental data.
The previous studies focused on the influence of load type or load duration on the mechanical properties of synthetic fiber ropes, while research on the effect of temperature on the tensile properties of synthetic fiber ropes is relatively rare. Bottorff et al. [12] deduced a model for calculating transient rope temperature using volumetric heat generation, radial conduction, and surface convection, and established a tensile model with integral heat transfer components. Vlasblom et al. [13] studied the fatigue life of high-modulus polyethylene ropes and investigated the effect of different temperatures and different cycles on the permanent elongation of the rope. Further, a rope temperature model based on hysteresis, axial slip, and the strand-to-strand motion was developed and established for experimental validation. Ning et al. [14] studied the cause of heat generation in the fiber rope and the dynamic process of heat accumulation during the cyclic bending over sheave process on the pulley. They experimentally demonstrated the thermal damage of braided synthetic fiber ropes during bending. Humeau et al. [15] studied the effect of water on the tensile properties of polyamide fibers at different temperatures and humidity. The results show that, although the effect of moisture on the short-term tensile behavior is small, it has a significant impact on the long-term tensile behavior. The authors also modeled creep under different humidity conditions.
In summary, it has been proved that temperature has a noticeable effect on creep properties, while its dependence on dynamic stiffness has not been well studied. Further, existing empirical formulas do not provide a proper temperature range for application, although the environmental temperature is different due to working conditions and water depth. Therefore, it is meaningful to study the influence of temperature on the dynamic stiffness of synthetic fiber rope. To this end, an experimental study is proposed in this paper, mainly to investigate the effects of the average, amplitude, and period of dynamic load on rope stiffness at different temperatures. Three temperature conditions close to the actual situation were selected, after which the experimental data were analyzed to further refine the empirical formula.
This paper is organized as follows. Section 2 describes the test device and the polyester rope used in the experiment and describes the testing process and conditions. Section 3 performs a preliminary analysis of the experimental results and compares the tensile characteristics under different temperatures and load conditions. Section 4 calculates the dynamic stiffness for this experiment. The effect of the average value, amplitude, and period of dynamic load on dynamic stiffness at different temperatures is analyzed, and the effect of temperature on the dynamic stiffness of polyester rope is summarized. Section 5 fits all the data to obtain an empirical equation for dynamic stiffness that contains the temperature, humidity, load average, load amplitude, and the number of cycles, and this is verified by repeated experiments at different temperatures. Finally, the conclusions are presented in Section 6.
2. Experiment Description
The polyester rope selected for the experiment was designed according to the sub-rope of a mooring line in Deep Sea No.1 semi-submersible production oil storage platform and manufactured by Zhejiang Four Brothers Rope Co., Ltd. (Taizhou, China). The whole polyester rope comprised twelve-strand sub-ropes arranged in parallel. For the polyester ropes with parallel construction, the dynamic stiffness test can be conducted with their sub-rope, as concluded in Francois et al. [8]. The sub-rope used for the present test was single-braid-construction rope, which consisted of 12 strands of braided rope, as shown in Figure 1. The designed minimum breaking load was 400 kN, and the radius was 30 mm. All samples were newly produced.
Figure 1.
Actual polyester rope.
The maximum pulling load of the test bench was 500 kN, and the maximum relative error of the indication value was 0.3%. The free end of the tensioner can carry out the unidirectional generation of static load or simple harmonic motion to generate dynamic load. The rate of elongation was recorded by using a displacement transducer and extensometer at the free end every 0.45 s on average. In the middle of the tension machine was set a controlled thermostat of 1470 mm in length and a 100 mm capacity in width. The controllable temperature range of the thermostat was 10 °C~40 °C, and this was measured by a thermometer in real time. The thermostat is shown in Figure 2.
Figure 2.
Thermostat.
Water temperatures around the world generally range from −2 °C to 30 °C, and more than half of the entire ocean has an average annual water temperature of over 20 °C. Considering the actual marine environment, the environmental conditions of the rope house constantly change with the weather temperature. This paper on the effects of a combination of temperature and humidity on the dynamic stiffness of rope is very meaningful. Therefore, the temperatures selected for the following two experiments were 20 °C, 30 °C, and 40 °C.
The first test conducted in this study was the breakage test for measuring the minimum breaking load at different temperature conditions. In each temperature environment, polyester rope was used for the test, which followed the below procedures:
(1) Adjust the temperature to the specified temperature.
(2) Increase the load to 60 kN at a rate of 24 kN/min and keep the load for 5 min after reaching 60 kN.
(3) Apply cyclic load with the mean value of 60 kN, amplitude of 30 kN, and rate of 200 mm/min per minute for 30 cycles.
(4) Reduce the load to 60 KN and record the distance between the two ends of the tensioner.
(5) Quickly move the rope out of the controlled thermostat for breaking. Perform breakage and record the load size of the breakage.
The following experiment is the dynamic stiffness test under cyclic load, where the minimum breaking load was measured by the upper breaking load. The temperature condition selected was the same as in the previous experiment. In each temperature environment, polyester rope was used for the test. The dynamic stiffness tests followed the below procedures:
(a) After mounting each sample, apply a pre-tension of 2% minimum breaking strength (MBS).
(b) Increase the load to 45% MBS at a rate of 200 mm/min and hold the load for 3 h after reaching 45% MBS.
(c)–(h) Apply dynamic loads with different conditions, as shown in Figure 3.
Figure 3.
Diagram of the relationship between load and time.
(i) After unloading the sample to 2% MBS, apply a load of 20% MBS until it breaks, and record the breaking load and breaking position under each working condition.
The relationship between load and time in steps (b)–(h) is shown in Figure 3 below, where only the average load differed for steps (c), (d) and (e), and only the magnitude of the load differed for steps (c), (f) and (g), while step (g) and (h) only differed in frequency. Step (i) is the unloading and breaking process. The initial lengths recorded by the experimental extensometer for the four temperatures are shown in Table 1, where all the recorded lengths were smaller than the thermostat.
Table 1.
Initial lengths of ropes measured by extensometers at different temperatures.
3. Experimental Results
3.1. Minimum Breaking Strength
The breaking strength of the polyester rope at each temperature condition was first obtained through the breaking test. The results are shown in Table 2. By observing the breaking position in Figure 4, it was found that all the samples broke without splice failure, which proves the rationality of the test results.
Table 2.
Minimum breaking strength at three temperatures.
Figure 4.
Location of breaking conditions at three temperatures.
3.2. Tension and Strain under Different Average Loads
First, we investigated the effect of average load at different temperatures on the tensile properties. The average loads in steps (c), (d), and (e) were 45% MBS, 55% MBS, and 65% MBS, respectively. As shown in Figure 5, the strain Δl/l became larger as the average load Tm increased, and the strain Δl/l reached a maximum in step (e) at 20 °C. Figure 6 shows the relation between stress and strain for the first ten cycles and the last ten cycles of steps (c), (d), and (e). The hysteresis loops were more evident in the first ten cycles, indicating that the width of the loops in the cycles became narrower. Further, as the number of cycles increased, the relation between tension and strain gradually tended to be linear. Comparing the first and last ten tensile strain cycles at different stages, the width of the hysteresis loop was the largest at stage (e) and the smallest at stage (c). Therefore, the residual stress increases with Tm and its accumulation were more pronounced in the initial stage.
Figure 5.
Tensile and strain processes of steps (c), (d), and (e) at three temperatures: (A) 20 °C, (B) 30 °C, (C) 40 °C.
Figure 6.
Tension and strain of the first ten cycles and the last ten cycles of steps (c), (d), and (e) at three temperatures: (A) 20 °C, (B) 30 °C, (C) 40 °C.
Comparing the results at three temperatures, the strain Δl/l for the last ten cycles of the polyester rope was the largest throughout the process at 20 °C. The strain values increased with average load Tm. It has been shown that the change in temperature causes the synthetic fibers to change at the molecular level [15], resulting in smaller strains at 30 °C and 40 °C than at 20 °C. The variation of strain Δl/l between different average loads with temperature was found to be minor. Further, the hysteresis return line was the same for the same stage at different temperatures. Therefore, the difference in the accumulation of residual strain for polyester ropes under different average loads and temperatures was less obvious.
3.3. Tension and Strain at Different Load Amplitudes
Next, the tensile properties of polyester were studied under dynamic loading with different load amplitudes. The load amplitudes in steps (e), (f), and (g) were 5% MBS, 10% MBS, and 15% MBS, respectively, with the same average load and load period. As shown in Figure 7, as the load amplitude Ta increased, the range of strain Δl/l became larger. The relationship between stress and strain for the first ten cycles and the last ten cycles of steps (e), (f), and (g) is shown in Figure 8. The residual stress did not change significantly with amplitude. Comparing the strain Δl/l at different temperatures, it could be found that the maximum strain Δl/l throughout the process was the largest at 20 °C.
Figure 7.
Tensile and strain processes of steps (e), (f), and (g) at three temperatures: (A) 20 °C, (B) 30 °C, (C) 40 °C.

Figure 8.
Tension and strain of the first ten cycles and the last ten cycles of steps (e), (f), and (g) at three temperatures: (A) 20 °C, (B) 30 °C, (C) 40 °C.
3.4. Tension and Strain at Different Frequencies
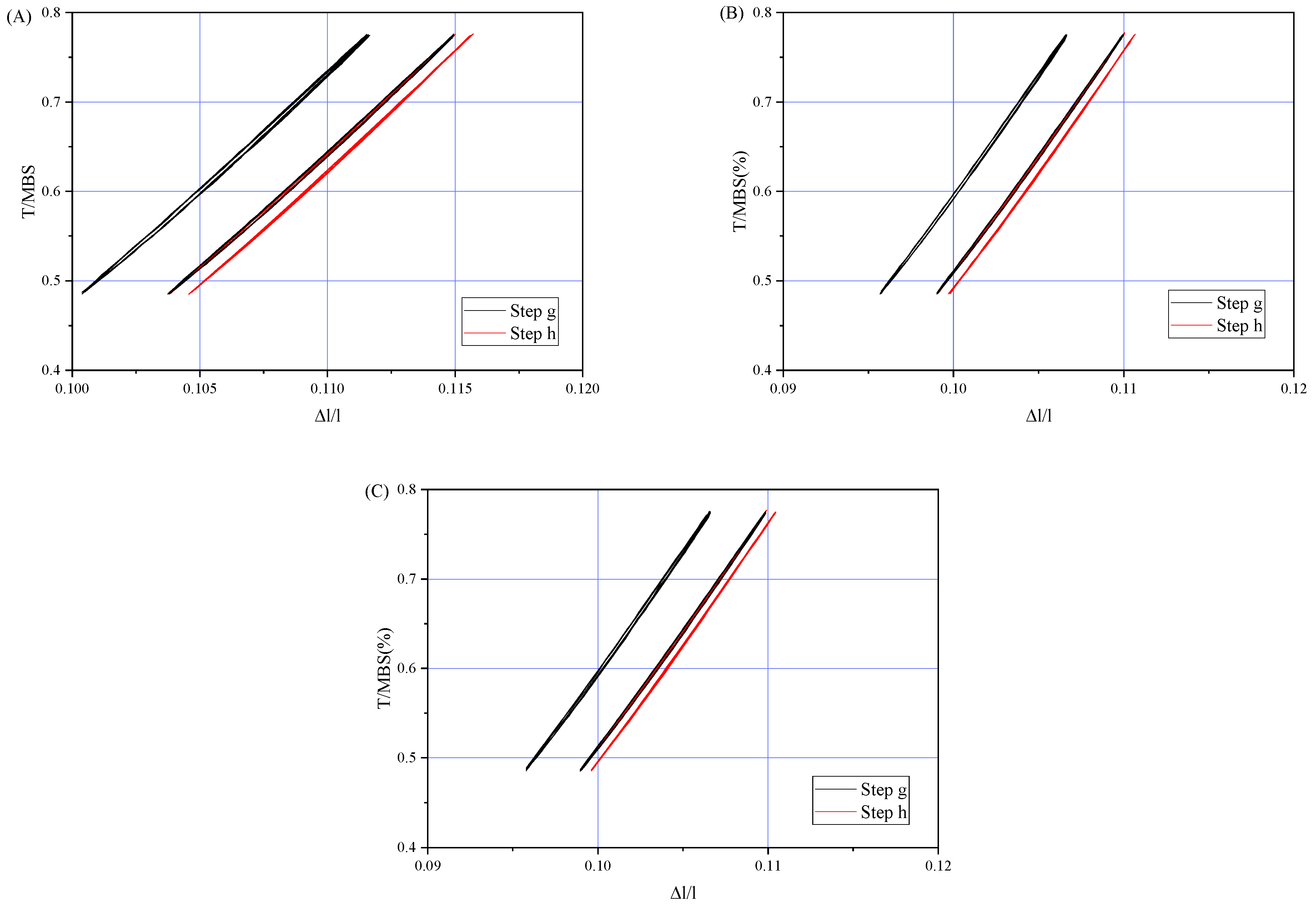
Finally, the effect of different temperatures and frequencies on the tensile properties of polyester ropes was studied. The varying rates of the free end for steps (g) and (h) were 400 kN/min and 600 kN/min, respectively, with the same average load and load amplitude. As shown in Figure 9, the differences of strain induced by frequency were less obvious, so it can be inferred that the effect of frequency on the strain Δl/l of polyester rope is very small and can be ignored. Figure 10 shows the relation between stress and strain for the first ten cycles and the last ten cycles of steps (g) and (h). The results show that for the same number of cycles, the strain generated by the whole process of step (g) was larger than that generated by step (h), indicating that the loading frequency affected the fatigue of the rope, and the greater the loading frequency, the smaller the fatigue lifetime.

Figure 9.
Tensile and strain processes at three temperatures in steps (g) and (h): (A) 20 °C, (B) 30 °C, (C) 40 °C.
Figure 10.
Tension and strain of the first ten cycles and the last ten cycles of steps (g) and (h) at three temperatures: (A) 20 °C, (B) 30 °C, (C) 40 °C.
Based on the previous Section 3.2 and Section 3.3, the results of this paper further show that the change in temperature mainly changed the initial modulus of the polyester rope, which led to slightly different strain values at different temperatures for the same dynamic load.
4. Dynamic Stiffness Calculation
According to the dimensionless dynamic stiffness calculation formula mentioned in Li’s [9] paper, the dynamic stiffness Kr for each loading cycle N was calculated as:
where Tp and Tt are the maximum and minimum values of tension in each cycle; Δlp and Δlt represent the maximum and minimum values of elongation, respectively.
4.1. Cases of Varying Average Load
The effect of the average load Tm on the dynamic stiffness is shown in Figure 11. The dynamic stiffness Kr increased with the cycle at the beginning of the dynamic loading and then stabilized when it reached a certain number of cycles. Further, as the average load increased, the number of cycles needed to reach stability increased, and the relationship measured at each temperature was consistent with the trend measured by previous scholars [6].
Figure 11.
Dynamic stiffness in steps (c), (d), and (e) at three temperatures: (A) 20 °C, (B) 30 °C, (C) 40 °C.
The results show that the relationship between dynamic stiffness and temperature was not linear. As shown in Figure 12, the dynamic stiffness of stage c at different temperatures was the largest, while the dynamic stiffness at 30 °C was greater than 20 °C and 40 °C. The results of Le et al. [16] show that the initial modulus decreases as the temperature increases, and this change is linearly related. As the initial modulus is an inherent characteristic of the rope and affects the stiffness, the lower the initial modulus, the lower the stiffness. At the same time, the condensation phenomenon was found in the thermostat during the experiment at 20 °C, and there were water droplets in its inner wall. Assuming that the heating process in the thermostat is ideal, the gap between the inlet and outlet and the heat transfer of the thermostat can be ignored, according to the ideal gas equation of the state:
Figure 12.
Dynamic stiffness of step (c) at different temperatures.
P is the gas pressure; V is the gas volume; n is the amount of molecular matter of the gas; T is the temperature; R is the molar gas constant. In the confined space, the volume of gas and the amount of molecular matter of gas were constant. As the temperature increased, the pressure inside the vessel increased. At the same time, the saturation water pressure corresponding to the temperature also changed. According to the formula for relative humidity:
P1 is the actual air water-gas pressure; P2 is the saturated water-gas pressure at the same temperature. Humeau’s [15] results show that the higher the humidity, the smaller the initial modulus of synthetic fiber rope. The relationship between humidity and temperature is also a linear correlation. This shows that humidity is also an important factor affecting the dynamic stiffness of the rope. The initial humidity of the experiment was 65% RH, and the temperature was 26 °C. The relative humidity of different temperatures in the thermostat was calculated as shown in Table 3. In step (c), the dynamic stiffness of 20 °C was less than the dynamic stiffness of 30 °C because the influence of humidity was greater than the influence of temperature, and the dynamic stiffness of 40 °C was less than the dynamic stiffness of 30 °C because the influence of temperature was greater than the influence of humidity.
Table 3.
The humidity corresponding to different temperatures in the thermostat.
As shown in Figure 13, by comparing the difference in dynamic stiffness ΔKr between two adjacent steps, it was found that ΔKr was the same for different temperatures. Therefore, the temperature had little effect on the dynamic stiffness evolution process.
Figure 13.
Comparison of dynamic stiffness differences at different temperatures: (1) the difference between the (d) stage and the (c) stage; (2) the difference between the (e) stage and the (d) stage.
In order to verify the reproducibility of the results, a test under the same conditions was performed considering that the pattern was most evident at 40 °C. The results of the two tests were compared, as shown in Figure 14. There was a good agreement between the two tests and according to the standard deviation equation:
Figure 14.
Dynamic stiffness for 40 °C in step (e) for the first test and repeat test.
Kr1i is the dynamic stiffness value of the first test cycle i, and Kr2i is the dynamic stiffness value of the repeat test cycle i. The standard deviation of the two tests was 0.623. Therefore, the repeatability of the test could be well demonstrated.
4.2. Cases of Varying Load Amplitude
Figure 15 illustrates the dynamic stiffness Kr for different load amplitudes Ta at different temperatures. In steps (e), (f), and (g), the dynamic stiffness decreased with the decrease in load amplitude Ta and increased with the number of cycles, finally converging to a stable value. At the beginning of both the (f) and (g) steps, there was a process of reduction and then increase, mainly because the change in load amplitude at this stage was greater than the effect of the number of cycles. As shown in Figure 16, the difference in dynamic stiffness ΔKr for the same stage at different temperatures is represented. The results show that the stiffness of the same stage at different temperatures remained the same. Therefore, it is known that the temperature had a small effect on the influence factor between load amplitude and dynamic stiffness.
Figure 15.
Dynamic stiffness in steps (e), (f), and (g) at three temperatures: (A) 20 °C, (B) 30 °C, (C) 40 °C.
Figure 16.
Comparison of dynamic stiffness differences at different temperatures: (1) the difference between the (e) stage and the (f) stage; (2) the difference between the (f) stage and the (g) stage.
4.3. Cases of Varying Load Frequency
Figure 17 shows the dynamic stiffness of different load periods’ T. The results show that the effect of the period on the dynamic stiffness of the rope was very small. Still, with the change in the cycle, the dynamic stiffness fluctuated at the beginning of the change, which was due to sudden changes in the load conditions. As the dynamic load stabilized, the magnitude of the dynamic stiffness was the same as before. Moreover, the trend of dynamic stiffness remained the same between different temperatures. Combined with the previous Section 4.1 and Section 4.2, the results of this paper further show that the effect of temperature on the trend of dynamic stiffness was very small in the temperature range of 20 °C–40 °C. Further, with the temperature change in the closed thermostat, the humidity also changed, and the change of humidity also affected the dynamic stiffness.
Figure 17.
Dynamic stiffness at three temperatures for steps (g) and (h): (A) 20 °C, (B) 30 °C, (C) 40 °C.
5. Regression Analysis
The experiments showed that the average value and amplitude of dynamic load mainly affected the dynamic stiffness of the polyester ropes. At the same time, due to the time-varying characteristics of synthetic fiber rope, as the number of cycles of dynamic load increased, the stiffness of the rope also increased, and finally, tended to a fixed value. Considering the influence of average value, amplitude, and number of cycles for dynamic load, an empirical expression for the dimensionless dynamic stiffness Kr was established, referring to the dynamic stiffness expressions established by Liu et al. [6].
where Lm is the ratio of tension to minimum breaking load in the percentage of the minimum breaking strength MBS; La is the ratio of load amplitude to the minimum breaking load in the percentage of the minimum breaking strength MBS, and N is the number of cycles. α is the coefficient of the effect of the rope material on the dynamic stiffness; β is the coefficient of the effect of the average tension Lm on the dynamic stiffness; γ is the coefficient of the effect of the strain amplitude La on the dynamic stiffness. The last term, δe−0.005N, is related to the trend of the same dynamic load; with the increase in the number of cycles N, δe−0.005N gradually tends to zero. First, the Levenberg–Marquardt optimization algorithm was used to fit the data to obtain the coefficients of the three temperatures in all cases. α, β, and γ are shown in Table 4.
Table 4.
Each temperature’s empirical formula coefficient.
Since the dynamic stiffness variation rates at different temperatures and different stages were different, the x-factors for different cases were obtained separately and weighted by coefficients 0.1, 0.2, 0.3, and 0.2. as shown in Table 5. The relative error Err is written as follows:
Table 5.
The coefficient δ of the three temperatures.
Kre denotes the predicting value obtained by the proposed empirical expression in Equation (5), and Kr0 represents the experimental results.
First, as shown in Figure 18, the experimental result and predicted values and the relative error Err were used to verify the validity and feasibility of the formula. The results confirm that the trend of this formula is consistent with the trend of the experimental results in most cases. The current empirical model is consistent with the real experimental results. The error for the first ten cycles was around ±5% due to variations in the load conditions. The relative error was within ±2.5% as the number of cycles increased.
Figure 18.
Comparison of experimental and formula results for three temperatures and relative error: (A) 20 °C, (B) 30 °C, (C) 40 °C
Further, combined with the previous laws, temperature and humidity had an effect on the temperature, mainly on the initial modulus of the rope, which affected the dynamic stiffness. As the temperature and humidity increased, the initial modulus decreased, leading to a decrease in the dynamic stiffness. Moreover, because humidity and temperature were linearly related to the initial modulus, after introducing the variables of temperature and humidity, a comprehensive model was proposed basis on Equation (5).
where α0, β0, γ0, are related to rope structure and reference temperature; δ is taken as the average of three temperature-weighted averages; and c1, c2, c3 are polynomials containing temperature T and humidity which are given in Equations (6)–(8):
where T0 and are the corresponding reference temperature and reference humidity, T and represent the actual temperature and actual humidity, the unit of temperature is K and the unit of humidity is %RH. a1, a2, and a3 are the temperature influence coefficients, and b1, b2, and b3 are the influence coefficients of humidity. This paper set a reference temperature of 303 K and humidity of 52.19% RH. The correlation coefficients were calculated by combining them with Table 4, as shown in Table 6.
Table 6.
Value of the coefficient.
By comparing the different coefficients of the integrated model, it could be found that humidity had a greater effect on the load amplitude influence factor than temperature, while for the average load influence factor, there was little difference between the two. This is because the greater the amplitude, the greater the gap between the yarns of the sub-ropes in the stretching process of polyester rope, and the greater the effect on it of the moisture in the air.
Experiments with different average loads under 25 °C were carried out under the same conditions when the humidity in the thermostat was 69.20% RH, and the empirical formula for the dynamic stiffness of the polyester rope, in this case, was calculated according to the integrated model obtained as follows:
The results for the comparison of the empirical formulas with the experimental results are shown in Figure 19. The relative error of the predicted values was greater than ±5% in the first ten cycles and stayed within ±2.5% as the cycle progressed, which was consistent with the previous error range. This proves the accuracy and applicability of the integrated model.
Figure 19.
Comparison of experimental and formula results and relative error at 25 °C.
6. Conclusions
In this paper, 20 °C, 30 °C, and 40 °C were chosen as the three temperature points to study the effect of temperature on dynamic stiffness under different loading conditions. Based on the experimental results, a comprehensive model was proposed using a regression analysis to describe the impact of temperature, humidity, and dynamic cyclic load on dynamic stiffness. An identical experiment was conducted at 25 °C to validate the integrated model, and the predicted values were in good agreement with the experimental results, which proved the accuracy and applicability of the integrated model.
At the same time, the experiment showed that the average load and load amplitude for polyester rope dynamic stiffness had the biggest influence, and with the temperature and humidity changes, this influence factor also changed. Further, the frequency of influence of the polyester rope dynamic stiffness was very small and could be neglected, and with the temperature change, this influence factor change could also be neglected. In addition, the maximum dynamic stiffness at 30 °C was greater than the maximum dynamic stiffness at 20 °C and 40 °C. This is because the stiffness decreased with an increase in temperature and with increasing humidity. However, the humidity decreased with the increasing temperature in a closed temperature-controlled chamber, which led to a compromise at 30 °C. The experimental results in this paper are in good agreement with the conclusion. By comparing the different coefficients of the integrated model, it could be found that humidity had a greater effect on the influence factor of load amplitude than temperature, and there was little difference between the two for the influence factor of average load.
Author Contributions
Conceptualization, W.L., X.L., H.L. and Y.G.; Methodology, W.L., X.L., G.L. and S.L.; Software, W.L.; Validation, W.L. and G.L.; Formal Analysis, W.L., X.L., G.L. and S.L.; Investigation, W.L. and H.L.; Data Curation, W.L., X.L. and G.L.; Writing—Original Draft, W.L. and X.L.; Writing—Review and Editing, W.L., X.L., G.L., S.L, H.L. and Y.G.; Visualization, W.L., X.L. and G.L.; Resources, W.L. and Y.G.; Project administration, W.L., H.L. and Y.G.; Funding acquisition, W.L., H.L. and Y.G. All authors have read and agreed to the published version of the manuscript.
Funding
This research was funded by the National Natural Science Foundation of China (52271258); the Liaoning Provincial Natural Science Foundation of China (2020-HYLH-35, 2022-MS-154); Liaoning Revitalization Talents Program (XLYC2007092); high-tech ship scientific research project (Ministry of Industry and Information Technology packing letter [2017] no. 614 and [2018] no. 473); 111 Project (B18009); the Fundamental Research Funds for the Central Universities (3132022350, 3132022348); the Fundamental Research Funds of the National Center for International Research of Subsea Engineering and Equipment (3132022354); and the Cultivation Program for the Excellent Doctoral Dissertation of Dalian Maritime University (2022YBPY002).
Institutional Review Board Statement
Not applicable.
Informed Consent Statement
Not applicable.
Data Availability Statement
Not applicable.
Conflicts of Interest
The authors declare no conflict of interest.
References
- Kota, R.S.; Greiner, W.R.; Dsouza, R. (Eds.) Comparative Assessment of Steel and Polyester Moorings in Ultradeep Water for Spar-and Semi-Based Production Platforms. In Proceedings of the Offshore Technology Conference, Houston, TX, USA, 3–6 May 1999; OnePetro: Richardson, TX, USA, 1999. [Google Scholar]
- Li, C.B.; Choung, J. Effects of strain- and strain rate- dependent nonlinear mooring line stiffness on floating platform motion. Ocean Eng. 2021, 241, 110011. [Google Scholar] [CrossRef]
- Del Vecchio, C.J.M. Light weight materials for deep water moorings. Ph.D. Thesis, University of Reading, Reading, UK, 1992. [Google Scholar]
- Fernandes, A.; Del Vecchio, C.; Castro, G. Mechanical properties of polyester mooring cables. Int. J. Offshore Polar Eng. 1999, 9, 208–213. [Google Scholar]
- Casey, N.; Banfield, S. (Eds.) Full-scale fiber deepwater mooring ropes: Advancing the knowledge of spliced systems. In Offshore Technology Conference; OnePetro: Richardson, TX, USA, 2002. [Google Scholar]
- Liu, H.; Huang, W.; Lian, Y.; Li, L. An experimental investigation on nonlinear behaviors of synthetic fiber ropes for deepwater moorings under cyclic loading. Appl. Ocean Res. 2014, 45, 22–32. [Google Scholar] [CrossRef]
- Bosman, R.; Hooker, J. (Eds.) The elastic modulus characteristics of polyester mooring ropes. In Proceedings of the Offshore Technology Conference, Houston, TX, USA, 3–6 May 1999; OnePetro: Richardson, TX, USA, 1999. [Google Scholar]
- Francois, M.; Davies, P. (Eds.) Characterization of polyester mooring lines. In Proceedings of the International Conference on Offshore Mechanics and Arctic Engineering, Estoril, Portugal, 15–20 June 2008. [Google Scholar]
- Li, G.; Li, W.; Lin, S.; Li, H.; Ge, Y.; Sun, Y. Dynamic stiffness of braided HMPE ropes under long-term cyclic loads: A full-scale experimental investigation. Ocean Eng. 2021, 230, 109076. [Google Scholar] [CrossRef]
- Xu, S.; Wang, S.; Liu, H.; Zhang, Y.; Soares, C.G. Experimental evaluation of the dynamic stiffness of synthetic fbre mooring ropes. Appl. Ocean. Res. 2021, 112, 102709. [Google Scholar] [CrossRef]
- Sry, V.; Mizutani, Y.; Endo, G.; Todoroki, A. Stabilization and modelling of tensile properties of braided synthetic fibre rope for dynamic loading. J. Text. Inst. 2021, 113, 1926–1934. [Google Scholar] [CrossRef]
- Bottorff, M.; Moszgai, G.; Berseth, P.; Downs, J. (Eds.) Comprehensive model and testing method for fatigue life of fiber ropes in cyclic tension. In Proceedings of the OCEANS 2016 MTS/IEEE Monterey, Monterey, CA, USA, 19–23 September 2016; IEEE: Piscataway, NJ, USA, 2016. [Google Scholar]
- Vlasblom, M.; Bosman, R.; Gualdi, A.; Plaia, J. (Eds.) Fundamental Understanding of HMPE Mooring Rope Endurance; OIPEEC: Hague, The Netherlands, 2019. [Google Scholar]
- Ning, F.; Li, X.; O Hear, N.; Zhou, R.; Shi, C.; Ning, X. Thermal failure mechanism of fiber ropes when bent over sheaves. Text. Res. J. 2018, 89, 1215–1223. [Google Scholar] [CrossRef]
- Humeau, C.; Davies, P.; LeGac, P.-Y.; Jacquemin, F. Influence of water on the short and long term mechanical behaviour of polyamide 6 (nylon) fibres and yarns. Multiscale Multidiscip. Model. Exp. Des. 2018, 1, 317–327. [Google Scholar] [CrossRef]
- Le Clerc, C.; Bunsell, A.R.; Piant, A. Influence of temperature on the mechanical behaviour of polyester fibres. J. Mater. Sci. 2006, 41, 7509–7523. [Google Scholar] [CrossRef]
Disclaimer/Publisher’s Note: The statements, opinions and data contained in all publications are solely those of the individual author(s) and contributor(s) and not of MDPI and/or the editor(s). MDPI and/or the editor(s) disclaim responsibility for any injury to people or property resulting from any ideas, methods, instructions or products referred to in the content. |
© 2023 by the authors. Licensee MDPI, Basel, Switzerland. This article is an open access article distributed under the terms and conditions of the Creative Commons Attribution (CC BY) license (https://creativecommons.org/licenses/by/4.0/).




















