Abstract
Underwater wireless sensor networks (UWSNs) are significantly different from terrestrial sensor networks in the following aspects: low bandwidth, high latency, variable topology, limited battery, low processing power and so on. These new features pose many challenges to the design of self-organizing routing protocol for UWSNs. This paper focuses on the application of Ad Hoc On-demand Distance Vector (AODV) routing protocol in UWSNs. In order to solve the problems of packet collision and excessive energy consumption associated with the flooding-based routing discovery method and the periodic hello packet routing maintenance mechanism of AODV, a routing discovery and maintenance method based on location and energy information is proposed, and it is referred to as the route-focusing AODV (RFAODV) routing protocol. In the RFAODV protocol, the routing discovery process is focused on a few nodes through forwarding area control and dynamic delay adjustment. In addition, feedback from a media access control layer and residual energy control are used for routing maintenance. We implement the RFAODV and evaluate its performance according to the sea trial data as parameters in the NS-2. The simulation results show that compared with the other protocols, RFAODV improves the routing discovery success ratio by at least 18%, increases the packet transmission ratio by at least 4%, reduces the protocol overhead by at least 15% and reduces the energy consumption by at least 5% under various simulation scenarios. RFAODV is suitable for large-scale, high-load and dynamic networks underwater wireless sensor networks.
1. Introduction
As the most effective underwater communication method, underwater acoustic communication technology and underwater acoustic modems have been studied extensively and deeply [1]. With the development of ocean exploitation, point-to-point underwater acoustic communication cannot meet certain underwater application scenarios. In order to realize, explore and analyze the ocean, underwater wireless sensor network (UWSNs) technology is essential. UWSNs has emerged as a powerful technique for aquatic applications, providing autonomous guarantees for various activities like environmental monitoring, intelligence collection, assisted navigation and so on [2,3,4]. The underwater wireless sensors networks have developed from a single set of underwater static nodes to a 3-D hybrid model composed of static sensor nodes, human occupied vehicles (HOV), unmanned underwater vehicles (UUV) or surface nodes, as shown in Figure 1. Mobile nodes can move freely in the observation area and carry out observation tasks in key areas or undertake network data collection and other works. The failure of static nodes due to power, fault and the large-scale movement of mobile nodes will lead to a change in topology [5,6]. Therefore, the network needs to have the ability of self-organization.
Figure 1.
Architecture of underwater wireless sensor networks.
Underwater wireless sensor networks provide a complete architecture that ensures reliable and efficient acoustic communication among underwater modems, thus making these applications viable [7]. Ref. [8] identifies a number of sources of acoustic signal loss: spreading and absorption loss (a function of distance and frequency); multipath reflections from the surface, obstacles, the bottom and temperature variations in the water; noise due to artificial and natural sources; and scattering from reflections of a potentially rough ocean surface. Many of these forms of loss are unique to acoustic communication at longer distances. Chen Cheng et al. studied the sensitivity of sound speed fluctuation on the arrival delay of middle range in deep water. When receiver range increases from 20 km to 30 km, sensitivities of ray arrivals gradually increase [9]. Inspired by the benefits of short-range RF communication in sensor networks, UWSNs are generally a multi-hop transmission structure. Multi-hop networks can cover relatively larger areas since the range of the network is determined by the number of nodes rather than the modem range. UWSNs are significantly different from terrestrial sensor networks in many aspects: low bandwidth, high latency, limited battery, variable topology, and 3-D space [10,11]. Special attention should be given to these facts when designing routing protocol. So, most of the traditional routing protocols for terrestrial wireless sensor networks are not suitable for UWSNs directly. In underwater wireless sensor networks, energy constraint is a crucial factor since sensor nodes usually run on battery, the nodes working in the underwater environment are generally equipped with battery power, and it is impossible or difficult to recharge them in most application scenarios. Energy issues directly affect the life of the entire sensor network [12].
The self-organizing routing protocol monitors the changes of the network topology, and discovers, selects, and maintains the route dynamically. This issue significantly impacts the overall network performance and stands as a central challenge. In this paper, we focus on the application of Ad Hoc On-demand Distance Vector (AODV) routing protocol [13], which are typical self-organizing routing protocols, in UWSNs and propose a route-focusing AODV(RFAODV) routing protocol for UWSNs. RFAODV takes the energy and location in route discovery and maintenance into account. The main contributions of the RFAODV are as follows.
- During route discovery, RFAODV proposes a novel forwarding area to determine whether nodes participate in forwarding or not. It introduces the concept of the virtual node and defines the intersection area between the transmission range of the virtual node and the transmission range of the latest forwarding node as the forwarding area. RFAODV defines a forwarding delay for each node in the area according to energy and location adaptively. In the forwarding delay, the node will abort the route discovery if it listens to the neighboring node participating in the routing request packet forwarding. Only a few nodes in each hop have the opportunity to participate in forwarding. It alleviates the energy consumption and conflict caused by flooding in the route discovery;
- RFAODV cancels the mechanism of sending hello packets regularly for route maintenance. RFAODV designs a new route maintenance strategy to determine whether the route is disconnected by the ACK of the MAC layer protocol. And in order to reduce the energy consumption of one or several nodes in an ideal position, when the node energy is reduced to a certain limit, the node breaks all routes. The network determines whether to re-establish a new route on demand.
2. Related Work
The main function of the route protocol is to decide on the best route for a packet. It forwards data according to the selected route and provides network connectivity. It is the basis for nodes to communicate with each other. Many different routing protocols have been presented and used for the UASNs due to the unique characteristics of underwater acoustic channels. In this section, we mainly review the related work of routing protocols for UWSNs.
According to whether the routing table is maintained, self-organizing routing protocols can be divided into two categories: (1) opportunistic routing protocol; and (2) deterministic routing protocol. Opportunistic routing protocol is a one-packet-one-route protocol, which takes advantage of the broadcast characteristics of wireless underwater communication and selects a group of suitable neighbors as potential forwarders. Deterministic routing protocols establish one or more reliable routing paths before data are sent and transmit data hop by hop along the paths until the data are transmitted to the destination [14].
Vector-based forwarding (VBF) [15] protocol is an early typical opportunistic routing protocol. By using the location information of nodes to limit the scale of flooding, it can save energy consumption and handle the mobility of nodes. In recent years, there are a lot of research results on opportunistic routing. Adaptive-location-based routing protocol (ALRP) adopts strategies of forwarding area, delay and probability to increase the forwarding efficiency [16]. Distance vector-based opportunistic routing (DVOR) uses the query mechanism to establish the distance vector toward the destination nodes for each node, and then forwards the packets to the destination along the opportunistic shortest path [17]. It can be seen that they do not uphold routing tables, resulting in every packet necessitating a routing discovery process. The selection of intermediate forwarding nodes is based on either latency or probability, which will seriously affect the performance of the protocol. Therefore, opportunistic routing is easy to cause packet transmission delay, packet loss and other problems. This kind of routing protocol is more suitable for the network scenario of all mobile nodes.
Ad Hoc On-demand Distance Vector, the most popular one among deterministic routing protocols, uses the on-demand route discovery as in a temporally-ordered routing algorithm (TORA), has the maintenance characteristic of dynamic source routing (DSR), and employs them in a hop-by-hop routing scheme instead of source routing. The mechanism of dynamic discovery and maintenance of routing is more suitable for underwater wireless sensor networks with static nodes and mobile nodes. AODV uses a flooding route discovery mechanism and periodically sends hello packets to maintain routes. When directly applied to underwater acoustic networks, it will lead to excessive redundant retransmissions, packet collisions and unnecessary energy consumption. This phenomenon is called broadcast storm. Figure 2 shows the route discovery process of the AODV protocol. AODV does not use auxiliary information, so the flooding mechanism is used during route discovery. On account of AODV using the flooding mechanism in the route discovery process, node E also participates in this process. However, there is no chance for node E to establish a route to the destination. The route discovery and maintenance mechanism of AODV needs to be improved.
Figure 2.
Route Discovery of AODV.
With the development of underwater acoustic positioning technology (LBL/SBL/USBL) and integrated navigation technology, the location information of underwater nodes can be obtained realistically, which makes it possible to introduce location information into underwater wireless sensor networks [18,19]. And for many applications of UWSNs, it is meaningful to associate the data observed with the location information [20]. The reference [21] proposed a directed search AODV (DSAODV) protocol for underwater acoustic communication. DSAODV uses geographical location to limit the area of RREQ’s propagation. This article also introduces the method of obtaining the location of nodes. However, this protocol only limits the forwarding area, and the forwarding node will still adopt the flooding protocol. In addition, DSAODV takes more account of the node density of the source node. The reference [22] suggests an improved flooding algorithm applied to AODV routing protocol (NNRR) that makes use of the node’s position to rebroadcast the RREQ packet. The area of route discovery is limited by having four nominated neighbors to rebroadcast RREQ using the concept of expected zone and requested zone. And the source node entirely specifies a node in the forwarding area to participate in forwarding. However, every node needs to share its information with its direct neighbors through the hello message mechanism. This will occupy more communication bandwidth and cause packet collisions. It is difficult to implement in underwater acoustic environment. Youngchol Choi proposed the GAODV that discovers a route in a unicast manner using the locations of the RREQ sender and the destination. The GAODV can significantly improve the packet delivery ratio, the end-to-end latency, and the routing overhead of the AODV in a high-density MANET [23]. But GAODV only applies to uniform network.
In addition, many routing protocols based on energy have been studied [24]. Parma Nand and S.C. Shanna in [25] proposed a method (PEAB) that trims down the flooding problem by considering nodes current remaining energy and threshold random delay to generate rebroadcast probability dynamically for efficient route discovery. M. H. Saleh et al. proposed AODV-SUARP protocol, which determines the energy level of nodes through energy stability parameters and effectively select the most reliable nodes to participate in packet transmission [26].
By comparing the related protocols, as shown in Table 1, we presents a routing discovery and maintenance method based on location and energy information, named the focused AODV (RFAODV) routing protocol, to address the broadcast storm problem in direct application of AODV in UWSNs, to achieve higher packet delivery ratio and lower energy consumption.
Table 1.
The comparison of the related protocol.
3. Routing Protocol: RFAODV
This section begins with the model of the network. Then, the routing discovery and routing maintenance process of RFAODV are described in detail in Section 3.2.1 and Section 3.2.2.
3.1. Network Model
In reality, many underwater wireless sensor networks are composed of mostly static nodes and a certain number of mobile nodes. Underwater sensor nodes with acoustic modems are distributed in the interested 3-D area, with each likely to be a data source. They can collect data and help relay data to the destination. The spatial position of static nodes installed on submersible beacons or hoisted from buoys varies within a small range. Mobile nodes can move freely in the observation area. Underwater acoustic wireless sensor networks connect distributed nodes into networks by acoustic communication. We estimate the sound propagation losses using Thorp’s empirical formula. Over a Euclidean distance of d and for a signal frequency of f, the path loss of the acoustic channel is as follows:
Here, k is an expansion factor representing the geometry of propagation; k = 1 corresponds to cylindrical expansion and k = 2 corresponds to spherical expansion. (f) is the absorption coefficient of seawater. Thorp’s formula gives the empirical formula of a(f) as follows:
Furthermore, we assume that each node knows its location information, and obtain the location of source node, destination node, and last forwarding node through a redefined RREQ packet.
3.2. Overview of RFAODV
In this protocol, we redefined the policy of selecting the forwarding area and forwarding node. Instead of only using the position information as a forwarding node reference, RFAODV also takes the energy, the link communication status and communication time into account.
RFAODV protocol contains two basic stages: route discovery and route maintenance.
3.2.1. Route Discovery
- Forwarding Area of RFAODV
Figure 3 shows the basic idea of the RFAODV forwarding area, which is called route-focusing. The basic principle of the forwarding region selection algorithm proposed in this paper is to keep the forwarding path around the vector between the source node and the destination node. The nodes marked in black in the figure will not participate in the routing discovery. In addition, within the node transmission range, the longer distance from the previous forwarding node, the more additional coverage can be acquired. It results in more opportunities to reach more nodes, receives fewer hops and obtains less delay. Based on the above principles, it can be seen from Figure 3 that the optimal forwarding node should be node V. Node V is not only located on the boundary of the transmission distance of the forwarding node of the last hop, but also on the vector of node S and node D. But node V may not actually exist, so we can call it a virtual node. Therefore, setting only one location to participate in forwarding is likely to result in route discovery failure. So, we define the intersection area between the transmission range of node V and the transmission range of the latest forwarding node as the forwarding area. All the nodes in the forwarding area are qualified to forward packets.
Figure 3.
Forwarding area of RFAODV (last forwarding node is F, S-F-V-C-D is the ideal route).
Before we give the forwarding area, we need to calculate the position of the virtual node V. We can utilize the location information of source node S, destination node D and last forwarding node F carried in the RREQ to calculate the position of node V. The positions of nodes S, D and F are: , , . We assume that the position of node V is , which can be obtained by the following Equation (3), where is the vector between the source node and the destination node, is the vector between the source node and the forwarding node, and is the projection point of node F on the routing vector , as shown in Figure 4.
Figure 4.
The diagram of virtual node V.
Forwarding area is defined as:
- 2.
- Forwarding delay of RFAODV
In the RFAODV protocol, all the nodes in the forwarding area are qualified to forward RREQ. When a RREQ is received by a candidate node, the node will first judge whether the number of the RREQ attempts (Nq) is less than two. If not, it indicates that the first path discovery failed. There is a high possibility of routing holes. The node will broadcast RREQ immediately. If yes, the node will judge whether it is in the forwarding area or not. Each node in the forwarding area will start a timer after receiving the RREQ. To alleviate interference and improve the delivery ratio, each node is assigned a different forwarding delay according to its own location, residual energy and communication time. During the timer, if the RREQ forwarded by the neighbor node is monitored, the process of route discovery is abandoned. This ensures that only a few ideal nodes participate in the path discovery of each hop. The delay time can be calculated by Equation (5).
where v is the acoustic velocity in the water, d is the distance between the candidate forwarding node and latest forwarding node, Eremain is the residual energy of the candidate forwarding node, E is predefined maximum energy of node, and Tc is communication time. In order to avoid path discovery failures caused by routing holes, the global broadcast is adopted when the first discovery failure. This improves protocol robustness.
- 3.
- The Processing of Node
When the source node S sends data to the destination node D, node S does not have an available route to the destination node D, and it will start the process of route discovery. The main steps of the Algorithm 1 are as follows.
- (1)
- Source node generates and sends a route request packet (RREQ). The RREQ contains the IP address of the source node, the sequence number of the source node, the location coordinates of the source node, the IP address of the destination node, the sequence number of the destination node, the location coordinates of the destination address, the identification number of the RREQ, Nq, the location coordinates of last forwarding node, as shown in Table 2. RREQ packet can be uniquely determined by the address of the source node and the identification number of the RREQ packet, which is used by the node to determine whether the packet has been received repeatedly;
- (2)
- The number of RREQ attempts of source node will increase by 1. And node S set a timer to wait for route request packet (RREP);
- (3)
- If the RREP is not received after timeout, the route discovery process will be performed again. If the RREP is not received after RREQ_RETRIES attempts, the destination node is considered unreachable.
| Algorithm 1 Route discovery of the source node | |
| 1. | if the source node S has data sent to the destination node D, then |
| 2. | if node S has an available route to node D, then |
| 3. | send data using an existing valid route; |
| 4. | else |
| 5. | generate and send RREQ; |
| 6. | set a timer to wait for RREP; |
| 7. | Nq + 1; |
| 8. | if receive RREP before timer expired, then |
| 9. | turn off this timer; |
| 10. | establish route; |
| 11. | send data using this route; |
| 12. | else if Nq > RREQ_RETRIES, then |
| 13. | the destination node is considered unreachable; |
| 14. | else |
| 15. | the route discovery process will be performed again; |
| 16. | end if |
| 17. | end if |
| 18. | end if |
Table 2.
The structure of the RREQ.
Table 2.
The structure of the RREQ.
| Byte | 1 | 2 | 3 | 4 |
|---|---|---|---|---|
| Definition | Type | Reserved | Nq | Hop Count |
| RREQ ID | ||||
| Destination IP Address | ||||
| Destination Sequence Number | ||||
| Source IP Address | ||||
| Source Sequence Number | ||||
| Destination Loaction | ||||
| Source Loaction | ||||
| Last Forwarding Node Loaction | ||||
When any node X receives the RREQ, it will operate according to the Algorithm 2. The main steps of the algorithm are as follows.
- (1)
- Node X determines whether the RREQ has been received according to the source address and the identification number of the RREQ. If yes, it drops the RREQ. Otherwise go to step (2);
- (2)
- Node X establishes or updates the reverse route to the source node S. The destination node in the routing table is the source node. The next hop is the forwarding node of the RREQ. The hop count is the hop count in the RREQ. The sequence number of the destination node is the sequence number of the source address in the RREQ. The routing status is set to valid. Go to step (3);
- (3)
- If node X is the destination node of RREQ or has a valid route to the destination node, then return RREP by unicast along the reverse route. Otherwise go to step (4);
- (4)
- The node judges whether Nq is less than 2. If not, it indicates that the first route discovery failed, and the RREQ will be broadcast immediately. Otherwise go to step (5);
- (5)
- Node X determines whether it is in the forwarding area. And if it is not, the node drops this RREQ directly. Otherwise go to step (6);
- (6)
- Determine whether the RREQ needs to continue to find the path through TTL (time to live). If not, drops this RREQ. Otherwise go to step (7);
- (7)
- Node X sets a timer according to its position, energy and communication time. If the timer expires, broadcast the updated RREQ. During the waiting period, if the RREQ sent by the neighbor node is received, it indicates that a better node has carried out RREQ forwarding, and this process of route discovery is abandoned.
| Algorithm 2 RREQ processing of any node | |
| 1. | if the RREQ is received for the first time, then |
| 2. | establish or update the reverse route to the source node S; |
| 3. | if node X is the destination node of RREQ or has a valid route to the destination node, then |
| 4. | send RREP; |
| 5. | else if Nq < 2, then |
| 6. | if in the forwarding area and TTL > 1, then// Obtain the forwarding area using Equation (3) |
| 7. | set delay timer; // Obtain the delay using Equation (5) if receive RREQ forwarded by another node before timer expired, then |
| 8. | drop this RREQ; |
| 9. | else |
| 10. | broadcast this RREQ; |
| 11. | end if |
| 12. | else |
| 13. | drop this RREQ; |
| 14. | end if |
| 15. | else |
| 16. | broadcast this RREQ; |
| 17. | end if |
| 18. | else |
| 19. | drop this RREQ; |
| 20. | end if |
Node Y is any node and operates after receiving RREP according to the Algorithm 3, the main steps of the algorithm are as follows.
- (1)
- Node Y determines whether it is a destination node according to the destination address in RREP, as shown in Table 3. If yes, the route is established successfully. Otherwise go to step (2);
- (2)
- Establish or update the route according to whether there is a route to source of RREP;
- (3)
- Update and forward or drop this RREP according to whether there is a route to destination of RREP.
| Algorithm 3 RREP processing of any node | |
| 1. | if node Y is destination node of RREP, then |
| 2. | route is established successfully; |
| 3. | send the data in the queue to the destination node; |
| 4. | else |
| 5. | if node Y has a route to destination node, then |
| 6. | update the route; |
| 7. | else |
| 8. | establish this route; |
| 9. | end if |
| 10. | if node Y has a route to source node, then |
| 11. | update and forward this RREP; |
| 12. | else |
| 13. | drop this RREP; |
| 14. | end if |
| 15. | end if |
Table 3.
The structure of RREP.
Table 3.
The structure of RREP.
| Byte | 1 | 2 | 3 | 4 |
|---|---|---|---|---|
| Definition | Type | Reserved | Hop Count | |
| Destination IP Address | ||||
| Destination Sequence Number | ||||
| Source IP Address | ||||
| Life Time | ||||
3.2.2. Route Maintenance
Because the moving speed and range of underwater nodes are smaller than those of terrestrial ad hoc nodes, and the energy of node, communication bandwidth is more limited, RFAODV cancels the mechanism of sending hello packets regularly, and adopts the following two mechanisms for route maintenance.
Data link layer feedback. In underwater acoustic networks, MAC protocols with ACK are usually used for communication quality, such as Macaw, Aloha and so on. Therefore, we can determine whether the link is normal from the data link layer.
Energy judgment. In order to reduce the energy consumption of one or several nodes in an ideal position, we can set a principle. If the energy of the node decreases by 50%, 70%, 90%, the RRER packet is sent to inform the neighbor nodes that the route is invalid.
Up on receiving notification of link interruption, source nodes can restart the discovery process if they still require a route to the destination.
4. Results
In this section, we evaluate the performance of RFAODV compared to the AODV and DSAODV through extensive simulations in NS-2.
4.1. Simulation Parameters
The underwater acoustic modem has been tested at sea trails, as shown in Figure 5. The design indexes of the communication distance and communication rate between point to point have been verified. Based on this, simulation parameters with the shallow sea should be set as the simulation scenario, as shown in Table 4.
Figure 5.
Sea trials of underwater acoustic modem.
Table 4.
Simulation parameters.
We use four performance metrics, which are route discovery success ratio, packet delivery ratio, energy consumption and protocol overhead of nodes. RFAODV, AODV and DSAODV are compared for their performance at different traffic load conditions, number of nodes and move speed.
- (1)
- Route discovery success ratio is the ratio of the number of successful route establishment to the total number of route discovery attempts;
- (2)
- Packet Delivery Ratio is the ratio of the packets succeed to deliver at the destinations to those generated by the sources;
- (3)
- Consumption energy is defined as the total energy consumption divided by the number of received packets;
- (4)
- Protocol overhead is the total number of routing control packet;
- (5)
- Traffic load is the ratio of the total number of application layer data bits transmitted to the upper limit of the theoretical value of network transmission.
4.2. Simulation Results
4.2.1. Effects of the Traffic Load
Figure 6a illustrates the results of discovery success ratio plotted versus traffic load. The results are evaluated by varying the load. As shown in the figure, the metric of RFAODV is much better than that of AODV. Approximately, there is at least an 18% improvement. DSAODV uses geographic information to limit the forwarding area, and the success rate of route discovery has increased to some extent, but it is not obvious. Because the interference is more from adjacent nodes, if this node is in the forwarding area, most of the adjacent nodes are also in the forwarding area.
Figure 6.
Effects of the traffic load. (a) Discovery success ratio vs load; (b) packet delivery ratio vs load; (c) protocol overhead vs load; (d) consumption energy vs load.
Figure 6b shows packet delivery ratio plotted versus traffic load. The graph results show that the metric decreases as the load increases. The reason is that as the load increases, the probability of conflict increases. The performance of RFAODV is always better than that of AODV and DSAODV, with a performance improvement of about 5%.
Figure 6c presents protocol overhead plotted versus traffic load. It is clear that the total number of routing control packet of RFAODV significantly less than AODV. Compared with AODV, DSAODV also reduces the protocol overhead. The reason is that RFAODV and DSAODV limits the scope of nodes participating in route discovery.
Figure 6d depicts the relationship between consumption energy plotted and traffic load. However, with the increase in load, RFAODV has more and more obvious energy-saving advantages.
4.2.2. Effects of the Node Density
Figure 7a shows results of discovery success ratio versus node density. Compared with AODV and DSAODV, RFAODV can improve the routing discovery success rate by at least 20%. Because AODV protocol uses flooding strategy in the process of route discovery, when the number of nodes increases, the number of nodes participating in RREQ data increases accordingly. This further increases the conflict and reduces the probability of route discovery. Therefore, this index of AODV decreases as the number of nodes increases. DSAODV uses forwarding control strategy in the process of route discovery. Compared with AODV, the probability of route establishment is improved when the number of nodes increases. However, when determining the forwarding area, DSAODV takes more account of the node density at the source node, so that the forwarding area cannot adapt to the change in the global number of nodes. Moreover, when there are few nodes, DSAODV is vulnerable to routing holes. In the process of route discovery, RFAODV can not only avoid the influence of the number of nodes by setting the forwarding area and delay adaptively, and also find a more reasonable route.

Figure 7.
Effects of the node density. (a) Discovery success ratio vs node density; (b) packet delivery ratio vs node density; (c) protocol overhead vs node density; (d) consumption energy vs node density.
Figure 7b presents the effects of the node density on the number of received packets. As can be seen, the RFAODV performs better than the AODV and DSAODV. Especially when the number of nodes increases, RFAODV improves by at least 8% relative to AODV, and at least 5% relative to DSAODV. This is due to the discovery success ratio of RFAODV that can adapt to changes in node density and is always higher than that of DSAODV and AODV, as shown in Figure 7a. With the discovery of routing successfully, more data can be transmitted effectively.
Figure 7c,d describe the effect of node density from the perspective of protocol overhead and consumption energy, respectively. Compared with AODV and DSAODV, RFAODV reduces protocol overhead by at least 40% and energy by at least 15% in large-scale and high-density node scenarios. The flood mechanism of AODV routing leads to a large amount of overhead and consumption energy. And with the increase in node density, it is further reflected. DSAODV has more nodes participating in forwarding than RFAODV, so it has more overhead and consumption energy.
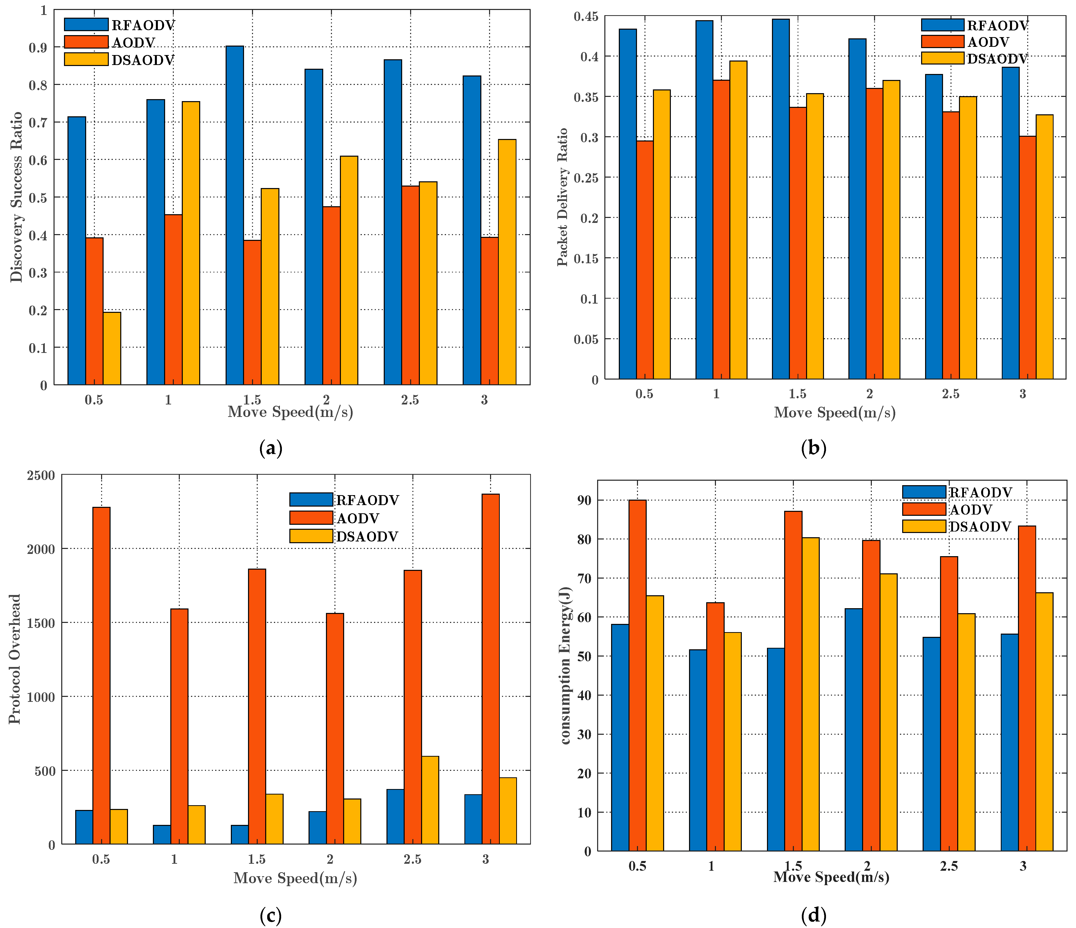
4.2.3. Effects of the Move Speed
The moving speed of nodes represents the degree of network topology change. The change in topology will cause the interruption of the established route. The nodes’ speed changes between 0.5 and 3 m/s, and the random movement model is adopted.
Figure 8a shows the effects of the nodes’ speed on the discovery success ratio. The metric of the RFAODV is 25% better than that of the AODV and DSAODV in the high-speed scenario. The movement speed will cause the existing route to break. The discovery success ratio of the route indicates the adaptability of the strategy to the highly dynamic topology. RFAODV adopts a more conflict-avoiding route discovery strategy, which has a higher probability of route establishment.
Figure 8.
Effects of the move speed. (a) Discovery success ratio vs move speed; (b) packet delivery ratio vs move speed; (c) protocol overhead vs move speed; (d) consumption energy vs move speed.
Figure 8b presents the effects of the nodes’ speed on the packet delivery ratio. Obviously, with the change in movement speed, the packet delivery ratio of RFAODV is always better than that of AODV and DSAODV, and the packet delivery ratio is improved by at least 4%.
Figure 8c depicts the effects of the nodes’ speed on the protocol overhead. Because both RFAODV and DSAODV adopt forwarding control, the protocol overhead is significantly lower than that of AODV. Since RFAODV has a higher probability of route discovery, this index is also better than DSAODV. Compared with AODV and DSAODV, RFAODV increased by at least 300% and 20%, respectively.
Figure 8d shows the relationship between the consumption energy and move speed. With the change in movement speed, the consumption energy of RFAODV is always better than that of AODV and DSAODV and was decreased by at least 5%. The results show that RFAODV can adapt to topology changes in terms of energy saving.
5. Conclusions
In this article, we study the self-organizing routing protocol of underwater acoustic wireless sensor networks, focusing on the application of AODV protocol in underwater acoustic networks. Considering the broadcast storm problem of AODV, a route-focusing AODV (RFAODV) routing protocol that is more suitable for underwater wireless sensor networks is proposed based on location and energy information. When route discovery location information is used to define forwarding areas hop by hop, limiting the nodes participating in RREQ forwarding, and adaptively setting forwarding delays for nodes within the forwarding area, the route discovery process focuses on fewer nodes. Therefore, it is energy efficient. In addition, RFAODV uses link layer feedback and energy control to reduce protocol overhead and prolongs the lifetime of network during route maintenance.
We implemented RFAODV and evaluated its performance in the NS-2. The extensive simulation results show that (1) as the load changes, RFAODV has an increase of at least 18% in the discovery success ratio, an increase of about 5% in the delivery ratio, a decrease at least 15% in the number of overhead and a reduction of at least 10% in the consumption energy compared to AODV and DSAODV; (2) RFAODV has a rise of at least 20% in the discovery success ratio, an increase of at least 5% in the delivery ratio, a decrease at least 40% in the number of overhead and a reduction of at least 15% in the consumption energy in large-scale and high-density scenarios than AODV and DSAODV; and (3) RFAODV has a rise of at least 25% in the discovery success ratio, an increase of at least 4% in the delivery ratio, a decrease at least 20% in the number of overhead and a reduction of at least 5% in the consumption energy in high dynamic scenarios. In summary, RFAODV offers a significant improvement compared with AODV and DSAODV in terms of packet delivery ratio, discovery success ratio, protocol overhead and energy consumption, which proves that RFAODV routing protocol is more suitable for large-scale, high-load and dynamic- underwater wireless sensor networks.
In following research, we will further study cross-layer optimization design methods. Jointing the physical layer and MAC layers for the cross-layer design can effectively improve the comprehensive performance of the routing protocols. The cross-layer design facilitates the attainment of a globally optimal solution by enabling interactions between layers within the Underwater Wireless Sensor Networks (UWSNs).
Author Contributions
Conceptualization, W.G.; methodology, W.G.; software, W.G.; validation, M.Z., B.Y. and Y.W.; formal analysis, W.G.; investigation, W.G.; data curation, W.G.; writing—original draft preparation, W.G.; writing—review and editing, W.G.; visualization, W.G.; supervision, M.Z. and B.Y.; funding acquisition, M.Z., B.Y. and X.L. All authors have read and agreed to the published version of the manuscript.
Funding
This work was supported by the National Key Research and Development Project (2021YFC2801200, 2022YFC2806001), Key Research Program of Frontier Sciences, CAS (ZDBS-LY-7015).
Institutional Review Board Statement
Not applicable.
Informed Consent Statement
Not applicable.
Data Availability Statement
Not applicable.
Conflicts of Interest
The authors declare no conflict of interest.
Abbreviations
| AODV | Ad Hoc On-demand Distance Vector |
| RFAODV | Route-focusing AODV |
| TORA | Temporally-Ordered Routing Algorithm |
| DSR | Dynamic Source Routing |
| DSAODV | Directed search AODV |
| RREQ | Route request packet |
| RREP | Route reply packet |
| UWSNs | Underwater Wireless Sensor Networks |
| Nq | The number of the RREQ attempts |
| TTL | Time to live |
References
- Sendra, S.; Lloret, J.; Jimenez, J.M.; Parra, L. Underwater Acoustic Modems. IEEE Sens. J. 2016, 16, 4063–4071. [Google Scholar] [CrossRef]
- Anuradha, D.; Srivatsa, S.K. Optimal visiting tour scheduling for Mobile Data Gathering in UWSN. In Proceedings of the 2017 International Conference on Wireless Communications, Signal Processing and Networking (WiSPNET), Chennai, India, 22–24 March 2017. [Google Scholar]
- Sun, Y.; Ge, W.; Li, Y.; Yin, J. Cross-Layer Protocol Based on Directional Reception in Underwater Acoustic Wireless Sensor Networks. J. Mar. Sci. Eng. 2023, 11, 666. [Google Scholar] [CrossRef]
- Jiang, W.; Tong, F. Exploiting Sparsity for Underwater Acoustic Sensor Network Under Time-Varying Channels. IEEE Internet Things J. 2022, 9, 2859–2869. [Google Scholar] [CrossRef]
- Moises, J.M. Harbor and coastal structures: A review of mechanical fatigue under random wave loading. Heliyon 2021, 7, e08241. [Google Scholar]
- Zhou, Y.; Diamant, R. A parallel decoding approach for mitigating near-far interference in Internet of Underwater Things. IEEE Internet Things J. 2020, 7, 9747–9759. [Google Scholar] [CrossRef]
- Qadri, N.B.; Shah, G.A. Performance evaluation of ad-hoc routing protocols in underwater acoustic sensor networks. In Proceedings of the 19th Annual Wireless and Optical Communications Conference, Shanghai, China, 14–15 May 2010; pp. 1–6. [Google Scholar]
- Syed, A.; Heidemann, J. Time Synchronization for High Latency Acoustic Networks. In Proceedings of the 25th IEEE International Conference on Computer Communications, Barcelona, Spain, 23–29 April 2006; pp. 1–12. [Google Scholar]
- Chen, C.; Yang, K.; Ma, Y. Sensitivity of sound speed fluctuation on acoustic arrival delay of middle range in deep water. Appl. Acoust. 2019, 149, 68–73. [Google Scholar] [CrossRef]
- Song, Y. Underwater Acoustic Sensor Networks with Cost Efficiency for Internet of Underwater Things. IEEE Trans. Ind. Electron. 2021, 68, 1707–1716. [Google Scholar] [CrossRef]
- Liu, Q.P.; Qiao, G.; Suleman, M. Full-Duplex Directional Collision Avoidance Medium Access Control Protocol for Underwater Acoustic Networks. J. Electron. Inf. Technol. 2023, 45, 524–533. [Google Scholar]
- Alablani, I.A.; Arafah, M.A. EE-UWSNs: A Joint Energy-Efficient MAC and Routing Protocol for Underwater Sensor Networks. J. Mar. Sci. Eng. 2022, 10, 488. [Google Scholar] [CrossRef]
- Perkins, C.E.; Royer, E.M. Ad-hoc on-demand distance vector routing. In Proceedings of the WMCSA’99, Second IEEE Workshop on Mobile Computing Systems and Applications, New Orleans, LA, USA, 25–26 February 1999; pp. 90–100. [Google Scholar]
- Jiang, J.; Han, G.; Lin, C. A survey on opportunistic routing protocols in the Internet of Underwater Things. Comput. Netw. 2023, 225, 109658. [Google Scholar] [CrossRef]
- Xie, P.; Cui, J.H.; Lao, L. VBF: Vector-based forwarding protocol for underwater sensor networks. In Proceedings of the 5th International IFIP-TC6 Conference on Networking Technologies, Services, and Protocols, Performance of Computer and Communication Networks; Mobile and Wireless Communications Systems, Heidelberg, Germany, 15–19 May 2006; pp. 1216–1221. [Google Scholar]
- Wang, Q.; Li, J.; Qi, Q.; Zhou, P.; Wu, D.O. An Adaptive-Location-Based Routing Protocol for 3-D Underwater Acoustic Sensor Networks. IEEE Internet Things 2021, 8, 6853–6864. [Google Scholar] [CrossRef]
- Guan, Q.; Ji, F.; Liu, Y.; Yu, H.; Chen, W. Distance-Vector-Based Opportunistic Routing for Underwater Acoustic Sensor Networks. IEEE Internet Things 2019, 6, 3831–3839. [Google Scholar] [CrossRef]
- Song, J.; Jin, H.; Shen, X.; Zhang, S. A Maximum Localization Rate Algorithm for 3D Large-Scale UWSNs. IEEE Access 2022, 10, 111962–111973. [Google Scholar] [CrossRef]
- Luo, J.H.; Fan, L.Y. Research on localization algorithms based on acoustic communication for underwater sensor networks. Sensors 2018, 18, 67. [Google Scholar] [CrossRef] [PubMed]
- Zhu, Z.; Guan, W.; Liu, L.; Li, S.; Kong, S.; Yan, Y. A multi-hop localization algorithm in underwater wireless sensor networks. In Proceedings of the 2014 Sixth International Conference on Wireless Communications and Signal Processing (WCSP), Hefei, China, 23–25 October 2014; pp. 1–6. [Google Scholar]
- Liu, X. Directed search AODV routing protocols for underwater acoustic networks. J. Appl. Acoust. 2010, 29, 458–465. [Google Scholar]
- Gupta, S.; Mathur, A. Enhanced Flooding Scheme for AODV Routing Protocol in Mobile Ad Hoc Networks. In Proceedings of the International Conference on Electronic Systems, Signal Processing and Computing Technologies, Nagpur, India, 9–11 January 2014; pp. 316–321. [Google Scholar]
- Choi, Y.; Yang, H.J. On-demand route discovery in a unicast manner. PLoS ONE 2018, 13, e0204555. [Google Scholar] [CrossRef] [PubMed]
- Lmustafa, S.; Rashid, A.; Ibrahim, K.; Othman, O. A systematic review on energy efficiency in the internet of underwater things (IoUT): Recent approaches and research gaps. J. Netw. Comput. Appl. 2023, 213, 103594. [Google Scholar]
- Parma, N.; Sharma, S.C. Probability Based Improved Broadcasting for AODV Routing Protocol. In Proceedings of the International Conference on Computational Intelligence and Communication Systems, Gwalior, India, 7–9 October 2011; pp. 621–625. [Google Scholar]
- Saleh, M.H.; Takruri, H.; Linge, N. Energy aware routing protocol for sparse underwater acoustic wireless sensor network. In Proceedings of the 2022 13th International Symposium on Communication Systems, Networks and Digital Signal Processing (CSNDSP), Porto, Portugal, 20–22 July 2022; pp. 750–755. [Google Scholar]
Disclaimer/Publisher’s Note: The statements, opinions and data contained in all publications are solely those of the individual author(s) and contributor(s) and not of MDPI and/or the editor(s). MDPI and/or the editor(s) disclaim responsibility for any injury to people or property resulting from any ideas, methods, instructions or products referred to in the content. |
© 2023 by the authors. Licensee MDPI, Basel, Switzerland. This article is an open access article distributed under the terms and conditions of the Creative Commons Attribution (CC BY) license (https://creativecommons.org/licenses/by/4.0/).








