Abstract
Port state control (PSC) inspections, considered a crucial means of maritime safety supervision, are viewed by the industry as a critical line of defense ensuring the stability of the international supply chain. Due to the high level of globalization and strong regional characteristics of PSC inspections, improving the accuracy of these inspections and efficiently utilizing inspection resources have become urgent issues. The construction of a PSC inspection ontology model from top to bottom, coupled with the integration of multisource data from bottom to top, is proposed in this paper. The RoBERTa-wwm-ext model is adopted as the entity recognition model, while the XGBoost4 model serves as the knowledge fusion model to establish the PSC inspection knowledge graph. Building upon an evolutionary game model of the PSC inspection knowledge graph, this study introduces an evolutionary game method to analyze the internal evolutionary dynamics of ship populations from a microscopic perspective. Through numerical simulations and standardization diffusion evolution simulations for ship support, the evolutionary impact of each parameter on the subgraph is examined. Subsequently, based on the results of the evolutionary game analysis, recommendations for PSC inspection auxiliary decision-making and related strategic suggestions are presented. The experimental results show that the RoBERTa-wwm-ext model and the XGBoost4 model used in the PSC inspection knowledge graph achieve superior performance in both entity recognition and knowledge fusion tasks, with the model accuracies surpassing those of other compared models. In the knowledge graph-based PSC inspection evolutionary game, the reward and punishment conditions () can reduce the burden of the standardization cost for safeguarding the ship. A ship is more sensitive to changes in the detention rate than to changes in the inspection rate . To a certain extent, the detention cost plays a role similar to that of the detention rate . In small-scale networks, relevant parameters in the ship’s standardization game have a more pronounced effect, with detention cost having a greater impact than standardization cost on ship strategy choice and scale-free network evolution. Based on the experimental results, PSC inspection strategies are suggested. These strategies provide port state authorities with auxiliary decision-making tools for PSC inspections, promote the informatization of maritime regulation, and offer new insights for the study of maritime traffic safety management and PSC inspections.
1. Introduction
As the final line of defense for the safety and security of maritime transport, port state control (PSC) inspections play a crucial role in preventing potential negligence by the flag state in its supervision and inspection responsibilities. These inspections generate a substantial amount of data, providing a foundation for studying the maritime transport risk of ships. PSC inspections are instrumental in ensuring safety during maritime ship navigation, protecting the marine environment, and providing valuable insights into a ship’s risk during its stay in port [1]. The results of PSC inspections serve as records of a ship’s risk in port and have significant reference value for ship owners, flag states, and port states. Numerous scholars have extensively researched methods for enhancing the efficiency of PSC inspections. Knapp et al. [2] proposed a target ship and priority inspection area selection method that considers ship detention and accident types as separate risk dimensions, incorporating eight additional inspection priority risk areas to further refine PSC inspections. Yang Z. S. et al. [3] employed a macro approach to characterize the overall inspection results and the quality of inspected ships, utilizing a Bayesian network model to assess the impact of the PSC New Inspection Regime (NIR) on the intrinsic attributes of ships and inspection outcomes. Fu J. et al. [4] introduced an improved Apriori model to explore intrinsic intercorrelations between ship defects in the PSC inspection dataset. Tsou M.-C. [5] applied an association rule mining algorithm to examine the relationship between ship detention defects and external factors, providing countermeasures and references for ship managers in corresponding PSC inspections. Truong [6] proposed a novel hybrid model for port throughput forecasting by utilizing Discrete Wavelet Transform (DWT) and Long Short-Term Memory (LSTM) networks. This model aids port authorities in predicting the productivity of port management systems and making appropriate operational decisions. Xiao Y. et al. [7] proposed a game model to analyze the strategies of port states, flag states, and shipowners, elucidating the effects of different reward and punishment conditions on flag states and shipowners. Yu Q. et al. [8] utilized a Bayesian network model to assess a ship’s static risk and evaluated the overall risk of ships in coastal waters. Titz M. A. [9] investigated the relationship between PSC inspections and marine environmental pollution and found that PSC inspections can effectively mitigate environmental pollution within the coverage area. Yang Z. S. et al. [10] analyzed the two-party game relationship between port state authorities and shipowners under the NIR, constructing a Bayesian network model to assess the rate of ship detention and derive the optimal inspection strategy. Yan R. et al. [11] proposed two coordinated inspection strategies—the self-coordinated port strategy and the fully coordinated central agent strategy—for liner and bulk carriers, respectively, thereby enhancing PSC inspection efficiency. By integrating Recurrent Neural Networks (RNNs) with a Fractional Order Sliding Mode Controller (FOSMC), Truong [12] developed a hybrid decision support system for supply chain profit management. This system enables port authorities to optimize the utilization of port equipment and access real-time information for informed decision-making.
Despite the vital role of PSC inspections, resources for port state inspections are often limited compared to the number of ships arriving at ports. Therefore, accurately identifying high-risk ships among the multitude of inspectable vessels, predicting their potential defects and detentions, and judiciously allocating inspection resources are central challenges in PSC inspection research. A globally unified PSC inspection database has not been established for port state inspections of ships. Instead, PSC inspection data generated by regional Memorandum of Understanding (MOU) organizations are independently stored in various computer systems. This situation poses a challenge because ship selection models often consider only historical inspection data within a specific region, disregarding inspection data from ships in other regions. The lack of a unified storage and analysis system for PSC inspection data is a significant challenge in this context.
As a semantic web knowledge base developed using technologies such as ontology, the semantic web, and graph theory, the knowledge graph has demonstrated excellent performance in search engines since its inception [13]. It consists of interconnected entities and their attributes, typically in the form of structured triples with rich semantic information. Knowledge graphs are increasingly being applied in the maritime domain as well. Zhong S. et al. [14] conducted an analysis of the International Regulations for Preventing Collisions at Sea (COLREGs) and developed an ontology model of ship behavior. This model supports knowledge-based reasoning and contributes to enhancing maritime traffic safety and efficiency. Additionally, Liu S. et al. [15] established a generic knowledge graph for nautical regulations utilizing a top-down approach with COLREGs, providing effective feedback and scalability for issues within COLREGs. Del-Mondo G. et al. [16] explored the potential application of knowledge graph technology and spatiotemporal mapping technology in maritime transport. They also outlined future research directions and challenges in the field. Wang MD et al. [17] introduced a knowledge graph construction method for road transport of dangerous goods, employing a top-down approach to construct schema and data layers. This method offers robust data support for emergency response and the accumulation of safety knowledge by practitioners. Wen YQ et al. [18] employed a top-down approach to construct a knowledge graph for dangerous maritime goods. This initiative yielded interconnections between various types of dangerous maritime goods knowledge, enabling comprehensive knowledge retrieval and automated judgment regarding segregation requirements in dangerous goods stowage. Furthermore, Zhang Q. et al. [19] addressed the hazardous goods cargo allocation problem by constructing a dangerous maritime goods knowledge graph for safety management. Their work has provided insights into the application prospects of knowledge graphs in enhancing the safety management and risk control of dangerous maritime goods.
Although knowledge graphs have been successfully applied in many fields, a comprehensive body of knowledge has not yet been developed for PSC examinations. The knowledge graph, which functions as a structured semantic knowledge base, facilitates seamless association with PSC data under each MOU and ensures effective storage. Leveraging knowledge graph-based reasoning techniques for the analysis of ship-related factors allows the prediction of ship defects and optimal allocation of inspection resources, thereby aiding marine PSC officers in making efficient inquiries and decisions.
In recent years, complex network evolutionary game theory has garnered significant attention from scholars and has found applications across various domains, including transportation, engineering systems, and public health. This approach serves as a robust research tool for decision-making and optimization in diverse fields, offering enhanced capabilities for predicting the behavior of complex systems. In the maritime field, the application of complex network evolutionary games is extensive, particularly in the realms of the ecological environment and cargo transport. Xu X et al. [20] introduced an international marine plastic debris cooperation network and investigated the influence of corporate economic factors, the relationship structure, and the game structure on marine plastic debris governance cooperation through an evolutionary game model. Zhao C P et al. [21] developed a cooperative network game model for marine plastic debris governance, considering variables such as capital investment, governance technology level, and the amount of waste to be disposed of. Through numerical analysis based on actual data, it was concluded that technological innovation, extended producer responsibility measures, and the active role of important countries are crucial. To address the problem of Fukushima’s nuclear wastewater being discharged into the sea, Jiang J et al. [22] proposed an evolutionary game model demonstrating that maritime regulators can incentivize carriers to dispose of ballast water through social monitoring and reward systems. This approach promotes the sustainable development of port ecosystems. Li Q R et al. [23] utilized scale-free networks to depict interactions between ports, considering the influence of neighbors and incorporating social learning behaviors from evolutionary game theory. This investigation focused on price collusion and price competition strategies in port networks, and the results indicated that price collusion is more favorable for port development, improving operational efficiency. Huangfu Yuzhen [24] explored the destruction resistance of the crude oil transport network and evolutionary game and proposed an improved cooperative learning strategy. This study revealed that the destruction resistance of the crude oil transport network faces challenges, and the larger the betrayal coefficient in the evolutionary game, the slower the convergence speed. Truong [25,26] applied nonlinear systems theory to investigate the dynamic properties of container throughput models, examining the chaotic behavior of throughput trends and the cooperation and competition between container terminals under disturbances. This research provides port authorities with management insights and solutions for dealing with supply chain disruptions, helping decision-makers formulate timely and cost-effective strategies.
PSC inspection plays a crucial role in ensuring maritime transport safety, and its outcomes are influenced by various factors, particularly the number of ship defects and the accuracy of demurrage predictions. With the advancement of technologies such as machine learning, studies on PSC inspection are increasingly adopting more sophisticated hybrid approaches [27]. The objective of this paper is to develop a knowledge graph evolutionary game model for PSC inspection decision-making and integrate it with a knowledge graph. The aim is to optimize the utilization of PSC inspection resources and enhance the efficiency of PSC inspections conducted by port state authorities.
Currently, inspection data in the PSC field are sparse, and research on game methods is limited. The objective of this paper is to develop a knowledge graph evolutionary game model for PSC inspection decision-making and integrate it with a knowledge graph. The aim is to optimize the utilization of PSC inspection resources and enhance the efficiency of PSC inspections conducted by port state authorities.
The remainder of this paper is organized as follows. In the Methods section, we propose a method for constructing a PSC inspection knowledge graph. We choose a combination of top-down and bottom-up knowledge graph construction methods. Through the construction of the pattern and data layers, we compare and analyze the knowledge fusion of other mainstream models of the same type to validate the feasibility of the method. The knowledge of PSC inspection is stored based on Neo4j. Subsequently, the PSC inspection evolutionary game model based on the knowledge graph is constructed. This process includes extracting the PSC inspection knowledge graph subgraph, evolution rules, and ship revenue matrix. Through numerical and ship safety standardization diffusion rate evolution simulations, we investigate the evolutionary impacts of the detention cost, inspection cost, inspection rate, detention rate, and conditions associated with both network rewards and punishments. The experimental results are presented and discussed.
2. Methods
In this section, a PSC inspection knowledge graph is constructed, followed by a game simulation of PSC inspection evolution based on the knowledge graph. This section presents a methodology for examining the effects of each factor on PSC inspection.
2.1. PSC Inspection Knowledge Graph Construction
2.1.1. Schema Layer Construction
The schema layer in the port state control inspection knowledge graph comprises the PSC inspection ontology model, which outlines domain concepts and their concept hierarchy. A top-down approach is utilized to construct the PSC inspection ontology (Figure 1). This process involves analyzing the key concepts within the domain, organizing the knowledge related to port state control, and finalizing the definition of the concept hierarchy, semantic relationships, and attribute relationships.
Figure 1.
The construction process of knowledge graph for PSC inspection.
Furthermore, the ontology model is iteratively updated by summarizing the data layers within the subsequent PSC inspection knowledge graph [28], ensuring that the knowledge graph remains dynamic and reflective of evolving insights and information related to port state control inspection.
The PSC inspection triad structure, presented as (Entity, Relationship, Entity), (Entity, Attribute, Attribute Value), and (Relationship, Attribute, Attribute Value), is the fundamental unit for building the PSC inspection knowledge graph. This structure enables the consideration of inspection scenarios, associated procedural requirements, and law enforcement officer activities, along with their subordinate subcategories (Table 1).
Table 1.
Port state control inspection entity types and attributes.
Once the entity types within the PSC inspection knowledge graph triad are identified, the relationships between these entities are defined to create the entity relationships for PSC inspection. In PSC inspection scenarios, there are relationships such as (PSCO, inspection, ship) and (ship, owner, shipowner). In inspection procedures, the relationships include (inspection items, possible existence, major deficiencies) and (major deficiencies, bases, laws and regulations). In inspection activities, relationships such as (deficiencies, decisions, treatment decisions) are present (Figure 2).
Figure 2.
Relationship between PSC inspection entities.
The ontology design for the schema layer in the PSC inspection knowledge graph is conducted using the open-source tool Protégé; it is guided by domain experts and aligned with the requirements of port state control inspection operations. The modeling process is divided into five main steps:
- Defining the Scope of the Conceptual Framework: This includes identifying the primary entities involved in PSC inspections, such as inspection types, criteria, and outcomes.
- Establishing the Hierarchical Structure of PSC Inspection Entities: This step involves organizing the entities into a hierarchical structure, including three main categories—inspection scenarios, inspection procedures, and inspection activities—and their respective subclasses.
- Defining Relationships between PSC Inspection Entities: Relationships are categorized into object properties and data properties. Object properties describe the relationships between classes, such as “inspects,” “belongs to,” and “identifies.” Data properties describe internal attributes of classes and are constructed following the attribute columns in Table 1.
- Incorporating Logical Rules and Constraints: Logical rules and constraints followed during the PSC inspection process are integrated to ensure that the ontology accurately reflects the actual procedures and regulatory requirements of PSC inspection.
- Ontology Modeling with Protégé: Finally, the ontology is modeled using the open-source tool Protégé. The resulting PSC inspection ontology model provides a structured representation of entities, relationships, and attributes within the domain of PSC inspection (Figure 3).
Figure 3. PSC inspection ontology construction model.
2.1.2. Data Layer Construction
The construction of the data layer for the PSC inspection knowledge graph involves extracting knowledge from various heterogeneous data sources within the maritime system. Different methods are employed to extract data with distinct structures, with a primary focus on extracting entities from structured historical ship inspection records.
A named entity recognition method based on sequence annotation is employed to extract unstructured knowledge [29]. Initially, following the analysis of port state control knowledge, the entity labels for the 8 subclasses under the inspection item class entity are defined. Subsequently, the BIO annotation method is utilized, wherein labels are assigned to all characters in the corpus to characterize their location and the type of entity to which they belong.
To address the challenges associated with sparse, relevant annotated corpora and limited textual knowledge extraction [30], the robustly optimized bidirectional encoder representations from transformers pretraining approach–whole word masking–extended data (RoBERTa-wwm-ext) model with bidirectional long short-term memory (BiLSTM) and a conditional random field (CRF) (RoBERTa-wwm-ext-BiLSTM-CRF) is employed for entity recognition (Figure 4). The RoBERTa-wwm-ext model, an extension of the RoBERTa architecture, excels in capturing whole-word masking, significantly enhancing its ability to understand context within natural language processing tasks. This model not only surpasses BERT in terms of generalization capabilities and accuracy but also demonstrates superior performance in contextual comprehension. These advantages allow RoBERTa-wwm-ext accurate capture of a broader range of linguistic nuances and specialized terminology, making it particularly effective for entity recognition in the domain of PSC inspection. This model improves the accuracy and efficiency of named entity recognition for unstructured data.
Figure 4.
RoBERTa-wwm-ext-BiLSTM-CRF model structure.
The entity recognition models were trained using Python 3.8.2. To assess the effectiveness of the models, precision (), recall (), and F1-score () were calculated. The formulas are shown in Equations (1)–(3). These metrics provide a comprehensive assessment of the model’s performance, balancing accuracy, and comprehensiveness in entity recognition.
In these equations, denotes the number of positive entities correctly identified by the model, represents the number of negative entities correctly identified by the model, and indicates the number of positive entities incorrectly identified by the model.
2.1.3. Knowledge Integration
The fusion of entities with different names but the same meanings is analyzed for each type of entity. Knowledge fusion is regarded as two tasks—attribute complementation and association alignment—and a knowledge fusion model based on an entity similarity calculation is proposed. In knowledge fusion, the results can be either positive or negative, making this a binary classification problem. The extreme gradient boosting (XGBoost) classifier, an efficient and flexible strong classifier, is chosen as the binary classification model. The similarities of the entities are calculated using the Jaccard coefficient and Jaro–Winkler algorithms with unsupervised sentence vector generation and the unsupervised smoothed inverse frequency (uSIF) model [31]. The results of the three similarity calculations are used as the binary classification model inputs.
The Jaccard coefficient similarity () serves as the first feature input for the knowledge fusion model, aiming to capture the structural characteristics of the partitions between entities [32,33]. The Jaccard coefficient is defined as the ratio of the number of intersecting elements between two sets to the total number of elements. In the context of entities, which are predominantly composed of domain vocabulary, represents the ratio of common words to the total number of words in the two entities (, ) after removing stopwords, as shown in Equation (4):
The Jaro–Winkler similarity () is utilized as the second feature input to the model, emphasizing the characteristics of entity prefixes [34]. The Jaro–Winkler algorithm, a variant of the Jaro algorithm, places greater emphasis on the length of the prefix portion of matches between entity pairs (denoted as l, which ranges from 0 to 4). The algorithm adjusts the weights of prefix matches using a constant p (ranging from 0 to 0.25). The Jaro–Winkler similarity is expressed by Equation (5):
In this equation, m represents the number of matching characters, is half of the transpositions, indicating the number of characters that need to be switched to align the two entities, and is the final score of the Jaro distance.
The uSIF similarity () captures the semantic features of entities by transforming them into low-dimensional spatial vectors and is employed as the third feature input for the model. uSIF introduces a stochastic wandering model based on angular distances, where the probability of word generation is inversely proportional to the angular distance between word and sentence vectors. This approach is robust to the confounding effect of the length of word vectors on the probability of sentence generation, as illustrated in Equation (6). Vectors and for the two entities are generated by the uSIF model, as shown in Equation (7), and the cosine similarity between these vectors is calculated to obtain .
In this equation, represents the sentence vector at time , represents the word vector, and represents the probability of generating each word .
2.2. Knowledge Graph-Based Construction of the PSC Inspection Evolutionary Game Model
2.2.1. Evolutionary Game Model Construction
The evolutionary game model assumes that there are two choices of strategies for ships. The first choice is a cooperative strategy, which actively ensures that the ship meets the standards of PSC inspections, such as attaching importance to navigational safety, improving the system, and carrying out regular exercises. This type of ship is referred to as a positive ship. The other strategy is a noncooperative strategy, which does not ensure that the ship meets the standards and does not take action or may even respond negatively to inspections. This type of ship is defined as a negative ship.
In each round of the game, each ship selects a strategy. The ship’s strategy choice primarily relies on comparing cumulative gains with neighboring ships. This comparison, to a certain extent, reflects the lag in the ship’s response to multiple messages during the strategy selection process, considering the asymmetry of information transmission between ships and potential interference from noise factors. To account for the finite rationality of the ship and introduce a measure of influence, an influence factor is incorporated into the model. This factor is calculated using the Fermi function [35], as expressed in Equation (8). The Fermi function helps represent the probabilistic nature of decision-making in the context of bounded rationality:
In this equation, Ni represents the current strategy adopted by node i for the current game, Nj represents the current strategy adopted by neighboring node , and and are the current game payoffs of nodes and , respectively.
By introducing the influence factor , even if node achieves a higher payoff than its neighboring nodes in the current game, there remains a probability of switching to learn the neighbor’s strategy [36]. This probability is weak and modulated by . A larger value of implies lower rationality for the ship, indicating a greater likelihood of adopting the strategy of its neighbor despite having a higher payoff.
The following assumptions are made regarding the PSC inspection evolutionary game model:
Assumption 1.
Ships are finitely rational, and no distinction is made between ships; they are considered to be of the same type. Additionally, ships primarily choose their safeguard standardization strategy by comparing the magnitudes of cumulative returns and the influence of k.
Assumption 2.
Ships have the flexibility to choose both negative and positive safety standardization strategies, and they can adjust their strategies in the next round after the current game concludes. Importantly, there is no additional cost for ships to change their strategy choice during the ongoing game.
In the PSC inspection subgraph network, all ships are confronted with two strategic choices: a cooperative strategy with positive assurance standardization (positive ships) or an uncooperative strategy with negative assurance standardization (negative ships). These two types of ships engage in evolutionary interactions, observing and adapting to each other’s strategies and benefits (Table 2). The initial assumption is that all inspected ships employ uncooperative strategies, and the emergence of positive safeguard standardization is introduced as a new strategy initially adopted by a small percentage of ships.
Table 2.
Evolutionary game payoff matrix.
The two numbers in each cell represent the gains for the ships when Ship 2 adopts the row strategy and Ship 1 employs the column strategy. For instance, the two numbers and in the first cell indicate that when Ship 1 chooses a cooperative strategy and Ship 2 also chooses a cooperative strategy, the gain for Ship 1 is , and the gain for Ship 2 is . This pattern applies to each cell in the table, reflecting the respective gains for both ships based on their chosen strategies.
2.2.2. Knowledge Graph Subgraph Extraction
A knowledge graph as a relational network typically exhibits scale-free characteristics. The degree distribution of nodes in the network follows a power law distribution, where there are a few nodes with a high number of connections (high degree) and the majority of nodes have a low number of connections (low degree). This characteristic qualifies it as a scale-free network [37]. In the context of the PSC inspection evolutionary game, a PSC inspection knowledge graph subgraph with scale-free characteristics is derived, and ships serve as nodes. Edges are constructed to form a subgraph based on the relationships between ships, generating connections between nodes. This approach captures the interplay and connections between ships in the PSC inspection knowledge graph, reflecting the scale-free nature of the network. The ships in the PSC inspection knowledge graph are connected through shipowners, inspection ports, and deficiencies identified during PSC inspection, abstracting these ships and their connections into a scale-free network. In this network, the nodes represent the ships, while the edges signify the connections between them. Other ships linked to these ships are referred to as their neighbors. The ships engage in games and strategy learning through the network edges, and their micro-level decisions ultimately determine whether the standardization of ships can propagate and the extent to which it can diffuse on a macro level.
In the PSC inspection knowledge graph, let us denote the extracted subgraph as , representing a scale-free network with nodes and edges. The set of ship nodes is , and the set of edges is . If , ship is a neighbor of ship , and there exists a connection between these ships. Conversely, if , there is no connection between ships and . The node degree is employed as a metric to quantify the connections between ships. The degree of node is defined as the number of ships that share a connection with the specific ship, as expressed in Equation (9):
In cases where ship and ship belong to the same shipping company or have undergone PSC inspections in the same port, it is deemed that there is a connection between the two ships. In this scenario, . If the ships do not share these attributes, , as depicted in Equation (10):
2.2.3. Evolutionary Game Payoff Function
In the PSC inspection evolutionary game, the ship first faces an inspection probability () and a potential risk of detention (), both of which directly result in the inspection cost () and detention cost (), as calculated by Equations (11) and (12). The inspection cost involves the preparatory work required before the boarding inspection and the obligations of accompanying the inspectors during the inspection. The detention cost only arises if the vessel undergoes inspection and includes all expenses incurred in rectifying deficiencies to lift the detention order.
In the equations, represents the cost incurred by the ship when the inspection occurs, while represents the cost incurred after the ship is detained.
To ensure the safety of the ship, positive ships need to maintain and repair equipment, conduct relevant exercises, and provide training, requiring an additional investment cost that passive ships do not incur. Port state authorities offer a reward to encourage ships to meet standards and impose a punishment to ensure jurisdictional safety. Based on the evolutionary game payoff matrix in Table 2, the replicator dynamic equation of ship standardization under PSC inspection is established to analyze the diffusion process of ship standardization. The revenue of Ship 1 when choosing a positive strategy is shown in Equation (13), the revenue of Ship 1 when choosing a negative strategy is shown in Equation (14), and the average revenue of Ship 1 is shown in Equation (15).
Similarly, the incomes of Ship 2 when choosing these strategies are shown in Equations (16)–(18).
The replicator dynamic equations for Ships 1 and 2 are shown in Equations (19) and (20).
If = = 0, there may be five equilibrium points, (0, 0), (0, 1), (1, 0), (1, 1), and an additional point where the sums in Equations (21) and (22) appear.
3. Results
3.1. Results of Knowledge Graph Construction
3.1.1. Entity Identification Results
To assess the effectiveness of the entity recognition model in the proposed PSC inspection knowledge graph construction method, we collected 30 ship safety supervision procedure manuals and relevant regulatory documents through research visits to Dafeng Port in Yancheng. Additionally, we gathered related data and processed them to obtain 2864 structured historical inspection records for Dafeng Port, which served as a supplement to the PSC inspection data. The 30 procedural manuals and the laws and regulations pertaining to the on-site inspection of ships were chosen for corpus annotation using the open-source text annotation tool YEDDA. The annotated entities were automatically batch annotated with the assistance of the command annotation model in YEDDA. The annotation results constituted an experimental dataset for entity recognition, which was further divided into a training set, a validation set, and a test set at an 8:1:1 ratio.
The entity recognition model utilized RoBERTa-wwm-ext as the embedding layer. Comparative models, including bidirectional gated recurrent units (BiGRUs), convolutional neural networks (CNNs) combined with LSTM networks, BiGRU-CRFs, BiLSTM, and BiLSTM-CRFs, were employed for evaluation. The RoBERTa-wwm-ext-BiLSTM-CRF model demonstrated consistently higher values than the other models as the number of epochs increased (Figure 5). This finding indicates that the RoBERTa-wwm-ext-BiLSTM-CRF model achieved superior performance in terms of precision and recall, resulting in a more robust and accurate entity recognition system.
Figure 5.
Variation in F1 values for different entity recognition models.
The evaluation indices for entity recognition are presented in Table 3. The precision (), recall (), and values were close to or greater than 80% for most entity categories. Specifically, the value for entity recognition results was the highest for the “fee and tax payment” category, reflecting robust performance in accurately identifying entities within this specific category. This result is attributed to the clear entity boundaries in this category, which mitigate the impact of insufficient corpus resources.
Table 3.
Entity identification model P, R, F1 values and numbers of entities.
3.1.2. Knowledge Integration and Storage Results
After completing the named entity recognition task for the PSC inspection knowledge graph, various models were employed to test the effectiveness of PSC inspection knowledge fusion. The comparison models selected in this paper include Linear Regression, Logistic Regression, Decision Tree, and Random Forest. For the XGBoost model, four different sets of feature inputs were configured. XGBoost1 represents and feature inputs; XGBoost2 represents and feature inputs; XGBoost3 represents and feature inputs; and XGBoost4 represents all feature inputs. The XGBoost4 model is a strong classifier that efficiently integrates various features extracted from different data sources related to PSC inspections, such as ship information, inspection records, and regulatory documents. The model effectively combines these features, ensuring that the resulting knowledge graph captures a comprehensive view of the domain.
The knowledge fusion task completed the entity attribute completion and entity association alignment, resulting in more precise fused entities. Among these, the “ship” entity was reduced from 348 to 116 instances, demonstrating the most effective fusion and significant consolidation of entities. The number of “inspection agency” and “personnel organization” entities also saw a substantial reduction, indicating improved data quality. Additionally, 2386 new “association” relationships were added, significantly enhancing the interconnectivity between different entities, thereby making the structure of the knowledge graph more complete (Table 4). In the knowledge fusion model, the XGBoost4 model outperformed other classification models, achieving precision (), recall (), and F1-score () of 88.67%. The impact of the individual features on the model varied, with JS having the most significant influence, followed by JWS. Moreover, US played a fine-tuning role in enhancing the model’s performance, as depicted in Figure 6.
Table 4.
Numbers of entities and relationships before and after knowledge integration.
Figure 6.
Comparison of the , and values of different knowledge fusion models.
After knowledge fusion, the ternary structure data are imported into Neo4j. Part of the PSC inspection knowledge graph is shown in Figure 7. The dotted box in the figure represents inspection activity, which includes the three elements of “scene–activity–procedure.” This structure allows for maritime law enforcement officers to trace the historical inspection records of a ship. On-site supervision and inspection can yield information on the ship’s previous inspection defects, inspectors, and inspection locations. This information also includes the regulatory basis for each inspection defect, providing maritime law enforcement officers with a timely legal foundation for on-site law enforcement.
Figure 7.
Knowledge graph of PSC inspections (partial).
The semantic search of inspection records using the Cypher query language can associate the three elements of people, ships, and organizations within the inspection process, providing law enforcement officers with rich static information about ships. By incorporating historical inspection activities and rigorous inspection procedures, Neo4j-related graph algorithms can be employed to analyze the dynamic risks of ships and jurisdictional priorities in port waters. This increases the level of intelligent maritime supervision.
3.2. Knowledge Graph-Based Simulation of the PSC Inspection Evolutionary Game
3.2.1. Numerical Simulation of the Evolutionary Game
In the dynamic system, we explore the evolution trend of the standardization probability for ships; we consider two ships of equal status under various influencing factors by setting different parameter values [38]. The numerical simulation is conducted with the equilibrium point , inspection rate (), detention rate (), safeguard standardization cost (), detention cost (), and inspection cost (), as well as a combination of rewards and punishments (, ). In this scenario, the evolutionary phase diagram of the two-ship game is depicted (Figure 8), where the horizontal axis represents the probability that Ship 1 safeguards ship standardization, the vertical axis indicates the probability that Ship 2 safeguards ship standardization, and the probability of safeguarding ship standardization eventually evolves toward (1, 1) and (0, 0).
Figure 8.
Evolutionary phase diagram.
By setting the time limit to 50 steps (number of evolutions) and setting different initial probabilities (, , , , , ) for ships, we analyze the effects of these probabilities on the probability of positive assurance standardization for Ships 1 and 2. The results are illustrated in Figure 6, Figure 7 and Figure 8.
A greater initial probability of selecting a positive safeguard is more conducive to the standardization of safeguards for the ship. When the initial probability () of positive safeguard standardization is below the equilibrium point (), the ship opts for negative safeguard standardization at the end of the evolution process. Conversely, if the initial probability is above , the ship chooses positive safeguard standardization at the end of the evolution process (Figure 9a). Additionally, a higher inspection cost increases the probability that a ship chooses a cooperative strategy, although the overall degree of influence is not substantial (Figure 9b).
Figure 9.
Effects of different factor values on Ships 1 and 2. (a) Evolutionary games for different values of x. (b) Impacts of different inspection cost on ships.
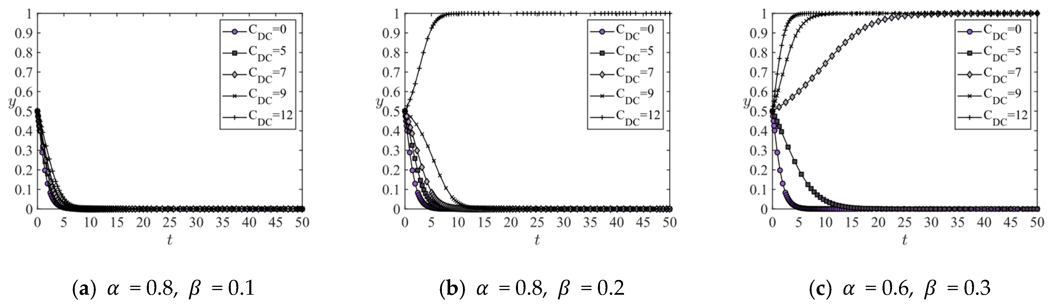
In the absence of reward and punishment conditions, a high cost of safeguard standardization causes ships to opt for a noncooperative strategy (Figure 10a). When only one of the two conditions (reward or punishment) exists, the ship, within a certain range, can afford the higher cost of safeguard standardization and chooses the cooperative strategy (Figure 10b,c). Strengthening both rewards and punishments effectively promotes ship safeguard standardization (Figure 10d,e). High levels of reward and punishment behaviors significantly motivate ships to choose cooperative strategies, and the cost of safeguard standardization influences the evolutionary time step (Figure 10f).
Figure 10.
Impact of safeguard standardization cost on ships under different reward and punishment conditions.
In the case of a high inspection rate, ships may choose a noncooperative strategy due to the low detention rate, ignoring the detention cost to pursue speculative gains (Figure 11a). Appropriately increasing the detention rate and detention cost can effectively encourage ships to choose a cooperative strategy (Figure 11b). When the detention cost reaches a certain level, ships may prioritize safeguarding standardization to avoid losses caused by detention (Figure 11c,d). Under different detention cost, when both the inspection rate and the detention rate are above or below average, a certain percentage of ships may choose a noncooperative strategy after reaching equilibrium (Figure 11e). Under a high inspection rate and high detention rate, if the detention cost is low, ships may ignore the detention cost and choose a noncooperative strategy in pursuit of speculative gains (Figure 11f).

Figure 11.
Impacts of detention cost on ships for different combinations of inspection and detention rate.
In summary, the reward and punishment conditions can reduce the burden of the ship safeguard standardization cost, with higher reward and punishment levels having the most significant impact. Compared to the inspection rate, ships are more sensitive to changes in the detention rate, but to a certain extent, the detention cost plays a role similar to that of the detention rate. A certain proportion of ships consistently choose to pursue speculative gains when both factors are at a medium–low level.
3.2.2. Simulation Experiment Results
After constructing the PSC inspection knowledge graph, the influence of parameter value changes on the evolution of the standardization of PSC ship inspection based on a scale-free network is studied. The effects of internal factors on ship game behavior are analyzed by comparing scale-free networks of different sizes. The number of nodes in the network is set to 10 nodes, 50 nodes, 150 nodes, and 400 nodes (Figure 12a–d).

Figure 12.
Scale-free network visualization with different numbers of nodes.
We aimed to further understand the impact of changes in detention cost, inspection rate, and detention rate on ship safety standardization under different network sizes. In the initial state, it was assumed that there was an equal number of ships on each side, 50%, and the environmental noise parameter k was set to 0.2. The simulation experiments for the PSC inspection ship standardization evolutionary game were conducted using scale-free networks with 10, 50, 150, and 400 network nodes. The parameters were set to meet the conditions for a steady state of the evolutionary game system to occur at point (1, 1), as shown in Table 5.
Table 5.
Parameters related to the evolutionary game under different-size networks.
The simulation results for each set of parameters under 10-node, 50-node, 150-node, and 400-node scale-free networks are depicted (Figure 13a–d).

Figure 13.
Simulation results for each node network.
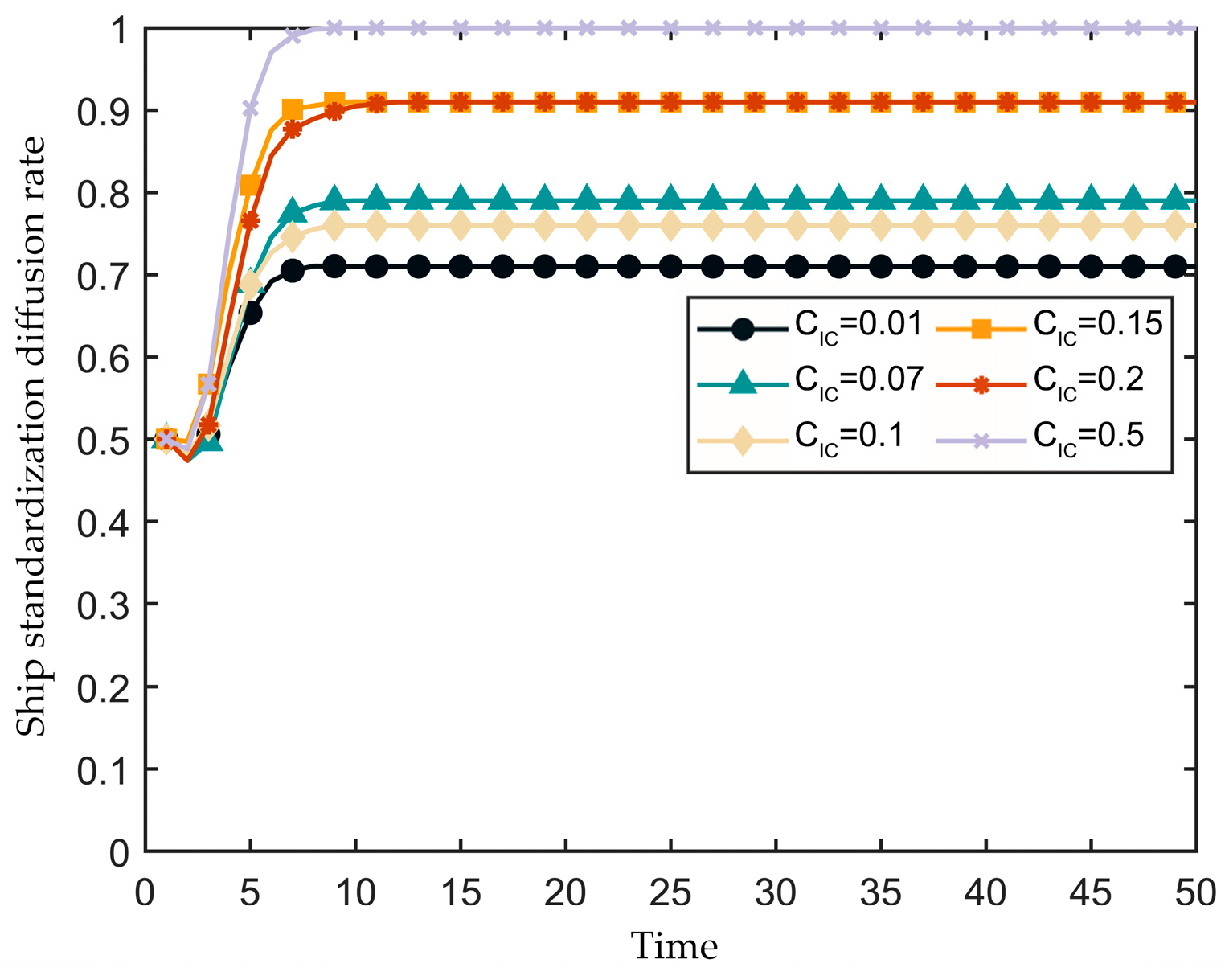
In the ship safety standardization evolutionary game, when the probability of a ship being stranded is high, ships abandon the pursuit of speculative gains. This is evidenced by the simulation results of the L3 and L5 parameter combinations. In the 10-node network, the likelihood of a positive ship encountering a negative ship is greater than that in other scales of networks within these evolution groups. As a result, the system always has some ships that choose a negative strategy after evolutionary stabilization. However, as the network scale increases, ships eventually opt for positive strategies. Ships are extremely sensitive to changes in detention cost. As shown for L1 and L2, in a 50-node scale network, the L1 ship standardization diffusion rate eventually reaches 71%. When the detention cost decreases, the L2 ship standardization diffusion rate eventually decreases to 0.02%. When the expected detention cost exceeds what the ship can afford, to safeguard the interests of the voyage, the ship tends to ensure standardization. The larger the network size, the more pronounced this trend. The detention rate and the detention cost together constitute the expected detention cost. As shown in L4 and L6, when the expected demurrage cost is too low, ships choose a noncooperative strategy. In networks of different sizes, the ship standardization game evolves toward zero and eventually reaches a steady state.
An analysis of the results of the above simulation experiments indicates that in the PSC inspection ship standardization evolutionary game, small-scale networks are more sensitive to relevant parameters in the ship standardization game. The size of the network directly affects the diffusion rate of ship standardization in the steady state of the system. Larger network sizes correlate with a greater degree of ship evolution in the system.
To investigate the effect on the choice of ship strategy, adjustments were made to the ship detention cost, inspection cost, and safeguard standardization cost while keeping the other parameter values constant.
When the ship detention cost is less than seven, a greater number of ships opt for the noncooperative strategy upon reaching the evolutionary steady state compared to the initial count of positive ships. Specifically, when the detention cost is five or lower, all ships embrace the noncooperative strategy after achieving the evolutionary steady state. When the detention cost is 6.5, the ship standardization diffusion rate is 24%, and approximately 38 ships choose negative maintenance of ship standardization. At detention cost of 7 and 7.5, the ship standardization diffusion rate increases to 86% and 98%, resulting in approximately 7 ships and 1 ship opting for negative maintenance of ship standardization, respectively. Finally, when the detention cost is nine, all ships adopt the cooperative strategy after the evolution reaches a steady state, as illustrated in Figure 14.
Figure 14.
Impact of ship detention cost on system evolution.
The impact of the inspection cost on ship strategy selection is evidenced by the number of ships opting for the cooperative strategy relative to the initial number of ships opting for the cooperative strategy. Notably, variations in inspection cost do not lead to a reduction in the number of positive ships after reaching the evolutionary steady state. With increasing inspection cost, the number of ships choosing a positive strategy at the evolutionary steady state increases. Specifically, when the inspection cost is 0.5, the diffusion rate of ship standardization reaches 100%, and all ships adopt a cooperative strategy, as depicted in Figure 15.
Figure 15.
Impact of ship inspection cost on system evolution.
When the ship safeguard standardization cost exceeds three, more ships opt for negative strategies after reaching the evolutionary steady state compared to the initial number of positive ships. Specifically, when the safeguard standardization cost is greater than or equal to four, all ships choose negative strategies after evolution reaches a steady state. In the case of a safeguard standardization cost of three, the ship standardization diffusion rate initially exhibits a declining trend during evolution but gradually increases in subsequent games, eventually stabilizing at 69%. Approximately 16 ships choose to negatively maintain ship standardization in this scenario. When the safeguard standardization cost is four or five, all ships adopt positive strategies after reaching the evolutionary steady state, as illustrated in Figure 16.
Figure 16.
Impact of ship safeguard standardization cost on system evolution.
The simulation results highlight that detention cost and safeguard standardization cost have a more significant influence on vessel strategy choices and the evolution of the scale-free network than inspection cost. Port state authorities should classify ships based on their inspection history, flag state, and other risk factors. By utilizing predictive analytics, they can concentrate their efforts on ships with a higher likelihood of non-compliance, thereby enhancing inspection outcomes and reducing unnecessary inspections of low-risk ships. The parameters for PSC inspection, grounded in evolutionary game theory, are set according to the port’s size (i.e., the network size of incoming and outgoing ships), and relevant PSC inspection strategies are developed based on simulation results. These strategies aim to optimize inspection processes, improve resource allocation, and enhance compliance through targeted inspections that prioritize high-risk ships and allocate resources based on real-time data and risk assessments.
4. Discussion
While current PSC inspections maintain a certain level of accuracy, there remains significant potential for enhancement. The adoption of new intelligent methods is urgently needed to optimize the utilization of inspection resources and to further improve both the accuracy and efficiency of PSC inspections. The introduction of knowledge graphs and their reasoning techniques in the realm of PSC inspection offers new methods for more objective, scientific, and efficient inspections and advances the research on ship risk to a certain extent, with significant theoretical implications. Moreover, applying knowledge graphs addresses the needs of modern maritime supervision by maximizing the use of PSC inspection resources, which, in turn, enhances the efficiency of inspections conducted by port state authorities and reinforces ship compliance with international conventions. Additionally, the application of knowledge graphs provides crucial technical support for reducing the likelihood of ship accidents and preventing marine environmental pollution [39]. Therefore, integrating isolated MOU database inspection data and fusing multisource information through knowledge graphs is of paramount practical significance. This approach aims to improve the identification of risky ships in PSC inspections, optimize inspection resource allocation, and formulate PSC inspection strategies within the evolutionary game of knowledge graphs. This paper presents an evolutionary game model of PSC inspection based on knowledge graphs, deriving PSC inspection strategies from the results of the evolutionary game. These suggested strategies can assist port state authorities in making informed decisions regarding PSC inspections, ultimately enhancing the efficiency of inspections and resource utilization.
The PSC knowledge graph construction application methods achieve good results in both entity recognition and knowledge fusion tasks. Compared with mainstream knowledge graph construction methods based on deep learning, these methods demonstrate greater accuracy and stability. In the PSC inspection evolutionary game model based on the knowledge graph, the simulation results indicate that the reward and punishment conditions () can reduce the burden of ship support standardization cost, with the highest reward and punishment levels yielding the greatest effects. Compared with inspection rate , ships are more sensitive to changes in detention rate . However, to a certain extent, detention cost plays a role similar to that of detention rate . When both are at medium or low levels, a certain proportion of ships always choose to pursue speculative returns. In the PSC inspection ship standardization evolutionary game, small-scale networks are more sensitive to relevant parameters in the ship standardization game, and network size directly affects the ship standardization diffusion rate in the steady system state. The larger the network, the greater the degree of ship evolution in the system. Compared with inspection cost, detention cost and support standardization cost have greater influences on ship strategy selection and scale-free network evolution.
PSC inspection primarily targets foreign ships on international voyages and involves various stakeholders, such as port state authorities, ships, and shipping companies. Therefore, a challenge arises in formulating a PSC inspection strategy that comprehensively considers real-world factors to assist port state authorities and port state control officers (PSCOs) in decision-making. Vertical domain knowledge graphs are typically constructed using top-down or a combination of top-down and bottom-up methods, but there is not yet a unified automated construction method. Knowledge graphs have found applications in various domains, including maritime, health care, and engineering areas, showing significant potential for further growth [40]. Complex network evolutionary game theory serves as a valuable tool across multiple domains. In previous research on PSC inspection strategies and decision-making, ships were treated as entities integrated into complex networks and evolutionary games. Through the combined application of knowledge graphs and PSC inspections, port state authorities can set parameters according to the scale of the port under their jurisdiction (i.e., the size of the network composed of incoming and outgoing vessels). This will allow them to formulate relevant PSC inspection strategies, thereby maximizing the utilization of PSC inspection resources, improving inspection efficiency, reducing the probability of ship accidents, and minimizing the risk of marine environmental pollution.
This study has several limitations. First, the model accuracy in constructing the PSC knowledge graph needs to be improved. While the RoBERTa-wwm-ext-BiLSTM-CRF model and XGBoost4 model achieved reasonable accuracy and stability in the current study, there is still room for improvement. Second, the source of PSC inspection knowledge needs to be expanded; currently, it mainly includes historical PSC inspection data, but the method can be applied to more international conventions and adapted accordingly. Finally, the influence factors of the knowledge graph evolutionary game need to be broadened, considering the impact of various dynamic factors on the evolutionary game of PSC inspections.
In future research, we aim to incorporate more international convention data to enrich knowledge and broaden the application scope of the knowledge graph. Additionally, factors such as ship characteristics during the gaming process, varied gains and strategies, and dynamic adjustments to the network structure will be considered. Furthermore, new methods will be explored for pollution prevention through inspection, expansion of the content and methods of PSC inspection, and provision of recommendations for the future management of the shipping industry.
5. Conclusions
In a single PSC inspection, it is challenging to fully utilize all types of information and inspection resources. This paper proposes a knowledge graph-based PSC inspection evolutionary game simulation method that obtains relevant inspection strategies based on the knowledge graph evolutionary game model. The PSC inspection knowledge graph can semiautomatically extract knowledge from domain text data, saving the effort required for manually constructed resources. The trained model can be directly deployed and used and can be flexibly and quickly retrained according to the needs of the scenario. The extracted knowledge triples are stored in the graph database Neo4j, enabling fast identification of relevant knowledge and support for PSC inspections through keyword queries. This achieves the integration and unified representation of PSC multisource data, resulting in structured PSC knowledge that is rich in semantic information. The evolutionary game method of PSC inspection based on a knowledge graph analyzes the effects of detention cost, inspection cost, inspection rate, and detention rate, as well as the reward and punishment conditions, on the results of the evolutionary game. This approach assists in PSC inspection decision-making and effectively improves the efficiency and accuracy of PSC inspections.
In the construction of the PSC inspection knowledge graph, the RoBERTa-wwm-ext model is used for entity recognition, and the XGBoost4 model is used for knowledge fusion. The simulation experiments verify that the models achieve high accuracy. The PSC inspection knowledge graph can be effectively associated with port state supervisory knowledge, strongly supporting law enforcement officers in the review and utilization of inspection events. In the evolutionary game of PSC inspection, a method is proposed to study the evolutionary game within a ship group from a micro perspective. The numerical and evolutionary simulations of the standardization diffusion rate of ship safeguards explore the evolutionary impact of each parameter on the subgraph. The experimental results show that the reward and punishment conditions () can reduce the burden of the ship’s standardization cost. A ship is more sensitive to changes in detention rate than to changes in inspection rate . To a certain extent, detention cost plays a role similar to that of detention rate . In small-scale networks, relevant parameters in the ship standardization game have a more pronounced effect. Both detention cost and safeguard standardization cost significantly influence ship strategy selection and the evolution of the scale-free network. The PSC inspection evolutionary game model based on the knowledge graph can effectively improve the efficiency and accuracy of PSC inspections, providing auxiliary decision-making support for PSCOs. This model offers technical support for the intelligent enforcement of PSC inspections. The research results of this paper are of great practical significance for the informatization of PSC inspections and ship management.
Author Contributions
Conceptualization, C.L. and L.G.; Methodology, C.L., Q.W. and B.X.; Software, Q.W. and B.X.; Validation, C.L., Q.W., B.X. and Y.X.; Formal analysis, Q.W. and Y.X.; Investigation, C.L and L.G.; Resources, L.G. and Y.X.; Data curation, L.G.; Writing—original draft preparation, C.L. and Q.W.; Writing—review and editing, C.L. and Q.W.; Visualization, C.L. and B.X.; Supervision, L.G., B.X. and Y.X.; Project administration, C.L. and L.G.; Funding acquisition, C.L. All authors have read and agreed to the published version of the manuscript.
Funding
This research received no external funding.
Institutional Review Board Statement
Not applicable.
Informed Consent Statement
Not applicable.
Data Availability Statement
The data presented in this study are available on request from the corresponding author. The data are not publicly available due to the data in this study involve the privacy restrictions of the maritime authorities.
Conflicts of Interest
The authors declare no conflict of interest.
References
- Chuah, L.F.; Mokhtar, K.; Anuar, A.B.; Othman, M.R.; Osman, N.H.; Bokhari, A.; Mubashir, M.; Abdullah, M.A.; Hasan, M. Marine environment and maritime safety assessment using Port State Control database. Chemosphere 2022, 304, 135245. [Google Scholar] [PubMed]
- Knapp, S.; Heij, C. Improved Strategies for the Maritime Industry to Target Vessels for Inspection and to Select Inspection Priority Areas. Safety 2020, 6, 18. [Google Scholar] [CrossRef]
- Yang, Z.; Yang, Z.; Teixeira, A.P. Comparative analysis of the impact of new inspection regime on port state control inspection. Transp. Policy 2020, 92, 65–80. [Google Scholar]
- Fu, J.; Chen, X.; Wu, S.; Shi, C.; Wu, H.; Zhao, J.; Xiong, P. Mining ship deficiency correlations from historical port state control (PSC) inspection data. PLoS ONE 2020, 15, e0229211. [Google Scholar]
- Tsou, M.C. Big data analysis of port state control ship detention database. J. Mar. Eng. Technol. 2019, 18, 113–121. [Google Scholar]
- Cuong, T.N.; Long, L.N.B.; Kim, H.S.; You, S.S. Data analytics and throughput forecasting in port management systems against disruptions: A case study of Busan Port. Marit. Econ. Logist. 2023, 25, 61–89. [Google Scholar]
- Xiao, Y.; Wang, G.; Ge, Y.-E.; Xu, Q.; Li, K.X. Game model for a new inspection regime of port state control under different reward and punishment conditions. Transp. Res. Part E 2021, 156, 102526. [Google Scholar]
- Yu, Q.; Teixeira, A.P.; Liu, K.; Rong, H.; Soares, C.G. An integrated dynamic ship risk model based on Bayesian Networks and Evidential Reasoning. Reliab. Eng. Syst. Saf. 2021, 216, 107993. [Google Scholar]
- Titz, M.A. Port state control versus marine environmental pollution. Marit. Policy Manag. 1989, 16, 189–211. [Google Scholar]
- Yang, Z.; Yang, Z.; Yin, J.; Qu, Z. A risk-based game model for rational inspections in port state control. Transp. Res. Part E 2018, 118, 477–495. [Google Scholar]
- Yan, R.; Wang, S.; Cao, J.; Sun, D. Shipping Domain Knowledge Informed Prediction and Optimization in Port State Control. Transp. Res. Part B-Methodol. 2021, 149, 52–78. [Google Scholar]
- Cuong, T.N.; Kim, H.S.; Long, L.N.B.; You, S.S. Seaport profit analysis and efficient management strategies under stochastic disruptions. Marit. Econ. Logist. 2024, 26, 212–240. [Google Scholar]
- Ji, S.; Pan, S.; Cambria, E.; Marttinen, P.; Yu, P.S. A Survey on Knowledge Graphs: Representation, Acquisition, and Applications. IEEE Trans. Neural Netw. Learn. Syst. 2022, 33, 494–514. [Google Scholar]
- Zhong, S.; Wen, Y.; Huang, Y.; Cheng, X.; Huang, L. Ontological Ship Behavior Modeling Based on COLREGs for Knowledge Reasoning. J. Mar. Sci. Eng. 2022, 10, 203. [Google Scholar] [CrossRef]
- Liu, S.; Wang, F. Knowledge Graph of Maritime Collision Avoidance Rules in Chinese. In Proceedings of the 11th International Conference on Intelligent Human-Machine Systems and Cybernetics (IHMSC), Hangzhou, China, 24–25 August 2019; IEEE Press: Piscataway, NJ, USA, 2019; pp. 169–172. [Google Scholar]
- Del Mondo, G.; Peng, P.; Gensel, J.; Claramunt, C.; Lu, F. Leveraging Spatio-Temporal Graphs and Knowledge Graphs: Perspectives in the Field of Maritime Transportation. Isprs Int. J. Geo-Inf. 2021, 10, 541. [Google Scholar] [CrossRef]
- Wang, M.; Li, Y.; Zhang, B.; Wang, Z.; Cai, W. Study on construction of safety management knowledge graph for road transport of dangerous goods. J. Saf. Environ. 2022, 22, 3197–3207. [Google Scholar]
- Wen, Y.; Zhang, Q.; Xiao, C.; Dong, H. Construction of Knowledge Graph for Dangerous Goods in Waterway Transport. Navig. China 2019, 42, 1–6. [Google Scholar]
- Zhang, Q.; Wen, Y.; Zhou, C.; Long, H.; Han, D.; Zhang, F.; Xiao, C. Construction of Knowledge Graphs for Maritime Dangerous Goods. Sustainability 2019, 11, 2849. [Google Scholar] [CrossRef]
- Xu, X.; Hou, Y.; Zhao, C.; Shi, L.; Gong, Y. Research on cooperation mechanism of marine plastic waste management based on complex network evolutionary game. Mar. Policy 2021, 134, 104774. [Google Scholar]
- Zhao, C.; Hou, Y.; Liu, M.; Gong, Y.; Wang, J. Research on the cooperative network game model of marine plastic waste management. Mar. Policy 2023, 149, 105504. [Google Scholar]
- Jiang, J.; Ma, Z.; Lin, L.; Yuan, Y.; Fu, X. Analysis of the evolutionary game between maritime regulators and carriers under the discharge of ballast nuclear wastewater from ships. Ocean Coast. Manag. 2023, 238, 106558. [Google Scholar]
- Li, Q.; Zhang, Z.; Chen, Z.; Chen, L.; Zhang, J.; Chen, K.; Wang, Y.; Gao, Y. Evolutionary dynamics of competition among ports in networks. Mod. Phys. Lett. B 2020, 34, 2050248. [Google Scholar]
- Huangfu, Y.Z. Simulation Research on Complex Network Evolution Game of Crude Oil Transportation; Dalian Maritime University: Dalian, China, 2019. [Google Scholar]
- Cuong, T.N.; Xu, X.; Kim, H.S.; Nguyen, D.A.; You, S.S. Container port throughput analysis and active management using control theory. Proc. Inst. Mech. Eng. Part M J. Eng. Marit. Environ. 2022, 236, 185–195. [Google Scholar]
- Cuong, T.N.; Kim, H.S.; You, S.S.; Nguyen, D.A. Seaport throughput forecasting and post COVID-19 recovery policy by using effective decision-making strategy: A case study of Vietnam ports. Comput. Ind. Eng. 2022, 168, 108102. [Google Scholar]
- Rawson, A.; Brito, M. A survey of the opportunities and challenges of supervised machine learning in maritime risk analysis. Transp. Rev. 2022, 43, 108–130. [Google Scholar]
- Ataeva, O.M.; Serebryakov, V.A.; Tuchkova, N.P. Ontological Approach to a Knowledge Graph Construction in a Semantic Library. Lobachevskii J. Math. 2023, 44, 2229–2239. [Google Scholar]
- Huang, Z.; Xu, W.; Yu, K. Bidirectional LSTM-CRF models for sequence tagging. arXiv 2015, arXiv:1508.01. [Google Scholar]
- Cui, Y.; Che, W.; Liu, T.; Qin, B.; Yang, Z. Pre-training with whole word masking for Chinese BERT. IEEE-ACM Trans. Audio Speech Lang. Process. 2021, 29, 3504–3514. [Google Scholar]
- Ethyarajh, K. Unsupervised random walk sentence embeddings: A strong but simple baseline. In Proceedings of the Third Workshop on Representation Learning for NLP, Association for Computational Linguistics, Melbourne, Australia, 20 July 2018; pp. 91–100. [Google Scholar]
- Shan, S.; Ni, H.; Chen, G.; Lin, X.; Li, J. A Machine Learning Framework for Enhancing Short-Term Water Demand Forecasting Using Attention-BiLSTM Networks Integrated with XGBoost Residual Correction. Water 2023, 15, 3605. [Google Scholar] [CrossRef]
- Qin, X.; Han, X.; Chu, J.; Zhang, Y.; Xu, X.; Xie, J.; Xie, G. Density Peaks Clustering Based on Jaccard Similarity and Label Propagation. Cogn. Comput. 2021, 13, 1609–1626. [Google Scholar]
- Cahyono, S.C. Comparison of document similarity measurements in scientific writing using Jaro-Winkler Distance method and Paragraph Vector method. IOP Conf. Ser. Mater. Sci. Eng. 2019, 662, 052016. [Google Scholar]
- Wang, L.; Ma, Q.; Yang, J.; Zheng, J. Research on The Influence of Green Consumers on The Diffusion of New Energy Vehicles Based on complex Network Evolutionary Game. Chin. J. Manag. Sci. 2022, 30, 74–85. [Google Scholar]
- Gao, Y.; Zhang, L.; Wang, C.; Zheng, X.; Wang, Q. An Evolutionary Game-Theoretic Approach to Unmanned Aerial Vehicle Network Target Assignment in Three-Dimensional Scenarios. Mathematics 2023, 11, 4196. [Google Scholar] [CrossRef]
- Wang, W.; Shi, S.; Fu, X. The subnetwork investigation of scale-free networks based on the self-similarity. Chaos Solitons Fractals 2022, 161, 112140. [Google Scholar]
- Hasić, F.; Corea, C.; Blatt, J.; Delfmann, P.; Serral, E. Decision model change patterns for dynamic system evolution. Knowl. Inf. Syst. 2020, 62, 3665–3696. [Google Scholar]
- Yan, R.; Zhuge, D.; Wang, S. Development of Two Highly-Efficient and Innovative Inspection Schemes for PSC Inspection. Asia-Pac. J. Oper. Res. 2021, 38, 2040013. [Google Scholar]
- Chen, J.; Liu, X.; Zhou, S.; Kang, J. Knowledge mapping analysis of resilient shipping network using CiteSpace. Ocean Coast. Manag. 2023, 244, 106775. [Google Scholar]
Disclaimer/Publisher’s Note: The statements, opinions and data contained in all publications are solely those of the individual author(s) and contributor(s) and not of MDPI and/or the editor(s). MDPI and/or the editor(s) disclaim responsibility for any injury to people or property resulting from any ideas, methods, instructions or products referred to in the content. |
© 2024 by the authors. Licensee MDPI, Basel, Switzerland. This article is an open access article distributed under the terms and conditions of the Creative Commons Attribution (CC BY) license (https://creativecommons.org/licenses/by/4.0/).


















