Experimental Study of Wave-Induced Pore Pressure Gradients around a Sandbar and Their Effects on Seabed Instability
Abstract
1. Introduction
2. Experiments
2.1. Experimental Setups
2.2. Soil Parameters
2.3. Test Conditions
3. Results and Discussion
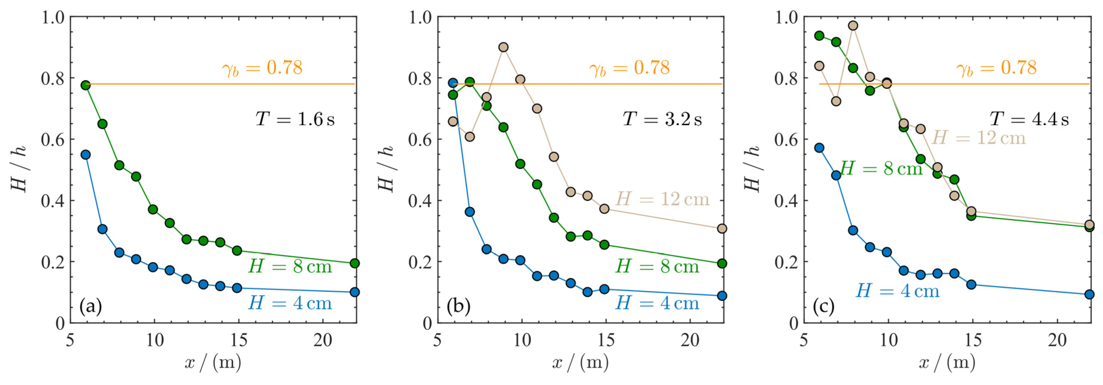
3.1. Wave Motion around the Sandbar
3.2. Wave-Induced Pore Pressure Responses around the Sandbar
3.3. Wave-Induced Seabed Liquefaction Potential around the Sandbar
4. Conclusions
- (1)
- Wave-induced pore pressure gradients during the shoaling process: During the wave shoaling process over the sandbar, the horizontal pore pressure gradient increased, while the upward vertical pore pressure gradient decreased along the direction of wave propagation. This change is attributed to the sharpening and asymmetry of the free surface as the waves approach the sandbar.
- (2)
- Seabed Liquefaction Potential: The study found that the wave-induced upward pore pressure gradient is generally insufficient to cause seabed liquefaction. However, under extreme wave conditions, with wave heights of 8 cm or 12 cm, the wave-induced horizontal pressure gradient under the wave crest exceeds the liquefaction threshold near the wave-breaking point. This highlights the potential for momentary liquefaction driven by horizontal pressure gradients in such scenarios.
- (3)
- Sediment Transport Mechanism: Wave-induced pore pressure gradients play a significant role in sediment transport. Under mild wave conditions, the absence of liquefaction results in some soil particles being suspended in the water by viscous stress at the water-seabed interface. In contrast, under extreme wave conditions, liquefaction induced by horizontal pressure gradients near the sandbar leads to shear granular flow on the seabed surface, as the downward pressure gradient prevents soil particles from suspension.
Author Contributions
Funding
Institutional Review Board Statement
Informed Consent Statement
Data Availability Statement
Conflicts of Interest
References
- Roelvink, J.A.; Stive, M.J.F. Bar-generating cross-shore flow mechanisms on a beach. J. Geophys. Res. Oceans 1989, 94, 4785–4800. [Google Scholar] [CrossRef]
- Dupont, R.; Bouchette, F.; Mohammadi, B. Modelling beaches morphodynamic by Hadamard sensitivity analysis. Ocean Model. 2024, 189, 102370. [Google Scholar] [CrossRef]
- Mieras, R.S.; Puleo, J.A.; Anderson, D.; Hsu, T.-J.; Cox, D.T.; Calantoni, J. Relative contributions of bed load and suspended load to sediment transport under skewed-asymmetric waves on a sandbar crest. J. Geophys. Res. Oceans 2019, 124, 1294–1321. [Google Scholar] [CrossRef]
- Marchesiello, P.; Chauchat, J.; Shafiei, H.; Almar, R.; Benshila, R.; Dumas, F.; Debreu, L. 3D wave-resolving simulation of sandbar migration. Ocean Model. 2022, 180, 102127. [Google Scholar] [CrossRef]
- Dubarbier, B.; Castelle, B.; Marieu, V.; Ruessink, G. Process-based modeling of cross-shore sandbar behavior. Coast. Eng. 2015, 95, 35–50. [Google Scholar] [CrossRef]
- Shields, A. Anwendung der Aehnlichkeitsmechanik und der Turbulenzforschung auf die Geschiebebewegung. Ph.D. Thesis, Technical University Berlin, Berlin, Germany, 1936. [Google Scholar]
- Fredsoe, J.; Deigaard, R. Mechanics of Coastal Sediment Transport; World Scientific Publishing Company: Singapore, 1992. [Google Scholar]
- Yang, C.T. Incipient motion and sediment transport. J. Hydraul. Div. 1973, 99, 1679–1704. [Google Scholar] [CrossRef]
- Beheshti, A.A.; Ataie-Ashtiani, B. Analysis of threshold and incipient conditions for sediment movement. Coast. Eng. 2008, 55, 423–430. [Google Scholar] [CrossRef]
- Ling, C.H. Criteria for incipient motion of spherical sediment particles. J. Hydraul. Eng. 1995, 121, 472–478. [Google Scholar] [CrossRef]
- Wong, M.; Parker, G. Reanalysis and correction of bed-load relation of Meyer-Peter and Müller using their own database. J. Hydraul. Eng. 2006, 132, 1159–1168. [Google Scholar] [CrossRef]
- Liang, D.; Cheng, L.; Li, F. Numerical modeling of flow and scour below a pipeline in currents: Part II. Scour simulation. Coastal Eng. 2005, 52, 43–62. [Google Scholar] [CrossRef]
- Baykal, C.Ü.; Sumer, B.M.; Fuhrman, D.R.; Jacobsen, N.G.; Fredsøe, J. Numerical simulation of scour and backfilling processes around a circular pile in waves. Coast. Eng. 2017, 122, 87–107. [Google Scholar] [CrossRef]
- Soulsby, R. Dynamics of Marine Sands: A Manual for Practical Applications; Thomas Telford: London, UK, 1997. [Google Scholar]
- Dick, J.E.; Sleath, J.F.A. Velocities and concentrations in oscillatory flow over beds of sediment. J. Fluid Mech. 1991, 233, 165–196. [Google Scholar] [CrossRef]
- Zala Flores, N.; Sleath, J.F. Mobile layer in oscillatory sheet flow. J. Geophys. Res. Oceans 1998, 103, 12783–12793. [Google Scholar] [CrossRef]
- Madsen, O.S. Stability of a sand bed under breaking waves. In Proceedings of the 14th International Conference on Coastal Engineering, ASCE, Copenhagen, Denmark, 24–28 June 1974; pp. 776–794. [Google Scholar] [CrossRef]
- Packwood, A.R.; Peregrine, D.H. The propagation of solitary waves and bores over a porous bed. Coast. Eng. 1980, 3, 221–242. [Google Scholar] [CrossRef]
- Sleath, J.F. Conditions for plug formation in oscillatory flow. Cont. Shelf. Res. 1999, 19, 1643–1664. [Google Scholar] [CrossRef]
- Foster, D.L.; Bowen, A.J.; Holman, R.A.; Natoo, P. Field evidence of pressure gradient induced incipient motion. J. Geophys. Res. Oceans 2006, 111, C05004. [Google Scholar] [CrossRef]
- Tong, L.L.; Liu, P.L.F. Transient wave-induced pore-water-pressure and soil responses in a shallow unsaturated poroelastic seabed. J. Fluid Mech. 2022, 938, A36. [Google Scholar] [CrossRef]
- Tong, L.L.; Zhang, J.L.; Zhao, J.L.; Zheng, J.H.; Guo, Y.K. Modelling study of wave damping over a sandy and a silty bed. Coastal Eng. 2020, 161, 103756. [Google Scholar] [CrossRef]
- Liu, P.L.F.; Park, Y.S.; Lara, J.L. Long-wave-induced flows in an unsaturated permeable seabed. J. Fluid Mech. 2007, 586, 323–345. [Google Scholar] [CrossRef]
- Anderson, D.; Cox, D.; Mieras, R.; Puleo, J.A.; Hsu, T.J. Observations of wave-induced pore pressure gradients and bed level response on a surf zone sandbar. J. Geophys. Res. Oceans 2017, 122, 5169–5193. [Google Scholar] [CrossRef]
- Berni, C.; Michallet, H.; Barthélemy, E. Effects of horizontal pressure gradients on bed destabilization under waves. J. Fluid Mech. 2017, 812, 721–751. [Google Scholar] [CrossRef]
- Islam, M.S.; Suzuki, T.; Thilakarathne, S. Physical modeling of sandbar dynamics to correlate wave-induced pore pressure gradient, sediment concentration, and bed-level erosion. Ocean Eng. 2024, 307, 118161. [Google Scholar] [CrossRef]
- Jeng, D.S.; Hsu, J.S.C. Wave-induced soil response in a nearly saturated sea-bed of finite thickness. Geotechnique 1996, 46, 427–440. [Google Scholar] [CrossRef]
- Zhang, Y.; Jeng, D.S.; Gao, F.P.; Zhang, J.S. An analytical solution for response of a porous seabed to combined wave and current loading. Ocean Eng. 2012, 57, 240–247. [Google Scholar] [CrossRef]
- Almar, R.; Hounkonnou, N.; Anthony, E.J.; Castelle, B.; Senechal, N.; Laibi, R.; Mensah-Senoo, T.; Degbe, G.; Quenum, M.; Dorel, M.; et al. The Grand Popo beach 2013 experiment, Benin, West Africa: From short timescale processes to their integrated impact over long-term coastal evolution. J. Coast. Res. 2014, 70, 651–656. [Google Scholar] [CrossRef]
- Grasso, F.; Michallet, H.; Barthélemy, E.; Certain, R. Physical modeling of intermediate cross-shore beach morphology: Transients and equilibrium states. J. Geophys. Res. Oceans 2009, 114, C09001. [Google Scholar] [CrossRef]
- Lyu, W.; Wang, X. Stokes–Darcy system, small-Darcy-number behaviour and related interfacial conditions. J. Fluid Mech. 2021, 922, A4. [Google Scholar] [CrossRef]
- Bear, J. Dynamics of Fluids in Porous Media; Dover Publications: Mineola, NY, USA, 1972. [Google Scholar]
- Mei, C.C. The Applied Dynamics of Ocean Surface Waves; World Scientific: Singapore, 1989. [Google Scholar]
- Li, C.F.; Gao, F.P. Characterization of spatio-temporal distributions of wave-induced pore pressure in a non-cohesive seabed: Amplitude-attenuation and phase-lag. Ocean Eng. 2022, 253, 111315. [Google Scholar] [CrossRef]
- Tong, L.L.; Zhang, J.S.; Chen, N.; Lin, X.F.; He, R.; Sun, L. Internal solitary wave-induced soil responses and its effects on seabed instability in the South China Sea. Ocean Eng. 2024, 310, 118697. [Google Scholar] [CrossRef]











| Parameter | Symbol | Value |
|---|---|---|
| Mean grain size | d50 | 0.2 mm |
| Specific weight of sand grains | γs | 2.59 × 104 N/m3 |
| Porosity | n | 0.38 |
| Geometric standard deviation of particle size | σ | 1.41 |
| Submerged weight of the soil | γ | 9.97 × 103 N/m3 |
| Case No. | Wave Height H (cm) | Wave Period T (s) | Nonlinearity Ur | Wave Reynolds Number, Re | Particle Reynolds Number, Rep | Fr | Da |
|---|---|---|---|---|---|---|---|
| C1 | 4 | 1.6 | 1.98 | 2.57 × 105 | 15.71 | 0.0324 | 1.25 × 10−4 |
| C2 | 8 | 1.6 | 3.96 | 5.14 × 105 | 31.42 | 0.0647 | 1.25 × 10−4 |
| C3 | 4 | 3.2 | 10.30 | 2.93 × 105 | 7.85 | 0.0162 | 6.23 × 10−5 |
| C4 | 8 | 3.2 | 20.60 | 5.86 × 105 | 15.71 | 0.0324 | 6.23 × 10−5 |
| C5 | 12 | 3.2 | 30.90 | 8.79 × 105 | 23.56 | 0.0486 | 6.23 × 10−5 |
| C6 | 4 | 4.4 | 20.23 | 2.99 × 105 | 5.71 | 0.0118 | 4.53 × 10−5 |
| C7 | 8 | 4.4 | 40.47 | 5.97 × 105 | 11.42 | 0.0235 | 4.53 × 10−5 |
| C8 | 12 | 4.4 | 60.70 | 8.96 × 105 | 17.14 | 0.0353 | 4.53 × 10−5 |
Disclaimer/Publisher’s Note: The statements, opinions and data contained in all publications are solely those of the individual author(s) and contributor(s) and not of MDPI and/or the editor(s). MDPI and/or the editor(s) disclaim responsibility for any injury to people or property resulting from any ideas, methods, instructions or products referred to in the content. |
© 2024 by the authors. Licensee MDPI, Basel, Switzerland. This article is an open access article distributed under the terms and conditions of the Creative Commons Attribution (CC BY) license (https://creativecommons.org/licenses/by/4.0/).
Share and Cite
Chen, M.; Zheng, J.; Tong, L.; Zhang, J.; Luo, M.; Chen, N. Experimental Study of Wave-Induced Pore Pressure Gradients around a Sandbar and Their Effects on Seabed Instability. J. Mar. Sci. Eng. 2024, 12, 1630. https://doi.org/10.3390/jmse12091630
Chen M, Zheng J, Tong L, Zhang J, Luo M, Chen N. Experimental Study of Wave-Induced Pore Pressure Gradients around a Sandbar and Their Effects on Seabed Instability. Journal of Marine Science and Engineering. 2024; 12(9):1630. https://doi.org/10.3390/jmse12091630
Chicago/Turabian StyleChen, Mili, Jinhai Zheng, Linlong Tong, Jisheng Zhang, Mengyan Luo, and Ning Chen. 2024. "Experimental Study of Wave-Induced Pore Pressure Gradients around a Sandbar and Their Effects on Seabed Instability" Journal of Marine Science and Engineering 12, no. 9: 1630. https://doi.org/10.3390/jmse12091630
APA StyleChen, M., Zheng, J., Tong, L., Zhang, J., Luo, M., & Chen, N. (2024). Experimental Study of Wave-Induced Pore Pressure Gradients around a Sandbar and Their Effects on Seabed Instability. Journal of Marine Science and Engineering, 12(9), 1630. https://doi.org/10.3390/jmse12091630
