Abstract
Supplying power to large, pulsed power loads in shipboard medium voltage direct current integrated power systems is challenging due to the limited dynamic power responsiveness of the gas turbine. The two main solutions to this problem are improving the gas turbine’s dynamic performance and using energy storage devices for transient power compensation. In this paper, these two approaches are combined to achieve optimal coordination between the gas turbine’s dynamic response and the system’s transient power sharing strategy, and a mechanical–electrical cooperative operation strategy and a hierarchical optimization method of the system are proposed. The hierarchical optimization model is designed with energy storage configuration and dynamic performance as the lower and upper objectives, and an efficient parallel neural network-based genetic algorithm is employed to solve this optimization. The proposed method is applied to determine the system optimal energy storage configuration and dynamic performance across multiple scenarios, including different propulsion conditions with various types of large, pulsed power loads. The results demonstrate that the proposed method effectively reduces energy storage requirements: fuel system optimization, IGV adjustment strategy, and bleeding strategy, respectively, lower the energy storage configuration optimization objective values by 10.6%, 20.1%, 2.4%, and 6.2%, 6.5%, 5.3%. The SVSDP scheme achieves reductions of 19.5%, 7.6%, and 49.6%, 39.7% compared to VRCD and PSO-FS. Furthermore, the method also enhances the system’s dynamic response: under the specified HESS configuration, fuel system optimization, IGV adjustment strategy, and bleeding strategy reduce the dynamic performance optimization objective values by 6.8%, 23.3%, 8.6%, and 9.2%, 21.5%, 6.8%. The SVSDP scheme results in reductions of 21.3%, 15.4%, and 66.2%, 26.0% compared to VRCD and PSO-FS.
1. Introduction
The shipboard medium voltage direct current (MVDC) integrated power system (simplified MVDC system) offers enhanced capabilities for supporting shipboard high-energy weapons, representing the advances in the development of naval ship power platforms worldwide [1]. With the rapid advancement of technologies such as electromagnetic railguns, solid-state lasers, and high-power microwaves, the power demand from these shipboard large, pulsed power loads (LPPLs) often causes a significant ramp in load power, much higher than the response capability of the gas turbine genset, leading to severe transient fluctuations in bus voltage and genset shaft speed, which can severely impact the safe operation of the genset or even the entire power system [2]. With the advantages of high-power density, rapid startup, and low-frequency components, the gas turbine has become the ideal choice as a prime mover in naval integrated power systems of major naval vessels worldwide. For example, the U.S. DDG-1000-class destroyer and the UK Queen Elizabeth class aircraft carrier are equipped with the MT30 gas turbine, and the UK Type 45 class destroyer is equipped with the WR-21 gas turbine.
To meet the operational requirements of LPPLs, the system can generally be optimized in two ways: first, by enhancing the dynamic performance of the gas turbine to improve the system’s dynamic response capability; and second, by utilizing energy storage for transient power compensation and strategically designing the transient power sharing, further boosting the system’s dynamic performance. To date, substantial research has been focused on these two aspects.
Gas turbines used in naval power generation typically operate under constant speed control, with the PID controller serving as the fundamental control mechanism. To enhance the performance of gas turbine speed control, research has primarily focused on the following areas. The first is optimizing the control logic. Liu et al. [3] proposed a segmented PID control strategy, Yang et al. [4] suggested a fuzzy feed-forward PID strategy, and Zhang et al. [5] introduced a closed-loop control strategy combining power feed-forward with gas generator speed-series PID. Second, optimizing controller parameters through swarm intelligence algorithms, which can significantly improve transient speed regulation (TSR) and reduce the stable time during transitions in gas turbine operation. References [6,7,8] employed improved genetic algorithms (GA), artificial fish swarm optimization, and sewing training-based optimization algorithm for tuning the parameters of fuzzy PID controllers. Third, advanced control algorithms are being applied to replace or enhance traditional PID control. For instance, Shi et al. [9] and Lin et al. [10] applied linear and nonlinear self-impedance techniques to the speed control of both split-shaft and single-shaft gas turbines. In order to achieve the online adjustment of control parameters, researchers have also utilized advanced algorithms such as fuzzy control [11,12], neural network control [13], and model predictive control [14] in gas turbine control systems, aiming to enhance the system’s adaptive capacity and dynamic performance. In addition to optimizing the speed controller, researchers have explored various factors and optimization methods that impact the dynamic performance of gas turbines. For example, Guan [15] optimized dynamic performance by adjusting the bleeding flow and inlet guide vanes (IGV) angle, while Yan et al. [16] proposed a power feed-forward IGV angle control strategy that reduced TSR by 11% during load mutations and improved surge margin.
In the context of system transient power sharing strategies, configuring energy storage (ES) plays a crucial role in addressing the LPPL operation problem [17]. Electrical ES can be classified into two types: energy-type and power-type. Different types of ES have distinct characteristics, such as power density, energy density, ramp rate, and lifecycle [18]. Compared to a single ES, a hybrid energy storage system (HESS) leverages the strengths of various ES types, making it more adaptable to the power requirements of marine LPPLs. However, this also leads to a more complex control strategy. The key to optimizing the use of ES lies in selecting the appropriate control strategy. ES control strategies rely on specific rules to govern power sources, such as classifying the operating states of power sources based on ship power, state of charge (SOC), or efficiency maps, and controlling them according to predefined rules [19]. Furthermore, fuzzy rule-based hybrid energy storage control strategies have been adopted to enhance adaptability and manage diverse operating conditions [20,21,22]. Li et al. [23] proposed a hybrid energy storage power allocation strategy based on the combination of the artificial hummingbird algorithm and variational mode decomposition. Chen et al. [24] proposed a virtual resistance and capacitance-based droop control algorithm (VRCD), which extends the capabilities of virtual impedance droop control. To further optimize control performance, online optimization methodologies like ECMS, MPC, and PMP are also widely used [25,26,27]. Additionally, dynamic programming (DP) algorithms have been employed for power distribution decisions in system energy management. Zeng et al. [28] developed an optimal daily scheduling strategy, focusing on the economic operation of microgrids, while Zhang et al. [29] implemented adaptive energy management for real-time driving cycles based on 100 s historical data.
Summarizing the previous studies, the optimization of the dynamic performance of gas turbines largely relies on improvements in control strategies and algorithms. However, for dynamic conditions with small power fluctuations, these methods can play a certain role and effectively enhance the performance. When facing large load fluctuations; however, experimental and simulation results show that the gas turbine fuel limit decides the actual fuel flow, making it difficult for improvements based on control algorithms to achieve the desired effects. This issue will be further explained in the later sections of this paper. Additionally, some dynamic regulation methods, such as IGV dynamic adjustment and bleeding strategies, can somewhat improve dynamic performance. In terms of power sharing, energy storage power compensation control strategies mainly focus on improving voltage transient stability and reducing energy losses, while giving insufficient attention to the gas turbine. Optimized control strategies based on certain rules can effectively improve the set objectives, but although parameter optimization and online optimization algorithms are highly adaptive, they struggle to make globally optimal control decisions for specific operating conditions. Algorithms like DP are good at dealing with global optimization, but they generally consider the economic objectives in long-term operation processes and are not directly applicable to solving transient power optimization distribution problems that focus on transient optimization objectives.
Furthermore, most research aimed at addressing load fluctuations has predominantly focused on optimizing either gas turbine performance or the system’s power-sharing strategy individually, often overlooking the coupling between the two. This makes it difficult to achieve optimal dynamic performance for the entire system. To address this issue, there are two key areas where research is still lacking: First, to maximize overall system performance, a collaborative operation strategy needs to be developed that integrates the gas turbine regulation capabilities with system energy management. This integration is crucial for enhancing the system’s dynamic performance. Second, in this optimization problem, it is essential to conduct the design under the constraints of the energy storage configuration to improve dynamic performance. At the same time, improving dynamic performance helps reduce the demand for energy storage, creating a nested relationship between objectives and constraints, and forming a multi-layered optimization problem. Although various hierarchical optimization methods have been applied in power systems [30,31,32], the dynamic simulation involved in the optimization problem in this paper makes the modeling and solving of the optimization model more complex, making it essential to conduct further research.
In the earlier stage, we conducted some studies to address the LPPL operation problem, including system modeling simulations, gas turbine dynamic performance optimization methods [33], and system transient power-sharing strategies [34]. Building on this foundation, this paper proposes a mechanical–electrical (gas turbine–electric power system) cooperative operation strategy, and develops a hierarchical optimization model and solving method for the system. This approach provides valuable guidance for the optimization design of ship power systems.
2. Mechanical–Electrical Cooperative Operation of MVDC System
2.1. System Topology and Components
Figure 1 depicts a conceptual topology of the MVDC system, which mainly consists of two gas turbine gensets, a grid-connected HESS composed of batteries and supercapacitors (SCs), propulsion load, LPPL, and service load [35]. The various grid-connected components are integrated into the DC bus through converters, facilitating an orderly power flow and coordinated operation controlled by a hierarchical control system. While this structure simplifies certain details compared to the actual system, it sufficiently represents the energy coupling dynamics and optimization method. Therefore, this paper primarily discusses and analyzes the system based on this structure.
Figure 1.
Topology of the MVDC system.
2.2. RT-LAB-Based System Simulation Platform
To effectively predict and analyze the dynamic response of the system during LPPL operation and to optimize the system design, we developed simulation models for the three-shaft gas turbine, rectifier generator, HESS, propulsion load, and LPPL, as shown in Figure 2.
Figure 2.
Simulink models of the system components.
The electromagnetic and electromechanical transients of the ship’s MVDC system are closely coupled and exhibit multi-time-scale characteristics. Different modules have varying research focuses and simulation step size requirements, so using a uniform step size may lead to longer computation times or failure to converge [36]. To enable an integrated simulation of the system model, we adopted a model partitioning approach, dividing the system into 12 submodules. Each subsystem operates independently, while adjacent subsystems exchange coupling signals. This approach allows for model decoupling and matrix order reduction in large-scale, multi-node systems, saving disk storage on the simulation machine and reducing overall computation time, thereby enabling real-time simulation. The simulation step size for each module is primarily determined based on the model’s scale and hardware performance, ensuring that each module meets the real-time requirements on the existing CPU. Based on this, we ultimately set the simulation step sizes for each module as follows: the three-shaft gas turbine and propeller modules have a step size of 10 milliseconds; the generator, propulsion motor, energy storage device, and other modules have a step size of 50 microseconds; and the high-energy pulse load module has a step size of 380 nanoseconds. We developed the system’s real-time simulation model on the RT-LAB simulation platform, incorporating parallel computing and FPGA technology, which enables real-time simulation of the system model and provides an effective tool for subsequent optimization. The system model interface is shown in Figure 3, with the left side displaying the system model interface and the right side showing the display interface we developed.
Figure 3.
Shipboard MVDC real-time simulation system based on RT-LAB.
Typical operating condition tests were conducted based on a prototype of the gas turbine generator set to validate the simulation accuracy of the model, as shown in the test site in Figure 4. Test Condition 1 involves a 20% rated power mutation, and there are six steady-state operating points in this condition. For key parameters such as the gas turbine speed, temperature, and pressure, the steady-state errors of the key gas turbine parameters are shown in Table 1.
Figure 4.
Actual gas turbine test system scene.
Table 1.
Steady-state error rates for main parameters of three-shaft gas turbine model.
Figure 5 and Figure 6 present the simulation and test curves of the main fuel system parameters. It can be seen that the simulation results accurately reflect the gas turbine fuel variations. With the high dynamic simulation accuracy of the fuel control system, power turbine speed also features high dynamic accuracy, as shown in Figure 7. Comparing the simulation and the test, TSR errors for typical design transient conditions are within 1% and stability time errors are all within 1 s, which are essential foundation for the model to be used for gas turbine dynamic performance analysis.
Figure 5.
Simulation curves for main parameters of fuel control system.
Figure 6.
Test curves for the main parameters of the fuel control system.
Figure 7.
Comparison of simulation and test curves for power turbine speed.
To verify the voltage simulation accuracy, we designed Test Condition 2: adjusting the resistive load to simulate the operational characteristics of a high-energy pulse load, operating for two cycles, with a single-cycle connection time of 9.5 s, a total cycle time of 11 s, and a peak relative power of 0.16. The bus voltage transient fluctuations under this condition were compared between the experimental and simulation results, as shown in Figure 8. The results indicate that the simulation system can accurately predict the voltage transient fluctuations caused by load changes.
Figure 8.
Comparison of simulation and test curves for DC bus voltage.
2.3. Mechanical–Electrical Cooperative Operation for Enhancing Dynamic Performance
2.3.1. Gas Turbine Dynamic Performance Optimization
In general, the dynamic performance of a system is mainly determined by the controller and the controlled object’s characteristics. In terms of controller optimization design, simulation and experimental results clearly show that when there is a load fluctuation, the actual fuel flow of the gas turbine is constrained by the fuel limit line, and simply relying on control algorithm improvements is difficult to achieve the desired effect. This conclusion can be observed in Figure 9, which presents an example showing the variation curves of key parameters of the fuel system during a sudden load increase from no load to 20% of the rated load. Therefore, based on the fast prediction method of the gas turbine dynamic performance, we designed an improved fuel dynamic limit and expanded the fuel safety region, as shown in Figure 10 [33].
Figure 9.
Variation in fuel system parameters during no load to 20% rated load mutation.
Figure 10.
Point-line diagram of the optimized fuel dynamic limit scheme.
The power response characteristics of a gas turbine are not only influenced by the fuel flow but are also closely related to the mass flow within the gas path [37]. To enhance the dynamic performance of the gas turbine, this paper also considers adopting a dynamic regulation strategy for the gas path, which includes bleed strategy at various locations and the dynamic regulation of IGV.
Two bleeding points are established: one behind the fifth-stage blade of the high-pressure compressor (Bleed Point 1), and another in front of the power turbine (Bleed Point 2). The logic for controlling the bleeder is as follows: the bleeding valve opens when the power turbine’s speed acceleration exceeds 50 rpm/s, and the valve closes when the speed acceleration drops below 0 rpm/s. The dynamic response of the gas turbine is optimized by adjusting the bleed ratio (0 to 10%) under different load fluctuation conditions.
In addition, by combining the “pressure feedback” used in practice and the “power feedforward” strategy proposed in [16], a dynamic regulation strategy for the IGV angle based on membership parameters is adopted, where the IGV angle is calculated according to Equation (1).
where and represent the IGV angles corresponding to the “pressure feedback” and “power feedforward” strategies, respectively; and represent the membership degrees of the two strategies. To maintain the consistency of the IGV angle with the steady-state operating conditions of the gas turbine, Equation (2) must be satisfied. By introducing IGV adjustment parameter , the IGV angle of the gas turbine is dynamically controlled. The relationship between the membership degree and is shown in Figure 11.
Figure 11.
Relationship between membership degree and adjustment parameter .
2.3.2. System Transient Power Optimization Sharing Strategy
In order to fully utilize the transient power compensation capability under limited energy storage conditions, we have researched and proposed a segmented variable-step dynamic programming (SVSDP) method to derive the optimal transient power sharing scheme for rectangular and triangular LPPL operations [34]. Building on this, to achieve cooperative optimization with dynamic regulation of the gas turbine, we propose a transient power sharing strategy based on a multi-parameter power curves model, with the model curves shown in Figure 12 and Figure 13.
Figure 12.
Multi-parameter power curves model for rectangular LPPL.
Figure 13.
Multi-parameter power curves model for triangular LPPL.
For rectangular LPPL, the vector is constructed, consisting of six system transient power sharing parameters, as shown in Equation (3).
where represents the maximum charge/discharge power of the battery, represents the output power maintained by the battery during the intermediate stage of load operation to reduce power fluctuations, and , , , , respectively, represent the power hold or transition times for the supercapacitor and battery during system operation. The specific time intervals are provided in Figure 12. The power sharing strategy based on the multi-parameter power curve model, as outlined in Equations (4)–(10), is used to plan the transient power for the gas turbine genset, supercapacitor, and battery.
where , , , represent the power–time curve functions for the load, parallel gensets, supercapacitor, and battery during the rectangular LPPL operation, respectively. and are the sub-functions of , and are the sub-functions of . represents the load cycle time, represents the number of load operation cycles, and represents the time for load mutations at the rising or falling edge.
For triangular LPPL, the vector is constructed, consisting of six system transient power sharing parameters, as shown in Equation (11).
where and represent the average power output and fluctuation amplitude of the battery during the intermediate stage of load operation, respectively, represents the maximum charging and discharging power of the supercapacitor, and , , respectively represent the power hold or transition times for the supercapacitor and battery during system operation, as detailed in Figure 13. The power sharing strategy based on the multi-parameter power curve model, as outlined in Equations (12)–(14), is used to plan the transient power for the gas turbine genset, supercapacitor, and battery.
where , , , represent the power–time curve functions for the load, parallel gensets, supercapacitor, and battery during the triangular LPPL operation.
2.3.3. Mechanical–Electrical Cooperative Operation Strategy
Combining dynamic regulation of the gas turbine and the system transient power sharing strategy, this paper proposes a mechanical–electrical cooperative operation strategy for the MVDC system, with the control architecture shown in Figure 14.
Figure 14.
Control architecture for mechanical–electrical cooperative operation of the MVDC system.
The mechanical–electrical cooperative operation strategy is implemented by the MVDC integration control system, and the optimized control instructions can be calculated offline and stored within it. When the central controller issues an operation command to the LPPL, it synchronously transmits the mechanical–electrical cooperative operation command to the device-level controllers, based on the load type and power characteristics. This ensures that the gas turbine and the power system execute the cooperative operation strategy. is a parameter vector composed of the gas turbine operation control parameters and the system transient power sharing parameters, with the specific form shown in Equation (15). The selection of these parameters is primarily based on the studies in Section 2.3.1 and Section 2.3.2
where is a parameter vector composed of the gas turbine operation control parameters , which include the membership degree parameters for IGV adjustment parameter, as well as the bleed ratio parameters for the 1# and 2# bleed points. is the system transient power distribution parameter vector, which is divided into or based on the type of LPPL. The HESS power commands and can be calculated according to Equations (5) and (8), or (13) and (14). The central controller integrates these two types of parameters to form a unified control command vector , thereby achieving cooperative regulation of both ends (gas turbine and electrical devices) of the MVDC system and maximizing the system’s dynamic performance.
3. Hierarchical Optimization Method for MVDC Systems
3.1. Hierarchical Optimization Model
The ultimate objective of the optimization design is to enhance the dynamic performance of the system during LPPL operation. In the optimization process, the energy storage configuration plays a crucial role in determining dynamic performance and is deeply integrated into the model. Given that the energy storage configuration requires substantial displacement and space, reducing reliance on energy storage and minimizing energy storage requirements has become another key objective. Based on this, the system optimization problem is divided into two stages: the first stage focuses on determining the minimum energy storage configuration required during the system planning phase, while the second stage aims to optimize the system’s dynamic performance under various load conditions during the operational phase. Therefore, this paper establishes a hierarchical optimization model, with the demand for energy storage configuration and the improvement of dynamic performance as the primary optimization objectives.
In the optimization model, there are two types of variables: decision variable vector and intermediate variable vector . The decision variables come from the control variables in mechanical–electrical cooperative operation strategy. These variables adjust the gas turbine dynamic response and the system’s power sharing, thereby improving the system’s dynamic performance. Intermediate variables of are selected as relevant parameters to evaluate the system’s dynamic performance and energy storage requirements. Specifically, to are used to measure system speed and voltage transient fluctuations, while to are used to evaluate the energy storage configuration. Using the RT-LAB simulation platform, the relationship between and can be obtained, as shown in Equation (17).
where consists of 9 elements, corresponding to , consists of 13 elements, representing the following: the transient speed regulation rate corresponding to the first and second speed transient fluctuations ( and ), the stable time corresponding to the first and second speed transient fluctuations ( and ), the accumulated value of speed deviation (), the accumulated value of speed overshoot beyond the stable boundary (), the voltage transient deviation rate (), the voltage stable time (), the required number of supercapacitor modules (), the required number of battery cells (), the weight, volume, and spend requirements of the HESS (, and ). is the nonlinear mapping relationship from to , which can be computed using the MVDC system simulation platform, as shown in Figure 15. and are calculated according to Equations (18) and (19), where is the function of the unit speed with respect to time, is the speed difference beyond the stable boundary.
Figure 15.
Schematic of the nonlinear function based on MVDC system simulation platform.
Lower-layer optimization model: Establish the system energy storage configuration optimization model, as given by Equations (20)–(24).
where represents the system’s energy storage configuration objective function, which takes into account three key factors: the weight, volume, and spend of the energy storage devices. , , and are the evaluation functions corresponding to the weight, volume, and spend of the energy storage devices, respectively. , , and represent the standard values used as references for the normalization comparison between different types of indicators. , , and are the corresponding weighting coefficients. represents the multiple constraints in the system’s operational process, covering various performance indicators such as transient speed regulation, speed stable time, voltage transient deviation rate, and stable time. In this paper, these performance indicators constraints are set to 5%, 10 s, 10%, and 2 s, representing the maximum transient fluctuations that the system can tolerate.
Upper-layer optimization model: Establish the system dynamic performance optimization model, as given by Equations (25)–(31).
where represents the system’s dynamic performance objective function, which comprehensively considers indicators related to transient fluctuations of genset speed and bus voltage. , , , , are the evaluation functions for , , , , . , , , , are the corresponding weighting coefficients. , , , , , , , are the standard values corresponding to , respectively. represents the multiple constraints for the system’s energy storage configuration and dynamic indicator limitations, focusing primarily on two key energy storage configuration parameters: the number of supercapacitor modules and the number of battery cells, as well as multiple indicator constraints such as transient speed rate, speed stable time, voltage transient deviation rate, and stable time.
3.2. Orthogonal Parallel Neural Network Genetic Algorithm Optimization Solving Method
In the hierarchical optimization model, the objective function and the decision variables exhibit highly nonlinear characteristics with respect to , and involve system simulation computations. Mathematical solutions based on analytical methods are difficult to implement effectively, and directly using intelligent optimization algorithms to search for the optimal solution would be time-consuming. Therefore, this paper proposes a solution method based on a genetic algorithm, which employs orthogonal experiment training and a parallel neural network model, as illustrated in the process depicted in Figure 16.
Figure 16.
Genetic algorithm optimization solving process based on orthogonal test training of parallel neural network model.
3.2.1. Orthogonal Test
Based on the multi-factor characteristics of the system optimization model, an orthogonal test design method is employed, with 9 input variables and 20 levels. The test results reflecting the mapping relationship between the input and output variables are obtained.
3.2.2. Parallel Neural Network Model
Using the results of the orthogonal test, the BP neural network model is trained to replace the time-consuming simulation model. The output of the BP neural network model consists of 13 elements. To improve the generalization ability of the neural network and avoid overfitting, the following design is adopted under certain conditions:
- (1)
- Each output variable is trained individually to ensure accurate predictions. For example, the structure of the neural network BPNN1 is shown in Figure 17a, where the input layer has 9 nodes corresponding to the 9 control parameters of electromechanical coordination, and the output layer has 1 node representing .
Figure 17. Structure of the parallel BP neural network model. - (2)
- Based on empirical formulas and data characteristics, the neural network parameters are reasonably designed, and each output is validated individually. For example, for , the number of hidden layer nodes is set to 15, the learning rate is set to 0.01, the maximum number of iterations is 200, and the data are divided into 80% training set and 20% test set. Mean squared error (MSE) and regression R-value are used as evaluation metrics, with results shown in Table 2 and Figure 18, indicating that the BPNN1 neural network has a high prediction accuracy.
Table 2. Training error of the BPNN1 neural network.
Figure 18. BPNN1 neural network training process and error. - (2)
- Finally, these individually trained neural networks are connected in parallel to form an integrated network, as shown in Figure 17b, ensuring the overall generalization ability and preventing overfitting.
3.2.3. Genetic Algorithm Intelligent Optimization
Based on the orthogonal test used to construct the parallel neural network model, a genetic algorithm is used to solve the optimization model. This collaborative mechanism effectively overcomes the challenges in applying the genetic algorithm, significantly improving both the efficiency and accuracy of the solution, enabling the optimization problem to quickly reach the optimal solution.
3.2.4. Validation of Optimization Results
Due to the errors in the neural network model, which may affect the optimization results, it is necessary to use the obtained solution as input and verify the system’s performance through simulation.
4. Application of the Method: Design and Analysis of System Dynamic Performance Optimization Scheme and Optimal HESS Configuration
4.1. HESS Configuration Scheme
According to the optimization design process, the first step is to determine the HESS configuration scheme in the system constitution stage, which will serve as constraints for dynamic performance optimization during the system operation stage.
4.1.1. For the Operating Conditions of a Single LPPL
Two typical LPPL operating scenarios are defined: Scenario 1 and Scenario 2 represent the system operating at a 1.0 relative power propulsion state, running six cycles of rectangular and triangular LPPL with a relative energy of 10, respectively. The LPPL power curves for these scenarios are shown in Figure 19 and Figure 20.
Figure 19.
Power curve of rectangular LPPL.
Figure 20.
Power curve of triangular LPPL.
The optimal HESS configuration schemes are obtained using an optimization model of Equations (20)–(24) and the solution method of Section 3.2. The relevant main parameters are shown in Table 3, and the parameters of the HESS are shown in Table 4.
Table 3.
Main parameters of HESS configuration optimization model.
Table 4.
Main parameters of HESS.
To demonstrate the feasibility and effectiveness of the cooperative strategy and optimization method proposed in this paper, we designed comparison sets as follows. In terms of verifying the coordination strategy: Cases 2–6 were defined and compared with the optimal solution, Case 1. Each set represents a different combination of strategies, as shown in Table 5. The symbol “√” indicates that the strategy is adopted, while “×” indicates it is not. VRCD and FS are two common energy storage power compensation strategies based on load power feedback, used for comparison with the SVSDP strategy. Regarding the optimization method, the PSO and GA were compared. The iteration process of the energy storage configuration objective individual’s fitness value for Scenario 1 and Scenario 2 is shown in Figure 21 and Figure 22, respectively. The results show that: (1) The results obtained by the PSO algorithm are consistent with those of the GA, which reflects the reliability of the GA optimization results and its ability to find the optimal solution. (2) For this optimization problem, the GA converges faster than the PSO, demonstrating its better applicability in this context.
Table 5.
Simulation case settings.
Figure 21.
Iterative process of the optimal individual fitness value for ES configuration in Scenario 1.
Figure 22.
Iterative process of the optimal individual fitness value for ES configuration in Scenario 2.
- Comparison of HESS configuration optimization results for Scenario 1
The optimal solution for Scenario 1 is = [0.8575, 0.0795, 0.0788, 3.9850, 1.1290, 4.181, 2.1645, 3.9856, 3.2154]. The corresponding optimal HESS configuration scheme is = [, , , , ] = [980, 3986, 17,216, 31.92, 2430], which means the number of supercapacitors is 980, the number of batteries is 3986, the total weight is 17,216 kg, the total volume is 31.92 m3, and the total cost is CNY 24.3 million. Subsequently, optimization models for Cases 2–6 are established to obtain their respective minimum HESS configuration requirements. The results are shown in Table 6.
Table 6.
Minimum energy storage configuration requirements for Cases 1–6 in Scenario 1.
The results show that, to address the LPPL in Scenario 1, the cooperative strategy proposed in this paper effectively reduces the system’s HESS configuration requirements. Specifically, the fuel limit improvement design reduces the weight, volume, and spend of the ES configuration by 7.3%, 14.8%, and 9.9%, respectively; the dynamic regulation of the IGV reduces these by 15.4%, 25.8%, and 18.9%, respectively; and the bleeding strategy reduces them by 1.6%, 3.6%, and 2.3%, respectively. Compared to the VRCD strategy, the SVSDP-based parametric control strategy reduces the weight, volume, and spend of the ES configuration by 18.3%, 21.2%, and 19.2%, respectively. In comparison with the FS strategy, the reductions are 6.1%, 9.5%, and 7.3%, respectively.
- Comparison of HESS configuration optimization results for Scenario 2
The optimal solution for Scenario 2 is = [0.1229, 0.0810, 0.0831, 3.6116, 15.9318, 5.3606, 2.4816, 0.4243, 2.2512]. The corresponding HESS configuration scheme is = [, , , , ] = [434, 8974, 14,832, 45.28, 2518], which means the number of supercapacitors is 434, the number of batteries is 8974, the total weight is 14,832 kg, the total volume is 45.28 m3, and the total cost is CNY 25.18 million. Similarly, optimization models for Cases 2–6 are established to determine their respective minimum HESS configuration requirements. The results are shown in Table 7.
Table 7.
Minimum energy storage configuration requirements for Cases 1–6 in scenario 2.
The results show that the cooperative strategy proposed in this paper effectively reduces the system’s HESS configuration requirements in Scenario 2. The fuel limit improvement design reduces weight, volume, and spend by 6.0%, 6.3%, and 6.2%, respectively. The dynamic adjustment of the IGV angle reduces these by 8.6%, 4.8%, and 7.0%, respectively. The venting strategy results in reductions of 5.6%, 5.2%, and 5.4%, respectively. Compared to the VRCD strategy, the SVSDP-based control strategy reduces weight, volume, and spend by 54.8%,44.2%, and 50.8%, respectively. Compared to the FS strategy, the reductions are 43.4%, 36.1%, and 40.5%, respectively.
4.1.2. For the Operating Condition Involving Multiple LPPLs
The optimal energy storage configuration schemes for the two typical LPPL operating conditions, Scenario 1 and Scenario 2, are presented in Table 8. It is evident that the optimal configurations vary under different load conditions and are not interchangeable. In practical systems, multiple LPPL operating scenarios of different types often need to be addressed. As a result, the optimization process differs from method designed for the single LPPL condition.
Table 8.
Optimal energy storage configuration requirements for Scenario 1 and Scenario 2.
The reason for the above issue is that the optimal energy storage configuration schemes for different load conditions conflict in terms of the number of supercapacitors and batteries. To address this, a multi-objective optimization equation is formulated, with the number of supercapacitors and batteries as the objectives, as shown in Equations (32)–(34).
represents the Pareto front of the required HESS quantity corresponding to the nth load condition, represents the number of load conditions to be considered, and represents the power characteristics of the nth load. The ES configuration scheme should follow the principle of selecting the larger quantity. Therefore, after obtaining the Pareto front of the ES quantity corresponding to each load condition, when considering all load demands, the feasible range of the system’s ES configuration is the set of ES quantities corresponding to the intersection of multiple dominance solution, as shown in Equation (35). Here, represents the set of ES quantities corresponding to the set formed by and its dominance solution.
On this basis, a new energy storage configuration optimization model for the system is established, as shown in Equations (36)–(43).
where , , represent the weight, volume, and spend of a single supercapacitor module, respectively, and , , represent the weight, volume, and spend of a single battery cell, respectively.
Assuming that the system needs to meet the six typical LPPLs listed in Table 9, the optimal HESSS configuration obtained from the above optimization equations is shown in Figure 23.
Table 9.
All LPPL operating conditions to be met by the system.
Figure 23.
System HESS configuration solution considering multiple LPPL conditions.
Figure 23 shows six Pareto fronts, each representing the optimal HESS configuration under different LPPL operating conditions. The HESS configuration needed for LPPL to operate under no-load initial conditions is relatively large. When considering all load demands, the feasible range for the system’s HESS configuration is the intersection of the solution sets of the six Pareto fronts, resulting in a specific set of configurations. The energy storage optimization function in Figure 23 is depicted as a line with a constant slope, with the optimal configuration point being at the tangent of the feasible range. For example, the optimal HESS configurations for Scenario 1 and Scenario 2 in Section 4.1.1 are represented by points A and B, respectively. The configuration satisfying both scenarios is point C, and the optimal configuration for all load demands is point D, with the configuration consisting of 776 supercapacitors and 10,560 batteries, weighing 21,036 kg and occupying 57.26 m3, and costing CNY 34.06 million.
4.2. System Dynamic Performance Optimization Scheme
After determining the HESS configuration, the six typical LPPL operating conditions listed in Table 9 are solved sequentially to obtain the system’s dynamic performance optimization scheme. We continue to choose Scenarios 1 and 2 for analysis and present their dynamic performance optimization results. The relevant optimization parameters are listed in Table 10, and the adaptation value iteration process for dynamic performance optimization is shown in Figure 24 and Figure 25. The results also reflect that the GA algorithm demonstrates better optimization performance under different operating conditions for the optimization problem in this paper, showing superior applicability compared to the PSO algorithm.
Table 10.
Main parameters of dynamic performance optimization model.
Figure 24.
Iterative process of the optimal individual fitness value for dynamic performance in Scenario 1.
Figure 25.
Iterative process of the optimal individual fitness value for dynamic performance in Scenario 2.
4.2.1. Dynamic Performance Optimization Scheme and Comparative Analysis for Rectangular LPPL
The optimal solution obtained for Scenario 1 is = [0.9736, 0.0579, 0.0263, 8, 5.4736, 4.1473, 1.4736, 2.5789, 1.9473]. The corresponding dynamic performance scheme = [, , , , , , , ] = [−0.040, 0.040, 6.3, 8.6, 0.5196, 0.0402, 0.009, 0]. Subsequently, optimization models for Cases 2–6 are established to obtain their respective dynamic performance. Figure 26 and Figure 27 illustrate the dynamic changes in the speed and voltage, where points A, B, and C represent the power mutation time for different cases. The dynamic performance results are shown in Table 11. The results indicate that the cooperative strategy proposed in this paper significantly improves the dynamic performance of the system in Scenario 1. The fuel limit improvement design reduced the dynamic performance evaluation value by 6.8%; the dynamic adjustment of the IGV reduced it by 23.3%; and the bleeding strategy reduced it by 8.6%. Compared to the VRCD strategy, the SVSDP-based parametric control strategy reduced the dynamic performance evaluation value by 21.3%; compared to the FS strategy, it reduced it by 15.4%.
Figure 26.
Speed curves of the gensets in Scenario 1 for Cases 1–6.
Figure 27.
Bus voltage curves in Scenario 1 for Cases 1–6.
Table 11.
Optimal dynamic performance for Cases 1–6 in Scenario 1.
Figure 28 shows the dynamic changes in the high-pressure turbine inlet temperature and power output of the power turbine. In Cases 1–6, the high-pressure turbine inlet temperature stays below the upper limit of 1.55. During the initial power surge, Cases 1 and 4 exhibit faster power responses compared to Cases 2 and 3. Case 1 reaches a mechanical power peak of 1.3, which is 8.5% and 2.3% lower than those of Case 2 and Case 3, respectively. In the load shutdown phase, Case 1 shows a faster power response than Cases 3 and 4, reducing transient fluctuations in the genset speed. When compared to Cases 5 and 6, Case 1 shows a 15.0% and 13.9% reduction in mechanical peak power during both the surge and drop stages, with smoother power variation slopes. These results suggest that the SVSDP scheme significantly mitigates the impact of power fluctuations.
Figure 28.
High-pressure turbine inlet relative temperature and power turbine output power curves of the gensets in Scenario 1 for Case 1–6.
Figure 29 illustrates the impact of the gas turbine optimization strategy on dynamic performance. In Case 2, fuel flow is restricted between 2.5 and 5.5 s, limiting the gas turbine power response. In contrast, Case 1 adopts an improved fuel limit strategy that expands the safe fuel flow range, enhancing power response during surges while ensuring safe operation. Comparing Case 1 and Case 3 reveals the effect of IGV dynamic regulation on transient speed fluctuations. Without IGV adjustments, speed fluctuations are more pronounced: increases by 0.6%, and is extended by 1.4 s; increases by 0.8%, and is extended by 1.1 s. Comparing Case 1 with Case 4 highlights the effect of the bleed strategy. In Case 4, the absence of the bleed strategy results in larger transient speed fluctuations during power decline, with increasing by 0.4% and extended by 0.5 s.
Figure 29.
Control variables variation curves of the gensets in Scenario 1 for Cases 1–6.
As shown in Figure 30, in Case 1, the battery SOC exhibits significant variation, indicating that the energy density advantage is fully utilized within the power limits. It not only provides effective energy compensation during sudden load changes between 0 and 5 s and 30–37 s, but also continuously supplies energy from approximately 7 to 28 s, effectively reducing the load power surge during LPPL operation.
Figure 30.
Dynamic curves of HESS SOC in Scenario 1 for Cases 1–6.
4.2.2. Dynamic Performance Optimization Scheme and Comparative Analysis for Triangular LPPL
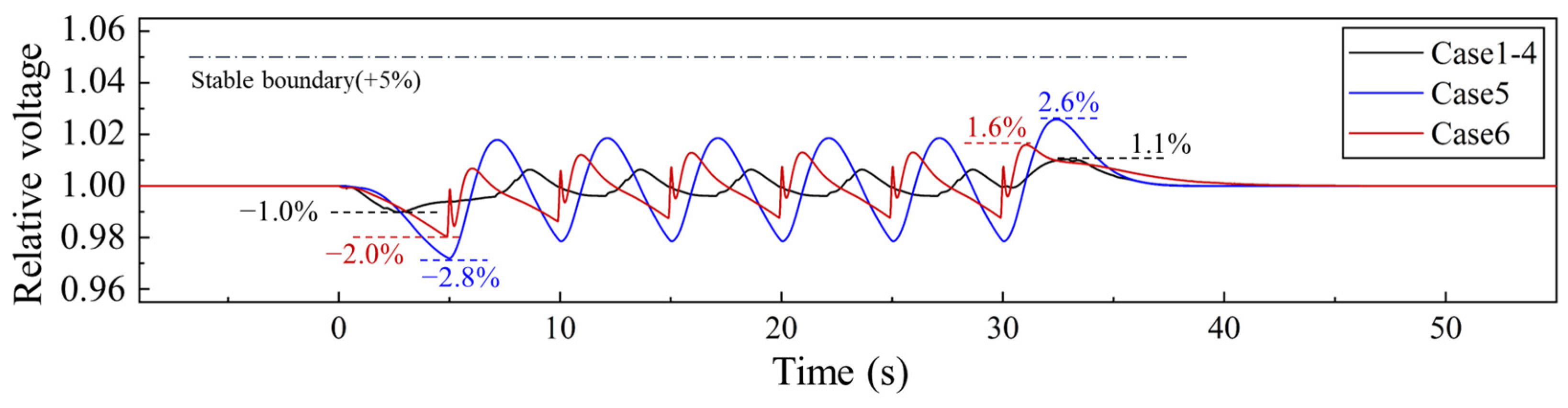
The optimal solution obtained for Scenario 2 is = [0.5526, 0.0368, 0.0895, 5.5014, 17.8992, 2.1026, 2.9502, 0.2842, 3.1504]. The corresponding dynamic performance scheme = [, , , , , , , ] = [−0.045, 0.041, 6.4, 6.4, 0.6212, 0.0643, 0.011, 0]. Subsequently, optimization models for Cases 2–6 are established to obtain their respective dynamic performance. Figure 31 and Figure 32 illustrate the dynamic changes in the speed and voltage, where points A, B represent the power mutation time. The dynamic performance results are shown in Table 12. The results indicate that the cooperative strategy proposed in this paper significantly improves the dynamic performance of the system in Scenario 2. The fuel limit improvement design reduced the dynamic performance evaluation value by 9.2%; dynamic adjustment of the IGV reduced it by 21.5%; the bleed strategy reduced it by 6.8%. Compared to the VRCD strategy, the SVSDP parameterized control strategy reduced the dynamic performance evaluation value by 66.2%; compared to the FS strategy, it reduced it by 26.0%.
Figure 31.
Speed curves of the gensets in Scenario 2 for Cases 1–6.
Figure 32.
Bus voltage curves in Scenario 2 for Cases 1–6.
Table 12.
Dynamic performance of Cases 1–6 in Scenario 2.
Figure 33 shows the dynamic changes in high-pressure turbine inlet temperature and power turbine output power. In Cases 1–3, the maximum high-pressure turbine inlet relative temperatures are 1.319, 1.329, and 1.352, respectively. The optimized fuel limit in Case 1 lowers the relative temperature by 0.01 compared to Case 2, while the IGV transient adjustment strategy reduces the maximum relative temperature by 0.33 compared to Case 3. The peak values are 1.4 in Cases 1, 3, and 4, and 1.52, 2.21, and 1.73 in Cases 2, 5, and 6, respectively. Notably, in Case 5, the high mechanical power causes the instantaneous torque to reach 114.0%, risking over-torque damage.
Figure 33.
High-pressure turbine inlet relative temperature and power turbine output power curves of the gensets in Scenario 2 for Cases 1–6.
Figure 34 shows the dynamic variation curves of the main control parameters of the gas turbine in Scenario 2. In Case 1, the improved fuel limit strategy extends the safe range of fuel flow and enhances the power surge capability. By comparing Case 1 and Case 3, the absence of dynamic IGV regulation leads to greater transient fluctuations in speed: increases by 0.4%, and is extended by 1.1 s; increases by 0.9%, and is extended by 0.6 s. Comparing Case 1 and Case 4, the absence of a bleed strategy leads to more severe speed fluctuations during the power reduction phase, with the increasing by 0.4% and extending by 1.0 s.
Figure 34.
Control variables variation curves of the gensets in Scenario 2 for Cases 1–6.
Figure 35 shows the dynamic variation in HESS SOC. In Cases 1–4, the battery operates within the power limit range, with a significant SOC variation, fully utilizing the energy density advantage. During the approximately 0–30 s period, the battery maintains a positive average power output, which reduces the increase in genset power during LPPL operation and alleviates the impact.
Figure 35.
Dynamic curves of HESS SOC in Scenario 2 for Cases 1–6.
4.2.3. The Optimal Solution for the System’s Cooperative Operation
By solving the dynamic performance optimization equations for all six typical LPPL operation conditions, the optimal solutions for the system’s cooperative operation in managing various LPPLs can be fully determined. These cooperative operation strategies will play a crucial role in the system’s energy management. The optimized operating parameters of the MVDC system under rectangular and triangular LPPLs are illustrated in Figure 36 and Figure 37, respectively.

Figure 36.
Dynamic performance optimization operation scheme for MVDC system under rectangular LPPL.
Figure 37.
Dynamic performance optimization operation scheme for MVDC system under triangular LPPL.
5. Conclusions
To meet the LPPL operation demands of naval ships, this paper proposes a system-level optimization design method based on mechanical–electrical cooperative operation strategy. This approach aims to determine the optimal energy storage configuration and improve the system’s dynamic performance. The main contributions are:
- (1)
- The MVDC system’s mechanical–electrical cooperative operation strategy has been developed to address the correlation between optimizing gas turbine performance and transient power sharing. The central controller coordinates the control parameters of the gas turbine and electrical devices to enhance the overall dynamic performance of the system.
- (2)
- A system-level optimization design method using a two-layer model has been introduced. The upper layer optimizes dynamic response under various operating conditions, while the lower layer determines the optimal energy storage configuration. An orthogonal parallel neural network genetic algorithm is proposed to solve this optimization problem.
- (3)
- The application of this method in typical operating scenarios demonstrates that the optimal energy storage configuration consists of 776 supercapacitors and 10,560 batteries, with a total weight of 21,036 kg, a volume of 57.26 m3, and a cost of CNY 34.06 million. The system’s dynamic performance also shows significant improvement. In Scenario 1, the system’s optimal dynamic performance indicators are as follows: transient speed regulation of 4.0%, stable time of 8.6 s, and bus voltage transient deviation rate of 0.9%. In Scenario 2, the system’s optimal dynamic performance is: transient speed regulation of 4.5%, stable time of 6.4 s, and bus voltage transient deviation rate of 1.1%.
- (4)
- The results demonstrate that the proposed method effectively reduces energy storage requirements: fuel system optimization, IGV adjustment strategy, and bleeding strategy, respectively, lower the energy storage configuration optimization objective values by 10.6%, 20.1%, 2.4%, and 6.2%, 6.5%, 5.3%. The SVSDP scheme achieves reductions of 19.5%, 7.6%, and 49.6%, 39.7% compared to VRCD and PSO-FS, respectively. Furthermore, the method also enhances the system’s dynamic response: under the specified HESS configuration, fuel system optimization, IGV adjustment strategy, and bleeding strategy reduce the dynamic performance optimization objective values by 6.8%, 23.3%, 8.6%, and 9.2%, 21.5%, 6.8%, respectively. The SVSDP scheme results in reductions of 21.3%, 15.4%, and 66.2%, 26.0% compared to VRCD and PSO-FS, respectively.
Currently due to hardware limitations, we have not yet completed the practical validation of the proposed scheme. In the next steps, we will further validate the proposed method using hardware-in-the-loop and real-machine verification.
Author Contributions
Z.L.: Writing—original draft, Methodology, Software; Y.L.: Writing—original draft, Investigation; Y.Y.: Supervision, Writing—review & editing; R.Y.: Validation, Writing—review & editing. All authors have read and agreed to the published version of the manuscript.
Funding
This research received no external funding.
Institutional Review Board Statement
Not applicable.
Informed Consent Statement
Not applicable.
Data Availability Statement
The data is unavailable due to privacy.
Acknowledgments
This paper is supported by the Basic Research for National Science and Technology Major Project of China (Grant No. J2019-×-0012).
Conflicts of Interest
The authors declare no conflict of interest.
References
- Khazaei, J. Optimal flow of MVDC shipboard microgrids with hybrid storage enhanced with capacitive and resistive droop controllers. IEEE Trans. Power Syst. A Publ. Power Eng. Soc. 2021, 36, 3728–3739. [Google Scholar] [CrossRef]
- Zohrabi, N.; Shi, J.; Abdelwahed, S. An overview of design specifications and requirements for the MVDC shipboard power system. Int. J. Electr. Power Energy Syst. 2019, 104, 680–693. [Google Scholar] [CrossRef]
- Liu, R.; Niu, X.; Ma, Z.; Yan, X. Simulation study on load rejection test of high-power simple cycle gas turbine generator set. J. Eng. Therm. Energy Power 2022, 37, 37–41. [Google Scholar] [CrossRef]
- Yang, R.; Li, H.; Feng, Q. Fuzzy-Feedforward PID control of micro gas turbine. In Proceedings of the 2021 4th World Conference on Mechanical Engineering and Intelligent Manufacturing (WCMEIM), Shanghai, China, 12–14 November 2021; IEEE: New York, NY, USA, 2021; pp. 41–44. [Google Scholar] [CrossRef]
- Zhang, Y.; Jiang, L.; Song, S.; Ou, Y. Research on sudden change load control strategy for three-shaft gas turbine genset. J. Eng. Therm. Energy Power 2016, 31, 26–31. [Google Scholar] [CrossRef]
- Liu, J.; Shan, S.; Qin, X. Method of optimizing speed control of gas turbine generator set based on genetic algorithm. J. Nav. Univ. Eng. 2022, 34, 47–52. [Google Scholar]
- Song, M.; Wang, B.; Wang, L.; Ma, L. Optimization of PID Parameters of Gas Turbine During Load Sudden Change based on Artificial Fish Swarm Algorithm. J. Eng. Therm. Energy Power 2022, 37, 22–27. [Google Scholar] [CrossRef]
- Daraz, A. Optimized cascaded controller for frequency stabilization of marine microgrid system. Appl. Energy 2023, 350, 121774. [Google Scholar] [CrossRef]
- Shi, G.; Wu, Z.; He, T.; Li, D.; Ding, Y.; Liu, S. Shaft speed control of the gas turbine based on active disturbance rejection control. IFAC-PapersOnLine 2020, 53, 12523–12529. [Google Scholar] [CrossRef]
- Lin, P.; Du, X.; Shi, Y.; Sun, X.M. Modeling and controller design of a micro gas turbine for power generation. ISA Trans. 2022, 124, 411–426. [Google Scholar] [CrossRef]
- Zeng, W.; Wang, X.; Lv, X.; Wong, Y. Research on control performance of micro gas turbine generator set based on fuzzy PID. J. Eng. Therm. Energy Power 2021, 36, 212–221. [Google Scholar] [CrossRef]
- Wen, J.; Lu, J.; Zhang, S.; Liu, R.; Spataru, C.; Weng, Y.; Lv, X. Intelligent control for rapidity and security of all-electric ships gas turbine under complex mutation load using optimized neural network. Appl. Therm. Eng. 2024, 248, 123120. [Google Scholar] [CrossRef]
- Wen, J.; Lu, J.; Spataru, C.; Weng, Y.; Lv, X. Coordinated intelligent control strategy and power management for marine gas turbine under pulsed load using optimized neural network. Energy 2024, 313, 133719. [Google Scholar] [CrossRef]
- Hou, G.; Gong, L.; Huang, C.; Zhang, J. Fuzzy modeling and fast model predictive control of gas turbine system. Energy 2020, 200, 117465. [Google Scholar] [CrossRef]
- Guan, T. Research on Refined Modeling Simulation and Performance Optimization of Marine Power Generation Gas Turbine. Master’s Thesis, Harbin Engineering University, Harbin, China, 2023. [Google Scholar] [CrossRef]
- Yan, X.; Hao, Y.; Liu, R.; Fu, Z. Research on angle control law of gas turbine IGV based on power feedforward. J. Eng. Therm. Energy Power 2022, 37, 9–15. [Google Scholar] [CrossRef]
- Shi, M.; Chen, X.; Zhou, J.; Chen, Y.; Wen, J.; He, H. Advanced secondary voltage recovery control for multiple HESSs in a droop-controlled DC microgrid. IEEE Trans. Smart Grid 2019, 10, 3828–3839. [Google Scholar] [CrossRef]
- Iqbal, M.Z.; Faisal, M.M.; Ali, S.R. Integration of supercapacitors and batteries towards high-performance hybrid energy storage devices. Int. J. Energy Res. 2021, 45, 1449–1479. [Google Scholar] [CrossRef]
- Hou, H.; Gan, M.; Wu, X.; Xie, K.; Fan, Z. Review of hybrid ship energy management. Chin. J. Ship Res. 2021, 16, 216–229. [Google Scholar] [CrossRef]
- Gaber, M.; El-Banna, S.; El-Dabah, M.; Hamad, M. Intelligent energy management system for an all-electric ship based on adaptive neuro-fuzzy inference system. Energy Rep. 2021, 7, 7989–7998. [Google Scholar] [CrossRef]
- Khan, M.; Faruque, M.O.; Newaz, A. Fuzzy logic based energy storage management system for MVDC power system of all electric ship. IEEE Trans. Energy Convers. 2017, 32, 798–809. [Google Scholar] [CrossRef]
- Faddel, S.; Saad, A.A.; El Hariri, M.; Mohammed, O.A. Coordination of hybrid energy storage for ship power systems with pulsed loads. IEEE Trans. Ind. Appl. 2020, 56, 1136–1145. [Google Scholar] [CrossRef]
- Li, Y.; Ding, Z.; Yu, Y.; Liu, Y. Hybrid energy storage power allocation strategy based on parameter-optimized VMD algorithm for marine micro gas turbine power system. J. Energy Storage 2023, 73, 109189. [Google Scholar] [CrossRef]
- Chen, X.; Zhou, J.; Shi, M.; Yan, L.; Zuo, W.; Wen, J. A novel virtual resistor and capacitor droop control for HESS in medium voltage DC system. IEEE Trans. Power Syst. 2019, 34, 2518–2527. [Google Scholar] [CrossRef]
- Zhu, J.; Chen, L.; Wang, X.; Yu, L. Bi-level optimal sizing and energy management of hybrid electric propulsion systems. Appl. Energy 2020, 260, 114134. [Google Scholar] [CrossRef]
- Paran, S.; Vu, T.V.; El Mezyani, T.; Edrington, C.S. MPC-based power management in the shipboard power system. In Proceedings of the 2015 IEEE Electric Ship Technologies Symposium (ESTS), Town Alexandria, VA, USA, 21–24 June 2015; IEEE: New York, NY, USA, 2015; pp. 14–18. [Google Scholar] [CrossRef]
- Hou, J.; Sun, J.; Hofmann, H. Adaptive model predictive control with propulsion load estimation and prediction for all-electric ship energy management. Energy 2018, 150, 877–889. [Google Scholar] [CrossRef]
- Zeng, P.; Li, H.; He, H.; Li, S. Dynamic energy management of a microgrid using approximate dynamic programming and deep recurrent neural network learning. IEEE Trans. Smart Grid 2018, 10, 4435–4445. [Google Scholar] [CrossRef]
- Zhang, S.; Xiong, R. Adaptive energy management of a plug-in hybrid electric vehicle based on driving pattern recognition and dynamic programming. Appl. Energy 2015, 155, 68–78. [Google Scholar] [CrossRef]
- Sun, W.; Zhang, H.; Tseng, M.-L.; Zhang, W.; Li, X. Hierarchical energy optimization management of active distribution network with multi-microgrid system. J. Ind. Prod. Eng. 2022, 39, 210–229. [Google Scholar] [CrossRef]
- Zhao, J.; Wang, W.; Guo, C. Hierarchical optimal configuration of multi-energy microgrids system considering energy management in electricity market environment. Int. J. Electr. Power Energy Syst. 2023, 144, 108572. [Google Scholar] [CrossRef]
- Hu, J.; Zou, Y.; Soltanov, N. A multilevel optimization approach for daily scheduling of combined heat and power units with integrated electrical and thermal storage. Expert Syst. Appl. 2024, 250, 123729. [Google Scholar] [CrossRef]
- Liu, Z.; Liu, Y.; Yu, Y.; Yang, R. Advanced fuel limit design to improve dynamic performance of marine three-shaft gas turbine. Appl. Therm. Eng. 2024, 236, 121649. [Google Scholar] [CrossRef]
- Liu, Z.; Liu, Y.; Yu, Y.; Yang, R. Optimal transient power sharing method for shipboard MVDC System based on segmented variable step dynamic programming. Energy Rep. 2024, 12, 1142–1156. [Google Scholar] [CrossRef]
- IEEE Std 1709-2018; IEEE Recommended Practice for 1 kV to 35 kV Medium-Voltage DC Power Systems on Ships. The Institute of Electrical and Electronics Engineers: New York, NY, USA, 2018.
- Wang, L.; Zheng, J.; Li, M.; Lin, X.; Jing, Z.; Wu, P.; Wu, Q.; Zhou, X. Multi-time scale dynamic analysis of integrated energy systems: An individual-based model. Appl. Energy 2019, 237, 848–861. [Google Scholar] [CrossRef]
- Yang, Y.; Nikolaidis, T.; Jafari, S.; Pilidis, P. Gas turbine engine transient performance and heat transfer effect modelling: A comprehensive review, research challenges, and exploring the future. Appl. Therm. Eng. 2024, 236, 121523. [Google Scholar] [CrossRef]
Disclaimer/Publisher’s Note: The statements, opinions and data contained in all publications are solely those of the individual author(s) and contributor(s) and not of MDPI and/or the editor(s). MDPI and/or the editor(s) disclaim responsibility for any injury to people or property resulting from any ideas, methods, instructions or products referred to in the content. |
© 2025 by the authors. Licensee MDPI, Basel, Switzerland. This article is an open access article distributed under the terms and conditions of the Creative Commons Attribution (CC BY) license (https://creativecommons.org/licenses/by/4.0/).





































