Abstract
Fast patrol boats account for a large number among the numerous vessels used in naval fleets. Owing to their operational characteristics, which involve relatively high speeds, they contribute to emissions significantly. This study presents an optimized design concept for a diesel–battery hybrid electric propulsion system integrated into the general ship design process for fast patrol boats. The optimization design uses mixed-integer linear programming to determine the most eco-friendly shares ratio of battery and diesel usage while satisfying high-endurance operational scenarios. A shares ratio of 1.259 tons of diesel to 2.88 tons of batteries was identified as the most eco-friendly configuration capable of meeting a 200-nautical-mile operational scenario at a maximum speed of 35 knots for the selected case study. A quantitative comparison through a global warming potential (GWP) analysis was conducted between conventional diesel propulsion systems and the designed diesel–battery hybrid electric propulsion system, using a life-cycle assessment (LCA) standardized under the ISO framework. The analysis confirmed that the optimized hybrid propulsion system can achieve a GWP reduction of approximately 7–9% compared with conventional propulsion systems. Few studies have applied LCA in this field, and the application of batteries as hybrid secondary energy sources is viable and sustainable for high-endurance scenarios.
1. Introduction
Fast patrol boats are small vessels that function as critical components of naval fleets, designed to patrol and secure national borders. These vessels are categorized into small ships that typically feature a planing hull that requires high speeds to effectively perform missions. According to 2022 military strength data [1], the top 15 countries in terms of naval capabilities, such as China, India, South Korea, the United Kingdom, Pakistan, and Indonesia, primarily rely on patrol vessels. Owing to their substantial number, these vessels are vital for coastal operations. Additionally, the number of coastal ships has increased, surpassing that of ocean-going merchant ships [2]. Other studies have indicated that slower vessels can reduce greenhouse gas (GHG) emissions [3]. Considering that patrol boats operate at relatively high speeds and are deployed in large numbers, it is reasonable to assume that they contribute to GHGs significantly. Owing to these operational characteristics, patrol boats possess planing hull characteristics and are usually made of lightweight materials, such as carbon-fiber-reinforced plastic (CFRP), as shown in Figure 1.
Figure 1.
Examples of fast patrol boats: Modern military patrol boat XSV 17, reproduced from Safehaven Marine (n.d.) [4]. Long-Range Vessel 17 m (LRV 17) patrol boat reproduced from ZyCraft (n.d.) [5] that features a CFRP hull material and planing hull features.
Environmental concerns, particularly GHGs, have recently attracted global attention, prompting the International Maritime Organization (IMO) to approve strategies aimed at achieving net-zero emissions [6]. As part of these efforts, the IMO has introduced technical measures, such as the Energy Efficiency Design Index, Energy Efficiency Existing Ship Index, and Carbon Intensity Indicator, which are incorporated in MARPOL Annex VI. These measures apply to all ships of 400 gross tonnage and above that are engaged in international voyages. Although fast patrol ships are currently exempt from the IMO regulations, it is crucial to consider environmental perspectives during the design stages to render them consistent with the maritime industry’s goal of achieving net-zero emissions.
Bouman et al. [7] identified several measures aimed at reducing GHGs in maritime operations. These measures include optimizing hull design, refining propulsion systems, exploring alternative fuels, utilizing other energy sources, and optimizing operational scenarios. According to Lindstad [8] and Mitsui [9], optimizing engine systems and propulsion efficiency can reduce emissions by up to 15%. Hull design optimization may contribute approximately 5% to emissions reduction, whereas switching to low-carbon fuels can achieve an additional 15% reduction. These measures have been assessed from a technical perspective.
Various research efforts in hull optimization have been actively pursued in response to increasing concerns regarding global warming potential (GWP). Studies [10,11] have extensively analyzed the hull design using hydrodynamics analysis to develop optimal designs with lower resistance, potentially leading to reduced emissions. Furthermore, studies on the optimization of lightweight structural designs [12] have shown significant potential for emissions reduction. However, the American Bureau of Shipping report [13] suggests that hull optimization studies have nearly exhausted their potential, because many ship designs have already reached their peak performance, allowing minimal opportunity for further improvement in terms of eco-friendly performance. Conversely, from the perspective of fuel changes and propulsion optimization, the literature shows significant underdevelopment in terms of commercialization. This indicates ample scope for further research and development in these directions.
In the realm of fuel alternatives, Li et al. [14] suggested that research on life-cycle assessment (LCA) simulation could expand the options for applying alternative fuels such as batteries, natural gas, and biofuels to reduce emissions. However, in the current technological outlook, only liquefied natural gas and battery-based ships have attained commercial viability. Although battery-based electric systems have been developed for ships [15,16,17], challenges persist. These vessels are currently limited to operating at low speeds and over short distances, as supported by [18], which shows limitations, particularly for ships that have limited space, weight, and high-endurance performance. Typical low-carbon fuels, such as LNG, present safety risks [19], and the tank design must meet the IGF code [20] to ensure minimal space requirements for safety, which further limits their use in small ships.
Small ships with high endurance capabilities face limitations when using battery-based electric systems and other low-carbon fuels, such as LNG, to reduce their emissions. As a result, ship designers may opt for a hybrid propulsion system that includes batteries as secondary source. Currently, these systems are mostly applied to vessels such as slow-speed ocean-going ships [21], offshore vessels [22], cruise ferries [23], waterbuses [24], and others. This indicates that current designs are primarily suited for low-speed operational vessels. The trend for high-speed boats is gradually shifting toward diesel–battery hybrid propulsion systems, which are intended to reduce their carbon footprint [25,26,27]. These ships use batteries at slow speeds and rely on diesel engines at high speeds. However, this indicates that, at maximum speed, the use of batteries as a secondary power source is still limited. Additionally, in the pursuit of improving the environmental performance of hybrid propulsion systems, the current design stages lack a fixed and well-defined methodology for determining the optimal power share between the two energy sources. Existing methods primarily rely on assumptions based on various scenarios [28,29], which can lead to inconsistencies in environmental performance across different cases. This highlights the need for a standardized methodology to determine the power split ratio as part of the design process—particularly for high-speed craft such as patrol boats—aimed at achieving further emissions reductions.
Hence, this study aims to provide an overview of basic design principles, focusing on the propulsion design of hybrid systems. The case study involved optimizing a diesel–electric hybrid propulsion system, specifically in terms of the power split ratio, through operational research. The optimization design applied in this study aims to determine the optimal shares ratio for the hybrid design to correspond with mission and operational scenarios to promote environmental performance improvement. Additionally, a comparative analysis of the emissions of conventional diesel propulsion systems and optimized diesel–electric hybrid propulsion systems was conducted. Ultimately, the comparative analysis aimed to yield quantitative results regarding the effectiveness of eco-friendliness, particularly for small- and high-speed craft, consistent with their mission objectives.
2. Research Approach
2.1. Diesel–Battery Hybrid Propulsion Case Definition
A hybrid propulsion system is defined as a system that uses two or more power sources or propulsion methods to drive the prime mover. Based on the type of prime mover, hybrid propulsion systems can be classified into diesel–battery hybrid propulsion systems and diesel–battery hybrid electric propulsion systems [30]. A diesel–battery hybrid propulsion system uses a diesel main engine as its prime mover and consists of a generator motor or generator shaft, which serves as the secondary power source from the battery or auxiliary engine shown in Figure 2. This is typical of hybrid propulsion systems that rely on the main engine as the prime mover and depend on high-energy-density sources. The fuel consumption of the main engine is heavily dependent on its power load, with efficient fuel consumption typically occurring at around 85% of its nominal continuous rating (NCR). It is inefficient when operating below 60% of its power load [31]. Hence, the diesel–battery hybrid propulsion system utilizes power take-off (PTO) and power take-in (PTI) scenarios to enhance fuel efficiency. Recent research has focused on enabling these PTO and PTI scenarios to address this issue [32,33,34]. However, this propulsion system has drawbacks. It is complex, requiring effective management by control systems and skilled crews to maintain optimal performance under varying operational conditions [35]. The system still relies heavily on human skills, and the risk of human error exists across varying ship operational scenarios. Furthermore, the reliance on a mechanical propulsion system for its prime mover introduces the risk of efficiency losses if any component fails [36]. The need for a gearbox also leads to transmission losses of about 2% [37].
Figure 2.
Typical diesel–battery hybrid propulsion system with a main engine as its prime mover.
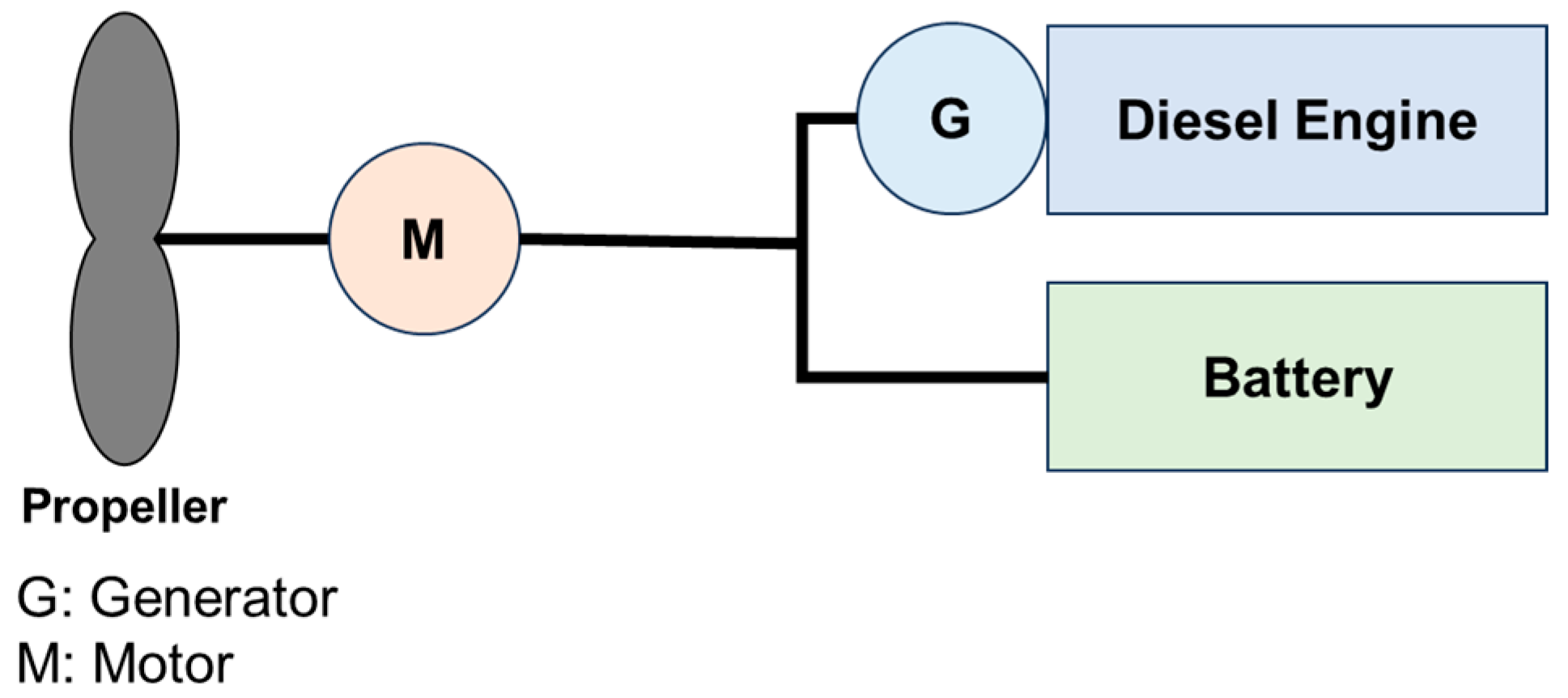
The diesel–battery hybrid electric propulsion system is another type of hybrid propulsion system that relies on an electric motor as its prime mover, as shown in Figure 3. It is supported by a diesel generator and a battery as power sources. This typical hybrid system can only operate in PTI mode. The system relies heavily on its main bus as the primary component to convert and maintain its frequency, voltage, and current. This presents a drawback, as fault conditions could lead to a reduction in reliability and availability. Additionally, the system requires multiple energy conversions, which presents further disadvantages. This type of propulsion system depends on the generator for constant power generation, leading to constant fuel consumption, offering a simpler scenario than using the main engine as the prime mover [38]. Since the generator runs at its design point with a constant power load, it results in lower NOx emissions compared to a main engine that operates at variable power loads, depending on the operational scenario [36]. The diversity of operation profiles is advantageous, as the generator’s power can be used for both propulsion and hotel loads without relying on the ship’s operational scenario [39]. The application of electric motors can lead to lower fuel consumption and, consequently, reduced emissions. This type of powertrain system typically requires less maintenance, produces less vibration, and offers quieter operation [31].
Figure 3.
Typical diesel–battery hybrid electric propulsion system with an electric motor as its prime mover.
2.2. Research Methodology
This study aims to provide an overview of the hybrid propulsion system design process using an optimization-based approach. Specifically, it investigates the design of a diesel–battery hybrid electric propulsion system for a patrol boat intended for high-endurance operational scenarios. The electric prime movers’ configuration was selected due to its simplicity, robustness, and technological maturity. Electric motors, as prime movers, have increasingly gained acceptance as alternatives to internal combustion engines due to their high efficiency, and so as to promote more environmentally friendly performance. Hence, this study only considers the PTI with electric motors as the prime movers. Battery–electric propulsion systems, which produce zero emissions during operation, have rapidly expanded in recent years. Notable advancements—such as a 40% increase in battery energy density and the development of fast charging technologies [40]—indicate significant potential for the further development of hybrid propulsion systems. Moreover, modern battery systems continue to improve in efficiency, making them well suited to meet the demands of high-endurance operations [41,42].
To support the design process, this study utilizes operations research techniques—specifically mixed-integer linear programming (MILP)—which are widely used in engineering for optimization and decision-making through mathematical and analytical modeling [43]. MILP has been successfully applied in the maritime industry for various purposes, including shipping scheduling [44], multi-period liner fleet planning [45], and ship machinery system optimization [46].
Sustainability is a core consideration in the proposed design framework, aligning with the IMO strategy to achieve net-zero emissions. The IMO promotes LCA as a key tool for evaluating environmental impacts. LCA is a widely accepted method and has been applied in the maritime sector, particularly in shipbuilding and operational performance evaluation [47,48].
This study addresses this gap by providing a comprehensive comparison of the environmental impacts of conventional and hybrid propulsion systems. The optimization model, as illustrated in Figure 4, is integrated into a general ship design framework—particularly at the propulsion system design stage—to ensure that energy demands are met for the intended operational scenarios. The role of MILP is to seek the feasibility of the optimized shares of the two sources (diesel fuel and battery) to meet the operational needs. Within this framework, an LCA database is incorporated to utilize fuel properties and emissions data, which are translated into impact category assessments. These assessments serve as inputs to the objective function, enabling evaluation of the system’s environmental performance. The resulting optimized power share of the hybrid propulsion design is then verified and compared with a conventional diesel propulsion system to quantitatively assess the effectiveness of emissions reduction through the LCA framework.
Figure 4.
Research methodology.
3. Design and Specification of Fast Patrol Boat
This study aimed to provide design guidelines for fast patrol boats that integrate a hybrid propulsion system, with a focus on achieving more sustainable designs. The hybrid propulsion system was optimized using operational research to determine the most efficient shares ratio of its components. Small high-speed craft typically have deep V-shaped or concave hull shapes [49]. The ship designed in this study was analyzed and simulated using the Bentley Maxsurf software ver. 2024. [50].
Design Concept of Fast Patrol Boat
This study used point-based design methods in which the primary dimensions were derived from data collected from a reference ship. The selected reference ship features a deep V-shaped or concave hull, with speed, length, and displacement that meet the design requirements, as shown in Table 1. The ship’s specifications align with the operational need for high speed and are compatible with CFRP material. Therefore, the design ship was constructed with a CFRP hull, ensuring a lightweight structure capable of operating at high speeds. This meets the design requirements for high-speed operation.
Table 1.
Reference ship; data from references [51,52,53,54,55,56,57,58,59,60,61,62,63,64,65].
Referring to the hull characteristics of the reference fast patrol boat, the vessel was designed with a deep V-shaped hull form, multichine configuration, and wave-piercing bow to provide stability at high speeds. In this design, the hull form was transformed using the Maxsurf Modeler based on a specified displacement of 20 tons. The designed ship has a displacement of 20 tons and an overall length, breadth, depth, and draft of 18.07, 4.46, 2.44, and 0.86 m, respectively.
The resistance estimation method was based on the Froude number parameter, which categorizes a designed ship as a planing hull. This method uses Savitsky’s mathematical model for planing hulls [66] and provides the advantage of a simple and fast prediction process. However, discrepancies may be observed when compared to the towing test results [67]. The resistance calculation incorporated fitting results from the Savitsky equation and towing test data from similar model hulls of 50 ft class high-speed hulls to enhance accuracy [68], which have similar comparable characteristics and principal dimensions below the waterline. The results show that the resistance at low speeds is slightly higher than at high speeds. This is due to the hull configuration, where the center of gravity tends to be aft. At high speeds, the wetted surface area is significantly reduced, resulting in lower hydrodynamic resistance [68]. The results of the resistance fitting at a maximum speed of 35 knots are shown in Figure 5.
Figure 5.
(a) Resistance results vs. speed; (b) EHP results vs. speed.
The powering process was conducted to achieve a maximum speed of 35 knots based on resistance estimation. This study used a waterjet propulsion system known for its high efficiency at high speeds, as described in Equation (1):
where ηD represents the efficiency of the waterjet, and Vs is the ship’s speed in m/s. In the power calculation process, an overall propulsion efficiency, a sea margin, and an engine margin of 65%, 15%, and 10% were considered, respectively. Consequently, the designed fast patrol boat requires approximately 1005 kW of power at a maximum speed of 35 knots. The total power, including the hotel load, is listed in Table 2. The general arrangement and line plan of the designed vessel are shown in Figure 6.
Table 2.
Powering results based on operational scenario.
Figure 6.
(a) General arrangement; (b) lines plan.
4. Diesel–Electric Hybrid Propulsion System Concept
4.1. Course and Approach of Designing the Hybrid Propulsion System
Achieving net-zero emissions is a significant challenge, owing to various technological limitations. One of the most explored solutions is electrification, because electric propulsion with batteries produces no emissions during operation. However, electrification is considered to be inefficient in the maritime sector, owing to the low volumetric and gravimetric energy densities of batteries. A study [18] revealed that, compared to conventional diesel propulsion systems, electric propulsion systems require 9.5 and 10.5 times more weight and space, respectively. Notably, the current lithium-battery technology for electric propulsion shows limited feasibility and inefficiency, particularly for vessels requiring high endurance, even for smaller vessels.
A hybrid propulsion system is a viable option for achieving more eco-friendly performance while meeting high-endurance operational requirements. Hybrid propulsion is a system that combines two or more energy sources, such as marine diesel oil (MDO), batteries, and other renewable energies [69]. Hybrid propulsion systems can integrate conventional thermal engine systems with electric propulsion systems, connected either in parallel or in series [70]. Considering the current state of the research, in which efforts are ongoing to improve the maturity and commercialization of renewable energy for ships, hybrid propulsion systems are considered to represent an appropriate alternative during this transitional period from conventional MDO engines to net-zero renewable fuel technologies.
One of the most used hybrid propulsion systems combines conventional diesel and batteries because of their reliability and maturity. A typical diesel–battery hybrid electric propulsion system consists of an electric motor, an energy storage system (ESS), and a diesel generator.
4.2. Battery, Generator, and Electric Motor Specifications
Based on the propulsion power requirement of 1005.76 kW, which corresponds to a maximum operational speed of 35 knots, this study selected the TEMA LPMR-550 [71] electric motor (Manufactured by: TEMA, in Pula, Croatia), with a maximum output of 550 kW. Two motors, totaling 1100 kW, were selected to satisfy the propulsion power requirement. Additionally, the vessel was equipped with a direct-thrust shaft line twin-waterjet propulsion system, with each Doen DJ142 waterjet (Manufactured by: Doen Pacific Pty Ltd., in Braeside, Australia) [72] providing 560 kW of power, totaling 1120 kW for the two waterjets.
The ship was equipped with two Volvo TAD1642GE generators (Manufactured by: AB Volvo Penta, in Skövde, Sweden) [73], each generating 585 kW, for a combined total of 1170 kW, to accommodate the total power required. This study considered the efficiency of the generators in converting mechanical power to electrical power, which was 94%, with the specific fuel oil consumption (SFOC) shown in Figure 7. The SFOC of the generator was 210.6 g/kWh at an operating speed of 35 knots.
Figure 7.
Specific fuel consumption of TAD1642GE generator; data from Volvo Penta (n.d.) [74].
An ESS was applied as the secondary power source, using a cartridge battery system (CBS). The CBS is a compilation of battery units, and its detailed design is determined by operational research. The battery unit used was a high-density marine battery pack, specifically the BF86 battery pack (Manufactured by: Electrine Inc., in Suwon, South Korea) [74]. Its specifications are listed in Table 3. The ESS was designed with emergency operation capability to cover 5 nautical miles at 7 knots, thereby allowing the vessel to reach its nearest shore. The illustration of overall main propulsion is shown in Figure 8.
Table 3.
BF 86 battery pack specification; data from Electrine (n.d.) [75].
Figure 8.
Main propulsion systems: Doen DJ142 waterjet, reproduced from DOEN Water jets (n.d.) [72]; Tema LPMR-550 electric motor, reproduced from TEMA (n.d.) [71]; Volvo penta TAD1642GE, reproduced from Volvo Penta (n.d.) [73]; BF 86 battery pack, reproduced from Electrine (n.d.) [74].
This study opted for a diesel–electric hybrid propulsion system design aimed at reducing the environmental impact while meeting high-endurance operational requirements. The design uses a hybrid battery–diesel propulsion system concept in which an electric motor, generator, and the ESS serve as the prime mover and the main and secondary sources of energy, respectively. The ESS in this design uses lithium-ion batteries, which are considered to be the optimal alternative for vehicle electrification because of their high efficiency in terms of gravimetric and volumetric measurements [75]. Considering the design layout, the initial assumption of the basic design of the hybrid propulsion system consisted of 2 and 1.288 tons of batteries and diesel, respectively.
5. Optimization Design with Mixed-Integer Linear Programming Methodology
A case study was conducted to apply optimization techniques and compare them with the initial hybrid propulsion design, because this study aimed to incorporate fuel efficiency and optimize the hybrid propulsion system design. This study used operations research as a decision-making tool to determine the optimal shares ratio that would satisfy high-endurance requirements. In this study, MILP was used in the propulsion design to optimize the objective function while adhering to the constraints modeled as linear functions. Generally, MILP consists of an objective function to be optimized; decision variables, typically denoted as X and Y, which represent the output of the optimized value; and constraints, which limit the decision variables. The iterative process of MILP is illustrated in Figure 9.
Figure 9.
Mixed-integer linear programming process.
5.1. Problem Statement and Mathematical Modeling
Propulsion systems are the largest source of GHGs in ships, with fossil fuels accounting for the majority of these emissions, significantly contributing to GWP. This section focuses on the design of a hybrid propulsion system by optimizing the shares ratio of diesel to battery power using MILP. The framework for this optimization is illustrated in Figure 10. This study considered only tank-to-wake (TTW) emissions—that is, emissions produced during engine combustion. The dataset and parameter used in this study are expressed below:
| T = {1,2,….,T}; time periods, in hours; | |
| Total energy required according to the scenario operation mission at time t (kWh); | |
| Battery unit energy (kWh); | |
| Battery unit weight (ton); | |
| Battery volume (m3); | |
| Diesel unit energy (kWh); | |
| Diesel unit weight (ton); | |
| Diesel unit volume (m3); | |
| Quantity of battery; | |
| Energy produced by diesel (kWh); | |
| Energy stored in battery (kWh); | |
| Emission factor battery unit (kg-CO2 eq/kg-fuel); | |
| Emission factor diesel unit (kg-CO2 eq/kg-fuel); | |
| Total emissions due to diesel usage (kg-CO2 eq); | |
| Total emissions due to diesel usage (kg-CO2 eq); | |
| Max total weight limit of the ship or displacement (ton); | |
| Max total volume limit of the ship in the machinery room (m3). |
Figure 10.
MILP mathematical modeling framework.
The objective function of the design is to minimize the total environmental impact, defined as the sum of the environmental impacts of fossil fuels (Emdie) and batteries (Embat), as shown in Equation (2):
The emissions produced by fuel combustion in an engine can be calculated by multiplying the emission factor () by the fuel consumption (FCdie,bat,t), as shown in Equation (3). The emission factor was based on the GREET database for fuel consumption [76], and the fuels are listed in Table 4. As many uncertainties remain in the feedstock stages, the design stages only considered the scenario of the combustion stages or tank-to-wake phases.
Table 4.
Conversion factor of CO2 emissions; data from The Department of Energy’s Argonne National Laboratory (n.d.) [76].
The model was constrained by a limited number of factors subject to the operational scenario of the ship. Considering the vessel requirements, the total power consumption must support a 200-nautical-mile operation, including the hotel load, as shown in Table 5. A constraint of 35 knots of speed-energy consumption was considered in this study. The power provision of the battery (Ebat) and diesel oil (Edie) must not be less than the total power consumption at 35 knots (ΣEreq), as shown in Equation (4). The power consumption of diesel was calculated by dividing the weight of the diesel (Wdie) by the SFOC, as shown in Equation (5). The energy that could be stored in the battery was determined by multiplying the number of batteries (nbat) by the capacity of each module, as shown in Equation (6).
Table 5.
Power consumption considering operational scenario.
Fast patrol boats are highly sensitive to displacement because of their high-speed operation, resulting in draft fluctuations that can lead to changes in speed and power. Hence, the total weight of the ships, which is the lightweight (LWT) and deadweight (DWT), including the equipment (ΣW), should not be more than the displacement (Wmax), which is subject to the constraint shown in Equation (7). The breakdown of the equipment weight, excluding the decision variables of diesel and ESS weight, was 15 tons, thereby availing 5 tons for the decision variables, as indicated in Table 6.
Table 6.
Load case of the designed ship without main battery and diesel.
Restricted engine room volume is common in smaller ships. Hence, the total volume of the propulsion system should be considered as a constraint. The Maxsurf software ver. 2024 confirmed that the volume of the engine room was approximately 61.98 m3. Therefore, this constraint can be modeled such that the total volume of the propulsion system (ΣV) should not exceed the volume of the machinery room (Vmax), as shown in Equation (8). The breakdown of the equipment volume in the engine room, with a total of 16.8 m3, excluding the decision variables of diesel and ESS volume, is provided in Table 7.
Table 7.
Equipment volume of designed ship without main battery and diesel.
Finally, considering the objective function and constraint restrictions, the ratio of the battery quantity (nbat) to the diesel weight (wdie) must be optimized as the decision variable. The decision variables and battery quantity must be nonnegative and an integer, respectively, as shown in Equations (9) and (10):
5.2. Operational Research Framework of Propulsion System Design
Table 8 displays the results of the MILP optimization, presenting the power split ratio of battery to diesel, which was optimized to minimize the environmental impact. The optimized results of the decision variable satisfied the constraints of energy, total weight, and volume shown in Table 9.
Table 8.
MILP optimization results.
Table 9.
Constraint check results.
The entire ESS design was segmented into three CBS units, each accommodating twelve battery modules connected in series, with a battery management system. This division provides several advantages in terms of scalability, maintenance, and load deployment, thereby allowing an optimal arrangement to achieve adequate trim and stability. The ESS was designed to operate at 80% of the nominal capacity to maintain the battery lifetime and aging. Hence, 523 kW of battery power can be used as the secondary source. The battery was designed to charge through shore connections using a DC/DC converter to manage and prevent overcharging. The power generated by the main generator is converted from alternating current (AC) to direct current (DC) through the main bus. An inverter is necessary to convert DC into AC, because the main motor operates on AC. Additionally, other equipment must be adapted based on the type of current that flows through the main bus. A one-line diagram of the propulsion system is shown in Figure 11. The design provides two scenarios: one in which the ESS and diesel are used for propulsion and hotel loads, and another in which the ESS is used solely for hotel loads and diesel for propulsion loads. Both scenarios are illustrated in Figure 12.
Figure 11.
One-line diagram of designed ship.
Figure 12.
Operational scenario: (a) ESS and diesel used for propulsion and hotel loads; (b) ESS only for hotel loads and diesel for propulsion loads.
6. Life-Cycle Assessment Comparison Analysis Between the Hybrid System and Diesel Propulsion System
This study conducted an emissions comparison analysis between a diesel–battery hybrid electric propulsion system and a conventional diesel propulsion system under identical design conditions. The LCA analysis was performed according to the ISO framework [77], consisting of goal and scope definition, life-cycle inventory, life-cycle impact assessment, and interpretation of the results. The LCA framework used in this study is shown in Figure 13.
Figure 13.
Life-cycle assessment analysis framework.
6.1. Goals and Scope
The primary goal of this impact assessment study was to compare the environmental impacts of two propulsion systems under the same design conditions in three scenarios: conventional MDO operation, initial design of the hybrid propulsion system, and optimized design of the hybrid propulsion system. This study examined operational phases related to TTW emissions because the current IMO short-term measures for GHG assessment focus only on operational phases. For this analysis, GREET software marine module ver. 2023, which is a recently accepted life-cycle transportation model, was used. The functional unit was defined as the fulfillment of the operational scenario function of the designed ship. The study’s time boundaries encompassed a ship operating for five weeks, with each week involving one operation covering 200 nautical miles. The lifetime of the study was set to 20 years. Two Volvo Penta D13-700 engines (Manufactured by: AB Volvo Penta, in Skövde, Sweden) [78], each providing 700 hp, were selected for comparison studies involving diesel propulsion systems. The comparison framework for this study is illustrated in Figure 14.
Figure 14.
Comparison of propulsion system frameworks.
6.2. Life-Cycle Inventory
Inventory analysis involves quantifying the input and output of emission loads, which is consistent with the goal and scope of life-cycle analysis. This study focused on tailpipe emissions using the GREET database, a recently accepted life-cycle transportation model, particularly in marine transportation, because the current IMO short-term measures for GHG assessment focus exclusively on operational phases. The GREET [76] database, developed by the Argonne National Laboratory for the U.S. Department of Energy, focuses on evaluating the environmental impacts of various transportation fuel sources. Notably, GREET, an open-source resource, is available as an Excel spreadsheet or specialized software for conducting life-cycle emission impact assessments. The advantages of the GREET database include its adaptability, which renders it a valuable tool for applications in the marine fuel sector. Notably, MDO with a 0.1% sulfur content was used as the input for the inventory, because this study aimed to compare emissions during the operational phases or TTW.
6.3. Life-Cycle Impact Assessment
Impact assessment involves translating environmental loads into quantifiable impact categories. This process is crucial for selecting impact categories that are consistent with the goals of the study and functional units. This study used a single GWP score (GWP-20) because it aimed to compare emissions, especially those of GHGs. This indicator is based on the IPCC Assessment Report 6 (AR-6) [79], in which the GHG emissions mainly include CO2, CH4, and N2O, as tabulated in Table 10.
Table 10.
Emission gas substance conversion to GWP; data from the IPCC (n.d.) [79].
6.4. Interpretation Results Comparison
The case study was assessed using the life-cycle transportation model of GREET, and the results were reported as a single normalized score. A comparison of the GWP between the diesel propulsion system and the diesel–battery hybrid electric propulsion system is presented in the Figure 15. The results indicate that the diesel–battery hybrid electric propulsion system exhibits adequate eco-friendliness, thereby achieving an approximately 7–9% reduction in GWP compared to the diesel propulsion system, as shown in Figure 15. The optimized design further improved the eco-friendliness by an additional 2% compared with the initial hybrid propulsion system design. These findings suggest that hybrid propulsion provides a viable solution for satisfying operational requirements while providing more sustainable options.
Figure 15.
Comparison results of GWP of two types of propulsion.
7. Discussion and Summary
This paper introduces and demonstrates the application of an MILP optimization model within the design stages of a diesel–battery hybrid electric propulsion system for a fast patrol boat, with a particular focus on the propulsion system design phase. The primary objective was to identify the most environmentally friendly power split between diesel and battery sources while meeting the operational requirements for achieving a top speed of 35 knots.
Given the current state of battery technology, the design of a fully battery-electric propulsion system remains limited in its application for fast patrol boats. In the optimized hybrid electric propulsion system presented in this case study, a power split ratio of 1.259 tons of diesel to 2.88 tons of batteries was identified as the most eco-efficient configuration. In other words, this study highlights that considering the worst-case (maximum speed) scenario during the design phase ensures that the system remains feasible and meets the operational needs at medium and lower speeds. The result of optimized shares also ensured that it could meet the operational requirements of lower-speed endurance. Based on current technology, the battery system can provide propulsion for up to 14 nautical miles (approximately 24 min) at maximum speed, covering only about 7% of the mission profile. This outcome highlights the limitations of existing battery systems in terms of energy density, despite ongoing advancements in battery technology.
The MILP-based optimization process proved to be a reliable and effective method for enhancing environmental performance. It enables the integration of operational constraints such as ship weight (LWT and DWT), available machinery and equipment volume, and total energy supply—including both PTO and PTI scenarios. While fixed PTO/PTI configurations are suitable for certain hybrid systems, in cases like patrol boats where such conditions cannot be predefined, the design must consider the maximum energy demand of potential PTI operations to ensure feasibility and adaptability.
This study simulated multiple operational scenarios of the hybrid electric propulsion system, including configurations where both the ESS and generator powered propulsion and hotel loads, as well as cases where the ESS was solely dedicated to hotel loads. Both scenarios met the required performance threshold, confirming the practicality of the optimized design.
Environmental performance was assessed using an LCA approach. Comparative analysis between the hybrid system and a conventional diesel-only propulsion system revealed that the optimized hybrid design reduces GWP by approximately 7–9%. Furthermore, the optimization process itself contributed an additional 2% reduction in GWP, reinforcing the environmental benefits of applying MILP during the early design stages.
Although this study primarily focuses on tailpipe emissions, future research should consider upstream energy sources. For instance, electricity generated from renewable sources could significantly improve the environmental performance of hybrid systems, while reliance on fossil-based electricity, such as coal, could negate the benefits. Expanding the framework to include well-to-wake emissions would provide a more comprehensive evaluation of the environmental impacts of hybrid propulsion technologies.
In summary, this study presents an effective methodology for integrating MILP into the hybrid propulsion system design process, combined with LCA for environmental validation. This approach not only improves propulsion system efficiency and emission performance but also supports sustainable decision-making in line with modern maritime environmental standards.
Author Contributions
Conceptualization, M., H.Z., D.O. and J.J.; Methodology, D.O.; Software, M., H.Z., N.H. and J.J.; Investigation, N.H.; Data curation, D.O.; Writing—original draft, M.; Writing—review & editing, D.O. and J.J. All authors have read and agreed to the published version of the manuscript.
Funding
This research was supported by the Korea Institute of Marine Science and Technology Promotion (KIMST), funded by the Ministry of Ocean and Fisheries, Korea (20220634).
Data Availability Statement
All data are presented in the paper.
Conflicts of Interest
The authors declare no conflicts of interest.
References
- Pratama, A.S.; Prabowo, A.R.; Tuswan, T.; Adiputra, R.; Muhayat, N.; Cao, B.; Hadi, S.; Yaningsih, I. Fast Patrol Boat Hull Design Concepts on Hydrodynamic Performances and Survivability Evaluation. J. Appl. Eng. Sci. 2023, 21, 501–531. [Google Scholar] [CrossRef]
- Jeong, S.; Woo, J.H.; Oh, D. Simulation of greenhouse gas emissions of small ships considering operating conditions for environmental performance evaluation. Int. J. Nav. Archit. Ocean Eng. 2020, 12, 636–643. [Google Scholar] [CrossRef]
- Leaper, R. The role of slower vessel speeds in reducing greenhouse gas emissions, underwater noise and collision risk to whales. Front. Mar. Sci. 2019, 6, 505. [Google Scholar] [CrossRef]
- Safehaven Marine. Safehaven Marine Launch Their Lastest Design, XSV 17 “Thunder Child”. Available online: https://www.safehavenmarine.com/single-post/2017/01/14/safehaven-marine-launch-their-latest-design-xsv-17-thunder-child (accessed on 3 April 2024).
- ZyCraft. PRODUCT-SHOMARI Long Range Vessel. n.d. Available online: https://www.zycraft.com/product-Shomari.php (accessed on 3 April 2024).
- International Maritime Organization (IMO). IMO’s Work to Cut GHG Emissions from Ships. Available online: https://www.imo.org/en/MediaCentre/HotTopics/Pages/Cutting-GHG-emissions.aspx (accessed on 3 April 2024).
- Bouman, E.A.; Lindstad, E.; Rialland, A.I.; Strømman, A.H. State-of-the-art technologies, measures, and potential for reducing GHG emissions from shipping—A review. Transp. Res. Part D Transp. Environ. 2017, 52, 408–421. [Google Scholar] [CrossRef]
- Lindstad, H. Strategies and Measures for Reducing Maritime CO2 Emissions; Norwegian University of Science and Technology: Trondheim, Norway, 2013. [Google Scholar]
- Mitsui, O.S.K. Lines, Efforts to reduce GHG emissions that we can begin utilizing immediately -Adoption of energy-saving technology. Available online: https://www.mol-service.com/en/services/energy-saving-technologies (accessed on 23 May 2025).
- Papanikolaou, A.; Xing-Kaeding, Y.; Strobel, J.; Kanellopoulou, A.; Zaraphonitis, G.; Tolo, E. Numerical and experimental optimization study on a fast, zero emission catamaran. J. Mar. Sci. Eng. 2020, 8, 657. [Google Scholar] [CrossRef]
- Park, Y.; Hwangbo, S.M.; Yu, J.W.; Cho, Y.; Lee, J.H.; Lee, I. Development of a small-sized tanker with reduced greenhouse gas emission under in-service condition based on CFD simulation. Ocean Eng. 2023, 286, 115588. [Google Scholar] [CrossRef]
- Oh, D.; Lee, D.; Jeong, S. Environmental impact evaluation on lightweight structure design of a composite ship by LCA (Life cycle assessment). J. Korean Soc. Precis. Eng. 2019, 36, 875–881. [Google Scholar] [CrossRef]
- American Bureau of Shipping (ABS). Ship Energy Efficiency Measures Advisory; ABS: Houston, TX, USA, 2014.
- Li, C.L.; Beatrice, F.; Epaminondas, M.; Stephen, E. A Comparison of Alternative Fuels for Shipping in Terms of Lifecycle Energy and Cost. Energies 2021, 14, 8502. [Google Scholar] [CrossRef]
- Det Norske Veritas (DNV). Electrical Energy Storage for Ships, Battery Systems for Maritime Applications–Technology, Sustainability and Safety; DNV: Oslo, Norway, 2020. [Google Scholar]
- Ten, S.; Hoedemaker, C. Battery Aging in Full Electric Ships; Delft University of Technology: Delft, The Netherlands, 2017. [Google Scholar]
- Tunnicliffe, A. Ellen E-Ferry: The World’s Glimpse of the Future of Ferries. 2019. Available online: https://www.ship-technology.com/features/ellen-e-ferry/?cf-view (accessed on 8 February 2024).
- Zhang, H.; Jang, J.; Maydison; Oh, D.; Han, Z. Evaluating the Application Feasibility of Lithium-Battery Electric Propulsion for Fishing Boats. J. Soc. Nav. Archit. Korea 2023, 60, 175–185. [Google Scholar] [CrossRef]
- Wang, S.; Notteboom, T. The Adoption of Liquefied Natural Gas as a Ship Fuel: A Systematic Review of Perspectives and Challenges. Transp. Rev. 2014, 34, 749–774. [Google Scholar] [CrossRef]
- International Maritime Organization. IGF Code: International Code of Safety for Ships Using Gases or Low Flashpoint Fuels; IMO Publication; International Maritime Organization: London, UK, 2016. [Google Scholar]
- Dedes, E.K.; Hudson, D.A.; Turnock, S.R. Investigation of Diesel Hybrid Systems for Fuel Oil Reduction in Slow Speed Ocean Going Ships. Energy 2016, 114, 444–456. [Google Scholar] [CrossRef]
- Damen. Damen Shipyards Contracted to Build Second Damen Commissioning Service Operation Vessel for TSSM. Available online: https://www.damen.com/insights-center/news/damen-shipyards-contracted-to-build-second-damen-csov-for-tssm (accessed on 1 April 2025).
- Vancouver Sun. B.C. Ferries Approved for Four New Vessels to Replace Oldest Ships in Fleet. Available online: https://vancouversun.com/news/bc-ferries-approved-four-vessels (accessed on 1 April 2025).
- Damen. Hybrid Waterbus 2907 E3–Sustainable Public Transport on Blue Highways. Available online: https://www.damen.com/insights-center/articles/hybrid-waterbus-2907-e3-sustainable-public-transport-on-blue-highways (accessed on 1 April 2025).
- European Defence Review. Ferretti Unveils the ‘Zero Emissions’ FSD800 Patrol Boat Version at Seafuture 2021. Available online: https://www.edrmagazine.eu/ferretti-unveils-the-zero-emissions-fsd800-patrol-boat-version-at-seafuture-2021#:~:text=The hybrid version is equipped,two hours at 5 knots (accessed on 1 April 2025).
- MarineLink. New Patrol Boat Features Unique Hybrid-Electric Propulsion System. Available online: https://www.marinelink.com/news/new-patrol-boat-features-unique-492073#:~:text=The three operational modes enable,%2C business development manager%2C Ribcraft (accessed on 1 April 2025).
- Motorboat & Yachting. A Look at the New M17 Scania Hybrid Diesel-Electric System. Available online: https://www.mby.com/motor-boat-news-boat-reviews-pictures-and-videos/a-look-at-the-new-m17-scania-hybrid-diesel-electric-system-133737 (accessed on 1 April 2025).
- Park, Y.; Kim, H. Advanced Design of Naval Ship Propulsion Systems Utilizing Battery-Diesel Generator Hybrid Electric Propulsion Systems. J. Mar. Sci. Eng. 2024, 12, 2034. [Google Scholar] [CrossRef]
- Animah, I.; Adjei, P.; Djamesi, E.K. Techno-Economic Feasibility Assessment Model for Integrating Hybrid Renewable Energy Systems into Power Systems of Existing Ships: A Case Study of a Patrol Boat. J. Mar. Eng. Technol. 2023, 22, 22–37. [Google Scholar] [CrossRef]
- Lim, Y.S. Understanding ENVIRONMENTALLY-FRIENDLY SHIPS; BM Media Group: Seoul, Republic of Korea, 2023. [Google Scholar]
- Inal, O.B.; Charpentier, J.F.; Deniz, C. Hybrid Power and Propulsion Systems for Ships: Current Status and Future Challenges. Renew. Sustain. Energy Rev. 2022, 156, 111965. [Google Scholar] [CrossRef]
- Perez, J.R.; Reusser, C.A. Optimization of the Emissions Profile of a Marine Propulsion System Using a Shaft Generator with Optimum Tracking-Based Control Scheme. J. Mar. Sci. Eng. 2020, 8, 221. [Google Scholar] [CrossRef]
- Lee, D.-H.; Kim, J.-S.; Yoon, K.-K.; Hur, J.-J. Study on Equivalent Consumption Minimization Strategy Application in PTI–PTO Mode of Diesel–Electric Hybrid Propulsion System for Ships. J. Korean Soc. Mar. Environ. Saf. 2022, 28, 451–458. [Google Scholar] [CrossRef]
- Fan, A.; Tian, Z.; Li, Y.; Liu, H.; Qiu, H.; Liufu, Y.; Vladimir, N. MAPSO-Based Mode Transition Process Optimisation of Ship Parallel Hybrid Power System. J. Mar. Eng. Technol. 2025. [Google Scholar] [CrossRef]
- Gao, F.; Brodtkorb, A.H.; Zadeh, M.; Mo, S.M. Power Management and Optimization of Marine Hybrid Propulsion Systems: A Combinator Surface Methodology. Ocean Eng. 2024, 309, 118354. [Google Scholar] [CrossRef]
- Geertsma, R.D.; Negenborn, R.R.; Visser, K.; Hopman, J.J. Design and Control of Hybrid Power and Propulsion Systems for Smart Ships: A Review of Developments. Appl. Energy 2017, 194, 30–54. [Google Scholar] [CrossRef]
- Lee, Y.B.; Lee, G.C.; Park, J.W.; Sung, B.J.; Yang, J.D. Study on Performance and Continuous Durability Test of Single Input Multi Output Power Take-off (PTO) Gear Box. Materwiss. Werksttech. 2020, 51, 665–675. [Google Scholar] [CrossRef]
- Kim, H.; Kim, J. Research on Improving Energy Efficiency through Optimal Load Control between a Ship’s Shaft Generator and Diesel Generator. IEEE Access 2024. [Google Scholar] [CrossRef]
- Vie, R. Commercial Experience with Electric Propulsion on Passenger Cruise Vessels. Trans. Mar. Eng. C 1998, 110, 1–10. [Google Scholar]
- Minnehan, J.J.; Pratt, J.W. Practical Application Limits of Fuel Cells and Batteries for Zero Emission Vessels; Sandia Unlimited Release; Sandia National Lab.(SNL-NM): Albuquerque, NM, USA, 2017. [Google Scholar]
- Banaei, M.; Boudjadar, J.; Dragicevic, T.; Khooban, M.H. Cost Effective Operation of a Hybrid Zero-Emission Ferry Ship. In Proceedings of the 2020 IEEE 11th International Symposium on Power Electronics for Distributed Generation Systems (PEDG), Dubrovnik, Croatia, 28 September–1 October 2020; IEEE: Piscataway, NJ, USA, 2020; pp. 23–28. [Google Scholar] [CrossRef]
- Kolodziejski, M.; Michalska-Pozoga, I. Battery Energy Storage Systems in Ships’ Hybrid/Electric Propulsion Systems. Energies 2023, 16, 1122. [Google Scholar] [CrossRef]
- Taha, H.A. Operations Research An Intoduction, 10th ed.; Pearsons: London, UK, 2017. [Google Scholar]
- Ye, Y.; Liang, S.; Zhu, Y. A mixed-integer linear programming-based scheduling model for refined-oil shipping. Comput. Chem. Eng. 2017, 99, 106–116. [Google Scholar] [CrossRef]
- Meng, Q.; Wang, T. A scenario-based dynamic programming model for multi-period liner ship fleet planning. Transp. Res. Part E Logist. Transp. Rev. 2011, 47, 401–413. [Google Scholar] [CrossRef]
- Baldasso, E.; Elg, M.; Haglind, F.; Baldi, F. Comparative analysis of linear and non-linear programming techniques for the optimization of ship machinery systems. J. Mar. Sci. Eng. 2019, 7, 403. [Google Scholar] [CrossRef]
- Maydison; Lim, H.; Heo, J.; Choe, S.; Kim, J.; Jang, J.; Oh, D. Assessing LNG dual fuel impact on global warming potential through life cycle assessment. Results Eng. Sustain. Retrofit. Shipp. 2024, 23, 102484. [Google Scholar]
- Han, Z.; Jang, J.; Souppez, J.R.G.; Maydison; Oh, D. Environmental implications of a sandwich structure of a glass fiber-reinforced polymer ship. Ocean Eng. 2024, 298, 117122. [Google Scholar] [CrossRef]
- Han, Z.; Choi, J.; Hwang, I.; Kim, J.; Oh, D. Basic Design of High-Speed Riverine Craft Made of Carbon Fiber Reinforced Polymer. J. Soc. Nav. Archit. Korea 2020, 57, 241–253. [Google Scholar] [CrossRef]
- Bentley. Maxsurf-Marine Vessel Analysis and Design Software. n.d. Available online: https://www.bentley.com/software/maxsurf/ (accessed on 3 April 2024).
- Vasiljevski; Kekeljevic. Specifications, Interceptor DV15 RWS30 Fast Patrol Boat Craft CMN Constructions Mecaniques de Normandie Datasheet Pictures Photos Video. Navy Recognition. Available online: https://ministeredeladefense.weebly.com/cmn.html (accessed on 4 March 2024).
- Gray, W. Super-Swift Gunboat: The Barracuda XSV 17. Gunpowder Magazine. Available online: https://gunpowdermagazine.com/super-swift-gunboat-the-barracuda-xsv-17/ (accessed on 4 March 2024).
- Safehaven Marine. Barracuda. Available online: https://www.safehavenmarine.com/barracuda (accessed on 4 March 2024).
- Scout. 530 LXF. Available online: https://scoutboats.com/model/530-lxf/ (accessed on 4 March 2024).
- Tampa Yacht Manufacturing. 44-FCI. Available online: https://www.tampa-yacht.com/44-fci.html (accessed on 4 March 2024).
- Carbon Fiber Yachts. ANVERA 55. Available online: https://carbonfiberyachts.com/listings/anvera-55/ (accessed on 4 March 2024).
- Carbon Fiber Yachts. WALLY 52 WALLYPOWER. Available online: https://carbonfiberyachts.com/listings/wally-52-wallypower/#1468238791521-8e8c0611-a354 (accessed on 4 March 2024).
- DAPA (Defense Acquisition Program Administration). Development of Next Generation Ultra High Speed Boats for Rapid Response. Available online: https://www.dapa.go.kr/dapa/na/ntt/selectNttInfo.do?bbsId=528&nttSn=42020 (accessed on 4 March 2024).
- Palmer Johnson. PJ63. Available online: https://www.palmerjohnson.com/open-sport (accessed on 4 March 2024).
- Wally. Wallytender 48. Available online: https://www.wally.com/en-us/Fleet/Model/p/20-293-446-PUB-EXT/n/Wally-wallytender48 (accessed on 4 March 2024).
- Wally. Wallytender48X. Available online: https://www.wally.com/en-us/Fleet/Model/p/20-294-447-PUB-EXT/n/Wally-wallytender48X#anchor (accessed on 4 March 2024).
- itBoat. Wally Tender. Available online: https://itboat.com/models/1-wally-tender (accessed on 4 March 2024).
- ZyCraft. Vigilant IUSV. Available online: https://www.digitalcard.com.sg/works/ZyCraft/pdf/17_m_USVBrochure_2022.pdf (accessed on 4 March 2024).
- Tampa Yacht Manufacturing. 50FAC-Fast Attack Craft. Available online: https://www.tampa-yacht.com/brochures.html#fac-50 (accessed on 4 March 2024).
- Hinckley Yachts. Talaria 48 MKII. Available online: https://www.hinckleyyachts.com/models/talarias/talaria-48/ (accessed on 4 March 2024).
- Savitsky, D. Hydroynamic design of planing hulls. Mar. Technol. 1964, 1, 71–95. [Google Scholar]
- Bertorello, C.; Oliviero, L. Hydrodynamic resistance assessment of non-monohedral planing hull forms based on Savitsky’s methodology. Aust. J. Mech. Eng. 2007, 4, 209–223. [Google Scholar] [CrossRef]
- Jeong, U.C.; Ryu, C.H.; Oh, D.K.; Hong, K.S. Study on Resistance Characteristics of 50-ft class CFRP Power Yacht. J. Ocean Eng. Technol. 2014, 28, 493–499. [Google Scholar] [CrossRef]
- Chin, C.S.; Tan, Y.J.; Kumar, M.V. Study of Hybrid Propulsion Systems for Lower Emissions and Fuel Saving on Merchant Ship during Voyage. J. Mar. Sci. Eng. 2022, 10, 393. [Google Scholar] [CrossRef]
- Reusser, C.A.; Pérez Osses, J.R. Challenges for zero-emissions ship. J. Mar. Sci. Eng. 2021, 9, 1042. [Google Scholar] [CrossRef]
- TEMA. LPMR-Reluctance Supported Permanent Magnet Motors. Available online: https://www.tema.hr/storage/pdf/LPMR_tema.hr.pdf (accessed on 3 April 2024).
- DOEN Water Jets, Kompakt Series Waterjet Model Range. Available online: https://doen.com/products/kompakt-series/range/ (accessed on 3 April 2024).
- Volvo Penta. Power Generation Engine Range-D16. Available online: https://www.volvopenta.com/industrial/power-generation-engines/power-generation-engine-range/d16-eu-stage-ii-epa-tier-2/ (accessed on 3 April 2024).
- Electrine, Electrine Battery Series. Available online: http://www.electrine.co.kr/products/battery (accessed on 14 May 2024).
- Diouf, B.; Pode, R. Potential of lithium-ion batteries in renewable energy. Renew. Energy 2015, 76, 375–380. [Google Scholar] [CrossRef]
- The Department of Energy’s Argonne National Laboratory. GREET. Available online: https://www.energy.gov/eere/greet (accessed on 14 May 2024).
- ISO 14040:2006; Environmental Management–Life Cycle Assessment–Principles and Framework. International Organization for Standardization (ISO): Geneva, Switzerland, 2006.
- Volvo Penta. Marine Engines D13 Inboard Engine. Available online: https://www.volvopenta.com/marine/all-marine-engines/d13/ (accessed on 25 May 2025).
- IPCC. Sixth Assessment Report. Available online: https://www.ipcc.ch/assessment-report/ar6/ (accessed on 8 April 2025).
Disclaimer/Publisher’s Note: The statements, opinions and data contained in all publications are solely those of the individual author(s) and contributor(s) and not of MDPI and/or the editor(s). MDPI and/or the editor(s) disclaim responsibility for any injury to people or property resulting from any ideas, methods, instructions or products referred to in the content. |
© 2025 by the authors. Licensee MDPI, Basel, Switzerland. This article is an open access article distributed under the terms and conditions of the Creative Commons Attribution (CC BY) license (https://creativecommons.org/licenses/by/4.0/).














