Abstract
The Mediterranean subpopulation of short-beaked common dolphin Delphinus delphis is ranked as endangered on the IUCN (International Union for Conservation of Nature) Red List because it has sharply declined during the last decades, resulting in sparse and decreasing populations. Monitoring the conservation status of this endangered dolphin species is particularly relevant to fulfil targets under the range of several international agreements. Moreover, estimating the abundance of D. delphis is essential to verify the effectiveness of conservation action to maintain safe population levels in the Mediterranean Sea and to suggest appropriate modifications to limit potential threats. In this regard, a monitoring program of the short-beaked common dolphin in Samos Island (Greece) was carried out from 2016 to 2019, adopting a random line transect sampling method. The overall density and abundance estimates of D. delphis, obtained by applying conventional distance sampling (CDS) on sighting data, were 0.15 individuals/km2 (CV = 13.27%; 95% CI = 0.11–0.19 individuals/km2) and 51 individuals (CV = 13.27%; 95% CI = 40-66 individuals), respectively. Although, a longer time series of sighting data should be collected and a larger area should be investigated to better understand the population trend of D. delphis and its residency pattern, the results contribute to setting up a baseline reference for future assessment of its population in the Eastern Aegean Sea.
1. Introduction
The short-beaked common dolphin Delphinus delphis (hereafter, common dolphin) is one of the cetacean species that regularly occurs in both the coastal and pelagic domains of the Mediterranean Sea as well as in other oceanic areas [1,2], with its spatiotemporal occurrence linked to seasonal fluctuations in sea-surface temperature and upwelling currents [3,4]. In the Mediterranean Sea, the common dolphin may occasionally form mixed groups with other cetacean species. In shallower waters, it can be observed in mixed groups with the common bottlenose dolphin Tursiops truncatus [5,6]. In offshore waters over the continental slope it can be observed in mixed groups with the striped dolphin Stenella coeruleoalba [3,7,8,9,10,11,12,13,14]. A specific case exists in the Gulf of Corinth where D. delphis has usually been recorded in mixed groups with the striped dolphin and the Risso’s dolphin Grampus griseus [15,16,17,18,19].
The common dolphin was one of the most abundant species in the Mediterranean basin, but in recent decades it has sharply declined due to multifactorial and increasing anthropogenic threats (e.g., climate change, habitat loss and degradation, prey depletion, as well as underwater noise and chemical pollution) [6]. Consequently, the Mediterranean subpopulation of common dolphin was declared endangered by the IUCN [20], and recently, the local population of D. delphis in the Gulf of Corinth was proposed as critically endangered [19]. In this regard, monitoring the conservation status of this endangered dolphin species at both the local and Mediterranean regional scale is particularly relevant to fulfil targets under the range of several international agreements such as the Habitats Directive (Annex IV), the Barcelona Convention (Annex II), the Convention on Biological Diversity, and the ACCOBAMS agreement. Moreover, D. delphis and other cetacean species represent key taxa in the marine food web, as they are highly responsive to anthropogenic impacts, assuming a significant role in addressing a Good Environmental Status (GES) for EU marine ecosystems according to the Marine Strategy Framework Directive (MSFD) [21,22,23]. Therefore, providing information on the occurrence and abundance estimates of D. delphis is essential to support the implementation of effective conservation measures to maintain safe population levels and to suggest appropriate modifications to limit potential threats.
Currently, records of this species are documented in the Pelagos Sanctuary, near Lampedusa Island and in the Messina Strait [13], off western Sardinia [24], in the Cap Bon area (northern Tunisia) [25], in the eastern Ionian Sea [15], in the Aegean Sea [26,27,28], and in the Levantine Sea [29,30]. Local abundance estimates of this species have only been provided for long-term monitored areas such as the Alborán Sea [4,11], the waters off Malta [31], the Inner Ionian Sea Archipelago [6,32,33], the Gulf of Corinth [17,18,34], and the Thracian Sea [35]. Recently, an attempt to estimate abundance of a local population of common dolphin inhabiting waters near Lipsi and Samos islands, in the Eastern Aegean Sea, was carried out by the authors of [36]. However, the abundance estimates were provided only using photo-identification data collected during 2015 and 2017, whereas the density estimate was carried out by statistical tests including sighting data collected during 2016 and 2017 along pre-determined transects [36]. Against that background, some of the previous studies are very preliminary and often represent qualitative assessments of the species trend. Moreover, to date, no overall abundance estimate has been provided for D. delphis in the ACCOBAMS area [37].
This study aims to update information on the occurrence of D. delphis in the waters of Samos Island (Greece) and to provide estimates of density and abundance by applying the conventional distance sampling (CDS) method on sighting data collected through the study period from 2016 to 2019. This research could represent a baseline reference for future assessment of this species in an area already proposed as a Cetacean Critical Habitat [38,39], but for which insufficient knowledge on the population status as well as on the main anthropogenic pressures have limited the implementation of specific management actions that may ensure conservation benefits [40].
2. Materials and Methods
2.1. Study Area
The study area is located to the south of Samos Island (Greece) covering an area of approximately 351 km2, on a shallow plateau with depths that rarely exceed 100 m (Figure 1). The surrounding area is characterized by a steep valley formation reaching approximately 1500m in depth. A small-scale artisanal fishery is active in the area. Trammel and gill-netters, bottom trawlers, and long-liners are distributed in several fishing harbors along the coast of Samos and neighboring islands [41,42,43,44]. Marked shipping traffic providing underwater noise affects the area, and floating plastic debris has been increasingly recorded, probably due to the presence of different marine thoroughfares from the Dardanelles Straits towards Athens, the Suez Canal (via the Dodecanese Archipelago), and Turkey/Cyprus via Rhodes [44].
Figure 1.
Map of the study area south of Samos Island in the Eastern Aegean Sea (Eastern Mediterranean Sea) with indication of sampling transect lines carried out from 2016 to 2019.
2.2. Data Collection
Sighting data were collected during daily-standardized line-transect surveys carried out from February 2016 to September 2019 on board of a 50-foot sailing boat. According to [45], a systematic equal spaced zigzag survey design with a random start was adopted to afford better spatial coverage of the study area [46] and to reduce effective costs and off-effort navigation time [47]. Random transects of 50 km were generated daily with an angle of 0° to the x-axis using the Distance 7.3 software. The sampling effort was set at approximately 5 h/day with a boat speed of 6 knots. Trips were carried out only in favorable weather conditions (Douglas scale ≤ 3 and Beaufort scale ≤ 4) to avoid the underestimate of dolphin’s abundance due to the loss of possible sighting data [48]. Observations were made by four observers of whom two were always trained experts, investigating a sector from the track line to 90° on the starboard and the port sides. Observers rotated their positions after 30 min of observation. Once a target (an individual or a group of dolphins) was detected, the geographic position of the boat, the angle at first contact and the radial distance were measured using an on-board compass and a marine reticule binocular, assuming the dolphins position did not change during measurement [49]. In addition, the date, sea and weather conditions, depth, species, and group size (number of individuals) were also recorded.
2.3. Data Analysis
Analysis of sighting data to estimate density and abundance of D. delphis in the study area was performed using conventional distance sampling in the Distance 7.3 software [46]. Different configuration setting values were previously tested to adopt the correct truncation value. The value of 750 m proved to be the best solution because it assures that the probability of detection stays close to 1 for some distance from the line, and that the probability of detection has a wide shoulder (shape criterion) [45]. In addition, this value also corresponds to half the width of the strip (line transect sampling), which is consistent with the indication provided in [50]. The model of detection function and the encounter rate (ER) were estimated, stratifying for each sampling year (representing the stratum), and the selection of the best detection function model was made using the Akaike information criteria (AIC) [51]. The possible effect of the change of the effort applied and of the group size recorded through the study period was tested by means of the non-parametric Mann–Whitney test (U test) with Bonferroni’s correction [52] (PAST 3.05 Software, [53]). The expected value of group size was assessed using a size-biased regression method if the regression was significant with an α of 0.05, otherwise the mean of group size was used. Estimates of the encounter rate, the expected value of group size, the effective strip width (ESW), the abundance, and density of the common dolphin throughout the study period were provided for each sampling year, reporting the coefficient of variation (CV).
3. Results
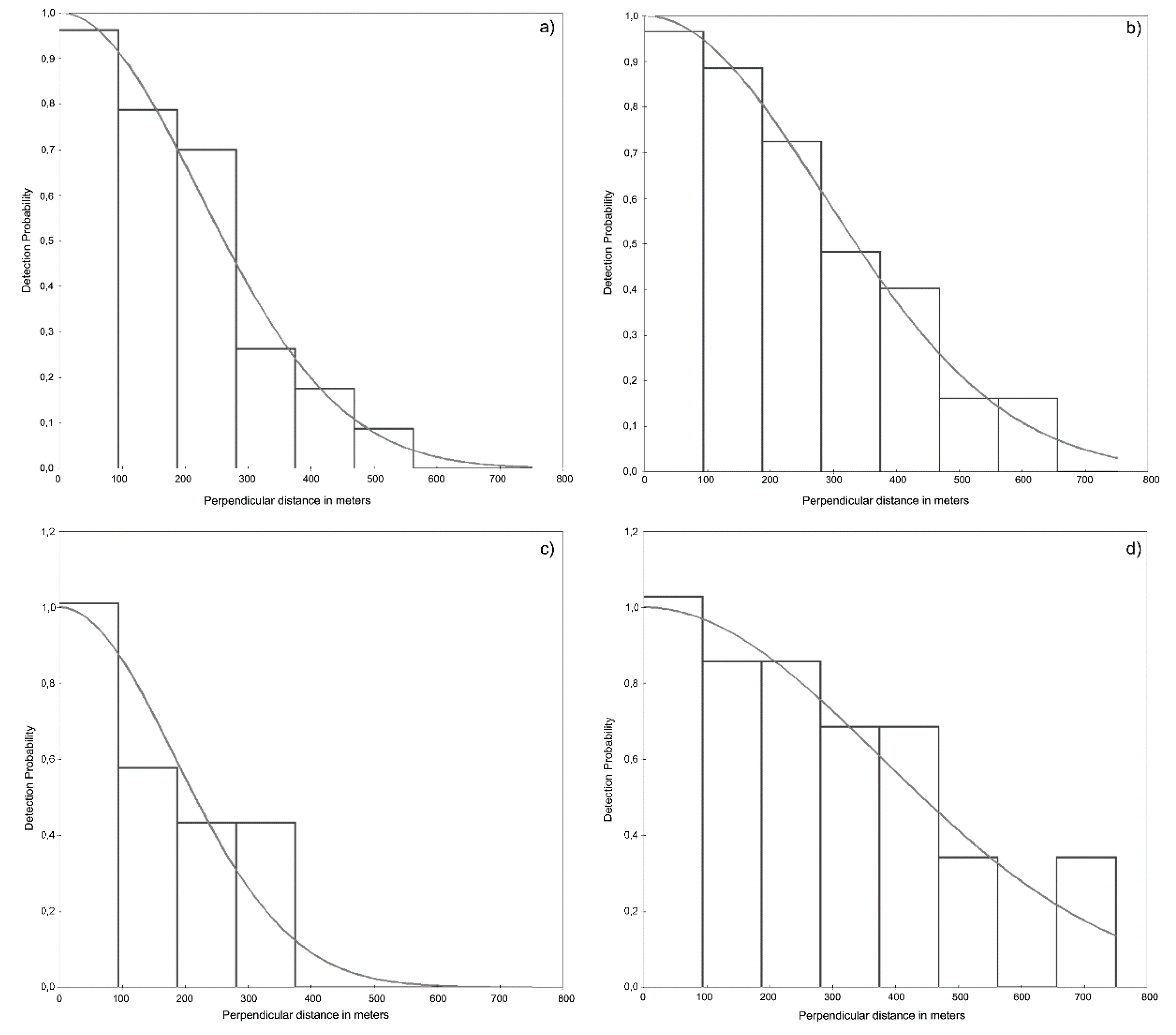
A total effort of 214 daily surveys was applied in the study area during the investigated period (2016–2019) (Table 1). Approximately 1070 h of observations were carried out covering 10,700 km and providing 128 D. delphis sightings. Sightings of common dolphin occurred in waters with depths ranging between 12 and 100 m with a mean of 60 ± 22 m (Table 1). The results of the CDS analysis are summarized in Table 2. Based on the lower AIC values, the half-normal key function with no cosine adjustment term proved to be the best model of the detection function, fitting sighting data of D. delphis recorded in each stratum (Figure 2). The ER values ranged between 0.009 (CV = 25.33%) in 2018 and 0.017 sightings/km in 2019 (CV = 19.17%). The estimated ESW ranged from 229.85 m (CV = 20.93%) in 2018 to 449.46m (CV = 15.86%) in 2019. The expected value of group size, representing the mean group size estimated by CDS, ranged from 6 individuals (CV = 19.42%) in 2018 to 10 individuals (CV = 17.28%) in 2019. Density and abundance values ranged, respectively, between 0.11 individuals/km2 and 39 individuals (CV = 38.17%) in 2018 and 0.18 individuals/km2 and 67 individuals (CV = 30.29%) in 2019. No significant differences were observed in the effort applied or the group size recorded through the sampling period (U-test, p > 0.05). Therefore, the overall density and abundance estimates of common dolphin in the study area, obtained by pooling data by year, were 0.15 individuals/km2 (CV = 13.27%; 95% CI = 0.11–0.19 individuals/km2) and 51 individuals (CV = 13.27%; 95% CI = 40–66 individuals), respectively.
Table 1.
Sampling period, number of daily surveys, effort (hours and kilometers), range and mean of investigated depth (m), and number of sightings of D. delphis that occurred in waters south of Samos Island from 2016 to 2019.
Table 2.
Estimates by year of the encounter rate, effective strip width (ESW), group size, density, and abundance of D. delphis obtained by conventional distance sampling (CDS) analysis.
Figure 2.
Detection functions modelled for D. delphis in (a) 2016, (b) 2017, (c) 2018, and (d) 2019.
4. Discussion
Estimations of encounter rate, group size, density, and abundance values of D. delphis were made by the application of CDS analysis to sighting data collected during standardized surveys carried out near Samos Island, Greece (Eastern Aegean Sea), providing a comparison with analogous values estimated in similar studies carried out in other Mediterranean areas (Table 3). The encounter rates estimated in the study area were higher than values reported for the Alborán Sea [4], in waters off Ischia Island [14], in the Inner Ionian Sea Archipelago [6,32], and in the Thracian Sea [35], indicating that the waters off the south of Samos Island are an eligible habitat for D. delphis. The estimated ER values could be used as an effective baseline for future assessment of the common dolphin conservation status in the area, where an increasing trend in small-scale fishery exploitation and tourist flow have been recorded in the last few years, representing potential harmful threats for the species. The mean group size estimated for the waters south of Samos Island confirmed the pattern observed for the species in the Inner Ionian Sea Archipelago [6,32] and the Thracian Sea [35]. The small-sized aggregation of common dolphin groups is probably due to a behavioral feeding strategy caused by the distribution of prey (small pelagic fish) over many small patches in the study area [5,28,54], which leads dolphins to split into smaller groups for more efficient predation [55]. On the other hand, the presence of highly productive marine areas and the high seasonal abundance of prey leads to the formation of larger groups of D. delphis as observed in the western Alborán and southern Almeria [4,11], in the Tyrrhenian Sea [8,13,14] and in waters off Malta Island [31]. Indeed, the presence of small pelagic fish such as sardine and anchovy resulted in an important explanatory variable in the modelling of the distribution of the common dolphin as reported by the authors of [28] in the Aegean Sea. However, both the presence and distribution of these small pelagic fish can fluctuate with the seasons depending on environmental factors such as sea surface temperature and chlorophyll concentration, causing a variation in the presence of the common dolphin, both in its group size and spatial distribution. In effect, during warmer months, the common dolphin shows a preference for coastal waters due to the movement to epipelagic areas by small pelagic fish both in the western [3,11] and eastern Mediterranean areas [35,56]. During the colder season, the species seems to move in offshore waters in the western Mediterranean areas, whereas in the Greek seas it seems to remain relatively close to the coast (not exceeding 400 m) also thanks to the presence of Levantine Intermediate Water. The overall density estimate of the common dolphin in the study area is generally in line with the corresponding values reported in both the western and central-eastern Mediterranean regions (Table 3). The overall abundance estimated in the waters south of Samos Island is lower than the values reported for the Thracian Sea [35] and for the Eastern Aegean Sea [36] as well as for the Alborán Sea [4,11]. In contrast, abundance is higher than the latest estimates reported for the Inner Ionian Sea Archipelago [33] and the Gulf of Corinth [17,34]. However, caution in any further comparative consideration is required given the different extensions of the study areas, platforms of observation, sampling designs, and the estimation methods applied. The abundance estimates for the common dolphin provided in the waters south of Samos Island confirmed the importance of this area as a suitable habitat for the species [36]. Nevertheless, a longer time series of sighting and photo-identification data in the investigated area as well as in the larger area should be implemented for a better understanding of the population trend, its residency pattern, and its possible movements throughout the Aegean Sea [35,57,58]. Further research studies aimed at clarifying environmental and anthropogenic variables shaping the critical habitat of D. delphis are necessary, mostly because the knowledge on this species is still fragmentary and incomplete [27,59]. In particular, very little is known on the genetic exchange between local aggregations of this species within the Aegean Sea and with other neighboring or even more distant areas. Moreover, the direction of the genic flow for D. delphis between the western and eastern Mediterranean regions should be very accurately investigated. In that regard, a common survey plan extended to different local areas of the Mediterranean Sea could address appropriate action for conservation of this species. The Central Aegean Sea including the Cyclades and Dodecanese Archipelagos, as well as the islands of Samos and Ikaria, have recently been declared an Important Marine Mammal Area (IMMA) for the occurrence of Mediterranean monk seal Monachus monachus and different species of cetaceans, including the common dolphin [60]. Unfortunately, the presence of this endangered species appears not be enough to meet criteria for the setting up of an IMMA. Conversely, increasing human use of the Aegean basin by fishing vessels and maritime traffic, which produce high sound pressure levels, has been well documented [27,36]. This situation requires the urgent establishment of a comprehensive strategy for maintaining these potentially harmful activities within acceptable levels according to the EU Marine Strategy Framework Directive and Maritime Spatial Planning Directive.
Table 3.
Encounter rate (ER groups/100km), density (D), and abundance (N) values with coefficient of variation (% CV) and mean group size estimated for D. delphis in the Mediterranean Sea. Indication of the investigated area and years, extension of the study area (km2), platform of observation, estimation method, and references are reported.
Author Contributions
Conceptualization, G.P., A.M., and R.C.; methodology, G.P., H.C., G.C., C.F., and R.C.; formal analysis, G.C., H.C., K.A., and R.M.; investigation, G.P., K.A., H.C., S.A., and A.M.; data curation, G.P., K.A., H.C., S.A., A.M., and G.C.; writing—original draft preparation, G.P., K.A., G.C., and R.C.; writing—review and editing, G.P., G.C., K.A., S.A., H.C., A.M., R.M., C.F., and R.C. All authors have read and agreed to the published version of the manuscript.
Funding
This research received no external funding.
Conflicts of Interest
The authors declare that they have no conflict of interest.
References
- Notarbartolo di Sciara, G. Marine Mammals in the Mediterranean Sea: An overview. In Mediterranean Marine Mammal Ecology and Conservation; Advances in Marine Biology; Notarbartolo Di Sciara, G., Podestà, M., Curry, B.E., Eds.; Academic Press: London, UK, 2016; Volume 75, pp. 1–36. [Google Scholar]
- Perrin, W.F. Common dolphins Delphinus delphis, D. capensis, and D. tropicalis. In Encyclopedia of Marine Mammals, 3rd ed.; Würsig, B., Thewissen, J.G.M., Kovacs, K.M., Eds.; Academic Press: London, UK, 2018; pp. 20–209. [Google Scholar]
- Cañadas, A.; Sagarminaga, R.; García-Tiscar, S. Cetacean distribution related with depth and slope in the Mediterranean waters off southern Spain. Deep Sea Res I 2002, 49, 2053–2073. [Google Scholar] [CrossRef]
- Forcada, J.; Hammond, P.S. Geographical variation in abundance of striped and common dolphin in the western Mediterranean sea after the 1990 epizootic outbreak. J. Sea Res. 1998, 10, 137–150. [Google Scholar]
- Politi, E.; Bearzi, M.; Notarbartolo di Sciara, G.; Cussino, E.; Gnone, G. Distribution and frequency of cetaceans in the waters adjacent to the Greek Ionian Islands. In Proceedings of the 6th Annual Conference of European Research Cetacean Society, San Remo, Italy, 20–22 February1992; pp. 75–78. [Google Scholar]
- Bearzi, G.; Randall, R.R.; Notarbartolo-Di-Sciara, G.; Politi, E.; Cañadas, A.; Frantzis, A.; Mussi, B. Ecology, status and conservation of short-beaked common dolphins Delphinus delphis in the Mediterranean Sea. Mammal Rev. 2003, 33, 224–252. [Google Scholar] [CrossRef] [Green Version]
- García-Tiscar, S.; Knouse, D.; Sagarminaga, R.; Cañadas, A. An insight on the biological significance of mixed groups of common dolphins (Delphinus delphis) and striped dolphins (Stenella coeruleoalba) in the Alborán Sea. Eur. Res. Cetaceans 2000, 14, 135–137. [Google Scholar]
- Mussi, B.; Miragliuolo, A.; Bearzi, G. Short-beaked common dolphins around the Island of Ischia, Italy (southern Tyrrhenian Sea). Eur. Res. Cetaceans 2002, 16, 15. [Google Scholar]
- Mussi, B.; Miragliuolo, A. I cetacei della costa nord occidentale dell’isola di Ischia (Canyon di Cuma). In Ambiente marino costiero e territorio delle isole flegree (Ischia Procida e Vivara—Golfo di Napoli). Risultati di uno studio interdisciplinare; Gambi, M.C., De Lauro, M., Jannuzzi, F., Eds.; Liguori: Napoli, Italy, 2003; pp. 213–232. [Google Scholar]
- Azzellino, A.; Gaspari, S.; Airoldi, S.; Nani, B. Habitat use and preferences of cetaceans along the continental slope and the adjacent pelagic waters in the western Ligurian Sea. Deep Sea Res I 2008, 55, 296–323. [Google Scholar] [CrossRef]
- Cañadas, A.; Hammond, P.S. Abundance and habitat preferences of short-beaked common dolphins (Delphinus delphis) in the South-western Mediterranean: implications for conservation. Endang. Species Res. 2008, 4, 309–331. [Google Scholar] [CrossRef]
- Natoli, A.; Cañadas, A.; Vaquero, C.; Politi, E.; Fernandez-Navarro, P.; Hoelzel, A.R. Conservation genetics of the short-beaked common dolphin (Delphinus delphis) in the Mediterranean Sea and in the eastern North Atlantic Ocean. Conserv. Genet. 2008, 9, 1479–1487. [Google Scholar] [CrossRef]
- Pace, D.S.; Mussi, B.; Airoldi, S.; Alessi, J.; Arcangeli, A.; Atzori, F.; Giacoma, C.; Tringali, M. New insights on the presence and distribution of the endangered short-beaked common dolphin Delphinus delphis in Italian waters. Biol. Mar. Medit. 2015, 22, 262–263. [Google Scholar]
- Mussi, B.; Vivaldi, C.; Zucchini, A.; Miragliuolo, A.; Pace, D.S. The decline of short-beaked common dolphin (Delphinus delphis) in the waters off the island of Ischia (Gulf of Naples, Italy). Aquatic Conserv. Mar. Freshw. Ecosyst. 2019. [Google Scholar] [CrossRef] [Green Version]
- Frantzis, A.; Herzing, D.L. Mixed species associations of striped dolphin (Stenella coeruleoalba), short-beaked common dolphin (Delphinus delphis) and Risso’s dolphin (Grampus griseus), in the Gulf of Corinth (Greece, Mediterranean Sea). Aquatic Mammal 2002, 28, 188–197. [Google Scholar]
- Frantzis, A. Cetaceans in Greece: Present Status of Knowledge; Initiative for the Conservation of Cetaceans in Greece: Athens, Greece, 2009; p. 94. [Google Scholar]
- Bearzi, G.; Bonizzoni, S.; Santostasi, N.L.; Furey, N.B.; Eddy, L.; Valavanis, V.D.; Gimenez, O. Dolphins in a scaled-down Mediterranean: the Gulf of Corinth’s odontocetes. Adv. Mar. Biol. 2016, 75, 297–331. [Google Scholar] [PubMed]
- Santostasi, N.L.; Bonizzoni, S.; Bearzi, G.; Eddy, L.; Gimenez, O. A robust design capture-recapture analysis. PLoS ONE 2016, 11, e0166650. [Google Scholar] [CrossRef] [Green Version]
- Santostasi, N.L.; Bonizzoni, S.; Gimenez, O.; Eddy, L.; Bearzi, G. Common dolphins in the Gulf of Corinth are Critically Endangered. Aquatic Conserv. Mar. Freshw. Ecosyst. 2018, 1–9. [Google Scholar] [CrossRef] [Green Version]
- Bearzi, G. Delphinus delphis (Mediterranean subpopulation); The IUCN Red List of Threatened Species: 2003; e.T41762A10557372. Available online: https://dx.doi.org/10.2305/IUCN.UK.2003.RLTS.T41762A10557372.en (accessed on 19 March 2020).
- Carlucci, R.; Fanizza, C.; Cipriano, G.; Paoli, C.; Russo, T.; Vassallo, P. Modeling the spatial distribution of the striped dolphin (Stenella coeruleoalba) and common bottlenose dolphin (Tursiops truncatus) in the Gulf of Taranto (Northern Ionian Sea, Central-eastern Mediterranean Sea). Ecol. Indicat. 2016, 69, 707–721. [Google Scholar] [CrossRef]
- Carlucci, R.; Ricci, P.; Cipriano, G.; Fanizza, C. Abundance, activity and critical habitat of the striped dolphin Stenella coeruleoalba in the Gulf of Taranto (Northern Ionian Sea, Central Mediterranean Sea). Aquatic Conserv. Mar. Freshw. Ecosys. 2018, 28, 324–336. [Google Scholar] [CrossRef]
- Carlucci, R.; Cipriano, G.; Paoli, C.; Ricci, P.; Fanizza, C.; Capezzuto, F.; Vassallo, P. Random Forest population modelling of striped and common-bottlenose dolphins in the Gulf of Taranto (Northern Ionian Sea, Central-eastern Mediterranean Sea). Estuar. Coast Shelf Sci. 2018, 204, 177–192. [Google Scholar] [CrossRef]
- IUCN. Marine Mammals and Sea Turtles of the Mediterranean and Black Seas; IUCN: Gland, Switzerland, 2012; p. 32. [Google Scholar]
- Benmessaoud, R.; Chérif, M.; Bradai, M.N.; Bejaoui, N. Distribution of bottlenose dolphin around Kelibia (Northeastern of Tunisia). Asian J. Contemp. Sci. 2012, 1, 1–11. [Google Scholar]
- Dede, A.; Öztürk, B. Cetacean observations in the Marmara and Aegean Sea in spring season 2005. Rapport Commission International Mer Méditerranèe 2007, 38, 455. [Google Scholar]
- Ryan, C.; Cucknell, A.C.; Romagosa, M.; Boisseau, O.; Moscrop, A.; Frantzis, A.; McLanaghan, R. A visual and acoustic survey for marine mammals in the Eastern Mediterranean Sea during summer 2013. In Unpublished Report to the International Fund for Animal Welfare; Marine Conservation Research International: Kelvedon, UK, 2014. [Google Scholar]
- Giannoulaki, M.; Markogloub, E.; Valavanis, V.D.; Alexiadou, P.; Cucknell, A.; Frantzis, A. Linking small pelagic fish and cetacean distribution to model suitable habitat for coastal dolphin species, Delphinus delphis and Tursiops truncatus, in the Greek Seas (Eastern Mediterranean). Aquatic Conserv. Mar. Freshwater Ecosyst. 2017, 27, 436–451. [Google Scholar] [CrossRef]
- Boisseau, O.; Lacey, C.; Lewis, T.; Moscrop, A.; Danbolt, M.; Mclanaghan, R. Encounter rates of cetaceans in the Mediterranean Sea and contiguous Atlantic area. J. Mar. Biol. Assoc. UK 2010, 90, 1589–1599. [Google Scholar] [CrossRef]
- Kerem, D.; Hadar, N.; Goffman, O.; Scheinin, A.; Kent, R.; Boisseau, O.; Schattner, U. Update on the cetacean fauna of the Mediterranean Levantine basin. Open Mar. Biol. J. 2012, 6, 6–27. [Google Scholar] [CrossRef] [Green Version]
- Vella, A. Common dolphins (Delphinus delphis) status in the central and southern Mediterranean around the Maltese Islands. In Proceedings of the 18th Annual Conference European Cetacean Society Kolmården Djurpark, Kolmården, Sweden, 8–10 April 2005; pp. 4–12. [Google Scholar]
- Bearzi, G.; Politi, E.; Agazzi, S.; Bruno, S.; Costa, M.; Bonizzoni, S. Occurrence and present status of coastal dolphins (Delphinus delphis and Tursiops truncatus) in the eastern Ionian Sea. Aquatic Conserv. Mar. Freshw. Ecosys. 2005, 15, 243–257. [Google Scholar] [CrossRef]
- Bearzi, G.; Agazzi, S.; Gonzalvo, J.; Costa, M.; Bonizzoni, S.; Politi, E.; Piroddi, C.; Reeves, R.R. Overfishing and the disappearance of short-beaked common dolphins from western Greece. Endang. Species Res. 2008, 5, 1–12. [Google Scholar] [CrossRef]
- Bearzi, G.; Bonizzoni, S.; Agazzi, S.; Gonzalvo, J. Striped and short-beaked common dolphins in the Gulf of Corinth, Greece: Abundance estimates from dorsal fin photographs. Mar. Mammal. Sci. 2011, 27, E165–E184. [Google Scholar] [CrossRef]
- Milani, C.; Vella, A.; Vidoris, P.; Christidis, A.; Koutrakis, E. Abundance, distribution and diet of the common dolphin, Delphinus delphis, in the northern Aegean Sea (Greece). Aquatic Conserv. Mar. Freshw. Ecosys. 2019, 1–11. [Google Scholar] [CrossRef] [Green Version]
- Inch, K.M.; Pietroluongo, G.; Hepburn, L.J. Population abundance, distribution, and socioeconomic analysis of Delphinus delphis and Tursiops truncatus in relation to vessel presence in the Eastern Aegean Sea. J. Mar. Biol. Oceanogr. 2018, 7, 2. [Google Scholar] [CrossRef]
- Pace, D.S.; Mussi, B.; Vella, A.; Vella, J.; Frey, S.; Bearzi, G.; Pierce, G.J. Proceedings of the Report of the 1st International Workshop Conservation and Research Networking on Short-beaked Common Dolphin Delphinus delphis in the Mediterranean Sea, Mediterranean Common Dolphin Working Group, Ischia Island, Italy, 13–15 April 2016.
- ACCOBAMS, MOP4/2010/Res 4.15. Marine Protected Areas of Importance for Cetacean Conservation. Available online: https://www.accobams.org/wp-content/uploads/2016/06/ACCOBAMS_MOP4_Res.4.15.pdf (accessed on 19 March 2020).
- Katağan, T.; Tokaç, A.; Beşiktepe, Ş.; Öztürk, B. The Aegean Sea marine biodiversity, fisheries, conservation and governance. Turkish Marine Research Foundation (TUDAV) 2015, 41. [Google Scholar]
- Bearzi, G.; Notarbartolo di Sciara, G.; Reeves, R.R.; Cañadas, A.; Frantzis, A. Conservation Plan for short-beaked common dolphins in the Mediterranean Sea. In ACCOBAMS, Agreement on the Conservation of Cetaceans of the Black Sea, Mediterranean Sea and Contiguous Atlantic Area; Accobams News: Les Terrasses de Fontvieille, Monaco, 2004; p. 90. [Google Scholar]
- Miliou, A.; Kolle, S.; Clarke, J.; Demetriou, M. Production and composition of small-scale fisheries landings in the Eastern Aegean Sea. Rapport Commission international Mer Méditerranèe (CIESM) 2010, 39. [Google Scholar]
- Seary, R.; Apostolidis, X.; Bintoudi, E.; Shepperson, J.; Jeffery, A.; Miliou, A. Artisanal fisheries landings by seabed habitat in Fourni, NE Aegean, Greece. Rapport Commission international Mer Méditerranèe (CIESM) 2013, 40. [Google Scholar]
- Vlachopoulou, E.I.; Wilson, A.M.; Miliou, A. Disconnects in EU and Greek fishery policies and practices in the Eastern Aegean Sea and impacts on Posidonia oceanica meadows. Ocean Coastal Manag. 2013, 76, 105–113. [Google Scholar] [CrossRef]
- Ríos, N.; Drakulic, M.; Paradinas, I.; Milliou, A.; Cox, R. Occurrence and impact of interactions between small-scale fisheries and predators, with focus on Mediterranean monk seals (Monachus monachus Hermann 1779), around Lipsi Island complex, Aegean Sea, Greece. Fish Res. 2017, 187, 1–10. [Google Scholar] [CrossRef]
- Buckland, S.T.; Anderson, D.R.; Burnham, K.P.; Laake, J.L.; Borchers, D.L.; Thomas, L. Introduction to Distance Sampling; Oxford University Press: London, UK, 2001. [Google Scholar]
- Thomas, L.; Buckland, S.T.; Rexstad, E.A.; Laake, J.L.; Strindberg, S.; Hedley, S.L.; Bishop, J.R.B.; Marques, T.A.; Burnham, K.P. Distance software: design and analysis of distance sampling surveys for estimating population size. J. Appl. Ecol. 2010, 47, 5–14. [Google Scholar] [CrossRef] [PubMed] [Green Version]
- Strindberg, S.; Buckland, S.T. Zigzag survey designs in line transect sampling. J. Agr. Biol. Envir. St 2004, 9, 443–461. [Google Scholar] [CrossRef]
- Barco, S.G.; Swingle, W.M.; Mlellan, W.A.; Harris, R.N.; Pabst, D.A. Local abundance and distribution of bottlenose dolphins (Tursiops truncatus) in the nearshore eaters of Virginia Beach, Virginia. Mar. Mammal. Sci. 1999, 15, 394–408. [Google Scholar] [CrossRef]
- Birkemeier, B.; Lonsdale, H. Marine mammal team boat survey booklet: conduction of boat surveys and data processing. In Archipelagos; Institute of Marine Conservation: Samos, Greece, 2016. [Google Scholar]
- Buckland, S.T.; Rexstad, E.A.; Marques, T.A.; Oedekoven, C.S. Distance Sampling: Methods and Applications; Springer International Publishing: Cham, Switzerland, 2015. [Google Scholar]
- Akaike, H. A Bayesian extension of the minimum AIC procedure of autoregressive model fitting. Biometrika 1979, 66, 237–242. [Google Scholar] [CrossRef]
- McDonald, J.H. Handbook of Biological Statistics, 3rd ed.; Sparky House Publishing: Baltimore, MD, USA, 2014. [Google Scholar]
- Hammer, Ø.; Harper, D.A.T.; Rayan, P.D. PAST: Paleontological Statistic software package for education and data analysis. Palaeontol. Electron. 2001, 4, 1–9. [Google Scholar]
- Markoglou, E.; Frantzis, A.; Valavanis, V.D.; Alexiadou, P.; Kalaitzidis, C.; Cucknell, A.C.; Giannoulaki, M. Habitat suitability of short-beaked common dolphin in the Aegean and Ionian Seas in relation to sardine presence. Panhellenic Symp. Oceanogr. Fish. 2016, 11, 73–76. [Google Scholar]
- Neumann, D.R. The activity budget of free-ranging common dolphins (Delphinus delphis) in the northwestern Bay of Plenty, New Zealand. Aquat. Mamm. 2001, 27, 121–136. [Google Scholar]
- Giannoulaki, M.; Valavanis, V.D.; Palialexis, A.; Tsagarakis, K.; Machias, A.; Somarakis, S.; Papaconstantinou, C. Modelling the presence of anchovy Engraulis encrasicolus in the Aegean Sea during early summer, based on satellite environmental data. Hydrobiologia 2008, 612, 225–240. [Google Scholar] [CrossRef]
- Tonay, A.M.; Dede, A.; Öztürk, A.A. Cetacean in the Aegean Sea. In The Aegean Sea Marine Biodiversity, Fisheries, Conservation and Governance; Katağan, T., Tokaç, A., Beşiktepe, S., Öztürk, B., Eds.; Turkish Marine Research Foundation: Istanbul, Turkey, 2015; Volume 41, pp. 599–611. [Google Scholar]
- Milani, C.; Vella, A.; Vidoris, P.; Christidis, A.; Koutrakis, E.; Frantzis, A.; Miliou, A.; Kallianiotis, A. Cetacean stranding and diet analyses in the North Aegean Sea (Greece). J. Mar. Biol. Assoc. UK 2018, 98, 1011–1028. [Google Scholar] [CrossRef]
- Mannocci, L.; Roberts, J.J.; Halpin, P.N.; Vella, J. Assessing cetacean surveys throughout the Mediterranean Sea: a gap analysis in environmental space. Sci. Rep. 2018, 8, 1–14. [Google Scholar] [CrossRef] [PubMed]
- Hoyt, E.; Notarbartolo di Sciara, G. IUCN Marine Mammal Protected Areas Task Force and International Committee on Marine Mammal Protected Areas. In Proceedings of the Report of the workshop for the development of Important Marine Mammal Area (IMMA) Criteria, Marseille, France, 22 October 2013. [Google Scholar]
© 2020 by the authors. Licensee MDPI, Basel, Switzerland. This article is an open access article distributed under the terms and conditions of the Creative Commons Attribution (CC BY) license (http://creativecommons.org/licenses/by/4.0/).

