Next Article in Journal
A Generalized Hybrid RANSE/BEM Approach for the Analysis of Hull–Propeller Interaction in Off-Design Conditions
Next Article in Special Issue
Hydrodynamic Modelling for a Transportation System of Two Unmanned Underwater Vehicles: Semi-Empirical, Numerical and Experimental Analyses
Previous Article in Journal
Laboratory Experimental Study on the Formation of Authigenic Carbonates Induced by Microbes in Marine Sediments
Previous Article in Special Issue
Numerical Simulation and Hydrodynamic Performance Predicting of 2 Two-Dimensional Hydrofoils in Tandem Configuration
 
 
Font Type:
Arial Georgia Verdana
Font Size:
Aa Aa Aa
Line Spacing:
Column Width:
Background:
Article

Performance Prediction of a Hard-Chine Planing Hull by Employing Different CFD Models

1
School of Engineering, Persian Gulf University, Bushehr 7516913817, Iran
2
Department of Infrastructure Engineering, The University of Melbourne, Parkville, VIC 3052, Australia
3
Estonian Maritime Academy, Tallinn University of Technology, 11712 Tallinn, Estonia
4
Department of Ocean Engineering and Sciences, Florida Institute of Technology, Melbourne, FL 32901, USA
*
Author to whom correspondence should be addressed.
J. Mar. Sci. Eng. 2021, 9(5), 481; https://doi.org/10.3390/jmse9050481
Submission received: 16 March 2021 / Revised: 20 April 2021 / Accepted: 21 April 2021 / Published: 29 April 2021
(This article belongs to the Special Issue Hydrodynamic Design)

Abstract

This paper presents CFD (Computational Fluid Dynamics) simulations of the performance of a planing hull in a calm-water condition, aiming to evaluate similarities and differences between results of different CFD models. The key differences between these models are the ways they use to compute the turbulent flow and simulate the motion of the vessel. The planing motion of a vessel on water leads to a strong turbulent fluid flow motion, and the movement of the vessel from its initial position can be relatively significant, which makes the simulation of the problem challenging. Two different frameworks including k-ε and DES (Detached Eddy Simulation) methods are employed to model the turbulence behavior of the fluid motion of the air–water flow around the boat. Vertical motions of the rigid solid body in the fluid domain, which eventually converge to steady linear and angular displacements, are numerically modeled by using two approaches, including morphing and overset techniques. All simulations are performed with a similar mesh structure which allows us to evaluate the differences between results of the applied mesh motions in terms of computation of turbulent air–water flow around the vessel. Through quantitative comparisons, the morphing technique has been seen to result in smaller errors in the prediction of the running trim angle at high speeds. Numerical observations suggest that a DES model can modify the accuracy of the morphing mesh simulations in the prediction of the trim angle, especially at high-speeds. The DES model has been seen to increase the accuracy of the model in the computation of the resistance of the vessel in a high-speed operation, as well. This better level of accuracy in the prediction of resistance is a result of the calculation of the turbulent eddies emerging in the water flow in the downstream zone, which are not captured when a k-ε framework is employed. The morphing approach itself can also increase the accuracy of the resistance prediction. The overset method, however, overpredicts the resistance force. This overprediction is caused by the larger vorticity, computed in the direction of the waves, generated under the bow of the vessel. Furthermore, the overset technique is observed to result in larger hydrodynamic pressure on the stagnation line, which is linked to the greater trim angle, predicted by this approach. The DES model is seen to result in extra-damping of the second and third crests of transom waves as it calculates the stronger eddies in the wake of the boat. Overall, a combination of the morphing and DES models is recommended to be used for CFD modeling of a planing hull at high-speeds. This combined CFD model might be relatively slower in terms of computational time, but it provides a greater level of accuracy in the performance prediction, and can predict the energy damping, developed in the surrounding water. Finally, the results of the present paper demonstrate that a better level of accuracy in the performance prediction of the vessel might also be achieved when an overset mesh motion is used. This can be attained in future by modifying the mesh structure in such a way that vorticity is not overpredicted and the generated eddies, emerging when a DES model is employed, are captured properly.

1. Introduction

1.1. Background

Planing hulls are high-speed marine vehicles that have been used for different purposes, such as marine racing and coast guarding, since the early 1900s. The deep-V design of planing hulls makes their construction easier compared to other types of high-speed vessels, such as hovercraft and hydrofoils. The unique body-form of planing hulls can result in the emergence of a relatively large hydrodynamic pressure. Under the action of the large hydrodynamic pressure, a lift force is generated, which pushes the bow of the vessel upward. This pitched-up bow riding motion minimizes the wave-making resistance, enabling the vessel to reach relatively high-speeds in the water. The use of planing vessels in coastal seas has always been widespread since the 1900s [1].
Planing craft have been known to perform very well in different conditions. However, doubts persist regarding their performance in smooth water conditions [2]. Any small shift in the position of the center of gravity (CG), or any change in the weight of the vessel, can strongly affect the performance, triggering oscillatory instabilities, such as porpoising. To decrease the occurrence probability of the instabilities of a planing vessel, the rider of the craft should deaccelerate and ride the craft at a slower speed [3]. The prediction of the hydrodynamic performance of the vessel enables us to avoid such instabilities in the early stage design. This task, however, is not straightforward as a few complex physical phenomena, including turbulence mixing, transom waves, and water spray are involved in the steady planing problem [4]. All of these physical phenomena can make the steady planing problem highly nonlinear. Several studies have been conducted in the last two decades to provide us with more accurate hydrodynamic tools in the prediction of the performance of planing hulls operating in calm-water conditions.

1.2. Steady Planing Phenomenon

Planing mode is defined as the operating speed at which hydrodynamic pressure is the dominant contributor in supporting the weight force, and the wave-making resistance is minimal [5,6]. The wetted length of the vessel is small in planning mode, and the vessel is pushed upward by the lift force. The onset of the planing motion is generally defined by using the beam Froude number, which refers to the ratio of the flow inertia over the external field, as
F r B = V g B
.
In the above equation, V is the operating speed of the boat, B is the beam and g = 9.81 m/s2 is the gravitational constant [7]. A beam Froude Number of 2.0 has been identified as the onset of planing motion [7,8].
The calm-water performance of a planing hull refers to the speed-dependent resistance and running attitudes of a vessel advancing in the planing regime in a calm-water condition [9], i.e., there is no surface wave in the sea. The vessel, while advancing at a planing speed, tends to establish a dynamic equilibrium in the vertical plane, i.e., all the fluid forces equal to the weight force and the pitching moment is nil. To establish such an equilibrium, the vessel settles down at a non-zero pitch angle, called the trim angle, and its CG is positioned at a higher level compared to a zero-speed condition. The trim angle and CG rise-up are identified as the running attitudes in most of the references [10]. A schematic of the steady planing problem is displayed in Figure 1.
As mentioned, the performance of a planing hull is obtained through the establishment of an equilibrium condition in the vertical plane [11]. Over the three past decades, different studies have been performed to compute the performance of planing hulls, offering different models, which can estimate the running attitudes of the vessel.
Experimental model testing is the reliable method that can be used to measure speed-dependent running attitudes and resistance of a planing hull [12,13,14]. The well-known laboratory tests conducted by Fridsma are one of the most important studies performed in this realm [15]. While experimental methods can provide accurate data, they require expensive facilities, and the planing model itself needs to be constructed. These problems decrease the popularity of the model testing in the early stage design, especially when the final hull-form of the vessel is not designed.
If an extensive set of experimental data is available, empirical models can be developed and used to determine the equilibrium condition of a planing hull. Savitsky’s method is the most famous empirical method, which can be used for the performance prediction of a deep-V planing hull. This model was developed by Savitsky in the 1960s [8]. The well-known Savitsky’s method can compute the trim angle, wetted surface, and resistance of a planing hull through the establishment of an equilibrium between forces and moments in the vertical plane. Fluid forces and moments are all computed through a parametrization performed by Savitsky, which relied on a big data source. Related experimental measurements, which provided the related data, took place in the 1940s and 1950s. Those experiments were performed to establish an understanding of planing motion. While Savitsky’s method is very fast in terms of computational time, there might be some limitations with the formulations presented for the calculation of forces/moment, i.e., the boundaries of applicability of the method are limited [16,17].
Apart from the empirically based methods, mathematical models can be developed to calculate the performance of a planing hull in calm water conditions [18]. They can provide us with the solution of the fluid motion around a planing hull, which can be used to compute the pressure acting on the boat [19]. The solution of the fluid motion enables us to find the pressure field around the vessel, by using which we can compute forces acting on the boat operating in planing regime. By applying the forces and moments in a dynamic equilibrium equation, the running attitudes can be found [20]. The Green-Integral method, which uses velocity field on the surfaces, and the 2D + T (Two-Dimensional + Time) theory are known as the two most popular mathematical methods, which are based on these approaches [21,22,23,24,25,26]. However, these two methods, in essence, provide solutions for an incompressible ideal field, which ignores the contribution of fluid viscosity, surface tensions, turbulent eddies etc. [27,28,29,30,31]. In the case that the planing problem is non-linear and the fluid flow is strongly turbulent, large errors in the prediction of the performance of a planing vessel can occur when an ideal fluid hypothesis is used [32,33].
CFD, Computational Fluid Dynamics, is known as an alternative approach that can help researchers and designers to predict the steady and unsteady performance of planing hulls [34,35]. Categorized as a numerical framework, CFD models can provide more accurate predictions compared to the empirical and mathematical methods, as different phenomena, including air-water interaction, turbulence mixing among others, are modeled [36,37,38,39]. Thanks to the growing progress in computational physics, CFD codes have had tremendous growth in the last two decades [40]. These models have been equipped with different numerical schemes that can increase the level of accuracy for different problems. They can be used to solve the equations governing the incompressible two-phase viscous fluid. CFD models utilize various methods to solve different aspects of fluid motion [41,42,43,44]. For instance, they can utilize different numerical methods to solve the dynamic motion of a solid, having relatively significant movement in a fluid domain. Additionally, as the fluid flow is strongly turbulent around a planing hull performing in high speeds, different turbulent models can be used. Each of these turbulent models can reconstruct the turbulence structure around the vessel in a different way [45]. This can affect the accuracy of the different turbulence models in the performance prediction of the vessel, as the eddies generated around the vessel are expected to induce extra stresses on the vessel. Each of CFD models that can be established by combing different numerical and mathematical approaches can have a good level of accuracy in the performance prediction of a planing hull over a wide range of speeds. The computational time for each of these models can be different. Some can be faster as fewer equations might be solved over each time-step.

1.3. The Present Paper

A question that has attracted the attention of researchers aiming to perform CFD simulations of planing motion is which numerical technique can provide the most reliable results. Herein, we investigate this problem by solving the fluid field around a planing hull in a steady condition by employing different CFD models. Two different turbulence models and two different dynamic mesh motion techniques are used. Overall, four different CFD models are used to reproduce the advancement of a vessel in planing regime. The rest of the present paper is organized as follows. In Section 2, we present the CFD model and the governing equations of the fluid/solid problems. The computational domain and the model set-up are presented in this Section. The results are presented in Section 3 of the paper. At the beginning of this section, a mesh study is carried out to choose the most appropriate grid. The experimental and numerical results are compared and a discussion on the differences between their results is presented. Moreover, we present the hydrodynamic pressure and water surface elevation around the vessel. We also present the vorticity field around the vessel, and investigate how different turbulence models and mesh motion approaches can influence the shear stresses, emerging on the free surface. Concluding remarks are presented in Section 4.

2. CFD Models

In the present study, we employ a commercial CFD package, STAR-CCM+, to solve the equations governing the fluid motion [46]. This CFD code is quite popular and has been used to model different physical problems linked to the ocean in engineering science. STAR-CCM+ is powerful and can provide reliable data, especially in the prediction of hydrodynamic forces. Therefore, this code has been used for solving the present problem, steady planing in calm-water conditions. In the rest of this Section the model set-up and the problem are explained.

2.1. Governing Equations

The fluid is hypothesized to be viscous and Newtonian. Two different phases, including water (denoted by w) and air (denoted by a), are considered to exist in the problem domain. The fluid is supposed to be incompressible. Using an Eulerian approach, the equations governing the fluid motion are established as
· u = 0
t γ + · u γ = 0
t ρ c u + · ρ c u u T = p + · μ c + μ t u + u T + ρ c f b
where u is the velocity vector of the flow. ρ c and μ c , respectively, refer to the density and viscosity of the flow at any point. p is the pressure and fb = (-g 0 0) indicates the external forces arising from gravity. γ is the phase fraction of the fluid and takes the values ranging between 0 to 1—the former refers to the pure air and the latter refers to the pure water condition. μ c is the mixture viscousity and μ t is the eddy viscousity. The value of μ t varies from one point to another, and is a function of the fluid motion and can be found by employing different turbulence models.
Any mixture of water and air can take a phase fraction value of γ 0 , 1 . The value of any physical parameter under the mixing of air and water, is found as per
ϕ C = ϕ a 1 γ + γ ϕ w
In order to reproduce the physical problem numerically, the density of water and its viscosity are set to be 997.56 kg/m3 and 8.887 × 10−4 Pa-s, respectively (fresh water condition). The density and viscosity of the air are set to be 1.1841 kg/m3 and 1.855 × 10−5 Pa-s.

2.2. Computational Domain and BCs

The size of the computational domain is selected by taking the ITTC recommendations (see ITTC 7.5-02-02-01 for technical information [47]), as shown in Figure 2. The domain is extended from −5.5Lpp to 2.5Lpp. Note that there is no longitudinal motion for the boat in X direction, but it is necessary to extend the downstream region sufficiently. This allows us to capture the turbulent fluid motion emerging behind the transom, which can partially contribute to the resistance. The stern of the vessel is placed at the longitudinal position of zero. The water depth has been set to be 3.5Lpp. Here, Lpp is the length between perpendiculars. Two different moving mesh techniques, including the morphing mesh and overset mesh methods, are used to model the dynamic motion of the vessel. For the case of the former, the boat is placed within the domain, and moves. Depending on the movement of the vessel, the cells near the body are morphed. For the case of the latter, a subdomain, called overset zone, is generated. The overset region and the vessel are attached, and the zone moves with the body itself. This subdomain has a 0.2Lpp distance from the body on each side.
The outlet domain side is prescribed to be the pressure outlet and all other boundaries are imposed as a velocity inlet. Such a condition provides an open-sea condition without bottom condition. This approach has been recently used by researchers to model the advancement of ships/boats in open-sea conditions, and has been seen to provide accurate results. A no-slip moving wall boundary condition is set on the body of the vessel. The summary of boundary conditions is shown in Table 1. An initial speed of u , 0 , 0 is prescribed for all points of the domain, and the hydrodynamic pressure is initially set to be zero. In addition, the initial value of volume fraction is set in such a way that the numerical tank is filled with a depth of 3.5Lpp. Finally, note that wave damping condition is activated on the outlet and side boundaries. It cancels out the reflection of the waves generated by the planing motion of the vessel. Note that, in Table 1, uB is the velocity vector of the body, and G is the surface of the vessel. This represents a no-slip BC for a moving surface.

2.3. Grid Structure

Trimmed hexahedral mesh is used for generating the cells in the present study. Two different moving mesh techniques, as mentioned earlier, are employed. Finer grids are generated around the body of the vessel. Cells are set to be finer near the free surface. A view of the mesh structure is shown in Figure 3. To find the proper mesh size, a mesh study is carried out, the results of which are explained later.

2.4. Details of Simulations

As was mentioned earlier, the STAR-CCM+ package is employed to solve the governing equations, which utilizes the Finite Volume Method (FVM) and an Unsteady Solver. The transient terms of the equations are decomposed using a second order implicit scheme. The code uses a second order scheme to discretize the convection terms of the governing equations. The two-phase flow, as explained earlier, is solved by using the VOF method, and the HRIC (High Resolution Interface Capturing scheme) approach is used for this aim [48]. The momentum and continuity equations are numerically solved by means of a SIMPLE (Semi-Implicit Method for Pressure Linked Equation) algorithm.
To simulate the fluid motion around the vessel, two different turbulence models, including k-ε and Detached Eddy Simulation (DES) framework are used. Each of these models uses a different approach to compute the turbulent behavior of the flow. The k-ε model solves the Reynolds-Averaged Navier–Stokes (RANS) equations and finds the eddy viscosity by linking Turbulence Kinematic Energy (TKE) and Turbulence Energy Dissipation. The k-ε model is quite often used for simulation of the fluid motion around ships, and simulation of the wave turbulence in the upper ocean layer. This method is statically based and the average values of the velocity components are implemented in the momentum equation (RANS equations). Readers who are interested to know the details of the DES model are referred to Ref. [49].
The other model combines both RANS and Large Eddy Simulations, LES, approaches. The LES equations are not presented in the present paper. However, they can be found in most of research papers and reference books. Note that only the RANS equations are presented in the this paper (Equation (4)). The LES model is popular in the modeling of atmospheric flows and combustion problems, and considers eddy generation on a large scale. A filter function is used to compute the pressure and velocity, which can lead to the neglect of very small eddies. Apart from the strong ability of LES method in modeling the turbulent flow, it can highly increase the computational time since it captures eddies on a large-scale. Therefore, a combination of RANS and LES models can empower us to run faster simulations without neglecting the influence of small eddies that might emerge near the walls of solid bodies. The combined framework is called Detached Eddies Simulation (DES). When a DES model is used, the k-ε scheme is used to treat turbulent fluid motion around the walls, and the LES method is used to treat turbulent fluid motion in the rest of the fluid domain. Readers who are interested in the way that the turbulence models are implemented when the a two-phase flow is solved are referred to [50, 51].
Some other turbulence models, such as k- ω model, can also be used for the reproduction of planing motion in calm-water conditions. However, since the mathematical approaches used in other models are totally different from the ones used in k-ε and DES models, they have not been used in the present paper. Employing other turbulent models requires another mesh structure, and cells should be generated with another approach, especially in the boundary layer. Therefore, it would be not be a good option to use the k- ω model for the computation of the turbulent flow motion around the planing boat in the present research. Note that the differences between the results of the turbulence and mesh motion models, not the numerical techniques that are used for decomposition of the partial differential equations, are studied in the present research. The main reason for such an approach is that the main concerns are with the turbulence models and the mesh motions as the planing vessel moves from its initial position to an equilibrium condition in a relatively high-speed, which makes the fluid motion strongly turbulent, and leads to noticeable rigid dynamic motion in the fluid domain. The decomposition of the other terms can be performed by taking the advice of the previous research highlighting the CFD simulation of viscous fluid motion around bluff bodies, which can be found in the literature (see e.g., in [52,53,54]).
The Dynamic Fluid Body Interaction (DFBI) module is used to solve the dynamic motion of the vessel, which allows the solver to evaluate hull movements under action of fluid forces and moments. Two degrees of freedom in heave and pitch directions are allowed. The equations governing the rigid body motion are given as
M z ¨ = F z
I θ ¨ = M y
These two equations should be solved over time. Note that M and I are the mass and moment of inertia of the vessel. As the dynamic balance is established, the vessel is positioned at the trim angle of τ and its centre of gravity is located at a vertical distance, shown by z C G . Two different approaches are used to model dynamic motions, as mentioned earlier. Initial value of zCG is set to be zero, and the initial value of pitch angle is set to be equal to static trim angle. The value of static trim angle is given later. A summary of the CFD models used in the present research are listed in Table 2.
To model shear stresses near the boundary layer, the Y+ value is set to be between 30 and 300. Figure 4 shows the distribution of Y+ on the wall of the vessel. Note that Y+ is employed in both the RANS and DES models as they both use the k-ε models.
Δ t = 0.01 ~ 0.005 L V
The simulations are run up to the time vertical motions converge, i.e., dynamic equilibrium in the vertical plane occurs. The time interval is set to be 0.005 s, which satisfies the limitation of the ITTC recommendations [47], that is given by
Resistance, R, dynamic trim angle, CG rise-up, and wetted surface are computed through simulations. The force vector acting on the solid body is computed, and the component in the x-direction is set to be the resistance. Linear and angular displacements of the boat in the vertical plane are set to be CG rise-up and dynamic trim angle, as was mentioned earlier. The wetted surface is calculated by integrating the area of the cells that have volume fraction (γ) greater than 0.5.

2.5. The Studied Vessel

A deep-V planing hull, named C1, which was designed in Università degli Studi di Napoli “Federico II”, is numerically modeled in the present research. Resistance and running attitudes of this vessel were experimentally measured by De Luca et al. [13]. Tests were conducted in a calm-water condition, and the vessel was towed with a wide range of speeds, ranging from 2.5 m/s (corresponding to the beam Froude Number of 0.926) to 7.5 m/s (beam Froude Number of 2.778). The body plan of model C1 is shown in Figure 5. Its principal characteristics are reported in Table 3. The static trim angle is zero, which is set to be initial trim angle.

3. Results and Discussion

3.1. Grid Study

As was explained earlier, a mesh study is performed to find the most suitable mesh that can be used for numerical replication of the steady planing problem. Five different grids are generated. The details of these grids, including number of cells, and the size of the finest cell near the rigid body are shown in Table 4. The results of the mesh study, conducted using the MKE model, are presented in this subsection. The mesh study is carried out at beam Froude Number of 1.48 (corresponding to the speed of 4 m/s).
The results of the mesh study are displayed in Figure 6. As the number of cells decreases (i.e., as the cells become coarser), the predicted values for all parameters diverge. For example, the trim angle is seen to be greater than 4.0 degrees when Grid #1 is used. However, it is observed that, as the number of the cells grows, all computed data converge. The convergence of all data is found to occur for Gird #4. The dashed red line shows the convergence limit. The results of Grid #4 and Grid #5 are seen to agree. Compared with Grid #4, Grid #5 needs a longer time to perform simulations. Therefore, the rest of the CFD simulations are run by employing grid #4.

3.2. Results of Different CFD Models vs. Experiments

In this subsection, the main results, including resistance, dynamic trim angle, and CG rise-up, are presented. To evaluate the accuracy of different CFD models, errors are computed by using
E ψ % = ψ e x p ψ n u m ψ e x p × 100
Here, ψ refers to any of the parameter computed by CFD simulations. Subscripts exp and num denotes experimental and numerical data, respectively. RMSE (Root Mean Square Error) of errors is calculated by
RMSE = i = 1 N E 2 N
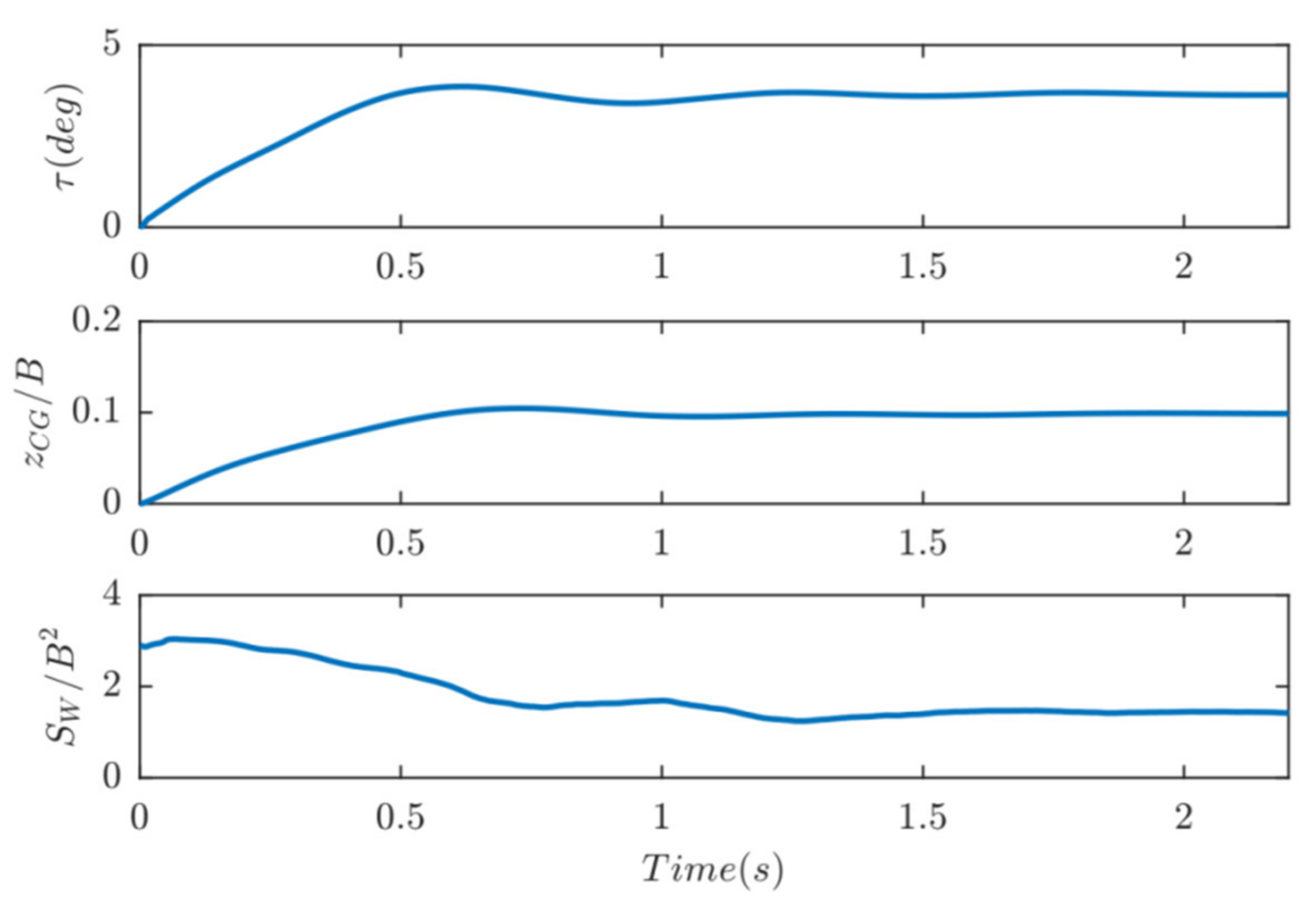
A sample of the convergence of the vertical motions is displayed in Figure 7. The results presented in this Figure are computed using the MKE model and correspond to a beam Froude Number of 2.59. The time histories plotted in this Figure show that all data converge after 2.2 s, after which the simulation is stopped.
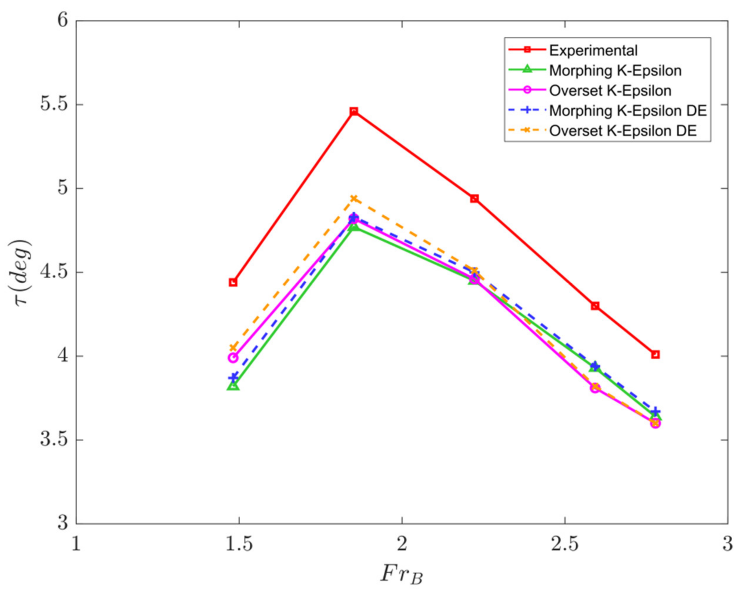
Figure 8 shows a comparison between the experimentally measured and the numerically computed dynamic trim angles at different Froude numbers. The numerical data follow the experimental data in all cases while being marginally smaller. The peak value of the trim angle occurs at beam Froude Number of 1.85. The errors in the computation of the trim angle are presented in Table 5. Errors corresponding to the OKE model range between 9.71 to 11.72 percent. For the case of the MKE model, errors vary between 8.6 and 13.96 percent. The RMS of the errors of OKE and MKE are 10.66 and 11.6, respectively. The errors corresponding to the MDE model range between 8.9 and 12.8 percent. Similar to the MKE model, the errors of the MDE model decrease by the increase in speed. The largest error is observed to occur at the lowest beam Froude Number. The RMS of the MDE model in the computation of trim angle is 10.19, which is slightly smaller than that of the MKE model. The errors of the ODE model in the computation of the trim angle vary between 8.7 and 11.6. Errors of ODE model are seen to increase by the increase in speed. The RMS of the ODE model is 9.78, which is slightly smaller than those of other models. In general, the morphing technique is seen to modify the accuracy in the prediction of the trim angle at high-speeds. Additionally, the DES model can increase the accuracy in the prediction of trim angle. It is probably caused by the greater ability of the DES in the computation of the eddy generation on a large-scale, which is lacking when a k-ε model is employed.
Figure 9 shows the resistance values computed by using different CFD models. The CFD data, computed by using various models, are observed to follow experimental data. The error corresponding to them is under ~7 percent at all speeds. The RMS corresponding to the k-ε simulations performed using overset and morphing meshes are found to be 2.72 and 2.62, respectively. Note that the errors of the overset method are seen to be smaller at smaller beam Froude Numbers. However, the errors corresponding to the morphing technique are observed to be smaller at the larger beam Froude numbers. For the case of the DES model, the RMS values of morphing and overset techniques are seen ~0.42 and 6.8 percent, respectively. The interesting point is that the errors of the ODE method increase with the increase in speed. In general, the DES turbulence model can modify the accuracy of CFD simulations in the prediction of the resistance force. The morphing technique has a greater level of accuracy at a high-speed. This is consistent with the data presented for the trim angle. At the higher speed, where the time angle is converging to a small value, and the turbulence is getting stronger, a morphing mesh can increase the accuracy in a dynamic motion simulation, and a DES method can modify the accuracy in computation of the fluid forces acting on the boat.
Figure 10 illustrates the computed and measured wetted surface values of the planing hull at different beam Froude Numbers. The wetted surface is observed to decrease by the increase in the speed, as expected. As the speed of the boat increases, the lift coefficient increases, and less area is required to support the weight of the vessel, i.e., the vessel is pushed up more by the increase in the speed. The results computed by employing different CFD models follow the experimental data. The models employing the overset technique, OKE, and ODE, overpredict the wetted surface at most speeds. However, the models that use the morphing method marginally under-predict the wetted surface. The RMS of errors associated with MKE and OKE models are 12 and 14.7, respectively (See Table 5), showing that the morphing technique has more reliable accuracy in the prediction of the wetted surface when a k-ε model is used for turbulence modeling. The RMS of MDE and ODE in the computation of the wetted surface are 15.9 and 18.2, respectively. This RMS associated with simulations using a DES method for modeling turbulence can decrease the accuracy in the prediction of the wetted surface. However, as the MDE model computes the dynamic trim angle and the resistance force with a great level of accuracy, this relatively large error is not concerning.

3.3. Differences Between Models in Computation of Pressure and Water Surface Elevation

The pressure distribution acting on the bottom of the vessel is sampled. The sampled data correspond to the time at which the vessel has established the dynamic equilibrium. Figure 11 displays the pressure distribution computed using different models. The pressure computed using both approaches equals zero atmospheric pressure at dry areas near the transom (Kutta-condition) and on the chines (Kutta-condition). This agrees with the physics of the planing problem. Moreover, an increase in the speed is observed to result in the increment of pressure at the stagnation line. There are some differences between the results of the models. The simulations performed using the overset approach, ODE, and OKE models, lead to larger hydrodynamic pressure. This larger hydrodynamic pressure is more remarkable at the two smaller Froude Numbers. The DES and k-ε turbulence models result in very similar pressure patterns regardless of the dynamic mesh technique used. This matches with the pre-processing assumptions of both methods. They both use a k-ε approach for the computation of turbulence kinetic energy near the walls of the vessel.
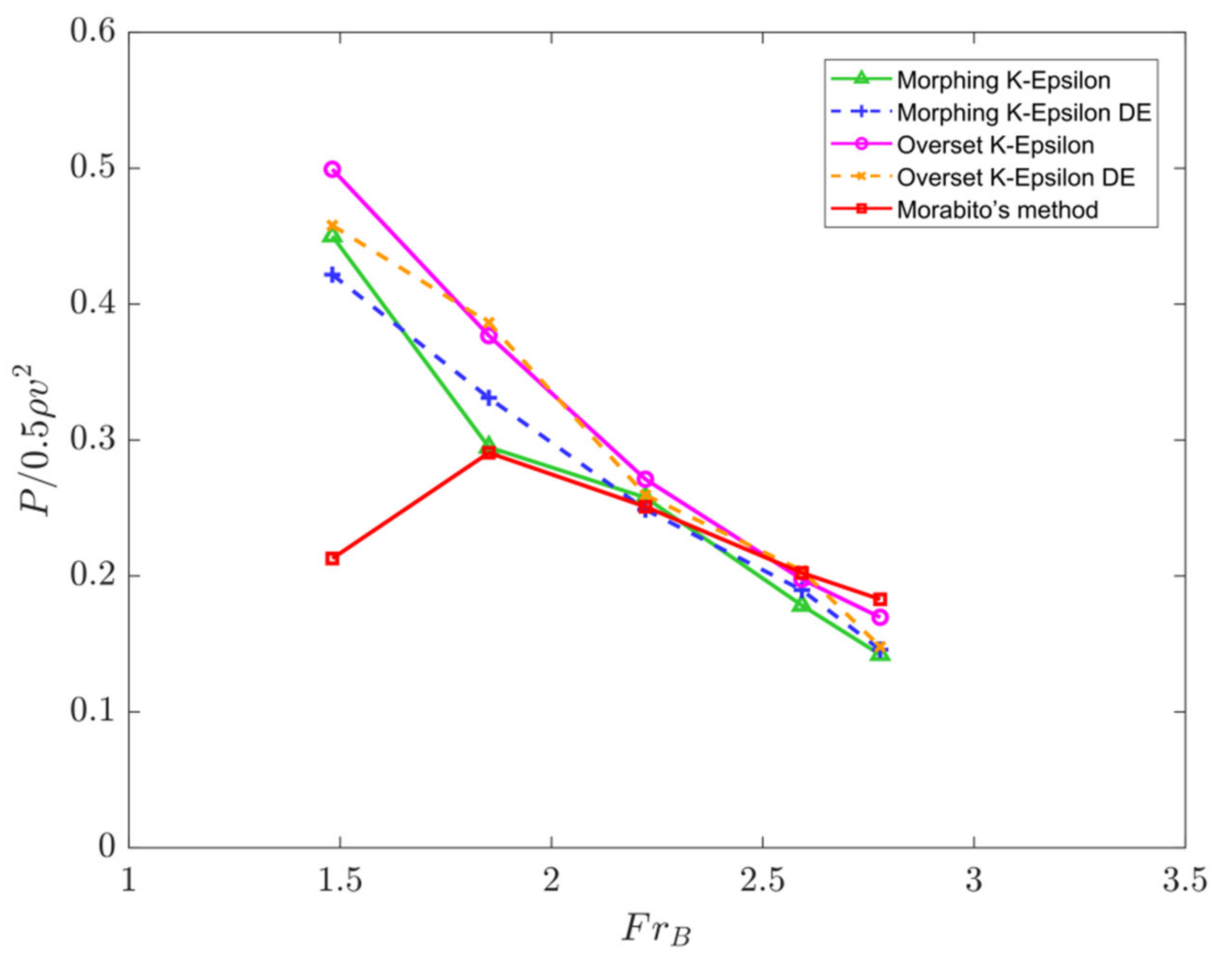
The maximum values of the hydrodynamic pressure are computed by using all models. The corresponding values are plotted in Figure 12. The maximum pressure is normalized by using 0.5 ρV^2. As seen, the normalized maximum pressure decreases with the increase in speed, which fits with the physical observations. The overset mesh is found to compute a larger maximum pressure compared to morphing technique at each beam Froude Number. With the increase in the speed, the differences between the computed values of maximum pressure found using both techniques decrease, and they converge. The maximum value of pressure is also computed by using Morabito’s method [55]. According to Morabito’s method, which is developed based on the Swept Wing Theory, the maximum hydrodynamic pressure acting on the washed area of a hard-chine planing hull can be calculated by
p m a x / 0.5 ρ w V 2 = s i n 2 α
where α = tan 1 0.5 π tan τ / tan β .
The results of Equation (11) are plotted in Figure 12. The maximum pressure, calculated by Morabito’s equation, is smaller than the ones computed by CFD at the smallest beam Froude Number. Such a difference, indeed, was expected to occur, as Morabito’s method fails to work accurately at beam Froude Numbers smaller than 2.0. By the increase in the Froude Number, the results of the CFD simulations and Morbito’s method converge. At the higher speed, the OKE simulation computes the closest data to Morabito’s equation (compare to the differences between the other models and Morabito’s equation).
The water surface elevation around the vessel is sampled for different models, which gives us the water height around a planing vessel. The results are shown in Figure 13. The results presented in this Figure agree with the physics of the wave field around a planing hull [56]. A very slight, negligible, divergent wave is generated near the bow of the vessel, which does not generate any remarkable wave-making resistance. The divergent wave that is generated near the bow of the vessel is larger for the case of DES-based simulations. This shows another positive ability of the DES model, which can capture water waves that might be missed by using a k-ε model. These waves are more energetic at a lower speed, which is consistent with the physics of the planing motion problem.
The water surface is observed to decrease behind the transom, leading to the generation of a hollowlike pattern just behind the vessel. The water surface then reaches a maximum value. Such behavior for the free surface leads to a rooster tail-like pattern on the symmetry line in the lee of the vessel [57]. Additionally, a weak divergent wave is developed near the transom. The angle of the propagation of this one-dimensional wave is defined as the wake angle.
As the speed increases, the wake angle becomes smaller, which has been theoretically and physically observed for planing ships [58]. The vortex created behind the transom is observed to travel a longer distance and then rotates toward the symmetry line when an overset technique is used. This fact shows that when cells are morphed during simulations, a marginally weaker vortex is computed.
Figure 14 shows further details of the computed water surface around the vessel at different Froude Numbers. The upper panels of this Figure display the wave field around the vessel at beam Froude number 2.59, which is found using MKE. A transverse line is drawn (left), showing the point at which the maximum water surface is found. The Kelvin angle ( K ) and the wake angle are shown in the right panel. As seen, the wake angle (the red solid line) is smaller than the Kelvin angle (the blue solid line). This fact is consistent with theoretical and physical observations (see, e.g., in [59]). A sample of the transom waves at the center line of the vessel (at FrB = 2.59) is shown in the left panel (bottom). The point with x = 0 refers to the longitudinal position of thetransom. As apparent, the water surface is below the still water line (the dashed blue line) just behind the transom, and then reaches a maximum value.
The water surface patterns computed by using both overset and morphing mesh techniques, along with both turbulent models, are shown in the left panel of the lower row. As seen, they predict a similar longitudinal position for zmax. The water surface elevations computed by using both methods are marginally different. The maximum value computed using morphing mesh is seen to be slightly larger compared to overset method. The DES-based simulations are seen to result in higher elevations for the second and third crests of the transom waves. This means that the energy of the transom wave is damped with a higher rate when a DES model is employed. This was expected as the DES model provides a larger energy cascade in an open-sea condition, where wall effects have disappeared, and eddies are modeled on a large scale. This provides us with a very important message that, to model transom waves accurately, it is better to use a DES turbulence model, which can compute the damping of energy with a greater level of accuracy.
The value of zmax, computed by using all CFD models, is shown in the middle panel of the lower row of Figure 14. As seen, the value of the zmax decreases by the increase in speed. Note that zmax is highly sensitive to the dynamic trim angle of the vessel. [60]. A larger trim angle can lead to a larger value for zmax. It was previously seen (see Figure 8) that the trim angle of the vessel decreases by the increase in speed when the vessel operates in planing mode. Therefore, the value of zmax is also expected to reduce by the increase in speed.
The wake angle vs. FrB plots are presented in the right panel of the lower row of Figure 14. The wake angle is observed to decrease by the increase in the beam Froude Number, which matches with theory. At the smallest speed, the computed value for the wake angle fits with the Kelvin angle. All CFD models are seen to predict similar values for the wake angle.

3.4. Vorticity Field around the Vessel

It is observed that the DES model leads to larger resistance force, which was seen to modify the resistance prediction in the case that the morphing mesh motion technique is used. In addition, it was seen that, under the action of the DES model, the transom waves are damped to a slightly larger extent. It is hypothesized that these phenomena are linked to the ability of the DES model to predict stronger eddies emerging in the flow around the vessel. The RANS-based models use a statistical approach and are not satiable to model turbulence on a large-scale. In this subsection, the validity of such a hypothesis is investigated by sampling the vorticity field around the vessel. The vorticity field, computed by all four models, is sampled at four different speeds. The results related to the DES and k-ε models are compared against each other. Figure 15 and Figure 16, respectively, show the results corresponding to the morphing and overset techniques.
The discussion begins by analyzing the results found by employing the morphing mesh motion. As observed in Figure 15, vorticity is non-zero around the vessel. Vorticity is stronger in the propagation direction of the transverse wave, generated near the bow of the vessel. These waves, however, are not noticeable, as was observed earlier. The related turbulence is caused by the jet flow directing toward the chine, and the very large hydrodynamic pressure generated on the stagnation line. In addition, vorticity is highly strong behind the transom, confirming that flow separation from the transom results in the formation of large eddies behind the vessel. Interestingly, the simulations performed with the DES model lead to larger vorticity behind the transom (compare left and right panels). This confirms what was discussed earlier. It was mentioned that the larger resistance force, computed through DES simulation, is probably linked to the turbulent structure around the vessel. The larger vorticity behind the vessel matches with the observations made in previous subsections. In addition, another interesting result can be seen in the sampled data. With the increase in speed, the vorticity emerging behind the transom increases. This shows the importance of the consideration of the DES model at higher speeds, which was explained earlier.
The sampled data, computed by using the overset technique, are shown in Figure 16. Similar to what was observed in Figure 15, vorticity is non-zero in two different zones. The first zone is developed in the direction that super gentle transverse waves are propagating, and the other one is developed just behind the transom of the vessel. The DES-based simulations lead to stronger vorticity. This can be seen by comparing the left and right panels. This confirms that, in the case where the overset approach is used, the large-scale eddies are again computed when the DES model is employed. Another interesting point can be observed in Figure 16. Compared with the morphing technique, larger vorticities emerge in the direction that jet flow, separated from the side edges of the vessel, is traveling. Such an observation implies that: “compare to the case computations are performed by morphing mesh technique, the turbulence structure near a boat, planing in calm-water, is different when an overset technique is used”. The most probable reason for the differences between the results of the morphing and overset techniques in the computation of the turbulence structure is the interpolations performed between the overset and background region. This interpolation led to a stronger turbulence motion near the vessel, which, in turn, results in the increment of the drag force. It was previously observed that the overset technique overpredicts the resistance of the vessel regardless of the turbulence model, which fits with the present observation. This point conveys an important message that, in the case that an overset approach is employed, care should be taken in performing the interpolation between the background and overset regions.
In addition to vorticity contours presented in Figure 15 and Figure 16, the lengths of the eddies which emerge in the DES simulations are computed and sampled. This helps us to explore how different mesh motions can affect the computation of the eddy length when a DES framwork is employed for modeling the turbulent fluid motion around the vessel. The results corresponding to the largest Froude Number are presented as the strongest turbulent flow that is expected to occur at this speed. The results are shown in Figure 17.
For the case of morphing mesh motion, the eddy length is seen to vary from ~0.0056B to ~0.07B. The eddies with the shortest length are seen to emerge in the boundary layer, and eddies with the longer length were are to develop in the lee of the vessel and in the surrounding water. For the case of the overset mesh motion, eddies are seen to vary in the mentioned range. However, the interesting point is that the eddies with longer length developed in the overset zone are captured in a larger area compared to the simulations performed by morphing mesh. This confirms that the numerical computation performed in the overset zone leads to an overprediction of the eddy length. This longer value for the eddies leads to an extra computation of the forces in the overset zone, which results in the overprediction of the resistance, as mentioned before. Note that the mesh structure for the both cases is similar. In the boundary layer, where the eddies have the shortest length, the cells have a length of nearly ~0.0014B. This means that the eddies are located in, roughly speaking, four cells in the boundary layer. In the surrounding water, where the eddies are longer, the cells have a length of ~0.014B. It means that eddies might be located in two cells in this zone. Overall, it can be concluded that when a DES-based model is applied, eddies are generated around the vessel, which are very small in the boundary layer. The overset method can compute longer length for the eddies in the surrounding water. A better mesh structure can probably modify the accuracy of the overset model in the computation of the length of the eddies in the overset zone.

3.5. A Brief Discussion on Computational Time

At the final stage, the computational time and physical time required to numerically simulate the problem are reviewed. Two parameters are presented. The first one is the CPU time, which refers to the amount of time (in seconds) needed for a core to advance one single time-step. The second parameter is the convergence time, i.e., the physical time at which the simulations converge. This amount of time might depend on the under-relaxation value or the static trim angle prescribed in the set-up. However, for the all considered CFD models, a similar under-relaxation and static trim is used.
The CPU time data are shown in the left panel of Figure 18. The CPU time associated to the k-ε-based model is seen to be smaller than that of DES-based simulations. When a k-ε model is used for simulations, only one turbulent model is used, and RANS equations are solved. However, when a DES model is used, RANS equations are solved near the walls, and a LES model is used to compute the vortex generation on a large-scale. Therefore, a k-ε model might modify the computational time.
Compared with the morphing approach, the overset technique is slightly faster. When the morphing method is used, the solver needs to compute different parameters to morph the mesh, and thus a longer time is needed to perform the computations of a single time-step.
The convergence times are shown in the right panel of Figure 17. The results show that as the speed of the vessel increases and goes beyond the planing threshold, i.e., the onset of planing regime, the convergence time decreases. Note that the convergence time values of all CFD models are very similar as they all use the same set-up and initial conditions.
To summarize, the results shown in the present paper, are applicable to a stepless planing hull with a deep-V design. That hull form is the common design that is used for riding a vessel in planing condition. In the case that stepped planing hulls, catamarans, or vessels with air-injections are of interest, a deep study on the accuracy of models and their results is still required to be performed. However, based on what we observed in vorticity field behind the transom, two suggestions related to the performance prediction of planing vessels are mentioned here, the future investigation of which could be interesting.
First, for the case of stepped boats and vessels with air injection, the DES model might be more suitable as it can help us to predict the air ventilation and the pressure area in the body (ies), located behind the front body with a higher accuracy level. Second, for the case of a round bilge boat, the jet flow might not separate from the edges of the vessel, and thus the turbulence flow around the vessel might not be as strong as it is for the case of a deep-V hull. The k-ε, or k- ω turbulence model might be suitable for modeling the planing motion of such a design. The latter is not studied in the present paper, but, as it is based on the RANS equations, it can be applied in the case the k-ε model can be used. However, the k- ω model might need another meshing structure near the walls of the boat.
Moreover, the results of the paper imply that, compared to the morphing mesh method, the overset technique can result in large vorticity and overprediction of resistance in the case that a similar mesh structure is used for the decomposition of the domain. The interpolations carried out between the background and overset region are likely to underlie the mentioned overprediction of the vorticity field. Further studies need to be carried out in future to provide us with a proper way to modify the ability of the overset method in the computation of the vorticity field. The overset method can result in a good level of performance prediction, which needs a better set-up. Examples of simulations with a good level of accuracy in simulation of a deep-V design operating in planing regime can be found in [36]. The observation made in the present paper confirmed that, to use an overset method, the mesh structure should be defined very well, and the interpolation between the overset and background regions should be carried out in a proper way, both of which prevent any possible overprediction of the vorticity field and eddy length in the lee of the vessel. The importance of such a fact is noted when aiming to numerically replicate the maneuvering or wave-induced motion of the vessel, where the overset method functions very well in dynamic simulations.
Finally, note that the presented analysis is related to the utilized CFD code. For the case of other code, the engine used for numerical computation might be different. However, it is expected that similar observations about the turbulent models are made. However, as the differences between turbulent models in other CFD codes, such as OpenFoam, are still indeterminate, this topic is still very interesting and is highly recommended to be performed in future.

4. Conclusions

In the present paper, simulations were performed to improve the knowledge about the accuracy and ability of different CFD models in numerical replication of the steady planing problem. Four different CFD models were used to numerically replicate a recent experimental test, which took place at the University of Naples, Federico II. The summary of the results are as follows:
  • Compared with a k-ε turbulence model, a DES turbulence model computes the running trim angle of the studied planing hull with a greater level of accuracy. Moreover, the morphing technique was seen to have better accuracy in the prediction of the trim angle at high-speeds, while the overset method was observed to have better accuracy at low-speeds.
  • As observed, DES simulations provide a greater level of accuracy in resistance calculation when mesh motion is modeled with morphing technique, compared to k-ε simulations. This showed us that the large-eddy simulations that are performed in the surrounding water can have a positive role in the accurate computation of the resistance force of a vessel operating in a planing mode. The large eddies that are computed by using the DES model are related to the divergent waves emerging near the bow and transom that can partially contribute to resistance. The k-ε model might not be able to capture this extra amount of resistance.
  • The overset model was seen to result in overprediction of resistance. This overprediction was seen to be even larger in the case that the DES simulations were used. The sampled vorticity field around the vessel showed that overset method might compute larger shear stresses on the free surface, which can lead to overprediction of the resistance.
  • The length of eddies emerged near the vessel were computed for the case of the highest modeled speed. Eddies were seen to have a shorter length in the boundary layer. Eddies were observed to develop in such a way that their length increased from ~0.005B to ~0.07B as the fluid traveled from the walls of the vessel toward the lee of the vessel, or from the chines toward surrendering water. The oveset method was found to compute slightly longer eddies in the lee of the vessel and in the surrendering water. This overprediction was seen to occur in the oveset zone. This implied that either the mesh structure or the interpolation between the velocity and pressure fields of the overset and background regions lead to overprediction of the length of eddies, which resulted in overprediction of resistance.
  • It was demonstrated that overset and morphing techniques, respectively overpredict and under-predict the wetted surface of the studied planing hull. The errors of the DES simulations in the computation of the wetted surface were seen to be higher than those of k-ε simulations.
  • DES simulations can result in extra damping of the second and third crests of the transom waves. This again proved the strong ability of the large eddy simulations performed in the computation of the eddy viscosity in the water flow of the downstream field.
  • The technical information of the CFD models showed that, compared to an overset method, a morphing technique needs longer time to advance one time-step. Such a behavior is linked to the morphing that occurs at each time-step. In addition, the DES approach can result in a longer computation time compared to the k-ε model.
In conclusion, the morphing technique provides a greater level of accuracy in the computation of the running attitudes and resistance of the vessel at higher speeds. To model the turbulent behavior of the fluid motion, the DES model is recommended to be used. Its results can be more accurate compared to a k-ε model. The DES model can capture the eddy viscosities in a large scale, which are skipped when a k-ε model is embarked. These eddy viscosities, developed in the transom and divergent waves, can induce an extra force on the vessel. If we neglect this extra force, we might under-predict the resistance. The combination of the morphing technique and DES model, which was denoted with an MDE acronym, is seen to provide a satisfactory level of accuracy in the computation of the trim angle and resistance. The MDE simulation might need longer computational time, but the level of accuracy of the MDE model is worth the longer time required to perform the simulations. Another important take home message of the present paper is related to the application of the overset method. While the overset technique was seen to lead to overprediction of resistance, this method, of course, can provide a high-level of accuracy, but the mesh structure should be different from the one used for a morphing technique, in such a the way vorticity and lengths of eddies, emerging around the vessel, are not overpredicted. In future research, steps will be taken to evaluate the ability of CFD models in the reproduction of unsteady planing motion.

Author Contributions

Conceptualization, S.T. and A.D.; methodology, A.D., S.T.; software, A.H.; validation, A.H.; formal analysis, A.H., S.T. and A.D.; investigation, A.H.; resources, A.D. and S.T.; data curation, A.H.; writing—original draft preparation, A.H. and S.T.; writing—review and editing, A.D., M.K., P.K.S.; visualization, A.H. and S.T.; supervision, A.D. and S.T. All authors have read and agreed to the published version of the manuscript.

Funding

This research received no external funding.

Institutional Review Board Statement

Not applicable.

Informed Consent Statement

Not applicable.

Data Availability Statement

Data might be available per a reasonable request.

Acknowledgments

ST acknowledges the support of the MRS, provided by the University of Melbourne. The authors are thankful to the technical support of the computing center of the School of Engineering of the Persian Gulf University.

Conflicts of Interest

The authors declare no conflict of interest.

Nomenclature

B, BWLMaximum Beam of the boat (m), and its beam at water line (m)
EError of any computed parameter (%)
fb External forces arising from gravity (N)
FzFluid force acting on the vessel in z direction (N)
FrBBeam Froude number
gGravitational constant (m/s2)
IMass moment of inertia (Kg-m2)
LLength(m)
LOALPPLWLBoat length (m). Refers to overallbetween perpendicular and on water line length
MMass of the boat (Kg)
MyMoment vector (N-m). Refers to pitch component.
pFluid pressure (Pa)
pmaxMaximum hydrodynamic pressure (Pa)
RResistance force (N)
SwsWetted surface (m2)
uFlow velocity vector (m/s)
VBoat speed (m/s)
z ¨ Heave acceleration (m/s2)
zmaxMaximum surface elevation (m)
θ ¨ Pitch acceleration (rad/s2 )
ρcDensity of flow (Kg/m3)
μcμTViscosity and eddy viscosity of flow (Kg/m-s)
γPhase fraction of the fluid
ΔtTime step (s)
ΔxMinimum cell size on hull surface (m)
φcValue of any mixture physical parameter (water and air mixture)
φaValue of any air physical parameter
φwValue of any water physical parameter
βDeadrise angle of the vessel (deg)
ττstaticDynamic and static trim angle of the vessel (deg)
ψexp ψnumAny computed parameter. Numerical and experimental results.
ΔDisplacement of the boat (N)

References

  1. Savitsky, D. Planing craft. Nav. Eng. J. 1985, 97, 113–141. [Google Scholar] [CrossRef]
  2. Blount, D.; Codega, L. Dynamic stability of planing boats. Mar. Technol. 1992, 29, 4–12. [Google Scholar]
  3. Ikeda, Y.; Katayama, T. Propoising oscillations of very-high-speed marine craft. Philos. Trans. R. Soc. Lond. Ser. A Math. Phys. Eng. Sci. 2000, 358, 1905–1915. [Google Scholar] [CrossRef][Green Version]
  4. Tavakoli, S.; Najafi, S.; Amini, E.; Dashtimanesh, A. Performance of high-speed planing hulls accelerating from rest under the action of a surface piercing propeller and an outboard engine. Appl. Ocean Res. 2018, 77, 45–60. [Google Scholar] [CrossRef]
  5. Faltensin, O.M. Hydrodynamics of High-Speed Marine Vehicles; Cambridge University Press: New York, NY, USA, 2005. [Google Scholar]
  6. Tuck, E.; Scullen, D.; Lazauskas, L. Wave Patterns and Minimum Wave Resistance for High-Speed Vessels. In Proceedings of the 24th Symposium on Naval Hydrodynamics, Fukuoka, Japan, 8–13 July 2002. [Google Scholar]
  7. Savitsky, D.; Brown, P. Procedures for hydrodynamic evaluation of planing hulls in smooth and rough water. Mar. Technol. 1976, 13, 381–400. [Google Scholar]
  8. Savitsky, D. Hydrodynamic design of planing hulls. Mar. Technol. 1964, 1, 71–95. [Google Scholar]
  9. Ghadimi, P.; Tavakoli, S.; Feizi, M.; Dashtimanesh, A. Introducing a particular mathematical model for predicting the resistance and performance of prismatic planing hulls in calm water by means of total pressure distribution. J. Nav. Archit. Mar. Eng. 2015, 12, 73–94. [Google Scholar] [CrossRef]
  10. Katayama, T.; Iida, T.; Ikeda, Y. Effects of change in running attitude on turning diameter of planing craft. In Proceedings of the 2nd PAMES and AMEC 2006, Jeju, Korea, 17–20 October 2006. [Google Scholar]
  11. Tavakoli, S.; Dashtimanesh, A. Running attitudes of yawed planing hulls in calm water: Development of an oblique 2D+T approach. J. Ships Offshore Struct. 2017, 12, 1086–1099. [Google Scholar] [CrossRef]
  12. Begovic, E.; Bertorello, C. Resistance assessment of warped hullform. Ocean Eng. 2012, 56, 28–42. [Google Scholar] [CrossRef]
  13. De Luca, F.; Pensa, C. The Naples warped hard chine hulls systematic series. Ocean Eng. 2017, 139, 205–236. [Google Scholar] [CrossRef]
  14. Ghadimi, P.; Sayyed Mahdi, S.; Tavakoli, S. Experimental study of the wedge effects on the performance of a hard-chine planing craft in calm water. Mech. Eng. 2019, 26, 1316–1334. [Google Scholar] [CrossRef]
  15. Fridsma, G. A Systematic Study of the Rough-Water Performance of Planing Boats; Technical Report, Davidson Laboratory Report 1275; Stevens Institute of Technology Davidson Laboratory, Castle Point Station: Hoboken, NJ, USA, 1969. [Google Scholar]
  16. Dashtimanesh, A.; Tavakoli, S.; Sahoo, P. A simplified method to calculate trim and resistance of a two-stepped planing hull. Ships Offshore Struct. 2017, 12, 317–329. [Google Scholar] [CrossRef]
  17. Dashtimanesh, A.; Tavakoli, S.; Sahoo, P. Development of a simple mathematical model for calculation of trim and resistance of two stepped planing hulls with transverse steps. In Proceedings of the International Conference on Ships and Offshore Structures, Hamburg, Germany, 31 August–2 September 2016. [Google Scholar]
  18. Matveev, K. On hydrodynamics of a planing plate in a laterally restricted channel. Ocean Eng. 2018, 151, 152–156. [Google Scholar] [CrossRef]
  19. Iafrati, A.; Broglia, R. Hydrodynamics of planning hulls: A comparison between RANS and 2d+ t potential flows models. In Proceedings of the 27th ONR Symposium on Naval Hydrodynamics, Seoul, Korea, 5–10 October 2008. [Google Scholar]
  20. Ghadimi, P.; Tavakoli, S.; Dashtimanesh, A.; Zaman, R. Steady performance prediction of heeled planing boat in calm water using asymmetric 2D+T model. J. Eng. Marit. Environ. 2017, 231, 234–257. [Google Scholar] [CrossRef]
  21. Matveev, K. Two-dimensional modeling of stepped planing hulls with open and pressurized air cavities. Int. J. Nav. Archit. Ocean Eng. 2012, 4, 162–171. [Google Scholar] [CrossRef]
  22. Tavakoli, S.; Ghadimi, P.; Dashtimanesh, A. A nonlinear mathematical model for coupled heave, pitch, and roll motions of a high-speed planing hull. J. Eng. Math. 2017, 104, 157–194. [Google Scholar] [CrossRef]
  23. Ghadimi, P.; Tavakoli, S.; Dashtimanesh, A. Coupled heave and pitch motions of planing hulls at non-zero heel angle. Appl. Ocean Res. 2016, 59, 286–303. [Google Scholar] [CrossRef]
  24. Ghadimi, P.; Tavakoli, S.; Dashtimanesh, A. An analytical procedure for time domain simulation of roll motion of the warped planing hulls. J. Eng. Marit. Environ. 2016, 230, 600–615. [Google Scholar] [CrossRef]
  25. Niazmand Bilandi, R.; Dashtimanesh, A.; Tavakoli, S. Development of a 2D+T Theory for Performance Prediction of Double-Stepped Planing Hulls in Calm Water. J. Eng. Marit. Environ. 2018, 233, 886–904. [Google Scholar] [CrossRef]
  26. Tavakoli, S.; Dashtimanesh, A.; Sahoo, P. An oblique 2D+ T approach for hydrodynamic modeling of yawed planing boats in calm water. J. Ship Prod. Des. 2018, 34, 335–346. [Google Scholar] [CrossRef]
  27. Troesch, A.W.; Hicks, J.D. The Efficient Use of Simulation in Planing Hull Motion Anaylsis. Nav. Eng. J. 1994, 106, 75–85. [Google Scholar] [CrossRef]
  28. Tavakoli, S.; Dashtimanesh, A. A six-DOF theoretical model for steady turning maneuver of a planing hull. Ocean Eng. 2019, 189, 106328. [Google Scholar] [CrossRef]
  29. Tavakoli, S.; Dashtimanesh, A. Mathematical simulation of planar motion mechanism test for planing hulls by using 2D+ T theory. Ocean Eng. 2019, 169, 651–672. [Google Scholar] [CrossRef]
  30. Sun, H.; Faltinsen, O. Dynamic motions of planing vessels in head seas. J. Mar. Sci. Technol. 2011, 16, 168–180. [Google Scholar] [CrossRef]
  31. Dashtimanesh, A.; Enshaei, H.; Tavakoli, S. Oblique-Asymmetric 2D+ T Model to Compute Hydrodynamic Forces and Moments in Coupled Sway, Roll, and Yaw Motions of Planing Hulls. J. Ship Res. 2018, 63, 1–5. [Google Scholar] [CrossRef]
  32. Ghadimi, P.; Tavakoli, S.; Dashtimanesh, A.; Taghikhani, P. Dynamic response of a wedge through asymmetric free fall in 2 degrees of freedom. J. Eng. Marit. Environ. 2019, 233, 229–250. [Google Scholar] [CrossRef]
  33. Izadi, M.; Ghadimi, P.; Fadavi, M.; Tavakoli, S. Hydroelastic analysis of water impact of flexible asymmetric wedge with an oblique speed. Meccanica 2018, 53, 10. [Google Scholar] [CrossRef]
  34. Izadi, M.; Ghadimi, P.; Fadavi, M.; Tavakoli, S. Numerical modeling of the freefall of two-dimensional wedge bodies into water surface. J. Braz. Soc. Mech. Sci. Eng. 2018, 40, 24. [Google Scholar] [CrossRef]
  35. Mousaviraad, S.; Wang, Z.; Stern, F. URANS studies of hydrodynamic performance and slamming loads on high-speed planing hulls in calm water and waves for deep and shallow conditions. Appl. Ocean Res. 2015, 51, 222–240. [Google Scholar] [CrossRef]
  36. De Luca, F.; Mancini, S.; Miranda, S.; Pensa, C. An extended verification and validation study of CFD simulations for planing hulls. J. Ship Res. 2016, 60, 101–118. [Google Scholar] [CrossRef]
  37. Sukas, O.; Kinaci, O.; Cakici, F. Hydrodynamic assessment of planing hulls using overset grids. Appl. Ocean Res. 2017, 65, 35–46. [Google Scholar] [CrossRef]
  38. Ferrando, M.; Gaggero, S.; Villa, D. Open source computations of planing hull resistance. Int. J. Small Craft Technol. 2015, 157, 83–98. [Google Scholar] [CrossRef]
  39. Roshan, F.; Dashtimanesh, A.; Tavakoli, S.; Niazmand, R.; Abyn, H. Hull–propeller interaction for planing boats: A numerical study. Ships Offshore Struct. 2019. [Google Scholar] [CrossRef]
  40. Niazmand Bilandi, R.; Dashtimanesh, A.; Tavakoli, S. Hydrodynamic study of heeled double-stepped planing hulls using CFD and 2D+ T method. Ocean Eng. 2020, 196, 106813. [Google Scholar] [CrossRef]
  41. De MarDe Marco, A.; Mancini, S.; Miranda, S. Experimental and numerical hydrodynamic analysis of a stepped planing hull. Appl. Ocean Res. 2017, 64, 135–154. [Google Scholar] [CrossRef]
  42. Esfandiari, A.; Tavakoli, S.; Dashtimanesh, A. Comparison between the Dynamic Behavior of the Non-stepped and Double-stepped Planing Hulls in Rough Water: A Numerical Study. J. Ship Prod. Des. 2019, 36, 52–66. [Google Scholar] [CrossRef]
  43. Dashtimanesh, A.; Esfandiari, A.; Mancini, S. Performance Prediction of Two-Stepped Planing Hulls Using Morphing Mesh Approach. J. Ship Prod. Des. 2018, 34, 236–245. [Google Scholar] [CrossRef]
  44. Dashtimanesh, A.; Roshan, F.; Tavakoli, S.; Kohansal, A.; Barmala, B. Effects of step configuration on hydrodynamic performance of one-and doubled-stepped planing flat plates: A numerical simulation. J. Eng. Marit. Environ. 2019, 234, 181–195. [Google Scholar] [CrossRef]
  45. Tavakoli, S.; Niazmand Bilandi, R.; Manchini, S.; De Luca, F.; Dashtimanesh, A. Dynamic of a planing hull in regular waves: Comparison of experimental, numerical and mathematical methods. Ocean Eng. 2020, 217, 107959. [Google Scholar] [CrossRef]
  46. STAR-CCM+ Version 13.04; CD-Adapco, Computational Dynamics-Analysis & Design; Application Company Ltd.: Melville, NY, USA, 2011.
  47. The International Towing Tank Conference. ITTC Recommended Procedures and Guidelines 7.5-02-02-01; ITTC: Rio de Janeiro, Brazil, 2011. [Google Scholar]
  48. Waclawczyk, T.; Koronowicz, T. Comparison of CICSAM and HRIC high-resolution schemes for interface capturing. J. Theor. Appl. Mech. 2008, 46, 325–345. [Google Scholar]
  49. Spalart, P.R. Detached-eddy simulation. Annu. Rev. Fluid Mech. 2009, 41, 181–202. [Google Scholar] [CrossRef]
  50. Klein, M.; Ketterl, S.; Hasslberger, J. Large eddy simulation of multiphase flows using the volume of fluid method: Part 1—Governing equations and a priori analysis. Exp. Comput. Multiph. Flow 2019, 1, 130–144. [Google Scholar] [CrossRef]
  51. De Bertodano, M.L.; Lahey, R.T.; Jones’s, O.C. Development of a [kappa]-[epsilon] model for bubbly two-phase flow. J. Fluids Eng. 1993, 116, 128–134. [Google Scholar] [CrossRef]
  52. Fonseca Soares, L.L.; Manzanares-Filho, N.; Ramirez Camacho, R.G. Velocity decomposition approach for steady incompressible flow around bluff bodies using a transpiration auxiliary surface. Eur. J. Mech. B/Fluids 2021, 85, 134–148. [Google Scholar] [CrossRef]
  53. Morino, L.; Salvatore, F.; Gennaretti, M. A new velocity decomposition for viscous flows: Lighthill’s equivalent-source method revisited. Comput. Methods Appl. Mech. Eng. 1999, 173, 317–336. [Google Scholar] [CrossRef]
  54. Hafez, M.; Shatalov, A.; Wahba, E. Numerical simulations of incompressible aerodynamic flows using viscous/inviscid interaction procedures. Comput. Methods Appl. Mech. Eng. 2006, 195, 3110–3127. [Google Scholar] [CrossRef]
  55. Morabito, M. Empirical Equations for Planing Hull Bottom Pressures. J. Ship Res. 2014, 58, 185–200. [Google Scholar] [CrossRef]
  56. Dashtimanesh, A.; Ghadimi, P. A three-dimensional SPH model for detailed study of free surface deformation, just behind a rectangular planing hull. J. Braz. Soc. Mech. Sci. Eng. 2013, 35, 369–380. [Google Scholar] [CrossRef]
  57. Ghadimi, P.; Dashtimanesh, P.; Farsi, M.; Najafi, S. Investigation of free surface flow generated by a planing flat plate using smoothed particle hydrodynamics method and FLOW3D simulations. J. Eng. Marit. Environ. 2013, 227, 125–135. [Google Scholar] [CrossRef]
  58. Rabaud, M.; Moisy, F. Narrow ship wakes and wave drag for planing hulls. Ocean Eng. 2014, 90, 34–38. [Google Scholar] [CrossRef]
  59. Moisy, F.; Rabaud, M. Mach-like capillary-gravity wakes. Phys. Rev. 2014, 90, 023009. [Google Scholar] [CrossRef] [PubMed]
  60. Savitsky, D.; Morabito, M. Surface wave contours associated with the fore body wake of stepped planing hulls. Mar. Technol. 2010, 47, 1–16. [Google Scholar]
Figure 1. A deep-V boat operating at speed V in planing mode. Longitudinal and transverse views are shown in the upper panel and the bottom view of the vessel is shown in the lower panel.
Figure 1. A deep-V boat operating at speed V in planing mode. Longitudinal and transverse views are shown in the upper panel and the bottom view of the vessel is shown in the lower panel.
Jmse 09 00481 g001
Figure 2. The computational domain and the boundary conditions used to numerically solve the steady planing problem for a deep-V hull. Note that this domain is used for both cases of morphing mesh and overset mesh approaches. The red box showing the overset region is only used in the case the overset approach is used.
Figure 2. The computational domain and the boundary conditions used to numerically solve the steady planing problem for a deep-V hull. Note that this domain is used for both cases of morphing mesh and overset mesh approaches. The red box showing the overset region is only used in the case the overset approach is used.
Jmse 09 00481 g002
Figure 3. The computational grids around the deep-V stepless boat. Left and Right panels show the fine grids generated for the cases of morphing and overset approaches, respectively.
Figure 3. The computational grids around the deep-V stepless boat. Left and Right panels show the fine grids generated for the cases of morphing and overset approaches, respectively.
Jmse 09 00481 g003
Figure 4. Y+ distribution around the body of the deep-V hull at speed of 4 m/s (corresponding to beam Froude Number of 1.48).
Figure 4. Y+ distribution around the body of the deep-V hull at speed of 4 m/s (corresponding to beam Froude Number of 1.48).
Jmse 09 00481 g004
Figure 5. Body plan of model C1 [36].
Figure 5. Body plan of model C1 [36].
Jmse 09 00481 g005
Figure 6. A sample of grid study performed in the current research. The presented results correspond to the morphing mesh case with turbulence model of k-ε at speed of 4 m/s (corresponding to the beam Froude Number of 1.48).Left, middle and right panels respectively refer to data corresponding to resistance, trim angle and C.G rise up.
Figure 6. A sample of grid study performed in the current research. The presented results correspond to the morphing mesh case with turbulence model of k-ε at speed of 4 m/s (corresponding to the beam Froude Number of 1.48).Left, middle and right panels respectively refer to data corresponding to resistance, trim angle and C.G rise up.
Jmse 09 00481 g006
Figure 7. A sample of convergence of all parameters, showing how a CFD model calculates the equilibrium condition for the deep-V hull operating in planing mode at speed of 7 m/s (corresponding to the beam Froude Number of 1.48) for morphing turbulent simulation. Upper, middle and lower panels respectively refers to data corresponding to convergence of trim angle, C.G rise up and wetted surface.
Figure 7. A sample of convergence of all parameters, showing how a CFD model calculates the equilibrium condition for the deep-V hull operating in planing mode at speed of 7 m/s (corresponding to the beam Froude Number of 1.48) for morphing turbulent simulation. Upper, middle and lower panels respectively refers to data corresponding to convergence of trim angle, C.G rise up and wetted surface.
Jmse 09 00481 g007
Figure 8. Comparison of the numerically computed values of trim angle against laboratory measurements of De Luca [13].
Figure 8. Comparison of the numerically computed values of trim angle against laboratory measurements of De Luca [13].
Jmse 09 00481 g008
Figure 9. As of Figure 6, but for resistance.
Figure 9. As of Figure 6, but for resistance.
Jmse 09 00481 g009
Figure 10. As of Figure 6, but for the wetted surface.
Figure 10. As of Figure 6, but for the wetted surface.
Jmse 09 00481 g010
Figure 11. Hydrodynamic pressure distribution on the bottom of the planing vessel, found using different CFD models, at different beam Froude Numbers.
Figure 11. Hydrodynamic pressure distribution on the bottom of the planing vessel, found using different CFD models, at different beam Froude Numbers.
Jmse 09 00481 g011
Figure 12. Maximum pressure found using overset and morphing mesh techniques. The values calculated by using Morabito’s equation are also plotted.
Figure 12. Maximum pressure found using overset and morphing mesh techniques. The values calculated by using Morabito’s equation are also plotted.
Jmse 09 00481 g012
Figure 13. Water surface elevation around the vessel, computed using different CFD models.
Figure 13. Water surface elevation around the vessel, computed using different CFD models.
Jmse 09 00481 g013
Figure 14. Details of the water surface around a planing hull. Wake angle, Kelvin angle as well as the maximum water height are shown in the upper panel. A samplse of the transom wave at beam Froude Number of 2.59, found using both different models is shown in the bottom left panel. Maximum water surface and wake angles are displayed in middle and right panels.
Figure 14. Details of the water surface around a planing hull. Wake angle, Kelvin angle as well as the maximum water height are shown in the upper panel. A samplse of the transom wave at beam Froude Number of 2.59, found using both different models is shown in the bottom left panel. Maximum water surface and wake angles are displayed in middle and right panels.
Jmse 09 00481 g014
Figure 15. A top view of vorticity contours around the modeled planing vessel at different speeds. The results correspond to CFD simulations performed by employing the morphing mesh technique. The left panels show the data corresponding to k-ε model, and the right panels show the data corresponding to DES model.
Figure 15. A top view of vorticity contours around the modeled planing vessel at different speeds. The results correspond to CFD simulations performed by employing the morphing mesh technique. The left panels show the data corresponding to k-ε model, and the right panels show the data corresponding to DES model.
Jmse 09 00481 g015
Figure 16. A top view of vorticity contours around the modeled planing vessel at different speeds. The results correspond to CFD simulations performed by employing the overset mesh technique. The left panels show the data corresponding to k-ε model, and the right panels show the data corresponding to DES model.
Figure 16. A top view of vorticity contours around the modeled planing vessel at different speeds. The results correspond to CFD simulations performed by employing the overset mesh technique. The left panels show the data corresponding to k-ε model, and the right panels show the data corresponding to DES model.
Jmse 09 00481 g016
Figure 17. Detached eddy length scale around the vessel. Results correspond to the Froude Number of 2.59. Left and right panels, respectively, show the data related to MDE and ODE simulations.
Figure 17. Detached eddy length scale around the vessel. Results correspond to the Froude Number of 2.59. Left and right panels, respectively, show the data related to MDE and ODE simulations.
Jmse 09 00481 g017
Figure 18. The amount of time required to numerically solve a time step (left) and the convergence time corresponding to different beam Froude Numbers (right).
Figure 18. The amount of time required to numerically solve a time step (left) and the convergence time corresponding to different beam Froude Numbers (right).
Jmse 09 00481 g018
Table 1. Summary of boundary conditions.
Table 1. Summary of boundary conditions.
Prescribed BoundaryVelocityPressureVolume Fraction
Inlet (water)Velocity inlet u , 0 , 0 p = 0γ = 1
Inlet (air)Velocity inlet u , 0 , 0 p = 0γ = 0
SideVelocity inlet u , 0 , 0 p = 0∇γ = 0
BottomVelocity inlet u , 0 , 0 p = 0∇γ = 0
OutletPressure outlet u = 0 p = 0∇γ = 0
Upper surfaceVelocity inlet u , 0 , 0 p = patm∇γ = 0
Body of the planing hullNo-slip rigid bodyuB = dG/dtp = 0∇γ = 0
Table 2. Different CFD models used to solve the steady planing problem.
Table 2. Different CFD models used to solve the steady planing problem.
CFD ModelTurbulence ModelMesh Motion Model
MKEk-εMorphing
OKEk-εOverset
MDEDESMorphing
OKEDESOverset
Table 3. Principal characteristics of C1 model (all terms, expect the beam, are presented in non-dimensional form) [36].
Table 3. Principal characteristics of C1 model (all terms, expect the beam, are presented in non-dimensional form) [36].
ParameterValue
BWL0.743
LOA/B3.51
LWL/B3.23
SWS/B23.079
τstatic0
Δ/ρgB30.264
Table 4. Generated girds in the current paper.
Table 4. Generated girds in the current paper.
Grid No.Minimum Cell Size on Hull Surface in x Direction (Δx/B)Number of Cells
(Million)
10.02690.52
20.02350.66
30.02010.87
40.01681.24
50.01541.47
Table 5. Summary of the errors of different CFD models used in the current research.
Table 5. Summary of the errors of different CFD models used in the current research.
MKEMDEOKEODE
F r B E R % E T % E S % E R % E T % E S % E R % E T % E S % E R % E T % E S %
1.480.9313.968.690.8612.89.43.1310.1317.391.378.7830.43
1.853.3512.631.521.7211.50.760.0311.723.051.99.523.05
2.224.269.9115.962.28.921.80.049.716.724.48.75.88
2.590.768.611.762.498.3714.72.4311.3919.67.411.1619.6
2.771.879.2215.780.428.4722.14.6310.2215.786.7810.2216.84
RMSE2.6211.06121.7210.1915.92.7210.6614.0759.7218.1
Publisher’s Note: MDPI stays neutral with regard to jurisdictional claims in published maps and institutional affiliations.

Share and Cite

MDPI and ACS Style

Hosseini, A.; Tavakoli, S.; Dashtimanesh, A.; Sahoo, P.K.; Kõrgesaar, M. Performance Prediction of a Hard-Chine Planing Hull by Employing Different CFD Models. J. Mar. Sci. Eng. 2021, 9, 481. https://doi.org/10.3390/jmse9050481

AMA Style

Hosseini A, Tavakoli S, Dashtimanesh A, Sahoo PK, Kõrgesaar M. Performance Prediction of a Hard-Chine Planing Hull by Employing Different CFD Models. Journal of Marine Science and Engineering. 2021; 9(5):481. https://doi.org/10.3390/jmse9050481

Chicago/Turabian Style

Hosseini, Azim, Sasan Tavakoli, Abbas Dashtimanesh, Prasanta K. Sahoo, and Mihkel Kõrgesaar. 2021. "Performance Prediction of a Hard-Chine Planing Hull by Employing Different CFD Models" Journal of Marine Science and Engineering 9, no. 5: 481. https://doi.org/10.3390/jmse9050481

APA Style

Hosseini, A., Tavakoli, S., Dashtimanesh, A., Sahoo, P. K., & Kõrgesaar, M. (2021). Performance Prediction of a Hard-Chine Planing Hull by Employing Different CFD Models. Journal of Marine Science and Engineering, 9(5), 481. https://doi.org/10.3390/jmse9050481

Note that from the first issue of 2016, this journal uses article numbers instead of page numbers. See further details here.

Article Metrics

Back to TopTop