Document-Level Relation Extraction with Local Relation and Global Inference
Abstract
:1. Introduction
2. Related Work
2.1. Document-Level Relationship Extraction Models Based on Serialization
2.2. Document-Level Relationship Extraction Models Based on Graph Structures
3. Document-Level Relationship Extraction Model with Local Relationships and Global Inference
3.1. Definition of Symbols
3.2. Local Relationships
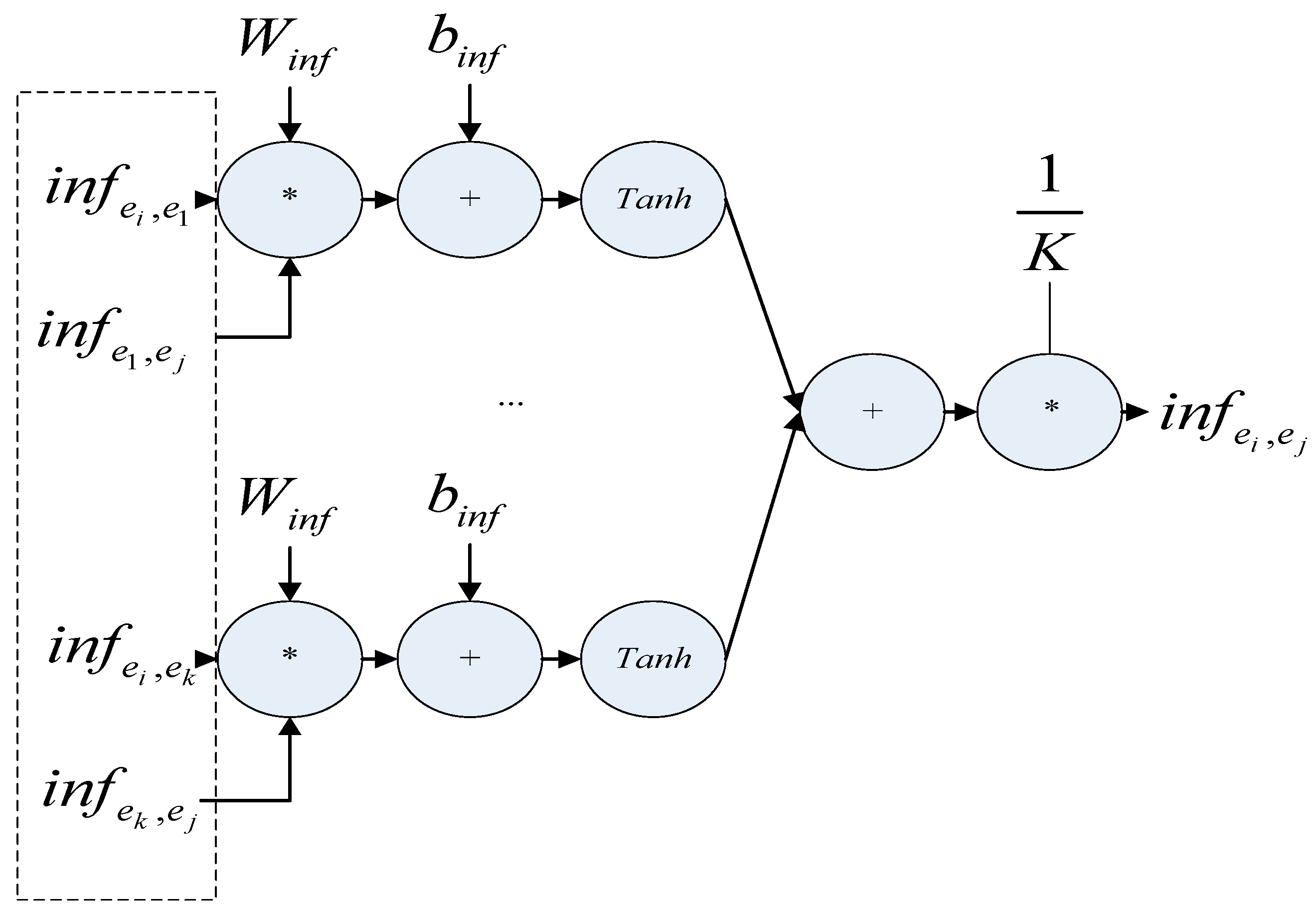
3.3. Global Inference
3.3.1. Classical Floyd’s Algorithm
3.3.2. Explicit Relational Inference Based on Improved Floyd’s Algorithm
3.4. Fusion of Local Relations and Global Inference
4. Experimental Design and Analysis
4.1. Dataset Acquisition and Processing
4.2. Experimental Environment and Parameter Settings
4.2.1. Experimental Environment
4.2.2. Experimental Parameter Settings
4.3. Evaluation Indicators
4.4. Contrast Model
4.5. Experimental Results and Analysis
4.5.1. Comparative Experiments
4.5.2. Analysis of the Maximum Number of Relationships Existing between Each Pair of Entity Pairs
4.5.3. Analysis of Model Parameters
5. Conclusions
Author Contributions
Funding
Conflicts of Interest
References
- Yu, M.; Yin, W.; Hasan, K.S.; Santos, C.D.; Xiang, B.; Zhou, B. Improved neural relation detection for knowledge base question answering. arXiv 2017, arXiv:1704.06194. [Google Scholar]
- Shi, P.; Lin, J. Simple bert models for relation extraction and semantic role labeling. arXiv 2019, arXiv:1904.05255. [Google Scholar]
- Soares, L.B.; FitzGerald, N.; Ling, J.; Kwiatkowski, T. Matching the blanks: Distributional similarity for relation learning. arXiv 2019, arXiv:1906.03158. [Google Scholar]
- Miwa, M.; Bansal, M. End-to-end relation extraction using lstms on sequences and tree structures. arXiv 2016, arXiv:1601.00770. [Google Scholar]
- Alt, C.; Hübner, M.; Hennig, L. Improving relation extraction by pre-trained language representations. arXiv 2019, arXiv:1906.03088. [Google Scholar]
- Tang, Y.; Huang, J.; Wang, G.; He, X.; Zhou, B. Orthogonal relation transforms with graph context modeling for knowledge graph embedding. arXiv 2020, arXiv:1911.04910. [Google Scholar]
- Christopoulou, F.; Miwa, M.; Ananiadou, S. Connecting the dots: Document-level neural relation extraction with edge-oriented graphs. arXiv 2019, arXiv:1909.00228. [Google Scholar]
- Zhou, W.; Huang, K.; Ma, T.; Huang, J. Document-level relation extraction with adaptive thresholding and localized context pooling. In Proceedings of the AAAI Conference on Artificial Intelligence, Vancouver, BC, Canada, 20–27 February 2021; pp. 14612–14620. [Google Scholar]
- Yao, Y.; Ye, D.; Li, P.; Han, X.; Lin, Y.; Liu, Z.; Liu, Z.; Huang, L.; Zhou, J.; Sun, M. DocRED: A large-scale document-level relation extraction dataset. arXiv 2019, arXiv:1906.06127. [Google Scholar]
- Weisstein, E.W. Floyd-Warshall Algorithm. Available online: https://mathworld.wolfram.com/2008 (accessed on 21 June 2008).
- Devlin, J.; Chang, M.-W.; Lee, K.; Toutanova, K. Bert: Pre-training of deep bidirectional transformers for language understanding. arXiv 2018, arXiv:1810.04805. [Google Scholar]
- Wang, H.; Focke, C.; Sylvester, R.; Mishra, N.; Wang, W. Fine-tune bert for docred with two-step process. arXiv 2019, arXiv:1909.11898. [Google Scholar]
- Tang, H.; Cao, Y.; Zhang, Z.; Cao, J.; Fang, F.; Wang, S.; Yin, P. Hin: Hierarchical inference network for document-level relation extraction. In Proceedings of the Pacific-Asia Conference on Knowledge Discovery and Data Mining, Singapore, 11–14 May 2020; pp. 197–209. [Google Scholar]
- Guo, Z.; Zhang, Y.; Lu, W. Attention guided graph convolutional networks for relation extraction. arXiv 2019, arXiv:1906.07510. [Google Scholar]
- Wu, F.; Souza, A.; Zhang, T.; Fifty, C.; Yu, T.; Weinberger, K. Simplifying graph convolutional networks. In Proceedings of the International Conference on Machine Learning, Long Beach, CA, USA, 9–15 June 2019; pp. 6861–6871. [Google Scholar]
- Nan, G.; Guo, Z.; Sekulić, I.; Lu, W. Reasoning with latent structure refinement for document-level relation extraction. arXiv 2020, arXiv:2005.06312. [Google Scholar]
- Sahu, S.K.; Christopoulou, F.; Miwa, M.; Ananiadou, S. Inter-sentence relation extraction with document-level graph convolutional neural network. arXiv 2019, arXiv:1906.04684. [Google Scholar]
- Zeng, S.; Xu, R.; Chang, B.; Li, L. Double Graph Based Reasoning for Document-level Relation Extraction. arXiv 2020, arXiv:2009.13752. [Google Scholar]
- Loshchilov, I.; Hutter, F. Decoupled weight decay regularization. arXiv 2017, arXiv:1711.05101. [Google Scholar]
- Pennington, J.; Socher, R.; Manning, C.D. Glove: Global vectors for word representation. In Proceedings of the 2014 Conference on Empirical Methods in Natural Language Processing (EMNLP), Doha, Qatar, 25–29 October 2014; pp. 1532–1543. [Google Scholar]
- Ye, D.; Lin, Y.; Du, J.; Liu, Z.; Li, P.; Sun, M.; Liu, Z. Coreferential Reasoning Learning for Language Representation. arXiv 2020, arXiv:2004.06870. [Google Scholar]
- Huang, K.; Qi, P.; Wang, G.; Ma, T.; Huang, J. Entity and evidence guided document-level relation extraction. In Proceedings of the 6th Workshop on Representation Learning for NLP (RepL4NLP-2021), Online, 6 August 2021; pp. 307–315. [Google Scholar]
- Zhang, N.; Chen, X.; Xie, X.; Deng, S.; Tan, C.; Chen, M.; Huang, F.; Si, L.; Chen, H. Document-level relation extraction as semantic segmentation. In Proceedings of the Thirtieth International Joint Conference on Artificial Intelligence, IJCAI-21, International Joint Conferences on Artificial Intelligence Organization, Main Track, 19–27 August 2021; pp. 3999–4006. [Google Scholar]












| Statistics | Value | 
|---|---|
| Dataset | DocRED | 
| # Train | 3053 | 
| # Dev | 1000 | 
| # Test | 1000 | 
| # Types of relation | 96 | 
| # Entities | 132,275 | 
| # Relations | 56,354 | 
| Avg. # sentences per Doc. | 8 | 
| Avg. # entities per Doc. | 19.5 | 
| Software and Hardware | Configuration | 
|---|---|
| Development tools and languages | Pycharm+Python3.9 | 
| Development framework | Pytorch1.9.0 | 
| Operating System | 64-bit Ubuntu20.04 system | 
| GPU | INVDA Quadro RTX 6000 24G | 
| CPU | Intel® Xeon(R) W-2225 CPU @ 4.10 GHz × 8 | 
| Parameter | Value | 
|---|---|
| Dimension of mentioned embedding | 768 | 
| Dimension of entity embedding | 768 | 
| Dimension of local relations vector | 97 | 
| Dimension of global inference vector | 97 | 
| Learning rate | 5 × 10−5 | 
| Dropout | 0.1 | 
| Model | Dev | Test | ||
|---|---|---|---|---|
| Serialization-based models: | ||||
| CNN | 43.45 | 41.58 | 42.26 | 40.33 | 
| LSTM | 50.66 | 48.44 | 50.07 | 47.71 | 
| BiLSTM | 50.95 | 48.87 | 51.06 | 48.78 | 
| Context-Aware | 51.10 | 48.94 | 50.70 | 48.40 | 
| BERTBASE | 54.16 | - | 53.20 | - | 
| BERT-TSBASE | 54.42 | - | 53.92 | - | 
| HIN-BERTBASE | 56.31 | 54.29 | 55.60 | 53.70 | 
| CorefBERTBASE | 57.51 | 55.32 | 56.96 | 54.54 | 
| BERT-ATLOPBASE | 61.09 | 59.22 | 61.30 | 59.31 | 
| E2GRE | 58.72 | 55.22 | - | - | 
| DocuNet | 61.83 | 59.86 | 61.86 | 59.93 | 
| Graph-structure-based models: | ||||
| BiLSTM-AGGCN | 52.47 | 46.29 | 51.45 | 48.89 | 
| BiLSTM-LSR | 55.17 | 48.82 | 54.18 | 52.15 | 
| BERT-LSRBASE | 59.00 | 52.43 | 59.05 | 56.97 | 
| GAIN | 61.22 | 59.14 | 61.24 | 59.00 | 
| Proposed model: | ||||
| LRGI | 62.11 | 60.48 | 61.71 | 59.62 | 
| Model | LRGI | ATLOP | GAIN | 
|---|---|---|---|
| 62.11 | 60.92 | 59.83 | |
| 60.48 | 59.03 | 58.10 | |
| 0.73 | 0.57 | 0.58 | |
| 0.54 | 0.65 | 0.58 | 
| Max Num of Relations between Entity Pairs | ||||
|---|---|---|---|---|
| 1 | 57.53 | 56.30 | 0.68 | 0.49 | 
| 2 | 59.14 | 57.58 | 0.68 | 0.52 | 
| 3 | 61.67 | 60.10 | 0.72 | 0.53 | 
| Model | # rel | # inf | Pre | Rec | ||
|---|---|---|---|---|---|---|
| Model_rel0_inf97 | 0 | 97 | 59.56 | 57.94 | 0.67 | 0.539 | 
| Model_rel97_inf0 | 97 | 0 | 60.57 | 58.75 | 0.66 | 0.554 | 
| Model_rel97_inf10 | 97 | 10 | 61.67 | 60.10 | 0.72 | 0.539 | 
| Model_rel97_inf97 | 97 | 97 | 62.10 | 60.48 | 0.73 | 0.538 | 
| Model_rel150_inf10 | 150 | 10 | 60.32 | 58.72 | 0.69 | 0.534 | 
| Disclaimer/Publisher’s Note: The statements, opinions and data contained in all publications are solely those of the individual author(s) and contributor(s) and not of MDPI and/or the editor(s). MDPI and/or the editor(s) disclaim responsibility for any injury to people or property resulting from any ideas, methods, instructions or products referred to in the content. | 
© 2023 by the authors. Licensee MDPI, Basel, Switzerland. This article is an open access article distributed under the terms and conditions of the Creative Commons Attribution (CC BY) license (https://creativecommons.org/licenses/by/4.0/).
Share and Cite
Liu, Y.; Shan, H.; Nie, F.; Zhang, G.; Yuan, G.X. Document-Level Relation Extraction with Local Relation and Global Inference. Information 2023, 14, 365. https://doi.org/10.3390/info14070365
Liu Y, Shan H, Nie F, Zhang G, Yuan GX. Document-Level Relation Extraction with Local Relation and Global Inference. Information. 2023; 14(7):365. https://doi.org/10.3390/info14070365
Chicago/Turabian StyleLiu, Yiming, Hongtao Shan, Feng Nie, Gaoyu Zhang, and George Xianzhi Yuan. 2023. "Document-Level Relation Extraction with Local Relation and Global Inference" Information 14, no. 7: 365. https://doi.org/10.3390/info14070365
APA StyleLiu, Y., Shan, H., Nie, F., Zhang, G., & Yuan, G. X. (2023). Document-Level Relation Extraction with Local Relation and Global Inference. Information, 14(7), 365. https://doi.org/10.3390/info14070365
 
        


 
       