Economic Scheduling Model of an Active Distribution Network Based on Chaotic Particle Swarm Optimization
Abstract
1. Introduction
2. Related Literature
2.1. Research Status of Active Distribution Networks
2.2. Current Situation of Economic Dispatch Research
2.3. Research Status of Chaotic Particle Swarm Optimization
2.4. Demand Response Research Status
3. Method
3.1. Chaotic Particle Swarm Optimization
3.2. Economic Dispatching Design of Distribution Networks
3.3. Optimal Scheduling Model of Demand-Side Response Active Distribution Network
3.3.1. Objective Function
3.3.2. Constraint Condition
4. Experiments
4.1. Solving the Optimization and Scheduling Model for Active Distribution Network with Demand Response Referred
4.1.1. Constraint Processing
4.1.2. Solution Step
4.2. Example Simulation and Result Analysis
4.2.1. Simulation System and Parameter Setting
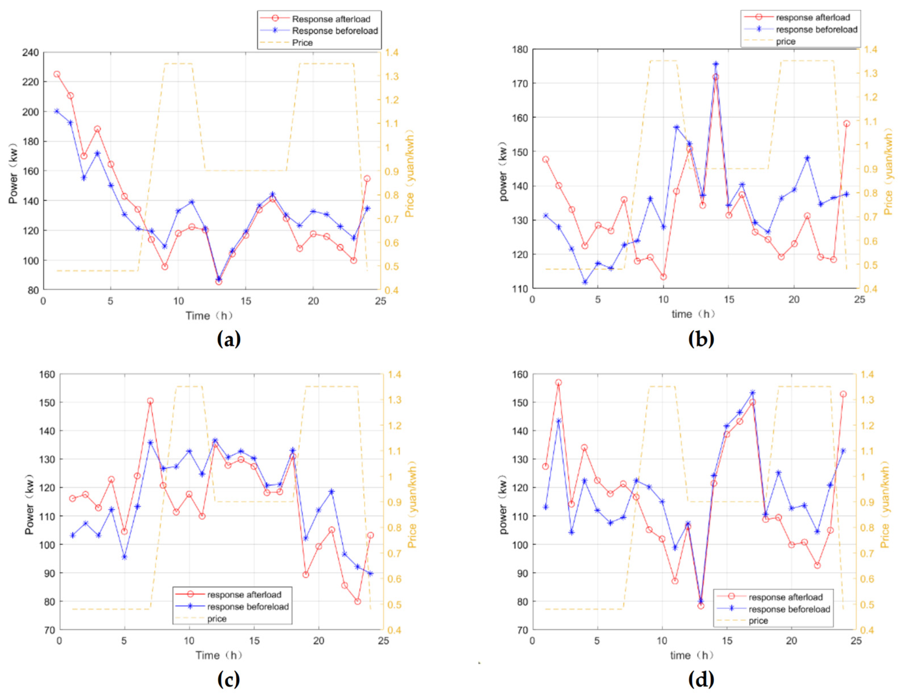
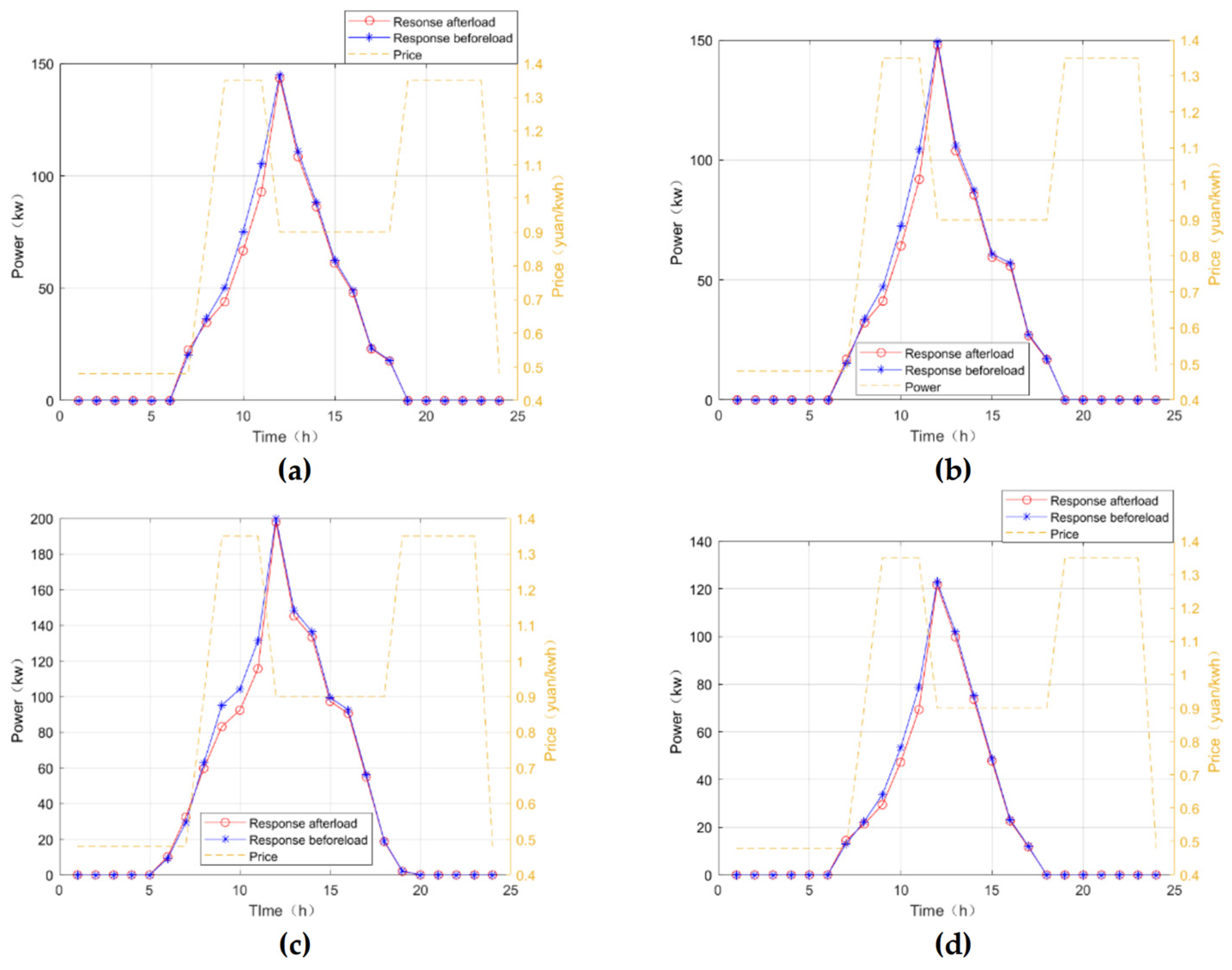
4.2.2. Simulation Result Analysis
5. Conclusions
Author Contributions
Funding
Institutional Review Board Statement
Informed Consent Statement
Data Availability Statement
Conflicts of Interest
References
- Li, Z.N.; Su, S.; Zhao, Y.M.; Jin, X.L.; Chen, H.H.; Li, Y.J.; Zhang, R.Z. Energy management strategy of active distribution network with integrated distributed wind power and smart buildings. IET Renew. Power Gener. 2020, 14, 2255–2267. [Google Scholar] [CrossRef]
- Yuan, W.Q.; Yuan, X.; Xu, L.W.; Zhang, C.; Ma, X.S. Harmonic Loss Analysis of Low-Voltage Distribution Network Integrated with Distributed Photovoltaic. Sustainability 2023, 15, 4334. [Google Scholar] [CrossRef]
- Wang, Y.; Xu, Y.; Tang, Y.; Syed, M.H.; Guillo-Sansano, E.; Burt, G.M. Decentralised-distributed hybrid voltage regulation of power distribution networks based on power inverters. IET Gener. Transm. Distrib. 2019, 13, 444–451. [Google Scholar] [CrossRef]
- Piumetto, M.; Pucheta, J.A.; Targarona, J.C.G. Dynamic Programming for the Control of Power Quality in Inbalanced Medium Voltage Networks with Distributed Generation. IEEE Lat. Am. Trans. 2014, 12, 1221–1227. [Google Scholar] [CrossRef]
- Benalcázar, P.; Samper, M.E.; Vargas, A. Short-term economic dispatch of smart distribution grids considering the active role of plug-in electric vehicles. Electr. Power Syst. Res. 2019, 177, 105932. [Google Scholar] [CrossRef]
- Cheng, T.L.; Yang, Z.L.; Dong, B.B.; Li, B.; Zhang, Y.Y.; Zeng, L.Q.; Huang, W.L. Dynamic Multiobjective Optimal Dispatch of Distribution Network Considering Time of Use-Based Demand Response. J. Energy Eng. 2022, 148, 04021068. [Google Scholar] [CrossRef]
- Zhang, X.; Wang, Z.; Zhou, Z.Y.; Liao, H.J.; Ma, X.F.; Yin, X.Y.; Lv, G.Y.; Wang, Z.Y.; Lu, Z.X.; Liu, Y.Z. Optimal Dispatch of Multiple Photovoltaic Integrated 5G Base Stations for Active Distribution Network Demand Response. Front. Energy Res. 2022, 10, 919197. [Google Scholar] [CrossRef]
- Xiang, Y.; Liu, J.Y.; Li, F.R.; Liu, Y.; Liu, Y.B.; Xu, R.; Su, Y.C.; Ding, L. Optimal Active Distribution Network Planning: A Review. Electr. Power Compon. Syst. 2016, 44, 1075–1094. [Google Scholar] [CrossRef]
- Kwag, H.G.; Kim, J.O. Optimal combined scheduling of generation and demand response with demand resource constraints. Appl. Energy 2012, 96, 161–170. [Google Scholar] [CrossRef]
- Koutsoukis, N.C.; Georgilakis, P.S.; Hatziargyriou, N.D. Multistage Coordinated Planning of Active Distribution Networks. IEEE Trans. Power Syst. 2018, 33, 32–44. [Google Scholar] [CrossRef]
- Yi, Y.; Liu, D.; Yu, N.H.; Pan, F.; Chen, F. Research on Solutions for Implement of Active Distribution Network. Prz. Elektrotech. 2012, 88, 238–242. [Google Scholar]
- Koutsoukis, N.; Georgilakis, P. A Chance-Constrained Multistage Planning Method for Active Distribution Networks. Energies 2019, 12, 4154. [Google Scholar] [CrossRef]
- Wan, D.; Zhao, M.; Yi, Z.M.; Jiang, F.; Guo, Q.; Zhou, Q.F. Mixed-integer second-order cone programming method for active distribution network. Front. Energy Res. 2023, 11, 1259445. [Google Scholar] [CrossRef]
- Jiang, Z.C.; Yu, Q.G.; Xiong, Y.F.; Li, L.; Liu, Y.M. Regional active distribution network planning study based on robust optimization. Energy Rep. 2021, 7, 314–319. [Google Scholar] [CrossRef]
- Kong, X.Y.; Yong, C.S.; Wang, C.S.; Chen, Y.; Yu, L. Optimal Strategy of Active Distribution Network Considering Source-Network-Load. IET Gener. Transm. Distrib. 2019, 13, 5586–5596. [Google Scholar] [CrossRef]
- Wang, X.Q.; Sheng, X.D.; Qiu, W.X.; He, W.L.; Xu, J.; Xin, Y.; Jv, J.B. Fault Reconfiguration Strategies of Active Distribution Network With Uncertain Factors for Maximum Supply Capacity Enhancement. IEEE Access 2022, 10, 72373–72380. [Google Scholar] [CrossRef]
- Liu, J.X.; Liu, Y.G.; Liang, H.J.; Man, Y.C.; Li, F.Z.; Li, W.J. Collaborative optimization of dynamic grid dispatch with wind power. Int. J. Electr. Power Energy Syst. 2021, 133, 107196. [Google Scholar] [CrossRef]
- Jian, L.; Qian, Z.; Zhao, L.G.; You, M.K. Distributed economic dispatch method for power system based on consensus. IET Renew. Power Gener. 2020, 14, 1424–1432. [Google Scholar] [CrossRef]
- Krishnamurthy, S.; Tzoneva, R. Investigation of the Methods for Single Area and Multi Area Optimization of a Power System Dispatch Problem. Int. Rev. Electr. Eng. IREE 2012, 7, 3600–3627. [Google Scholar]
- Yalcinoz, T.; Cory, B.J.; Short, M.J. Hopfield neural network approaches to economic dispatch problems. Int. J. Electr. Power Energy Syst. 2001, 23, 435–442. [Google Scholar] [CrossRef]
- Cai, J.J.; Ma, X.Q.; Li, L.X.; Peng, H.P. Chaotic particle swarm optimization for economic dispatch considering the generator constraints. Energy Convers. Manag. 2007, 48, 645–653. [Google Scholar] [CrossRef]
- Liu, H.B.; Liu, S.C.; Gai, X.Y.; Liu, Y.F.; Yan, Y.T.; Sun, L. Optimal Allocation of Distributed Generators in Active Distribution Network considering TOU Price. Int. J. Antennas Propag. 2023, 2023, 7471214. [Google Scholar] [CrossRef]
- Huang, M.L. Hybridization of Chaotic Quantum Particle Swarm Optimization with SVR in Electric Demand Forecasting. Energies 2016, 9, 426. [Google Scholar] [CrossRef]
- Peng, F.X.; Hu, S.B.; Gao, Z.N.; Zhou, W.; Sun, H.; Yu, P. Chaotic particle swarm optimization algorithm with constraint handling and its application in combined bidding model. Comput. Electr. Eng. 2021, 95, 107407. [Google Scholar] [CrossRef]
- Kuru, L.; Ozturk, A.; Kuru, E.; Kandara, O. Determination of voltage stability boundary values in electrical power systems by using the Chaotic Particle Swarm Optimization algorithm. Int. J. Electr. Power Energy Syst. 2015, 64, 873–879. [Google Scholar] [CrossRef]
- Cai, J.J.; Li, Q.; Li, L.X.; Peng, H.P.; Yang, Y.X. A hybrid CPSO-SQP method for economic dispatch considering the valve-point effects. Energy Convers. Manag. 2012, 53, 175–181. [Google Scholar] [CrossRef]
- Qin, C.D.; Xue, Z.X.; Feng, Q.X.; Huang, X.Y. Selecting Parameters of an Improved Doubly Regularized Support Vector Machine based on Chaotic Particle Swarm Optimization Algorithm. J. Univers. Comput. Sci. 2017, 23, 603–618. [Google Scholar]
- Yang, H.J.; Zhang, X.Y.; Chu, Y.X.; Ma, Y.H.; Zhang, D.B.; Guerrero, J.M. Multi-objective based demand response strategy optimization considering differential demand on reliability of power system. Int. J. Electr. Power Energy Syst. 2023, 152, 109202. [Google Scholar] [CrossRef]
- Yu, D.M.; Xu, X.Y.; Dong, M.Y.; Nojavan, S.; Jermsittiparsert, K.; Abdollahi, A.; Aalami, H.A.; Pashaei-Didani, H. Modeling and prioritizing dynamic demand response programs in the electricity markets. Sustain. Cities Soc. 2020, 53, 101921. [Google Scholar] [CrossRef]
- Lynch, M.A.; Nolan, S.; Devine, M.T.; O’Malley, M. The impacts of demand response participation in capacity markets. Appl. Energy 2019, 250, 444–451. [Google Scholar] [CrossRef]
- Won, J.R.; Song, K.B. An Analysis on Power Demand Reduction Effects of Demand Response Systems in the Smart Grid Environment in Korea. J. Electr. Eng. Technol. 2013, 8, 1296–1304. [Google Scholar] [CrossRef][Green Version]
- Samimi, A.; Nikzad, M.; Mohammadi, M. Real-time electricity pricing of a comprehensive demand response model in smart grids. Int. Trans. Electr. Energy Syst. 2017, 27, e2256. [Google Scholar] [CrossRef]
- Wang, T.H.; Wang, J.; Zhao, Y.M.; Shu, J.; Chen, J.C. Multi-objective residential load dispatch based on comprehensive demand response potential and multi-dimensional user comfort. Electr. Power Syst. Res. 2023, 220, 109331. [Google Scholar] [CrossRef]








Disclaimer/Publisher’s Note: The statements, opinions and data contained in all publications are solely those of the individual author(s) and contributor(s) and not of MDPI and/or the editor(s). MDPI and/or the editor(s) disclaim responsibility for any injury to people or property resulting from any ideas, methods, instructions or products referred to in the content. |
© 2024 by the authors. Licensee MDPI, Basel, Switzerland. This article is an open access article distributed under the terms and conditions of the Creative Commons Attribution (CC BY) license (https://creativecommons.org/licenses/by/4.0/).
Share and Cite
Xu, Y.; Liu, J.; Cui, Z.; Liu, Z.; Dai, C.; Zang, X.; Ji, Z. Economic Scheduling Model of an Active Distribution Network Based on Chaotic Particle Swarm Optimization. Information 2024, 15, 225. https://doi.org/10.3390/info15040225
Xu Y, Liu J, Cui Z, Liu Z, Dai C, Zang X, Ji Z. Economic Scheduling Model of an Active Distribution Network Based on Chaotic Particle Swarm Optimization. Information. 2024; 15(4):225. https://doi.org/10.3390/info15040225
Chicago/Turabian StyleXu, Yaxuan, Jianuo Liu, Zhongqi Cui, Ziying Liu, Chenxu Dai, Xiangzhen Zang, and Zhanlin Ji. 2024. "Economic Scheduling Model of an Active Distribution Network Based on Chaotic Particle Swarm Optimization" Information 15, no. 4: 225. https://doi.org/10.3390/info15040225
APA StyleXu, Y., Liu, J., Cui, Z., Liu, Z., Dai, C., Zang, X., & Ji, Z. (2024). Economic Scheduling Model of an Active Distribution Network Based on Chaotic Particle Swarm Optimization. Information, 15(4), 225. https://doi.org/10.3390/info15040225

