Abstract
The filter bank multicarrier employing offset quadrature amplitude modulation (FBMC/OQAM) is a candidate transmission scheme for 5G wireless communication systems. However, it has a high peak-to-average power ratio (PAPR). Due to the nature of overlapped signal structure of FBMC/OQAM, conventional PAPR reduction schemes cannot work effectively. A hybrid PAPR reduction scheme based on selective mapping (SLM) and multi data block partial transmit sequence (M-PTS) methods is proposed for FBMC/OQAM signals in this paper. Different from the simple SLM-PTS method, the proposed hybrid algorithm takes into account the overlapping effect of multiple adjacent data blocks on its PTS process. From simulation results, it can be obtained that the proposed method can offer a significant PAPR reduction performance improvement compared with the SLM, PTS and SLM-PTS methods. The proposed method can effectively reduce the PAPR in FBMC/OQAM systems.
1. Introduction
Multicarrier technology is now widely used in various wireless communication systems [1,2,3]. Recently, many researchers have given a great deal of attention to the filter bank multicarrier (FBMC) employing the offset quadrature amplitude modulation (OQAM) technique [4,5,6], since it is considered as a potential alternative to the best-known orthogonal frequency division multiplexing (OFDM) scheme for 5G wireless communication systems [7,8,9,10]. FBMC/OQAM, without inserting cyclic prefix, can overcome the drawbacks of OFDM. The FBMC/OQAM utilizes an inverse fast fourier transform/fast fourier transform (IFFT/FFT)-based filter bank for time-frequency-localized (TFL) pulse shaping, and interleaves OQAM symbols on subcarriers [11]. Although FBMC/OQAM is more complex than cyclic prefix (CP)-OFDM, it can provide higher robustness against carrier frequency offsets, significantly reduce out-of-band emissions, and have better spectrum in bandwidth-sensitive systems [12]. However, since FBMC/OQAM is a multi-carrier transmission technology, it has high peak-to-average power ratio (PAPR). In order to make use of FBMC/OQAM technical characteristics, it is very necessary to conduct the study of how to reduce the PAPR of FBMC/OQAM systems.
In the past decade, the researchers have proposed a number of PAPR reduction methods of OFDM signals, such as the selective mapping (SLM) [13], partial transmit sequence (PTS) [14], tone reservation (TR) scheme [15], active constellation extension (ACE) [16] and so on. Considering that there is a certain similarity between the OFDM technology and FBMC/OQAM technology, it is natural for researchers to study how to use the PAPR reduction methods of OFDM signals to reduce the PAPR of FBMC/OQAM signals. However, there is a difference between these two signals, that is, the signals in the OFDM system are independent, while the FBMC/OQAM signals overlap with the adjacent data block signal. Hence, the conventional methods for OFDM cannot be effectively employed for FBMC/OQAM.
Recently, many researchers have conducted the effective PAPR reduction studies for FBMC/OQAM systems. Some modified schemes have been proposed in [17,18,19,20,21,22,23,24]. In [17,18,19], the authors proposed some modified SLM-based PAPR reduction schemes. Laabidi et al. [17] proposed a multi block SLM method. Krishna et al. [18] proposed a low-latency trellis-based SLM method. Panya et al. [19] proposed a half complexity of trellis-based SLM method. These SLM-based methods all consider the nature of overlapped FBMC/OQAM symbols, and have better performances than conventional SLM-based methods. In [20], an alternative signal (AS) generation scheme for PAPR reduction was proposed to reduce the PAPR of FBMC/OQAM signals, and the method considered the overlapped data blocks to obtain the optimal phase rotation sequence. Besides, two segmental-based PTS methods have been proposed in [21,22]. Ye et al. [21] proposed a segmental PTS (S-PTS), where the overlapped FBMC/OQAM signals were divided into several segments. Ji-Hyun et al. [22] presented a segment-based optimization scheme. In the optimized S-PTS scheme, the PAPR of each data block is first minimized. Then, each segment is optimized based on the previous results. The simulations demonstrated that both the two modified PTS-based methods can reduce the PAPR of FBMC/OQAM signals effectively. Jiang et al. [23] proposed a multi block tone reservation (MB-TR) scheme. The proposed scheme considered the adjacent data blocks to obtain the optimal clipping noise. In [24], the authors proposed a new type of FBMC/OQAM to achieve a low PAPR without the use of any PAPR reduction process. Moreover, some hybrid PAPR reduction schemes have also been proposed [25,26,27,28]. Vangala et al. [25] proposed a hybrid scheme based on SLM and TR methods. In [26], the authors combined TR and companding techniques to reduce the PAPR. The hybrid methods can give better PAPR reduction performance than single method. However, the two hybrid PAPR reduction methods only combined the advantages of two conventional methods, but the overlapped nature of FBMC/OQAM symbols was ignored. Wang et al. [27] proposed a hybrid PAPR reduction scheme using multi data PTS and TR-based methods. In [28], the authors proposed a hybrid scheme combined with improved bilayer PTS and clipping-filtering methods. Using these two proposed hybrid methods, the overlapped structure of FMBC/OQAM signals was explored, and PAPR reduction performances were obtained than those with conventional PAPR reduction methods.
In this paper, a hybrid PAPR reduction scheme combined with SLM and multi data block PTS methods for FBMC/OQAM systems is investigated. This paper provides the following three main contributions:
- To the best of my knowledge, a hybrid scheme combined with SLM and PTS for FBMC/OQAM signals has not yet been studied in the literature. At first, a simple SLM-PTS method is presented. When the overlapped structure of FBMC/OQAM signal is considered, the adjacent multi data block overlapping effect on its PTS process is taken into account, and a more effective hybrid method is proposed based on SLM and multi data block PTS methods.
- The superiority of the proposed method is that it combines the advantages of SLM and PTS methods, and the overlapped nature of FBMC/OQAM symbols is also considered.
- The accuracy of the analytical results under different conditions is verified through numerical simulation. The different conditions include different numbers of phase sequences, different numbers of sub-blocks, and different numbers of data blocks. Simulation results demonstrate that the proposed approach has better PAPR reduction performance than traditional SLM, PTS and SLM-PTS schemes.
The purpose of this paper is to propose an effective PAPR reduction method for FBMC/OQAM systems. I would like to convince readers with the potential of the proposed method as a high-performance PAPR reduction technology in FBMC/OQAM systems.
The rest of the paper is organized as follows. The FBMC/OQAM signal and PAPR for FBMC/OQAM are presented in Section 2. Section 3 shows the traditional SLM and PTS schemes. In Section 4, a hybrid method based on SLM and multi data block PTS PAPR reduction scheme is proposed. Section 5 shows the PAPR reduction simulation performance of the proposed hybrid method associated with the SLM, PTS and simple SLM-PTS methods. Finally, the conclusions are given in Section 6.
2. FBMC/OQAM System
2.1. FBMC/OQAM Signal Structure
In Figure 1, we can see the block diagram of transmitter in FBMC/OQAM systems, in which denotes the number of subcarriers and is the subcarrier of QAM symbol. The data is processed with OQAM modulation, where . After serial to parallel operation, the real and imaginary parts of each symbol are transmitted to subcarriers, respectively. Then, after the prototype filtering and phase modulation, the FBMC/OQAM transmission data block can be got by superimposing all the subcarrier signals. The time-domain FBMC/OQAM data block signal is given below [28]:
where denotes the real part of and denotes the imaginary part of . is the symbol period, is the overlapping factor, and the response of the prototype filter is , and represents an additional phase term. is a single FBMC/OQAM data block signal formula. After adding all transmitted subcarrier signals, the time-domain signal of consecutive data blocks is given as:
where M is the number of data blocks.
Figure 1.
The block diagram of transmitter in FBMC/OQAM systems.
Figure 2 shows the overlapped structure of FBMC/OQAM signal. It can be found that each data block signal is composed of two parts, which are staggered by . Additionally, one data block length is . The length of total data blocks is . Obviously, overlaps with the next data block signal.
Figure 2.
The overlapped signal structure.
2.2. PAPR for FBMC/OQAM
In a conventional OFDM system, the length of an OFDM symbol is . Therefore, there is no overlap between adjacent symbol blocks, and a definition of PAPR is proposed for each individual OFDM symbol. The definition of PAPR is modified according to the overlapped signal structure. is divided into intervals, each of which is equal to (the last one is ). Accordingly, the PAPR of each interval is given as:
where , and is the expectation.
3. Conventional PAPR Reduction Schemes
3.1. SLM Scheme
In the SLM scheme [13], the input data block is multiplied by with different phase sequences , where is the number of phase sequences, and for and , which produce a modified data block . Using IFFT of independent sequences to produce the sequences , the one with the lowest PAPR is selected for transmission as:
The implementation of SLM technique requires IFFT operations. When utilizing the SLM scheme to reduce PAPR of FBMC/OQAM signals, the performance is slightly better than the original signal. The PAPR reduction in FBMC/OQAM systems is limited by using the conventional SLM scheme.
3.2. PTS Scheme
Let denotes the input signal in frequency domain. is partitioned into sub-blocks with , denotes the number of sub-blocks. In the PTS technique [14], scrambling (rotating its phase independently) is applied to each sub-block. Then, each partitioned sub-block is multiplied by a corresponding complex phase factor ,. The time-domain signal after the combination is given as:
where is presented as a partial transmit signal. The phase vector is chosen to minimize the PAPR as:
Then, the corresponding time-domain signal can be obtained, which has the lowest PAPR vector as:
A set of elements limits the selection of the phase factors , and reduces the search complexity. One simple example is to use the binary phase factor of .
The phase rotation operation is used for each transmit data block signal independently in the PTS scheme. When utilizing the PTS scheme to reduce PAPR in FBMC/OQAM systems, the overlapped structure debases the optimization performance. This conclusion could be verified by the simulations in Section 5.
4. Proposed Scheme
In this section, a hybrid method based on SLM and PTS schemes is proposed for FBMC/OQAM systems. Unlike the conventional hybrid SLM-PTS method, the effect of overlapped signal is taken into account in the proposed method. Firstly, the data pass through the SLM operation, and the appropriate phase sequences are selected. Then, we can obtain the initial PAPR reduction signal. The frequency-domain signal is transformed into the time-domain signal, and the data signal then passes through the modified PTS operation. The data block signal is divided into segments according to the overlap factor. In each segment, the first data block is optimized by a number of sub-blocks multiplied by the phase rotation factor. The optimal phase rotation factor is generated by choosing a minimum power between the first data block and the second data block, while processing the second data block. Obviously, the above operations take into account of the overlapping effects of multiple adjacent data blocks. The proposed scheme is presented below:
Step 1: Multiply the input data block by with different phase sequences , where and for and , and obtain resulting modified data blocks .
Step 2: Apply SLM to , and the signal becomes:
In the modified data blocks , the one with lowest PAPR value is chosen for transmission. Transform the initial PAPR reduction time-domain signal into the frequency-domain signal.
Step 3: Adopt a modified PTS process when the overlapping effect is considered. Divide the data blocks signal into several segments. The number of data blocks of each segment depends on the overlapping factor . The minimized PAPR of the first segment signal can be obtained by choosing an appropriate phase vector.
Step 4: Calculate the optimal phase rotation factor for the second data block. Different from Step 3, considering the overlapping effect of the first data block, the optimal phase factor in the second data block is selected as:
where is the phase factor for , the number of sub-blocks is , and is the first optimal data block signal. It is clear that the optimum phase factor in the second data block is based on the idea of minimizing the signal power between the first and second data block signals.
Step 5: Consider the effects of the previous two data blocks when calculating the third data block optimal phase rotation factor. Therefore, the optimal phase factor in the third data block is selected as:
In this way, the influence of multiple adjacent data block signals is taken into account. Based on the above idea, the minimized PAPR segment signal can be obtained.
Step 6: Obtain the minimized PAPR segment signals with the above steps.The final PAPR reduction signal can be given as:
where the superscript of represents the number of segments. In Figure 3, the block diagram of the proposed scheme is given, and the flow chart of the proposed scheme is shown in Figure 4.
Figure 3.
The block diagram of the proposed scheme.
Figure 4.
The flow chart of the proposed scheme.
5. Simulation Results
In this Section, the simulations are given to verify the analysis. The performance of the proposed method versus the traditional SLM, PTS, and simple SLM-PTS schemes are discussed. The physical layer for dynamic spectrum access and cognitive radio (PHYDYAS) filter is adopted in simulations. The complementary cumulative distribution function (CCDF) is used to measure the PAPR reduction performance. The bit error rate (BER) performance comparisons of the proposed method, the traditional SLM, PTS, and simple SLM-PTS methods are also given. The different conditions, including different numbers of phase sequences, different numbers of sub-blocks, and different numbers of data blocks, are considered for simulations. The detailed values of simulation parameters are shown in Table 1.
Table 1.
Simulation parameters.
Figure 5 depicts the peak-canceling signals of the proposed scheme, traditional SLM and PTS scheme, simple SLM-PTS hybrid scheme versus original signals. It can be seen that the peak powers of the signal appear at several points, and most of the remaining points have lower power. The results show that the proposed method can effectively reduce the peak power of the signal, compared to the two traditional SLM, PTS and simple SLM-PTS hybrid schemes.
Figure 5.
The peak-canceling signals with four PAPR reduction methods (i.e., the proposed method, the SLM, PTS and SLM-PTS methods) versus the original signal.
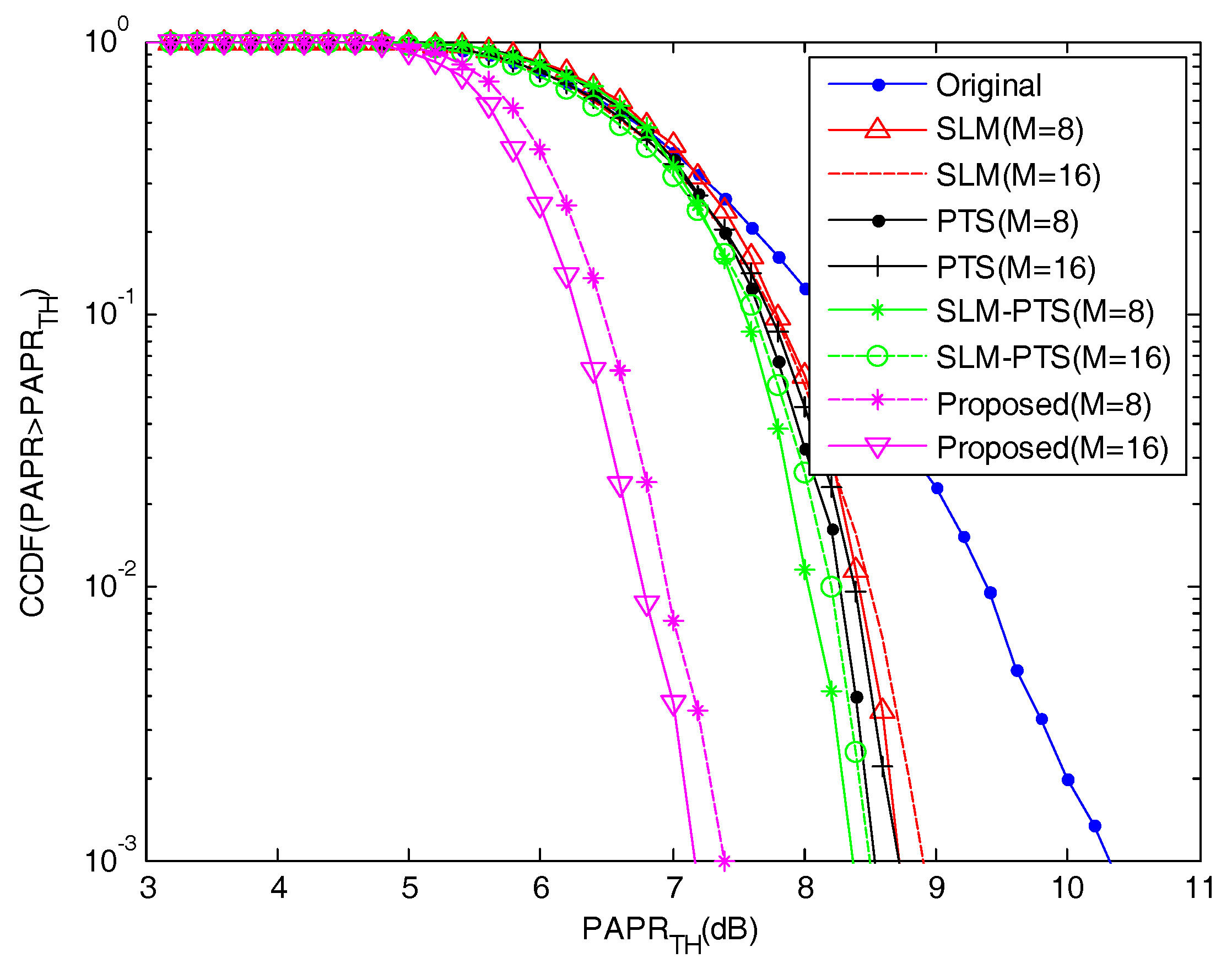
Figure 6 gives the PAPR reductions of the proposed method and the other three methods with M = 16, U = 4 and V = 4. The curve “original” denotes the CCDF of FBMC/OQAM signal without any PAPR reduction. When , it can be found that traditional SLM scheme can reduce the signal PAPR by about 1.3 dB, the traditional PTS scheme can reduce the signal PAPR by about 1.6 dB, the simple SLM-PTS hybrid scheme can reduce the signal PAPR by about 1.8 dB, and the proposed method can reduce the signal PAPR by about 3.2 dB. The traditional PTS scheme outperforms the traditional SLM scheme in FBMC/OQAM systems. Obviously, these two conventional PAPR reduction solutions cannot effectively reduce the PAPR of FBMC/OQAM signals. The SLM-PTS scheme provides a slightly better performance than the SLM and PTS schemes. The proposed method can achieve a PAPR improvement of 1.4 dB compared to the SLM-PTS scheme. This indicates that the proposed hybrid method based on the overlapping effect of adjacent data blocks can significantly reduce the PAPR.
Figure 6.
PAPR reductions by using the proposed method, the SLM, PTS and SLM-PTS methods with M = 16, U = 4 and V = 4.
In the subsequent simulations, i focus on the PAPR reductions of the proposed method with different numbers of sub-blocks, different numbers of phase sequences and different numbers of data blocks. Moreover, the PAPR performances of the SLM-PTS and proposed method are also simulated under two different filter banks.
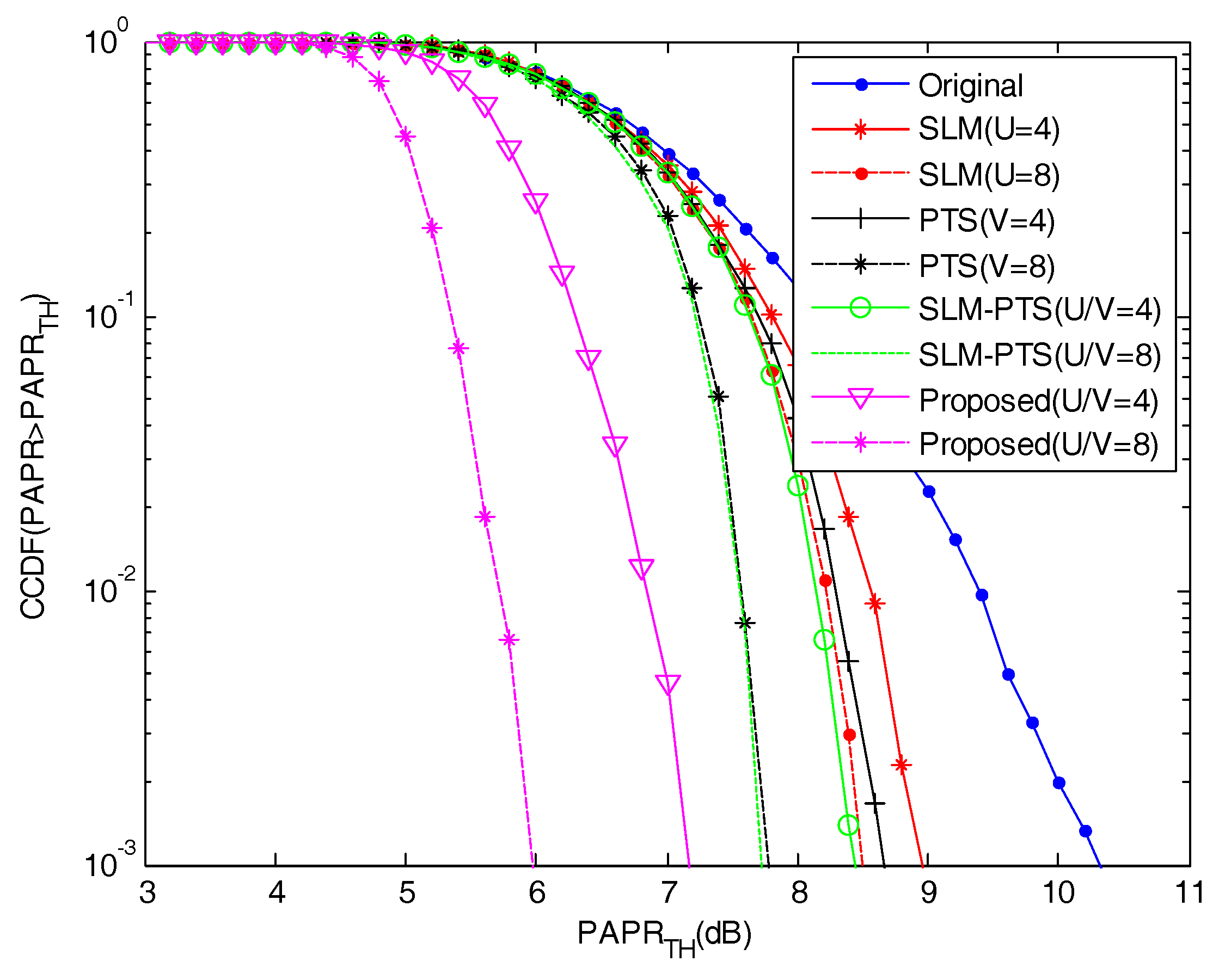
Figure 7 shows PAPR reductions of the four methods with different numbers of phase sequences and different numbers of sub-blocks . It can be found that increasing the number of phase sequences and sub-blocks can improve the PAPR reduction performance. In the SLM, PTS and simple SLM-PTS methods, increasing and from 4 to 8, the performance can improve by about 0.5 dB, 0.9 dB and 0.8 dB, respectively. The proposed method with U = 8 and V = 8 provides the best PAPR reduction performance in the nine curves, and it can achieve a 1.2 dB performance improvement compared with the proposed method with U = 4 and V = 4, when is considered. It is worth noting that increasing the numbers of and can significantly improve the performance of PAPR reduction, but it also brings the impact of increased computational complexity.
Figure 7.
PAPR reductions by using the proposed method, the SLM, PTS and SLM-PTS methods with different numbers of U and V.
In Figure 8, the PAPR reductions of the four methods with different numbers of data blocks are given, where U = 4 and V = 4. In SLM, PTS and simple SLM-PTS methods, the fewer data blocks scheme has a better performance of PAPR reduction. This is because that the greater the number of data blocks in the FBMC/OQAM signal, the greater the effect of signal overlapping. However, the more data blocks scheme outperforms the fewer data blocks scheme in the proposed method. The proposed method takes into account of the overlapping effects of multiple adjacent data blocks, so more data blocks do not lead to PAPR performance degradation.
Figure 8.
PAPR reductions by using the proposed method, the SLM, PTS and SLM-PTS methods with different numbers of data blocks.
The PAPR reduction performances of the SLM-PTS and proposed methods with two classical filter banks are shown in Figure 9. The two classical filter banks are PHYDYA and square root raised cosine (SRRC) filter. In the SRRC filter bank, the roll-off factor is one, and the length of filter is . We can find that, when the same PAPR reduction scheme is used, the FBMC/OQAM system with SRRC can provide a slightly better performance of PAPR reduction than the FBMC/OQAM system with PHYDYAS. This may be due to the fact that SRRC has a better time-frequency characteristic, the overlapped structure has a weaker effect on the PAPR reduction of the SRRC filter bank.
Figure 9.
PAPR reductions by using the SLM-PTS and proposed methods with two different filter banks.
Figure 10 shows the BER comparisons of the four methods over the multipath channel with M = 16, U = 4 and V = 4 (i.e., the Pedestrian A (PA)). The channel model is four multipaths with delays of 0, 110, 190 and 410 ns, respectively, and relative powers of 0, –9.7, –19.2 and –22.8 dB, respectively. In the condition of the same signal noise ratio (SNR), the BER of original signal is the lowest, the BER of PTS method is slightly better than that of the SLM method. When , the SNR of proposed method increases by about 0.7 dB compared to the SLM-PTS method, increases by about 1.3 dB compared to the PTS method, and increases by about 1.4 dB compared to the SLM method. The proposed method outperforms the other three methods.
Figure 10.
BER performance comparisons between the proposed method, the SLM, PTS and SLM-PTS methods over the Pedestrian A (PA) channel.
As show in the simulation results, it can be verified that the proposed hybrid scheme has improved the PAPR reduction performance when compared with the two conventional schemes in FBMC/OQAM systems. The superiority of this method is due to the fact that the overlapped data block structure is considered in the joint PAPR reduction process. By reducing the peak of the overlapping signals, a better PAPR reduction effect can be achieved.
6. Conclusions
In this paper, an effective hybrid PAPR reduction scheme has been proposed. The proposed method is not simply a combination of SLM and PTS. In the proposed method, the initial PAPR signal is obtained by the SLM process with the selection of corresponding phase sequences. Then, the initial PAPR reduction signal passes through the modified PTS scheme, where the effect of multiple adjacent data blocks is considered in the following PAPR reduction process. From simulation results, it can be obtained that the proposed scheme can offer a better performance than the traditional SLM, PTS and SLMPTS schemes, and it is effective for PAPR reduction of FBMC/OQAM signals.
Funding
This work was supported by Jiangxi Provincial Education Office Science and Technology Project (grant number: GJJ170915), and the National Natural Science Foundation of China (grant number: 61701144).
Acknowledgments
The author would like to thank the editor and the anonymous reviewers for their valuable comments.
Conflicts of Interest
The author declares no conflicts of interest.
References
- Malka, D.; Zalevsky, Z. Multicore Photonic Crystal Fiber Based 1 × 8 Two-Dimensional Intensity Splitters/Couplers. Electromagnetics 2013, 33, 413–420. [Google Scholar] [CrossRef]
- Tamir, S.; Nada, K.; Malka, D. 1 × 4 MMI visible light wavelength demultiplexer based on a GaN slot-waveguide structure. Photonics Nanostruct. Fundam. Appl. 2018, 20, 45–49. [Google Scholar]
- Nikolaevsky, L.; Shchori, T.; Malka, D. Modeling a 1 × 8 MMI Green Light Power Splitter Based on Gallium-Nitride Slot Waveguide Structure. IEEE Photonics Technol. Lett. 2018, 30, 720–723. [Google Scholar] [CrossRef]
- Nissel, R.; Rupp, M. OFDM and FBMC/OQAM in Double-Selective Channels: Calculating the Bit Error Probability. IEEE Commun. Lett. 2017, 21, 1297–1300. [Google Scholar] [CrossRef]
- Zhang, L.; Xiao, P.; Zafar, A.; Quddus, A.U.; Tafazolli, R. FBMC System: An Insight into Doubly Dispersive Channel Impact. IEEE Trans.Veh. Technol. 2017, 66, 3942–3956. [Google Scholar] [CrossRef]
- Khrouf, W.; Siala, F.; Abdelkefi, F. How Much FBMC/OQAM is Better than FBMC/QAM? A Tentative Response Using the POPS Paradigm. Wirel. Commun. Mob. Comput. 2018, 2018, 4637181. [Google Scholar] [CrossRef]
- Banelli, S.; Buzzi, S.; Colavolpe, G.; Modenini, A. Modulation formats and waveforms for 5G networks: Who will be the heir of OFDM? IEEE Signal Process. Mag. 2014, 31, 80–93. [Google Scholar] [CrossRef]
- Nadal, J.; Abdel, C.N.; Baghdadi, A. Low-Complexity Pipelined Architecture for FBMC/OQAM Transmitter. IEEE Trans. Circuits Syst. II 2016, 63, 19–23. [Google Scholar] [CrossRef]
- Chiaraviglio, L.; Amorosi, L.; Blefari, N.; Dell’olmo, P.; Shojafar, M.; Salsano, S. Optimal Management of Reusable Functional Blocks in 5G Superfluid Networks. Int. J. Netw. Manag. 2018, in press. [Google Scholar] [CrossRef]
- Shojafar, M.; Chiaraviglio, L.; Blefari, N.; Salsano, S. P5G: A Bio-Inspired Algorithm for the Superfluid Management of 5G Networks. In Proceedings of the 2017 IEEE Global Communications Conference, Singapore, 4–8 December 2017; pp. 1–5. [Google Scholar]
- Siohan, P.; Siclet, C.; Lacaille, N. Analysis and design of OFDM/OQAM systems based on filterbank theory. IEEE Trans. Signal Process 2002, 50, 1170–1183. [Google Scholar] [CrossRef]
- Sourck, H.S.; Wu, Y.; Bergmans, W.; Sadri, S.; Farhang-Boroujeny, B. Complexity and performance comparison of filter bank multicarrier and OFDM in uplink of multicarrier multiple access networks. IEEE Trans. Signal Process 2011, 59, 1907–1912. [Google Scholar] [CrossRef]
- Xia, Y.J.; Ji, J.W. Low-Complexity Blind Selected Mapping Scheme for Peak-to-Average Power Ratio Reduction in Orthogonal Frequency-Division Multiplexing Systems. Information 2018, 9, 220. [Google Scholar] [CrossRef]
- Qi, X.; Li, Y.; Huang, H. A Low complexity PTS scheme based on tree for PAPR reduction. IEEE Commun. Lett. 2012, 16, 1486–1488. [Google Scholar] [CrossRef]
- Gazor, S.; Alihemmati, R. Tone reservation for OFDM systems by maximizing signal-to-distortion ratio. IEEE Trans. Wirel. Commun. 2012, 11, 762–770. [Google Scholar] [CrossRef]
- Bae, K.; Andrews, J.G.; Powers, E.J. Adaptive active constellation extension algorithm for peak-to-average ratio reduction in OFDM. IEEE Commun. Lett. 2010, 14, 39–41. [Google Scholar] [CrossRef]
- Laabidi, M.; Zayani, R.; Bouallegue, R. A Novel Multi-Block Selective Mapping Scheme for PAPR Reduction in FBMC/OQAM Systems. In Proceedings of the 2015 World Congress on Information Technology and Computer Applications, Hammamet, Tunisia, 11–13 June 2015; pp. 1–5. [Google Scholar]
- Krishna, S.S.; Hmaied, H.; Roviras, D. Reducing the PAPR in FBMC-OQAM systems with low-latency trellis-based SLM technique. EURASIP J. Adv. Signal. Process 2016, 1, 132. [Google Scholar] [CrossRef]
- Panya, J.; Sunisa, S.; Pornpawit, B.; Pisit, B. PAPR Reduction in FBMC-OQAM Signals with Half Complexity of Trellis-based SLM. In Proceedings of the 20th International Conference on Advanced Communications Technology, Chuncheon, Korea, 11–14 February 2018; pp. 1–5. [Google Scholar]
- Zhou, Y.; Jiang, T.; Huag, C.; Cui, S. Peak-to-average power ratio reduction for OFDM/OQAM signals via alternative signal method. IEEE Trans. Veh. Technol. 2014, 63, 494–499. [Google Scholar] [CrossRef]
- Ye, C.; Li, Z.; Jiang, T.; Ni, C.; Qi, Q. PAPR reduction of OQAM-OFDM signals using segmental PTS scheme with low complexity. IEEE Trans. Broadcast. 2014, 60, 141–147. [Google Scholar] [CrossRef]
- Moon, J.H.; Nam, Y.R.; Kim, J.H. PAPR Reduction in the FBMC-OQAM System via Segment-Based Optimization. IEEE Access 2018, 6, 4994–5002. [Google Scholar] [CrossRef]
- Jiang, T.; Ni, C.; Ye, C.; Wu, Y.; Luo, K. A Novel Multi-Block Tone Reservation Scheme for PAPR Reduction in OQAM-OFDM Systems. IEEE Trans. Broadcast. 2015, 61, 717–723. [Google Scholar] [CrossRef]
- Na, D.J.; Choi, K. Low PAPR FBMC. IEEE Trans. Wirel. Commun. 2018, 17, 182–193. [Google Scholar] [CrossRef]
- Vangala, S.; Anuradha, S. Hybrid PAPR reduction scheme with selective mapping and tone reservation for FBMC/OQAM. In Proceedings of the 3rd International Conference on Signal Processing, Communication and Networking, Chennai, India, 26–28 March 2015; pp. 1–5. [Google Scholar]
- Gopal, R.; Patra, S.K. Combining Tone Injection and Companding Techniques for PAPR Reduction of FBMC-OQAM System. In Proceedings of the 2015 Global Conference on Communication Technologies, Thuckalay, India, 23–24 April 2015; pp. 709–713. [Google Scholar]
- Zhao, J.H.; Ni, S.J.; Gong, Y. Peak-to-Average Power Ratio Reduction of FBMC/OQAM Signal Using a Joint Optimization Scheme. IEEE Access 2017, 5, 15810–15819. [Google Scholar] [CrossRef]
- Wang, H.; Wang, X.P.; Xu, L.W.; Du, W.C. Hybrid PAPR Reduction Scheme for FBMC/OQAM Systems Based on Multi Data Block PTS and TR Methods. IEEE Access 2016, 4, 4761–4768. [Google Scholar] [CrossRef]
© 2018 by the author. Licensee MDPI, Basel, Switzerland. This article is an open access article distributed under the terms and conditions of the Creative Commons Attribution (CC BY) license (http://creativecommons.org/licenses/by/4.0/).









