Abstract
Diamond electrodes have long been a well-known candidate in electrochemical analyte detection. Nano- and micro-level modifications on the diamond electrodes can lead to diverse analytical applications. Doping of crystalline diamond allows the fabrication of suitable electrodes towards specific analyte monitoring. In particular, boron-doped diamond (BDD) electrodes have been reported for metal ions, anions, biomolecules, drugs, beverage hazards, pesticides, organic molecules, dyes, growth stimulant, etc., with exceptional performance in discriminations. Therefore, numerous reviews on the diamond electrode-based sensory utilities towards the specified analyte quantifications were published by many researchers. However, reviews on the nanodiamond-based electrodes for metal ions and anions are still not readily available nowadays. To advance the development of diamond electrodes towards the detection of diverse metal ions and anions, it is essential to provide clear and focused information on the diamond electrode synthesis, structure, and electrical properties. This review provides indispensable information on the diamond-based electrodes towards the determination of metal ions and anions.
1. Introduction
Detection and quantification of hazardous pollutants, biomolecules, drugs, herbicides, metal ions, and anions are essential to maintaining environmental sustainability [1,2,3,4,5,6,7,8,9,10,11,12,13]. A number of methods involving organic nanoprobes, covalent–organic frameworks (COFs), metal–organic frameworks (MOFs), metal nanoparticles, hybrid nanomaterials, small molecules, and polymers were engaged in the quantitation of specific analytes [6,7,8,9,10,11,12,13]. On the other end of the spectrum, instrumental tactics, such as inductively coupled plasma mass spectrometry, high-performance liquid chromatography, gas chromatography, atomic absorption spectrometry, electrochemical studies, and immunoassays have been pronounced as the conventional cost-effective approaches [14,15,16,17,18,19,20]. Among them, electrochemical-based detection of specified analyte detection seems to be impressive in terms of its selectivity and sensitivity with lower detection/quantification limits [21,22,23]. Moreover, the majority of the electrochemical assays were attributed to the electrodes employed [24,25,26]. Among those exceptional electrodes, diamond-based electrodes are noteworthy due to their remarkable performances in many analytical studies [27,28]. Moreover, nanodiamond (ND)-based materials and electrodes also possess some unique properties and utilities, as described next.
Diamond, as an unique material with sp3 hybridization, consists of a tetrahedrally connected carbon atomic network and exists in diverse nanostructural forms, such as nanoparticles, graphitized hybrid nanoflakes, nanocrystals, nanowires, etc. [29,30,31,32,33]. Nanodiamonds with nitrogen vacancy center (NV−) or surface modification can be employed in drug delivery, cell tracking/imaging, and sensing studies [34,35,36,37,38]. Similarly, diamond nanoparticle (DNP)-conjugated hybrid materials have also been reported for sensor applications [39,40]. On the other hand, diamond nanomaterials have also been applied for semiconductor applications [41,42,43,44]. For example, self-assembly of surface-modified DNPs led to diamond nanowires (DNWs) formation with distinct transport properties [45,46]. Apart from earlier mentioned applications, nanodiamond-based electrodes were recognized as an exceptional finding with unique electrochemical utilities [47,48,49,50]. In particular, the boron-doped diamond (BDD) electrodes were noted as low-biofouling materials and were engaged in the electrochemical quantification of metal ions, anions, biomolecules, drugs, environmental hazards, pesticides, organic molecules, etc. [27,28,51,52,53,54,55,56,57,58,59,60].
As for the analytical importance of diamond-based electrodes, although many specific reviews are available to describe their analyte detection ranges and detection/quantification limits [51,52,53,54,55,56,57,58,59,60], the majority of the reviews did not discuss and provide clear information on the diamond-based electrode-facilitated detection of metal ions and anions. Therefore, this review discloses details of electrochemical discrimination of metal ions and anions by diamond-based electrodes, as illustrated in Figure 1.
Figure 1.
General representation of electrochemical detection of metal ions and anions by diamond-based electrodes.
2. Diamond-Based Electrodes in Metal Ions Detection
Due to the high polluting effect of metal ions, diamond-based electrodes have been engaged in many heavy metal ions detection and quantification studies, as described in this section. Two decades ago, Ponnuswamy et al. described the consumption of diamond as a quasireference in the electrochemical sensing studies towards heavy metal ions [61], wherein polycrystalline diamond film was firstly prepared on a p-type Si substrate (with (100) crystal orientation; 0.01 Ω cm sheet resistance). Before electrochemical studies, the substrate was treated with 10% HNO3 for 10 min and etched in 4.9% HF for 5 min followed by washing with water. By using diamond as a quasireference electrode in 0.01% HF, the silicon sensor responded to Ag+ from 91 to 910 pM (pM = picomole; 10−12 M). Although this work is impressive, interrogations, such as interference, sensitivity, and real-time applicability still require more attentions. Thereafter, boron-doped diamond/nanodiamond (BDD) electrodes were noted as exciting materials towards Ag+ quantification. For example, Maldonado and coworkers compared the Ag+ sensing effect of planar BDD and disk BDD electrodes via differential pulse anodic stripping voltammetry (DPASV) interrogations [62]. Planar boron-doped nanocrystalline diamond film (3–4 µm thickness) was deposited over the B-doped p-type Si (100; 0.001 Ω cm) substrate via the microwave-assisted chemical vapor deposition (CVD) technique, wherein 10 ppm B-atoms were doped using 0.1% B2H2 diluted in H2 (at a deposition pressure = 35 Torr; micropower of 800 W; flow rates of 2.00 sccm CH4, 2.00 sccm B2H6 diluted in H2 (0.1%), and 196 sccm H2; sccm = standard cubic centimeters per minute). On the other hand, the disk BDD electrode was obtained from the MSU Fraunhofer Center for Coatings and Diamond Technologies. Both planar and disk BDD electrodes were employed in the detection of Ag+ (by DPASV; scan range = 0 to 0.6 V at 40 mV/s scan rate; Ag/AgCl (3M KCl)—reference electrode; graphite rod—counter electrode) which displayed linear ranges between 45.5 Nm–2.3 µM and 9.1–682 nM (µM = micromole; nM = nanomole) and LODs of 31 and 43 nM, respectively, at deposition time of 120 s. Figure 2 shows the DPASV responses of planar/disk BDD at diverse concentrations of Ag+ in in 0.1 mol L−1 acetate buffer (pH 4.6). Judging from the results, the disk BDD electrode seems to be more impressive in terms of its easy fabrication, sensitivity (10.6 ± 0.5 nA L µg−1 (planar BDD) and 3.6 ± 0.7 nA L µg−1 (disk BDD)), and real-time applicability with certified National Institute of Standards and Technology (NIST) solution and National Aeronautics and Space Administration (NASA) water samples.
Figure 2.
Differential pulse anodic stripping voltametric (DPASV) I−E curves for standard solutions (1−250 μg L−1) of Ag(I) in 0.1 mol L−1 acetate buffer (pH 4.6) at (A) planar film and (B) BDD disk electrodes. The deposition potential was −0.3 V and the deposition time was 120 s. The curves were recorded using a pulse amplitude of 0.05 V; a potential step of 0.004 V; a pulse width of 50 ms; and a pulse period of 100 ms. Concentrations are shown as ppb (μg L−1) (reproduced with the permission of [62]).
Recently, a 2000 ppm boron-doped diamond electrode with 0.75 × 10–3 Ω m resistivity was demonstrated for Ag+ ions detection by means of DPASV response [63]. In this report, Ag/AgCl (3M KCl) and platinum were used as reference and counter electrodes, correspondingly. In the presence of 0.1 M HNO3, the highest DPASV signal was observed and feasible detection of silver ions in 0.1 M Na2S2O3 via [Ag(S2O3)2]3− complex formation was proposed. The work displayed a linear response of 1–7 nM with an LOD of 0.2 nM (for 240 s deposition time; deposition potential = −0.18 V; scan range = −0.18 to 0.55 V at a 10 mV s−1 scan rate). Moreover, the suitability of electrode was also demonstrated by spiked real-sample analysis and possible interference studies. Anodic stripping voltammetry (ASV)-based detection of Ag+/Cu2+ and Ag+/Pb2+ was proposed by using diamond/graphite film and BDD, respectively [64,65]. The unique hybrid diamond/graphite nanostructured film electrode displayed a significant ASV response to Ag+ and Cu2+ [64], wherein the deposition potentials of Ag+ and Cu2+ were −0.1 and −0.4 V, respectively, with a 3 min deposition time (scan window: −0.2–0.4 V at 20 mV s−1 scan rate; Pt-wire—counter electrode; Ag/AgCl (3 M KCl) and Ag/Ag+ (0.01 M)—reference electrode in 1 mM [Fe(CN)6]3−/4− in 0.1 M KCl and 1 mM ferrocene in 0.1 M tetra-butylammonium tetrafluoroborate (TBABF4) in CH3CN solution). Note that the sp2/sp3 ratio of hybrid diamond/graphite film plays a vital role in the detection of Ag+ and Cu2+, which has been demonstrated by Raman spectroscopic studies. Figure 3 shows the linear anodic stripping voltammetry (ASV) response of Ag+ and Cu2+ between 0.91 pM–9 nM and 0.16 pM–15.7 nM with LODs of 0.52 and 0.88 pM, correspondingly. Although this work was demonstrated in real tap-water sample analysis, the interference studies were incomplete. On the other hand, information of morphology, optimization, doping concentration, and fabrication details on the BDD electrode-mediated detection of Ag+ and Pb2+ [65] are still insufficient, thereby requiring more attention in validating its efficacy.
Figure 3.
Anodic stripping voltammograms of (a) silver and (c) copper in heavy metal ion detection. The ion concentrations in silver standard solutions are 10, 25, 50, 100, 200, 500, 800, and 1000 ppb. Deposition potential: −0.1 V; deposition time: 3 min. The ion concentrations in copper standard solutions are 10, 25, 50, 100, 250, 500, and 1000 ppb. Deposition potential: −0.4 V; deposition time: 3 min. Calibration plots for Ag+ and Cu2+ are shown in (b) and (d). The error bars correspond to the standard deviation are obtained from five measurements (n = 5). (e) The simultaneous determination of silver and copper ions in aqueous solutions. The scan rate is 20 mV s−1 (reproduced with the permission of [64]).
Detection and quantification of As3+ were demonstrated using iridium-implanted/modified BDD and Au/AuNPs-coated BDD electrodes [66,67,68,69,70]. Ivandini et al. applied the iridium-implanted BDD (Ir-BDD; B/ C = 1:100, implanted with 800-keV Ir+ with a dose of 1015 cm−2) electrode for effective detection of As3+ via amperometric and flow injection analysis [66]. The Ir-BDD electrode showed catalytic activity to As3+ (potential window = −0.8 to + 1.0 V; Ag/AgCl/1 M LiCl as a reference electrode in 0.1 M phosphate buffer) with a linear response from 0.1–100 µM and an LOD of 20 nM. This work was demonstrated by tap water interrogations, but the interference studies were not conducted. Gold-coated BDD (Au-BDD; B atom doped at a concentration of 1020 cm−3 with resistivity of 0.01 Ω cm) electrode was utilized in determination of As3+ ions via DPASV responses [67]. Herein, Ag/AgCl and graphite rods acted as reference and counter electrodes, respectively, in 1 M HCl electrolyte. Na2SO3 was initially added to reduce the As5+ to As3+, which induced the electrochemical response. The optimum deposition potential for As3+ was −0.15 V (potential window = −0.1 to 0.5 V) with a linear response between 0.133–534 pM and an LOD of 0.067 pM. The interference effect of Cu2+ was established along with real samples investigations. Based on LOD and applicability, it can be accounted as an impressive work, but information on measurements and sensitivity details are still missing.
Electrodeposited gold nanoparticles on a boron-doped diamond (AuNP/BDD; AuNP size = 70–90 nm) electrode was fabricated for discrimination of As3+ by means of square wave anodic stripping voltammetry (SWASV) response [68]. By using thiosulfate in 1.0 mol L−1 HCl, the As5+ cation was reduced to As3+, which gave an SWASV response in a potential window of −0.25 and 0.35 V (screen-printed carbon and Ag/AgCl were used as counter and reference electrodes, respectively) with the best result at approximately 0.05 V. The SWASV response of As3+ on the AuNP/BDD electrode using a multistep paper-based analytical device (mPAD) displayed a linear response between 1.33–20 nM with an LOD of 13.35 nM. This work was verified by interference study with Cu2+ and also engaged in determination of As3+ in rice samples. The obtained results agreed with that of the inductively coupled plasma-optical emission spectroscopy (ICP-OES) data. Apart from the lack of information on the B-atom concentrations, this mPAD device showed excellent performance in terms of its applicability and LODs. Shortly after, Fauzillah et al. also reported utilization of AuNPs–BDD electrodes (B/C = 104 ppm; Ag/AgCl and Pt-wire act as referenced and counter electrodes, correspondingly, in 0.1 M HCl electrolyte) for quantitation of As3+ by anodic stripping voltammetry (ASV; potential window = −0.1 to 0.8 V; deposition potential = −500 mV and deposition time = 120 s) responses [69], wherein the AuNPs (size = 29 ± 5 nm) applied on the BDD electrode were synthesized by engaging allyl to conjugate to BDD. The AuNPs–BDD electrode displayed a linear response from 0–100 µM with an LOD of 64 nM; however, this report lacked mechanistic aspect, real-time applicability, and interference studies.
Other than the iridium-implanted BDD [66], stable iridium-modified boron-doped diamond (stable Ir-BDD; B/C = 0.1%) electrode was also employed in the detection of As3+ [70]. The catalytic arsenic oxidation by the electrodeposited Ir particles is described as follows.
Ir4+ (reduced state) → Ir6+ (oxidized state)
Ir6+ (oxidized state) + As3+ → Ir4+ (reduced state) + As5+
In Equations (1) and (2), the stable Ir-BDD displays a linear cyclic voltammetry (CV) response (potential window = −0.1–1 V; spiral Pt and Ag/AgCl acted as counter and reference electrodes, respectively, in phosphate buffer at pH 3; scan rate 50 mV s−1) to As3+ between 0–100 µM with an LOD of 4.64 µM, as shown in Figure 4. It can be stated as nice work in terms of its interference study with Cu2+ and investigations in real water samples.
Figure 4.
(a) CV responses of different concentrations of arsenic (III) in phosphate buffer solution pH 3; scan rate 50 mV s−1 at Ir-BDD prepared using complete step deposition. (b) Graph depicts the dependence of current responses on arsenic (III) concentrations (reproduced with the permission of [70]).
Sugitani and coworkers described the utilization of BDD electrode (B/C = 1%) for electrochemical quantification of Cd2+ via the ASV response (scan range = −0.9–0.5 V; Pt-wire and Ag/AgCl acted as counter and reference electrodes, correspondingly, in 0.1 M HClO4) [71]. The depletion potential for Cd2+ was found at −0.3 V at 5 min deposition time with a linear response between 0–0.1 mM and an LOD of 3.94 nM. This work studied the interference from Cu2+, but more interrogations in real-time applications are still required. Zhang et al. demonstrated the consumption of BDD electrode with an 8000 ppm B atom doping concentration towards Cd2+ detection by means of SWASV responses (potential window = −1.0–0.0 V; saturated calomel electrode (SCE) and Pt-wire acted as reference and counter electrodes in 0.1 M HAc-NaAc buffer solution at pH 4.67; deposition potential = −1.4 V; deposition time = 500 s; scan rate = 50 mV s−1) [72]. The electrode showed a linear response from 0.18–2.17 µM with an LOD of 8.8 nM. Note that the interference effect was negligible with other metallic species and the results were reproducible with real samples and were comparable with other electrodes, thereby can be accounted an impressive work.
Thereafter, Innuphat et al. demonstrated the use of 4-aminomethyl benzoic acid modified BDD electrode for determination of Cd2+ via SWASV responses (potential window = −0.2 to −1.0 V; Ag/AgCl and Pt were used as reference and counter electrodes in acetate buffer at pH 6; deposition potential = −0.72 V; deposition time = 6 min; scan rate = 100 mV s−1) [73]. The diazonium salt was formed and grafted over the BDD electrode by the amino group of 4-aminomethyl benzoic acid in the electrochemical cell, which played the mechanistic role of detecting Cd2+. The electrode displayed a linear response to Cd2+ from 18 to 445 pM with an LOD of 1.8 pM and was effective in the presence of interfering ions. Applicability of the detection process in real and NIST samples agreed with the ICP-OES analysis, which was noted as an added advantage, but the doping level of B atom must be clarified before commercialization.
The fabricated BDD electrodes can be applied in multiple analyte detection, such as neurotransmitter and heavy metal ions, as demonstrated by Nantaphol and coworkers [74], wherein the BDD (B atoms at 1020–1021 cm−3 concentration) paste electrode coupled with a microfluidic paper-based analytical device (μPADs) was employed in detection of serotonin and norepinephrine as well as Cd2+ and Pb2+. By means of SWASV responses (potential window = −1.1 to 0.5 V; Ag/AgCl on a transparency sheet used as a conducting pad in in 0.1 M acetate buffer (pH 4.5)), both Cd2+ and Pb2+ detections were conducted. On the other hand, serotonin and norepinephrine detections were conducted by CV studies. Linear responses for Cd2+ and Pb2+ were established as 8.9 pM–1.78 nM and 4.83 pM–0.965 nM with LODs of 0.22 nM and 4.83 pM, respectively. In terms of the interference and drinking water studies, this design was exceptional. Pei et al. proposed the replacement of mercury film electrode by BDD with B/C ratio of 2.4% towards simultaneous detection of Cd2+ and Pb2+ [75], wherein the sensing effect of hydrogen-terminated electrode (H-BDD) and oxygen-terminated electrode (O-BDD) was demonstrated by SWASV studies (scan range = +0.8 to −0.8 V; SCE and Pt were used as reference and counter electrodes; enrichment time of 200 s; scan speed 50 mV s−1; NaAc-HAc buffer at pH 4.68). The H-BDD showed greater sensitivity to Cd2+ and Pb2+ with linear correlations of 0.05–4 µM and 0.05–8 µM and LODs of 30.16 and 17.47 nM, respectively. Moreover, the spike recovery investigations also authenticated the suitability of the electrode.
To this track, diverse structured and graphitized BDD electrodes (as grown-BDD, BDD nanotips, small and larger nanorods) were engaged in determination of Cd2+ and Pb2+ by Štenclová and coworkers [76]. This report discussed the importance of structural and sp2 graphitic shells in the detection process by DPASV responses (scan window = −1.0 to 0.1 V; Ag/AgCl and Pt-wire as reference and counter electrodes in 0.1 M HCl; accumulation time = 60 s). Based on their results, it was concluded that small nanorods and BDD-nanotips possess the higher electrochemical performance to Cd2+ (DPASV peak at −0.77 to −0.78 V) and Pb2+ (DPASV peak at −0.49 to −0.51 V). In particular, the small-nanorods-structured BDD electrode has a suitable morphology to deliver the separate response to Cd2+ and Pb2+. However, information on linear regression and LODs were not clear enough to authenticate the electrodes performance. In a similar fashion, diamond/carbon nanowalls film (D/CNWs—3%, D/CNWs—5%, D/CNWs—7% and D/CNWs—9%) electrodes were proposed for detection of Cd2+ and Pb2+ through the DPASV responses [77]. The involvement of graphite sp2-C in the electrochemical sensing process was illustrated. Investigations on the D/CNWs—3% electrode (sp2/sp3 ratio = 1.38; scan range = −0.99 to 1.73 V; Ag/AgCl and Pt-wire as the reference and counter electrodes in 0.1 M H2SO4 scan rate = 100 mV s−1) show linear regressions of 0.089–8.9 µM (Cd2+) and 0.048–4.83 µM (Pb2+) with LODs of 89 nM (Cd2+) and 48 nM (Pb2+), respectively, as depicted in Figure 5. Finally, this report establishes the involvement of sp2-C in sensing of Cd2+ and Pb2+, but real-time application and interference studies are still required.
Figure 5.
(a) Differential pulse anodic stripping voltammograms and (b) corresponding calibration plots for simultaneous determination of Cd2+ and Pb2+ with concentrations of 10, 25, 50, 100, 250, 500, 750, and 1000 µg L−1 on D/CNWs—3% electrode. Error bar: n = 3 (reproduced with the permission of [77]).
To quantify the Cr6+, Fierro et al. engaged the BDD electrode (B/C = 0.1%) by linear scan voltammetry (LSV) responses (scan range = 0.6 and −0.3 V; Ag/AgCl and Pt-wire as reference and counter electrodes in 0.1 M HNO3; scan rate = 50 mV s−1) [78]. As seen in Figure 6, a linear response of BDD to Cr6+ is estimated as 0.2–96 nM with an LOD of 0.57 pM. This work was also demonstrated with interference studies, but detection mechanism and real-time application needs to be updated.
Figure 6.
(A) Linear scan voltammograms of Cr6+ (concentration range between 500 ppb and 5 ppm) in 0.1 M HNO3 recorded on a BDD electrode at 50 mV s−1 and between 0.6 and −0.3 V vs. Ag/AgCl sat. T = 23 °C. (B) Chromium detection calibration curve: the peak current density reported in (A) was plotted as a function of Cr6+ concentration (slope: −3.41 × 10−3 ± 3 × 10−5, y-intercept: −4.8 × 10−4 ± 9 × 10−5, r2: 0.999) (reproduced with the permission of [78]).
Recently, cathodically pretreated AuNPs–BDD electrode (AuNPs size was unclear) was utilized in electrochemical detection of Cr6+ by Xu and coworkers [79]. Square wave cathodic stripping voltammetry (SWCSV) responses of the AuNPs–BDD electrode to Cr6+ (scan range = 0.6 to 0 V; Ag/AgCl and Pt-wire as the reference and counter electrodes in 0.1 M sodium acetate buffer at pH 6; AuNPs deposition time 300 s; scan rate = 50 mV s−1) showed a linear response from 0.193 to 19.3 µM and an LOD of 22.91 nM. The AuNPs-enhanced adsorption of Cr6+ over the electrode undergoes reduction to produce Cr3+, as shown in Figure 7, which results in the electrochemical response. This was also demonstrated with interference effects, real sample analysis, and was comparable to other existing electrodes.
Figure 7.
Working principle of Cr (VI) detection by gold nanoparticles (AuNPs)–boron-doped diamond (BDD) electrode (reproduced with the permission of [79]).
Nie et al. described the detection of Cu2+ and proposed marine corrosion monitoring by using the BDD disk electrode (B atom at 2000 ppm doping level) [80]. In the presence of Cu2+, the BDD electrode displayed a linear differential pulse voltammetry (DPV) response (scan range = −0.1 to 0.8 V; Ag/AgCl and graphite rod as reference and counter electrodes in 0.6 M NaCl; scan rate = 10 mV s−1) from 10 µM–100 mM with an LOD of 10 µM. During the detection process, the Cu2+ reduced to Cu+ and resulted in electrochemical response. The apparent rate constant for the Cu2+/Cu+ redox process (quasireversible process) in chloride electrolyte was estimated as 0.94 × 10−6 cm s−1. Therefore, it can be used for scrutinization of marine corrosion samples. Moreover, this electrode shows negligible interference with other ions; therefore, it is reliable for Cu2+ detection.
The BDD electrode was also engaged in detecting toxic Hg2+, as detailed next. Manivannan et al. utilized the BDD electrode to discriminate Hg2+ via DPV responses (scan range = −0.1 to 0.5 V; SCE and Pt- reference and counter electrodes in 0.1 M KNO3 (pH 1); deposition time = 20 min), which showed a linear response of 10 nM–0 µM with an LOD of 68 nM [81]. However, this work lacks interference and real analysis; therefore, it can be noted as a preliminary study. Thereafter, McLaughlin and coworkers demonstrated the use of AuNP-decorated BDD (B atoms at 1020 cm−3 doping concentration) towards detection of Hg2+ via SWASV responses and stripping voltammetry-based electron impedance spectroscopic (EIS) studies [82,83]. The SWASV response of AuNPs–BDD to Hg2+ (scan range = 0.35 to 1.1 V; Ag/AgCl and Pt-wire as the reference and counter electrodes in 3M KCl; scan rate = 2.5 mV s−1) displayed a linear response from 0.5–100 µM with an LOD of 5 µM [82]. On the other hand, the SWASV-based EIS studies under the similar condition displayed a wide linear regression from 1 pM to 1 mM [83]. In both reports, authors explained the role of the AuNPs in different sizes (22 nm and 30 nm, respectively) and the sp2/sp3 carbon ratios in the enhanced response to Hg2+. It was concluded that the fabricated electrode was able to detect Hg2+ even at picomolar level.
The BDD electrode (1020 cm−3 doping of B atom)-mediated quantification of Ni2+ in neutral or acidic media was justified by Neodo and coworkers [84] wherein the BDD shows a linear DPV response (scan = −1.1 to 1.3 V; range = Ag/AgCl and Pt-wire as reference and counter electrodes in phosphate or 0.6 M NaCl; deposition potential of Ni2+ = 30 s; scan rate = 10 mV s−1) from 10–500 µM with an LOD of 26.1 µM in the presence of Ni2+. This work provided valuable information in the interference and cleaning process, but the real-time applications were still missing. Musyarofah’s and Yuliani’s research groups proposed the determination of Ni2+/Ni(OH)2 NPs by using BDD electrodes in separated reports, wherein the BDD exhibited linear ASV responses (Ag/AgCl and Pt-wire as the reference and counter electrodes in 0.1 M PBS/0.1 M HClO4 at pH 3; deposition time of 300 s/90 s; scan rate = 100 mV s−1) between 5–25 mM (in both reports) with LODs of 5.73 and 0.42 µM, respectively [85,86]. Both reports did not disclose information on the B-doping level, interference, and real analysis.
Detection of Pb2+ was also demonstrated with the BDD electrodes, as described in many reports [87,88,89,90]. Those BDD electrodes (Ag/AgCl or SCE and Pt-wire/coil act as the reference and counter electrodes) have revealed the B/C ratio-induced linear SWASV responses and LODs at nanomolar/picomolar levels. In particular, Pei et al. reported the utility of self-supported boron-doped diamond (SBDD) electrode towards Pb2+ quantification [90]. The double side effect of B/C ratio on the electrochemical performance of SBDD was also discussed in this report. As shown in Figure 8, amount of both B–sp3–C phase and D(111) grains are found to be greater at a B/C ratio of 1/500 (Stage II); therefore, the number of active sites present in the SBDD electrode are increased to adsorb Pb2+ as a result of higher sensor responses. On the other hand, the sensory responses were not significant due to lack of the electron injection at B/C ratios of 1/2500 (Stage I) and 1/250 (Stage III). By means of square wave anodic stripping voltammetry (SWASV between −0.1 V to −0.5 V; SCE and Pt were used as reference and counter electrodes in 0.1 M Na2SO4 at pH 4.68; between 225–300 s, Pb2+ accumulation on SBDD was found to be higher), a linear response of SBDD to Pb2+ was established from 15–362 nM with an LOD of 3.38 nM. Note that the SBDD electrode displayed sensitivity of 0.42 μA L μg−1 cm−2, thereby becoming an unique material in electrochemical sensing research. This work demonstrates the importance of B–sp3–C phase and electrode grain morphology in electroanalytical studies, but real-time applications are still missing.
Figure 8.
Schematic of the influence mechanism of B/C ratio on the detection performance of SBDD electrode for Pb2+ (reproduced with the permission of [90]).
One-dimensional, nitrogen-doped diamond nanorods (N-DNRs) and unmodified BDD (B = 8000 ppm) were engaged in the discrimination of Pb2+/Cd2+ and Pb2+/Cu2+, respectively [91,92]. The N-DNRs-based electrode revealed linear SWASV responses (Ag/AgCl and Pt-wire as reference and counter electrodes in acidic media) from 50 nM to 1 µM and 10 nM to 1.1 µM with LODs of 50 and 10 nM for Pb2+ and Cd2+, correspondingly. The enhanced electrochemical response was attributed to the improved electrical conductivity in the grain boundary regions by the sp2 nanographitic phases. On the one hand, the unmodified BDD electrode was engaged in simultaneous detection of Pb2+ and Cu2+ via the SWASV responses (scan range = + 0.20 to −1.20 V; SCE and Pt as the reference and counter electrodes; 210 s (deposition time)), which showed linear range of 30–180 nM (for both Pb2+ and Cu2+) with LODs of 27 and 4 nM, correspondingly [65]. Note that this electrode displays good responses over many interferences and is also applied in biodiesel studies.
Voltametric determination of Sb3+ was demonstrated by the cathodically pretreated BDD electrode (B = 1000 ppm or 1020 cm−3) via eliminating interfering effect of As3+ by using NaH2PO4 as the supporting electrolyte and EDTA as the selective complexing agent for Sb3+ [93]. As shown in Figure 9, the BDD electrode shows a linear DPASV response (Ag/AgCl and Pt as the reference and counter electrodes in 6 M HClO4; deposition potential = −1 V; deposition time = 240 s) from 2.44 to 7.31 µM with an LOD of 108 nM. Based on the interference and real analysis, this work is considered remarkable.
Figure 9.
(A): Differential pulse anodic stripping voltammograms for 1 µL of 2.034 ×10−2 mol L−1 SbCl3 additions in 6 mol L−1 HClO4. Concentrations of Sb3+: (0) 0, (1) 2.44 × 10−6, (2) 3.25 × 10−6, (3) 4.07 ×10−6, (4) 4.88 × 10−6, (5) 5.69 × 10−6, (6) 6.50 × 10−6, and (7) 7.31 × 10−6 mol L−1 of Sb3+ on BDD electrode. Parameters: scan rate 25 mV s−1, modulation amplitude 40 mV, modulation time 50 s, deposition potential −1 V vs. Ag /AgCl and deposition time 240 s (B): Calibration curve for this experiment. Linearity was verified by F-test (reproduced with the permission of ref [93]).
Electrochemical discrimination of Zn2+ by the BDD electrode was authenticated by Culková and coworkers [94]. The electrode displayed a linear DPASV response (scan range = −1.1 to −1.7 V; Ag/AgCl and Pt-wire as the reference and counter electrodes in 0.1 M KCl; deposition time = 120 s) from 0.5 nM–5 µM with an LOD of 0.47 nM. This work delivered important information in the linear regression, interference, and rubber industry samples analysis.
Simultaneous quantitation of three (and more) heavy metal ions were demonstrated by many nanodiamond-based electrodes, such as nanocrystalline diamond (NCD), polyphenol–polyvinyl chloride-modified boron-doped diamond (PVC-BDD), boron-doped nanocrystalline diamond (BD-NCD), boron-doped diamond (BDD), bismuth-modified BDD, and diamond/graphite nanoplatelets electrodes, via LSV, ASV, DPASV, and SWASV responses [95,96,97,98,99,100,101,102,103]. Note that the electrochemical performances of those electrodes are attributed to the graphitic phase generation and sp2/sp3 ratio-tuned conductivity enhancement. In all of the studies, either Ag/AgCl or SCE and Pt or graphite rods were utilized as the reference and counter electrodes at suitable pH values. The BDD electrodes displayed exceptional results in simultaneous detection of multiple metal ions. In particular, the bismuth-modified BDD electrode [97] reveals simultaneous SWASV responses to Zn2+, Cd2+, and Pb2+, as shown in Figure 10. It indicates that the B atomic concentration and surface morphology play vital roles in the electrochemical investigations.
Figure 10.
Square wave voltammograms for different additions of heavy metals with related calibration lines (electrode: CH4/H2 = 1%, CB-C = 15,000 ppm, c (Bi) = 10 μg/L, (a) c (Me) = 1 μg/L, (b) c (Me) = 3 μg/L, (c) c (Me) = 5 μg/L, (d) c (Me) = 7 μg/L, (e) c (Me) = 10 μg/L) (reproduced with the permission of [97]).
Thereafter, Zhai et al. engaged the diamond/graphite nanoplatelets electrode for simultaneous quantification of Zn2+, Cd2+, Pb2+, and Cu2+ via improved conductivity by introducing graphitic shells into the diamond phase [103]. The diamond/graphite nanoplatelets electrode shows exceptional simultaneous linear responses to Zn2+, Cd2+, Pb2+, and Cu2+, as seen in Figure 11. Many of the electrodes are able to simultaneously detect multiple ions but with certain complications. Thus, careful optimization becomes essential. Table 1 summarizes the doping concentrations of specific atoms, methods of detection, linear regressions, and LODs of nanodiamond-based electrodes towards metal ions [62,63,64,65,66,67,68,69,70,71,72,73,74,75,76,77,78,79,80,81,82,83,84,85,86,87,88,89,90,91,92,93,94,95,96,97,98,99,100,101,102,103].
Figure 11.
(a) Differential pulse anodic stripping voltammetry and (b) corresponding calibration plots for simultaneous analysis of Zn2+, Cd2+, Pb2+, and Cu2+ obtained on a D/G nanoplatelets film electrode. Error bar: n = 3 (reproduced with the permission of [103]).
Table 1.
Summary of diamond-based electrodes in the detection of metal ions.
3. Diamond-Based Electrodes in Anions Discrimination
Due to the environmental issue, detection and quantification of specific anions by diamond-based electrodes are also described in this section. Xu and coworkers demonstrated the irreversible oxidation of azide (N3−) anion at the BDD-thin film electrode (B at 1 × 1019 cm−3 concentration) and made comparisons with the glassy carbon electrode [104], wherein the following oxidation reaction leads to the electrochemical signal:
2N3− → 3N2 + 2e
The BDD electrode displayed responses to N3− via LSV, DPV, and flow injection analysis (SCE and Pt-wire as reference and counter electrodes in 0.1 M phosphate buffer at pH 7.2; scan rate = 50 or 100 mV s−1) with a linear response from 3.3 mM–0.30 µM and an LOD of 8 nM. It is a pioneer work towards N3− quantitation. To quantify the peroxide (O22−) anion, Pt-implanted and Prussian blue-modified BDD electrodes (Pt-BDD and BDD/PB) were engaged in the electrochemical assay of hydrogen peroxide (H2O2) via CV and flow injection analysis [105,106]. The BDD (B/C = 1:100) electrode was implanted with 50 keV Pt2+ with a dose of 5 × 1014 cm−2. By using Ag/AgCl and Pt-wire as the reference and counter electrodes in 0.1 M phosphate buffer at pH 7, the H2O2 oxidation at Pt-BDD was compared with Pt electrode [105], wherein the BDD electrode showed a linear response to H2O2 from 0.1 to 10 µM with an LOD of 30 nM and was applicable in flow injection analysis. Next, the Prussian blue was electrodeposited over H-terminated BDD electrode to form the BDD/PB electrode, which showed sensitivity of 0.14 A M−1 cm−2 to H2O2 (Ag/AgCl and Pt-wire or graphite rod acted as the reference and counter electrodes in 0.05 M phosphate buffer at pH 6). The results were superior compared to the conventional graphite-based electrode [106]. With respect to sensitivity and applicability, both reports are inspiring towards biological studies. In this course, the BDD electrode was also reported for in situ production of coreactant H2O2 in carbonate (CO32−) aqueous solution by Einaga et al. [107], wherein the H2O2 production was demonstrated through chemiluminescence signal.
The diamond paste electrode was utilized as a reliable technique towards the electrochemical assay of iodide (I−) anion [108]. The diamond paste electrode displayed a linear DPV response (potential range = +0.5 to −0.7 V; Ag/AgCl (in 0.1 M KCl) and Pt acted as reference and counter electrodes; scan rate = 25 mV s−1) between pM to nM with an LOD at subnanomolar level. Although this work showed applicability in vitamins and table salt, many details on interference and other data are missing. Fierro and coworkers demonstrated the use of BDD (0.1% wt B atom) electrode for the quantitation of I2 and I− in 1 M NaClO4 (pH 8) solution [109]. The I− from KI solution in BDD electrode underwent oxidation to form I2 and then was further oxidized to iodate (IO3−) ions, but this technique is applicable to I− and I2 detection only. From the CV measurements (potential range = 0 to 2.5 V; Ag/AgCl and Pt-wire were used as the reference and counter electrodes in 1 M NaClO4 at pH 8; scan rate = 100 mV s−1), linear responses for I−/I2 were found between 0–1.2 mM/0–0.6 mM with LODs of 10 µM/20 µM. This is a unique work, but further updates on the interference and real-time applications are still required. The BDD electrode was also employed for indirect estimation of fluoride (F−) anion via the formation of electrode-mediated electroinactive fluoride complexes {[FeF6]3− and [CeF6]2−} with Fe3+ and Ce6+ [110]. Drinking water containing F− was investigated by the BDD electrode in the mixture of 1 mM FeCl3 in 0.2 M NaCl or 1 mM Ce(SO4)2 in o.1 M H2SO4. The reactions led to the electrode-mediated complex formation, as represented below.
Fe3+ + 6F− → [FeF6]3−
Ce4+ + 6F− → [CeF6]2−
From LSV and square wave voltammetry (SWV) responses (Ag/AgCl and Pt as the reference and counter electrodes), the LODs for F− estimation via [FeF6]3− and [CeF6]2− complexes were calculated as 5 µM and 0.6 µM, correspondingly. This is a good research report, which utilizes the Fe3+/Fe2+ and Ce4+/Ce3+ redox process for detection of F−.
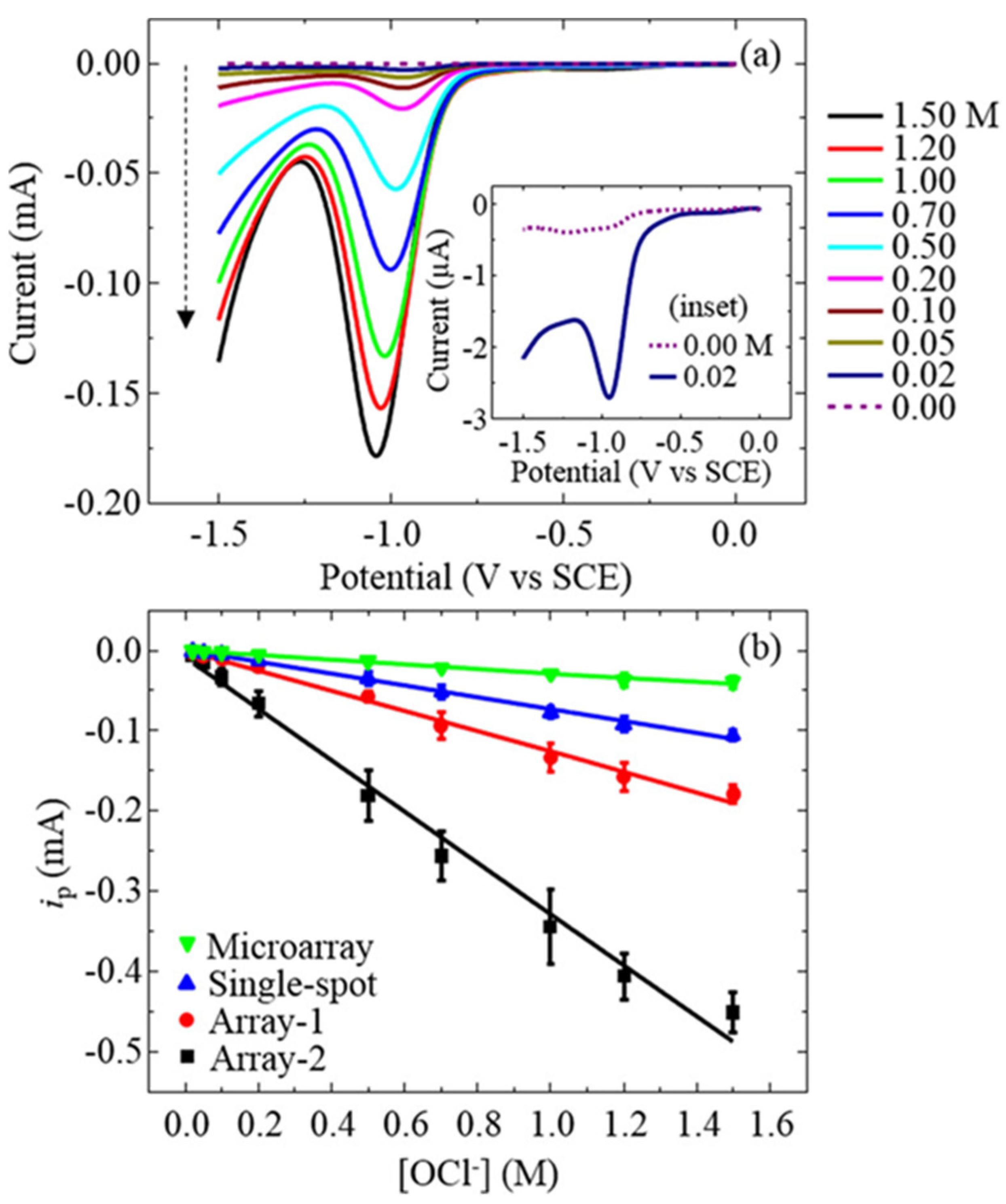
Thereafter, Lucio et al. disclosed the use of sp2 carbon-inserted BDD electrodes in quantification of hypochlorite (OCl−) [111,112] and in estimation of chloride ions. As seen in Figure 12, the sp2 carbon-inserted BDD electrode (B = 1020 atoms cm−3) shows a linear SWV response (SCE and coiled Pt-wire as the reference and counter electrodes; scan rate = 40 mV s−1) from 0 to 1.50 M for chloride estimation [111]. The sp2-BDD electrode was effective for OCl− detection in pH range from 4 to 10. On the one hand, the sp2-bonded carbon microspot-BDD (b = 1020 atoms cm−3) electrode [112] is utilized in the voltametric (by LSV and SWV signals) detection (SCE and Pt as the reference and counter electrodes) of both OCl− and pH, as represented in Figure 13. Moreover, these two reports clearly demonstrate the use of sp2 graphitic shells-inserted BDD electrode towards OCl− and Cl2 quantitation at pH 4–10.
Figure 12.
(a) Representative SWVs for the full concentration range (0.00−1.50 M OCl−) using the array-1 electrode. The insets show the lowest concentrations examined. The dashed arrow points toward increasing OCl− concentrations. The SWV data is collected at 40 Hz with a perturbation amplitude of 0.05 V and data collection every 0.001 V (i.e., the effective scan rate is 0.04 V s−1). (b) Background-subtracted peak currents from SWV data for all electrodes as a function of [OCl−]. Error bars represent the sample standard deviation from n ≥ 3 measurements, and some error bars are contained within the symbols (reproduced with the permission of [111]).
Figure 13.
Schematic representation of sp2-BDD electrode-mediated detection of pH and OCl− (reproduced with the permission of [112]).
The OCl− undergoes voltametric oxidation reaction in water, as described in Equation (6), which results in electrochemical signals.
6OCl− + 3H2O → 2ClO3− + 4Cl− + 6H+ + 3/2O2 + 6e−
Note that the sp2-bonded carbon microspot-BDD electrode showed a linear LSV response from 58.31 µM to 1.9 mM with an LOD of 58.31 µM.
Juliao et al. described the BDD electrode (B doping at 1021 cm−3 level) towards voltametric determination of interactions between RNO2•− and electron acceptors existing in nitrofurazone (NFZ) in aqueous phase [113]. This highly B-doped diamond electrode displayed linear DPV responses (scan range = −0.2 to −0.6 V; Ag/AgCl/KCl and Pt-wire acted as the reference and counter electrodes in BR buffer at pH 4 and 8; scan rate = 100 mV s−1) from 0.99 to 17 µM (in the absence of O2 at pH 4) and 0.99 to 11 µM (in the presence of O2 at pH 8) with LODs of 0.41 and 0.34 µM, respectively. This work provided reliable detection tactic towards the NFZ derivatives. Thereafter, electrochemical sensing of nitrite (NO2−) by using modified BDD electrode (B = 7000–8000 ppm) was proposed by Sahraoui and coworkers [114], wherein p-phenylenediamine (PPD) and silicotungstate polyoxoanion (SiW11) were uniformly formed over the BDD microcells electrode surface via layer-by-layer assembly to provide the final structure of BDD/PPD/SiW11, which displayed a stronger anodic CV response to NO2− at −0.6 V in 0.1 M H2SO4 (scan rate = 100 mV s−1).
In this report, a pseudoreference made of BDD was engaged to replace the conventional SCE reference electrode, and SiW11 acted as a mediator for selective detection of NO2−. From the SWV investigations, the BDD/PPD/SiW11 device displayed a linear response from 4 µM–4 mM with an LOD of 20 µM. This work can be attested to as a nice study in terms of its device structure, interference, and real river-water samples interrogations.
More recently, Triana et al. proposed the use of BDD electrode (B/C = 1%) towards the electrochemical detection of nitrous acid (HONO) and NO2− [115], wherein BDD, GC, Pt, and stainless steel were employed as the working electrodes with 1% BDD and Ag/AgCl (saturated KCl) acting as the counter and referenced electrodes, respectively. The following oxidation reactions of HONO and NO2− take place during the electrochemical detection process.
HONO + H2O → NO•3 + 3H+ + 3e−
NO2− + H2O → NO3 + 2H+ + 2e−
The electrode showed linear CV responses to HONO and NO2− (scan range = 0 to 2 V in 0.1 M KClO4; scan rate =100 mV s−1) from 1 to 5 mM (for both) with the LODs of 0.24 and 1.27 nM, correspondingly. Figure 14 shows the CV response of BDD electrode towards various concentrations of NO2− anions. The analytical performance of the BDD electrode is comparable with earlier reports.
Figure 14.
(A) Cyclic voltammograms in the concentration range of ~1 to 5 mM NO2 in a 0.1 M KClO4 solution at potentials of +1.1 V (vs. Ag/AgCl) and (B) +1.5 V (vs. Ag/AgCl) (insets: plots of current versus NaNO2 concentration) (reproduced with the permission of [115]).
In situ CuNPs-deposited BDD electrode was explored in determination of NO3− by Welch and coworkers [116]. Unknown boron doping concentration and 100 µM of Cu2+ in phosphate buffer was used for electrodeposition over the BDD electrode. The electrode displayed a linear LSV response (scan range = −0.2 to −1.2 V; SCE and Pt as the reference and counter electrodes in 0.1 M Na2SO4 at pH 3; scan rate = 10 mV s−1) from 0 to 100 µM with an LOD of 1.5 µM. This research gave a good report in the real water analysis but need more work on optimization of Cu2+. Thereafter, Kuang et al. reported the effect of surface termination and boron doping level on electrochemical reduction of nitrate (NO3−) [117]. This report discussed diverse boron doping levels on BDD electrodes (B/C = 0.1, 1, 2, and 3%) and revealed LSV responses (scan range = −1.0 to 2.0 V; Ag/AgCl (saturated KCl) and Pt acted as the reference and counter electrodes in 0.1 M HClO4) to different concentrations of NO3−. It is a novel method towards the NO3− detection. Electrogeneration of peroxydisulfate (S2O82−) from the sulfate (SO42−) anions using the BDD electrodes was also reported by researchers [118,119]. Therefore, the BDD electrodes can be employed to estimate the S2O82− anion. Subsequently, Kondo and coworkers demonstrated the surface-modified BDD electrode (B/C = 10,000 ppm) towards detection of the oxalate dianion (C2O42−) [120]. The BDD surface becomes positively charged by covalently attaching the allyltriethylammonium bromide (ATAB) over the H-terminated BDD surface to deliver the final structure of ATAB-BDD. The electrode displayed an amperometric response to C2O42− (Ag/AgCl and Pt as the reference and counter electrodes) from 0.8–100 µM with an LOD of 32 nM. Moreover, the BDD electrode was employed in the amperometric discrimination of the sulfide (S2−) anion via the electrocatalytic reaction with ferricyanide in aqueous solution [121], wherein the electrode responded to the S2− anion linearly between 8–43 µM with an LOD of 3 µM. This work demonstrates a notable tactic in determining the effect of ferricyanide in S2− detection. Similarly, the BDD electrodes were also engaged in simultaneous detection and electrogeneration of two (and more) anionic species [122,123,124,125], thereby becoming a unique candidate for electrochemical analysis. Table 2 summarizes the doping concentration of specific atoms, methods of detection, linear regressions, and LODs of nanodiamond-based electrodes towards anions [104,105,106,107,108,109,110,111,112,113,114,115,116,117,118,119,120,121,122,123,124,125].
Table 2.
Summary of diamond-based electrodes in the detection of anions.
4. Optimization Requirements
Though diamond-based electrodes are promising candidates toward quantitation of metal ions and anions, optimization through the following steps is indispensable to achieve reliable results.
- 1)
- Generally speaking, synthesis of diamond-based nanomaterials is mostly carried out by CVD techniques [126], which require careful optimization in operating temperatures and chamber pressures to deliver the appropriate nanostructures and morphology.
- 2)
- For the surface-tuned electrochemical detection process, it is essential to examine tiny morphology changes through microscopic techniques [127,128,129].
- 3)
- In the fabrication of specific atom- or nanoparticle-doped electrodes (for example, BDD, AuNPs–BDD, Ir-BDD, and Pt-implanted BDD), cautious optimization with doping concentrations is essential to attain reproducible results [130].
- 4)
- When the diamond-based electrodes, such as BDD electrodes, are used for detection, it is important to select the suitable reference (example: Ag/AgCl or SCE) and counter electrodes (example: Pt, graphite, GCE, etc.). Therefore, great attention is required in selection of the reference and counter electrodes [131].
- 5)
- Film thickness and working/active surface area of electrodes must be carefully optimized and determined to attain reliable results towards specific analytes [132,133].
- 6)
- To achieve repeatable results to specific analytes, the supporting electrolytes play a crucial role in enhancing the redox process that leads to the electrochemical signals [134]. Thus, optimization is required in determining the suitable supporting electrolyte to enhance the redox reaction.
- 7)
- Suitable operating pH values and temperature must be optimized and fixed to enhance the analyte-specific redox process [135,136].
- 8)
- Finally, optimization in maintaining highly reliable and reproducible electrochemical data signals (such as CV, ASV, DPV, LSV, DPASV, and SWASV), scan range, scan rate, etc., under the aforementioned conditions is mandatory.
5. Advantages
Using the diamond-based electrodes towards metal ions and anions detections has the following advantages, as stated below.
- 1)
- Due to their unique structural and electrochemical resistivity features, diamond-based electrodes can be operated effectively towards specific metal ions or anions detections in suitable aqueous media and under operable conditions.
- 2)
- By tuning the B-atom doping concentration in the BDD electrode, it can be used effectively in detection and quantification of diverse metal analytes with specificity.
- 3)
- Modifications of the BDD electrodes by foreign materials or metallic nanoparticles can lead to different structural and morphological features, which allow the accumulation of specific metal ions and anions and lead to electrochemical responses via redox reaction.
- 4)
- By inclusion of the graphitic or nanographitic shells in the diamond-based electrodes, the conductivity can be enhanced by tuning the B/C and sp2/sp3 ratios; therefore, highly responsive signals can be obtained.
- 5)
- In general, the diamond-based electrode is able to carry out detection down to picomolar level with wide linearity, which is comparable to other existing sensing tactics, such as organic probes, nanoparticles, quantum dots, nanoclusters, carbon dots, etc. [137,138,139,140,141,142,143,144].
- 6)
- In terms of the lowest LODs for toxic heavy metal ions and anions, the diamond-based electrodes open up a new path to quantify those species with specificity.
- 7)
- Recent reports on diamond-based electrodes demonstrate the exclusive features for simultaneous detection of multiple metal ions and anions, which are highly beneficial.
6. Limitations
Though diamond-based electrodes have many benefits towards metal ions and anions detections, they also possess the following limitations.
- 1)
- Analyte quantitation by the diamond-based electrodes is limited to the availability of sophisticated electrochemical instruments and laboratory environment.
- 2)
- Synthesis of diamond nanostructures requires CVD tactics operated at high temperatures. Moreover, the electrode fabrication with certain film thickness is limited by many complicated procedures.
- 3)
- Morphological investigations on the diamond-based electrodes require microscopic investigations, thereby limiting by the use of costly equipment, such as SEM, TEM, AFM, etc.
- 4)
- Reproducibility of electrochemical signals to specific analytes is limited by the prescribed reference and counter electrodes, supporting electrolyte, pH value, and temperature conditions. Changes in the measurement conditions may result in loss of data.
- 5)
- The electrochemical results obtained from the diamond-based electrodes could possibly be affected due to changes in electrode surface and loss of signal by some highly concentrated unknown interferences existing in diverse real samples.
- 6)
- Use of hazardous acidic electrolytes, such as HCl, H2SO4, buffer solutions, and toxic Hg/Hg2Cl2 electrode, in the detection process is harmful to the environment, thereby limiting the real-time electrochemical interrogations.
- 7)
- Though the diamond-based electrodes are able to detect metal ions and anions down to picomolar level, their biological applicability still needs to be validated in many cases.
7. Conclusions and Perspectives
This review outlines the consumption of diamond-based electrodes in detection and quantification of metal ions and anions via reliable redox processes. Involvement of the surface and morphological changes and graphitic shells in the redox process in the enhanced electrode conductivity to provide stronger electrochemical signals are clarified for the readers. The effect of boron-doping concentration and sp2/sp3 ratio in improving the nanographitic shells on BDD electrodes to expand the signals towards specific metal ions and anions detection has been described briefly. Modifications of diamond or BDD electrodes by metallic implantation and nanoparticles coating to deliver higher electrochemical signals have also been detailed in this review. Information on the reference electrodes, counter electrodes, supporting electrolytes, scan range, and scan rates are provided, along with the tabulation of doping atom concentration, method of detection linear range, and LODs. However, the diamond-based electrodes can only be commercialized for discrimination of metallic and anionic species if the following perspective points are addressed.
- 1)
- The diamond/BDD electrodes are typically fabricated by high-temperature CVD techniques. Thus, alternative wet-chemical routes must be established for easy synthesis and cost-effective commercialization.
- 2)
- Though reports on the diamond/BDD-based electrodes for detecting the metal ions and anions are impressive, currently there is no “state-of the art” procedure for commercialization.
- 3)
- Some reports did not provide information on the B-doping concentration, particle size modified over the electrode surface, and the effectiveness of the doping and modification on electrochemical interrogations. This should be rectified in upcoming research reports.
- 4)
- Similar to the case of implantation and metallic nanoparticles modifications, the diamond/BDD electrodes can be modified by certain emerging materials, such as MOFs and COFs, to further tune the detection signals towards specific metal ions and anions. However, this requires careful optimization procedure.
- 5)
- A few reports on the metal ions detection did not provide proper explanations regarding the redox process, suitable electrolytes, sensitivity, role of pH, temperature, and information on limitations. The missing information still requires further clarification.
- 6)
- The use of toxic SCE electrodes, highly concentrated acidic electrolytes, and buffer solution must be reduced to become truly environmentally friendly.
- 7)
- Demonstrations of the diamond/BDD-based electrodes towards quantification of Co2+, Mn2+, Pd2+, Ru3+, Al3+, Ga3+, In3+, etc., are not yet available, which should be addressed by upcoming researchers.
- 8)
- Demonstrations of the diamond/BDD-based electrodes towards electrochemical detection of lanthanides and actinides must be launched to increase the social impact.
- 9)
- Some reports on the diamond/BDD-based electrodes towards anionic species detection did not have any clear information on the electron transport or generation information, which require more evidence to understand the underlying mechanisms.
- 10)
- Reports on the diamond/BDD-based electrodes for anions detection are still insufficient, thereby requiring more research work toward this direction.
- 11)
- Detection of anions, such as Br−, CN−, ClO4−, H2PO4−, S2O32−, CO32−, PO43−, P2O74−, etc., by the diamond/BDD-based electrodes has not yet been reported, which should be the focus in future.
Apart from above viewpoints, the diamond-based electrodes for metal ions and anions detection showed unique electrochemical performance with wide linear ranges and picomolar level in LODs; therefore, this research tactic is highly regarded.
Author Contributions
Writing—original draft preparation, M.S.; writing—review and editing, K.W.S.; supervision, K.W.S.; project administration, K.W.S.; funding acquisition, K.W.S. All authors have read and agreed to the published version of the manuscript.
Funding
This research was funded by the Ministry of Science and Technology of Taiwan under the contract No. MOST 110-2112-M-A49-029- and MOST 110-2811-M-A49-543.
Conflicts of Interest
The authors declare no conflict of interest.
References
- Rathi, B.S.; Kumar, P.S.; Vo, D.-V.N. Critical Review on Hazardous Pollutants in Water Environment: Occurrence, Monitoring, Fate, Removal Technologies and Risk Assessment. Sci. Total Environ. 2021, 797, 149134. [Google Scholar] [CrossRef]
- Shellaiah, M.; Sun, K.W. Inorganic-Diverse Nanostructured Materials for Volatile Organic Compound Sensing. Sensors 2021, 21, 633. [Google Scholar] [CrossRef]
- Suhito, I.R.; Koo, K.-M.; Kim, T.-H. Recent Advances in Electrochemical Sensors for the Detection of Biomolecules and Whole Cells. Biomedicines 2021, 9, 15. [Google Scholar] [CrossRef] [PubMed]
- Kailasa, S.K.; Koduru, J.R.; Desai, M.L.; Park, T.J.; Singhal, R.K.; Basu, H. Recent Progress on Surface Chemistry of Plasmonic Metal Nanoparticles for Colorimetric Assay of Drugs in Pharmaceutical and Biological Samples. TrAC Trends Anal. Chem. 2018, 105, 106–120. [Google Scholar] [CrossRef]
- Du, H.; Xie, Y.; Wang, J. Nanomaterial-Sensors for Herbicides Detection Using Electrochemical Techniques and Prospect Applications. TrAC Trends Anal. Chem. 2021, 135, 116178. [Google Scholar] [CrossRef]
- Ahmed, M.; Faisal, M.; Ihsan, A.; Naseer, M.M. Fluorescent Organic Nanoparticles (FONs) as Convenient Probes for Metal Ion Detection in Aqueous Medium. Analyst 2019, 144, 2480–2497. [Google Scholar] [CrossRef] [PubMed]
- Gale, P.A.; Caltagirone, C. Fluorescent and colorimetric sensors for anionic species. Coord. Chem. Rev. 2018, 354, 2–27. [Google Scholar] [CrossRef]
- Liu, X.; Huang, D.; Lai, C.; Zeng, G.; Qin, L.; Wang, H.; Yi, H.; Li, B.; Liu, S.; Zhang, M.; et al. Recent Advances in Covalent Organic Frameworks (COFs) as A Smart Sensing Material. Chem. Soc. Rev. 2019, 48, 5266–5302. [Google Scholar] [CrossRef]
- Shellaiah, M.; Sun, K.-W. Progress in Metal-Organic Frameworks Facilitated Mercury Detection and Removal. Chemosensors 2021, 9, 101. [Google Scholar] [CrossRef]
- Zeiri, O. Metallic-Nanoparticle-Based Sensing: Utilization of Mixed-Ligand Monolayers. ACS Sens. 2020, 5, 3806–3820. [Google Scholar] [CrossRef]
- Shellaiah, M.; Sun, K.W. Review on Sensing Applications of Perovskite Nanomaterials. Chemosensors 2020, 8, 55. [Google Scholar] [CrossRef]
- Shellaiah, M.; Chen, Y.-T.; Thirumalaivasan, N.; Aazaad, B.; Awasthi, K.; Sun, K.W.; Wu, S.-P.; Lin, M.-C.; Ohta, N. Pyrene-Based AIEE Active Nanoprobe for Zn2+ and Tyrosine Detection Demonstrated by DFT, Bioimaging, and Organic Thin-Film Transistor. ACS Appl. Mater. Interfaces 2021, 13, 28610–28626. [Google Scholar] [CrossRef] [PubMed]
- Cichosz, S.; Masek, A.; Zaborski, M. Polymer-Based Sensors: A Review. Polym. Test. 2018, 67, 342–348. [Google Scholar] [CrossRef]
- Torregrosa, D.; Grindlay, G.; Gras, L.; Mora, J. Immunoassays Based on Inductively Coupled Plasma Mass Spectrometry Detection: So Far So Good, So What? Microchem. J. 2021, 166, 106200. [Google Scholar] [CrossRef]
- Olsen, B.A.; Castle, B.C.; Myers, D.P. Advances in HPLC Technology for the Determination of Drug Impurities. TrAC Trends Anal. Chem. 2006, 25, 796–805. [Google Scholar] [CrossRef]
- Wang, S.; Chen, H.; Sun, B. Recent Progress in Food Flavor Analysis Using Gas Chromatography–Ion Mobility Spectrometry (GC–IMS). Food Chem. 2020, 315, 126158. [Google Scholar] [CrossRef] [PubMed]
- Evans, E.H.; Pisonero, J.; Smith, C.M.M.; Taylor, R.N. Atomic Spectrometry Update: Review of Advances in Atomic Spectrometry and Related Techniques. J. Anal. At. Spectrom. 2020, 35, 830–851. [Google Scholar] [CrossRef]
- Zhang, Y.-N.; Niu, Q.; Gu, X.; Yang, N.; Zhao, G. Recent Progress on Carbon Nanomaterials for the Electrochemical Detection and Removal of Environmental Pollutants. Nanoscale 2019, 11, 11992–12014. [Google Scholar] [CrossRef] [PubMed]
- Manciu, F.S.; Oh, Y.; Barath, A.; Rusheen, A.E.; Kouzani, A.Z.; Hodges, D.; Guerrero, J.; Tomshine, J.; Lee, K.H.; Bennet, K.E. Analysis of Carbon-Based Microelectrodes for Neurochemical Sensing. Materials 2019, 12, 3186. [Google Scholar] [CrossRef]
- Di Nardo, F.; Chiarello, M.; Cavalera, S.; Baggiani, C.; Anfossi, L. Ten Years of Lateral Flow Immunoassay Technique Applications: Trends, Challenges and Future Perspectives. Sensors 2021, 21, 5185. [Google Scholar] [CrossRef] [PubMed]
- Yang, T.; Yu, R.; Yan, Y.; Zeng, H.; Luo, S.; Liu, N.; Morrin, A.; Luo, X.; Li, W. A Review of Ratiometric Electrochemical Sensors: From Design Schemes to Future Prospects. Sens. Actuators B 2018, 274, 501–516. [Google Scholar] [CrossRef]
- Karimi-Maleh, H.; Karimi, F.; Alizadeh, M.; Sanati, A.L. Electrochemical Sensors, a Bright Future in the Fabrication of Portable Kits in Analytical Systems. Chem. Rec. 2020, 20, 682–692. [Google Scholar] [CrossRef] [PubMed]
- Jadon, N.; Jain, R.; Sharma, S.; Singh, K. Recent Trends in Electrochemical Sensors for Multianalyte Detection—A Review. Talanta 2016, 161, 894–916. [Google Scholar] [CrossRef] [PubMed]
- Muzyka, K.; Sun, J.; Fereja, T.H.; Lan, Y.; Zhang, W.; Xu, G. Boron-Doped Diamond: Current Progress and Challenges in View of Electroanalytical Applications. Anal. Methods 2019, 11, 397–414. [Google Scholar] [CrossRef]
- Boumya, W.; Taoufik, N.; Achak, M.; Barka, N. Chemically Modified Carbon-Based Electrodes for the Determination of Paracetamol in Drugs and Biological Samples. J. Pharmaceut. Anal. 2021, 11, 138–154. [Google Scholar] [CrossRef] [PubMed]
- Borenstein, A.; Hanna, O.; Attias, R.; Luski, S.; Brousse, T.; Aurbach, D. Carbon-Based Composite Materials for Supercapacitor Electrodes: A Review. J. Mater. Chem. A 2017, 5, 12653–12672. [Google Scholar] [CrossRef]
- Sarakhman, O.; Švorc, Ľ. A Review on Recent Advances in the Applications of Boron-Doped Diamond Electrochemical Sensors in Food Analysis. Crit. Rev. Anal. Chem. 2020, 1–23. [Google Scholar] [CrossRef] [PubMed]
- Yence, M.; Cetinkaya, A.; Ozcelikay, G.; Kaya, S.I.; Ozkan, S.A. Boron-Doped Diamond Electrodes: Recent Developments and Advances in View of Electrochemical Drug Sensors. Crit. Rev. Anal. Chem. 2021, 1–17. [Google Scholar] [CrossRef]
- Németh, P.; McColl, K.; Garvie, L.A.J.; Salzmann, C.G.; Murri, M.; McMillan, P.F. Complex Nanostructures in Diamond. Nat. Mater. 2020, 19, 1126–1131. [Google Scholar] [CrossRef] [PubMed]
- Yang, N.; Foord, J.S.; Jiang, X. Diamond Electrochemistry at the Nanoscale: A Review. Carbon 2016, 99, 90–110. [Google Scholar] [CrossRef]
- Huang, H.-J.; Seenithurai, S.; Chai, J.-D. TAO-DFT Study on the Electronic Properties of Diamond-Shaped Graphene Nanoflakes. Nanomaterials 2020, 10, 1236. [Google Scholar] [CrossRef] [PubMed]
- Duan, X.; Tian, W.; Zhang, H.; Sun, H.; Ao, Z.; Shao, Z.; Wang, S. sp2/sp3 Framework from Diamond Nanocrystals: A Key Bridge of Carbonaceous Structure to Carbocatalysis. ACS Catal. 2019, 9, 7494–7519. [Google Scholar] [CrossRef]
- Shellaiah, M.; Sun, K.W. Diamond Nanowire Synthesis, Properties and Applications. In Nanowires-Synthesis, Properties and Applications; Rackauskas, S., Ed.; IntechOpen (Ch2): London, UK, 2019; pp. 19–37. [Google Scholar]
- Uthappa, U.T.; Arvind, O.R.; Sriram, G.; Losic, D.; Ho Young, J.; Kigga, M.; Kurkuri, M.D. Nanodiamonds and Their Surface Modification Strategies for Drug Delivery Applications. J. Drug Del. Sci. Technol. 2020, 60, 101993. [Google Scholar] [CrossRef]
- Chauhan, S.; Jain, N.; Nagaich, U. Nanodiamonds with Powerful Ability for Drug Delivery and Biomedical Applications: Recent Updates on In Vivo Study and Patents. J. Pharmaceut. Anal. 2020, 10, 1–12. [Google Scholar] [CrossRef]
- Torelli, M.D.; Nunn, N.A.; Shenderova, O.A. A Perspective on Fluorescent Nanodiamond Bioimaging. Small 2019, 15, 1902151. [Google Scholar] [CrossRef] [PubMed]
- Morales-Zavala, F.; Casanova-Morales, N.; Gonzalez, R.B.; Chandía-Cristi, A.; Estrada, L.D.; Alvizú, I.; Waselowski, V.; Guzman, F.; Guerrero, S.; Oyarzún-Olave, M.; et al. Functionalization of Stable Fluorescent Nanodiamonds Towards Reliable Detection of Biomarkers for Alzheimer’s Disease. J. Nanobiotechnol. 2018, 16, 60. [Google Scholar] [CrossRef]
- Shellaiah, M.; Simon, T.; Venkatesan, P.; Sun, K.W.; Ko, F.-H.; Wu, S.-P. Cysteamine-Modified Diamond Nanoparticles Applied in Cellular Imaging and Hg2+ Ions Detection. Appl. Surf. Sci. 2019, 465, 340–350. [Google Scholar] [CrossRef]
- Hurtado, C.R.; Hurtado, G.R.; Cena, G.L.D.; Queiroz, R.C.; Silva, A.V.; Diniz, M.F.; Santos, V.R.D.; Trava-Airoldi, V.; Baptista, M.D.S.; Tsolekile, N.; et al. Diamond Nanoparticles-Porphyrin mTHPP Conjugate as Photosensitizing Platform: Cytotoxicity and Antibacterial Activity. Nanomaterials 2021, 11, 1393. [Google Scholar] [CrossRef] [PubMed]
- Shellaiah, M.; Simon, T.; Venkatesan, P.; Sun, K.W.; Ko, F.-H.; Wu, S.-P. Nanodiamonds Conjugated to Gold Nanoparticles for Colorimetric Detection of Clenbuterol and Chromium(III) in Urine. Microchim. Acta 2017, 185, 74. [Google Scholar] [CrossRef] [PubMed]
- Afandi, A.; Howkins, A.; Boyd, I.W.; Jackman, R.B. Nanodiamonds for Device Applications: An Investigation of the Properties of Boron-Doped Detonation Nanodiamonds. Sci. Rep. 2018, 8, 3270. [Google Scholar] [CrossRef] [PubMed]
- Liao, M. Progress in Semiconductor Diamond Photodetectors and MEMS Sensors. Funct. Diam. 2021, 1, 29–46. [Google Scholar] [CrossRef]
- Zhao, F.; Vrajitoarea, A.; Jiang, Q.; Han, X.; Chaudhary, A.; Welch, J.O.; Jackman, R.B. Graphene-Nanodiamond Heterostructures and their application to High Current Devices. Sci. Rep. 2015, 5, 13771. [Google Scholar] [CrossRef]
- Radulaski, M.; Zhang, J.L.; Tzeng, Y.-K.; Lagoudakis, K.G.; Ishiwata, H.; Dory, C.; Fischer, K.A.; Kelaita, Y.A.; Sun, S.; Maurer, P.C.; et al. Nanodiamond Integration with Photonic Devices. Laser Photon. Rev. 2019, 13, 1800316. [Google Scholar] [CrossRef]
- Shellaiah, M.; Chen, T.H.; Simon, T.; Li, L.-C.; Sun, K.W.; Ko, F.-H. An Affordable Wet Chemical Route to Grow Conducting Hybrid Graphite-Diamond Nanowires: Demonstration by A Single Nanowire Device. Sci. Rep. 2017, 7, 11243. [Google Scholar] [CrossRef]
- Shellaiah, M.; Chen, Y.-C.; Simon, T.; Li, L.-C.; Sun, K.W.; Ko, F.-H. Effect of Metal Ions on Hybrid Graphite-Diamond Nanowire Growth: Conductivity Measurements from a Single Nanowire Device. Nanomaterials 2019, 9, 415. [Google Scholar] [CrossRef]
- Handschuh-Wang, S.; Wang, T.; Tang, Y. Ultrathin Diamond Nanofilms—Development, Challenges, and Applications. Small 2021, 17, 2007529. [Google Scholar] [CrossRef] [PubMed]
- Pleskov, Y.V.; Krotova, M.D.; Ekimov, E.A. The Compacts of Boron-Doped Synthetic Diamond: Methods for the Increasing of Their Electrochemical Activity. J. Electroanal. Chem. 2021, 888, 115203. [Google Scholar] [CrossRef]
- Wang, T.; Huang, L.; Liu, Y.; Li, X.; Liu, C.; Handschuh-Wang, S.; Xu, Y.; Zhao, Y.; Tang, Y. Robust Biomimetic Hierarchical Diamond Architecture with a Self-Cleaning, Antibacterial, and Antibiofouling Surface. ACS Appl. Mater. Interfaces 2020, 12, 24432–24441. [Google Scholar] [CrossRef]
- Guo, C.; Zheng, J.; Deng, H.; Shi, P.; Zhao, G. Photoelectrocatalytic Interface of Boron-Doped Diamond: Modification, Functionalization and Environmental Applications. Carbon 2021, 175, 454–466. [Google Scholar] [CrossRef]
- Simcox, L.J.; Pereira, R.P.A.; Wellington, E.M.H.; Macpherson, J.V. Boron Doped Diamond as a Low Biofouling Material in Aquatic Environments: Assessment of Pseudomonas aeruginosa Biofilm Formation. ACS Appl. Mater. Interfaces 2019, 11, 25024–25033. [Google Scholar] [CrossRef]
- Speranza, G. Carbon Nanomaterials: Synthesis, Functionalization and Sensing Applications. Nanomaterials 2021, 11, 967. [Google Scholar] [CrossRef]
- Lourencao, B.C.; Brocenschi, R.F.; Medeiros, R.A.; Fatibello-Filho, O.; Rocha-Filho, R.C. Analytical Applications of Electrochemically Pretreated Boron-Doped Diamond Electrodes. ChemElectroChem 2020, 7, 1291–1311. [Google Scholar] [CrossRef]
- Wei, M.; Terashima, C.; Lv, M.; Fujishima, A.; Gu, Z.-Z. Boron-Doped Diamond Nanograss Array for Electrochemical Sensors. Chem. Commun. 2009, 3624–3626. [Google Scholar] [CrossRef]
- Baluchová, S.; Daňhel, A.; Dejmková, H.; Ostatná, V.; Fojta, M.; Schwarzová-Pecková, K. Recent Progress in the Applications of Boron Doped Diamond Electrodes in Electroanalysis of Organic Compounds and Biomolecules—A Review. Anal. Chim. Acta 2019, 1077, 30–66. [Google Scholar] [CrossRef] [PubMed]
- Trellu, C.; Chakraborty, S.; Nidheesh, P.V.; Oturan, M.A. Environmental Applications of Boron-Doped Diamond Electrodes: 2. Soil Remediation and Sensing Applications. ChemElectroChem 2019, 6, 2143–2156. [Google Scholar] [CrossRef]
- Silva, K.N.O.; Araújo, K.C.F.; da Silva, D.R.; Martínez-Huitle, C.A.; Santos, E.V.D. Persulfate-Soil Washing: The Green Use of Persulfate Electrochemically Generated with Diamond Electrodes for Depolluting Soils. J. Electroanal. Chem. 2021, 895, 115498. [Google Scholar] [CrossRef]
- Purcell, E.K.; Becker, M.F.; Guo, Y.; Hara, S.A.; Ludwig, K.A.; McKinney, C.J.; Monroe, E.M.; Rechenberg, R.; Rusinek, C.A.; Saxena, A.; et al. Next-Generation Diamond Electrodes for Neurochemical Sensing: Challenges and Opportunities. Nanomaterials 2021, 12, 128. [Google Scholar] [CrossRef] [PubMed]
- Zhang, K.; Wang, H.; Zhao, Y.; Xi, Y.; Liu, B.; Xi, J.; Shao, G.; Fan, B.; Lu, H.; Xu, H.; et al. Preparation and Electrochemical Properties of Boron-Doped Polycrystalline Diamond Film with Five-Fold Twin Structure. Appl. Surf. Sci. 2021, 568, 150977. [Google Scholar] [CrossRef]
- Ochiai, T.; Tago, S.; Hayashi, M.; Fujishima, A. Highly Sensitive Measurement of Bio-Electric Potentials by Boron-Doped Diamond (BDD) Electrodes for Plant Monitoring. Sensors 2015, 15, 26921–26928. [Google Scholar] [CrossRef] [PubMed]
- Ponnuswamy, T.; Chen, J.-J.; Xu, F.; Chyan, O. Monitoring Metal Ion Contamination Onset in Hydrofluoric Acid Using Silicon–Diamond and Dual Silicon Sensing Electrode Assembly. Analyst 2001, 126, 877–880. [Google Scholar] [CrossRef]
- Maldonado, V.Y.; Espinoza-Montero, P.J.; Rusinek, C.A.; Swain, G.M. Analysis of Ag(I) Biocide in Water Samples Using Anodic Stripping Voltammetry with a Boron-Doped Diamond Disk Electrode. Anal. Chem. 2018, 90, 6477–6485. [Google Scholar] [CrossRef] [PubMed]
- Culková, E.; Lukáčová-Chomisteková, Z.; Bellová, R.; Melicherčíková, D.; Durdiak, J.; Rievaj, M.; Vojs, M.; Tomčík, P. Voltammetric Detection of Silver in Commercial Products on Boron Doped Diamond Electrode: Stripping at Lowered Potential in the Presence of Thiosulfate Ions. Mon. Chem. 2020, 151, 1009–1017. [Google Scholar] [CrossRef]
- Guo, Y.; Huang, N.; Yang, B.; Wang, C.; Zhuang, H.; Tian, Q.; Zhai, Z.; Liu, L.; Jiang, X. Hybrid Diamond/Graphite Films as Electrodes for Anodic Stripping Voltammetry of Trace Ag+ and Cu2+. Sens. Actuators B 2016, 231, 194–202. [Google Scholar] [CrossRef]
- Foord, J.S.; Eaton, K.; Hao, W.; Crossley, A. Interaction Between Co-Deposited Metals During Stripping Voltammetry at Boron-Doped Diamond Electrodes. Phys. Chem. Chem. Phys. 2005, 7, 2787–2792. [Google Scholar] [CrossRef] [PubMed]
- Ivandini, T.A.; Sato, R.; Makide, Y.; Fujishima, A.; Einaga, Y. Electrochemical Detection of Arsenic(III) Using Iridium-Implanted Boron-Doped Diamond Electrodes. Anal. Chem. 2006, 78, 6291–6298. [Google Scholar] [CrossRef] [PubMed]
- Song, Y.; Swain, G.M. Total Inorganic Arsenic Detection in Real Water Samples Using Anodic Stripping Voltammetry and A Gold-Coated Diamond Thin-Film Electrode. Anal. Chim. Acta 2007, 593, 7–12. [Google Scholar] [CrossRef] [PubMed]
- Pungjunun, K.; Chaiyo, S.; Jantrahong, I.; Nantaphol, S.; Siangproh, W.; Chailapakul, O. Anodic Stripping Voltammetric Determination of Total Arsenic Using A Gold Nanoparticle-Modified Boron-Doped Diamond Electrode on A Paper-Based Device. Microchim. Acta 2018, 185, 324. [Google Scholar] [CrossRef]
- Fauzillah, N.A.; Abdullah, I.; Ivandini, T.A. Modification of Boron-Doped Diamond Electrode with Gold Nanoparticles Synthesized by Allyl Mercaptan as the Capping Agent for Arsenic Sensors. AIP Conf. Proc. 2020, 2242, 040031. [Google Scholar]
- Agustiany, T.; Khalil, M.; Einaga, Y.; Jiwanti, P.K.; Ivandini, T.A. Stable Iridium-Modified Boron-Doped Diamond Electrode for the Application in Electrochemical Detection of Arsenic (III). Mater. Chem. Phys. 2020, 244, 122723. [Google Scholar] [CrossRef]
- Sugitani, A.; Watanabe, T.; Ivandini, T.A.; Iguchi, T.; Einaga, Y. Controlling the Diffusion Profile of Electroactive Species for Selective Anodic Stripping Voltammetry of Cadmium at Boron-Doped Diamond Electrodes. Phys. Chem. Chem. Phys. 2013, 15, 142–147. [Google Scholar] [CrossRef] [PubMed]
- Zhang, T.; Li, C.; Mao, B.; An, Y. Determination of Cd2+ By Ultrasound-Assisted Square Wave Anodic Stripping Voltammetry with A Boron-Doped Diamond Electrode. Ionics 2015, 21, 1761–1769. [Google Scholar] [CrossRef]
- Innuphat, C.; Chooto, P. Determination of Trace Levels of Cd(II) in Tap Water Samples by Anodic Stripping Voltammetry with An Electrografted Boron-Doped Diamond Electrode. ScienceAsia 2017, 43, 33. [Google Scholar] [CrossRef][Green Version]
- Nantaphol, S.; Channon, R.B.; Kondo, T.; Siangproh, W.; Chailapakul, O.; Henry, C.S. Boron Doped Diamond Paste Electrodes for Microfluidic Paper-Based Analytical Devices. Anal. Chem. 2017, 89, 4100–4107. [Google Scholar] [CrossRef]
- Pei, J.X.; Yu, X.; Zhang, C.; Liu, X.J. Development of a Boron-Doped Diamond Electrode for the Simultaneous Detection of Cd2+ and Pb2+ in Water. Int. J. Electrochem. Sci. 2019, 14, 3393–3407. [Google Scholar] [CrossRef]
- Štenclová, P.; Vyskočil, V.; Szabó, O.; Ižák, T.; Potocký, Š.; Kromka, A. Structured and Graphitized Boron Doped Diamond Electrodes: Impact on Electrochemical Detection of Cd2+ and Pb2+ Ions. Vacuum 2019, 170, 108953. [Google Scholar] [CrossRef]
- Zhou, M.; Zhai, Z.; Liu, L.; Zhang, C.; Yuan, Z.; Lu, Z.; Chen, B.; Shi, D.; Yang, B.; Wei, Q.; et al. Controllable Synthesized Diamond/CNWs Film as A Novel Nanocarbon Electrode with Wide Potential Window and Enhanced S/B Ratio for Electrochemical Sensing. Appl. Surf. Sci. 2021, 551, 149418. [Google Scholar] [CrossRef]
- Fierro, S.; Watanabe, T.; Akai, K.; Einaga, Y. Highly Sensitive Detection of Cr6+ on Boron Doped Diamond Electrodes. Electrochim. Acta 2012, 82, 9–11. [Google Scholar] [CrossRef]
- Xu, Y.; Xiong, C.; Gao, C.; Li, Y.; Bian, C.; Xia, S. Cathodically Pretreated AuNPs–BDD Electrode for Detection of Hexavalent Chromium. Micromachines 2020, 11, 1095. [Google Scholar] [CrossRef] [PubMed]
- Nie, M.; Neodo, S.; Wharton, J.A.; Cranny, A.; Harris, N.R.; Wood, R.J.K.; Stokes, K.R. Electrochemical Detection of Cupric Ions with Boron-Doped Diamond Electrode for Marine Corrosion Monitoring. Electrochim. Acta 2016, 202, 345–356. [Google Scholar] [CrossRef]
- Manivannan, A.; Seehra, M.S.; Tryk, D.A.; Fujishima, A. Electrochemical Detection of Ionic Mercury at Boron-Doped Diamond Electrodes. Anal. Lett. 2002, 35, 355–368. [Google Scholar] [CrossRef]
- McLaughlin, M.H.S.; Pakpour-Tabrizi, A.C.; Jackman, R.B. Diamond Electrodes for High Sensitivity Mercury Detection in the Aquatic Environment: Influence of Surface Preparation and Gold Nanoparticle Activity. Electroanalysis 2019, 31, 1775–1782. [Google Scholar] [CrossRef]
- McLaughlin, M.H.S.; Pakpour-Tabrizi, A.C.; Jackman, R.B. A Detailed EIS Study of Boron Doped Diamond Electrodes Decorated with Gold Nanoparticles for High Sensitivity Mercury Detection. Sci. Rep. 2021, 11, 9505. [Google Scholar] [CrossRef]
- Neodo, S.; Nie, M.; Wharton, J.A.; Stokes, K.R. Nickel-Ion Detection on A Boron-Doped Diamond Electrode in Acidic Media. Electrochim. Acta 2013, 88, 718–724. [Google Scholar] [CrossRef]
- Musyarofah, N.R.R.; Gunlazuardi, J.; Einaga, Y.; Ivandini, T.A. Anodic Stripping Voltammetry of Nickel Ions and Nickel hydroxide Nanoparticles at Boron-Doped Diamond Electrodes. IOP Conf. Ser. Mater. Sci. Eng. 2017, 188, 012020. [Google Scholar] [CrossRef]
- Yuliani, T.; Saepudin, E.; Ivandini, T.A. Anodic Stripping Voltammetry of Ni(OH)2 Nanoparticles in Acid Solution Using Boron-Doped Diamond Electrodes. AIP Conf. Proc. 2018, 2023, 020096. [Google Scholar]
- Chooto, P.; Wararatananurak, P.; Innuphat, C. Determination of Trace Levels of Pb(II) in Tap Water by Anodic Stripping Voltammetry with Boron-Doped Diamond Electrode. ScienceAsia 2010, 36, 150–156. [Google Scholar] [CrossRef]
- Le, T.S.; Da Costa, P.; Huguet, P.; Sistat, P.; Pichot, F.; Silva, F.; Renaud, L.; Cretin, M. Upstream Microelectrodialysis For Heavy Metals Detection on Boron Doped Diamond. J. Electroanal. Chem. 2012, 670, 50–55. [Google Scholar] [CrossRef]
- Arantes, T.M.; Sardinha, A.; Baldan, M.R.; Cristovan, F.H.; Ferreira, N.G. Lead Detection Using Micro/Nanocrystalline Boron-Doped Diamond by Square-Wave Anodic Stripping Voltammetry. Talanta 2014, 128, 132–140. [Google Scholar] [CrossRef]
- Pei, J.; Yu, X.; Wei, S.; Boukherroub, R.; Zhang, Y. Double-Side Effect of B/C Ratio on BDD Electrode Detection for Heavy Metal Ion in Water. Sci. Total Environ. 2021, 771, 145430. [Google Scholar] [CrossRef] [PubMed]
- Deshmukh, S.; Sankaran, K.J.; Korneychuk, S.; Verbeeck, J.; McLaughlin, J.; Haenen, K.; Roy, S.S. Nanostructured Nitrogen Doped Diamond for the Detection of Toxic Metal Ions. Electrochim. Acta 2018, 283, 1871–1878. [Google Scholar] [CrossRef]
- Dos Santos, G.F.S.; Ferreira, R.D.Q. Determination of Pb(II) and Cu(II) in Microemulsified Biodiesel Using Boron-Doped Diamond Electrode. Microchem. J. 2020, 156, 104849. [Google Scholar] [CrossRef]
- Lukáčová-Chomisteková, Z.; Culková, E.; Bellová, R.; Melicherčíková, D.; Durdiak, J.; Beinrohr, E.; Rievaj, M.; Tomčík, P. Voltammetric Detection of Antimony in Natural Water on Cathodically Pretreated Microcrystalline Boron Doped Diamond Electrode: A Possibility How to Eliminate Interference of Arsenic Without Surface Modification. Talanta 2018, 178, 943–948. [Google Scholar] [CrossRef]
- Culková, E.; Švorc, L.; Tomčík, P.; Durdiak, J.; Rievaj, M.; Bustin, D.; Brescher, R.; Lokaj, J. Boron-Doped Diamond Electrode as Sensitive and Selective Green Electroanalytical Tool for Heavy Metals Environmental Monitoring: Zinc Detection in Rubber Industry Waste. Pol. J. Environ. Stud. 2013, 22, 1317–1323. [Google Scholar]
- Nurhayati, E.; Juang, Y.; Rajkumar, M.; Huang, C.; Hu, C.-C. Effects of Dynamic Polarization on Boron-Doped NCD Properties and on Its Performance for Electrochemical-Analysis of Pb(II), Cu(II) and Hg(II) in Aqueous Solution via Direct LSV. Sep. Purif. Technol. 2015, 156, 1047–1056. [Google Scholar] [CrossRef]
- Zazoua, A.; Khedimallah, N.; Jaffrezic-Renault, N. Electrochemical Determination of Cadmium, Lead, and Nickel Using a Polyphenol–Polyvinyl Chloride—Boron-Doped Diamond Electrode. Anal. Lett. 2018, 51, 336–347. [Google Scholar] [CrossRef]
- Marton, M.; Michniak, P.; Behul, M.; Rehacek, V.; Vojs Stanova, A.; Redhammer, R.; Vojs, M. Bismuth Modified Boron Doped Diamond Electrode for Simultaneous Determination of Zn, Cd and Pb Ions by Square Wave Anodic Stripping Voltammetry: Influence of Boron Concentration and Surface Morphology. Vacuum 2019, 167, 182–188. [Google Scholar] [CrossRef]
- Sonthalia, P.; McGaw, E.; Show, Y.; Swain, G.M. Metal Ion Analysis in Contaminated Water Samples Using Anodic Stripping Voltammetry and A Nanocrystalline Diamond Thin-Film Electrode. Anal. Chim. Acta 2004, 522, 35–44. [Google Scholar] [CrossRef]
- El Tall, O.; Jaffrezic-Renault, N.; Sigaud, M.; Vittori, O. Anodic Stripping Voltammetry of Heavy Metals at Nanocrystalline Boron-Doped Diamond Electrode. Electroanalysis 2007, 19, 1152–1159. [Google Scholar] [CrossRef]
- Yoon, J.-H.; Yang, J.E.; Kim, J.P.; Bae, J.S.; Shim, Y.-B.; Won, M.-S. Simultaneous Detection of Cd (II), Pb (II), Cu (II), and Hg (II) Ions in Dye Waste Water Using a Boron Doped Diamond Electrode with DPASV. Bull. Kor. Chem. Soc. 2010, 31, 140–145. [Google Scholar] [CrossRef]
- Zhao, B.; Li, J.; Yu, X.; Zhang, J.; Ren, Y. In-Situ Detection of Heavy Metal Pollution in Seawater with Diamond Coated Electrodes. Surf. Rev. Lett. 2019, 26, 1850179. [Google Scholar] [CrossRef]
- Zhai, Z.; Huang, N.; Zhuang, H.; Liu, L.; Yang, B.; Wang, C.; Gai, Z.; Guo, F.; Li, Z.; Jiang, X. A Diamond/Graphite Nanoplatelets Electrode for Anodic Stripping Voltammetric Trace Determination of Zn(II), Cd(II), Pb(II) and Cu(II). Appl. Surf. Sci. 2018, 457, 1192–1201. [Google Scholar] [CrossRef]
- Ferreira, R.; Chaar, J.; Baldan, M.; Braga, N. Simultaneous Voltammetric Detection of Fe3+, Cu2+, Zn2+, Pb2+ e Cd2+ in Fuel Ethanol Using Anodic Stripping Voltammetry and Boron-Doped Diamond Electrodes. Fuel 2021, 291, 120104. [Google Scholar] [CrossRef]
- Xu, J.; Swain, G.M. Oxidation of Azide Anion at Boron-Doped Diamond Thin-Film Electrodes. Anal. Chem. 1998, 70, 1502–1510. [Google Scholar] [CrossRef]
- Ivandini, T.A.; Sato, R.; Makide, Y.; Fujishima, A.; Einaga, Y. Pt-Implanted Boron-Doped Diamond Electrodes and the Application for Electrochemical Detection of Hydrogen Peroxide. Diam. Relat. Mater. 2005, 14, 2133–2138. [Google Scholar] [CrossRef]
- Komkova, M.A.; Pasquarelli, A.; Andreev, E.A.; Galushin, A.A.; Karyakin, A.A. Prussian Blue Modified Boron-Doped Diamond Interfaces for Advanced H2O2 Electrochemical Sensors. Electrochim. Acta 2020, 339, 135924. [Google Scholar] [CrossRef]
- Irkham; Fiorani, A.; Valenti, G.; Kamoshida, N.; Paolucci, F.; Einaga, Y. Electrogenerated Chemiluminescence by in Situ Production of Coreactant Hydrogen Peroxide in Carbonate Aqueous Solution at a Boron-Doped Diamond Electrode. J. Am. Chem. Soc. 2020, 142, 1518–1525. [Google Scholar] [CrossRef] [PubMed]
- Stefan, R.-I.; Ghebru Bairu, S.; van Staden, J.F. Diamond Paste Based Electrodes for the Determination of Iodide in Vitamins and Table Salt. Anal. Lett. 2003, 36, 1493–1500. [Google Scholar] [CrossRef]
- Fierro, S.; Comninellis, C.; Einaga, Y. Simultaneous Detection of Iodine and Iodide on Boron Doped Diamond Electrodes. Talanta 2013, 103, 33–37. [Google Scholar] [CrossRef]
- Culková, E.; Tomčík, P.; Švorc, Ľ.; Cinková, K.; Chomisteková, Z.; Durdiak, J.; Rievaj, M.; Bustin, D. Indirect Voltammetric Sensing Platforms for Fluoride Detection on Boron-Doped Diamond Electrode Mediated via [FeF6]3− and [CeF6]2− Complexes Formation. Electrochim. Acta 2014, 148, 317–324. [Google Scholar] [CrossRef]
- Lucio, A.J.; Meyler, R.E.P.; Edwards, M.A.; Macpherson, J.V. Investigation of sp2-Carbon Pattern Geometry in Boron-Doped Diamond Electrodes for the Electrochemical Quantification of Hypochlorite at High Concentrations. ACS Sens. 2020, 5, 789–797. [Google Scholar] [CrossRef]
- Lucio, A.J.; Macpherson, J.V. Combined Voltammetric Measurement of pH and Free Chlorine Speciation Using a Micro-Spot sp2 Bonded Carbon–Boron Doped Diamond Electrode. Anal. Chem. 2020, 92, 16072–16078. [Google Scholar] [CrossRef] [PubMed]
- Julião, M.S.D.S.; Ferreira, E.I.; Ferreira, N.G.; Serrano, S.H.P. Voltammetric Detection of the Interactions Between RNO2− and Electron Acceptors in Aqueous Medium at Highly Boron Doped Diamond Electrode (HBDDE). Electrochim. Acta 2006, 51, 5080–5086. [Google Scholar] [CrossRef]
- Sahraoui, Y.; Sbartai, A.; Chaliaa, S.; Maaref, A.; Haddad, A.; Jaffrezic-Renault, N. A Nitrite Electrochemical Sensor Based on Boron-Doped Diamond Planar Electrochemical Microcells Modified with a Monolacunary Silicotungstate Polyoxoanion. Electroanalysis 2015, 27, 1359–1367. [Google Scholar] [CrossRef]
- Triana, Y.; Irkham; Einaga, Y. Electrochemical Oxidation Behavior of Nitrogen Dioxide for Gas Detection Using Boron Doped Diamond Electrodes. Electroanalysis 2021. [Google Scholar] [CrossRef]
- Welch, C.M.; Hyde, M.E.; Banks, C.E.; Compton, R.G. The Detection of Nitrate Using In-Situ Copper Nanoparticle Deposition at a Boron Doped Diamond Electrode. Anal. Sci. 2005, 21, 1421–1430. [Google Scholar] [CrossRef] [PubMed]
- Kuang, P.; Natsui, K.; Feng, C.; Einaga, Y. Electrochemical Reduction of Nitrate on Boron-Doped Diamond Electrodes: Effects of Surface Termination and Boron-Doping Level. Chemosphere 2020, 251, 126364. [Google Scholar] [CrossRef] [PubMed]
- Khamis, D.; Mahé, E.; Dardoize, F.; Devilliers, D. Peroxodisulfate Generation on Boron-Doped Diamond Microelectrodes Array and Detection by Scanning Electrochemical Microscopy. J. Appl. Electrochem. 2010, 40, 1829–1838. [Google Scholar] [CrossRef]
- Irkham; Watanabe, T.; Fiorani, A.; Valenti, G.; Paolucci, F.; Einaga, Y. Co-reactant-on-Demand ECL: Electrogenerated Chemiluminescence by the in-Situ Production of S2O82− at Boron-Doped Diamond Electrodes. J. Am. Chem. Soc. 2016, 138, 15636–15641. [Google Scholar] [CrossRef] [PubMed]
- Kondo, T.; Niwano, Y.; Tamura, A.; Ivandini, T.A.; Einaga, Y.; Tryk, D.A.; Fujishima, A.; Kawai, T. Sensitive Electrochemical Detection of Oxalate at a Positively Charged Boron-Doped Diamond Surface. Electroanalysis 2008, 20, 1556–1564. [Google Scholar] [CrossRef]
- Lawrence, N.S.; Thompson, M.; Prado, C.; Jiang, L.; Jones, T.G.J.; Compton, R.G. Amperometric Detection of Sulfide at a Boron Doped Diamond Electrode: The Electrocatalytic Reaction of Sulfide with Ferricyanide in Aqueous Solution. Electroanalysis 2002, 14, 499–504. [Google Scholar] [CrossRef]
- Baciu, A.; Ardelean, M.; Pop, A.; Pode, R.; Manea, F. Simultaneous Voltammetric/Amperometric Determination of Sulfide and Nitrite in Water at BDD Electrode. Sensors 2015, 15, 14526–14538. [Google Scholar] [CrossRef] [PubMed]
- Cai, J.; Niu, T.; Shi, P.; Zhao, G. Boron-Doped Diamond for Hydroxyl Radical and Sulfate Radical Anion Electrogeneration, Transformation, and Voltage-Free Sustainable Oxidation. Small 2019, 15, 1900153. [Google Scholar] [CrossRef] [PubMed]
- Xie, H.; Li, X.; Luo, G.; Niu, Y.; Zou, R.; Yin, C.; Huang, S.; Sun, W.; Li, G. Nano-Diamond Modified Electrode for the Investigation on Direct Electrochemistry and Electrocatalytic Behavior of Myoglobin. Diam. Relat. Mater. 2019, 97, 107453. [Google Scholar] [CrossRef]
- Cheng, H.; Sun, Y.; Shao, B.; Deng, Y.; Zhang, X.; Li, G.; Sun, W. Application of Gold Nanoparticles and Nano-Diamond Modified Electrode for Hemoglobin Electrochemistry. Int. J. Electrochem. Sci. 2020, 15, 11416–11426. [Google Scholar] [CrossRef]
- Bakharev, P.V.; Huang, M.; Saxena, M.; Lee, S.W.; Joo, S.H.; Park, S.O.; Dong, J.; Camacho-Mojica, D.C.; Jin, S.; Kwon, Y.; et al. Chemically Induced Transformation of Chemical Vapour Deposition Grown Bilayer Graphene into Fluorinated Single-Layer Diamond. Nat. Nanotechnol. 2020, 15, 59–66. [Google Scholar] [CrossRef]
- Venkateshaiah, A.; Padil, V.V.T.; Nagalakshmaiah, M.; Waclawek, S.; Černík, M.; Varma, R.S. Microscopic Techniques for the Analysis of Micro and Nanostructures of Biopolymers and Their Derivatives. Polymers 2020, 12, 512. [Google Scholar] [CrossRef] [PubMed]
- Scipioni, R.; Jørgensen, P.S.; Ngo, D.-T.; Simonsen, S.B.; Liu, Z.; Yakal-Kremski, K.J.; Wang, H.; Hjelm, J.; Norby, P.; Barnett, S.A.; et al. Electron Microscopy Investigations of Changes in Morphology and Conductivity of LiFePO4/C Electrodes. J. Power Sources 2016, 307, 259–269. [Google Scholar] [CrossRef]
- Macpherson, J.V. A Practical Guide to Using Boron Doped Diamond in Electrochemical Research. Phys. Chem. Chem. Phys. 2015, 17, 2935–2949. [Google Scholar] [CrossRef] [PubMed]
- Fan, B.; Rusinek, C.A.; Thompson, C.H.; Setien, M.; Guo, Y.; Rechenberg, R.; Gong, Y.; Weber, A.J.; Becker, M.F.; Purcell, E.; et al. Flexible, Diamond-Based Microelectrodes Fabricated Using the Diamond Growth Side for Neural Sensing. Microsys. Nanoeng. 2020, 6, 42. [Google Scholar] [CrossRef]
- Kee, Y.; Suzuki, Y.; Ishigaki, N.; Motoyama, M.; Kimura, Y.; Amezawa, K.; Iriyama, Y. An Appropriate Reference and Counter Electrode in an All-Solid-State Battery Using NASICON-Structured Solid Electrolyte. Electrochem. Commun. 2021, 130, 107108. [Google Scholar] [CrossRef]
- Song, C.W.; Cho, D.S.; Lee, J.M.; Song, P.K. Effect of Boron Doping on Diamond Film and Electrochemical Properties of BDD According to Thickness and Morphology. Coatings 2020, 10, 331. [Google Scholar] [CrossRef]
- Miyashita, K.; Kondo, T.; Sugai, S.; Tei, T.; Nishikawa, M.; Tojo, T.; Yuasa, M. Boron-doped Nanodiamond as an Electrode Material for Aqueous Electric Double-layer Capacitors. Sci. Rep. 2019, 9, 17846. [Google Scholar] [CrossRef]
- Aquino, J.M.; Rodrigo, M.A.; Rocha-Filho, R.C.; Sáez, C.; Cañizares, P. Influence of the Supporting Electrolyte on the Electrolyses of Dyes with Conductive-Diamond Anodes. Chem. Eng. J. 2012, 184, 221–227. [Google Scholar] [CrossRef]
- Liu, T.; Xue, Q.; Jia, J.; Liu, F.; Zou, S.; Tang, R.; Chen, T.; Li, J.; Qian, Y. New Insights into the Effect of pH on the Mechanism of Ofloxacin Electrochemical Detection in Aqueous Solution. Phys. Chem. Chem. Phys. 2019, 21, 16282–16287. [Google Scholar] [CrossRef] [PubMed]
- Oje, A.I.; Ogwu, A.A.; Oje, A.M. Effect of Temperature on the Electrochemical Performance of Silver Oxide Thin Films Supercapacitor. J. Electroanal. Chem. 2021, 882, 115015. [Google Scholar] [CrossRef]
- Park, S.-H.; Kwon, N.; Lee, J.-H.; Yoon, J.; Shin, I. Synthetic Ratiometric Fluorescent Probes for Detection of Ions. Chem. Soc. Rev. 2020, 49, 143–179. [Google Scholar] [CrossRef] [PubMed]
- Shellaiah, M.; Thirumalaivasan, N.; Aazaad, B.; Awasthi, K.; Sun, K.W.; Wu, S.-P.; Lin, M.-C.; Ohta, N. Novel Rhodamine Probe for Colorimetric and Fluorescent Detection of Fe3+ Ions in Aqueous Media with Cellular Imaging. Spectrochim. Acta A 2020, 242, 118757. [Google Scholar] [CrossRef] [PubMed]
- Reinhard, I.; Miller, K.; Diepenheim, G.; Cantrell, K.; Hall, W.P. Nanoparticle Design Rules for Colorimetric Plasmonic Sensors. ACS Appl. Nano Mater. 2020, 3, 4342–4350. [Google Scholar] [CrossRef]
- Shellaiah, M.; Thirumalaivasan, N.; Sun, K.W.; Wu, S.-P. A pH Cooperative Strategy for Enhanced Colorimetric Sensing of Cr(III) Ions Using Biocompatible L-Glutamic Acid Stabilized Gold Nanoparticles. Microchem. J. 2021, 160, 105754. [Google Scholar] [CrossRef]
- Lou, Y.; Zhao, Y.; Zhu, J.-J. Ultrasensitive Optical Detection of Anions by Quantum Dots. Nanoscale Horiz. 2016, 1, 125–134. [Google Scholar] [CrossRef]
- Shellaiah, M.; Sun, K.W. Luminescent Metal Nanoclusters for Potential Chemosensor Applications. Chemosensors 2017, 5, 36. [Google Scholar] [CrossRef]
- Shellaiah, M.; Simon, T.; Thirumalaivasan, N.; Sun, K.W.; Ko, F.-H.; Wu, S.-P. Cysteamine-Capped Gold-Copper Nanoclusters for Fluorometric Determination and Imaging of Chromium(VI) and Dopamine. Microchim. Acta 2019, 186, 788. [Google Scholar] [CrossRef] [PubMed]
- Ji, C.; Zhou, Y.; Leblanc, R.M.; Peng, Z. Recent Developments of Carbon Dots in Biosensing: A Review. ACS Sens. 2020, 5, 2724–2741. [Google Scholar] [CrossRef] [PubMed]
Publisher’s Note: MDPI stays neutral with regard to jurisdictional claims in published maps and institutional affiliations. |
© 2021 by the authors. Licensee MDPI, Basel, Switzerland. This article is an open access article distributed under the terms and conditions of the Creative Commons Attribution (CC BY) license (https://creativecommons.org/licenses/by/4.0/).













