A First-Principles Study on the Electronic, Thermodynamic and Dielectric Properties of Monolayer Ca(OH)2 and Mg(OH)2
Abstract
:1. Introduction
2. Computational Methods
3. Results and Discussion
3.1. Structure of Monolayer M(OH)
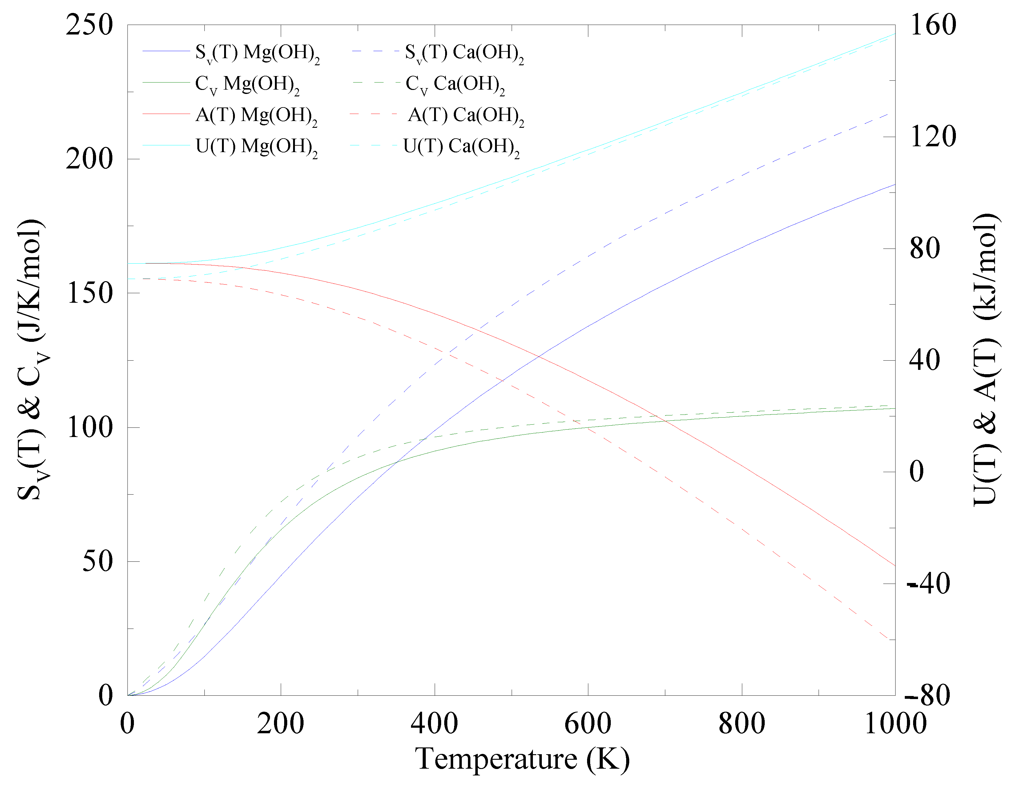
3.2. Structural Stability and Thermodynamic Properties
3.3. Band Structures and DOS
3.4. Tunneling Current and Dielectric Performance
- (i)
- Solubility is critical factor for different applications. Interestingly, at room temperature the solubility of Mg(OH) (∼9.80 × g/mL) is very close to the solubility of amorphous SiO (∼1.2 × g/mL) [85,86]. In contrast to SiO, due to the positive heat of solution in M(OH) materials M(OH) solubility decreases with increasing temperature [85]. Although at room temperature the solubility of Ca(OH) (∼1.09 × g/mL) is significantly higher than the solubility of amorphous SiO (∼1.2 × g/mL), the solubility of both in water is the same at around 400 K [85,87]. At higher temperatures Ca(OH) has a lower solubility compared to amorphous SiO. Hence, due to high level of reactivity of M(OH) materials with water a proper encapsulation architecture is required to enhance the long-term stability of M(OH) based devices.
- (ii)
- Although both Ca(OH) and Mg(OH) are stable against oxidation at room temperature, they are not stable against CO [85]. Consequently, these materials have been used for carbon capture and thermal heat storage. M(OH) materials and other members of this family (i.e.,Cd(OH), Ni(OH), Zn(OH)) have the potential to contribute to the worldwide goal of decarbonization through carbon capture and storage, which would help to protect our planet from the catastrophic effects of climate change [77,88,89].
- (iii)
- We combined Ca(OH) and Mg(OH) with two TMD channels (HfS and WS) in this work; there are a handful of M(OH)/TMD (i.e., Mg(OH)/MoS) combinations that need to be carefully investigated to find the most promising heterostructure candidates for p-MOS and n-MOS applications. The bandgap tuning of the heterostructures in the presence of an external field [71,72], the effect of strain and stress, as well as the defect formations in monolayers and bilayers, are other interesting topics for future studies.
4. Conclusions
Author Contributions
Funding
Institutional Review Board Statement
Informed Consent Statement
Data Availability Statement
Acknowledgments
Conflicts of Interest
References
- Geim, A.K.; Novoselov, K.S. The rise of graphene. In Nanoscience and Technology: A Collection of Reviews from Nature Journals; World Scientific: Singapore, 2010; pp. 11–19. [Google Scholar]
- Novoselov, K.S.; Falḱo, V.I.; Colombo, L.; Gellert, P.; Schwab, M.; Kim, K. A roadmap for graphene. Nature 2012, 490, 192–200. [Google Scholar] [CrossRef] [PubMed]
- Neto, A.C.; Guinea, F.; Peres, N.M.; Novoselov, K.S.; Geim, A.K. The electronic properties of graphene. Rev. Mod. Phys. 2009, 81, 109. [Google Scholar] [CrossRef] [Green Version]
- Vandenberghe, W.G. Determining Electronic, Structural, Dielectric, Magnetic, and Transport Properties in Novel Electronic Materials: Using first-principles techniques. IEEE Nanotechnol. Mag. 2021, 15, 68-C3. [Google Scholar] [CrossRef]
- Gao, E.; Lin, S.Z.; Qin, Z.; Buehler, M.J.; Feng, X.Q.; Xu, Z. Mechanical exfoliation of two-dimensional materials. J. Mech. Phys. Solids 2018, 115, 248–262. [Google Scholar] [CrossRef]
- Li, H.; Li, Y.; Aljarb, A.; Shi, Y.; Li, L.J. Epitaxial growth of two-dimensional layered transition-metal dichalcogenides: Growth mechanism, controllability, and scalability. Chem. Rev. 2017, 118, 6134–6150. [Google Scholar] [CrossRef]
- Zhang, Y.; Zhang, L.; Zhou, C. Review of chemical vapor deposition of graphene and related applications. Acc. Chem. Res. 2013, 46, 2329–2339. [Google Scholar] [CrossRef]
- Cai, Z.; Liu, B.; Zou, X.; Cheng, H.M. Chemical vapor deposition growth and applications of two-dimensional materials and their heterostructures. Chem. Rev. 2018, 118, 6091–6133. [Google Scholar] [CrossRef]
- Zhang, K.; Feng, Y.; Wang, F.; Yang, Z.; Wang, J. Two dimensional hexagonal boron nitride (2D-hBN): Synthesis, properties and applications. J. Mater. Chem. C 2017, 5, 11992–12022. [Google Scholar] [CrossRef]
- Carvalho, A.; Wang, M.; Zhu, X.; Rodin, A.S.; Su, H.; Castro Neto, A.H. Phosphorene: From theory to applications. Nat. Rev. Mater. 2016, 1, 1–16. [Google Scholar] [CrossRef]
- Khandelwal, A.; Mani, K.; Karigerasi, M.H.; Lahiri, I. Phosphorene–the two-dimensional black phosphorous: Properties, synthesis and applications. Mater. Sci. Eng. B 2017, 221, 17–34. [Google Scholar] [CrossRef]
- Chhowalla, M.; Shin, H.S.; Eda, G.; Li, L.J.; Loh, K.P.; Zhang, H. The chemistry of two-dimensional layered transition metal dichalcogenide nanosheets. Nat. Chem. 2013, 5, 263–275. [Google Scholar] [CrossRef] [PubMed]
- Chhowalla, M.; Liu, Z.; Zhang, H. Two-dimensional transition metal dichalcogenide (TMD) nanosheets. Chem. Soc. Rev. 2015, 44, 2584–2586. [Google Scholar] [CrossRef] [PubMed]
- Schmidt, H.; Giustiniano, F.; Eda, G. Electronic transport properties of transition metal dichalcogenide field-effect devices: Surface and interface effects. Chem. Soc. Rev. 2015, 44, 7715–7736. [Google Scholar] [CrossRef] [PubMed]
- Choi, W.; Choudhary, N.; Han, G.H.; Park, J.; Akinwande, D.; Lee, Y.H. Recent development of two-dimensional transition metal dichalcogenides and their applications. Mater. Today 2017, 20, 116–130. [Google Scholar] [CrossRef]
- Liu, W.; Osanloo, M.R.; Wang, X.; Li, S.; Dhale, N.; Wu, H.; Van de Put, M.L.; Tiwari, S.; Vandenberghe, W.G.; Lv, B. New Verbeekite-type polymorphic phase and rich phase diagram in the PdSe2-x Tex system. Phys. Rev. B 2021, 104, 024507. [Google Scholar] [CrossRef]
- Jalouli, A. Synthesis and Optical Characterization of Two Dimensional Transition Metal Dichalcogenides (TMD) Alloys. Ph.D. Thesis, State University of New York, Buffalo, NY, USA, 2021. [Google Scholar]
- Jalouli, A.; Kilinc, M.; Wang, P.; Zeng, H.; Thomay, T. Spatial mapping of exciton transition energy and strain in composition graded WS2(1-x) Se2x monolayer. J. Appl. Phys. 2020, 128, 124304. [Google Scholar] [CrossRef]
- Reyntjens, P.D.; Tiwari, S.; Van de Put, M.L.; Soree, B.; Vandenberghe, W.G. Magnetic properties and critical behavior of magnetically intercalated WSe2: A theoretical study. 2D Mater. 2020, 8, 25009. [Google Scholar] [CrossRef]
- Schwierz, F.; Pezoldt, J.; Granzner, R. Two-dimensional materials and their prospects in transistor electronics. Nanoscale 2015, 7, 8261–8283. [Google Scholar] [CrossRef] [Green Version]
- Roy, T.; Tosun, M.; Kang, J.S.; Sachid, A.B.; Desai, S.B.; Hettick, M.; Hu, C.C.; Javey, A. Field-effect transistors built from all two-dimensional material components. ACS Nano 2014, 8, 6259–6264. [Google Scholar] [CrossRef]
- Lanza, M. Redefining microelectronics. Microelectron. Eng. 2022, 258, 111767. [Google Scholar] [CrossRef]
- Moore, G.E. Cramming more components onto integrated circuits. Electronics 1965, 38, 114–117. [Google Scholar] [CrossRef]
- Schaller, R.R. Moore’s law: Past, present and future. IEEE Spectr. 1997, 34, 52–59. [Google Scholar] [CrossRef]
- Frank, D.J.; Taur, Y.; Wong, H.S. Generalized scale length for two-dimensional effects in MOSFETs. IEEE Electron. Device Lett. 1998, 19, 385–387. [Google Scholar] [CrossRef]
- Illarionov, Y.Y.; Knobloch, T.; Jech, M.; Lanza, M.; Akinwande, D.; Vexler, M.I.; Mueller, T.; Lemme, M.C.; Fiori, G.; Schwierz, F.; et al. Insulators for 2D nanoelectronics: The gap to bridge. Nat. Commun. 2020, 11, 3385. [Google Scholar] [CrossRef]
- Li, W.; Zhou, J.; Cai, S.; Yu, Z.; Zhang, J.; Fang, N.; Li, T.; Wu, Y.; Chen, T.; Xie, X.; et al. Uniform and ultrathin high-κ gate dielectrics for two-dimensional electronic devices. Nat. Electron. 2019, 2, 563–571. [Google Scholar] [CrossRef]
- Wallace, R.M.; Wilk, G. Alternative gate dielectrics for microelectronics. MRS Bull. 2002, 27, 186–191. [Google Scholar] [CrossRef]
- Wilk, G.D.; Wallace, R.M.; Anthony, J. High-κ gate dielectrics: Current status and materials properties considerations. J. Appl. Phys. 2001, 89, 5243–5275. [Google Scholar] [CrossRef]
- Cao, W.; Jiang, J.; Xie, X.; Pal, A.; Chu, J.H.; Kang, J.; Banerjee, K. 2-D layered materials for next-generation electronics: Opportunities and challenges. IEEE Trans. Electron. Dev. 2018, 65, 4109–4121. [Google Scholar] [CrossRef]
- Huyghebaert, C.; Schram, T.; Smets, Q.; Agarwal, T.K.; Verreck, D.; Brems, S.; Phommahaxay, A.; Chiappe, D.; El Kazzi, S.; De La Rosa, C.L.; et al. 2D materials: Roadmap to CMOS integration. In Proceedings of the 2018 IEEE International Electron Devices Meeting (IEDM), San Francisco, CA, USA, 1–5 December 2018; pp. 22.1.1–22.1.4. [Google Scholar]
- Liu, Y.; Huang, Y.; Duan, X. Van der Waals integration before and beyond two-dimensional materials. Nature 2019, 567, 323–333. [Google Scholar] [CrossRef]
- Jariwala, D.; Marks, T.J.; Hersam, M.C. Mixed-dimensional van der Waals heterostructures. Nat. Mater. 2017, 16, 170–181. [Google Scholar] [CrossRef]
- Su, S.K.; Chuu, C.P.; Li, M.Y.; Cheng, C.C.; Wong, H.S.P.; Li, L.J. Layered semiconducting 2D materials for future transistor applications. Small Struct. 2021, 2, 2000103. [Google Scholar] [CrossRef]
- Osanloo, M.R.; Van de Put, M.L.; Saadat, A.; Vandenberghe, W.G. Identification of two-dimensional layered dielectrics from first principles. Nat. Commun. 2021, 12, 6. [Google Scholar] [CrossRef] [PubMed]
- Osanloo, M.R.; Saadat, A.; Van de Put, M.L.; Laturia, A.; Vandenberghe, W.G. Transition-metal nitride halide dielectrics for transition-metal dichalcogenide transistors. Nanoscale 2022, 14, 157–165. [Google Scholar] [CrossRef] [PubMed]
- Khalid, M.F.; Riaz, I.; Jalil, R.; Mahmood, U.; Mir, R.R.; Sohail, H.A. Dielectric properties of multi-layers hexagonal boron nitride. Mater. Sci. Appl. 2020, 11, 339–346. [Google Scholar] [CrossRef]
- Laturia, A.; Van de Put, M.L.; Vandenberghe, W.G. Dielectric properties of hexagonal boron nitride and transition metal dichalcogenides: From monolayer to bulk. NPJ 2D Mater. Appl. 2018, 2, 1–7. [Google Scholar] [CrossRef] [Green Version]
- Rao, K.; Smakula, A. Dielectric properties of alkaline earth fluoride single crystals. J. Appl. Phys. 1966, 37, 319–323. [Google Scholar] [CrossRef]
- Wen, C.; Banshchikov, A.G.; Illarionov, Y.Y.; Frammelsberger, W.; Knobloch, T.; Hui, F.; Sokolov, N.S.; Grasser, T.; Lanza, M. Dielectric properties of ultrathin CaF2 ionic crystals. Adv. Mater. 2020, 32, e2002525. [Google Scholar] [CrossRef]
- Li, T.; Tu, T.; Sun, Y.; Fu, H.; Yu, J.; Xing, L.; Wang, Z.; Wang, H.; Jia, R.; Wu, J.; et al. A native oxide high-κ gate dielectric for two-dimensional electronics. Nat. Electron. 2020, 3, 473–478. [Google Scholar] [CrossRef]
- Zhang, D.; Wu, F.; Ying, Q.; Gao, X.; Li, N.; Wang, K.; Yin, Z.; Cheng, Y.; Meng, G. Thickness-tunable growth of ultra-large, continuous and high-dielectric h-BN thin films. J. Mater. Chem. C 2019, 7, 1871–1879. [Google Scholar] [CrossRef]
- Xu, Z.; Ferraro, D.; Zaltron, A.; Galvanetto, N.; Martucci, A.; Sun, L.; Yang, P.; Zhang, Y.; Wang, Y.; Liu, Z.; et al. Optical detection of the susceptibility tensor in two-dimensional crystals. Commun. Phys. 2021, 4, 215. [Google Scholar] [CrossRef]
- Dell’Anna, L.; Merano, M. Optical response of a bilayer crystal. Phys. Rev. A 2019, 99, 13802. [Google Scholar] [CrossRef] [Green Version]
- Dell’Anna, L.; He, Y.; Merano, M. Reflection, transmission and surface susceptibility tensor in two-dimensional materials. arXiv 2022, arXiv:2201.04405. [Google Scholar] [CrossRef]
- Lou, J.; Ren, K.; Huang, Z.; Huo, W.; Zhu, Z.; Yu, J. Electronic and optical properties of two-dimensional heterostructures based on Janus XSSe (X = Mo, W) and Mg(OH)2: A first principles investigation. RSC Adv. 2021, 11, 29576–29584. [Google Scholar] [CrossRef] [PubMed]
- Luo, Y.; Wang, S.; Ren, K.; Chou, J.P.; Yu, J.; Sun, Z.; Sun, M. Transition-metal dichalcogenides/Mg(OH)2 van der Waals heterostructures as promising water-splitting photocatalysts: A first-principles study. Phys. Chem. Chem. Phys. 2019, 21, 1791–1796. [Google Scholar] [CrossRef]
- Ozcelik, V.O.; Gong, K.; White, C.E. Highly surface-active Ca(OH)2 monolayer as a CO2 capture material. Nano Lett. 2018, 18, 1786–1793. [Google Scholar] [CrossRef] [Green Version]
- Xia, C.; Xiong, W.; Du, J.; Peng, Y.; Wei, Z.; Li, J. Electric field modulations of band alignments in arsenene Ca(OH)2 heterobilayers for multi-functional device applications. J. Phys. D Appl. Phys. 2017, 50, 415304. [Google Scholar] [CrossRef]
- Baranek, P.; Lichanot, A.; Orlando, R.; Dovesi, R. Structural and vibrational properties of solid Mg(OH)2 and Ca(OH)2–performances of various hamiltonians. Chem. Phys. Lett. 2001, 340, 362–369. [Google Scholar] [CrossRef]
- Jochym, P.T.; Oleś, A.M.; Parlinski, K.; Łażewski, J.; Piekarz, P.; Sternik, M. Structure and elastic properties of Mg(OH)2 from density functional theory. J. Phys. Condens. Matter 2010, 22, 445403. [Google Scholar] [CrossRef] [Green Version]
- Xia, C.; Xiong, W.; Du, J.; Wang, T.; Wei, Z.; Li, J. Robust electronic and mechanical properties to layer number in 2D wide-gap X(OH)2 (X = Mg, Ca). J. Phys. D Appl. Phys. 2017, 51, 15107. [Google Scholar] [CrossRef]
- Pannach, M.; Bette, S.; Freyer, D. Solubility equilibria in the system Mg(OH)2–MgCl2–H2O from 298 to 393 K. J. Chem. Eng. Data 2017, 62, 1384–1396. [Google Scholar] [CrossRef]
- 2D Insulators. Available online: https://www.2dsemiconductors.com/2d-insulators/ (accessed on 1 April 2022).
- Lieth, R.; Lieth, R.M. Preparation and Crystal Growth of Materials With Layered Structures; Springer Science & Business Media: Berlin/Heidelberg, Germany, 1977; Volume 1. [Google Scholar]
- Meyer, R.J.; Gmelin, L. Gmelins Handbuch der Anorganischen Chemie; Verlag Chemie Gmbh: Hoboken, NJ, USA, 1926. [Google Scholar]
- Zhang, C.; Li, Y.; Yuan, Y.; Wang, Z.; Wang, T.; Lei, W. Simultaneous CO2 capture and heat storage by a Ca/Mg-based composite in coupling calcium looping and CaO/Ca(OH)2 cycles using air as a heat transfer fluid. React. Chem. Eng. 2021, 6, 100–111. [Google Scholar] [CrossRef]
- Kang, J.; Li, J.; Li, S.S.; Xia, J.B.; Wang, L.W. Electronic structural Moiré pattern effects on MoS2/MoSe2 2D heterostructures. Nano Lett. 2013, 13, 5485–5490. [Google Scholar] [CrossRef] [PubMed]
- Heyd, J.; Scuseria, G.E. Efficient hybrid density functional calculations in solids: Assessment of the Heyd–Scuseria–Ernzerhof screened Coulomb hybrid functional. J. Chem. Phys. 2004, 121, 1187–1192. [Google Scholar] [CrossRef] [PubMed] [Green Version]
- Perdew, J.P.; Burke, K.; Ernzerhof, M. Generalized gradient approximation made simple. Phys. Rev. Lett. 1996, 77, 3865. [Google Scholar] [CrossRef] [Green Version]
- Grimme, S. Semiempirical GGA-type density functional constructed with a long-range dispersion correction. J. Comput. Chem. 2006, 27, 1787–1799. [Google Scholar] [CrossRef]
- Björkman, T.; Gulans, A.; Krasheninnikov, A.V.; Nieminen, R.M. van der Waals bonding in layered compounds from advanced density-functional first-principles calculations. Phys. Rev. Lett. 2012, 108, 235502. [Google Scholar] [CrossRef] [Green Version]
- Ashton, M.; Paul, J.; Sinnott, S.B.; Hennig, R.G. Topology-scaling identification of layered solids and stable exfoliated 2D materials. Phys. Rev. Lett. 2017, 118, 106101. [Google Scholar] [CrossRef]
- Ganose, A.M.; Jackson, A.J.; Scanlon, D.O. Sumo: Command-line tools for plotting and analysis of periodic* ab initio* calculations. J. Open Source Softw. 2018, 3, 717. [Google Scholar] [CrossRef]
- Togo, A.; Tanaka, I. First principles phonon calculations in materials science. Scr. Mater. 2015, 108, 1–5. [Google Scholar] [CrossRef] [Green Version]
- Maradudin, A.A.; Montroll, E.W.; Weiss, G.H.; Ipatova, I. Theory of Lattice Dynamics in the Harmonic Approximation; Academic Press: New York, NY, USA, 1963; Volume 3. [Google Scholar]
- Gehring, A. Simulation of Tunneling in Semiconductor Devices. Ph.D. Thesis, Institut fur Mikroelektronik, Rapperswil-Jona, Switzerland, 2003. [Google Scholar]
- Yeo, Y.C.; Lu, Q.; Lee, W.C.; King, T.J.; Hu, C.; Wang, X.; Guo, X.; Ma, T. Direct tunneling gate leakage current in transistors with ultrathin silicon nitride gate dielectric. IEEE Electron. Dev. Lett. 2000, 21, 540–542. [Google Scholar]
- Moore, M. International Roadmap for Devices and Systems. Available online: https://irds.ieee.org/images/files/pdf/2020/2020IRDS_BC.pdf (accessed on 8 January 2020).
- Palla, P.; Uppu, G.R.; Ethiraj, A.S.; Raina, J. Bandgap engineered graphene and hexagonal boron nitride for resonant tunnelling diode. Bull. Mater. Sci. 2016, 39, 1441–1451. [Google Scholar] [CrossRef] [Green Version]
- Yagmurcukardes, M.; Ozen, S.; İyikanat, F.; Peeters, F.M.; Sahin, H. Raman fingerprint of stacking order in HfS2-Ca(OH)2 heterobilayer. Phys. Rev. B 2019, 99, 205405. [Google Scholar] [CrossRef]
- Yagmurcukardes, M.; Torun, E.; Senger, R.T.; Peeters, F.M.; Sahin, H. Mg(OH)2-WS2 van der Waals heterobilayer: Electric field tunable band-gap crossover. Phys. Rev. B 2016, 94, 195403. [Google Scholar] [CrossRef] [Green Version]
- Busing, W.R.; Levy, H.A. Neutron diffraction study of calcium hydroxide. J. Chem. Phys. 1957, 26, 563–568. [Google Scholar] [CrossRef]
- Duong, D.L.; Yun, S.J.; Lee, Y.H. van der Waals layered materials: Opportunities and challenges. ACS Nano 2017, 11, 11803–11830. [Google Scholar] [CrossRef]
- Suslu, A.; Wu, K.; Sahin, H.; Chen, B.; Yang, S.; Cai, H.; Aoki, T.; Horzum, S.; Kang, J.; Peeters, F.M.; et al. Unusual dimensionality effects and surface charge density in 2D Mg(OH)2. Sci. Rep. 2016, 6, 20525. [Google Scholar] [CrossRef] [Green Version]
- Hermansson, K.; Probst, M.M.; Gajewski, G.; Mitev, P.D. Anharmonic OH vibrations in Mg(OH)2 (brucite): Two-dimensional calculations and crystal-induced blueshift. J. Chem. Phys. 2009, 131, 244517. [Google Scholar] [CrossRef]
- Fagerlund, J.; Zevenhoven, R. An experimental study of Mg(OH)2 carbonation. Int. J. Greenh. Gas Control 2011, 5, 1406–1412. [Google Scholar] [CrossRef]
- Fricker, K.J.; Park, A.H.A. Effect of H2O on Mg(OH)2 carbonation pathways for combined CO2 capture and storage. Chem. Eng. Sci. 2013, 100, 332–341. [Google Scholar] [CrossRef]
- Anderson, R. Germanium-gallium arsenide heterojunctions. IBM J. Res. Dev. 1960, 4, 283–287. [Google Scholar] [CrossRef]
- Xu, K.; Xu, Y.; Zhang, H.; Peng, B.; Shao, H.; Ni, G.; Li, J.; Yao, M.; Lu, H.; Zhu, H.; et al. The role of Anderson’s rule in determining electronic, optical and transport properties of transition metal dichalcogenide heterostructures. Phys. Chem. Chem. Phys. 2018, 20, 30351–30364. [Google Scholar] [CrossRef] [PubMed] [Green Version]
- Babu, K.R.; Lingam, C.B.; Auluck, S.; Tewari, S.P.; Vaitheeswaran, G. Structural, thermodynamic and optical properties of MgF2 studied from first-principles theory. J. Solid State Chem. 2011, 184, 343–350. [Google Scholar] [CrossRef]
- Wallace, R.M.; Wilk, G.D. High-κ dielectric materials for microelectronics. Crit. Rev. Solid State Mater. Sci. 2003, 28, 231–285. [Google Scholar] [CrossRef]
- Hoefflinger, B. Irds—International Roadmap for Devices and Systems, Rebooting Computing, s3s. In NANO-CHIPS 2030; Springer: Berlin/Heidelberg, Germany, 2020; pp. 9–17. [Google Scholar]
- Knobloch, T.; Illarionov, Y.Y.; Ducry, F.; Schleich, C.; Wachter, S.; Watanabe, K.; Taniguchi, T.; Mueller, T.; Waltl, M.; Lanza, M.; et al. The performance limits of hexagonal boron nitride as an insulator for scaled CMOS devices based on two-dimensional materials. Nat. Electron. 2021, 4, 98–108. [Google Scholar] [CrossRef]
- Oswald, H.; Asper, R. Bivalent metal hydroxides. In Preparation and Crystal Growth of Materials with Layered Structures; Springer: Berlin/Heidelberg, Germany, 1977; pp. 71–140. [Google Scholar]
- Thilo, E.; Gessner, W. Einige Beobachtungen über Herstellung und Stabilität übersättigter Lösungen von Ca(OH)2. J. Prakt. Chem. 1961, 12, 310–316. [Google Scholar] [CrossRef]
- Arabi, N.; Jauberthie, R.; Chelghoum, N.; Molez, L. Formation of CSH in calcium hydroxide–blast furnace slag–quartz–water system in autoclaving conditions. Adv. Cem. Res. 2015, 27, 153–162. [Google Scholar] [CrossRef] [Green Version]
- Yuan, Y.; Li, Y.; Duan, L.; Liu, H.; Zhao, J.; Wang, Z. CaO/Ca(OH)2 thermochemical heat storage of carbide slag from calcium looping cycles for CO2 capture. Energy Convers. Manag. 2018, 174, 8–19. [Google Scholar] [CrossRef]
- Piperopoulos, E.; Fazio, M.; Mastronardo, E.; Lanza, M.; Milone, C. Tuning Mg(OH)2 Structural, Physical, and Morphological Characteristics for Its Optimal Behavior in a Thermochemical Heat-Storage Application. Materials 2021, 14, 1091. [Google Scholar] [CrossRef]






| Material | Bulk | Monolayer | Monolayer Supercell Thickness (Å) | Exfoliation Energy (meV/Å2) | ||
|---|---|---|---|---|---|---|
| di (Å) | a (Å) | t (Å) | (%) | |||
| Ca(OH) | 4.75 | 3.61 | 4.78 | 0.63 | 24.32 | 33.48 |
| Mg(OH) | 4.56 | 3.28 | 4.60 | 0.88 | 29.43 | 57.91 |
| Material | Monolayer () | Monolayer () | Bulk () | Bulk () | ||||
|---|---|---|---|---|---|---|---|---|
| // | ⊥ | // | ⊥ | // | ⊥ | // | ⊥ | |
| Ca(OH) | 2.72 | 3.18 | 8.94 | 6.33 | 2.81 | 2.59 | 12.30 | 4.53 |
| Mg(OH) | 2.68 | 3.38 | 7.75 | 6.40 | 2.70 | 2.66 | 9.75 | 4.32 |
| Materials | Out-of-Plane Electron Effective Mass | Leakage Current (A/cm2) | Monolayer EOT (nm) | |
|---|---|---|---|---|
| 1L | 2L | |||
| Ca(OH) & HfS | 0.538 | 4.38 | 6.06 | 0.28 |
| Mg(OH) & WS | 0.501 | 1.55 | 1.40 | 0.30 |
| h-BN & HfS | 0.501 | 8.95 | 2.30 | 0.38 |
| h-BN & WS | 0.501 | 1.37 | 6.37 | 0.38 |
| LaOCl & HfS | 1.125 | 4.79 | 3.71 | 0.05 |
| LaOCl & WS | 1.125 | 5.98 | 3.64 | 0.05 |
Publisher’s Note: MDPI stays neutral with regard to jurisdictional claims in published maps and institutional affiliations. |
© 2022 by the authors. Licensee MDPI, Basel, Switzerland. This article is an open access article distributed under the terms and conditions of the Creative Commons Attribution (CC BY) license (https://creativecommons.org/licenses/by/4.0/).
Share and Cite
Rostami Osanloo, M.; Oyekan, K.A.; Vandenberghe, W.G. A First-Principles Study on the Electronic, Thermodynamic and Dielectric Properties of Monolayer Ca(OH)2 and Mg(OH)2. Nanomaterials 2022, 12, 1774. https://doi.org/10.3390/nano12101774
Rostami Osanloo M, Oyekan KA, Vandenberghe WG. A First-Principles Study on the Electronic, Thermodynamic and Dielectric Properties of Monolayer Ca(OH)2 and Mg(OH)2. Nanomaterials. 2022; 12(10):1774. https://doi.org/10.3390/nano12101774
Chicago/Turabian StyleRostami Osanloo, Mehrdad, Kolade A. Oyekan, and William G. Vandenberghe. 2022. "A First-Principles Study on the Electronic, Thermodynamic and Dielectric Properties of Monolayer Ca(OH)2 and Mg(OH)2" Nanomaterials 12, no. 10: 1774. https://doi.org/10.3390/nano12101774
APA StyleRostami Osanloo, M., Oyekan, K. A., & Vandenberghe, W. G. (2022). A First-Principles Study on the Electronic, Thermodynamic and Dielectric Properties of Monolayer Ca(OH)2 and Mg(OH)2. Nanomaterials, 12(10), 1774. https://doi.org/10.3390/nano12101774

