Abstract
We study the effect of the phase-change material VO on plasmons in metallic arm-chair graphene nanoribbons (AGNRs) within the random-phase approximation (RPA) for intra- and inter-band transitions. We assess the influence of temperature as a knob for the transition from the insulating to the metallic phase of VO on localized and propagating plasmon modes. We show that AGNRs support localized and propagating plasmon modes and contrast them in the presence and absence of VO for intra-band (SB) transitions while neglecting the influence of a substrate-induced band gap. The presence of this gap results in propagating plasmon modes in two-band (TB) transitions. In addition, there is a critical band gap below and above which propagating modes have a linear negative or positive velocity. Increasing the band gap shifts the propagating and localized modes to higher frequencies. In addition, we show how the normalized Fermi velocity increases plasmon modes frequency.
1. Introduction
All modern electronic devices are based on semiconductors for which miniaturization means increased speed for processing and transferring information [1,2]. Advances in many areas of science and technology are intertwined with transferring and processing information. According to Moore’s law, the density of electronic elements in a circuit is doubled every two years. However, fundamental laws of quantum mechanics, thermodynamics, and electrodynamics prevent any arbitrary size reduction [3,4,5]. Fiber optics is an alternative to traditional electric circuits. By replacing electrons with light as the information carrier, one is able to transfer information about a thousand times faster than electronic devices [6]. This suggests that it may be possible to synergize these two technologies. However, due to the diffraction limit, which does not allow the localization of an electromagnetic field in an area smaller than its own wavelength, their integration is not possible [7,8].
Plasmonic waves, including plasmons, surface plasmon polaritons, as well as localized plasmons, enable us to manipulate, route and control light in the subwavelength area [7,9,10,11,12] though the large propagation loss of plasmonic waves limits their applications [13]. On the other hand, dielectric materials with low confinement compared to plasmonic systems suggest a hybrid system of these technologies [14]. The quality factor of an isolated hybrid structure, however, is low [15,16,17,18]. This disadvantage can be resolved by using a periodic array of hybrid structures, known as a metastructure. The periodicity in these metastructures must be smaller than the wavelength of the external stimuli including light, heat, electric field and so forth [19]. The unique and unprecedented properties of metastructures depend on the size, shape, composition, and environment of individual structures; by altering any of these factors one would be able to manipulate and control the outgoing radiation field as the response of the metastructure [19,20,21].
It is worth pointing out that these knobs and parameters are static and do not allow the manipulation of system responses in real time. In other words, metastructures are not tunable dynamically. Dynamically tunable metastructures are achievable by exploiting phase-change materials (PCMs) [22]. Due to their transition phases, from insulator to metal, in response to external perturbations, PCMs enable us to control and manipulate the phase, amplitude, and polarization of the outgoing electromagnetic field of the metastructure. Among PCMs, VO, due to its ultrafast phase change and the large discontinuity in its optical properties at ambient pressure, has garnered tremendous interest during the last decade [23]. The typical critical temperature (T) of VO, is 340 K. Above this temperature it is in its metallic phase [24] that varies based on the fabrication of VO samples [25]. In this phase VO has a rutile structure, known as R, with periodic chains of vanadium ions parallel to c-axis [26] Below T, it is in its insulating (semiconducting) phase with an optical gap of the order of 0.6 eV [25]. In this phase, due to dimerized zigzag chains of vanadium ions, it has a monoclinic structure known as M [27]. In addition, VO under uniaxial pressure or in doped samples undergoes a transition from R phase to the monoclinic M and triclinic T phases [27,28]. After five decades, the nature of these transitions due to electron–electron (Mott) and electron–lattice (Peierls) interactions is still not fully understood [25,29]. There are several methods for trigging the phase-transition in VO including electrical [30,31], thermal [32,33,34,35], optical [36,37,38,39], etc.
In this work we study plasmon modes in an AGNR on a VO substrate as sketched in Figure 1. The paper is organized as follows. In Section 2 we present the Lindhard polarization function and the RPA permittivity of AGNRs for SB and TB transitions. We also indicate briefly how to include the effect of a substrate on the plasmon modes and give the permittivity of VO obtained approximately in Reference [40]. Section 3 discusses the obtained results for localized and propagating plasmon modes in the presence and absence of VO for SB and TB transitions. In Section 4, we study the influence of a band gap, induced by a VO substrate, on the dielectric function and plasmon modes. The influence of renormalized Fermi velocity has been discussed in Section 5. A summary follows in Section 6.
Figure 1.
An AGNR on a VO substrate.
2. Formalism
The main motivation to investigate plasmons in metallic AGNRs is that the conduction and valence bands of these systems, within the two-band approximation, are linear [41]. In general, to obtain the plasmon spectrum of a quantum system, one needs to find the roots of the real part of its permittivity [42]. It is worth pointing out that two types of plasmons exist; localized and propagating. The imaginary part of permittivity represents plasmon dissipation. Furthermore, the amount of dissipation for localized modes is much higher than for the propagating ones. Here, we limit our calculation to the RPA and we neglect the exchange–correlation effect which can be introduced by a local field factor, for example, in the Hubbard approximation [43]. The permittivity, also known as the dielectric function in the momentum and frequency domains within the RPA, is given by [42]:
where and are the matrix elements of the Coulomb potential and the Lindhard polarization function, respectively. The linear eigenvalues of metallic AGNRs support two sorts of transitions; intra-band and inter-band transitions, also known as single-band (SB) and two-band (TB) transitions, respectively. To distinguish between the plasmon modes for these transitions, we use the corresponding polarization functions and from Reference [44], namely:
where , , and are the dimensionless wave vector, frequency, and renormalized Fermi velocity respectively. One should notice that any substrate modifies the Fermi velocity of graphene ribbons, and it can be obtained through the THz-TDS measurement schemes [45]. It is worth pointing out that any substrate can introduce a gap in the energy spectrum of AGNRs similar to graphene on hBN or any TMDC material [46,47,48,49]. In general, this introduced gap will not alter the polarization function for SB transitions. In addition, one can take into account this effect for TB transitions by replacing with with being the gap energy. First, we consider and in Section 4 take .
The Coulomb matrix element in Equation (1) for both SB and TB transitions is given by [50]:
where W and are the ribbon width and the zeroth order modified Bessel function of the second kind, respectively. Note that in expression (4), the parameter is the averaged permittivity defined by [51]. Since the temperature strongly affects this parameter, it can act as a knob to switch on and off the plasmon modes. One successful method in describing the temperature dependence of VO is the Maxwell-Garnet approximation explained in Reference [40]. In it the permittivity is:
where F, the filling factor, is the ratio between the metallic and insulating phases. It is given by [52]:
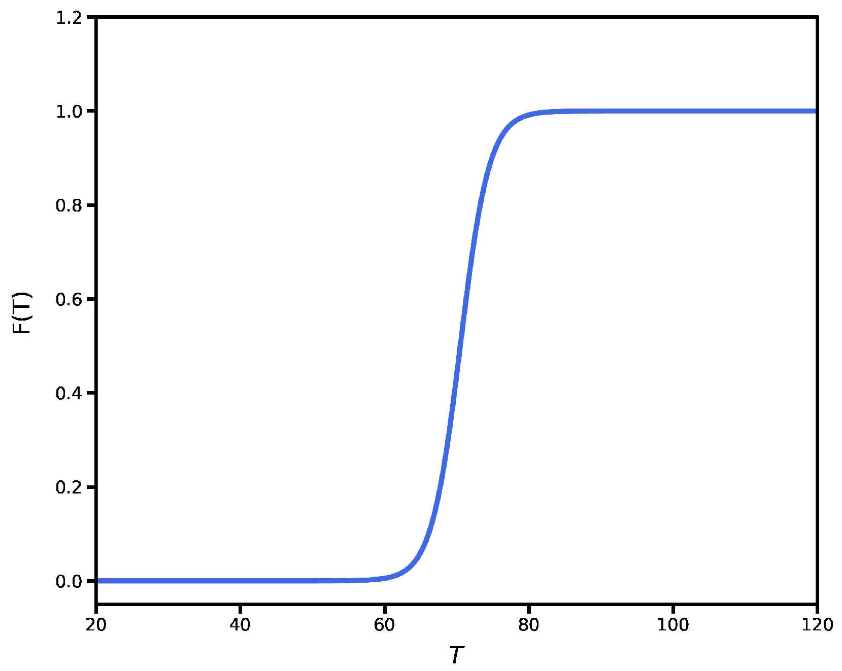
with = 70.5 °C and = 4 °C. In Figure 2, we plot the filling factor as a function of the temperature T. As shown, for °C. In this range, VO is in the insulating phase while for °C it is in the metallic phase. Moreover, for it is in a mixture of both phases.
Figure 2.
VO filling factor as a function of temperature.
In the following, we consider m/s for simplicity. The influence of the renormalized Fermi velocity will be discussed in Section 5.
3. Results and Discussion
In Figure 3a, we plot the Coulomb potential as a function of the dimensionless wave vector in the absence and presence of a VO substrate; the Fermi energy and ribbon width dimer numbers are eV and , respectively. Here the average dielectric constant, , is considered at °C in which the substrate is in insulating phase. Since the difference between these two cases is very small, we utilize the logarithmic scale. Here bar and MG indicate the presence and absence of VO, respectively. As shown, the Coulomb potential in both cases shows the same trend, i.e., by increasing the wave vector its magnitude reduces rapidly. To investigate the impact of temperature on the , in Figure 3b we plot the difference between at °C and that at several temperatures specified by in the figure. It is noticeable that by increasing the temperature, which is equivalent to increasing the fraction of the metallic, the magnitude of the Coulomb potential becomes larger. In Figure 3c we plot Coulomb potential as a function of the temperature for several values of the wave vector. We see that has a lower magnitude in the insulating phase than in the metallic one. In addition, increasing the wave vector leads to a decrease of the magnitude.
Figure 3.
(a) Coulomb potential in AGNRs in the absence (bar) and presence (MG) of VO; (b) for several ; (c) as a function of temperature for several wave vectors.
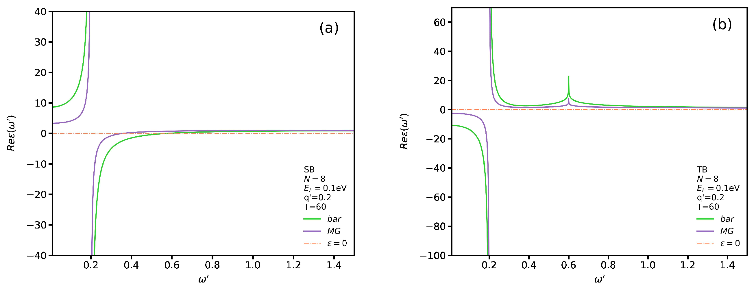
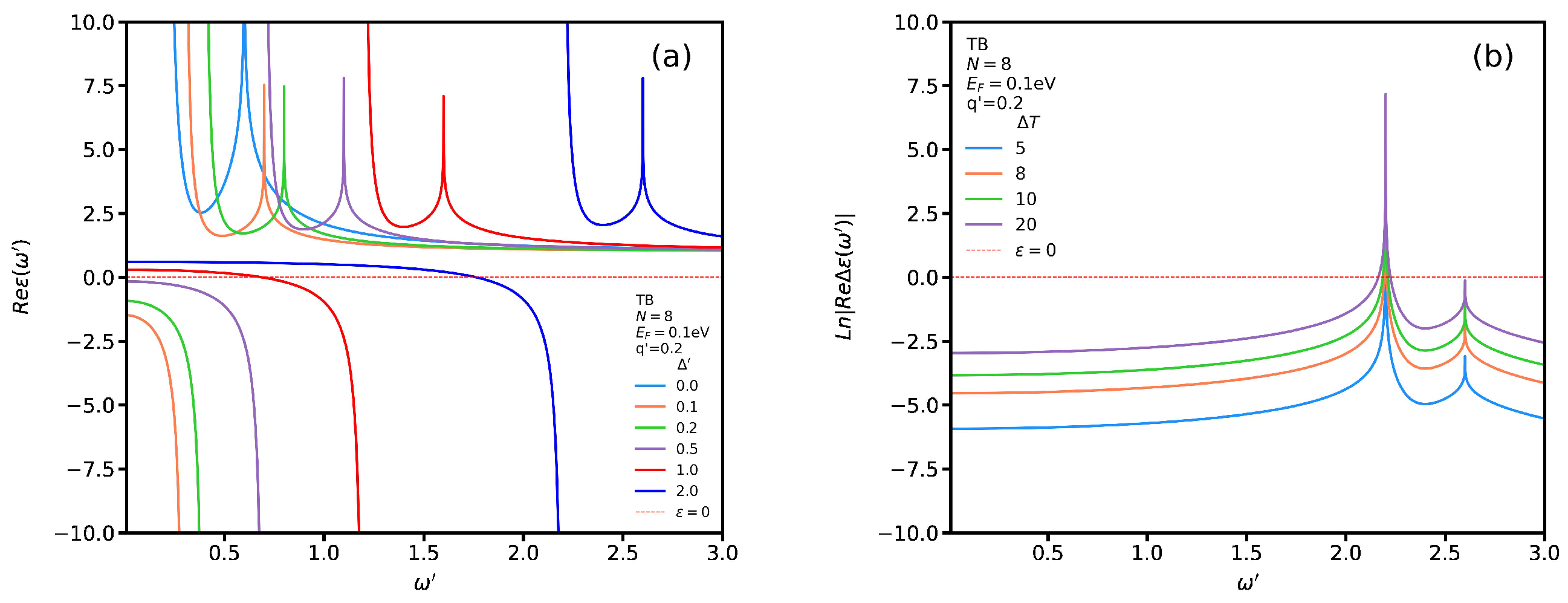
In Figure 4a,b, we plot the real parts of Equation (1) for SB and TB transitions, respectively, as functions of the dimensionless frequency , in the presence and absence of VO, and for a typical wave vector, for example, . In addition, we plot the orange line to see where the zeros of occur.
Figure 4.
Real parts of , at °C as functions of for SB transitions in (a) and TB transitions in (b).
We notice that, for SB transitions, the graphs intersect the orange line at two points which are related to localized and propagating plasmon modes in the presence and absence of VO. However, for TB transitions there is only one intersection point due to localized plasmon modes. In addition, for SB transitions we see in Figure 4a that the graphs in the presence and absence of VO for low frequencies increase and decrease dramatically. In general, the magnitude of the AGNR permittivity in the absence of VO is higher. Moreover, the permittivity for TB transitions, compared to that for SB transitions, shows a reverse behavior. Indeed, for low frequency, the magnitude of the AGNR permittivity in the presence of VO is higher than in its absence.
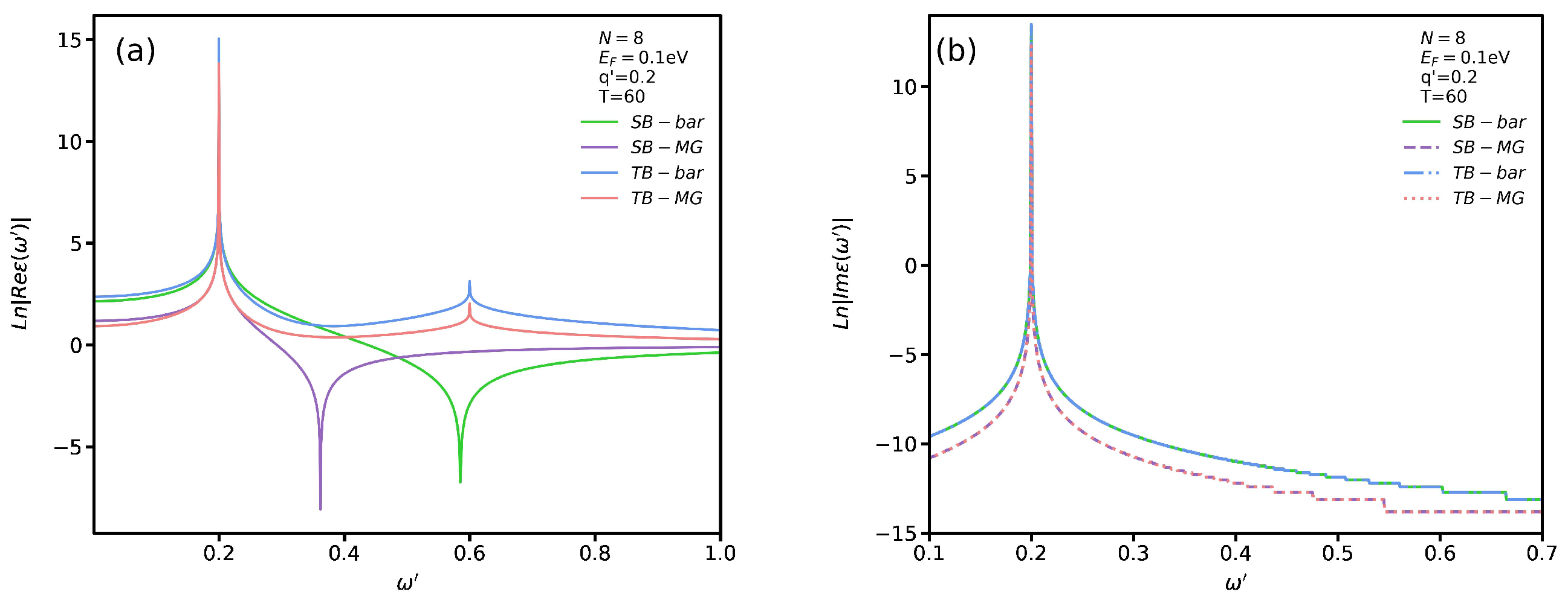
To better assess the effect of VO’s presence on , in Figure 5a,b we plot, respectively, its real and imaginary parts for SB and TB transitions with and °C. We employ the logarithmic scale to see more clearly the subtle difference between these transitions. It is noticeable that the permittivity diverges in all cases for . If one looks at the imaginary part of the permittivity at this point in Figure 5b, one can observe that the magnitude has the highest value which indicates a maximum dissipation at this frequency. In other words, if a plasmon excitation mode occurs at this point, due to its high dissipation it would definitely be a localized one. We observe that the real part of the dielectric function for both SB and TB transitions diverges at two points which are pertinent to localized plasmon and single-body excitation modes. The difference between these modes can be distinguished by comparing the magnitude of . For instance, the two points for TB transitions in the absence of VO occur at and . If one looks at the magnitude of at these two frequencies, one can see that the magnitude at is much higher than that at . Therefore, on can conclude that the first and second points are relevant to the localized plasmon and single-body excitation modes, respectively. In addition, we notice that the single-body excitation mode in the presence of VO occurs at a lower frequency for SB transitions. In other words, the substrate causes a significant shift in the permittivity spectrum. However, the divergence point for TB transitions does not shift. We notice that in Figure 5b the magnitude of vanishes except at a specific point. The interesting trend is the similarity between the behaviors of the graphs, in the presence and absence of VO, for SB and TB transitions. In particular, the magnitude of the imaginary part of the permittivity has the same value in the absence and presence of VO regardless of the transition type.
Figure 5.
Real (a) and imaginary (b) parts of as functions of for both SB and TB transitions.
To assess the influence of the temperature T on the permittivity we plot in Figure 6a,b for SB and TB transitions, respectively. In general, we see that increasing T causes a transition from the insulating to the metallic phase in VO and the magnitude of the permittivity increases for both transitions. In addition, we observe that the divergence points do not shift by increasing the temperature.
Figure 6.
Real part of as function of for (a) SB and (b) TB transitions.
In Figure 7a we plot the propagating plasmon modes for SB transition. The labels bar and MG distinguish between including and excluding the VO substrate. Note that there is no propagating plasmon modes for TB transition (see Figure 7b). The principal reason for using these labels is to show the impact of VO on the Coulomb matrix elements given by Equation (4). As shown in Figure 7a, we see that the slope of the SB-bar transition, in the absence of a VO substrate, is higher than that in its presence, SB-MG. In other words, the excitation energy of the propagating plasmon is higher than that of the SB-MG one for the same wave vector. While the plasmon mode dispersion of SB-bar is limited to wave vectors smaller than the Fermi wave vector, the SB-MG plasmon mode dispersion exists for all wave vectors. In addition, the SB-MG plasmon mode energy has an unexpected upward jump at the Fermi wave vector . It is also noticeable that SB-MG plasmons are absent for though SB-bar plasmons exist in this range of wave vectors.
Figure 7.
(a) Propagating plasmon for SB transition spectrum in the absence and presence of VO. (b) for several .
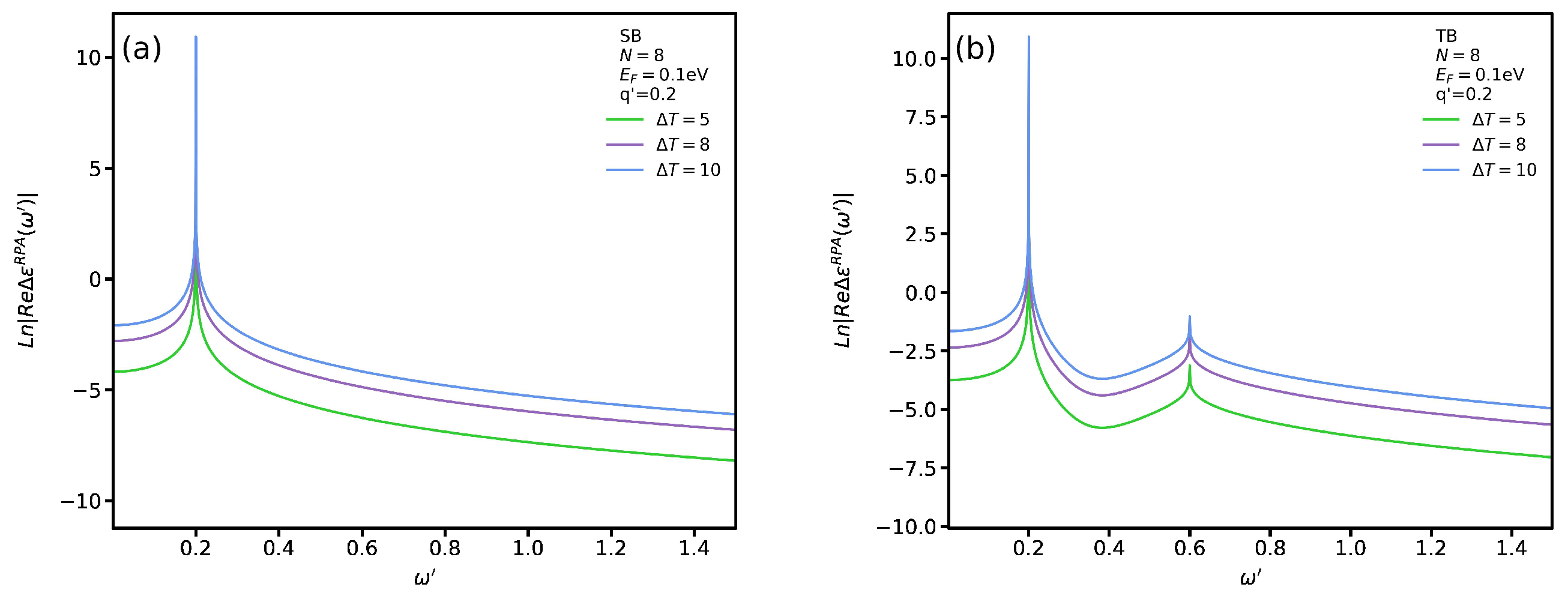
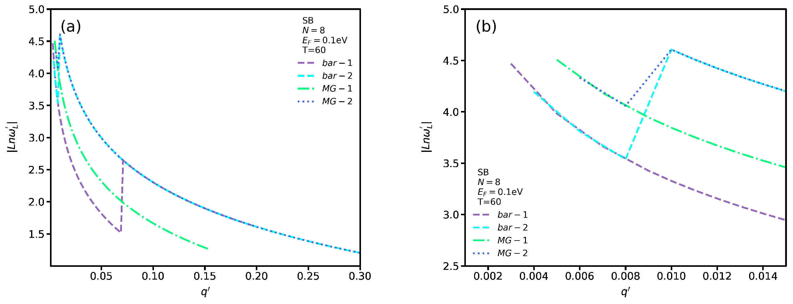
To show the difference between propagating SB plasmon modes for different temperatures, we set as the difference between the plasmon frequency at temperatures T and °C in Figure 7b. In addition, we use the logarithmic scale to plot the dispersion. Figure 7b shows a similar trend for spectrum in which increasing the wave vector magnitude leads to an increase of for whereas for there are no significant changes. Furthermore, increasing results in larger values. Additionally, the slope of the dispersion decreases with the plasmon wave vector for . In Figure 8a, we plot the localized plasmon and single-body excitation dispersion in the presence and absence of VO for SB transitions. In Figure 8b, we plot the SB spectrum in the long wavelength limit to see their behavior more clearly. The labels bar-1 and bar-2 indicate the localized plasmon and single-body excitation branches for SB in the absence of a VO substrate and MG-1, MG-2 those in its presence. As seen, the bar-1 branch decreases rapidly by increasing . However, near there is a jump in which the energy of the localized plasmon increases unexpectedly. Then, the previous trend in bar-1 continues but the group velocity becomes lower. In Figure 8b, there is a degeneracy range between the bar-1 and bar-2 branches in which their spectra have the same frequency and momentum. Returning to Figure 8a, there is another degeneracy range which begins exactly after the jumping point in the bar-1 branch. Note that the bar-1 branch extends only for a limited range in which the maximum wave vector is . For the bar-2 branch, we observe a similar pattern but the jumping point in bar-1 occurs at higher . In the presence of VO, the first MG-1 branch is similar to the bar-1 one in which the localized plasmon frequency is reduced by increasing the wave vector. Nevertheless, the MG-1 frequencies are higher than those of the bar-1 branch. In addition, we note that, in this case, there exists only one degeneracy range, whereas in the absence of VO there are two ranges. As shown in Figure 8b, the MG-2 plasmon spectrum coincides with that of the bar-2 one except in the long wavelength limit. For TB transitions, as we mentioned in Figure 4, there are no propagating plasmon modes and only localized plasmon modes exist whose slope is equal to one. Hence, we have not included them here.
Figure 8.
(a) Localized plasmon and single-body excitation dispersion for SB transitions in the absence and presence of VO; (b) As in (a) for .
4. Band Gap Effect on Polarization and Plasmon Modes
Some studies show that substrates and nanostructuring (by e.g., creating nanoribbons) induce a band gap between the conduction and valence bands in graphene [46,47,48,49,53,54,55,56,57]. To account for the influence of this gap in the AGNR’s polarization function, it suffices to change to in the denominator of Equation (19) in Reference [44]. While the results are the same as in Equation (2) for SB transitions, for TB transitions we obtain:
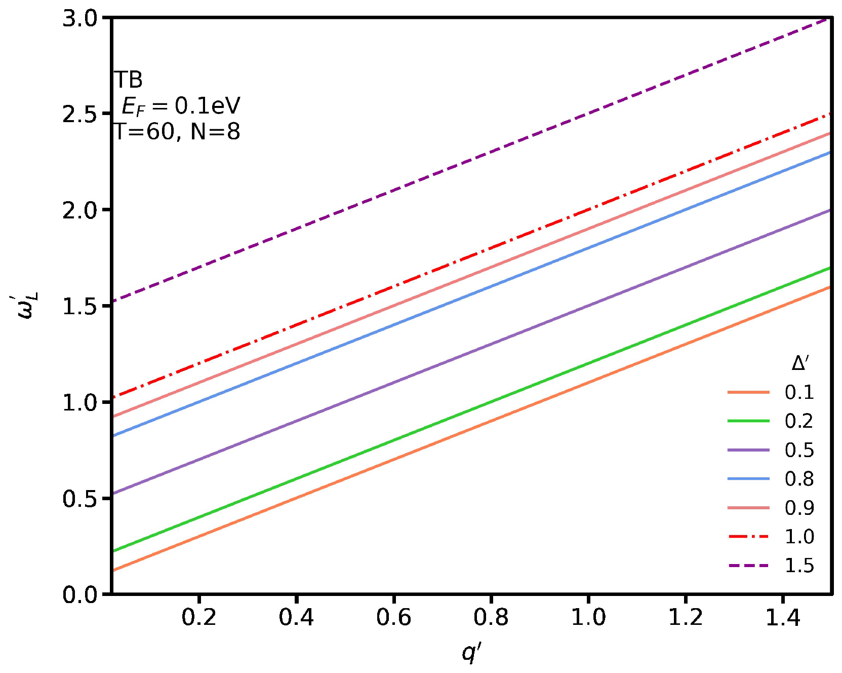
Hence, we need to focus on the influence of the substrate on the TB permittivity and plasmon modes hereafter. In Figure 9a we show the real part of the TB dielectric function for several at °C. As seen, all graphs show the same trend. In particular, by increasing the gap, the localized plasmon modes occur at higher frequencies. In addition, we find out that there is a critical below which no propagating plasmon modes exist while there are both localized plasmon and single-body excitation modes. For instance, we observe that for at there are no propagating plasmon modes. In addition, the frequency of the propagating plasmon modes becomes higher by increasing . Moreover, we see that localized plasmon and single-body excitation modes shift to higher frequencies by increasing the band gap. We plot for several temperatures in Figure 9b for at . While one can observe the same trend as Figure 6b, one notices that the divergence points shift to higher frequencies.
Figure 9.
(a) Real part of as functions of for TB transitions for several at °C. (b) for several temperature for .
We plot the propagating plasmon modes for different values of at °C for TB transitions in Figure 10a,b when and , respectively. Figure 10a shows that the propagating plasmon spectrum increases for higher values of . In particular, in the long-wavelength limit, the plasmon energy increases by . In addition, the group velocity of the plasmon modes is negative. As seen in Figure 10b, a parabolic trend of plasmon modes of turns to a linear one with a negative slope at and then, at , it shows again a parabolic behavior with positive group velocity. One can note that, by increasing the , the range of the linear trend becomes shorter and its group velocity changes from negative to positive. In addition, the linear trend vanishes. In this case the plasmon spectrum shows a negative velocity at the beginning but by increasing at a certain point it changes its behavior and manifests a positive group velocity. We plot the propagating plasmon dispersion, with , for several temperatures to asses how shifting from insulating to metallic phase of VO modifies the propagating plasmon spectrum in Figure 10c. One notices that all the graphs have the same trend, i.e., the propagating plasmon frequency decreases and by increasing its wave vector. In addition, the propagating plasmon spectrum’s range is reduced by increasing the temperature. In other words, increasing the temperature shifts the plasmon energy to lower values. Figure 10d depicts, as we explained in Figure 10c, when the energy gap is much larger than the Fermi energy (). One can observe that, for all temperatures, there is a general trend, which we mentioned in Figure 10b. However, one sees that the linear part of the plasmon spectrum increases for higher temperatures. In addition, the slope of this linear part of dispersion is higher for lower temperatures.
Figure 10.
(a,b) propagating plasmon modes for different value of and at °C for TB transition in the presence of VO. (c,d) plasmon spectrum for several temperature for and .
Figure 11 shows the localized plasmon spectrum for several at °C. One can observe that all graphs have the same slope. In addition, we see the frequency of the localized plasmon for becomes larger by increasing the energy gap. Here, we have not included the single-body excitation spectrum since the differences in temperature and have a negligible effect on it.
Figure 11.
Localized plasmon dispersion for several at °C.
5. Renormalized Fermi Velocity on Plasmon Modes
Indeed, the renormalized Fermi velocity of AGNRs in the presence of VO in both insulating and metallic phases can be evaluated by
where Å and [45,58]. Here, we limit our study as an example only to the SB case to see the influence of on the plasmon spectrum. Figure 12a shows as a function of temperature for several Fermi energies. One can notice a general trend in which the normalized Fermi velocity has a lower value in the insulating phase than in the metallic phase. In addition, the normalized Fermi velocity decreases by increasing the Fermi energy. In Figure 12b, similar to Figure 7a, the labels bar- and MG- indicate the presence and absence of VO when . The label MG- indicates the presence of VO when is evaluated by Equation (8). Although the MG- plasmon spectrum behavior is similar to that of MG-, the latter plasmon energy is lower than the former. In particular, the difference between plasmon energy of MG- and MG- increases by for . While this difference is constant for .
Figure 12.
(a) Renormalized Fermi velocity as functions of temperature for several ; (b) Comparing SB plasmon spectrum for and .
6. Summary
We studied the effects of VO as a PCM on plasmons in metallic AGNRs within the RPA for both SB and TB transitions. We observed that metallic AGNRs support two types of plasmon modes: localized and propagating as well as single-body excitation modes for SB transitions while no propagating plasmon modes exist for TB transitions, provided the influence of a substrate-induced band gap is negligible (). The group velocity of the localized plasmon modes and single-body excitations decreases with the plasmon wave vector whereas that of the propagating plasmons increases with it. We further showed how the transition from the insulating to the metallic phase in VO modifies the plasmon dispersion. For SB transitions, we noticed that the presence of VO results in propagating plasmons for a range of wave vectors which do not exist in the absence of VO. In particular, a jumping point in the spectrum of the propagating plasmons exists at which the frequency increases unexpectedly.
We found that the presence of VO leads to localized plasmon modes with a higher frequency for SB transitions. In addition, the wave vector range becomes smaller and the jumping point disappears. We further notice that the single-body excitation spectrum does not change except in the long-wavelength limit. Further, we showed that the jumping point of the single-body excitations occurs at lower wave vectors in the absence of VO and a degeneracy exists between the localized plasmon and single-body excitation beyond the jumping point of the localized mode. However, in the presence of VO, only one jumping point exists in the long-wavelength limit for single-body excitations. We showed that taking into account a substrate-induced band gap leads to a modification of the Lindhard polarization function which in turn leads to propagating plasmon modes for TB transitions. Increasing shifts the frequencies of the propagating and localized plasmons as well as the single-body excitations to higher values. In addition, we noticed that a critical energy band gap, , exists below which the group velocity of the propagating plasmons is negative. Furthermore, we observed that the parabolic behavior of the propagating plasmon modes with negative group velocity becomes linear by increasing the value of beyond . By further increasing , the spectrum acquires a positive group velocity. The range of the propagating plasmon spectrum increases for higher values of . Finally, increasing the temperature results in an extension of the linear part of the propagating-plasmon dispersion.
We found that the normalized Fermi velocity, , has a higher value in the metallic phase than in the insulating phase. In addition, value increases by decreasing the Fermi energy. We showed that reducing the value of leads to plasmon modes with a higher frequency in the SB case.
The obtained results could be employed in plasmonic quantum processors in which modifying the temperature as a knob plays a critical role in altering qubits states.
Author Contributions
Conceptualization, M.B. and P.V.; methodology, M.B. and P.V. software, M.B.; validation, M.B. and P.V.; formal analysis, M.B. and P.V.; investigation, M.B. and P.V.; resources, M.B. and P.V.; data curation, M.B.; writing—original draft preparation, M.B.; writing—review and editing, P.V.; visualization, M.B. All authors have read and agreed to the published version of the manuscript.
Funding
This research received no external funding.
Institutional Review Board Statement
Not applicable.
Informed Consent Statement
Not applicable.
Data Availability Statement
Not applicable.
Conflicts of Interest
The authors declare no conflict of interest.
References
- Gramotnev, D.; Bozhevolnyi, S. Plasmonics beyond the diffraction limit. Nat. Photonics 2010, 4, 83–91. [Google Scholar] [CrossRef]
- Kushwaha, M. Plasmons and magnetoplasmons in semiconductor heterostructures. Surf. Sci. Rep. 2001, 41, 1–416. [Google Scholar] [CrossRef]
- Moore, G. Cramming more components onto integrated circuits, Reprinted from Electronics, volume 38, number 8, April 19, 1965, pp. 114 ff. IEEE Solid-State Circuits Soc. Newsl. 2006, 11, 33–35. [Google Scholar] [CrossRef]
- Meindl, J.; Chen, Q.; Davis, J. Limits on Silicon Nanoelectronics for Terascale Integration. Science 2001, 293, 2044–2049. [Google Scholar] [CrossRef] [PubMed]
- Keyes, R. Fundamental limits of silicon technology. Proc. IEEE 2001, 89, 227–239. [Google Scholar] [CrossRef]
- Ozbay, E. Plasmonics: Merging Photonics and Electronics at Nanoscale Dimensions. Science 2006, 311, 189–193. [Google Scholar] [CrossRef]
- Brongersma, M.; Shalaev, V. The Case for Plasmonics. Science 2010, 328, 440–441. [Google Scholar] [CrossRef]
- Maier, S.; Brongersma, M.; Kik, P.; Meltzer, S.; Requicha, A.; Atwater, H. Plasmonics-A Route to Nanoscale Optical Devices. Adv. Mater. 2001, 13, 1501–1505. [Google Scholar] [CrossRef]
- Boltasseva, A.; Atwater, H. Low-Loss Plasmonic Metamaterials. Science 2011, 331, 290–291. [Google Scholar] [CrossRef]
- Chen, J.; Badioli, M.; Alonso-González, P.; Thongrattanasiri, S.; Huth, F.; Osmond, J.; Spasenović, M.; Centeno, A.; Pesquera, A.; Godignon, P.; et al. Optical nano-imaging of gate-tunable graphene plasmons. Nature 2012, 487, 77–81. [Google Scholar] [CrossRef]
- Fei, Z.; Rodin, A.; Andreev, G.; Bao, W.; McLeod, A.; Wagner, M.; Zhang, L.; Zhao, Z.; Thiemens, M.; Dominguez, G.; et al. Gate-tuning of graphene plasmons revealed by infrared nano-imaging. Nature 2012, 487, 82–85. [Google Scholar] [CrossRef] [PubMed]
- Bozhevolnyi, S.; Khurgin, J. The case for quantum plasmonics. Nat. Photonics 2017, 11, 398–400. [Google Scholar] [CrossRef]
- Bao, Q.; Loh, K. Graphene Photonics, Plasmonics, and Broadband Optoelectronic Devices. ACS Nano 2012, 6, 3677–3694. [Google Scholar] [CrossRef] [PubMed]
- Oulton, R.; Sorger, V.; Genov, D.; Pile, D.; Zhang, X. A hybrid plasmonic waveguide for subwavelength confinement and long-range propagation. Nat. Photonics 2008, 2, 496–500. [Google Scholar] [CrossRef]
- Kumar, P.; Pastoriza-Santos, I.; Rodriguez-González, B.; Abajo, F.; Liz-Marzán, L. High-yield synthesis and optical response of gold nanostars. Nanotechnology 2007, 19, 015606. [Google Scholar] [CrossRef] [PubMed]
- Hao, F.; Nehl, C.; Hafner, J.; Nordlander, P. Plasmon Resonances of a Gold Nanostar. Nano Lett. 2007, 7, 729–732. [Google Scholar] [CrossRef] [PubMed]
- Zhang, X.; Hicks, E.; Zhao, J.; Schatz, G.; Duyne, R. Electrochemical Tuning of Silver Nanoparticles Fabricated by Nanosphere Lithography. Nano Lett. 2005, 5, 1503–1507. [Google Scholar] [CrossRef] [PubMed]
- Rodriguez-Fortuño, F.; Martinez-Marco, M.; Tomas-Navarro, B.; Ortuno, R.; Marti, J.; Martinez, A.; Rodriguez-Canto, P. Highly-sensitive chemical detection in the infrared regime using plasmonic gold nanocrosses. Appl. Phys. Lett. 2011, 98, 133118. [Google Scholar] [CrossRef]
- Yu, N.; Capasso, F. Flat optics with designer metasurfaces. Nat. Mater. 2014, 13, 139–150. [Google Scholar] [CrossRef]
- Kravets, V.; Kabashin, A.; Barnes, W.; Grigorenko, A. Plasmonic Surface Lattice Resonances: A Review of Properties and Applications. Chem. Rev. 2018, 118, 5912–5951. [Google Scholar] [CrossRef]
- Makarov, S.; Zalogina, A.; Tajik, M.; Zuev, D.; Rybin, M.; Kuchmizhak, A.; Juodkazis, S.; Kivshar, Y. Light-Induced Tuning and Reconfiguration of Nanophotonic Structures. Laser Photonics Rev. 2017, 11, 1700108. [Google Scholar] [CrossRef]
- Liu, H.; Lu, J.; Wang, X. Metamaterials based on the phase transition of VO2. Nanotechnology 2017, 29, 024002. [Google Scholar] [CrossRef] [PubMed]
- Quackenbush, N.; Tashman, J.; Mundy, J.; Sallis, S.; Paik, H.; Misra, R.; Moyer, J.; Guo, J.; Fischer, D.; Woicik, J.; et al. Nature of the Metal Insulator Transition in Ultrathin Epitaxial Vanadium Dioxide. Nano Lett. 2013, 13, 4857–4861. [Google Scholar] [CrossRef] [PubMed]
- Whittaker, L.; Patridge, C.; Banerjee, S. Microscopic and Nanoscale Perspective of the Metal-Insulator Phase Transitions of VO2: Some New Twists to an Old Tale. J. Phys. Chem. Lett. 2011, 2, 745–758. [Google Scholar] [CrossRef]
- Wei, J.; Wang, Z.; Chen, W.; Cobden, D. New aspects of the metal–insulator transition in single-domain vanadium dioxide nanobeams. Nat. Nanotechnol. 2009, 4, 420–424. [Google Scholar] [CrossRef]
- Eyert, V. VO2: A Novel View from Band Theory. Phys. Rev. Lett. 2011, 107, 016401. [Google Scholar] [CrossRef]
- Haverkort, M.; Hu, Z.; Tanaka, A.; Reichelt, W.; Streltsov, S.; Korotin, M.; Anisimov, V.; Hsieh, H.; Lin, H.; Chen, C.; et al. Orbital-Assisted Metal-Insulator Transition inVO2. Phys. Rev. Lett. 2005, 95, 196404. [Google Scholar] [CrossRef]
- Marezio, M.; McWhan, D.; Remeika, J.; Dernier, P. Structural Aspects of the Metal-Insulator Transitions in Cr-Doped VO2. Phys. Rev. B 1972, 5, 2541–2551. [Google Scholar] [CrossRef]
- Pouget, J.; Launois, H.; D’Haenens, J.; Merenda, P.; Rice, T. Electron Localization Induced by Uniaxial Stress in Pure VO2. Phys. Rev. Lett. 1975, 35, 873–875. [Google Scholar] [CrossRef]
- Stefanovich, G.; Pergament, A.; Velichko, A.; Stefanovich, L. Anodic oxidation of vanadium and properties of vanadium oxide films. J. Phys. Condens. Matter 2004, 16, 4013–4024. [Google Scholar] [CrossRef]
- Nakano, M.; Shibuya, K.; Okuyama, D.; Hatano, T.; Ono, S.; Kawasaki, M.; Iwasa, Y.; Tokura, Y. Collective bulk carrier delocalization driven by electrostatic surface charge accumulation. Nature 2012, 487, 459–462. [Google Scholar] [CrossRef] [PubMed]
- Choi, H.; Ahn, J.; Jung, J.; Noh, T.; Kim, D. Mid-infrared properties of aVO2film near the metal-insulator transition. Phys. Rev. B 1996, 54, 4621–4628. [Google Scholar] [CrossRef] [PubMed]
- Morin, F. Oxides Which Show a Metal-to-Insulator Transition at the Neel Temperature. Phys. Rev. Lett. 1959, 3, 34–36. [Google Scholar] [CrossRef]
- Driscoll, T.; Kim, H.; Chae, B.; Kim, B.; Lee, Y.; Jokerst, N.; Palit, S.; Smith, D.; Ventra, M.; Basov, D. Memory Metamaterials. Science 2009, 325, 1518–1521. [Google Scholar] [CrossRef] [PubMed]
- Qazilbash, M.; Brehm, M.; Chae, B.; Ho, P.; Andreev, G.; Kim, B.; Yun, S.; Balatsky, A.; Maple, M.; Keilmann, F.; et al. Mott Transition in VO 2 Revealed by Infrared Spectroscopy and Nano-Imaging. Science 2007, 318, 1750–1753. [Google Scholar] [CrossRef]
- Ben-Messaoud, T.; Landry, G.; Gariépy, J.; Ramamoorthy, B.; Ashrit, P.; Haché, A. High contrast optical switching in vanadium dioxide thin films. Opt. Commun. 2008, 281, 6024–6027. [Google Scholar] [CrossRef]
- Cavalleri, A.; Tóth, C.; Siders, C.; Squier, J.; Ráksi, F.; Forget, P.; Kieffer, J. Femtosecond Structural Dynamics inVO2during an Ultrafast Solid-Solid Phase Transition. Phys. Rev. Lett. 2001, 87, 237401. [Google Scholar] [CrossRef]
- Bonora, S.; Bortolozzo, U.; Residori, S.; Balu, R.; Ashrit, P. Mid-IR to near-IR image conversion by thermally induced optical switching in vanadium dioxide. Opt. Lett. 2010, 35, 103. [Google Scholar] [CrossRef]
- Becker, M.; Buckman, A.; Walser, R.; Lépine, T.; Georges, P.; Brun, A. Femtosecond laser excitation of the semiconductor-metal phase transition in VO2. Appl. Phys. Lett. 1994, 65, 1507–1509. [Google Scholar] [CrossRef]
- Markel, V. Introduction to the Maxwell Garnett approximation: Tutorial. J. Opt. Soc. Am. A 2016, 33, 1244. [Google Scholar] [CrossRef]
- Brey, L.; Fertig, H. Elementary electronic excitations in graphene nanoribbons. Phys. Rev. B 2007, 75, 125434. [Google Scholar] [CrossRef]
- Haug, H.; Koch, S. Quantum Theory of the Optical and Electronic Properties of Semiconductors; World Scientific Publishing: Singapore, 2009. [Google Scholar] [CrossRef]
- Giuliani, G.; Vignale, G. Quantum Theory of the Electron Liquid; Cambridge University Press: Cambridge, UK, 2005. [Google Scholar] [CrossRef]
- Bahrami, M.; Vasilopoulos, P. Inhomogeneous linear responses and transport in armchair graphene nanoribbons in the presence of elastic scattering. Nanotechnology 2022, 33, 195201. [Google Scholar] [CrossRef] [PubMed]
- Whelan, P.R.; Zhou, B.; Bezencenet, O.; Shivayogimath, A.; Mishra, N.; Shen, Q.; Jessen, B.S.; Pasternak, I.; Mackenzie, D.M.; Ji, J.; et al. Case studies of electrical characterisation of graphene by terahertz time-domain spectroscopy. 2D Mater. 2021, 8, 022003. [Google Scholar] [CrossRef]
- Nevius, M.; Conrad, M.; Wang, F.; Celis, A.; Nair, M.; Taleb-Ibrahimi, A.; Tejeda, A.; Conrad, E. Semiconducting Graphene from Highly Ordered Substrate Interactions. Phys. Rev. Lett. 2015, 115, 136802. [Google Scholar] [CrossRef] [PubMed]
- Zhang, W.; Lin, C.; Liu, K.; Tite, T.; Su, C.; Chang, C.; Lee, Y.; Chu, C.; Wei, K.; Kuo, J.; et al. Opening an Electrical Band Gap of Bilayer Graphene with Molecular Doping. ACS Nano 2011, 5, 7517–7524. [Google Scholar] [CrossRef] [PubMed]
- Shemella, P.; Nayak, S. Electronic structure and band-gap modulation of graphene via substrate surface chemistry. Appl. Phys. Lett. 2009, 94, 032101. [Google Scholar] [CrossRef]
- Sławińska, J.; Zasada, I.; Klusek, Z. Energy gap tuning in graphene on hexagonal boron nitride bilayer system. Phys. Rev. B 2010, 81, 155433. [Google Scholar] [CrossRef]
- Brahami, M.; Vasilopoulos, P. Exchange, correlation, and scattering effects on surface plasmons in arm-chair graphene nanoribbons. Opt. Express 2017, 25, 16840. [Google Scholar] [CrossRef]
- Bagheri, M.; Bahrami, M. Plasmons in spatially separated double-layer graphene nanoribbons. J. Appl. Phys. 2014, 115, 174301. [Google Scholar] [CrossRef]
- Leahu, G.; Voti, R.; Sibilia, C.; Bertolotti, M. Anomalous optical switching and thermal hysteresis during semiconductor-metal phase transition of VO2 films on Si substrate. Appl. Phys. Lett. 2013, 103, 231114. [Google Scholar] [CrossRef]
- Enderlein, C.; Kim, Y.; Bostwick, A.; Rotenberg, E.; Horn, K. The formation of an energy gap in graphene on ruthenium by controlling the interface. New J. Phys. 2010, 12, 033014. [Google Scholar] [CrossRef]
- Davydov, S.; Lebedev, A.; Lebedev, S. Energy Gaps Induced by a Semiconducting Substrate in the Epitaxial Graphene Density of States. Mater. Sci. Forum. 2013, 740–742, 141–144. [Google Scholar] [CrossRef]
- Kharche, N.; Nayak, S. Quasiparticle Band Gap Engineering of Graphene and Graphone on Hexagonal Boron Nitride Substrate. Nano Lett. 2011, 11, 5274–5278. [Google Scholar] [CrossRef] [PubMed]
- Zhou, S.; Gweon, G.; Fedorov, A.; First, P.; Heer, W.; Lee, D.; Guinea, F.; Neto, A.; Lanzara, A. Substrate-induced bandgap opening in epitaxial graphene. Nat. Mater. 2007, 6, 770–775. [Google Scholar] [CrossRef]
- Giovannetti, G.; Khomyakov, P.; Brocks, G.; Kelly, P.; Brink, J. Substrate-induced band gap in graphene on hexagonal boron nitride. Phys. Rev. B 2007, 76, 073103. [Google Scholar] [CrossRef]
- Stauber, T.; Parida, P.; Trushin, M.; Ulybyshev, M.V.; Boyda, D.L.; Schliemann, J. Interacting Electrons in Graphene: Fermi Velocity Renormalization and Optical Response. Phys. Rev. Lett. 2017, 118, 266801. [Google Scholar] [CrossRef]
Publisher’s Note: MDPI stays neutral with regard to jurisdictional claims in published maps and institutional affiliations. |
© 2022 by the authors. Licensee MDPI, Basel, Switzerland. This article is an open access article distributed under the terms and conditions of the Creative Commons Attribution (CC BY) license (https://creativecommons.org/licenses/by/4.0/).











