Realization of Multifunctional Metamaterial Structure Based on the Combination of Vanadium Dioxide and Graphene
Abstract
:1. Introduction
2. Materials and Methods
3. Results and Discussions
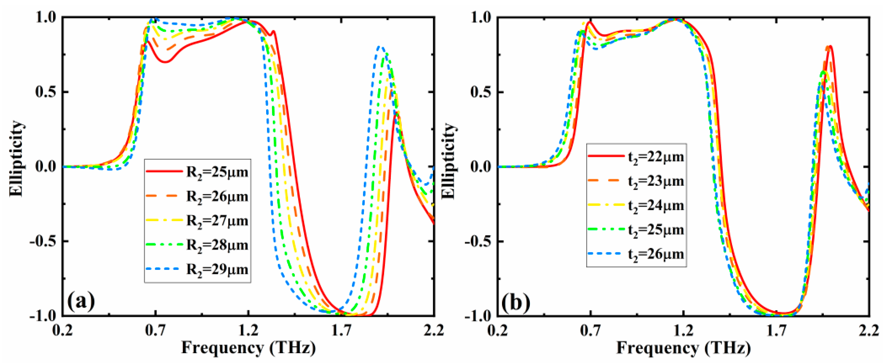
3.1. Designed Metamaterial Structure Works as the Polarization Converter
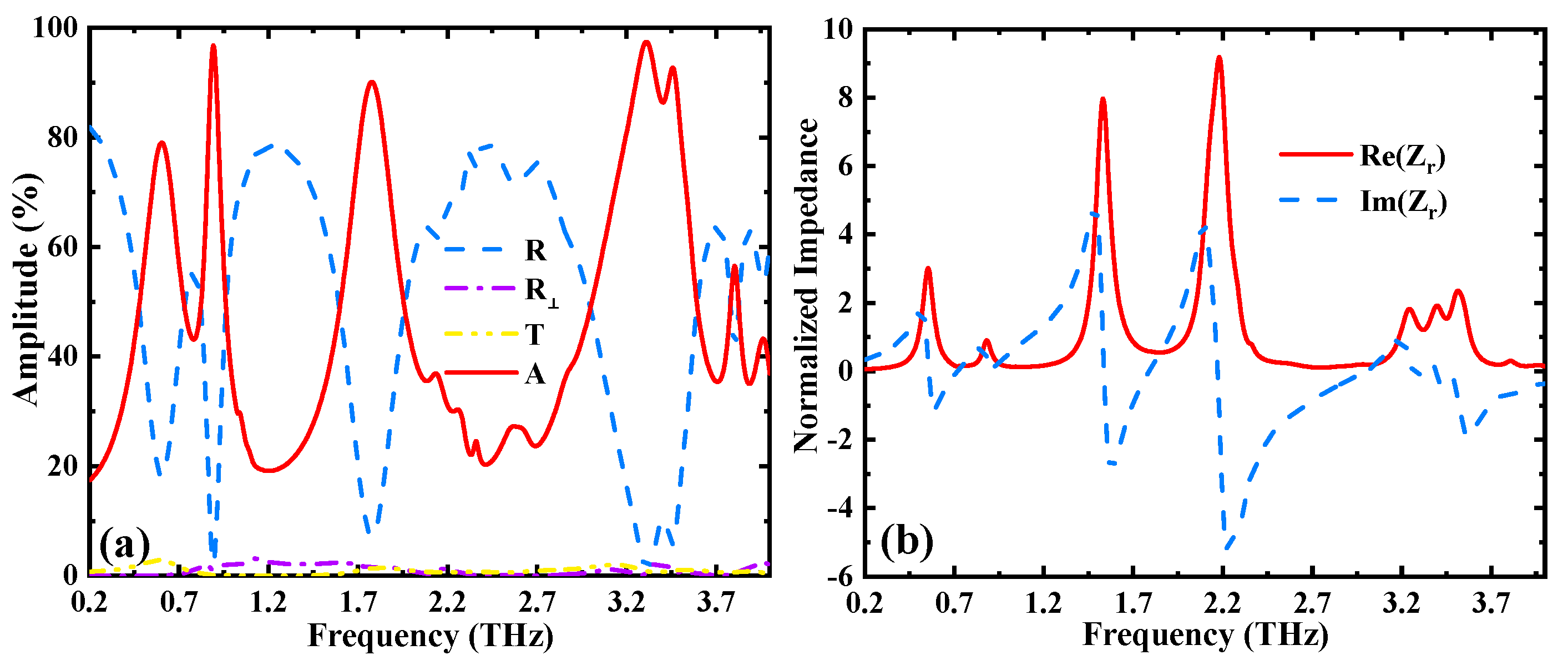
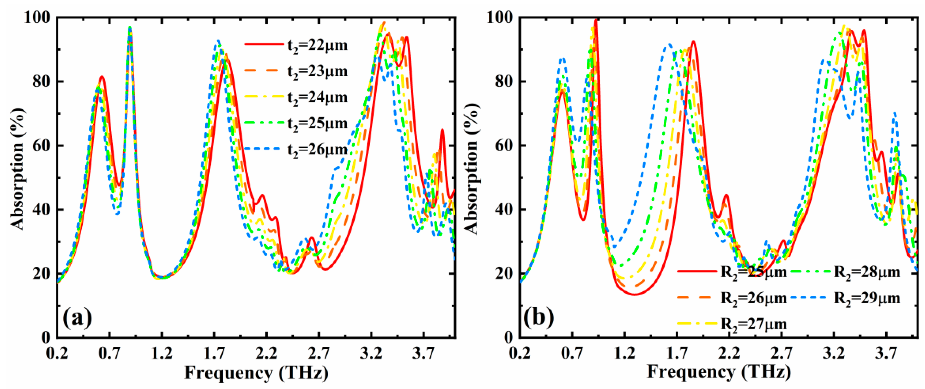
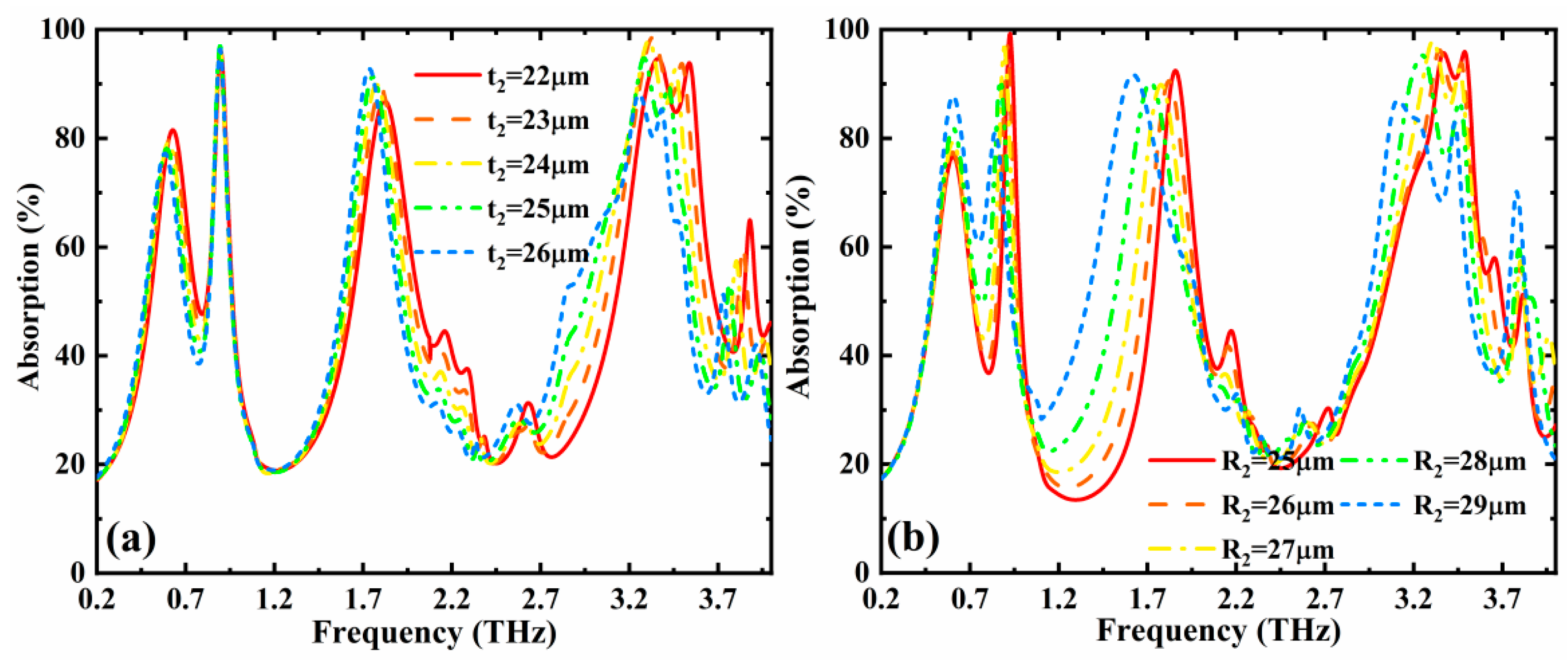
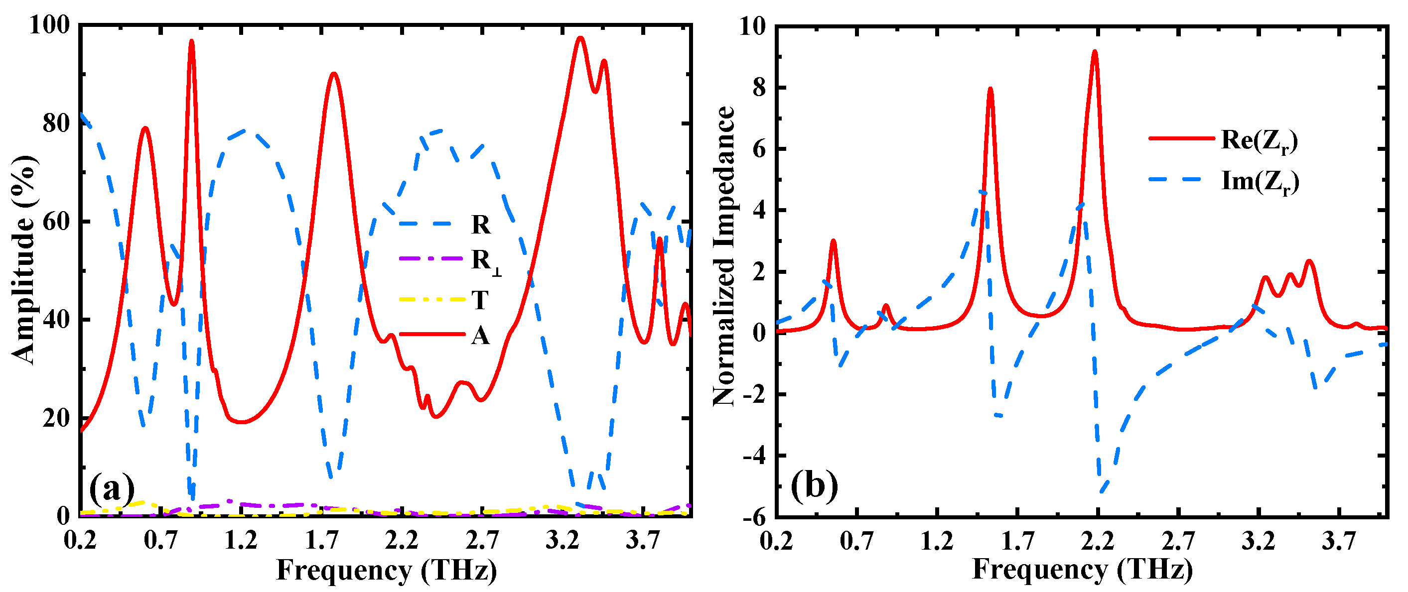
3.2. Designed Metamaterial Structure Works as the Absorbers
3.3. Designed Metamaterial Structure Acts as a Filter
4. Conclusions
Author Contributions
Funding
Data Availability Statement
Conflicts of Interest
References
- Yan, D.; Wang, Y.; Qiu, Y.; Feng, Q.; Li, X.; Li, J.; Qiu, G.; Li, J. A Review: The Functional Materials-Assisted Terahertz Metamaterial Absorbers and Polarization Converters. Photonics 2022, 9, 335. [Google Scholar] [CrossRef]
- Wang, Q.Z.; Liu, S.Y.; Ren, G.J.; Zhang, H.W.; Liu, S.C.; Yao, J.Q. Multi-parameter tunable terahertz absorber based on graphene and vanadium dioxide. Opt. Commun. 2021, 494, 127050. [Google Scholar] [CrossRef]
- Wang, B.; Luo, X.; Lu, Y.; Li, G. Full 360° Terahertz Dynamic Phase Modulation Based on Doubly Resonant Graphene–Metal Hybrid Metasurfaces. Nanomaterials 2021, 11, 3157. [Google Scholar] [CrossRef] [PubMed]
- Shen, H.; Liu, F.; Liu, C.; Zeng, D.; Guo, B.; Wei, Z.; Wang, F.; Tan, C.; Huang, X.; Meng, H. A Polarization-Insensitive and Wide-Angle Terahertz Absorber with Ring-Porous Patterned Graphene Metasurface. Nanomaterials 2020, 10, 1410. [Google Scholar] [CrossRef] [PubMed]
- Zheng, Z.P.; Luo, Y.; Yang, H.; Yi, Z.; Zhang, J.G.; Song, Q.J.; Yang, W.X.; Liu, C.; Wu, X.W.; Wu, P.H. Thermal tuning of terahertz metamaterial properties based on phase change material vanadium dioxide. Phys. Chem. Chem. Phys. 2022, 24, 8846–8853. [Google Scholar] [CrossRef]
- Chen, H.; Chen, Z.H.; Yang, H.; Wen, L.H.; Yi, Z.; Zhou, Z.G.; Dai, B.; Zhang, J.G.; Wu, X.W.; Wu, P.H. Multi-mode surface plasmon resonance absorber based on dart-type single-layer graphene. RSC Adv. 2022, 12, 7821–7829. [Google Scholar] [CrossRef]
- Zhao, F.; Lin, J.C.; Lei, Z.H.; Yi, Z.; Qin, F.; Zhang, J.G.; Liu, L.; Wu, X.W.; Yang, W.X.; Wu, P.H. Realization of 18.97% theoretical efficiency of 0.9 µm Thick c-Si/ZnO Heterojunction Ultrathin-film Solar Cells via Surface Plasmon Resonance Enhancement. Phys. Chem. Chem. Phys. 2022, 24, 4871–4880. [Google Scholar] [CrossRef]
- Zheng, Z.P.; Zheng, Y.; Luo, Y.; Yi, Z.; Zhang, J.G.; Liu, Z.M.; Yang, W.X.; Yu, Y.; Wu, X.W.; Wu, P.H. Switchable terahertz device combining ultra-wideband absorption and ultra-wideband complete reflection. Phys. Chem. Chem. Phys. 2022, 24, 2527–2533. [Google Scholar] [CrossRef]
- Wu, X.; Zheng, Y.; Luo, Y.; Zhang, J.; Yi, Z.; Wu, X.; Cheng, S.; Yang, W.; Yu, Y.; Wu, P. A four-band and polarization-independent BDS-based tunable absorber with high refractive index sensitivity. Phys. Chem. Chem. Phys. 2021, 23, 26864–26873. [Google Scholar] [CrossRef]
- Zhou, F.; Qin, F.; Yi, Z.; Yao, W.-T.; Liu, Z.; Wu, X.; Wu, P. Ultra-wideband and wide-angle perfect solar energy absorber based on Ti nanorings surface plasmon resonance. Phys. Chem. Chem. Phys. 2021, 23, 17041–17048. [Google Scholar] [CrossRef]
- Liu, Y.; Huang, R.; Ouyang, Z.B. Terahertz absorber with dynamically switchable dual-broadband based on a hybrid metamaterial with vanadium dioxide and graphene. Opt. Express 2021, 29, 20839–20850. [Google Scholar] [CrossRef] [PubMed]
- Wu, T.; Wang, G.; Jia, Y.; Shao, Y.; Gao, Y.; Gao, Y. Dynamic Modulation of THz Absorption Frequency, Bandwidth, and Amplitude via Strontium Titanate and Graphene. Nanomaterials 2022, 12, 1353. [Google Scholar] [CrossRef] [PubMed]
- Zhang, M.; Song, Z.Y. Terahertz bifunctional absorber based on a graphene-spacer-vanadium dioxide-spacer-metal configuration. Opt. Express 2020, 28, 11780–11788. [Google Scholar] [CrossRef] [PubMed]
- Zhu, H.; Zhang, Y.; Ye, L.; Li, Y.; Xu, R. Switchable and tunable terahertz metamaterial absorber with broadband and multi-band absorption. Opt. Express 2020, 28, 38626–38637. [Google Scholar] [CrossRef]
- Zhao, Y.; Yang, R.; Wang, J.; Wei, X.; Tian, J.; Zhang, W. Dual-mode terahertz broadband polarization conversion metasurface with integrated graphene-VO2. Opt. Commun. 2022, 510, 127895. [Google Scholar] [CrossRef]
- Tang, B.; Ren, Y. Tunable and switchable multi-functional terahertz metamaterials based on a hybrid vanadium dioxide-graphene integrated configuration. Phys. Chem. Chem. Phys. 2022, 24, 8408. [Google Scholar] [CrossRef]
- Wang, X.; Ma, C.; Xiao, L.; Li, X.; Yu, J.; Xiao, B.G. Dynamically tunable broadband absorber/reflector based on graphene and VO2 metamaterials. Appl. Opt. 2022, 61, 1646–1651. [Google Scholar] [CrossRef]
- Zhao, X.; Yuan, C.; Lv, W.; Xu, S.; Yao, J. Plasmon-induced transparency in metamaterial based on graphene and split-ring resonators. IEEE Photonics Technol. Lett. 2015, 27, 1321–1324. [Google Scholar] [CrossRef]
- Zhang, Y.; Feng, Y.J.; Jiang, T.; Cao, J.; Zhao, J.M.; Zhu, B. Tunable broadband polarization rotator in terahertz frequency based on graphene metamaterial. Carbon 2018, 133, 170–175. [Google Scholar] [CrossRef]
- Zhao, J.; Ouyang, C.; Chen, X.; Li, Y.; Zhang, C.; Feng, L.; Li, Y.; Zhang, C.; Feng, L.; Jin, B.; et al. Temperature-controlled terahertz polarization conversion bandwidth. Opt. Express 2021, 29, 21738–21748. [Google Scholar] [CrossRef]
- Zhao, J.; Song, J.; Xu, T.; Yang, T.; Zhou, J. Controllable linear asymmetric transmission and perfect polarization conversion in a terahertz hybrid metal-graphene metasurface. Opt. Express 2019, 27, 9773–9781. [Google Scholar] [CrossRef] [PubMed]
- Hanson, G.W. Dyadic Green’s functions and guided surface waves for a surface conductivity model of graphene. J. Appl. Phys. 2008, 103, 064302. [Google Scholar] [CrossRef]
- Li, Z.; Yang, R.; Wang, J.; Zhao, Y.; Tian, J.; Zhang, W. Multifunctional metasurface for broadband absorption, linear and circular polarization conversions. Opt. Mater. Express 2021, 11, 3507–3519. [Google Scholar] [CrossRef]
- Huang, X.; Hu, Z.; Liu, P. Graphene based tunable fractal Hilbert curve array broadband radar absorbing screen for radar cross section reduction. AIP Adv. 2014, 4, 117103. [Google Scholar] [CrossRef]
- Yan, D.; Li, E.; Feng, Q.; Li, X.; Guo, S. Design and analysis of a wideband microwave absorber based on graphene-assisted metamaterial. Optik 2022, 250, 168310. [Google Scholar] [CrossRef]
- Ju, L.; Geng, B.; Horng, J.; Girit, C.; Martin, M.; Hao, Z.; Bechtel, H.A.; Liang, X.; Zettl, A.; Shen, Y.R.; et al. Graphene plasmonics for tunable terahertz metamaterials. Nat. Nanotechnol. 2011, 6, 630–634. [Google Scholar] [CrossRef]
- Hwang, E.; DasSarma, S. Acoustic phonon scattering limited carrier mobility in two-dimensional extrinsic graphene. Phys. Rev. B 2008, 77, 115449. [Google Scholar] [CrossRef]
- Vakil, A.; Engheta, N. Transformation optics using graphene. Science 2011, 332, 1291–1294. [Google Scholar] [CrossRef]
- Zhao, X.; Yuan, C.; Zhu, L.; Yao, J.Q. Graphene-based tunable terahertz plasmon-induced transparency metamaterial. Nanoscale 2016, 8, 15273–15280. [Google Scholar] [CrossRef]
- Ning, R.; Liu, S.; Zhang, H.; Bian, B.; Kong, X. A wide-angle broadband absorber in graphene-based hyperbolic metamaterials. Eur. Phys. J. Appl. Phys. 2014, 68, 20401. [Google Scholar] [CrossRef]
- Zhang, H.; Yang, C.; Liu, M.; Zhang, Y. Dual-function tuneable asymmetric transmission and polarization converter in terahertz region. Results Phys. 2021, 25, 104242. [Google Scholar] [CrossRef]
- Xu, M.; Yin, X.; Huang, J.; Liu, M.; Zhang, H.; Zhang, Y. Dynamically controlled asymmetric transmission of linearly polarized waves in VO2-integrated Dirac semimetal metamaterials. Chin. Phys. B 2022, 31, 067802. [Google Scholar] [CrossRef]
- Bezares, F.J.; De Sanctis, A.; Saavedra, J.R.M.; Woessner, A.; Alonso-Gonzalez, P.; Amenabar, I.; Chen, J.; Bointon, T.H.; Dai, S.; Fogler, M.M.; et al. Intrinsic Plasmon-Phonon Interactions in Highly Doped Graphene: A Near-Field Imaging Study. Nano Lett. 2017, 17, 5908–5913. [Google Scholar] [CrossRef]
- Efetov, D.K.; Kim, P. Controlling electron-phonon interactions in graphene at ultrahigh carrier densities. Phys. Rev. Lett. 2010, 105, 256805. [Google Scholar] [CrossRef] [PubMed]
- Teng, D.; Guo, J.K.; Yang, Y.D.; Ma, W.S.; Wang, K. Study of modal properties in graphene-coated nanowires integrated with substrates. Appl. Phys. B 2020, 126, 173. [Google Scholar] [CrossRef]
- Li, P.; Taubner, T. Broadband subwavelength imaging using a tunable graphene-lens. ACS Nano 2012, 6, 10107–10114. [Google Scholar] [CrossRef]
- Ye, J.; Craciun, M.F.; Koshino, M.; Russo, S.; Inoue, S.; Yuan, H.; Shimotani, H.; Morpurgo, A.F.; Iwasa, Y. Accessing the Transport Properties of Graphene and Its Multilayers at High Carrier Density. Proc. Natl. Acad. Sci. USA 2011, 108, 13002–13006. [Google Scholar] [CrossRef]
- Jiang, Y.; Wang, L.; Wang, J.; Akwuruoha, C.N.; Cao, W. Ultra-wideband high-efficiency reflective linear-to-circular polarization converter based on metasurface at terahertz frequencies. Opt. Express 2017, 25, 27616–27623. [Google Scholar] [CrossRef]
- Zahn, M. Electromagnetic Field Theory: A Problem Solving Approach; Krieger Publishing Company: Malabar, FL, USA, 2003. [Google Scholar]
- Wu, P.C.; Sokhoyan, R.; Shirmanesh, G.K.; Cheng, W.H.; Atwater, H.A. Near-Infrared Active Metasurface for Dynamic Polarization Conversion. Adv. Opt. Mater. 2021, 9, 2100230. [Google Scholar] [CrossRef]
- Li, Y.; Zhang, J.; Qu, S.; Wang, J.; Zheng, L.; Pang, Y.; Xu, Z.; Zhang, A. Achieving wide-band linear-to-circular polarization conversion using ultra-thin bi-layered metasurfaces. J. Appl. Phys. 2015, 117, 044501. [Google Scholar] [CrossRef]
- Yan, D.X.; Meng, M.; Li, J.S.; Li, J.N.; Li, X.J. Vanadium dioxide-assisted broadband absorption and linear-to-circular polarization conversion based on a single metasurface design for the terahertz wave. Opt. Express 2020, 28, 29843–29854. [Google Scholar] [CrossRef] [PubMed]
- Feng, Q.Y.; Yan, D.X.; Li, X.J.; Li, J.N. Realization of absorption, filtering, and sensing in a single metamaterial structure combined with functional materials. Appl. Opt. 2022, 61, 4336–4343. [Google Scholar] [CrossRef]








| Publisher’s Note: MDPI stays neutral with regard to jurisdictional claims in published maps and institutional affiliations. | 
© 2022 by the authors. Licensee MDPI, Basel, Switzerland. This article is an open access article distributed under the terms and conditions of the Creative Commons Attribution (CC BY) license (https://creativecommons.org/licenses/by/4.0/).
Share and Cite
Cao, M.; Wang, J.; Yuen, M.M.F.; Yan, D. Realization of Multifunctional Metamaterial Structure Based on the Combination of Vanadium Dioxide and Graphene. Nanomaterials 2022, 12, 2883. https://doi.org/10.3390/nano12162883
Cao M, Wang J, Yuen MMF, Yan D. Realization of Multifunctional Metamaterial Structure Based on the Combination of Vanadium Dioxide and Graphene. Nanomaterials. 2022; 12(16):2883. https://doi.org/10.3390/nano12162883
Chicago/Turabian StyleCao, Mingxuan, Junchao Wang, Matthew M. F. Yuen, and Dexian Yan. 2022. "Realization of Multifunctional Metamaterial Structure Based on the Combination of Vanadium Dioxide and Graphene" Nanomaterials 12, no. 16: 2883. https://doi.org/10.3390/nano12162883
APA StyleCao, M., Wang, J., Yuen, M. M. F., & Yan, D. (2022). Realization of Multifunctional Metamaterial Structure Based on the Combination of Vanadium Dioxide and Graphene. Nanomaterials, 12(16), 2883. https://doi.org/10.3390/nano12162883
 
         
                                                
