Stretchable Sensors: Novel Human Motion Monitoring Wearables
Abstract
:1. Introduction
2. Materials and Methods
2.1. Materials and Procedure
2.2. Preparation of Dielectric Layer by Electrospun SBS Nanofiber Membrane
2.3. Preparation of SBS/rGO Nanofiber Membrane by Electrospinning
2.4. Preparation of Conductivity Layer by Silver Reduction
2.5. Characterization
3. Results and Discussion
3.1. Sandwich Structure Piezoresistive Woven Nanofabric (SSPWN) Structural Analysis
3.1.1. Scanning Electron Microscope (SEM) Analysis of the Sandwich Structure Piezoresistive Woven Nanofabric
3.1.2. Conductivity Layer Surface Structure Analysis of the Electrospun Membranes (SEM and EDS Analysis)
3.2. FTIR Analysis of Composite Materials
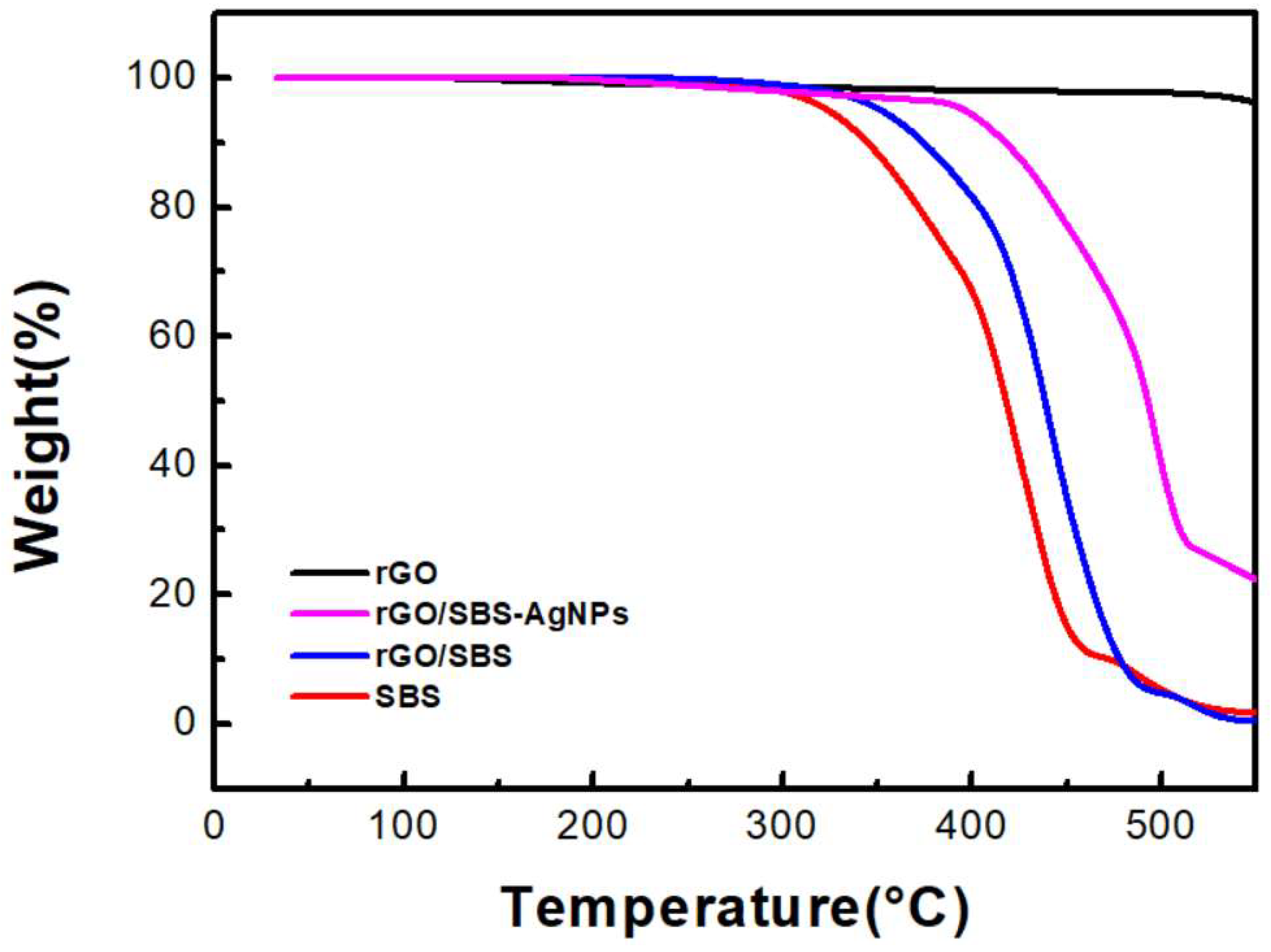
3.3. Thermal Stability Thermogravimetric Analysis (TGA)
3.4. Mechanical Strength Properties
3.5. Electrical Characteristic Analysis of Sandwich Structure Piezoresistive Woven Nanofabric (SSPWN)
3.5.1. The Different Dielectric Layer Nanofibers Densities Electrical Analysis
3.5.2. Sensing Characteristics of a Multifunctional SSPWN under Mechanical Stimuli
3.6. SSPWN Application on Human Motion Monitoring
3.6.1. Motion Monitoring of the Different Areas of the Hand
3.6.2. Foot Motion Monitoring of RGB Sensing Shoes
4. Conclusions
Supplementary Materials
Author Contributions
Funding
Institutional Review Board Statement
Data Availability Statement
Acknowledgments
Conflicts of Interest
References
- Shchegolkov, A.V.; Zemtsova, N.V. Investigation of heat release in nanomodified elastomers during stretching and torsion under the action of electric voltage. Front. Mater. Technol. 2022, 2, 121–132. [Google Scholar] [CrossRef]
- León-Boigues, L.; Flores, A.; Gómez-Fatou, M.A.; Vega, J.F.; Ellis, G.J.; Salavagione, H.J. PET/Graphene Nanocomposite Fibers Obtained by Dry-Jet Wet-Spinning for Conductive Textiles. Polymers 2023, 15, 1245. [Google Scholar] [CrossRef] [PubMed]
- Deng, Z.; Guo, L.; Chen, X.; Wu, W. Smart Wearable Systems for Health Monitoring. Sensors 2023, 23, 2479. [Google Scholar] [CrossRef] [PubMed]
- Wang, C.; Xia, K.; Wang, H.; Liang, X.; Yin, Z.; Zhang, Y. Advanced Carbon for Flexible and Wearable Electronics. Adv. Mater. 2019, 31, e1801072. [Google Scholar] [CrossRef]
- Xie, M.; Hisano, K.; Zhu, M.; Toyoshi, T.; Pan, M.; Okada, S.; Tsutsumi, O.; Kawamura, S.; Bowen, C. Flexible Multifunctional Sensors for Wearable and Robotic Applications. Adv. Mater. Technol. 2019, 4, 1800626. [Google Scholar] [CrossRef]
- Zhou, X.; Cao, W. Flexible and Stretchable Carbon-Based Sensors and Actuators for Soft Robots. Nanomaterials 2023, 13, 316. [Google Scholar] [CrossRef] [PubMed]
- Sun, J.J.; Zhang, M.; Khatib, M.; Milyutin, Y.; Saliba, W.; Kloper, V.; Garaa, A.; Wu, W.; Jin, H.; Segev-Bar, M. Time-Resolved and Self-Adjusting Hybrid Functional Fabric Sensor for Decoupling Multiple Stimuli from Bending. Adv. Mater. Technol. 2019, 4, 1900290. [Google Scholar] [CrossRef]
- Ohm, Y.; Pan, C.; Ford, M.J.; Huang, X.; Liao, J.; Majidi, C. An electrically conductive silver-polyacrylamide-alginate hydrogel composite for soft electronics. Nat. Electron. 2021, 4, 185–192, Erratum in Nat. Electron. 2021, 4, 313. [Google Scholar] [CrossRef]
- Anwer, A.H.; Khan, N.; Ansari, M.Z.; Baek, S.-S.; Yi, H.; Kim, S.; Noh, S.M.; Jeong, C. Recent Advances in Touch Sensors for Flexible Wearable Device. Sensors 2022, 22, 4460. [Google Scholar] [CrossRef]
- Liang, F.-C.; Ku, H.-J.; Cho, C.-J.; Chen, W.-C.; Lee, W.-Y.; Chen, W.-C.; Rwei, S.-P.; Borsali, R.; Kuo, C.-C. An intrinsically stretchable and ultrasensitive nanofiber-based resistive pressure sensor for wearable electronics. J. Mater. Chem. C 2020, 8, 5361–5369. [Google Scholar] [CrossRef]
- Vaghasiya, J.V.; Mayorga-Martinez, C.C.; Pumera, M. Wearable sensors for telehealth based on emerging materials and nanoarchitectonics. npj Flex. Electron. 2023, 7, 26. [Google Scholar] [CrossRef] [PubMed]
- Yang, K.; Yin, F.; Xia, D.; Peng, H.; Yang, J.; Yuan, W. A highly flexible and multifunctional strain sensor based on a network-structured MXene/polyurethane mat with ultra-high sensitivity and a broad sensing range. Nanoscale 2019, 11, 9949–9957. [Google Scholar] [CrossRef] [PubMed]
- Zhou, X.; Ding, C.; Cheng, C.; Liu, S.; Duan, G.; Xu, W.; Liu, K.; Hou, H. Mechanical and thermal properties of electrospun polyimide/rGO composite nanofibers via in-situ polymerization and in-situ thermal conversion. Eur. Polym. J. 2020, 141, 110083. [Google Scholar] [CrossRef]
- Borchers, A.; Pieler, T. Programming pluripotent precursor cells derived from Xenopus embryos to generate specific tissues and organs. Genes 2010, 1, 413–426. [Google Scholar] [CrossRef]
- Yang, Y.; Cao, Z.; He, P.; Shi, L.; Ding, G.; Wang, R.; Sun, J. Ti3C2Tx MXene-graphene composite films for wearable strain sensors featured with high sensitivity and large range of linear response. Nano Energy 2019, 66, 104134. [Google Scholar] [CrossRef]
- Zhang, H.; Liu, D.; Lee, J.H.; Chen, H.; Kim, E.; Shen, X.; Zheng, Q.; Yang, J.; Kim, J.K. Anisotropic, Wrinkled, and Crack-Bridging Structure for Ultrasensitive, Highly Selective Multidirectional Strain Sensors. Nanomicro Lett. 2021, 13, 122. [Google Scholar] [CrossRef] [PubMed]
- Huang, H.; Zhong, J.; Ye, Y.; Wu, R.; Luo, B.; Ning, H.; Qiu, T.; Luo, D.; Yao, R.; Peng, J. Research Progresses in Microstructure Designs of Flexible Pressure Sensors. Polymers 2022, 14, 3670. [Google Scholar] [CrossRef]
- Thouti, E.; Nagaraju, A.; Chandran, A.; Prakash, P.V.B.S.S.; Shivanarayanamurthy, P.; Lal, B.; Kumar, P.; Kothari, P.; Panwar, D. Tunable flexible capacitive pressure sensors using arrangement of polydimethylsiloxane micro-pyramids for bio-signal monitoring. Sens. Actuator A Phys. 2020, 314, 112251. [Google Scholar] [CrossRef]
- Zeng, X.; Wang, Z.; Zhang, H.; Yang, W.; Xiang, L.; Zhao, Z.; Peng, L.M.; Hu, Y. Tunable, Ultrasensitive, and Flexible Pressure Sensors Based on Wrinkled Microstructures for Electronic Skins. ACS Appl. Mater. Interfaces 2019, 11, 21218–21226. [Google Scholar] [CrossRef]
- Yeh, Y.-J.; Cho, C.-J.; Benas, J.-S.; Tung, K.-L.; Kuo, C.-C.; Chiang, W.-H. Plasma-Engineered Plasmonic Nanoparticle-Based Stretchable Nanocomposites as Sensitive Wearable SERS Sensors. ACS Appl. Nano Mater. 2023, 6, 10115–10125. [Google Scholar] [CrossRef]
- Veeramuthu, L.; Cho, C.-J.; Venkatesan, M.; Kumar, G.R.; Hsu, H.-Y.; Zhuo, B.-X.; Kau, L.-J.; Chung, M.-A.; Lee, W.-Y.; Kuo, C.-C. Muscle fibers inspired electrospun nanostructures reinforced conductive fibers for smart wearable optoelectronics and energy generators. Nano Energy 2022, 101, 107592. [Google Scholar] [CrossRef]
- Wang, Z.; Ma, Z.; Sun, J.; Yan, Y.; Bu, M.; Huo, Y.; Li, Y.-F.; Hu, N. Recent Advances in Natural Functional Biopolymers and Their Applications of Electronic Skins and Flexible Strain Sensors. Polymers 2021, 13, 813. [Google Scholar] [CrossRef] [PubMed]
- Liu, M.-Y.; Hang, C.-Z.; Zhao, X.-F.; Zhu, L.-Y.; Ma, R.-G.; Wang, J.-C.; Lu, H.-L.; Zhang, D.W. Advance on flexible pressure sensors based on metal and carbonaceous nanomaterial. Nano Energy 2021, 87, 106181. [Google Scholar] [CrossRef]
- Ren, Y.; Sun, X.; Liu, J. Advances in Liquid Metal-Enabled Flexible and Wearable Sensors. Micromachines 2020, 11, 200. [Google Scholar] [CrossRef] [PubMed]
- Wang, Y.; Chao, M.; Wan, P.; Zhang, L. A wearable breathable pressure sensor from metal-organic framework derived nanocomposites for highly sensitive broad-range healthcare monitoring. Nano Energy 2020, 70, 104560. [Google Scholar] [CrossRef]
- Guo, Y.; Sun, X.; Liu, Y.; Wang, W.; Qiu, H.; Gao, J. One pot preparation of reduced graphene oxide (RGO) or Au (Ag) nanoparticle-RGO hybrids using chitosan as a reducing and stabilizing agent and their use in methanol electrooxidation. Carbon 2012, 50, 2513–2523. [Google Scholar] [CrossRef]
- Rafiee, M.; Nitzsche, F.; Laliberte, J.; Hind, S.; Robitaille, F.; Labrosse, M.R. Thermal properties of doubly reinforced fiberglass/epoxy composites with graphene nanoplatelets, graphene oxide and reduced-graphene oxide. Compos. B Eng. 2019, 164, 1–9. [Google Scholar] [CrossRef]
- Shen, X.; Zheng, Q.; Kim, J.-K. Rational design of two-dimensional nanofillers for polymer nanocomposites toward multifunctional applications. Prog. Mater. Sci. 2021, 115, 100708. [Google Scholar] [CrossRef]
- Dhakal, D.R.; Lamichhane, P.; Mishra, K.; Nelson, T.L.; Vaidyanathan, R.K. Influence of graphene reinforcement in conductive polymer: Synthesis and characterization. Polym. Adv. Technol. 2019, 30, 2172–2182. [Google Scholar] [CrossRef]
- Huang, L.; Wang, H.; Wu, P.; Huang, W.; Gao, W.; Fang, F.; Cai, N.; Chen, R.; Zhu, Z. Wearable Flexible Strain Sensor Based on Three-Dimensional Wavy Laser-Induced Graphene and Silicone Rubber. Sensors 2020, 20, 4266. [Google Scholar] [CrossRef]
- Manoj Kumar, S.; Kamal, S. Effect of Carbon Nanofillers on the Mechanical and Interfacial Properties of Epoxy Based Nanocomposites: A Review. Polym. Sci. 2019, 61, 439–460. [Google Scholar] [CrossRef]
- Li, H.; Wu, S.; Wu, J.; Huang, G. Enhanced electrical conductivity and mechanical property of SBS/graphene nanocomposite. J. Polym. Res. 2014, 21, 456. [Google Scholar] [CrossRef]
- Liu, S.; Tian, J.; Wang, L.; Sun, X. A method for the production of reduced graphene oxide using benzylamine as a reducing and stabilizing agent and its subsequent decoration with Ag nanoparticles for enzymeless hydrogen peroxide detection. Carbon 2011, 49, 3158–3164. [Google Scholar] [CrossRef]
- Zulan, L.; Zhi, L.; Lan, C.; Sihao, C.; Dayang, W.; Fangyin, D. Reduced Graphene Oxide Coated Silk Fabrics with Conductive Property for Wearable Electronic Textiles Application. Adv. Electron. Mater. 2019, 5, 1800648. [Google Scholar] [CrossRef]
- Veeramuthu, L.; Cho, C.J.; Liang, F.C.; Venkatesan, M.; Kumar, G.R.; Hsu, H.Y.; Chung, R.J.; Lee, C.H.; Lee, W.Y.; Kuo, C.C. Human Skin-Inspired Electrospun Patterned Robust Strain-Insensitive Pressure Sensors and Wearable Flexible Light-Emitting Diodes. ACS Appl. Mater. Interfaces 2022, 14, 30160–30173. [Google Scholar] [CrossRef] [PubMed]
- Li, G.; Chen, D.; Li, C.; Liu, W.; Liu, H. Engineered Microstructure Derived Hierarchical Deformation of Flexible Pressure Sensor Induces a Supersensitive Piezoresistive Property in Broad Pressure Range. Adv. Sci. 2020, 7, 2000154. [Google Scholar] [CrossRef]
- Venkatesan, M.; Chen, W.-C.; Cho, C.-J.; Veeramuthu, L.; Chen, L.-G.; Li, K.-Y.; Tsai, M.-L.; Lai, Y.-C.; Lee, W.-Y.; Chen, W.-C.; et al. Enhanced piezoelectric and photocatalytic performance of flexible energy harvester based on CsZn0.75Pb0.25I3/CNC–PVDF composite nanofibers. Chem. Eng. J. 2022, 433, 133620. [Google Scholar] [CrossRef]
- Mittal, G.; Rhee, K.Y.; Mišković-Stanković, V.; Hui, D. Reinforcements in multi-scale polymer composites: Processing, properties, and applications. Compos. B Eng. 2018, 138, 122–139. [Google Scholar] [CrossRef]
- Lu, W.C.; Chen, C.Y.; Cho, C.J.; Venkatesan, M.; Chiang, W.H.; Yu, Y.Y.; Lee, C.H.; Lee, R.H.; Rwei, S.P.; Kuo, C.C. Antibacterial Activity and Protection Efficiency of Polyvinyl Butyral Nanofibrous Membrane Containing Thymol Prepared through Vertical Electrospinning. Polymers 2021, 13, 1122. [Google Scholar] [CrossRef]
- Oh, H.; Kang, G.; Park, M. Polymer-Mediated In Situ Growth of Perovskite Nanocrystals in Electrospinning: Design of Composite Nanofiber-Based Highly Efficient Luminescent Solar Concentrators. ACS Appl. Energy Mater. 2022, 5, 15844–15855. [Google Scholar] [CrossRef]
- Lu, W.C.; Chuang, F.S.; Venkatesan, M.; Cho, C.J.; Chen, P.Y.; Tzeng, Y.R.; Yu, Y.Y.; Rwei, S.P.; Kuo, C.C. Synthesis of Water Resistance and Moisture-Permeable Nanofiber Using Sodium Alginate—Functionalized Waterborne Polyurethane. Polymers 2020, 12, 2882. [Google Scholar] [CrossRef]
- Lee, C.-H.; Huang, S.-C.; Hung, K.-C.; Cho, C.-J.; Liu, S.-J. Enhanced Diabetic Wound Healing Using Electrospun Biocompatible PLGA-Based Saxagliptin Fibrous Membranes. Nanomaterials 2022, 12, 3740. [Google Scholar] [CrossRef] [PubMed]
- Liu, L.; Xu, W.; Ding, Y.; Agarwal, S.; Greiner, A.; Duan, G. A review of smart electrospun fibers toward textiles. Compos. Commun. 2020, 22, 100506. [Google Scholar] [CrossRef]
- Park, J.; Sharma, J.; Monaghan, K.W.; Meyer, H.M.; Meyer, H.M.; Cullen, D.A.; Rossy, A.M.; Keum, J.K.; Wood, D.L.; Polizos, G. Styrene-Based Elastomer Composites with Functionalized Graphene Oxide and Silica Nanofiber Fillers: Mechanical and Thermal Conductivity Properties. Nanomaterials 2020, 10, 1682. [Google Scholar] [CrossRef] [PubMed]
- Zhang, Y.; Zhang, Q.; Hou, D.; Zhang, J. Tuning interfacial structure and mechanical properties of graphene oxide sheets/polymer nanocomposites by controlling functional groups of polymer. Appl. Surf. Sci. 2020, 504, 144152. [Google Scholar] [CrossRef]
- Zhu, S.; Nie, L. Progress in fabrication of one-dimensional catalytic materials by electrospinning technology. J. Ind. Eng. Chem. 2021, 93, 28–56. [Google Scholar] [CrossRef]
- Biswas, D.; Simoes-Capela, N.; Van Hoof, C.; Van Helleputte, N. Heart Rate Estimation from Wrist-Worn Photoplethysmography: A Review. IEEE Sens. J. 2019, 19, 6560–6570. [Google Scholar] [CrossRef]
- Du, Q.; Liu, L.; Tang, R.; Ai, J.; Wang, Z.; Fu, Q.; Li, C.; Chen, Y.; Feng, X. High-Performance Flexible Pressure Sensor Based on Controllable Hierarchical Microstructures by Laser Scribing for Wearable Electronics. Adv. Mater. Technol. 2021, 6, 2100122. [Google Scholar] [CrossRef]
- Wang, Y.; Miao, F.; An, Q.; Liu, Z.; Chen, C.; Li, Y. Wearable Multimodal Vital Sign Monitoring Sensor with Fully Integrated Analog Front End. IEEE Sens. J. 2022, 22, 13462–13471. [Google Scholar] [CrossRef]
- Chen, X.; Lai, D.; Yuan, B.; Fu, M.L. Fabrication of superelastic and highly conductive graphene aerogels by precisely “unlocking” the oxygenated groups on graphene oxide sheets. Carbon 2020, 162, 552–561. [Google Scholar] [CrossRef]
- Wang, X.; Guo, W.; Zhang, H.; Peng, P. Synthesis of Free-Standing Silver Foam via Oriented and Additive Nanojoining. ACS Appl. Mater. Interfaces 2021, 13, 38637–38646. [Google Scholar] [CrossRef]
- Qian, F.; Lan, P.C.; Freyman, M.C.; Chen, W.; Kou, T.; Olson, T.Y.; Zhu, C.; Worsley, M.A.; Duoss, E.B.; Spadaccini, C.M.; et al. Ultralight conductive silver nanowire aerogels. Nano Lett. 2017, 17, 7171–7176. [Google Scholar] [CrossRef] [PubMed]
- Tian, Z.; Zhao, Y.; Wang, S.; Zhou, G.; Zhao, N.; Wong, C.P. A highly stretchable and conductive composite based on an emulsion-templated silver nanowire aerogel. J. Mater. Chem. A 2020, 8, 1724–1730. [Google Scholar] [CrossRef]
- Ebadi, S.V.; Semnani, D.; Fashandi, H.; Rezaei, B. Synthesis and characterization of a novel polyurethane/polypyrrole-p-toluenesulfonate (PU/PPy-pTS) electroactive nanofibrous bending actuator. Polym. Adv. Technol. 2019, 30, 2261–2274. [Google Scholar] [CrossRef]
- Laforgue, A.; Robitaille, L. Production of conductive PEDOT nanofibers by the combination of electrospinning and vapor-phase polymerization. Macromolecules 2010, 43, 4194–4200. [Google Scholar] [CrossRef]
- Yadav, K.; Nain, R.; Jassal, M.; Agrawal, A.K. Free standing flexible conductive PVA nanoweb with well aligned silver nanowires. Compos. Sci. Technol. 2019, 182, 107766. [Google Scholar] [CrossRef]









| Samples | Tensile Strength at Break (MPa) | Elongation at Break (%) | Toughness (MJ·m−3) |
|---|---|---|---|
| SBS | 0.9226 | 140.70% | 0.75092 |
| SBS/rGO-AgNPs | 2.8872 | 85.53% | 1.43481 |
| SSPWN | 5.8701 | 71.35% | 2.15418 |
Disclaimer/Publisher’s Note: The statements, opinions and data contained in all publications are solely those of the individual author(s) and contributor(s) and not of MDPI and/or the editor(s). MDPI and/or the editor(s) disclaim responsibility for any injury to people or property resulting from any ideas, methods, instructions or products referred to in the content. |
© 2023 by the authors. Licensee MDPI, Basel, Switzerland. This article is an open access article distributed under the terms and conditions of the Creative Commons Attribution (CC BY) license (https://creativecommons.org/licenses/by/4.0/).
Share and Cite
Cho, C.-J.; Chung, P.-Y.; Tsai, Y.-W.; Yang, Y.-T.; Lin, S.-Y.; Huang, P.-S. Stretchable Sensors: Novel Human Motion Monitoring Wearables. Nanomaterials 2023, 13, 2375. https://doi.org/10.3390/nano13162375
Cho C-J, Chung P-Y, Tsai Y-W, Yang Y-T, Lin S-Y, Huang P-S. Stretchable Sensors: Novel Human Motion Monitoring Wearables. Nanomaterials. 2023; 13(16):2375. https://doi.org/10.3390/nano13162375
Chicago/Turabian StyleCho, Chia-Jung, Ping-Yu Chung, Ying-Wen Tsai, Yu-Tong Yang, Shih-Yu Lin, and Pin-Shu Huang. 2023. "Stretchable Sensors: Novel Human Motion Monitoring Wearables" Nanomaterials 13, no. 16: 2375. https://doi.org/10.3390/nano13162375
APA StyleCho, C.-J., Chung, P.-Y., Tsai, Y.-W., Yang, Y.-T., Lin, S.-Y., & Huang, P.-S. (2023). Stretchable Sensors: Novel Human Motion Monitoring Wearables. Nanomaterials, 13(16), 2375. https://doi.org/10.3390/nano13162375

