Abstract
Four new metal–organic frameworks based on cobalt(II) salts and 1,4-diazabicyclo[2.2.2]octane N,N’-dioxide (odabco) were obtained. Their crystallographic formulae are [Co3(odabco)2(OAc)6] (1, OAc− = acetate), [Co(H2O)2(HCOO)2]·odabco (2), [Co2(H2O)(NO3)(odabco)5](NO3)3·3.65H2O (3), and [Co2(DMF)2(odabco)4](NO3)4·3H2O (4; DMF = N,N-dimethylformamide). Crystal structures of 1–4 were determined by single-crystal X-ray crystallography. Coordination polymer 1 comprises binuclear and mononuclear metal–acetate blocks alternating within uncharged one-dimensional chains, in which odabco acts as a bridging ligand. A layered Co(II) formate 2 contains odabco only as guest molecules located in the interlayer space. Layered compound 3 and three-dimensional 4 have cationic coordination frameworks with 26% and 34% specific void volumes, respectively, unveiling high structural diversity of Co(II)-odabco MOFs based on quite a rare aliphatic moiety. Magnetization measurements were performed for 1, 3, and 4 and the obtained data were interpreted on the basis of their crystal structures. A strong (J/kB~100 K) antiferromagnetic coupling was found within binuclear metal blocks in 1. Ion exchange experiments revealed a considerable iodide uptake by 3 resulting in an up to 75% guest nitrate substitution within the voids of a coordination framework, found by capillary zone electrophoresis data and confirmed by single-crystal XRD. A preservation of 3 crystallinity during the exchange allowed for the guest I− positions within a new adduct with the formula [Co2(H2O)(NO3)(odabco)5]I2(NO3)·1.85H2O (3-I) to be successfully determined and the odabco aliphatic core to be revealed as a main adsorption center for quite large and easily polarizable iodide anions. In summary, this work presents a comprehensive study for a series of 1,4-diazabicyclo[2.2.2]octane N,N’-dioxide-based MOFs of cobalt(II) within the framework of magnetic properties and reports the first example of anion exchange in odabco-based coordination networks, supported by direct X-ray structural data. The reported results unveil promising applications of such frameworks bearing ligands with an aliphatic core in the diverse structural design of selective adsorbents and other types of functional materials.
1. Introduction
Metal–organic frameworks (MOFs) represent a rapidly developing class of hybrid materials consisting of clusters or metal ions connected by organic bridging ligands. The compounds of this class possess regular polymeric structures, high porosities, and large surface areas. Increasing attention is drawn to the broad prospects for the use of MOFs in catalysis [1,2], selective adsorption [3,4,5], gas separation [6,7,8,9], sensors [10,11,12], and magnetic materials [13]. MOFs with a charged framework necessarily include counter ions in their structure, which may be substituted for other charged species, thus providing numerous applications in ion exchange or selective ion capture. Increasing attention is drawn to natural pollutants existing in anionic forms, such as toxic oxoanions of d-metals [11,14,15], p-elements [16,17,18], and several dyes [19]. Among other dangerous species, radioactive iodide I− anions provide one of the greatest threats since iodine is an indispensable biological microelement with high environmental mobility. Iodine has several radioactive isotopes, which are largely formed as nuclear reactor waste, including short-lived 131I with a half-life time of τ1/2 ≈ 8 days and long-lived 129I (τ1/2 ≈ 16 million years). Accumulating of radioactive iodine isotopes in human organs, e.g., the thyroid gland, results in dangerous diseases such as endocrine system disorder and cancer. On the other hand, radioactive iodine isotopes have a variety of medical applications, including imaging of the thyroid and cancer and other organ disease treatment. In such a context, selective adsorption and accumulation of iodine anions directly relate to a number of very important challenges in environmental and human health protection. Substantial progress in the adsorption and detection of I2 iodine molecules by porous MOFs and related materials has been achieved recently [20,21,22,23], but the adsorption of anionic forms of iodine by MOFs is not as developed [24,25,26]. Most unfortunately, the available literature usually reports analytical data only, such as the iodine adsorption capacity, but lacks fundamental structural information of iodine species inside the pores of MOFs that not only provides valuable insight on the nature of the adsorption sites or specific host–guest interactions but also rationalizes the design of more efficient iodine/iodate adsorbents.
The typical design of positively charged porous MOFs involves the connection of metal cations by charge-neutral organic molecule linkers. The vast majority of such linkers is represented by N-donor heterocycles, such as 4,4′-bipyridyl or dabco [27,28,29], whereas the O-donor neutral carbohydrate molecules [30,31,32], polyethers [33], and amide derivatives [34,35,36] rarely afford stable MOF structures except for the those based on strongly oxophilic metal cations. N-oxide molecules feature a substantial negative charge on oxygen atoms [37,38], which makes them stronger than N-donor ligands and attractive linkers for the design of chemically stable and robust cationic frameworks based on metal cations of different natures [39,40,41,42]. Despite the obvious advantages of the N-oxide linkers, successful reports of the synthesis of the corresponding MOFs are uncommon, as is the investigation of ion exchange or other functional properties (e.g., luminescence [43,44], magnetic properties [45,46]) of such compounds. One of the reasons for this is the higher degree of conformational mobility of such ligands [47,48] in the structure of the MOF, which generally reduces the probability of the formation of the regular crystalline network. In this regard, the preparation of new cationic MOFs based on N-oxide molecules as well as systematic investigation of their stability and functional properties have a significant impact on the development of such an important class of materials. In the current work, a preparation and structural characterization of four new MOFs based on Co(II) cations and dabco-N,N’-dioxide linkers is reported. The magnetic properties of the products were carefully studied in a broad temperature range, revealing a strong antiferromagnetic coupling, also rationalized in terms of the crystal structure. More importantly, the first example of I− anion exchange was carried out within a cationic N,N’-dioxide-based coordination framework, showing substantial capacity and decent absorption selectivity towards iodide ions. Direct single-crystal X-ray diffraction data reveal the actual I− binding sites and provide valuable information on the driving factors of the selective ion adsorption.
2. Materials and Methods
- ATTENTION: Care should be taken in all of the procedures carried out with 1,4-diazabicyclo[2.2.2]octane N,N’-dioxide tris-(hydrogen peroxide) solvate (odabco·3H2O2) and odabco compounds with potentially explosive anions such as nitrate.
2.1. Materials
Ligand precursors odabco·3H2O2 [49] and odabco·HNO3 [50] were synthesized as described previously. Other reagents were commercially available and used as received without further purification. Distilled water was used in all of the synthetic experiments. Double-deionized water was used in the sample preparation for capillary zone electrophoresis (CZE) experiments.
2.2. Instruments
Infrared (IR) spectra were obtained in the 4000−400 cm−1 range using a Bruker Scimitar FTS 2000 spectrometer (Bruker, Billerica, MA, USA) in KBr pellets. Elemental CHNS analyses were carried out using a VarioMICROcube device (Elementar Analysensysteme GmbH, Hanau, Germany). Powder X-ray diffraction (PXRD) data were acquired on Shimadzu XRD-7000 (Shimadzu, Kyoto, Japan) or Bruker D8 Advance diffractometers (Co-Kα radiation, λ = 1.78897 Å for the as-synthesized 3 and 3-I samples and Cu-Kα radiation, λ = 1.54178 Å for the rest of compounds) at room temperature. Thermogravimetric analysis was carried out using a Netzsch TG 209 F1 Iris instrument (Netzsch, Waldkraiburg, Germany) under Ar flow (30 cm3∙min−1) at a 10 K∙min−1 heating rate. Capillary zone electrophoresis was performed using a Capel 103R device (Lumex Instruments, Saint Petersburg, Russia) equipped with a photometric detector at a wavelength of 254 nm and chromate electrolytes. The solid samples were digested in double-deionized water before the measurements.
Magnetization measurements were carried out using a Quantum Design MPMS-XL SQUID magnetometer (Quantum Design, San Diego, CA, USA) in the temperature range of 1.77–330 K in magnetic fields up to 10 kOe. To test the thermomagnetic reversibility, temperature dependences of the magnetization M(T) were measured upon heating the sample after it had been cooled either in a zero magnetic field or in a given magnetic field as well as upon cooling the sample. In order to determine the paramagnetic component of the molar magnetic susceptibility χp(T), the temperature-independent diamagnetic contribution χd and a possible magnetization of ferromagnetic micro-impurities χFM(T) were evaluated and subtracted from the measured values of the total molar susceptibility χ = M/H. Whereas χd was calculated using Pascal’s additive scheme, χFM(T), if any, was determined from the measured isothermal M(H) dependencies and the M(T) data taken at different magnetic fields. To determine the effective magnetic moment of cobalt Co(II) ions µeff, the paramagnetic susceptibility χp(T) was analyzed using the Curie–Weiss dependence , where NA and kB are the Avogadro and Boltzmann numbers, respectively.
Diffraction data for the single crystals of 1 and 3-I were collected on the “Belok” beamline [51,52] (λ = 0.74503 Å) of the National Research Center Kurchatov Institute (Moscow, Russian Federation) using a Rayonix SX165 CCD detector (Rayonix, Evanston, IL, USA). The XDS program package [53] was used for the data indexing, integration, scaling, and absorption correction. Diffraction data for the single crystals of 2–4 were collected on an automated Agilent Xcalibur diffractometer equipped with an AtlasS2 area detector and a graphite monochromator (λ(MoKα) = 0.71073 Å). The CrysAlisPro 1.171.40.84a program package [54] was used for indexing, integration, scaling, and absorption correction. Structures were solved by a dual-space algorithm in SHELXT [55] and refined in an anisotropic approximation (except H atoms) with a full-matrix least squares method in SHELXL [56]. The positions of the hydrogen atoms in the organic ligands were calculated geometrically and refined in the riding model. The PLATON SQUEEZE [57] procedure was implemented for the subtraction of the non-ordered solvent structure factors’ contribution in 4 and 3-I. Details of the single-crystal structure determination experiments and structure refinements are summarized in the ESI (Table S1 and Page 3). CCDC 2251753–2251757 entries contain the supplementary crystallographic data for this paper. These data can be obtained free of charge from The Cambridge Crystallographic Data Center at https://www.ccdc.cam.ac.uk/structures/, accessed on 13 October 2023. Hirshfeld surfaces and intermolecular contact fingerprints were built in CrystalExplorer 2.1 software [58].
2.3. Synthetic Methods
Synthesis of [Co3(odabco)2(OAc)6] (1). Cobalt(II) acetate tetrahydrate (24.9 mg, 0.10 mmol) and odabco·3H2O2 (16.2 mg, 0.067 mmol) were mixed in a glass vial, dispersed in 2.5 mL of DMF, and acidified by 0.11 mL (1.9 mmol) of acetic acid. The mixture in a screw-capped vial was treated in an ultrasonic bath until the reagents were completely dissolved in 15 min and then kept at 80 °C for 10 days. Yield: 57 mg (52%). IR, ν/cm−1: 3400 (w), 3030 (s), 1565 (w), 1419 (w), 1347 (s), 1183 (s), 1096 (m), 1047 (m), 1020 (m), 896 (m), 852 (m), 676 (w), 617 (m), 525 (s), 483 (s), 460 (s), 420 (s). Elemental analysis results found (%): C, 35.2; H, 5.2; N, 7.0. Calculated for [Co3(odabco)2(OAc)6] (C24H42Co3N4O16): C, 35.2; H, 5.2; N, 6.8. TGA: 38.5% weight loss at 230 °C (calculated for 2odabco—35%)
Synthesis of [Co(H2O)2(HCOO)2]·odabco (2). Cobalt(II) nitrate hexahydrate (29.1 mg, 0.10 mmol) and odabco·HNO3 (62.1 mg, 0.30 mmol) were mixed in a glass vial, dispersed in a mixture of DMF (5.0 mL) and water (0.40 mL), and then acidified with 25 µL (0.42 mmol) of nitric acid 62% water solution. The mixture was treated in a screw-capped vial in an ultrasonic bath until the reagents were completely dissolved in 15 min and kept at 100 °C for 20 h. Yield: 32 mg (97%). IR, ν/cm−1: 3046 (s), 2835 (s), 2692 (s), 2497 (s), 2161 (s), 1946 (s), 1577 (w), 1475 (m), 1458 (s), 1347 (w), 1100 (w), 1053 (m), 1022 (s), 895 (s), 856 (m), 810 (s), 790 (w), 677 (w), 483 (m), 453 (w). Elemental analysis results found (%): C, 29.1; H, 5.5; N, 8.5. Calculated for [Co(H2O)2(HCOO)2]·odabco (C8H18CoN2O8): C, 29.1; H, 5.5; N, 8.5. TGA: 12% weight loss at 150 °C (calculated for 2H2O—11%).
Synthesis of [Co2(H2O)(NO3)(odabco)5](NO3)3·3.65H2O (3). Cobalt(II) nitrate hexahydrate (29.1 mg, 0.10 mmol) and odabco·3H2O2 (74.0 mg, 0.30 mmol) were mixed in a glass vial, dispersed in a mixture of DMF (5.0 mL) and water (0.40 mL) and then acidified with 25 µL (0.42 mmol) of nitric acid 62% water solution. The mixture was treated in a screw-capped vial in an ultrasonic bath until the reagents were completely dissolved in 15 min and kept at 70 °C for 72 h. Yield: 36.5 mg (63%). IR, ν/cm−1: 3409 (w), 3255 (s), 3032 (m), 2917 (s), 2485 (s), 2404 (s), 2118 (s), 1923 (s), 1648 (m), 1465 (w), 1353 (w), 1180 (s), 1092 (w), 1040 (m), 963 (s), 895 (w), 852 (m), 824 (s), 806 (s), 677 (w), 606 (s), 531 (s), 483 (s), 459 (s). Elemental analysis results found (%): C, 31.1; H, 6.1; N, 16.3. Calculated for [Co2(H2O)(NO3)(odabco)5](NO3)3·4.5H2O·0.5DMF (C31.5H74.5Co2N14.5O28): C, 31.0; H, 6.1; N, 16.6. TGA: 10% weight loss at 115 °C (calculated for 5.5H2O + 0.5DMF—11%); explodes at 250 °C.
Synthesis of [Co2(DMF)2(odabco)4](NO3)4·3H2O (4). Cobalt(II) nitrate hexahydrate (29.1 mg, 0.10 mmol) and odabco·3H2O2 (74.0 mg, 0.30 mmol) were mixed in a glass vial, dispersed in a mixture of DMF (5.0 mL) and water (0.40 mL), and then acidified with 25 µL (0.42 mmol) of nitric acid 62% water solution. The mixture was treated in a screw-capped vial in an ultrasonic bath until the reagents were completely dissolved in 15 min and kept at 60 °C for 20 h. Yield: 50 mg (90%). IR, ν/cm−1: 3440 (w), 3037 (m), 2944 (s), 2886 (m), 2806 (s), 2497 (s), 2390 (s), 2350 (s), 2292 (s), 2120 (s), 1920 (s), 1750 (s), 1654 (w), 1476 (m), 1442 (s), 1394 (m), 1351 (w), 1255 (s), 1181 (s), 1090 (w), 1045 (m), 966 (s), 897 (w), 854 (m), 825 (m), 682 (w), 552 (m), 498 (m), 455 (s). Elemental analysis results found (%): C, 31.5; H, 6.1; N, 16.8. Calculated for [Co2(DMF)2(odabco)4](NO3)4]·3.5H2O (C30H69Co2N14O25.5): C, 31.3; H, 6.0; N, 17.0 TGA: 5% weight loss at 100 °C (calculated for 3.5H2O—5%); 13.5% weight loss at 155 °C (calculated for 2DMF—13%); explodes at 250 °C.
Synthesis of [Co2(H2O)(NO3)(odabco)5]I2(NO3)·1.85H2O (3-I). A ca. 50 mg portion of fresh 3 crystals was immersed in 25.0 mL of 0.1M sodium iodide (NaI) solution in a 95:5 (v/v) mixture of DMF and H2O in a screw-capped vial without access to sunlight. Yield is close to quantitative. IR, ν/cm−1: 3450 (w), 3034 (s), 3010 (w), 2954 (s), 2905 (s), 2781 (s), 2501 (s), 2450 (s), 2357 (s), 2317 (s), 2163 (s), 2108 (s), 1914 (s), 1798 (s), 1641 (m), 1459 (m), 1387 (w), 1180 (s), 1109 (m), 1094 (w), 1040 (m), 963 (s), 894 (w), 858 (w), 827 (m), 683 (w), 509 (m), 465 (m). Capillary zone electrophoresis (CZE) results: I−:NO3− ratio found: 1.3:1.0. Calculated for 75% guest nitrate substitution ([Co2(H2O)(NO3)(odabco)5]I2.25(NO3)0.75·xH2O) 1.3:1.0. TGA: 15% weight loss at 115 °C (calculated for 12H2O—15%); explodes at 250 °C; 10% weight residue at 400 °C (calculated for 2CoO—10%).
Synthesis of iodide-exchanged samples. Ca. 50 mg portions of fresh 3 crystals were immersed in 25.0 mL of NaI solutions in 95:5 (v/v) mixtures of DMF and H2O in screw-capped vials without access to sunlight with varying NaI concentrations and keeping times, listed in Tables S3 and S4. After the immersion and subsequent filtration, the resulting NO3−:I− ratios in solid samples were determined by CZE and then recalculated to the substitution degrees of the guest nitrate by iodide.
3. Results and Discussion
3.1. Synthesis and Crystal Structures
Although hydrogen peroxide, presenting in the easily accessible odabco solvate [49,59] used in the syntheses, is a potentially strong oxidizer, no Co2+ oxidation was observed in any of the obtained compounds, based on their colors (Figures S1b–S3b and S5b), Co–O bond lengths (Table S2), and magnetization data (see below). The stability of the cobalt(II) oxidation state is attributed to having used acidic modulators (acetic or nitric acids) in the optimized synthetic methods, providing very high Co3+/Co2+ reduction potential. Typically, a rapid formation of brown or black precipitates, which were contained Co(III) hydrated oxide phases, was observed in the related systems with neutral or basic media.
Compound [Co3(odabco)2(OAc)6] (1) was synthesized from a mixture of cobalt(II) acetate, odabco·3H2O2, and acetic acid in DMF, which was heated at 80 °C for 10 days. The powder X-ray diffraction (PXRD) pattern of the filtered sample 1 (Figure S1a) matched the theory well, indicating a phase purity of the compound. According to the single-crystal X-ray diffraction (SCXRD) data, 1 crystallized in a monoclinic crystal system with a P21/c space group. The asymmetric unit contained three independent metal ions. Both Co(1) and Co(2) had a square pyramidal oxygen environment comprised of four O atoms from four (μ-κ1,κ1)-acetates in the pyramid base and one O atom of (μ-κ1,κ1)-odabco as a top vertex. A pair of symmetry-equivalent metal ions (Co(1)-Co(1) or Co(2)-Co(2)) formed typical “paddlewheel” units (Figure 1a). Co(3) adopted a distorted tetrahedral environment consisting of two O atoms of non-bridging (κ1)-acetates and two O atoms of odabco bridges. A fifth close Co…O contact existed between Co(3) and the second O atom of the acetate, providing a trigonal bipyramidal distortion in the geometry of the metal ion (Figure 1b). Mononuclear Co2+ ions and binuclear paddlewheels alternated within one-dimensional zigzag-like chains with the summary formula {-Co3(odabco)2(OAc)6-}n (Figure 1c). These chains were uncharged and densely packed within the 1 crystal structure, leaving no solvent-accessible volume. The shortest interchain Co···Co distance of 6.66 Å showed a considerable spatial separation of metal blocks within a three-dimensional crystal packing.
Figure 1.
Binuclear paddlewheel (a) and mononuclear (b) blocks in the structure of 1. The Co atoms closest to the blocks are shown to be transparent. Two neighboring coordination chains in 1 (c). Co atoms are shown in purple; O atoms are red; N atoms are blue. H atoms are not shown.
Heating a mixture of cobalt(II) nitrate and odabco·HNO3 in an acidified mixture of DMF and water at 100 °C for 20 h led to the formation of [Co(H2O)2(HCOO)2]·odabco (2). The PXRD pattern of the filtered sample (Figure S2a) confirmed its phase purity. According to the SCXRD, 2 crystallized in an orthorhombic crystal system with a Pnma space group. Its asymmetric unit contained one independent metal atom. The Co2+ ion had an octahedral environment consisting of four O atoms of four (μ-κ1,κ1)-formates laying along the ac plane and two terminal water molecules coordinated almost parallel to the b axis. Thus, two-dimensional rectangular layers with a {-Co(H2O)2(HCOO)2-}n formula were formed (Figure 2). The minimal intralayer Co···Co distance was 6.17 Å. The odabco molecule in 2 was not coordinated by metal ion and was located in the interlayer space, bound by hydrogen bonds to the uncharged 2D coordination network. The O(odabco)…H(H2O) hydrogen bond lengths were 1.81 and 1.86 Å, showing the good fit of the odabco molecule to the layer geometry. The interplanar distance between the closest layers in the resulting compound with the summary formula [Co(H2O)2(HCOO)2]·odabco was ca. 7.57 Å.
Figure 2.
Fragment of the {-Co(H2O)2(HCOO)2-}n coordination layer (a) and the cage in the interlayer space with a bound odabco guest (b) in 2. Atom designations match Figure 1, H atoms of water are shown in orange. Hydrogen bonds are shown by orange dashed lines.
Interestingly, doubling the concentration of the reagents, compared to the synthesis of 2, while maintaining the solvent composition led to the crystallization of a new metal–organic framework with the crystallographic formula [Co2(H2O)(NO3)(odabco)5](NO3)3·3.65H2O (3) in a phase-pure form, confirmed by PXRD (Figure S3a). This example showed a remarkable effect of the reactant concentrations on the structure and composition of odabco-based MOFs, possibly related to the comparable donor strengths of odabco and carboxylate anions. According to the single-crystal data, 3 crystallized in a monoclinic crystal system with a P21/n space group. The asymmetric unit contained two independent metal atoms. Both independent Co2+ ions adopted a trigonal bipyramidal oxygen environment, including three O atoms from three (μ-κ1,κ1)-odabco bridges at the pyramid base and one O atom from terminal odabco at one pyramid vertex. The opposite vertex was occupied by an O atom of terminal nitrate in the coordination environment of Co(1), whereas terminal water oxygen coordinated Co(2) in a similar position. Such coordination geometry is relatively rare for Co2+ MOF structures compared to tetrahedron, octahedron, and square pyramid geometries [60,61,62,63,64,65]. Each metal center in 3 acted as a three-connected node. The nodes were interlinked into two-dimensional coordination layers with a strongly distorted hcb topology (Figure S4a). The layers were packed in an ABAB manner (Figure S4b), and interlayer hydrogen bonds between terminal odabco ligands and coordinated water molecules occurred. Such hydrogen bonding apparently stabilized a porous crystal structure of 3 by providing the interconnection for the intralayer apertures to form 1D rectangular channels (Figure 3c) with their laterals being paved odabco ligands and additionally by coordinated nitrates. The size of the channels was 4 × 6 Å2, and the void volume in the coordination framework of 3 amounted to 1250 Å3 per unit cell (26% of the total unit cell volume). Voids were occupied by nitrate anions and guest water molecules. In the 3D crystal packing of 3, intra- and interlayer distances between the closest Co(II) ions were quite close to each other, and all of these values exceeded 8.33 Å, showing a considerable spatial separation of paramagnetic metal centers.
Figure 3.
{Co(H2O)(Oodabco)4} (a) and {Co(NO3)(Oodabco)4} (b) triconnected nodes in 3. The Co atoms closest to the nodes are shown as transparent. Atom designations match Figure 1. [Co2(odabco)5(H2O)(NO3)]3+ coordination network, viewed along the b axis (c). Two independent layers are shown in different colors. H atoms and guest moieties are not shown. Unit cell edges are shown in black solid lines.
By lowering the temperature from 70 °C to 60 °C and reducing the heating time, a new crystalline product [Co2(DMF)2(odabco)4](NO3)4·3H2O (4) was isolated. The PXRD pattern of the filtered sample (Figure S5a) confirmed its phase purity. According to the SCXRD, 4 crystallized in a monoclinic crystal system with a C2/c space group. The asymmetric unit contained two independent metal atoms. Co(1) adopted a tetrahedral oxygen environment consisting of four O atoms belonging to four (μ-κ1,κ1)-odabco bridges (Figure 4a). Octahedral Co(2) was additionally coordinated by two O atoms of terminal DMF ligands and thus represented a square node (Figure 4b). Tetrahedral and square nodes were interlinked in a chess-like manner to form a three-dimensional coordination framework (Figure 4c) possessing a well-known pts topology (Figure 4d). The voids in the coordination framework of 4 were represented by narrow channels running along the b axis with a size of 2 × 2 Å, and its specific void volume amounted to 34%. The voids were occupied by nitrate counter anions and guest water.
Figure 4.
{Co(Oodabco)4} tetrahedral node (a) and {Co(DMF)2(Oodabco)4} square node in 4 (b). Coordination framework of 4, viewed along the c axis (c). Atom designations match Figure 1. H atoms and guest moieties are not shown. Unit cell edges are shown in black solid lines. Topological representation of the 4 framework (d). Each metal center and each odabco ligand are shown as a node and an edge, respectively.
3.2. Magnetic Properties
Temperature and magnetic-field dependences of the magnetic susceptibility χ of the odabco-based coordination networks 1, 3, and 4 were measured in order to shed light on the spin states of paramagnetic metal centers and their magnetic interactions. All of the studied compounds exhibited paramagnetic behavior in the entire temperature range of 1.77–300 K, with χ smoothly growing with decreasing temperature (χ(T) data are provided in Figures S6a–S8a). The measured χ(T) data were corrected for the temperature-independent diamagnetic contribution to determine the paramagnetic component χp(T) associated solely with the Co(II) ions.
In the case of 3 and 4, the χp−1(T) curves possessed a fairly simple shape typical of compounds with magnetically diluted Co(II) ions and showed no sign of any spin transition (Figure 5a,b). Indeed, in the low-temperature region χp−1(T) went straight to the origin, tending to intersect the temperature axis at a temperature θ lower than the experimentally resolved one, |θ| < 0.1 K (solid blue lines in Figure 5a,b). One can therefore infer that the exchange interaction between Co(II) ions was virtually absent and employed the Curie–Weiss description with θ ≈ 0 and a temperature-dependent effective magnetic moment μeff(T) (Figure 5a,b). As can be seen in the figures, μeff changed from 4.51 μB and 4.68 μB at T = 300 K to 3.53 μB and 3.70 μB at T = 1.77 K for 3 and 4, respectively (at high magnetic fields and low temperatures, μeff drops to lower values due to the non-linear magnetization M(H) dependence). The high-temperature μeff values observed are typical for Co(II) ions and considerably exceeded the spin-only moment μeff ≈ 3.87 μB (for S = 3/2) owing to the rather large contribution from orbital moments. In turn, the decrease in the effective magnetic moment with cooling was apparently due to the zero-field splitting (ZFS) of the ground-state multiplets of the Co(II) ions [66]. Given the presence of independent Co(II) ions with different coordination in the structures of both 3 and 4, one can hardly determine all of their ZFS parameters by fitting the magnetic data. However, even the simplest model [66], assuming a rather large average axial ZFS parameter D/kB ≈ 50 K and taking the rhombic ZFS parameter E/kB = 0, yielded a reasonably good fit to the μeff(T) data (dashed orange line in Figure 5a). To substantiate the explanation based on ZFS, one can take a look at the field dependences of the magnetization M(H) of 3 and 4 at T = 1.77 K (Figures S6b and S7b), which clearly demonstrated the single-ion anisotropy generated by ZFS. Indeed, the normalized susceptibility χ(H)/χ(0), whose behavior is governed by the most magnetically productive component χ|| or χ┴ [66], can be described well (Figures S6b and S7b) by the conventional expression
(where BS(x) is the Brillouin function) for S = 3/2 ions, with the g-factor g = 2.48–2.80 being similar or slightly exceeding the g values evaluated from the high-temperature μeff data.
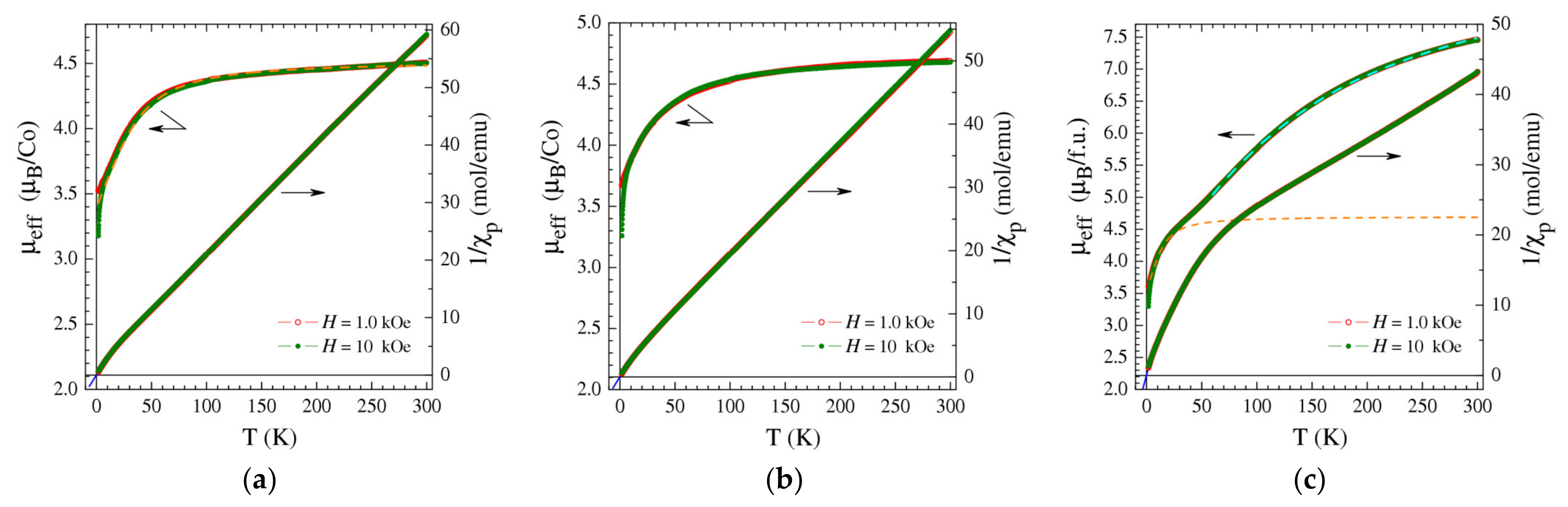
Figure 5.
Temperature dependencies of the effective magnetic moment μeff and inversed magnetic susceptibility 1/χp measured at magnetic fields H = 1; 10 kOe for 3 (a), 4 (b), and 1 (c). The effective magnetic moment is given per Co(II) ion for 3 (a) and 4 (b), whereas for 1 (c) it is given per formula unit containing 3 Co(II) ions. The solid blue lines in panels (a–c) show Curie–Weiss fits for the low-temperature 1/χp data measured at H = 1 kOe. The dashed orange line in panel (a) depicts an approximation of the μeff data, taking into account the ZFS of Co(II) ions with the axial ZFS parameter D/kB ≈ 50 K. In panel (c), the dashed orange line shows a ZFS fit for one isolated Co(II) ion; the dashed cyan line shows an approximation of the μeff data that includes contributions from one isolated Co(II) ion with ZFS and from an AF coupled pair of Co(II) ions with ZFS.
In contrast, the absolute values of the magnetization of 3 and 4 turned out to be considerably (by a factor of 1.85–2.15) lower than what would follow from the aforementioned expression (Figures S6b and S7b), indicating that the magnitude of the least magnetically productive component, χ|| or χ┴, was drastically suppressed. We can conclude, therefore, that it was ZFS and single-ion anisotropy that stayed behind the observed temperature dependence of μeff and the low-temperature magnetic properties of compounds 3 and 4.
The absence of any measurable interactions between Co(II) ions in 3 and 4 agrees well with their crystal structures, which comprised only mononuclear metal blocks. We can conclude, therefore, that odabco aliphatic bridges are incapable of providing effective routes for exchange interactions between Co(II) ions because of their rather long molecular length and the absence of a conjugated π-system.
A more complicated magnetic behavior was found for compound 1. As can be seen in Figure 5c, the inversed magnetic susceptibility curve χp−1(T) demonstrates that there were two quasi-linear sections (at T < 40 K and T > 90 K) separated by a gradual crossover, which was accompanied by a clear step in the μeff(T) dependence. In the low-T region, the effective magnetic moment of 1 calculated per formula unit containing three Co(II) ions (Figure 5c) approached the μeff values per Co(II) ion in 3 and 4 (Figure 5a,b), which implies that only one out of three Co(II) ions in 1 should have been contributing to the low-temperature magnetization. Even more clear evidence comes from the M(H) data measured for 1 at the lowest temperature of 1.77 K (Figure S8b). Both the M(H) and χ(H)/χ(0) curves of 1 were almost indistinguishable from those of 3 (Figure S6b). Hence, in the low-temperature limit, one of the three Co(II) ions in 1 behaved exactly like the non-interacting Co(II) ions in sample 3, whereas the other two Co(II) ions provided no contribution to the magnetization, providing evidence for the singlet state of the pair. Such behavior of 1 can be perfectly explained by its crystal structure, comprising binuclear paddlewheel blocks that contain closely located metal ions and mononuclear Co(II) ions in a 1:1 ratio. The crossover in the χp−1(T) and μeff(T) curves observed in the temperature range of 40–90 K demonstrates the transformation of AF-coupled Co(II) dimers from a low-T non-magnetic singlet state into a high-T paramagnetic one.
One can see in Figure 5c that μeff did not reach its saturation value even at T = 300 K, indicating the presence of a substantial AF exchange interaction within binuclear carboxylate blocks even at room temperature. Given the presence of three independent Co(II) ions with different structural environments, a precise determination of all numerous ZFS and exchange parameters in compound 1 is an extremely difficult task that can by no means be achieved just by fitting the magnetic data and is therefore beyond the scope of this work. However, it turns out that the χp(T) and μeff(T) data could still be described reasonably well within a simplified model, assuming the magnetic susceptibility of 1 to contain two independent contributions: from isolated Co(II) ions and from pairs of Co(II) ions, which belonged to binuclear paddlewheel blocks and were coupled into Co(II)-Co(II) dimers by the AF exchange interaction J [66,67], χp = χiso + χdim. The first term, χiso, could be evaluated by analyzing the data in the low-T region, where Co(II) dimers occupied the singlet ground state and provided a negligible contribution to the magnetization. Following this approach, we fitted the model of isolated Co(II) ions with ZFS to the low-T χp data and estimated the axial ZFS parameter D/kB of these ions to be ≈ 20 K; the corresponding contribution of isolated Co(II) ions to μeff(T) is shown by the dashed orange line in Figure 5c. In its turn, the contribution of AF-coupled Co(II) dimers χdim could be roughly approximated by the formulae established in Ref. [66] for dimers with ZFS in the strong exchange limit (|J| >> |D|). The best-fitting result was obtained for the AF exchange interaction J/kB~100 ± 20 K, with the uncertainty being related to the selection of D values. As can be seen in Figure 5c, a sum of the fitted contributions from isolated Co(II) ions and Co(II) dimers (dashed cyan line) yielded a fair account of the μeff(T) behavior of 1.
It is worth emphasizing that in compound 1 the Weiss constant determined in the low-temperature region was also negligibly small, |θ| < 0.1 K, indicating no sizable exchange interaction between either the paddlewheels and residual isolated metal ions or between the polymeric chains. From the point of view of magnetic properties, therefore, compound 1 can be considered a collection of paramagnetic Co(II) ions and AF-coupled Co(II)-Co(II) dimers in a 1:1 ratio that do not interact with each other.
3.3. Anion Exchange
According to the X-ray structural data, the cationic coordination framework [Co2(H2O)(NO3)(odabco)5]3+ in 3 featured sufficient void space of up to 26% (v./v.) and a channel size of ca. 4 × 6 Å for a facile diffusion of single-atom anions such as iodides (ionic diameter ≈ 4.2 Å), which has great practical relevance. Due to a charge balance, the adsorption of the iodide ions needed to be accompanied by the substitution of the uncoordinated NO3− anions (wide infra). The ion exchange was tested by immersion of the crystals of 3 in different solutions of NaI in a DMF/H2O mixture with varying concentrations and exposure times followed by a simultaneous analysis of the iodide and nitrate ions via capillary zone electrophoresis (CZE, Table S3). A remarkable degree of NO3− substitution equal to 75% occurred in 0.1M solution of NaI after one week. This ion exchange ratio corresponds to the chemical formula [Co2(H2O)(NO3)(odabco)5]I2.3(NO3)0.7 or 27 wt.% of the iodine gravimetric uptake. This number is rather close to the upper theoretical limit of 33 wt.% of the iodine capacity, assuming complete ion exchange. At lower NaI concentrations and/or shorter exposure time, the iodine uptake decreased as expected, with ca. 1% of the nitrate ion substitution achieved after one day of adsorption from the diluted 10−4 M NaI solution (Table S3). The reversibility of I− adsorption was also confirmed by a consecutive immersion of 3 in 0.1M NaI and then in 0.1 M NaNO3 solutions with a subsequent CZE analysis of the samples (Table S4), which showed an iodide exchange back to the nitrate ions of at least 89%.
Although the quality of the single crystals of 3 decreased during the anion exchange experiments, we managed to perform an SCXRD of the iodide-saturated sample 3-I, which allowed for a detailed analysis of the positions of the incorporated I− anions. According to the crystal structure of 3-I, no coordination of the iodide to Co2+ was observed, as the coordinated NO3− anions resided almost in the same place. Inside the pores of 3-I, six different positions of the guest I− were directly localized, each with 50% occupancy, corresponding to 1.5 symmetrically independent iodide ions per formula unit. An assignment of the other electron density peaks, as well as the analysis of the SQUEEZE data (see page 3 in the ESI), gave rise to the meaningful chemical formula [Co2(H2O)(NO3)(odabco)5]I2(NO3)·1.85H2O, which is also concordant with the chemical analyses and very close to the above composition. For all of the located iodide ions, multiple C–H···I contacts were found (Figure 6 and Figure S9), suggesting that the aliphatic core of the odabco ligands furnished a particularly favorable environment for the iodide anions. Also, a relatively short O···I distance of 3.46 Å was identified between one of the I− anions (I2) and guest H2O molecules (O2W), implying a possible H-bond interaction as an additional factor stabilizing the position of the iodide (Figure 6b). The Hirshfeld surface analysis (Figure 6c), as well as intermolecular contact fingerprints (Figures S10–S15), provided more detailed information on the nature of the interatomic contacts. According to Table 1, the I···H contacts largely dominated among all of the notable interatomic interactions, contributing to at least 94% of the Hirshfeld surface of every independent iodide position, quantitatively confirming the decisive role of the aliphatic ligand in the stabilization of the I− adsorption centers. In other words, the substitution of the nitrates by the iodide ions in 3 was mainly driven by seemingly weak but numerous van der Waals interactions between I− and the H atoms of the odabco ligands, resulting from an optimal geometrical fit of the large and easily polarizable spherical iodide anion in the interstitial positions of the mostly aliphatic coordination framework.
Figure 6.
Iodide molecular environment in 3-I for I1 (a) and for I2 (b). H atoms are shown in orange. Other atom designations match Figure 1. Hirshfeld surface of I1 (c). Only the closest odabco moiety is shown.
Table 1.
Atom contributions into intermolecular contacts with I atoms.
To ensure that the ion adsorption was selective, various anions were tested for the exchange reaction, and the results fell into two categories depending on the size and the coordination ability of the anion. The crystals of 3 were seemingly stable and showed no detectable presence of the other ionic species while immersed in the solutions of the larger multinuclear ions I3−, NO2−, CN−, SeO42−, CrO42−, and Cr2O72−. On the contrary, a deterioration of the compound was observed in the solutions of mononuclear halide anions F−, Cl−, and Br−, as well as azide N3−. Supposedly, the chemical and structural transformations of 3 in ionic solutions were first determined by the size of the anion. The multinuclear species, whose size exceeded the aperture of the channels of the coordination framework, could not participate in the anion exchange and enter the structure. The mononuclear halide anions obviously had no steric limitations and could penetrate the channels through the substitution of the uncoordinated nitrate ions. The framework degradation was likely invoked by the interaction of those halide or azide anions with Co(II) cations, plausibly through the substitution of the coordinated nitrate ligands, as the metal centers in 3 had no other coordination sites available. The iodide seems to have occupied quite a unique position among the anions under study. Its relatively small size admitted facile adsorption through the exchange of the interstitial NO3− ions, whereas its poor electron donor ability prevented the substitution of NO3− ligands in the coordination sphere of the Co(II) cations; therefore, framework 3 remained intact during the ion exchange processes, as unambiguously confirmed by powder XRD for 3-I (Figure S16). Moreover, the long-term stability of the crystalline material even increased after the iodide adsorption since the powder XRD plot of 3-I was reproduced after storage of the sample for six months (Figure 7), whereas the original compound 3 underwent a phase transition under the same conditions. Apparently, an odabco-lined pore environment of the framework created a favorable confinement for the large polarizable I− ion through multiple interatomic interactions, which not only drove the iodide ion exchange/adsorption but also improved the stability of both the local I− adsorption sites and a whole crystalline framework. High structural and functional durability of the adsorbent is essential for the safe storage of long-lived iodine radionuclides such as 125I, 129I, and 131I in stable solid forms as well as on-demand release of those species due to the reversibility of iodide-nitrate ion exchange. Overall, the porous cationic material 3 developed in this work offers targeted adsorption of the iodide anions, including the radioactive species, from complex solutions in various concentrations; rather capacious and long-term storage; and convenient extraction of the iodine when necessary.
Figure 7.
PXRD patterns of 3 (a) and 3-I (b) after six months of storage.
4. Conclusions
In summary, four new metal–organic frameworks based on cobalt(II) and 1,4-diazabicyclo[2.2.2]octane N,N’-dioxide (odabco) were successfully synthesized and structurally characterized. Based on synthetic conditions, the obtained compounds possessed different Co(II) coordination environments, network charges, dimensionality, and porosity, revealing a diverse role of such ligands in MOF chemistry. The temperature-dependent magnetization measurements of two samples demonstrated their paramagnetic nature, resulting from a spatial separation of metal blocks with no sizable exchange interaction between Co(II) ions. However, in [Co3(odabco)2(OAc)6], a strong (J/kB~100 K) antiferromagnetic coupling was revealed in the binuclear Co(II)-carboxylate blocks that persisted in the crystal structure along with the mononuclear units. Anion exchange was investigated for a porous and stable cationic MOF [Co2(H2O)(NO3)(odabco)5](NO3)3. A remarkable 27 wt.% iodide uptake was achieved via substitution of guest nitrates by I− anions, accompanied by full preservation of the crystallinity of the sample during the exchange. Iodide positions were directly determined via the single-crystal XRD method within an anion-exchanged adduct [Co2(H2O)(NO3)(odabco)5]I2(NO3)·1.85H2O. According to the analysis of structural data, the adsorption sites of the iodide anions were lined by the aliphatic core of the odabco ligand, providing a mostly aliphatic environment. The selective and reversible adsorption of the I− among other anions resulted from a delicate interplay between the size of the iodide anion, which was small enough for facile diffusion along the 3D crystal structure and large enough to enjoy multiple non-covalent interactions with the odabco molecules, and the poor coordination ability of the I− ions. Such insights would not be possible without comprehensive structural characterization of the iodide exchange compound. The obtained data rationalize the experimental observations and provide generalized solutions for the targeted design of more effective ion adsorbent materials. Also, the reported results demonstrate the perspectives of 1,4-diazabicyclo[2.2.2]octane N,N’-dioxide as an aliphatic (O,O)-donor charge-neutral ligand for the structural design of multifunctional metal–organic frameworks, especially for the synthesis of cationic coordination lattices for magnetic applications, anion adsorption, and similar practical tasks.
Supplementary Materials
The following supporting information can be downloaded at: https://www.mdpi.com/article/10.3390/nano13202773/s1, Table S1: Single-crystal X-ray diffraction and structure refinement details; Table S2: Bond lengths (in Å) in the metal coordination environment for 1–4; Figure S1: Experimental and theoretical PXRD patterns of 1 (a). Digital photograph of the freshly filtered sample of 1 (b); Figure S2: Experimental and theoretical PXRD patterns of 2 (a). Digital photograph of the freshly filtered sample of 2 (b); Figure S3: Experimental and theoretical PXRD patterns of 3 (a). Digital photograph of the freshly filtered sample of 3 (b); Figure S4: Fragment of coordination layer in 3, viewed along the b axis (a). Packing of two closest layers in 3, viewed along the a axis (b); Figure S5: Experimental and theoretical PXRD patterns of 4 (a). Digital photograph of the freshly filtered sample of 4 (b); Figure S6: (a) Temperature dependences of the magnetic susceptibility χ measured for 3 at magnetic fields H = 1; 10 kOe. (b) Magnetic field dependences of the magnetization M per Co ion and normalized magnetic susceptibility χ(H)/χ(0) measured for 3 at T = 1.77 K; Figure S7: (a) Temperature dependences of the magnetic susceptibility χ measured for 4 at magnetic fields H = 1; 10 kOe. (b) Magnetic field dependences of the magnetization M per Co ion and normalized magnetic susceptibility χ(H)/χ(0) measured for 4 at T = 1.77 K; Figure S8: (a) Temperature dependences of the magnetic susceptibility χ measured for 1 at magnetic fields H = 1; 10 kOe. (b) Magnetic field dependences of the magnetization M per formula unit and normalized magnetic susceptibility χ(H)/χ(0) measured for 1 at T = 1.77 K; Table S3: I−/NO3− ratio and derived extent of the nitrate substitution by iodide after immersion of 3 in NaI solutions; Table S4: I−/NO3− ratio and derived extent of the nitrate substitution by iodide after step-by-step immersion of 3 in NaI and NaNO3 solutions; Figure S9: Iodide molecular environment in 3-I: for I3 (a), I4 (b), I5 (c), and I6 (d); Figure S10: I…H (a) and I…O (b) contact fingerprints for the I1 atom in the crystal structure of 3-I; Figure S11: I…H (a) and I…O (b) contact fingerprints for the I2 atom in the crystal structure of 3-I; Figure S12: I…H (a) and I…O (b) contact fingerprints for the I3 atom in the crystal structure of 3-I; Figure S13: I…H (a) and I…O (b) contact fingerprints for the I4 atom in the crystal structure of 3-I; Figure S14: I…H (a) and I…O (b) contact fingerprints for the I5 atom in the crystal structure of 3-I; Figure S15: I…H (a) and I…O (b) contact fingerprints for the I6 atom in the crystal structure of 3-I; Figure S16: Experimental and theoretical PXRD patterns of 3-I; Figure S17: Infrared spectra of 1–4 and 3-I; Figure S18: TG plots for 1–4 and 3-I.
Author Contributions
The manuscript was prepared and written with contributions from all authors. Conceptualization: P.A.D. and D.N.D.; methodology: P.A.D., E.V.P., A.N.L. and D.N.D.; validation: P.A.D., E.V.P., A.N.L. and D.N.D.; investigation: K.D.A. (synthesis, characterization, visualization, graphing), P.A.D. (single-crystal XRD, visualization), E.V.P. (CZE measurements) and A.N.L. (magnetization measurements, visualization, graphing); resources: D.N.D. and V.P.F.; writing—original draft preparation: K.D.A., P.A.D. and A.N.L.; writing—review and editing: D.N.D. and V.P.F.; visualization: K.D.A., P.A.D. and A.N.L.; project administration: P.A.D.; funding acquisition, P.A.D. All authors have read and agreed to the published version of the manuscript.
Funding
The research was funded by the Russian Science Foundation, project No. 22-23-20179, https://rscf.ru/en/project/22-23-20179/ (accessed on 13 October 2023), and the Government of the Novosibirsk Region, project No. p-22.
Data Availability Statement
CCDC 2251753–2251757 entries contain the supplementary crystallographic data for this paper. These data can be obtained free of charge from The Cambridge Crystallographic Data Center at https://www.ccdc.cam.ac.uk/structures/, accessed on 13 October 2023.
Conflicts of Interest
The authors declare no conflict of interest.
References
- Pascanu, V.; González Miera, G.; Ken Inge, A.; Martín-Matute, B. Metal–Organic Frameworks as Catalysts for Organic Synthesis: A Critical Perspective. J. Am. Chem. Soc. 2019, 141, 7223–7234. [Google Scholar] [CrossRef] [PubMed]
- Wang, C.; An, B.; Lin, W. Metal–Organic Frameworks in Solid–Gas Phase Catalysis. ACS Catal. 2019, 9, 130–146. [Google Scholar] [CrossRef]
- Jaramillo, D.E.; Jaffe, A.; Snyder, B.E.R.; Smith, A.; Taw, E.; Rohde, R.C.; Dods, M.N.; DeSnoo, W.; Meihaus, K.R.; David Harris, T.; et al. Metal–organic frameworks as O2-selective adsorbents for air separations. Chem. Sci. 2022, 13, 10216–10237. [Google Scholar] [CrossRef] [PubMed]
- Shi, Y.; Wang, Z.; Li, Z.; Wang, H.; Xiong, D.; Qiu, J.; Tian, X.; Feng, G.; Wang, J. Anchoring LiCl in the Nanopores of Metal–Organic Frameworks for Ultra-High Uptake and Selective Separation of Ammonia. Angew. Chem. Int. Ed. 2022, 61, e202212032. [Google Scholar] [CrossRef]
- Xie, Y.; Lyu, S.; Zhang, Y.; Cai, C. Adsorption and Degradation of Volatile Organic Compounds by Metal–Organic Frameworks (MOFs): A Review. Materials 2022, 15, 7727. [Google Scholar] [CrossRef]
- Qian, Q.; Asinger, P.A.; Joo Lee, M.; Han, G.; Mizrahi Rodriguez, K.; Lin, S.; Benedetti, F.M.; Wu, A.X.; Seok Chi, W.; Smith, Z.P. MOF-Based Membranes for Gas Separations. Chem. Rev. 2020, 120, 8161–8266. [Google Scholar] [CrossRef]
- Kotova, A.A.; Thiebaut, D.; Vial, J.; Tissot, A.; Serre, C. Metal-organic frameworks as stationary phases for chromatography and solid phase extraction: A review. Coord. Chem. Rev. 2022, 455, 214364. [Google Scholar] [CrossRef]
- Kovalenko, K.A.; Potapov, A.S.; Fedin, V.P. Micro- and mesoporous metal-organic frameworks for hydrocarbon separation. Russ. Chem. Rev. 2022, 91, RCR5026. [Google Scholar] [CrossRef]
- Khaki Firooz, S.; Armstrong, D.W. Metal-organic frameworks in separations: A review. Anal. Chim. Acta 2022, 1234, 340208. [Google Scholar] [CrossRef]
- Dolgopolova, E.A.; Rice, A.M.; Martina, C.R.; Shustova, N.B. Photochemistry and photophysics of MOFs: Steps towards MOF-based sensing enhancements. Chem. Soc. Rev. 2018, 47, 4710–4728. [Google Scholar] [CrossRef]
- Yang, G.-L.; Jiang, X.-L.; Xu, H.; Zhao, B. Applications of MOFs as Luminescent Sensors for Environmental Pollutants. Small 2021, 17, 2005327. [Google Scholar] [CrossRef] [PubMed]
- Xu, X.; Ma, M.; Sun, T.; Zhao, X.; Zhang, L. Luminescent Guests Encapsulated in Metal–Organic Frameworks for Portable Fluorescence Sensor and Visual Detection Applications: A Review. Biosensors 2023, 13, 435. [Google Scholar] [CrossRef] [PubMed]
- Nadar, S.S.; Rathod, V.K. Magnetic-metal organic framework (magnetic-MOF): A novel platform for enzyme immobilization and nanozyme applications. Int. J. Biol. Macromol. 2018, 120, 2293–2302. [Google Scholar] [CrossRef]
- Goswami, R.; Seal, N.; Ranjan Dash, S.; Tyagi, A.; Neogi, S. Devising Chemically Robust and Cationic Ni(II)–MOF with Nitrogen-Rich Micropores for Moisture-Tolerant CO2 Capture: Highly Regenerative and Ultrafast Colorimetric Sensor for TNP and Multiple Oxo–Anions in Water with Theoretical Revelation. ACS Appl. Mater. Interfaces 2019, 11, 40134–40150. [Google Scholar] [CrossRef]
- Ma, J.; Wang, C.-C.; Zhao, Z.-X.; Wang, P.; Li, J.-J.; Wang, F.-X. Adsorptive capture of perrhenate (ReO4−) from simulated wastewater by cationic 2D-MOF BUC-17. Polyhedron 2021, 202, 115218. [Google Scholar] [CrossRef]
- Sharma, S.; Desai, A.V.; Joarder, B.; Ghosh, S.K. A Water-Stable Ionic MOF for the Selective Capture of Toxic Oxoanions of SeVI and AsV and Crystallographic Insight into the Ion-Exchange Mechanism. Angew. Chem. Int. Ed. 2020, 59, 7788–7792. [Google Scholar] [CrossRef]
- Dutta, S.; Let, S.; Shirolkar, M.M.; Desai, A.V.; Samanta, P.; Fajal, S.; Morea, Y.D.; Ghosh, S.K. A luminescent cationic MOF for bimodal recognition of chromium and arsenic based oxo-anions in water. Dalton Trans. 2021, 50, 10133–10141. [Google Scholar] [CrossRef]
- Li, J.; Yuan, S.; Qin, J.-S.; Pang, J.; Zhang, P.; Zhang, Y.; Huang, Y.; Drake, H.F.; Liu, W.R.; Zhou, H.-C. Stepwise Assembly of Turn-on Fluorescence Sensors in Multicomponent Metal–Organic Frameworks for In Vitro Cyanide Detection. Angew. Chem. Int. Ed. 2020, 59, 9319–9323. [Google Scholar] [CrossRef]
- Yu, C.-X.; Chen, J.; Zhang, Y.; Song, W.-B.; Li, X.-Q.; Chen, F.-J.; Zhang, Y.-J.; Liu, D.; Liu, L.-L. Highly efficient and selective removal of anionic dyes from aqueous solution by using a protonated metal-organic framework. J. Alloys Compd. 2021, 853, 157383. [Google Scholar] [CrossRef]
- Zhang, X.; Maddock, J.; Nenoff, T.M.; Denecke, M.A.; Yang, S.; Schröder, M. Adsorption of iodine in metal–organic framework materials. Chem. Soc. Rev. 2022, 51, 3243–3262. [Google Scholar] [CrossRef]
- Chang, J.; Li, H.; Zhao, J.; Guan, X.; Li, C.; Yu, G.; Valtchev, V.; Yan, Y.; Qiua, S.; Fang, Q. Tetrathiafulvalene-based covalent organic frameworks for ultrahigh iodine capture. Chem. Sci. 2021, 12, 8452–8457. [Google Scholar] [CrossRef] [PubMed]
- Zaguzin, A.S.; Sukhikh, T.S.; Kolesov, B.A.; Sokolov, M.N.; Fedin, V.P.; Adonin, S.A. Iodinated vs. non-iodinated: Comparison of sorption selectivity by [Zn2(bdc)2dabco]n and superstructural 2-iodoterephtalate-based metal–organic framework. Polyhedron 2022, 212, 115587. [Google Scholar] [CrossRef]
- Yang, Y.; Tu, C.; Yin, H.; Liu, J.; Cheng, F.; Luo, F. Molecular Iodine Capture by Covalent Organic Frameworks. Molecules 2022, 27, 9045. [Google Scholar] [CrossRef] [PubMed]
- Li, G.; Liu, W.-S.; Yang, S.-L.; Zhang, L.; Bu, R.; Gao, E.-Q. Anion-Afforded Functions of Ionic Metal–Organic Frameworks: Ionochromism, Anion Conduction, and Catalysis. Inorg. Chem. 2022, 61, 902–910. [Google Scholar] [CrossRef]
- Liu, J.-J.; Xia, S.-B.; Liu, Y.; Suo, H.; Liu, J.; Shen, X. The Influence of Anions on Electron-Transfer Photochromism of Bipyridinium-Derived Metal–Organic Materials. Cryst. Growth Des. 2020, 20, 1729–1737. [Google Scholar] [CrossRef]
- Shi, P.-F.; Hu, H.-C.; Zhang, Z.-Y.; Xiong, G.; Zhao, B. Heterometal–organic frameworks as highly sensitive and highly selective luminescent probes to detect I− ions in aqueous solutions. Chem. Commun. 2015, 51, 3985–3988. [Google Scholar] [CrossRef]
- Desai, A.V.; Sharma, S.; Let, S.; Ghosh, S.K. N-donor linker based metal-organic frameworks (MOFs): Advancement and prospects as functional materials. Coord. Chem. Rev. 2019, 395, 146–192. [Google Scholar] [CrossRef]
- Sharma, S.; Dutta, S.; Dam, G.K.; Ghosh, S.K. Neutral Nitrogen Donor Ligand-based MOFs for Sensing Applications. Chem. Asian J. 2021, 16, 2569–2587. [Google Scholar] [CrossRef]
- Kuznetsova, A.; Matveevskaya, V.; Pavlov, D.; Yakunenkov, A.; Potapov, A. Coordination Polymers Based on Highly Emissive Ligands: Synthesis and Functional Properties. Materials 2020, 13, 2699. [Google Scholar] [CrossRef]
- Marabello, D.; Antoniotti, P.; Benzi, P.; Beccari, F.; Canepa, C.; Cariati, E.; Cioci, A.; Lo Presti, L. Crystal structure or chemical composition of salt–sugar-based metal–organic frameworks: What are the nonlinear optical properties due to? Acta Cryst. 2021, B77, 506–514. [Google Scholar] [CrossRef]
- Roy, I.; Fraser Stoddart, J. Cyclodextrin Metal–Organic Frameworks and Their Applications. Acc. Chem. Res. 2021, 54, 1440–1453. [Google Scholar] [CrossRef] [PubMed]
- Koshevoy, E.I.; Samsonenko, D.G.; Berezin, A.S.; Fedin, V.P. Metal-Organic Coordination Polymers Formed from γ-Cyclodextrin and Divalent Metal Ions. Eur. J. Inorg. Chem. 2019, 2019, 4321–4327. [Google Scholar] [CrossRef]
- Tepper, R.; Schulze, B.; Bellstedt, P.; Heidler, J.; Görls, H.; Jäger, M.; Schubert, U.S. Halogen-bond-based cooperative ion-pair recognition by a crown-ether-embedded 5-iodo-1,2,3-triazole. Chem. Commun. 2017, 53, 2260–2263. [Google Scholar] [CrossRef] [PubMed]
- Wang, J.; Zhang, X.; Liang, F.; Hu, Z.; Wu, Y. Co-crystal AX·(H3C3N3O3) (A = Na, Rb, Cs; X = Br, I): A series of strongly anisotropic alkali halide cyanurates with a planar structural motif and large birefringence. Dalton Trans. 2021, 50, 11555–11561. [Google Scholar] [CrossRef]
- Kovalenko, E.A.; Andrienko, I.V.; Samsonenko, D.G.; Fedin, V.P. Synthesis and Crystal Structure of One-Dimensional Coordination Polymers Based on Lanthanide Complexes and Cucurbit[6]uril. J. Struct. Chem. 2022, 63, 1770–1778. [Google Scholar] [CrossRef]
- Govindaraj, M.; Huang, W.-C.; Lee, C.-Y.; Lakshmanan, V.; Liu, Y.-H.; So, P.B.; Lin, C.-H.; Chen, J.-D. Structural Diversity of Mercury(II) Halide Complexes Containing Bis-pyridyl-bis-amide with Bulky and Angular Backbones: Ligand Effect and Metal Sensing. Int. J. Mol. Sci. 2022, 23, 7861. [Google Scholar] [CrossRef]
- Noro, S.-I.; Mizutani, J.; Hijikata, Y.; Matsuda, R.; Sato, H.; Kitagawa, S.; Sugimoto, K.; Inubushi, Y.; Kubo, K.; Nakamura, T. Porous coordination polymers with ubiquitous and biocompatible metals and a neutral bridging ligand. Nat. Commun. 2015, 6, 5851. [Google Scholar] [CrossRef]
- Long, D.-L.; Blake, A.J.; Champness, N.R.; Wilson, C.; Schröder, M. Unprecedented Seven- and Eight-Connected Lanthanide Coordination Networks. Angew. Chem. Int. Ed. 2001, 40, 2443–2447. [Google Scholar] [CrossRef]
- Long, D.-L.; Hill, R.J.; Blake, A.J.; Champness, N.R.; Hubberstey, P.; Proserpio, D.M.; Wilson, C.; Schröder, M. Non-Natural Eight-Connected Solid-State Materials: A New Coordination Chemistry. Angew. Chem. Int. Ed. 2004, 43, 1851–1854. [Google Scholar] [CrossRef]
- Chandra Manna, S.; Zangrando, E.; Ribas, J.; Ray Chaudhuri, N. Cobalt(II)–(dpyo)–dicarboxylate networks: Unique H-bonded assembly and rare bridging mode of dpyo in one of them [dpyo = 4,4′-dipyridyl N,N′-dioxide]. Dalton Trans. 2007, 14, 1383–1391. [Google Scholar] [CrossRef]
- Chen, L.; Ji, Q.; Wang, X.; Pan, Q.; Cao, X.; Xu, G. Two novel metal–organic coordination polymers based on ligand 1,4-diazabicyclo[2.2.2]octane N,N′-dioxide with phase transition, and ferroelectric and dielectric properties. CrystEngComm 2017, 19, 5907–5914. [Google Scholar] [CrossRef]
- Demakov, P.A.; Samsonenko, D.G.; Dybtsev, D.N.; Fedin, V.P. Zinc(II) metal-organic frameworks with 1,4-diazabicyclo[2.2.2]octane N,N′-dioxide: Control of the parameters of the cationic porous framework and optical properties. Russ. Chem. Bull. 2022, 71, 83–90. [Google Scholar] [CrossRef]
- Jankowski, R.; Zakrzewski, J.J.; Surma, O.; Ohkoshi, S.-I.; Chorazy, S.; Sieklucka, B. Near-infrared emissive Er(III) and Yb(III) molecular nanomagnets in metal–organic chains functionalized by octacyanidometallates(IV). Inorg. Chem. Front. 2019, 6, 2423–2434. [Google Scholar] [CrossRef]
- Qian, J.-F.; Tian, W.-J.; Yang, S.; Sun, Z.-H.; Chen, L.; Wei, M.-J.; Wu, Z.; He, M.-Y.; Zhang, Z.-H.; Mei, L. Auxiliary Ligand-Dependent Adaptive Regulation of Uranyl Coordination in Mixed-Ligand Uranyl Compounds of Flexible Biphenyltetracarboxylic Acid. Inorg. Chem. 2020, 59, 17659–17670. [Google Scholar] [CrossRef] [PubMed]
- Ma, B.-Q.; Sun, H.-L.; Gao, S.; Su, G. A Novel Azido and Pyrazine-Dioxide Bridged Three-Dimensional Manganese(II) Network with Antiferromagnetic Ordering (TN = 62 K) and a Spin Flop State. Chem. Mater. 2001, 13, 1946–1948. [Google Scholar] [CrossRef]
- Ma, F.; Xiong, J.; Meng, Y.-S.; Yang, J.; Sun, H.-L.; Gao, S. Rational construction of a porous lanthanide coordination polymer featuring reversible guest-dependent magnetic relaxation behavior. Inorg. Chem. Front. 2018, 5, 2875–2884. [Google Scholar] [CrossRef]
- Ma, F.; Sun, R.; Sun, A.-H.; Xiong, J.; Sun, H.-L.; Gao, S. Regulating the structural dimensionality and dynamic properties of a porous dysprosium coordination polymer through solvent molecules. Inorg. Chem. Front. 2020, 7, 930–938. [Google Scholar] [CrossRef]
- Abasheeva, K.D.; Demakov, P.A.; Fedin, V.P. Diverse Hydrogen-Bonded Structural Motifs in 1,4-Diazabicyclo[2.2.2]octane N,N’-Dioxide Salts with Oxoanions. Molbank 2022, 2022, M1508. [Google Scholar] [CrossRef]
- Demakov, P.A.; Romanov, A.S.; Samsonenko, D.G.; Dybtsev, D.N.; Fedin, V.P. Synthesis and structure of manganese(II) coordination polymers with 1,4-diazabicyclo[2.2.2]octane N, N′-Dioxide: Solvent and template effects. Russ. Chem. Bull. 2020, 69, 1511–1519. [Google Scholar] [CrossRef]
- Demakov, P.A.; Yudina, Y.A.; Samsonenko, D.G.; Dybtsev, D.N.; Fedin, V.P. Crystal Structure of Zinc Coordination Polymers Based on 1,4-Diazabicyclo[2.2.2]octane N,N′-Dioxide: Effect of Hydrophobicity of Carboxylate Ligands. J. Struct. Chem. 2021, 62, 403–411. [Google Scholar] [CrossRef]
- Svetogorov, R.D.; Dorovatovskii, P.V.; Lazarenko, V.A. Belok/XSA Diffraction Beamline for Studying Crystalline Samples at Kurchatov Synchrotron Radiation Source. Cryst. Res. Technol. 2020, 55, 1900184. [Google Scholar] [CrossRef]
- Lazarenko, V.A.; Dorovatovskii, P.V.; Zubavichus, Y.V.; Burlov, A.S.; Koshchienko, Y.V.; Vlasenko, V.G.; Khrustalev, V.N. High-Throughput Small-Molecule Crystallography at the ‘Belok’ Beamline of the Kurchatov Synchrotron Radiation Source: Transition Metal Complexes with Azomethine Ligands as a Case Study. Crystals 2017, 7, 325. [Google Scholar] [CrossRef]
- Kabsch, W. XDS. Acta Cryst. 2010, D66, 125–132. [Google Scholar] [CrossRef] [PubMed]
- CrysAlisPro 1.171.38.46; Rigaku Oxford Diffraction: The Woodlands, TX, USA, 2015; Available online: https://www.rigaku.com/products/crystallography/crysalis (accessed on 13 October 2023).
- Sheldrick, G.M. SHELXT—Integrated space-group and crystal-structure determination. Acta Cryst. 2015, A71, 3–8. [Google Scholar] [CrossRef]
- Sheldrick, G.M. Crystal structure refinement with SHELXL. Acta Cryst. 2015, C71, 3–8. [Google Scholar]
- Spek, A.L. PLATON SQUUEZE: A tool for the calculation of the disordered solvent contribution to the calculated structure factors. Acta Cryst. 2015, C71, 9–18. [Google Scholar]
- Spackman, P.R.; Turner, M.J.; McKinnon, J.J.; Wolff, S.K.; Grimwood, D.J.; Jayatilaka, D.; Spackman, M.A. CrystalExplorer: A program for Hirshfeld surface analysis, visualization and quantitative analysis of molecular crystals. J. Appl. Crystallogr. 2021, 54, 1006–1011. [Google Scholar] [CrossRef]
- Kay Hon, P.; Mak, T.C.W. Isolation and crystal structures of 1∶3 molecular complexes of triethylenediamineN,N′-dioxide with hydrogen peroxide and water. J. Crystallogr. Spectrosc. Res. 1987, 17, 419–429. [Google Scholar] [CrossRef]
- Zhang, J.; Liu, R.; Feng, P.; Bu, X. Organic Cation and Chiral Anion Templated 3D Homochiral Open-Framework Materials with Unusual Square-Planar {M4(OH)} Units. Angew. Chem. Int. Ed. 2007, 46, 8388–8391. [Google Scholar] [CrossRef]
- Xu, G.; Xie, M.; Li, X.; Shi, W.; Yu, H.; Hu, Y.; Xun, X.; Xie, Y. Four binuclear coordination polymers with a 63 net and self-assembly of 2D 63 topology into different supramolecular networks using unit–unit H-bonds. CrystEngComm 2015, 17, 3677–3686. [Google Scholar] [CrossRef]
- McCormick, L.J.; Morris, S.A.; Slawin, A.M.Z.; Teat, S.J.; Morris, R.E. Coordination Polymers of 5-Alkoxy Isophthalic Acids. Cryst. Growth Des. 2016, 16, 5771–5780. [Google Scholar] [CrossRef]
- Shi, Z.; Mei, C.; Niu, G.; Han, Q. Two inorganic–organic hybrids based on a polyoxometalate: Structures, characterizations, and epoxidation of olefins. J. Coord. Chem. 2018, 71, 1460–1468. [Google Scholar] [CrossRef]
- Grineva, A.A.; Datchuk, R.R.; Uvarova, M.A.; Demina, L.I.; Nefedov, S.E. Structure of an Unordinary 1-D Cobalt(II) Polymer Formed upon the Dissolution of the Mononuclear Co(OOPh)2[O(H)Me]4 Adduct in Chloroform. Russ. J. Inorg. Chem. 2018, 63, 468–472. [Google Scholar] [CrossRef]
- Bagheri, M.; Yaser Masoomi, M.; Morsali, A. High organic sulfur removal performance of a cobalt based metal-organic framework. J. Hazard. Mater. 2017, 331, 142–149. [Google Scholar] [CrossRef]
- Boča, R. Zero-field splitting in metal complexes. Coord. Chem. Rev. 2004, 248, 757–815. [Google Scholar] [CrossRef]
- Griffith, J.S. On the general theory of magnetic susceptibilities of polynuclear transition-metal compounds. In Structure and Bonding; Springer: Berlin/Heidelberg, Germany, 1972; Volume 10, pp. 87–126. [Google Scholar]
Disclaimer/Publisher’s Note: The statements, opinions and data contained in all publications are solely those of the individual author(s) and contributor(s) and not of MDPI and/or the editor(s). MDPI and/or the editor(s) disclaim responsibility for any injury to people or property resulting from any ideas, methods, instructions or products referred to in the content. |
© 2023 by the authors. Licensee MDPI, Basel, Switzerland. This article is an open access article distributed under the terms and conditions of the Creative Commons Attribution (CC BY) license (https://creativecommons.org/licenses/by/4.0/).






