Donor-Acceptor Copolymers with 9-(2-Ethylhexyl)carbazole or Dibenzothiophene-5,5-dioxide Donor Units and 5,6-Difluorobenzo[c][1,2,5]thiadiazole Acceptor Units for Photonics
Abstract
:1. Introduction
2. Materials and Methods
2.1. Materials
2.2. Sample Preparation
2.3. Methods
2.4. Synthesis of Copolymers
2.4.1. Poly{4,7-bis(4′-(2-octyldodecyl)thiophen-2′-yl)-5,6-difluorobenzo[c][1,2,5]thiadiazole-5′,5′-diyl-alt-9-(2-ethylhexyl)carbazole-2,7-diyl} (CP1)
2.4.2. Poly{4,7-bis(4′-(2-octyldodecyl)thiophen-2′-yl)-5,6-difluorobenzo[c][1,2,5]thiadiazole-5′,5′-diyl-alt-dibenzothiophene-5,5-dioxide-3,7-diyl} (CP2)
3. Results and Discussion
3.1. Synthesis of Copolymers
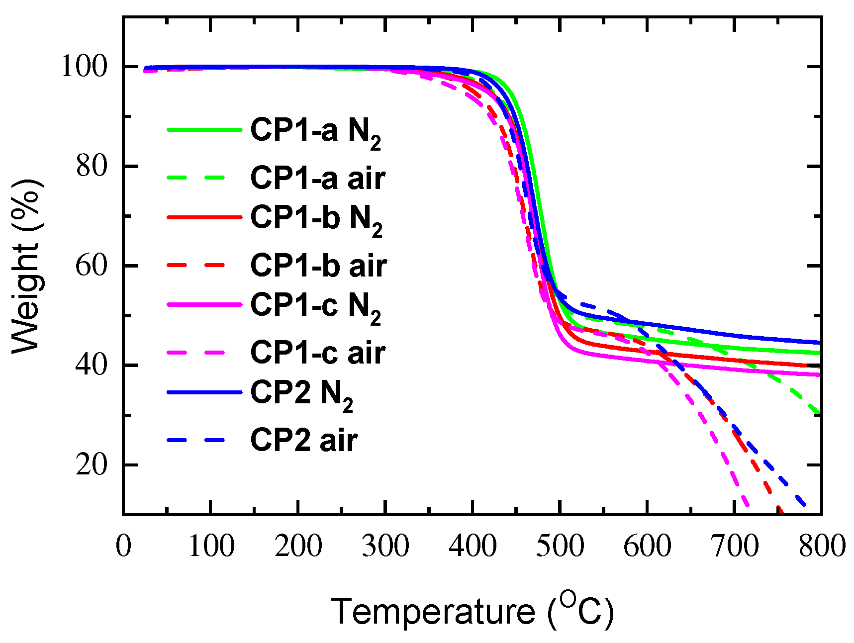
3.2. Thermal Properties
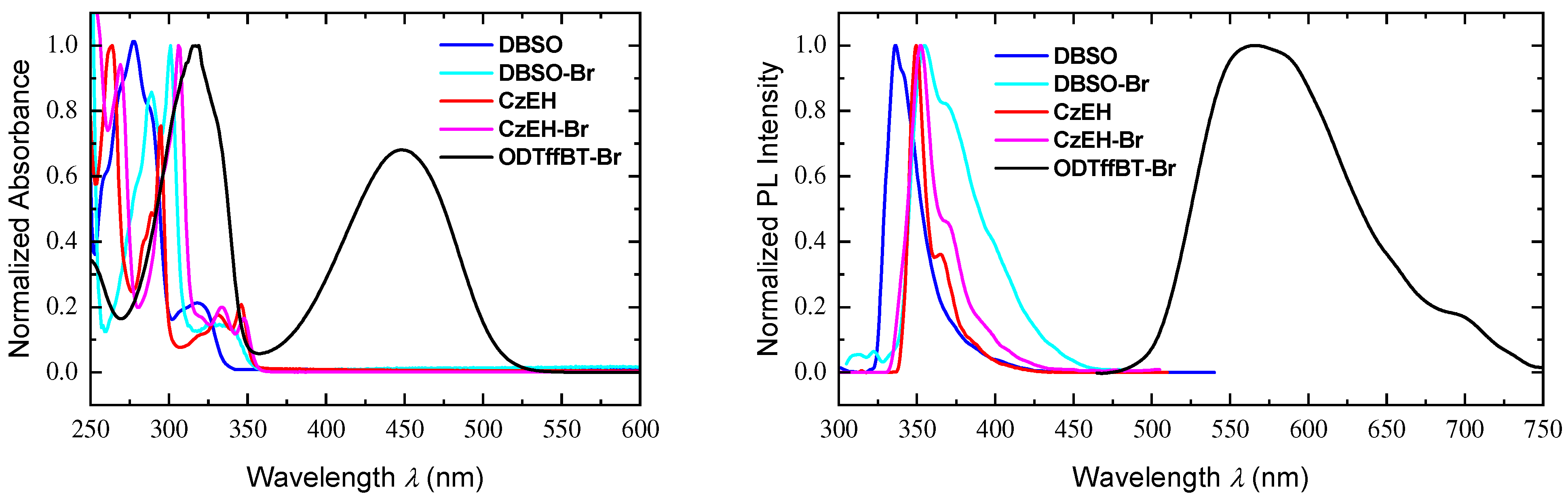
3.3. Photophysical Properties
3.4. Electrochemical Properties
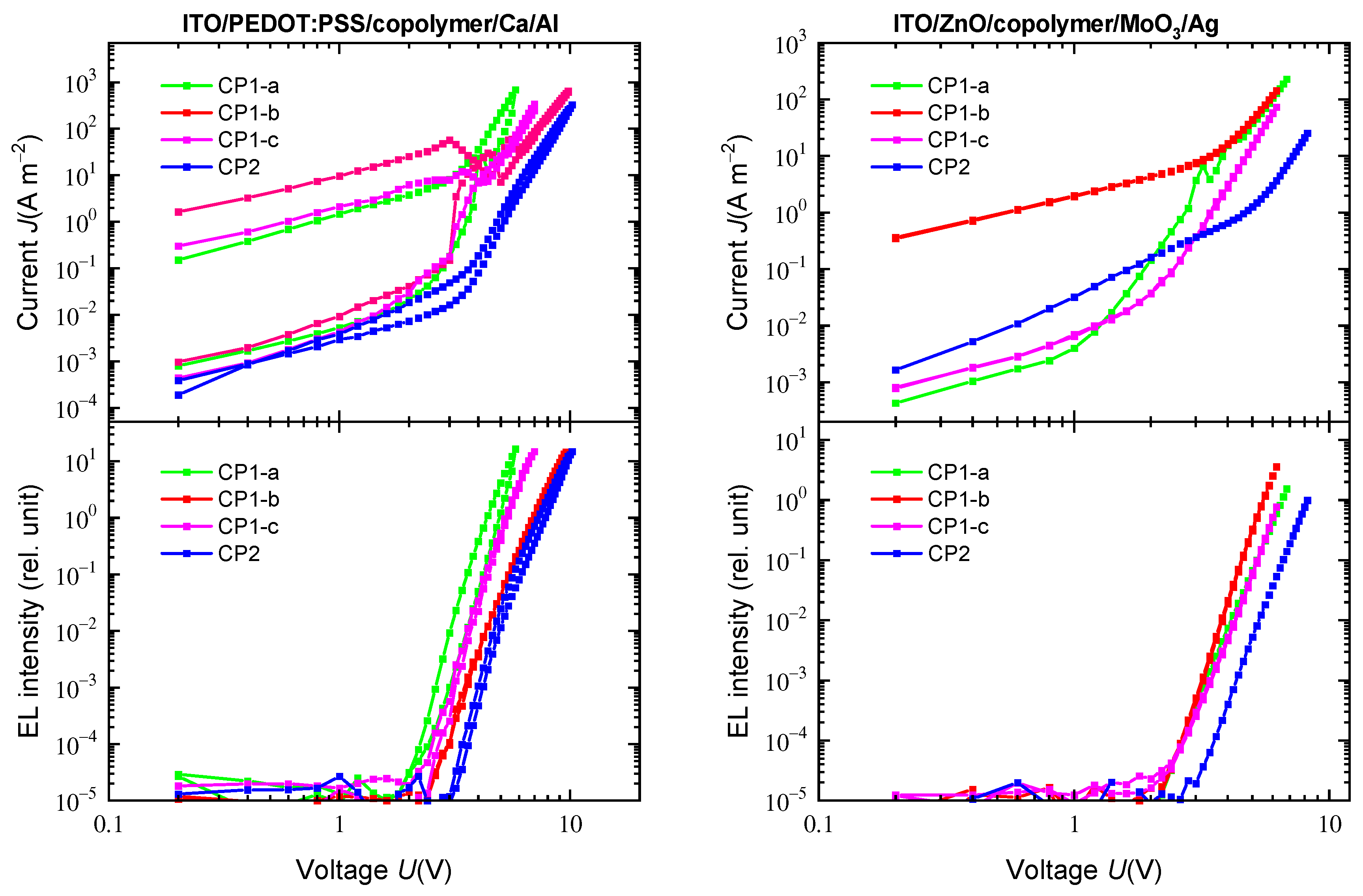
3.5. Electroluminescence
3.6. Outlook for Photovoltaics
4. Conclusions
Supplementary Materials
Author Contributions
Funding
Data Availability Statement
Acknowledgments
Conflicts of Interest
References
- Ding, L.; Yu, Z.-D.; Wang, X.-Y.; Yao, Z.-F.; Lu, Y.; Yang, C.-Y.; Wang, J.-Y.; Pei, J. Polymer Semiconductors: Synthesis, Processing, and Applications. Chem. Rev. 2023, 123, 7421–7497. [Google Scholar] [CrossRef] [PubMed]
- Sun, F.; Jiang, H.; Wang, H.; Zhong, Y.; Xu, Y.; Xing, Y.; Yu, M.; Feng, L.-W.; Tang, Z.; Liu, J.; et al. Soft Fiber Electronics Based on Semiconducting Polymer. Chem. Rev. 2023, 123, 4693–4763. [Google Scholar] [CrossRef] [PubMed]
- Jeon, K.-H.; Park, J.-W. Light-Emitting Polymer Blended with Elastomers for Stretchable Polymer Light-Emitting Diodes. Macromolecules 2022, 55, 8311–8320. [Google Scholar] [CrossRef]
- Hou, J.; Inganas, O.; Friend, R.H.; Gao, F. Organic solar cells based on non-fullerene acceptors. Nat. Mater. 2018, 17, 119–128. [Google Scholar] [CrossRef]
- Xue, R.; Zhang, J.; Li, Y.; Li, Y. Organic Solar Cell Materials toward Commercialization. Small 2018, 14, 1801793. [Google Scholar] [CrossRef] [PubMed]
- Wu, J.S.; Cheng, S.W.; Cheng, Y.J.; Hsu, C.S. Donor-acceptor conjugated polymers based on multifused ladder-type arenes for organic solar cells. Chem. Soc. Rev. 2015, 44, 1113–1154. [Google Scholar] [CrossRef] [PubMed]
- Yuan, J.; Ouyang, J.Y.; Cimrova, V.; Leclerc, M.; Najari, A.; Zou, Y.P. Development of quinoxaline based polymers for photovoltaic applications. J. Mater. Chem. C 2017, 5, 1858–1879. [Google Scholar] [CrossRef]
- Lee, C.; Lee, S.; Kim, G.-U.; Lee, W.; Kim, B.J. Recent Advances, Design Guidelines, and Prospects of All-Polymer Solar Cells. Chem. Rev. 2019, 119, 8028–8086. [Google Scholar] [CrossRef]
- Zhao, Y.; Zhang, S.; Bi, F.Z.; Tian, Y.; Gu, C.T.; Li, Y.H.; Bao, X.C. Progress review of asymmetric polymers for organic solar cells. J. Mater. Chem. C 2022, 10, 9419–9440. [Google Scholar] [CrossRef]
- Li, Y.; Huang, W.; Zhao, D.; Wang, L.; Jiao, Z.; Huang, Q.; Wang, P.; Sun, M.; Yuan, G. Recent Progress in Organic Solar Cells: A Review on Materials from Acceptor to Donor. Molecules 2022, 27, 1800. [Google Scholar] [CrossRef]
- Paula, T.; de Fatima Marques, M. Recent advances in polymer structures for organic solar cells: A review. AIMS Energy 2022, 10, 149–176. [Google Scholar] [CrossRef]
- Yu, H.; Wang, Y.; Zou, X.; Yin, J.; Shi, X.; Li, Y.; Zhao, H.; Wang, L.; Ng, H.M.; Zou, B.; et al. Improved photovoltaic performance and robustness of all-polymer solar cells enabled by a polyfullerene guest acceptor. Nat. Commun. 2023, 14, 2323. [Google Scholar] [CrossRef]
- An, Q.S.; Zhang, F.J.; Gao, W.; Sun, Q.Q.; Zhang, M.; Yang, C.L.; Zhang, J. High-efficiency and air stable fullerene-free ternary organic solar cells. Nano Energy 2018, 45, 177–183. [Google Scholar] [CrossRef]
- Kim, M.; Ryu, S.U.; Park, S.A.; Choi, K.; Kim, T.; Chung, D.; Park, T. Donor–Acceptor-Conjugated Polymer for High-Performance Organic Field-Effect Transistors: A Progress Report. Adv. Funct. Mater. 2020, 30, 1904545. [Google Scholar] [CrossRef]
- Liu, J.; Jiang, L.; Shi, J.; Li, C.; Shi, Y.; Tan, J.; Li, H.; Jiang, H.; Hu, Y.; Liu, X.; et al. Relieving the Photosensitivity of Organic Field-Effect Transistors. Adv. Mater. 2020, 32, e1906122. [Google Scholar] [CrossRef] [PubMed]
- Cao, K.; Shen, D.E.; Österholm, A.M.; Kerszulis, J.A.; Reynolds, J.R. Tuning Color, Contrast, and Redox Stability in High Gap Cathodically Coloring Electrochromic Polymers. Macromolecules 2016, 49, 8498–8507. [Google Scholar] [CrossRef]
- Lv, X.; Li, W.; Ouyang, M.; Zhang, Y.; Wright, D.S.; Zhang, C. Polymeric electrochromic materials with donor–acceptor structures. J. Mater. Chem. C 2017, 5, 12–28. [Google Scholar] [CrossRef]
- Cimrova, V.; Vyprachticky, D.; Pokorna, V. Donor-acceptor copolymers containing bithiophene and dithiophenylthienothiadiazole units with fast electrochromic response. J. Mater. Chem. C 2019, 7, 8575–8584. [Google Scholar] [CrossRef]
- Xu, Z.; Wang, B.; Kong, L.; Zhao, J.; Du, Y. Synthesis and Characterization of Solution-Processible Donor-Acceptor Electrochromic Conjugated Copolymers Based on Quinoxalino[2′,3′:9,10]phenanthro[4,5-abc]phenazine as the Acceptor Unit. Polymers 2023, 15, 940. [Google Scholar] [CrossRef]
- Salimian, R.; Nardin, C. Conjugated Polymers for Aptasensing Applications. Biomacromolecules 2023, 24, 3411–3437. [Google Scholar] [CrossRef]
- Shan, T.; Hou, X.; Yin, X.; Guo, X. Organic photodiodes: Device engineering and applications. Front. Optoelectron. 2022, 15, 49. [Google Scholar] [CrossRef]
- Schloemer, T.H.; Gehan, T.S.; Christians, J.A.; Mitchell, D.G.; Dixon, A.; Li, Z.; Zhu, K.; Berry, J.J.; Luther, J.M.; Sellinger, A. Thermally Stable Perovskite Solar Cells by Systematic Molecular Design of the Hole-Transport Layer. ACS Energy Lett. 2019, 4, 473–482. [Google Scholar] [CrossRef]
- Sun, X.; Zhu, Z.; Li, Z.a. Recent advances in developing high-performance organic hole transporting materials for inverted perovskite solar cells. Front. Optoelectron. 2022, 15, 46. [Google Scholar] [CrossRef] [PubMed]
- Cai, F.L.; Cai, J.L.; Yang, L.Y.; Li, W.; Gurney, R.S.; Yi, H.N.; Iraqi, A.; Liu, D.; Wang, T. Molecular engineering of conjugated polymers for efficient hole transport and defect passivation in perovskite solar cells. Nano Energy 2018, 45, 28–36. [Google Scholar] [CrossRef]
- Mohamed El Amine, B.; Zhou, Y.; Li, H.; Wang, Q.; Xi, J.; Zhao, C. Latest Updates of Single-Junction Organic Solar Cells up to 20% Efficiency. Energies 2023, 16, 3895. [Google Scholar] [CrossRef]
- Gan, Z.; Wang, L.; Cai, J.; Guo, C.; Chen, C.; Li, D.; Fu, Y.; Zhou, B.; Sun, Y.; Liu, C.; et al. Electrostatic force promoted intermolecular stacking of polymer donors toward 19.4% efficiency binary organic solar cells. Nat. Commun. 2023, 14, 6297. [Google Scholar] [CrossRef]
- Fu, J.; Fong, P.W.K.; Liu, H.; Huang, C.-S.; Lu, X.; Lu, S.; Abdelsamie, M.; Kodalle, T.; Sutter-Fella, C.M.; Yang, Y.; et al. 19.31% binary organic solar cell and low non-radiative recombination enabled by non-monotonic intermediate state transition. Nat. Commun. 2023, 14, 1760. [Google Scholar] [CrossRef]
- Zhu, L.; Zhang, M.; Xu, J.; Li, C.; Yan, J.; Zhou, G.; Zhong, W.; Hao, T.; Song, J.; Xue, X.; et al. Single-junction organic solar cells with over 19% efficiency enabled by a refined double-fibril network morphology. Nat. Mater. 2022, 21, 656–663. [Google Scholar] [CrossRef]
- Wang, J.; Zheng, Z.; Bi, P.; Chen, Z.; Wang, Y.; Liu, X.; Zhang, S.; Hao, X.; Zhang, M.; Li, Y.; et al. Tandem organic solar cells with 20.6% efficiency enabled by reduced voltage losses. Natl. Sci. Rev. 2023, 10, nwad085. [Google Scholar] [CrossRef]
- Zheng, Z.; Wang, J.; Bi, P.; Ren, J.; Wang, Y.; Yang, Y.; Liu, X.; Zhang, S.; Hou, J. Tandem Organic Solar Cell with 20.2% Efficiency. Joule 2022, 6, 171–184. [Google Scholar] [CrossRef]
- Umeyama, T.; Watanabe, Y.; Miyata, T.; Imahori, H. Synthesis of Thienothiadiazole–Benzothiadiazole Alternating Copolymers and Their Application to Bulk Heterojunction Solar Cells. Chem. Lett. 2014, 43, 1876–1878. [Google Scholar] [CrossRef]
- Qi, J.; Zhou, X.K.; Yang, D.Z.; Qiao, W.Q.; Ma, D.G.; Wang, Z.Y. Optimization of Solubility, Film Morphology and Photodetector Performance by Molecular Side-Chain Engineering of Low-Bandgap Thienothiadiazole-Based Polymers. Adv. Funct. Mater. 2014, 24, 7605–7612. [Google Scholar] [CrossRef]
- Zhou, J.J.; Xie, S.B.; Amond, E.F.; Becker, M.L. Tuning Energy Levels of Low Bandgap Semi-Random Two Acceptor Copolymers. Macromolecules 2013, 46, 3391–3394. [Google Scholar] [CrossRef]
- Hwang, Y.J.; Kim, F.S.; Xin, H.; Jenekhe, S.A. New Thienothiadiazole-Based Conjugated Copolymers for Electronics and Optoelectronics. Macromolecules 2012, 45, 3732–3739. [Google Scholar] [CrossRef]
- Bohra, H.; Tan, S.Y.; Shao, J.J.; Yang, C.J.; Efrem, A.; Zhao, Y.L.; Wang, M.F. Narrow bandgap thienothiadiazole-based conjugated porous polymers: From facile direct arylation polymerization to tunable porosities and optoelectronic properties. Polym. Chem. 2016, 7, 6413–6421. [Google Scholar] [CrossRef]
- Zhang, Y.; Autry, S.A.; McNamara, L.E.; Nguyen, S.T.; Le, N.; Brogdon, P.; Watkins, D.L.; Hammer, N.I.; Delcamp, J.H. Near-Infrared Fluorescent Thienothiadiazole Dyes with Large Stokes Shifts and High Photostability. J. Org. Chem. 2017, 82, 5597–5606. [Google Scholar] [CrossRef] [PubMed]
- Bohra, H.; Wang, M.F. Direct C-H arylation: A “Greener” approach towards facile synthesis of organic semiconducting molecules and polymers. J. Mater. Chem. A 2017, 5, 11550–11571. [Google Scholar] [CrossRef]
- Cimrova, V.; Kminek, I.; Pavlackova, P.; Vyprachticky, D. Low-Bandgap Donor-Acceptor Copolymers with 4,6-Bis(3′-(2-ethylhexyl)thien-2′-yl)thieno[3,4-c][1,2,5]thiadiazole: Synthesis, Optical, Electrochemical, and Photovoltaic Properties. J. Polym. Sci. Pol. Chem. 2011, 49, 3426–3436. [Google Scholar] [CrossRef]
- Kminek, I.; Vyprachticky, D.; Kriz, J.; Dybal, J.; Cimrova, V. Low-Band Gap Copolymers Containing Thienothiadiazole Units: Synthesis, Optical, and Electrochemical Properties. J. Polym. Sci. Part A Polym. Chem. 2010, 48, 2743–2756. [Google Scholar] [CrossRef]
- Valkeneers, K.; Vandewal, K.; Maes, W. Benzothiadiazole-based push-pull copolymers—Balancing synthetic complexity against organic solar cell efficiency. Org. Electron. 2022, 111, 106667. [Google Scholar] [CrossRef]
- Tamilavan, V.; Kim, D.; Yang, H.-S.; Shin, I.; Kim, J.; Lee, B.R.; Park, S.H. Enhanced Photovoltaic Performance of Benzothiadiazole-Based Polymers by Controlling their Backbone Planarity for Organic Solar Cells. Macromol. Chem. Phys. 2022, 223, 2200222. [Google Scholar] [CrossRef]
- Mori, H. Development of semiconducting polymers based on a novel heteropolycyclic aromatic framework. Polym. J. 2021, 53, 975–987. [Google Scholar] [CrossRef]
- Gudim, N.S.; Knyazeva, E.A.; Mikhalchenko, L.V.; Golovanov, I.S.; Popov, V.V.; Obruchnikova, N.V.; Rakitin, O.A. Benzothiadiazole vs. iso-Benzothiadiazole: Synthesis, Electrochemical and Optical Properties of D–A–D Conjugated Molecules Based on Them. Molecules 2021, 26, 4931. [Google Scholar] [CrossRef]
- Huang, K.; Li, M.; He, M.; Liang, Z.; Geng, Y. Difluorobenzoxadiazole-based conjugated polymers for efficient non-fullerene polymer solar cells with low voltage loss. Org. Electron. 2020, 77, 105541. [Google Scholar] [CrossRef]
- Cimrová, V.; Výprachtický, D.; Růžička, A.; Pokorná, V. Carbazole-Fluorene Copolymers with Various Substituents at the Carbazole Nitrogen: Structure-Properties Relationship. Polymers 2023, 15, 2932. [Google Scholar] [CrossRef] [PubMed]
- Cimrova, V.; Eom, S.; Pokorna, V.; Kang, Y.; Vyprachticky, D. Effects of the Donor Unit on the Formation of Hybrid Layers of Donor-Acceptor Copolymers with Silver Nanoparticles. Nanomaterials 2023, 13, 1830. [Google Scholar] [CrossRef] [PubMed]
- Cimrová, V.; Výprachtický, D.; Pokorná, V.; Babičová, P. Donor–acceptor copolymers with 1,7-regioisomers of N,N′-dialkylperylene-3,4,9,10-tetracarboxydiimide as materials for photonics. J. Mater. Chem. C 2019, 7, 14678–14692. [Google Scholar] [CrossRef]
- Cimrová, V.; Pokorná, V.; Dzhabarov, V.; Výprachtický, D. Semiconducting Conjugated Copolymer Series for Organic Photonics and Electronics. Mater. Sci. Forum 2016, 851, 173–178. [Google Scholar] [CrossRef]
- Cimrova, V.; Ulbricht, C.; Dzhabarov, V.; Vyprachticky, D.; Egbe, D.A.M. New electroluminescent carbazole-containing conjugated polymer: Synthesis, photophysics, and electroluminescence. Polymer 2014, 55, 6220–6226. [Google Scholar] [CrossRef]
- Liu, J.; Zou, J.; Yang, W.; Wu, H.; Li, C.; Zhang, B.; Peng, J.; Cao, Y. Highly Efficient and Spectrally Stable Blue-Light-Emitting Polyfluorenes Containing a Dibenzothiophene-S,S-dioxide Unit. Chem. Mater. 2008, 20, 4499–4506. [Google Scholar] [CrossRef]
- Liu, J.; Hu, S.; Zhao, W.; Zou, Q.; Luo, W.; Yang, W.; Peng, J.; Cao, Y. Novel Spectrally Stable Saturated Blue-Light-Emitting Poly[(fluorene)-co-(dioctyldibenzothiophene-S,S-dioxide)]s. Macromol. Rapid Commun. 2010, 31, 496–501. [Google Scholar] [CrossRef] [PubMed]
- Kamtekar, K.T.; Vaughan, H.L.; Lyons, B.P.; Monkman, A.P.; Pandya, S.U.; Bryce, M.R. Synthesis and Spectroscopy of Poly(9,9-dioctylfluorene-2,7-diyl-co-2,8-dihexyldibenzothiophene-S,S-dioxide-3,7-diyl)s: Solution-Processable, Deep-Blue Emitters with a High Triplet Energy. Macromolecules 2010, 43, 4481–4488. [Google Scholar] [CrossRef]
- He, R.; Hu, S.; Liu, J.; Yu, L.; Zhang, B.; Li, N.; Yang, W.; Wu, H.; Peng, J. Bipolar blue-emitting poly(N-9′-heptadecanyl-carbazole-2,7-diyl-co-dibenzothiophene-S,S-dioxide-3,7-diyl)s. J. Mater. Chem. 2012, 22, 3440. [Google Scholar] [CrossRef]
- Ying, L.; Li, Y.-H.; Wei, C.-H.; Wang, M.-Q.; Yang, W.; Wu, H.-B.; Cao, Y. Efficient white emitting copolymers based on bipolar fluorene-co-dibenzothiophene-S,S-dioxide-co-carbazole backbone. Chin. J. Polym. Sci. 2013, 31, 88–97. [Google Scholar] [CrossRef]
- Yu, L.; Liu, J.; Hu, S.; He, R.; Yang, W.; Wu, H.; Peng, J.; Xia, R.; Bradley, D.D.C. Red, Green, and Blue Light-Emitting Polyfluorenes Containing a Dibenzothiophene-S,S-Dioxide Unit and Efficient High-Color-Rendering-Index White-Light-Emitting Diodes Made Therefrom. Adv. Funct. Mater. 2013, 23, 4366–4376. [Google Scholar] [CrossRef]
- Ying, L.; Xu, Y.; Li, N.; Yan, J.a.; Li, Y.; Yang, W.; Peng, J. Spectrally stable deep blue-emitting polyfluorenes containing dibenzothiophene-S,S-dioxide moiety. J. Photon. Energy 2012, 2, 021212. [Google Scholar] [CrossRef]
- Li, Y.; Wu, H.; Zou, J.; Ying, L.; Yang, W.; Cao, Y. Enhancement of spectral stability and efficiency on blue light-emitters via introducing dibenzothiophene-S,S-dioxide isomers into polyfluorene backbone. Org. Electron. 2009, 10, 901–909. [Google Scholar] [CrossRef]
- Zuo, L.; Guo, H.; deQuilettes, D.W.; Jariwala, S.; De Marco, N.; Dong, S.; DeBlock, R.; Ginger, D.S.; Dunn, B.; Wang, M.; et al. Polymer-modified halide perovskite films for efficient and stable planar heterojunction solar cells. Sci. Adv. 2017, 3, e1700106. [Google Scholar] [CrossRef]
- Dong, Q.Q.; Wang, Z.W.; Zhang, K.C.; Yu, H.; Huang, P.; Liu, X.D.; Zhou, Y.; Chen, N.; Song, B. Easily accessible polymer additives for tuning the crystal-growth of perovskite thin-films for highly efficient solar cells. Nanoscale 2016, 8, 5552–5558. [Google Scholar] [CrossRef]
- Hou, W.; Xiao, Y.; Han, G.; Lin, J.-Y. The Applications of Polymers in Solar Cells: A Review. Polymers 2019, 11, 143. [Google Scholar] [CrossRef]
- Chang, C.Y.; Chu, C.Y.; Huang, Y.C.; Huang, C.W.; Chang, S.Y.; Chen, C.A.; Chao, C.Y.; Su, W.F. Tuning perovskite morphology by polymer additive for high efficiency solar cell. ACS Appl. Mater. Interfaces 2015, 7, 4955–4961. [Google Scholar] [CrossRef]
- Chen, S.; Teng, C.J.; Zhang, M.; Li, Y.R.; Xie, D.; Shi, G.Q. A Flexible UV-Vis-NIR Photodetector based on a Perovskite/Conjugated-Polymer Composite. Adv. Mater. 2016, 28, 5969–5974. [Google Scholar] [CrossRef]
- Huang, H.; Zhang, X.; Zhao, C.; Yuan, J. Efficient and stable hybrid conjugated polymer/perovskite quantum dot solar cells. Mater. Chem. Front. 2023, 7, 1423–1430. [Google Scholar] [CrossRef]
- Ma, Y.; Cheng, Y.; Xu, X.; Li, M.; Zhang, C.; Cheung, S.H.; Zeng, Z.; Shen, D.; Xie, Y.-M.; Chiu, K.L.; et al. Suppressing Ion Migration across Perovskite Grain Boundaries by Polymer Additives. Adv. Funct. Mater. 2021, 31, 2006802. [Google Scholar] [CrossRef]
- Zhao, H.; Li, T.; Li, J.; Li, Q.; Wang, S.; Zheng, C.; Li, J.; Li, M.; Zhang, Y.; Yao, J. Excess polymer-assisted crystal growth method for high-performance perovskite photodetectors. J. Alloys Compd. 2022, 908, 164482. [Google Scholar] [CrossRef]
- Tan, Y.L.; Wan, L.; Zhao, Y.; Lou, L.Y.; Wang, Z.S. Design and Synthesis of Carbazole-Cyclopentathiophene Alternating Copolymers for Inhibiting Phase Separation of Cs0.15FA0.85PbI3. Adv. Funct. Mater. 2022, 32, 2206030. [Google Scholar] [CrossRef]
- Vyprachticky, D.; Kminek, I.; Pokorna, V.; Cimrova, V. Efficient synthesis of N-alkyl-2,7-dihalocarbazoles by simultaneous carbazole ring closure and N-alkylation. Tetrahedron 2012, 68, 5075–5080. [Google Scholar] [CrossRef]
- Vyprachticky, D.; Kminek, I.; Pavlackova, P.; Cimrova, V. Syntheses of Fluorene/Carbazole-Thienothiadiazole Copolymers for Organic Photovoltaics. ECS Trans. 2011, 33, 111–118. [Google Scholar] [CrossRef]
- Vyprachticky, D.; Pokorna, V.; Kminek, I.; Dzhabarov, V.; Cimrova, V. Synthesis of Conjugated Materials for Organic Photovoltaics and Luminescence. ECS Trans. 2014, 58, 28. [Google Scholar] [CrossRef]
- Perepichka, I.I.; Perepichka, I.F.; Bryce, M.R.; Palsson, L.O. Dibenzothiophene-S,S-dioxide-fluorene co-oligomers. Stable, highly-efficient blue emitters with improved electron affinity. Chem. Commun. 2005, 27, 3397–3399. [Google Scholar] [CrossRef]
- Moss, K.C.; Bourdakos, K.N.; Bhalla, V.; Kamtekar, K.T.; Bryce, M.R.; Fox, M.A.; Vaughan, H.L.; Dias, F.B.; Monkman, A.P. Tuning the Intramolecular Charge Transfer Emission from Deep Blue to Green in Ambipolar Systems Based on Dibenzothiophene S,S-Dioxide by Manipulation of Conjugation and Strength of the Electron Donor Units. J. Org. Chem. 2010, 75, 6771–6781. [Google Scholar] [CrossRef] [PubMed]
- Pinkham, C.A.; Wait, S.C. The electronic spectra of fluorene, dibenzofuan and carbazole. J. Mol. Spectrosc. 1968, 27, 326–342. [Google Scholar] [CrossRef]
- Johnson, G.E. Spectroscopic study of carbazole by photoselection. J. Phys. Chem. 1974, 78, 1512–1521. [Google Scholar] [CrossRef]
- Bonesi, S.M.; Erra-Balsells, R. Electronic spectroscopy of carbazole and N- and C-substituted carbazoles in homogeneous media and in solid matrix. J. Lumin. 2001, 93, 51–74. [Google Scholar] [CrossRef]
- Bonesi, S.M.; Erra-Balsells, R. Electronic spectroscopy of N- and C-substituted chlorocarbazoles in homogeneous media and in solid matrix. J. Lumin. 2002, 97, 83–101. [Google Scholar] [CrossRef]
- Ponce, M.B.; Cabrerizo, F.M.; Bonesi, S.M.; Erra-Balsells, R. Synthesis and Electronic Spectroscopy of Bromocarbazoles. Direct Bromination of N- and C-Substituted Carbazoles by N-Bromosuccinimide or a N-Bromosuccinimide/Silica Gel System. Helv. Chim. Acta 2006, 89, 1123–1139. [Google Scholar] [CrossRef]
- Dias, F.B.; Pollock, S.; Hedley, G.; Pålsson, L.-O.; Monkman, A.; Perepichka, I.I.; Perepichka, I.F.; Tavasli, M.; Bryce, M.R. Intramolecular Charge Transfer Assisted by Conformational Changes in the Excited State of Fluorene-dibenzothiophene-S,S-dioxide Co-oligomers. J. Phys. Chem. B 2006, 110, 19329–19339. [Google Scholar] [CrossRef]
- Spano, F.C.; Silva, C. H- and J-aggregate behavior in polymeric semiconductors. Annu. Rev. Phys. Chem. 2014, 65, 477–500. [Google Scholar] [CrossRef] [PubMed]
- Wang, H.Y.; Xu, Y.Z.; Yu, X.H.; Xing, R.B.; Liu, J.G.; Han, Y.C. Structure and Morphology Control in Thin Films of Conjugated Polymers for an Improved Charge Transport. Polymers 2013, 5, 1272–1324. [Google Scholar] [CrossRef]
- Dzhabarov, V.; Výprachtický, D.; Cimrová, V. Microwave-assisted and conventional synthesis, photophysics and electroluminescence of poly(9,9-dihexadecylfluorene-2,7-diyl-alt-2,2′-bithiophene-5,5′-diyl). Eur. Polym. J. 2018, 98, 420–429. [Google Scholar] [CrossRef]
- Osaka, I.; Takimiya, K. Backbone orientation in semiconducting polymers. Polymer 2015, 59, A1–A15. [Google Scholar] [CrossRef]
- Peng, Z.; Ye, L.; Ade, H. Understanding, quantifying, and controlling the molecular ordering of semiconducting polymers: From novices to experts and amorphous to perfect crystals. Mater. Horiz. 2022, 9, 577–606. [Google Scholar] [CrossRef] [PubMed]
- Yao, Z.-F.; Li, Q.-Y.; Wu, H.-T.; Ding, Y.-F.; Wang, Z.-Y.; Lu, Y.; Wang, J.-Y.; Pei, J. Building crystal structures of conjugated polymers through X-ray diffraction and molecular modeling. SmartMat 2021, 2, 378–387. [Google Scholar] [CrossRef]
- Mahmood, A.; Wang, J.-L. A Review of Grazing Incidence Small- and Wide-Angle X-Ray Scattering Techniques for Exploring the Film Morphology of Organic Solar Cells. Sol. Rrl. 2020, 4, 2000337. [Google Scholar] [CrossRef]
- Harrington, G.F.; Santiso, J. Back-to-Basics tutorial: X-ray diffraction of thin films. J. Electroceram. 2021, 47, 141–163. [Google Scholar] [CrossRef]
- Pandey, A.; Dalal, S.; Dutta, S.; Dixit, A. Structural characterization of polycrystalline thin films by X-ray diffraction techniques. J. Mater. Sci. Mater. Electron. 2021, 32, 1341–1368. [Google Scholar] [CrossRef]
- Langford, J.I.; Wilson, A.J.C. Scherrer after sixty years: A survey and some new results in the determination of crystallite size. J. Appl. Cryst. 1978, 11, 102–113. [Google Scholar] [CrossRef]
- Cimrova, V.; Neher, D. Anomalous electrical characteristics, memory phenomena and microcavity effects in polymeric light-emitting diodes. Synth. Metals 1996, 76, 125–128. [Google Scholar] [CrossRef]
- Cimrová, V.; Scherf, U.; Neher, D. Microcavity devices based on a ladder-type poly(p-phenylene) emitting blue, green, and red light. Appl. Phys. Lett. 1996, 69, 608–610. [Google Scholar] [CrossRef]
- Cimrova, V.; Neher, D. Microcavity effects in single-layer light-emitting devices based on poly(p-phenylene vinylene). J. Appl. Phys. 1996, 79, 3299–3306. [Google Scholar] [CrossRef]
- Cimrova, V.; Neher, D.; Remmers, M.; Kminek, I. Blue light-emitting devices based on novel polymer blends. Adv. Mater. 1998, 10, 676–680. [Google Scholar] [CrossRef]
- Park, H.-L.; Lee, Y.; Kim, N.; Seo, D.-G.; Go, G.-T.; Lee, T.-W. Flexible Neuromorphic Electronics for Computing, Soft Robotics, and Neuroprosthetics. Adv. Mater. 2020, 32, 1903558. [Google Scholar] [CrossRef]
- Pan, X.; Jin, T.; Gao, J.; Han, C.; Shi, Y.; Chen, W. Stimuli-Enabled Artificial Synapses for Neuromorphic Perception: Progress and Perspectives. Small 2020, 16, 2001504. [Google Scholar] [CrossRef]
- Lee, H.R.; Lee, D.; Oh, J.H. A Hippocampus-Inspired Dual-Gated Organic Artificial Synapse for Simultaneous Sensing of a Neurotransmitter and Light. Adv. Mater. 2021, 33, e2100119. [Google Scholar] [CrossRef]
- Cimrova, V.; Vyprachticky, D.; Horhold, H.H. Poly[methyl(phenyl)silanediyl] Modified with Dansyl Fluorophore: Synthesis and Photophysics. J. Polym. Sci. Part A Polym. Chem. 2011, 49, 2233–2244. [Google Scholar] [CrossRef]
- Cimrova, V.; Vyprachticky, D. Enhanced electroluminescence from light-emitting devices based on poly(9,9-dihexadecylfluorene-2,7-diyl) and polysilane blends. Appl. Phys. Lett. 2003, 82, 642–644. [Google Scholar] [CrossRef]
- Van der Zee, B.; Li, Y.; Wetzelaer, G.-J.A.H.; Blom, P.W.M. Efficiency of Polymer Light-Emitting Diodes: A Perspective. Adv. Mater. 2022, 34, 2108887. [Google Scholar] [CrossRef]
- Huang, Q.; Zhao, S.; Guo, L.J.; Xu, Z.; Wang, P.; Qin, Z. Effect of the charge balance on high-efficiency inverted polymer light-emitting diodes. Org. Electron. 2017, 49, 123–128. [Google Scholar] [CrossRef]
- Lee, B.R.; Jung, E.D.; Park, J.S.; Nam, Y.S.; Min, S.H.; Kim, B.S.; Lee, K.M.; Jeong, J.R.; Friend, R.H.; Kim, J.S.; et al. Highly efficient inverted polymer light-emitting diodes using surface modifications of ZnO layer. Nat. Commun. 2014, 5, 4840. [Google Scholar] [CrossRef]
- Chang, J.-F.; Zheng, Y.-C.; Chiang, C.-Y.; Huang, C.-K.; Jaing, C.-C. Ultrastrong coupling in Super Yellow polymer microcavities and development of highly efficient polariton light-emitting diodes and light-emitting transistors. Opt. Express 2023, 31, 6849–6861. [Google Scholar] [CrossRef]
- Cimrová, V.; Eom, S.; Pokorná, V.; Kang, Y.; Výprachtický, D. Hybrid Layers of Donor-Acceptor Copolymers with Homogenous Silver Nanoparticle Coverage for Photonic Applications. Polymers 2021, 13, 439. [Google Scholar] [CrossRef]
- Günther, M.; Kazerouni, N.; Blätte, D.; Perea, J.D.; Thompson, B.C.; Ameri, T. Models and mechanisms of ternary organic solar cells. Nat. Rev. Mater. 2023, 8, 456–471. [Google Scholar] [CrossRef]
- Kupgan, G.; Chen, X.K.; Brédas, J.L. Molecular packing of non-fullerene acceptors for organic solar cells: Distinctive local morphology in Y6 vs. ITIC derivatives. Mater. Today Adv. 2021, 11, 100154. [Google Scholar] [CrossRef]
- Li, S.; Fu, Q.; Meng, L.; Wan, X.; Ding, L.; Lu, G.; Lu, G.; Yao, Z.; Li, C.; Chen, Y. Achieving over 18% Efficiency Organic Solar Cell Enabled by a ZnO-Based Hybrid Electron Transport Layer with an Operational Lifetime up to 5 Years. Angew. Chem. Int. Ed. 2022, 61, e202207397. [Google Scholar] [CrossRef] [PubMed]













| Copolymer | Yield (%) | End Capping | Mw | Mn | Ð | P |
|---|---|---|---|---|---|---|
| CP1-a | 81 | − | 78,600 | 44,900 | 1.75 | 67 |
| CP1-b | 36 | + | 24,200 | 17,200 | 1.41 | 21 |
| CP1-c | 44 | + | 17,400 | 10,500 | 1.66 | 15 |
| CP2 | 58 | + | 17,800 | 8900 | 2.00 | 16 |
| Copolymer | Mw | Đ | Td5% (°C) | Td10% (°C) | Wres (%) | ||
|---|---|---|---|---|---|---|---|
| N2 | Air | N2 | Air | N2 | |||
| CP1-a | 78,600 | 1.75 | 442 | 422 | 455 | 443 | 42 |
| CP1-b | 24,200 | 1.41 | 419 | 401 | 441 | 426 | 39 |
| CP1-c | 17,400 | 1.66 | 416 | 397 | 440 | 420 | 38 |
| CP2 | 17,800 | 2.00 | 433 | 423 | 448 | 439 | 44 |
| Structural and Comonomer Units | λabsmax (nm) | λPlmax a (nm) | λPlexcmax b (nm) |
|---|---|---|---|
| EHCz | 264, 295, 331, 346 | 349 | 261, 294, 331, 344 |
| EHCz-Br | 269, 306, 334, 347 | 352 | 266, 304, 333, 348 |
| DBSO | 279, 290, 314, 322 | 337 | 278, 289, 321 |
| DBSO-Br | 289, 301, 331 | 355 | 287, 300, 339 |
| ODTffBT-Br | 249, 319, 448 | 565 | 316, 448 |
| Copolymer | Solvent | λabsmax (nm) | λPlmax a (nm) | λPlexcmax b (nm) | ηPL |
|---|---|---|---|---|---|
| CP1-a | toluene | 359, 499 | 611 | 356, 502 | 0.83 ± 0.07 |
| CP1-b | toluene | 356, 495 | 611 | 354, 499 | 0.93 ± 0.07 |
| CP1-c | toluene | 354, 495 | 610 | 353, 497 | 0.90 ± 0.07 |
| CP2 | toluene | 331, 490 | 592 | 333, 482 | 0.52 ± 0.04 |
| CP1-a | DCB | 363, 507 | 634 | 363, 510 | 0.91 ± 0.07 |
| CP1-b | DCB | 361, 505 | 633 | 361, 507 | 0.86 ± 0.07 |
| CP1-c | DCB | 359, 504 | 633 | 359, 506 | 0.89 ± 0.07 |
| CP2 | DCB | 319, 488 | 590 | 330, 489 | 0.70 ± 0.06 |
| Copolymer | λabsmax (nm) | λPlmax a (nm) | λPlexcmax b (nm) | ΦPlrel |
|---|---|---|---|---|
| CP1-a | 259, 368, 516 | 638 | 259, 368, 521 | 0.52 ± 0.04 |
| CP1-b | 259, 368, 514 | 654 | 259, 367, 518 | 0.93 ± 0.07 |
| CP1-c | 259, 367, 512 | 654 | 258, 367, 516 | 1.00 |
| CP2 | 224, 366, 520 | 682 | 248, 370, 522 | 0.28 ± 0.02 |
| Copolymer | EIP (eV) (−EHOMO) | EA (eV) (−ELUMO) | Egelc (eV) | fEgopt-d (eV) | tolEgopt-d (eV) |
|---|---|---|---|---|---|
| CP1-a | 5.55 | 3.22 | 2.33 | 2.12 | 2.26 |
| CP1-b | 5.54 | 3.21 | 2.33 | 2.15 | 2.27 |
| CP1-c | 5.54 | 3.21 | 2.33 | 2.15 | 2.27 |
| CP2 | 5.72 | 3.33 | 2.39 | 2.07 | 2.27 |
Disclaimer/Publisher’s Note: The statements, opinions and data contained in all publications are solely those of the individual author(s) and contributor(s) and not of MDPI and/or the editor(s). MDPI and/or the editor(s) disclaim responsibility for any injury to people or property resulting from any ideas, methods, instructions or products referred to in the content. |
© 2023 by the authors. Licensee MDPI, Basel, Switzerland. This article is an open access article distributed under the terms and conditions of the Creative Commons Attribution (CC BY) license (https://creativecommons.org/licenses/by/4.0/).
Share and Cite
Cimrová, V.; Babičová, P.; Guesmi, M.; Výprachtický, D. Donor-Acceptor Copolymers with 9-(2-Ethylhexyl)carbazole or Dibenzothiophene-5,5-dioxide Donor Units and 5,6-Difluorobenzo[c][1,2,5]thiadiazole Acceptor Units for Photonics. Nanomaterials 2023, 13, 2939. https://doi.org/10.3390/nano13222939
Cimrová V, Babičová P, Guesmi M, Výprachtický D. Donor-Acceptor Copolymers with 9-(2-Ethylhexyl)carbazole or Dibenzothiophene-5,5-dioxide Donor Units and 5,6-Difluorobenzo[c][1,2,5]thiadiazole Acceptor Units for Photonics. Nanomaterials. 2023; 13(22):2939. https://doi.org/10.3390/nano13222939
Chicago/Turabian StyleCimrová, Věra, Petra Babičová, Mariem Guesmi, and Drahomír Výprachtický. 2023. "Donor-Acceptor Copolymers with 9-(2-Ethylhexyl)carbazole or Dibenzothiophene-5,5-dioxide Donor Units and 5,6-Difluorobenzo[c][1,2,5]thiadiazole Acceptor Units for Photonics" Nanomaterials 13, no. 22: 2939. https://doi.org/10.3390/nano13222939
APA StyleCimrová, V., Babičová, P., Guesmi, M., & Výprachtický, D. (2023). Donor-Acceptor Copolymers with 9-(2-Ethylhexyl)carbazole or Dibenzothiophene-5,5-dioxide Donor Units and 5,6-Difluorobenzo[c][1,2,5]thiadiazole Acceptor Units for Photonics. Nanomaterials, 13(22), 2939. https://doi.org/10.3390/nano13222939

