Structural, Electrical, and Optical Properties of Single-Walled Carbon Nanotubes Synthesized through Floating Catalyst Chemical Vapor Deposition
Abstract
1. Introduction
2. Experimental
2.1. Materials
2.2. SWCNTs Synthesis
2.3. SWCNT Characterization
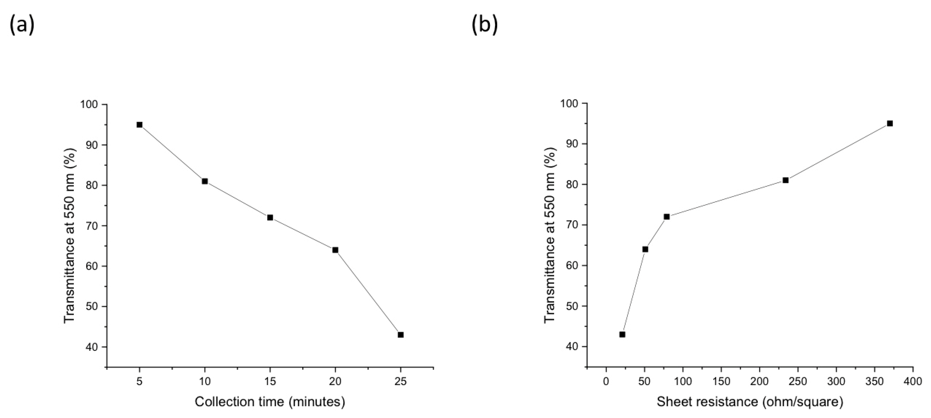
3. Results and Discussions
4. Conclusions
Author Contributions
Funding
Data Availability Statement
Acknowledgments
Conflicts of Interest
References
- Maruyama, T. Carbon nanotubes. In Handbook of Carbon-Based Nanomaterials; Elsevier: Amsterdam, The Netherlands, 2021; pp. 299–319. [Google Scholar]
- Dresselhaus, M.S.; Avouris, P. Introduction to carbon materials research. In Carbon Nanotubes: Synthesis, Structure, Properties, and Applications; Springer: Berlin/Heidelberg, Germany, 2001; pp. 1–9. [Google Scholar]
- Iijima, S. Helical microtubules of graphitic carbon. Nature 1991, 354, 56–58. [Google Scholar] [CrossRef]
- Iijima, S.; Ichihashi, T. Single-shell carbon nanotubes of 1-nm diameter. Nature 1993, 363, 603–605. [Google Scholar] [CrossRef]
- Rezaee, M.D.; Dahal, B.; Li, W. Single-Walled Carbon Nanotubes; American Chemical Society: Washington, DC, USA, 2023. [Google Scholar]
- Wu, K.; Niu, Y.; Zhang, Y.; Yong, Z.; Li, Q. Continuous growth of carbon nanotube films: From controllable synthesis to real applications. Compos. Part A Appl. Sci. Manuf. 2021, 144, 106359. [Google Scholar] [CrossRef]
- Di, J.; Wang, X.; Xing, Y.; Zhang, Y.; Zhang, X.; Lu, W.; Zhu, Y.T. Dry-Processable Carbon Nanotubes for Functional Devices and Composites. Small 2014, 10, 4606–4625. [Google Scholar] [CrossRef] [PubMed]
- Liu, L.; Ma, W.; Zhang, Z. Macroscopic carbon nanotube assemblies: Preparation, properties, and potential applications. Small 2011, 7, 1504–1520. [Google Scholar] [CrossRef] [PubMed]
- Peng, B.; Locascio, M.; Zapol, P.; Li, S.; Mielke, S.L.; Schatz, G.C.; Espinosa, H.D. Measurements of near-ultimate strength for multiwalled carbon nanotubes and irradiation-induced crosslinking improvements. Nat. Nanotechnol. 2008, 3, 626–631. [Google Scholar] [CrossRef] [PubMed]
- Bai, Y.; Zhang, R.; Ye, X.; Zhu, Z.; Xie, H.; Shen, B.; Wei, F. Carbon nanotube bundles with tensile strength over 80 GPa. Nat. Nanotechnol. 2018, 13, 589–595. [Google Scholar] [CrossRef] [PubMed]
- Chen, H.; Zeng, S.; Chen, M.; Zhang, Y.; Li, Q. Fabrication and functionalization of carbon nanotube films for high-performance flexible supercapacitors. Carbon 2015, 92, 271–296. [Google Scholar] [CrossRef]
- Zhou, Y.; Azumi, R. Carbon nanotube based transparent conductive films: Progress, challenges, and perspectives. Sci. Technol. Adv. Mater. 2016, 17, 493–516. [Google Scholar] [CrossRef]
- Liao, Y.; Hussain, A.; Laiho, P.; Zhang, Q.; Tian, Y.; Wei, N.; Kauppinen, E.I. Tuning Geometry of SWCNTs by CO2 in Floating Catalyst CVD for High-Performance Transparent Conductive Films. Adv. Mater. Interfaces 2018, 5, 1801209. [Google Scholar] [CrossRef]
- Meysami, S.S.; Koos, A.A.; Dillon, F.; Grobert, N. Aerosol-assisted chemical vapour deposition synthesis of multi-wall carbon nanotubes: II. Anal. Study Carbon 2013, 58, 159–169. [Google Scholar] [CrossRef]
- Choi, Y.C.; Bae, D.J.; Lee, Y.H.; Lee, B.S.; Park, G.S.; Choi, W.B.; Kim, J.M. Growth of carbon nanotubes by microwave plasma-enhanced chemical vapor deposition at low temperature. J. Vac. Sci. Technol. A Vac. Surf. Film. 2000, 18, 1864–1868. [Google Scholar] [CrossRef]
- Makris, T.D.; Giorgi, R.; Lisi, N.; Pilloni, L.; Salernitano, E.; Sarto, F.; Alvisi, M. Carbon nanotubes growth by HFCVD: Effect of the process parameters and catalyst preparation. Diam. Relat. Mater. 2004, 13, 305–310. [Google Scholar] [CrossRef]
- Byon, H.R.; Lim, H.S.; Song, H.J.; Choi, H.C. A synthesis of high purity single-walled carbon nanotubes from small diameters of cobalt nanoparticles by using oxygen-assisted chemical vapor deposition process. Bull. Korean Chem. Soc. 2007, 28, 2056–2060. [Google Scholar]
- Feng, C.; Liu, K.; Wu, J.S.; Liu, L.; Cheng, J.S.; Zhang, Y.; Jiang, K. Flexible, stretchable, transparent conducting films made from superaligned carbon nanotubes. Adv. Funct. Mater. 2010, 20, 885–891. [Google Scholar] [CrossRef]
- Bronikowski, M.J.; Willis, P.A.; Colbert, D.T.; Smith, K.A.; Smalley, R.E. Gas-phase production of carbon single-walled nanotubes from carbon monoxide via the HiPco process: A parametric study. J. Vac. Sci. Technol. A Vac. Surf. Film. 2001, 19, 1800–1805. [Google Scholar] [CrossRef]
- Zhang, Q.; Wei, N.; Laiho, P.; Kauppinen, E.I. Recent developments in single-walled carbon nanotube thin films fabricated by dry floating catalyst chemical vapor deposition. In Single-Walled Carbon Nanotubes: Preparation, Properties and Applications; Springer: Berlin/Heidelberg, Germany, 2019; pp. 99–128. [Google Scholar]
- Bogdanova, A.R.; Krasnikov, D.V.; Nasibulin, A.G. The role of sulfur in the CVD carbon nanotube synthesis. Carbon 2023, 210, 118051. [Google Scholar] [CrossRef]
- Chen, D.R.; Chitranshi, M.; Schulz, M.; Shanov, V. A review of three major factors controlling carbon nanotubes synthesis from the floating catalyst chemical vapor deposition. Nano Life 2019, 9, 1930002. [Google Scholar] [CrossRef]
- Yu, F.; Yang, M.; Li, F.; Su, C.; Ma, B.; Yuan, Z.; Ma, J. The growth mechanism of single-walled carbon nanotubes with a controlled diameter. Phys. E Low-Dimens. Syst. Nanostruct. 2012, 44, 2032–2040. [Google Scholar] [CrossRef]
- Plata, D.L.; Meshot, E.R.; Reddy, C.M.; Hart, A.J.; Gschwend, P.M. Multiple alkynes react with ethylene to enhance carbon nanotube synthesis, suggesting a polymerization-like formation mechanism. ACS Nano 2010, 4, 7185–7192. [Google Scholar] [CrossRef]
- Huang, S.; Cai, Q.; Chen, J.; Qian, Y.; Zhang, L. Metal-catalyst-free growth of single-walled carbon nanotubes on substrates. J. Am. Chem. Soc. 2009, 131, 2094–2095. [Google Scholar] [CrossRef] [PubMed]
- Li, Y.; Ji, K.; Duan, Y.; Meng, G.; Dai, Z. Effect of hydrogen concentration on the growth of carbon nanotube arrays for gecko-inspired adhesive applications. Coatings 2017, 7, 221. [Google Scholar] [CrossRef]
- Ma, Y.; Dichiara, A.B.; He, D.; Zimmer, L.; Bai, J. Control of product nature and morphology by adjusting the hydrogen content in a continuous chemical vapor deposition process for carbon nanotube synthesis. Carbon 2016, 107, 171–179. [Google Scholar] [CrossRef]
- Kumar, A.; Kostikov, Y.; Zanatta, M.; Sorarù, G.D.; Orberger, B.; Nessim, G.D.; Mariotto, G. Carbon nanotubes synthesis using siliceous breccia as a catalyst source. Diam. Relat. Mater. 2019, 97, 107433. [Google Scholar] [CrossRef]
- Graupner, R.; Abraham, J.; Vencelová, A.; Seyller, T.; Hennrich, F.; Kappes, M.M.; Ley, L. Doping of single-walled carbon nanotube bundles by Brønsted acids. Phys. Chem. Chem. Phys. 2003, 5, 5472–5476. [Google Scholar] [CrossRef]
- Dresselhaus, M.S.; Dresselhaus, G. Intercalation compounds of graphite. Adv. Phys. 1981, 30, 139–326. [Google Scholar] [CrossRef]
- Zhou, Y.; Shimada, S.; Saito, T.; Azumi, R. Understanding the doping effects on the structural and electrical properties of ultrathin carbon nanotube networks. J. Appl. Phys. 2015, 118, 215305. [Google Scholar] [CrossRef]
- Barros, E.B.; Son, H.; Samsonidze, G.G.; Souza Filho, A.G.; Saito, R.; Kim, Y.A.; Dresselhaus, M.S. Raman spectroscopy of double-walled carbon nanotubes treated with H2SO4. Phys. Rev. B 2007, 76, 045425. [Google Scholar] [CrossRef]
- Rao, A.M.; Eklund, P.C.; Bandow, S.; Thess, A.; Smalley, R.E. Evidence for charge transfer in doped carbon nanotube bundles from Raman scattering. Nature 1997, 388, 257–259. [Google Scholar] [CrossRef]
- Fagan, S.B.; Souza Filho, A.G.D.; Mendes Filho, J.; Corio, P.; Dresselhaus, M.S. Electronic properties of Ag-and CrO3-filled single-wall carbon nanotubes. Chem. Phys. Lett. 2005, 406, 54–59. [Google Scholar] [CrossRef]
- Ding, E.X.; Jiang, H.; Zhang, Q.; Tian, Y.; Laiho, P.; Hussain, A.; Kauppinen, E.I. Highly conductive and transparent single-walled carbon nanotube thin films from ethanol by floating catalyst chemical vapor deposition. Nanoscale 2017, 9, 17601–17609. [Google Scholar] [CrossRef]
- Lee, S.H.; Uhm, T.W.; You, Y.G.; Kim, S.W.; Jhang, S.H.; Dettlaff-Weglikowska, U.; Park, Y.W. Hall effect in carbon nanotube thin films. Synth. Met. 2014, 198, 84–87. [Google Scholar] [CrossRef]
- Mintmire, J.W.; Dunlap, B.I.; White, C.T. Are fullerene tubules metallic? Phys. Rev. Lett. 1992, 68, 631. [Google Scholar] [CrossRef] [PubMed]
- Nakka, L.; Cheng, Y.; Aberle, A.G.; Lin, F. Analytical review of spiro-OMeTAD hole transport materials: Paths toward stable and efficient perovskite solar cells. Adv. Energy Sustain. Res. 2022, 3, 2200045. [Google Scholar] [CrossRef]
- Kaskela, A.; Laiho, P.; Fukaya, N.; Mustonen, K.; Susi, T.; Jiang, H.; Kauppinen, E.I. Highly individual SWCNTs for high performance thin film electronics. Carbon 2016, 103, 228–234. [Google Scholar] [CrossRef]
- Niu, Z.; Zhou, W.; Chen, J.; Feng, G.; Li, H.; Ma, W.; Xie, S. Compact-designed supercapacitors using free-standing single-walled carbon nanotube films. Energy Environ. Sci. 2011, 4, 1440–1446. [Google Scholar] [CrossRef]
- Ma, W.; Song, L.; Yang, R.; Zhang, T.; Zhao, Y.; Sun, L.; Xie, S. Directly synthesized strong, highly conducting, transparent single-walled carbon nanotube films. Nano Lett. 2007, 7, 2307–2311. [Google Scholar] [CrossRef]
- Hussain, A.; Liao, Y.; Zhang, Q.; Ding, E.X.; Laiho, P.; Ahmad, S.; Kauppinen, E.I. Floating catalyst CVD synthesis of single walled carbon nanotubes from ethylene for high performance transparent electrodes. Nanoscale 2018, 10, 9752–9759. [Google Scholar] [CrossRef]
- A Shi, Z.; Lian, Y.; Liao, F.H.; Zhou, X.; Gu, Z.; Zhang, Y.; Zhang, S.L. Large scale synthesis of single-wall carbon nanotubes by arc-discharge method. J. Phys. Chem. Solids 2000, 61, 1031–1036. [Google Scholar] [CrossRef]
- Ajayan, P.M.; Ebbesen, T.W. Nanometre-size tubes of carbon. Rep. Prog. Phys. 1997, 60, 1025. [Google Scholar] [CrossRef]
- Ruoff, R.S.; Qian, D.; Liu, W.K. Mechanical properties of carbon nanotubes: Theoretical predictions and experimental measurements. Comptes Rendus Phys. 2003, 4, 993–1008. [Google Scholar] [CrossRef]
- Dresselhaus, M.S.; Dresselhaus, G.; Saito, R.; Jorio, A. Raman spectroscopy of carbon nanotubes. Phys. Rep. 2005, 409, 47–99. [Google Scholar] [CrossRef]
- Pimenta, M.A.; Dresselhaus, G.; Dresselhaus, M.S.; Cancado, L.G.; Jorio, A.; Saito, R. Studying disorder in graphite-based systems by Raman spectroscopy. Phys. Chem. Chem. Phys. 2007, 9, 1276–1290. [Google Scholar] [CrossRef] [PubMed]
- Ferrari, A.C.; Meyer, J.C.; Scardaci, V.; Casiraghi, C.; Lazzeri, M.; Mauri, F.; Geim, A.K. Raman spectrum of graphene and graphene layers. Phys. Rev. Lett. 2006, 97, 187401. [Google Scholar] [CrossRef] [PubMed]
- Park, Y.; Hembram, K.P.S.S.; Yoo, R.; Jang, B.; Lee, W.; Lee, S.G.; Lee, J.K. Reinterpretation of single-wall carbon nanotubes by Raman spectroscopy. J. Phys. Chem. C 2019, 123, 14003–14009. [Google Scholar] [CrossRef]
- Kim, K.K.; Park, J.S.; Kim, S.J.; Geng, H.Z.; An, K.H.; Yang, C.M.; Lee, Y.H. Dependence of Raman spectra G′ band intensity on metallicity of single-wall carbon nanotubes. Phys. Rev. B 2007, 76, 205426. [Google Scholar] [CrossRef]
- Lopez-Lorente, A.I.; Simonet, B.M.; Valcarcel, M. Qualitative detection and quantitative determination of single-walled carbon nanotubes in mixtures of carbon nanotubes with a portable Raman spectrometer. Analyst 2013, 138, 2378–2385. [Google Scholar] [CrossRef]
- Jorio, A.; Saito, R. Raman spectroscopy for carbon nanotube applications. J. Appl. Phys. 2021, 129, 021102. [Google Scholar] [CrossRef]
- Jorio, A.; Souza Filho, A.G.; Dresselhaus, G.; Dresselhaus, M.S.; Swan, A.K.; Ünlü, M.S.; Saito, R. G-band resonant Raman study of 62 isolated single-wall carbon nanotubes. Phys. Rev. B 2002, 65, 155412. [Google Scholar] [CrossRef]
- Kataura, H.; Kumazawa, Y.; Maniwa, Y.; Umezu, I.; Suzuki, S.; Ohtsuka, Y.; Achiba, Y. Optical properties of single-wall carbon nanotubes. Synth. Met. 1999, 103, 2555–2558. [Google Scholar] [CrossRef]
- Saito, R.; Jorio, A.; Souza Filho, A.G.; Dresselhaus, G.; Dresselhaus, M.S.; Pimenta, M.A. Probing phonon dispersion relations of graphite by double resonance Raman scattering. Phys. Rev. Lett. 2001, 88, 027401. [Google Scholar] [CrossRef] [PubMed]
- Saito, R.; Grüneis, A.; Samsonidze, G.G.; Brar, V.W.; Dresselhaus, G.; Dresselhaus, M.S.; Souza Filho, A.G. Double resonance Raman spectroscopy of single-wall carbon nanotubes. New J. Phys. 2003, 5, 157. [Google Scholar] [CrossRef]
- Wang, P.C.; Liao, Y.C.; Lai, Y.L.; Lin, Y.C.; Su, C.Y.; Tsai, C.H.; Hsu, Y.J. Conversion of pristine and p-doped sulfuric-acid-treated single-walled carbon nanotubes to n-type materials by a facile hydrazine vapor exposure process. Mater. Chem. Phys. 2012, 134, 325–332. [Google Scholar] [CrossRef]
- Tantang, H.; Ong, J.Y.; Loh, C.L.; Dong, X.; Chen, P.; Chen, Y.; Li, L.J. Using oxidation to increase the electrical conductivity of carbon nanotube electrodes. Carbon 2009, 47, 1867–1870. [Google Scholar] [CrossRef]
- Rao, R.; Reppert, J.; Podila, R.; Zhang, X.; Rao, A.M.; Talapatra, S.; Maruyama, B. Double resonance Raman study of disorder in CVD-grown single-walled carbon nanotubes. Carbon 2011, 49, 1318–1325. [Google Scholar] [CrossRef]
- Yomogida, Y.; Horiuchi, K.; Okada, R.; Kawai, H.; Ichinose, Y.; Nishidome, H.; Yanagi, K. Hall effect in gated single-wall carbon nanotube films. Sci. Rep. 2022, 12, 101. [Google Scholar] [CrossRef] [PubMed]
- Hall, E.H. On a new action of the magnet on electric currents. Am. J. Math. 1879, 2, 287–292. [Google Scholar] [CrossRef]
- Baumgartner, G.; Carrard, M.; Zuppiroli, L.; Bacsa, W.; de Heer, W.A.; Forró, L. Hall effect and magnetoresistance of carbon nanotube films. Phys. Rev. B 1997, 55, 6704. [Google Scholar] [CrossRef]
- Song, S.N.; Wang, X.K.; Chang, R.P.H.; Ketterson, J.B. Electronic properties of graphite nanotubules from galvanomagnetic effects. Phys. Rev. Lett. 1994, 72, 697. [Google Scholar] [CrossRef]
- Martel, R.; Schmidt, T.; Shea, H.R.; Hertel, T.; Avouris, P. Single-and multi-wall carbon nanotube field-effect transistors. Appl. Phys. Lett. 1998, 73, 2447–2449. [Google Scholar] [CrossRef]
- Dürkop, T.; Getty, S.A.; Cobas, E.; Fuhrer, M.S. Extraordinary mobility in semiconducting carbon nanotubes. Nano Lett. 2004, 4, 35–39. [Google Scholar] [CrossRef]
- Jiang, S.; Hou, P.X.; Liu, C.; Cheng, H.M. High-performance single-wall carbon nanotube transparent conductive films. J. Mater. Sci. Technol. 2019, 35, 2447–2462. [Google Scholar] [CrossRef]
- Hennrich, F.; Wellmann, R.; Malik, S.; Lebedkin, S.; Kappes, M.M. Reversible modification of the absorption properties of single-walled carbon nanotube thin films via nitric acid exposure. Phys. Chem. Chem. Phys. 2003, 5, 178–183. [Google Scholar] [CrossRef]
- Sumanasekera, G.U.; Allen, J.L.; Fang, S.L.; Loper, A.L.; Rao, A.M.; Eklund, P.C. Electrochemical oxidation of single wall carbon nanotube bundles in sulfuric acid. J. Phys. Chem. B 1999, 103, 4292–4297. [Google Scholar] [CrossRef]
- Paul, S.; Kang, Y.S.; Sun, Y.K.; Kim, D.W. Highly conductive and transparent thin films fabricated with predominantly semiconducting single-walled carbon nanotubes. Carbon 2010, 48, 2646–2649. [Google Scholar] [CrossRef]
- Earp, B.; Dunn, D.; Phillips, J.; Agrawal, R.; Ansell, T.; Aceves, P.; Luhrs, C. Enhancement of electrical conductivity of carbon nanotube sheets through copper addition using reduction expansion synthesis. Mater. Res. Bull. 2020, 131, 110969. [Google Scholar] [CrossRef]
- Kim, K.K.; Bae, J.J.; Park, H.K.; Kim, S.M.; Geng, H.Z.; Park, K.A.; Lee, Y.H. Fermi level engineering of single-walled carbon nanotubes by AuCl3 doping. J. Am. Chem. Soc. 2008, 130, 12757–12761. [Google Scholar] [CrossRef] [PubMed]
- Coates, J. Interpretation of infrared spectra, a practical approach. Encycl. Anal. Chem. 2000, 12, 10815–10837. [Google Scholar]
- Kamble, R.V.; Bhinge, S.D.; Mohite, S.K.; Randive, D.S.; Bhutkar, M.A. In vitro targeting and selective killing of mcf-7 and colo320dm cells by 5-fluorouracil anchored to carboxylated SWCNTs and MWCNTs. J. Mater. Sci. Mater. Med. 2021, 32, 71. [Google Scholar] [CrossRef]
- Klein, D.R. Organic Chemistry; John Wiley & Sons: Hoboken, NJ, USA, 2022. [Google Scholar]
- Poudel, Y.R.; Zhao, X.; Jungjohann, K.L.; Thapa, A.; Guo, R.; Li, W. Ni3S2 nanowires filled carbon nanotubes of ultra-high quality: Synthesis methods, structure, and electrical properties. Diam. Relat. Mater. 2022, 127, 109156. [Google Scholar] [CrossRef]
- Youn, H.C.; Bak, S.M.; Park, S.H.; Yoon, S.B.; Roh, K.C.; Kim, K.B. One-step preparation of reduced graphene oxide/carbon nanotube hybrid thin film by electrostatic spray deposition for supercapacitor applications. Met. Mater. Int. 2014, 20, 975–981. [Google Scholar] [CrossRef]
- Smith, B. The CO bond, Part I: Introduction and the infrared spectroscopy of alcohols. Spectroscopy 2017, 32, 14–21. [Google Scholar]
- Mandal, S.; Mandal, S.; Ghosh, S.K.; Sar, P.; Ghosh, A.; Saha, R.; Saha, B. A review on the advancement of ether synthesis from organic solvent to water. RSC Adv. 2016, 6, 69605–69614. [Google Scholar] [CrossRef]
- Lin, W.; Xiu, Y.; Zhu, L.; Moon, K.S.; Wong, C.P. Assembling of carbon nanotube structures by chemical anchoring for packaging applications. In Proceedings of the 2008 58th Electronic Components and Technology Conference, Lake Buena Vista, FL, USA, 27–30 May 2008; IEEE: Piscataway, NJ, USA, 2008; pp. 421–426. [Google Scholar]
- Rahmam, S.; Mohamed, N.M.; Sufian, S. Effect of acid treatment on the multiwalled carbon nanotubes. Mater. Res. Innov. 2014, 18 (Suppl. 6), S6–S196. [Google Scholar] [CrossRef]
- De Menezes, B.R.C.; Ferreira, F.V.; Silva, B.C.; Simonetti, E.A.N.; Bastos, T.M.; Cividanes, L.S.; Thim, G.P. Effects of octadecylamine functionalization of carbon nanotubes on dispersion, polarity, and mechanical properties of CNT/HDPE nanocomposites. J. Mater. Sci. 2018, 53, 14311–14327. [Google Scholar] [CrossRef]
- Kim, S.D.; Kim, J.W.; Im, J.S.; Kim, Y.H.; Lee, Y.S. A comparative study on properties of multi-walled carbon nanotubes (MWCNTs) modified with acids and oxyfluorination. J. Fluor. Chem. 2007, 128, 60–64. [Google Scholar] [CrossRef]
- Wong, C.H.; Buntov, E.A.; Rychkov, V.N.; Guseva, M.B.; Zatsepin, A.F. Simulation of chemical bond distributions and phase transformation in carbon chains. Carbon 2017, 114, 106–110. [Google Scholar] [CrossRef]
- Ţucureanu, V.; Matei, A.; Avram, A.M. FTIR spectroscopy for carbon family study. Crit. Rev. Anal. Chem. 2016, 46, 502–520. [Google Scholar] [CrossRef] [PubMed]
- Zhang, C.; Chang, J.; Zhang, H.; Li, C.; Zhao, H. Improved direct current electrical properties of crosslinked polyethylene modified with the polar group compound. Polymers 2019, 11, 1624. [Google Scholar] [CrossRef]
- Teyssedre, G.; Laurent, C. Charge transport modeling in insulating polymers: From molecular to macroscopic scale. IEEE Trans. Dielectr. Electr. Insul. 2005, 12, 857–875. [Google Scholar] [CrossRef]
- Wijeyasinghe, N.; Eisner, F.; Tsetseris, L.; Lin, Y.H.; Seitkhan, A.; Li, J.; Anthopoulos, T.D. p-Doping of Copper (I) Thiocyanate (CuSCN) Hole-Transport Layers for High-Performance Transistors and Organic Solar Cells. Adv. Funct. Mater. 2018, 28, 1802055. [Google Scholar] [CrossRef]
- Wijeyasinghe, N.; Anthopoulos, T.D. Copper (I) thiocyanate (CuSCN) as a hole-transport material for large-area opto/electronics. Semicond. Sci. Technol. 2015, 30, 104002. [Google Scholar] [CrossRef]









| Carrier Density (cm−3 ) | Mobility (cm2/Vs) | Hall Coefficient (cm3/C) | Carrier Type | Sheet Resistance (ohm/Square) | Collection Time (Minutes) |
|---|---|---|---|---|---|
| 4.6 × 1021 | 4.58 × 10−2 | 1.35 × 10−3 | P-type | 370 | 5 |
| 9.5 × 1021 | 3.5 × 10−2 | 6.6 × 10−4 | P-type | 234 | 10 |
| 3.5 × 1022 | 3.3 × 10−2 | 1.8 × 10−4 | P-type | 79 | 15 |
| 4.7 × 1022 | 3.1 × 10−2 | 1.3 × 10−4 | P-type | 51 | 20 |
| 1.3 × 1023 | 2.7 × 10−2 | 4.6 × 10−5 | P-type | 21 | 25 |
| Case | Acid Treatment | Carrier Density (cm−3) | Hole Mobility (cm2/Vs) | Hall Coefficient (cm3/C) | Carrier Type | Sheet Resistance (ohm/Square) | Conductivity (S/m) |
|---|---|---|---|---|---|---|---|
| A | 30 min H2SO4 (65 w/w %) treatment + DI water rinsing | 7.7 × 1020 | 0.75 | 8 × 10−3 | P-type | 139 | 9240 |
| B | 30 min H2SO4 (65 w/w %) treatment at 80 °C + DI water rinsing | 3.2 × 1020 | 1.5 | 2 × 0−2 | P-type | 163 | 7680 |
| C | 30 min H2SO4 (65 w/w %) treatment + DI water rinsing + ethanol rinsing | 8.4 × 1021 | 0.09 | 7.7 × 10−4 | P-type | 107 | 12,096 |
| D | 30 min H2SO4 treatment (4 M) + DI water rinsing | 5 × 1021 | 0.08 | 1.4 × 10−3 | P-type | 228 | 6400 |
| E | 30 min HCL treatment (4 M) + DI water rinsing | 8.8 × 1021 | 0.1 | 8.8 × 10−4 | P-type | 115 | 14,060 |
| F | 30 min HNO3 (4 M) + DI water rinsing | 1.2 × 1022 | 0.16 | 5.8 × 10−4 | P-type | 43 | 30,720 |
| G | Without treatment | 9.5 × 1021 | 0.035 | 6.6 × 10−4 | P-type | 243 | 5320 |
Disclaimer/Publisher’s Note: The statements, opinions and data contained in all publications are solely those of the individual author(s) and contributor(s) and not of MDPI and/or the editor(s). MDPI and/or the editor(s) disclaim responsibility for any injury to people or property resulting from any ideas, methods, instructions or products referred to in the content. |
© 2024 by the authors. Licensee MDPI, Basel, Switzerland. This article is an open access article distributed under the terms and conditions of the Creative Commons Attribution (CC BY) license (https://creativecommons.org/licenses/by/4.0/).
Share and Cite
Dolafi Rezaee, M.; Dahal, B.; Watt, J.; Abrar, M.; Hodges, D.R.; Li, W. Structural, Electrical, and Optical Properties of Single-Walled Carbon Nanotubes Synthesized through Floating Catalyst Chemical Vapor Deposition. Nanomaterials 2024, 14, 965. https://doi.org/10.3390/nano14110965
Dolafi Rezaee M, Dahal B, Watt J, Abrar M, Hodges DR, Li W. Structural, Electrical, and Optical Properties of Single-Walled Carbon Nanotubes Synthesized through Floating Catalyst Chemical Vapor Deposition. Nanomaterials. 2024; 14(11):965. https://doi.org/10.3390/nano14110965
Chicago/Turabian StyleDolafi Rezaee, Melorina, Biplav Dahal, John Watt, Mahir Abrar, Deidra R. Hodges, and Wenzhi Li. 2024. "Structural, Electrical, and Optical Properties of Single-Walled Carbon Nanotubes Synthesized through Floating Catalyst Chemical Vapor Deposition" Nanomaterials 14, no. 11: 965. https://doi.org/10.3390/nano14110965
APA StyleDolafi Rezaee, M., Dahal, B., Watt, J., Abrar, M., Hodges, D. R., & Li, W. (2024). Structural, Electrical, and Optical Properties of Single-Walled Carbon Nanotubes Synthesized through Floating Catalyst Chemical Vapor Deposition. Nanomaterials, 14(11), 965. https://doi.org/10.3390/nano14110965

