Portable Homemade Magnetic Hyperthermia Apparatus: Preliminary Results
Abstract
1. Introduction
- (1)
- High hyperthermia reaches temperatures above 46 °C (up to 56 °C), causing direct tissue necrosis, coagulation, or carbonization of cells.
- (2)
- Moderate hyperthermia (41 °C < T < 46 °C) has various effects at the cellular and tissue levels. In this temperature range, cells undergo heat stress, resulting in the activation and/or initiation of many extracellular degradation mechanisms, such as protein denaturation, protein folding, DNA aggregation, and cross-linking.
- (3)
- Low hyperthermia uses temperatures below 41 °C and is applied to treat rheumatic diseases in physiotherapy. It is important to notice that the effectiveness of any hyperthermia treatment depends significantly on the temperatures reached in the targeted sites, the duration of exposure, and the specific characteristics of the cancer cells [3]. The National Cancer Institute (NCI) recognizes three different types of hyperthermia, which are classified based on the area where it is applied and the extent of the area to be treated: local, regional, and whole-body hyperthermia. In local hyperthermia, the primary objective is to heat only tumor cells without damaging healthy tissues. Local hyperthermia is currently a major focus due to its ability to target heat within a specified region [4].
- (1)
- The inevitable heating of healthy tissue, resulting in burns, blisters, and discomfort;
- (2)
- Limited penetration of heat into body tissues by microwave, laser, and ultrasound energy;
- (3)
- Thermal underdosing in the target area, particularly in areas protected by pelvic or nape bones, often leads to recurrent tumor growth, remaining largely unresolved.
2. Materials and Methods
2.1. Magnetic Field Simulations
2.2. Hyperthermia Studies
3. Results and Discussion
3.1. Configuration, Specifications, and Fundamental Operational Principles of an Alternating Magnetic Field Generator
- (1)
- Power source (VELLEMAN, Model: LABPS6030SM);
- (2)
- Electric circuit (designed by us and manufactured by JMP Electronics (Jinhu, China));
- (3)
- Cooling system (designed by us);
- (4)
- Oscilloscope coupled with a probe for measuring the magnetic field (see Appendix A) and verifying the waveform passing through the coil (Promax Electronics, Model: OD-624);
- (5)
3.2. Results of Magnetic Field Simulations
3.3. Hyperthermia Essays
4. Conclusions
5. Patents
Author Contributions
Funding
Data Availability Statement
Acknowledgments
Conflicts of Interest
Appendix A
References
- Mahmoudi, K.; Bouras, A.; Bozec, D.; Ivkov, R.; Hadjipanayis, C. Magnetic hyperthermia therapy for the treatment of glioblastoma: A review of the therapy’s history, efficacy and application in humans. Int. J. Hyperth. 2018, 34, 1316–1328. [Google Scholar] [CrossRef] [PubMed]
- Rivera, D.; Schupper, A.J.; Bouras, A.; Anastasiadou, M.; Kleinberg, L.; Kraitchman, D.L.; Attaluri, A.; Ivkov, R.; Hadjipanayis, C.G. Neurosurgical Applications of Magnetic Hyperthermia Therapy. Neurosurg. Clin. N. Am. 2023, 34, 269–283. [Google Scholar] [CrossRef] [PubMed]
- Raaphorst, G.P.; Freeman, M.L.; Dewey, W.C. Radiosensitivity and recovery from radiation damage in cultured CHO cells exposed to hyperthermia at 42.5 or 45.0 °C. Radiat. Res. 1979, 79, 390–402. [Google Scholar] [CrossRef] [PubMed]
- Habash, R.W.Y.; Bansal, R.; Krewski, D.; Alhafid, H. Thermal therapy. Part 2: Hyperthermia techniques. Crit. Rev. Biomed. Eng. 2006, 34, 491–542. [Google Scholar] [CrossRef]
- Zhu, L.; Altman, M.B.; Laszlo, A.; Straube, W.; Zoberi, I.; Hallahan, D.E.; Chen, H. Ultrasound Hyperthermia Technology for Radiosensitization. Ultrasound Med. Biol. 2019, 45, 1025–1043. [Google Scholar] [CrossRef]
- Gongalsky, M.; Gvindzhiliia, G.; Tamarov, K.; Shalygina, O.; Pavlikov ASolovyev, V.; Kudryavtsev, A.; Sivakov, A.; Osminkina, L.A. Radiofrequency Hyperthermia of Cancer Cells Enhanced by Silicic Acid Ions Released During the Biodegradation of Porous Silicon Nanowires. ACS Omega 2019, 4, 10662–10669. [Google Scholar] [CrossRef]
- Altintas, G.; Akduman, I.; Janjic, A.; Yilmaz, T. A Novel Approach on Microwave Hyperthermia. Diagnostics 2021, 11, 493. [Google Scholar] [CrossRef]
- Wan Mohd Zawawi WF, A.; Hibma, M.H.; Salim, M.I.; Jemon, K. Hyperthermia by near infrared radiation induced immune cells activation and infiltration in breast tumor. Sci. Rep. 2021, 11, 10278. [Google Scholar] [CrossRef]
- Gamal, H.; Tawfik, W.; El-Sayyad, H.I.H.; Emam, A.N.; Mohamed Fahmy, H.; El-Ghaweet, H.A. A New Vision of Photothermal Therapy Assisted with Gold Nanorods for the Treatment of Mammary Cancers in Adult Female Rats. Nanoscale Adv. 2024, 6, 170–187. [Google Scholar] [CrossRef]
- Bianchi, L.; Baroni, S.; Paroni, G.; Violatto, M.B.; Moscatiello, G.Y.; Panini, N.; Russo, L.; Fiordaliso, F.; Colombo, L.; Diomede, L.; et al. Thermal Effects and Biological Response of Breast and Pancreatic Cancer Cells Undergoing Gold Nanorod-Assisted Photothermal Therapy. J. Photochem. Photobiol. B Biol. 2024, 259, 112993. [Google Scholar] [CrossRef]
- Nag, S.; Mitra, O.; Tripathi, G.; Adur, I.; Mohanto, S.; Nama, M.; Samanta, S.; Gowda, B.H.J.; Subramaniyan, V.; Sundararajan, V.; et al. Nanomaterials-Assisted Photothermal Therapy for Breast Cancer: State-of-the-Art Advances and Future Perspectives. Photodiagnosis Photodyn. Ther. 2024, 45, 103959. [Google Scholar] [CrossRef] [PubMed]
- Pacheco, A.R.F.; Cardoso, B.D.; Pires, A.; Pereira, A.M.; Araújo, J.P.; Carvalho, V.M.; Rodrigues, R.O.; Coutinho, P.J.G.; Castelo-Grande, T.; Augusto, P.A.; et al. Development of pH-Sensitive Magnetoliposomes Containing Shape Anisotropic Nanoparticles for Potential Application in Combined Cancer Therapy. Nanomaterials 2023, 13, 1051. [Google Scholar] [CrossRef] [PubMed]
- Gilchrist, R.K.; Medal, R.; Shorey, W.D.; Hanselman, R.C.; Parrott, J.C.; Taylor, C.B. Selective inductive heating of lymph nodes. Ann. Surg. 1957, 146, 596–606. [Google Scholar] [CrossRef] [PubMed]
- Farzin, A.; Etesami, S.A.; Quint, J.; Memic, A.; Tamayol, A. Magnetic Nanoparticles in Cancer Therapy and Diagnosis. Adv. Healthc. Mater. 2020, 9, e1901058. [Google Scholar] [CrossRef]
- Latorre, M.; Rinaldi, C. Applications of magnetic nanoparticles in medicine: Magnetic fluid hyperthermia. Puerto Rico Health Sci. J. 2009, 28, 227–238. [Google Scholar]
- Hilger, I. The role of magnetic hyperthermia in heating-based oncological therapies. In Magnetic Materials and Technologies for Medical Applications; Woodhead Publishing: London, UK, 2022; pp. 265–285. [Google Scholar] [CrossRef]
- Dutz, S.; Hergt, R. Magnetic nanoparticle heating and heat transfer on a microscale: Basic principles, realities and physical limitations of hyperthermia for tumour therapy. Int. J. Hyperth. 2013, 29, 790–800. [Google Scholar] [CrossRef]
- Carrião, M.S.; Aquino, V.R.; Landi, G.T.; Verde, E.L.; Sousa, M.H.; Bakuzis, A.F. Giant-spin nonlinear response theory of magnetic nanoparticle hyperthermia: A field dependence study. J. Appl. Phys. 2017, 121, 173901. [Google Scholar] [CrossRef]
- Phong, P.T.; Nguyen, L.H.; Lee, I.-J.; Phuc, N.X. Computer simulations of contributions of Néel and Brown relaxation to specific loss power of magnetic fluids in hyperthermia. J. Electron. Mater. 2017, 46, 2393–2405. [Google Scholar] [CrossRef]
- Deatsch, A.E.; Evans, B.A. Heating efficiency in magnetic nanoparticle hyperthermia. J. Magn. Magn. Mater. 2014, 354, 163–172. [Google Scholar] [CrossRef]
- Skumiel, A.; Leszczyński, B.; Molcan, M.; Timko, M. The comparison of magnetic circuits used in magnetic hyperthermia. J. Magn. Magn. Mater. 2016, 420, 177–184. [Google Scholar] [CrossRef]
- Papadopoulos, C.; Efthimiadou, E.K.; Pissas, M.; Fuentes, D.; Boukos, N.; Psycharis, V.; Kordas, G.; Loukopoulos, V.C.; Kagadis, G.C. Magnetic fluid hyperthermia simulations in evaluation of SAR calculation methods. Phys. Medica 2020, 71, 39–52. [Google Scholar] [CrossRef] [PubMed]
- Mazon, E.E.; Sámano, A.H.; Calleja, H.; Quintero, L.H.; Paz, J.A.; Cano, M.E. A frequency tuner for resonant inverters suitable for magnetic hyperthermia applications. Meas. Sci. Technol. 2017, 28, 095901. [Google Scholar] [CrossRef]
- Griffiths, D.J. Introduction to Electrodynamics: Pearson New International, 4th ed.; Pearson Education, Inc.: London, UK, 2013. [Google Scholar]
- Makarova, M.V.; Suzuki, K.; Kon, H.; Dubey, P.; Sonobe, H.; Matsumura, T.; Saito, H. High-Frequency Magnetic Field Energy Imaging of Magnetic Recording Head by Alternating Magnetic Force Microscopy (A-MFM) with Superparamagnetic Tip. Appl. Sci. 2023, 13, 4843. [Google Scholar] [CrossRef]
- Kallumadil, M.; Tadac, M.; Nakagawac, T.; Abec, M.; Southern, P.; Pankhurst, Q.A. Suitability of commercial colloids for magnetic hyperthermia. J. Magn. Magn. Mater. 2009, 321, 1509–1513. [Google Scholar] [CrossRef]
- Angelakeris, M.; Li, Z.A.; Sakellari, D.; Simeonidis, K.; Spasova, M.; Farle, M. Can commercial ferrofluids be exploited in AC magnetic hyperthermia treatment to address diverse biomedical aspects? EPJ Web Conf. 2014, 75, 08002. [Google Scholar] [CrossRef]
- Lanier, O.L.; Korotych, O.I.; Monsalve, A.G.; Wable, D.; Savliwala, S.; Grooms, N.W.; Nacea, C.; Tuitt, O.R.; Dobson, J. Evaluation of magnetic nanoparticles for magnetic fluid hyperthermia. Int. J. Hyperth. 2019, 36, 686. [Google Scholar] [CrossRef]
- Sakellari, D.; Mathioudaki, S.; Kalpaxidou, Z.; Simeonidis, K.; Angelakeris, M. Exploring multifunctional potential of commercial ferrofluids by magnetic particle hyperthermia. J. Magn. Magn. Mater. 2015, 380, 360. [Google Scholar] [CrossRef]
- Yaremenko, A.V.; Zelepukin, I.V.; Ivanov, I.N.; Melikov, R.O.; Pechnikova, N.A.; Dzhalilova, D.S.; Mirkasymov, A.B.; Bragina, V.A.; Nikitin, M.P.; Deyev, S.M.; et al. Influence of magnetic nanoparticle biotransformation on contrasting efficiency and iron metabolism. J. Nanobiotechnol. 2022, 20, 535. [Google Scholar] [CrossRef]
- Wang, S.-Y.; Huang, S.; Borca-Tasciuc, D.-A. Potential Sources of Errors in Measuring and Evaluating the Specific Loss Power of Magnetic Nanoparticles in an Alternating Magnetic Field. IEEE Trans. Magn. 2013, 49, 255–262. [Google Scholar] [CrossRef]
- Dabaghi, M.; Quaas, R.; Hilger, I. The Treatment of Heterotopic Human Colon Xenograft Tumors in Mice with 5-Fluorouracil Attached to Magnetic Nanoparticles in Combination with Magnetic Hyperthermia Is More Efficient than Either Therapy Alone. Cancers 2020, 12, 2562. [Google Scholar] [CrossRef]
- Jordan, A.; Scholz, R.; Maier-Hauff, K.; Johannsen, M.; Wust, P.; Nadobny, J.; Schirra, H.; Schmidt, H.; Deger, S.; Loening, S.; et al. Presentation of a New Magnetic Field Therapy System for the Treatment of Human Solid Tumors with Magnetic Fluid Hyperthermia. J. Magn. Magn. Mater. 2001, 225, 118–126. [Google Scholar] [CrossRef]
- Tai, C.-C.; Chen, M.-K. A compact half-bridge induction heating system for magnetic nanoparticle thermotherapy applications, Biomedical Engineering: Applications. Basis Commun. 2007, 19, 27–35. [Google Scholar] [CrossRef]
- Cabrera, D.; Rubia-Rodríguez, I.; Garaio, E.; Plazaola, F.; Dupré, L.; Farrow, N.; Terán, F.J.; Ortega, D. Chapter 5—Instrumentation for Magnetic Hyperthermia. In Micro and Nano Technologies, Nanomaterials for Magnetic and Optical Hyperthermia Applications; Fratila, R.M., De La Fuente, J.M., Eds.; Elsevier: Amsterdam, The Netherlands, 2019; pp. 111–138. ISBN 9780128139288. [Google Scholar] [CrossRef]
- Rashid, M.H.; Hui, S.Y.; Shu-Hung Chung, H. Power Electronics Handbook, 4th ed.; Rashid, M.H., Ed.; Butterworth-Heinemann: Oxford, UK, 2018. [Google Scholar] [CrossRef]
- Truong, C.-T.; Choi, S.-J. Improved ZVS Criterion for Series Resonant Converters. IEEE Access 2024, 12, 5333–5344. [Google Scholar] [CrossRef]
- Skumiel, A.; Hornowski, T.; Józefczak, A.; Koralewski, M.; Leszczyński, B. Uses and limitation of different thermometers for measuring heating efficiency of magnetic fluids. Appl. Therm. Eng. 2016, 100, 1308–1318. [Google Scholar] [CrossRef]
- Castelo-Grande, T.; Augusto, P.A.; Gomes, L.; Lopes AR, C.; Araújo, J.P.; Barbosa, D. Economic and Accessible Portable Homemade Magnetic Hyperthermia System: Influence of the Shape, Characteristics and Type of Nanoparticles in Its Effectiveness. Materials 2024, 17, 2279. [Google Scholar] [CrossRef]
- Pinakidou, F.; Simeonidis, K.; Myrovali, E.; Brzhezinskaya, M.; Paloura, E.C.; Angelakeris, M.; Katsikini, M. Addressing the effect of magnetic particle hyperthermia application on the composition and spatial distribution of iron oxide nanoparticles using X-ray spectroscopic techniques. J. Phys. Chem. C 2022, 126, 10101–10109. [Google Scholar] [CrossRef]
- Ring, H.L.; Sharma, A.; Ivkov, R.; Bischof, J.C. The impact of data selection and fitting on SAR estimation for magnetic nanoparticle heating. Int. J. Hyperth. 2022, 37, 100–107. [Google Scholar] [CrossRef]
- Espinosa DCarlsson, L.B.; Figueiredo Neto, A.M. Influence of nanoparticle size on the nonlinear optical properties of magnetite ferrofluids. Phys. Rev. 2013, 88, 032302. [Google Scholar] [CrossRef]
- Shah, R.R.; Davis, T.P.; Glover, A.L.; Nikles, D.E.; Brazel, C.S. Impact of magnetic field parameters and iron oxide nanoparticle properties on heat generation for use in magnetic hyperthermia. J. Magn. Magn. Mater. 2015, 387, 96–106. [Google Scholar] [CrossRef]
- Eggeman, A.S.; Majetich, S.A.; Farrell, D.; Pankhurst, Q.A. Size and Concentration Effects on High Frequency Hysteresis of Iron Oxide Nanoparticles. IEEE Trans. Magn. 2007, 43, 2451–2453. [Google Scholar] [CrossRef]
- Sakellari, D.; Brintakis, K.; Kostopoulou, A.; Myrovali, E.; Simeonidis, K.; Lappas, A.; Angelakeris, M. Ferrimagnetic nanocrystal assemblies as versatile magnetic particle hyperthermia mediators. Mater. Sci. Eng. C 2016, 58, 187–193. [Google Scholar] [CrossRef] [PubMed]
- Rubia-Rodríguez, I.; Santana-Otero, A.; Spassov, S.; Tombácz, E.; Johansson, C.; De La Presa, P.; Teran, F.J.; Morales, M.d.P.; Veintemillas-Verdaguer, S.; Thanh, N.T.K.; et al. Whither Magnetic Hyperthermia? A Tentative Roadmap. Materials 2021, 14, 706. [Google Scholar] [CrossRef] [PubMed]
- Lemine, O.M.; Algessair, S.; Madkhali, N.; Al-Najar, B.; El-Boubbou, K. Assessing the Heat Generation and Self-Heating Mechanism of Superparamagnetic Fe3O4 Nanoparticles for Magnetic Hyperthermia Application: The Effects of Concentration, Frequency, and Magnetic Field. Nanomaterials 2023, 13, 45. [Google Scholar] [CrossRef] [PubMed]























| Advantages | Disadvantages | 
|---|---|
| Magnetic nanoparticles are absorbed by cancer cells, allowing for localized therapeutic heat supply, which increases hyperthermia’s effectiveness | Magnetic hyperthermia encounters challenges in enhancing nanoparticle heating power, regulating tumor temperature | 
| Tagging MNPs with tumor-specific binding agents ensures targeted and efficient treatment, maximizing its impact. | It is difficult to minimize adverse effects on nearby healthy tissues. | 
| Harmless passage of alternating magnetic field frequencies through the body exclusively generates heat in MNP-containing tissues, ensuring safe and precise treatment. | It is necessary to monitor temperature changes at the cellular level using precise and non-invasive techniques. | 
| MNPs’ ability to traverse the blood–brain barrier makes them valuable for treating brain tumors. | It is crucial to understand the impact of temperature on the biological processes of cells. | 
| MNPs can be used to create stable colloids, allowing for a variety of drug delivery routes. | It is important to comprehend the factors that impact heat transport from MNPs to cells. | 
| Material | Relative Permeability — | Relative Permeability — | Electric Conductivity — (S/m) | 
|---|---|---|---|
| Air | 1 | 1 | 0 | 
| Copper | 1 | 1 | 6 × 107 | 
| Water | 1 | 1 | 0 | 
| Product | Matrix/Cover | Size (Hydrodynamic Diameter) (nm) | Density (g/cm3) | Functionalization | Particles Number | Core/vh * (nm) | Zeta Potential (mv) | 
|---|---|---|---|---|---|---|---|
| Fluidmag-ara | Polysaccharide | 150 | ~1.25 | Glucuronic acid | ~1.8 × 1015/g −2.2 × 1014/g | 23.6 ± 5.6/ 121 ± 40 [30] | −22.65 mV [30] | 
| Fluidmag-uca | No | 200 | ~5.2 | Anionic charge | ~2.2 × 1014/g | ||
| Fluidmag-dx | Dextran | 50 | ~1.25 | Hydroxyl groups | ~1.3 × 1016/g | ||
| Fluidmag-cmx | Carboxymethyl–dextran | n.a. | ~1.25 | Sodium carboxylate | 110.6 ± 3.5 [32] | –32.3 ± 0.1 | |
| Fluidmag-lipid | Phosphatidylcholine | 200 | ~1.25 | Phosphatidylcholine | ~2.2 × 1014/g | ||
| Fluidmag-d50 | Starch | 50 | ~1.25 | Hydroxyl groups | ~1.3 × 1016/g | ||
| Fluidmag-d100 | Starch | 100 | ~1.25 | Hydroxyl groups | ~1.8 × 1015/g | 
| Solenoid | H (Height) (mm) | Tube External Diameter (mm) | Tube Internal Diameter (mm) | Solenoid Internal Diameter (mm) | Number of Turns | Space Between Turns (mm) | Observations | 
|---|---|---|---|---|---|---|---|
| S1 | 33.0 | 4.1 | ---- | 54.6 | 5 | 2.7 | |
| S2 | 100.7 | 6.3 | 1 | 73.7 | 13 | 2.0 | Inductance is 5 μH | 
| S3 | 68.0 | 6.3 | 1 | 50.0 | 9 | 2.0 | |
| S4 | 66.0 | 6.3 | 1 | 74.5 | 8 | Variable | |
| S5 | 73.0 | 5.0 | 1 | 70.0 | 9 | 2–2.5 variable | |
| S6 | 57.0 | 6.3 | 1 | 41.3 | 7 | Variable | Inductance is 2.5 μH | 
| S7 | 100.0 | n.a. | --- | 70.0 | 11 | Variable | Foldable (multiwire) | 
| S8 | 119.6 | 5.0 | 1 | 42.3 | 17 | Variable | Yield the best results so far | 
| f(kHz) | Coil Current (A) | Coil Resistance (Ω) | Coil Impedance (Ω) | Coil Inductance (μH) | |
|---|---|---|---|---|---|
| S5 | 72 | 33.684∠−89.305° | 2.160 × 10−2 | 1.781∠89.305° | 3.9372 | 
| 96 | 25.311∠−89.403° | 2.470 × 10−2 | 2.37∠89.403° | 3.9296 | |
| 134 | 18.167∠−89.512° | 2.811 × 10−2 | 3.303∠89.512° | 3.9226 | |
| 302 | 8.081∠−89.739° | 3.377 × 10−2 | 7.425∠89.739° | 3.9127 | |
| S6 | 72 | 122.183∠−88.89° | 9.512 × 10−3 | 0.491∠88.89° | 1.0853 | 
| 96 | 91.917∠−89.046° | 1.086 × 10−2 | 0.653∠89.046° | 1.0820 | |
| 134 | 66.04∠−89.22° | 1.237 × 10−2 | 0.909∠89.22° | 1.0790 | |
| 302 | 29.423∠−89.58° | 1.495 × 10−2 | 2.039∠89.58° | 1.0747 | |
| S8—12 turns | 72 | 61.764∠−88.943° | 1.791 × 10−2 | 0.971∠88.943° | 2.1470 | 
| 96 | 46.459∠−89.101° | 2.026 × 10−2 | 1.291∠89.101° | 2.1408 | |
| 134 | 33.372∠−89.277° | 2.268 × 10−2 | 1.798∠89.277° | 2.1353 | |
| 302 | 14.858∠−89.626° | 2.637 × 10−2 | 4.038∠89.626° | 2.1280 | |
| S8—17 turns | 72 | 43.316∠−88.959° | 2.516 × 10−2 | 1.385∠88.959° | 3.0614 | 
| 96 | 32.58∠−89.116° | 2.841 × 10−2 | 1.842∠89.116° | 3.0528 | |
| 134 | 23.402∠−89.29° | 3.178 × 10−2 | 2.564∠89.29° | 3.0450 | |
| 302 | 10.418∠−89.634° | 3.676 × 10−2 | 5.759∠89.634° | 3.0349 | 
| Type of Particle | Frequency (kHz) | Solenoid | TFinal (C°) | Figure | 
|---|---|---|---|---|
| FluidmagARA | 98 | S5 | 27.5 ± 0.4 | 12 | 
| FluidmagUCA | 98 | S5 | 23.5 ± 0.5 | 12 | 
| FluidMagD100nm | 69 | S5 | 31.0 ± 0.5 | 13 | 
| FluidMagD50nm | 69 | S5 | 26.2 ± 0.5 | 14 | 
| FluidMagD100nm | 69 | S5 | 31.5 ± 0.4 | 14 | 
| FluidMagD100nm | 63 | S5 | 31.0 ± 0.3 | 15 | 
| FluidMagD100nm | 78 | S5 | 33.8 ± 0.3 | 15 | 
| FluidMagD100nm | 81 | S5 | 25.5 ± 0.4 + | 15 | 
| FluidMagD100nm | 138 | S5 | 28.5 ± 0.4 ++ | 15 | 
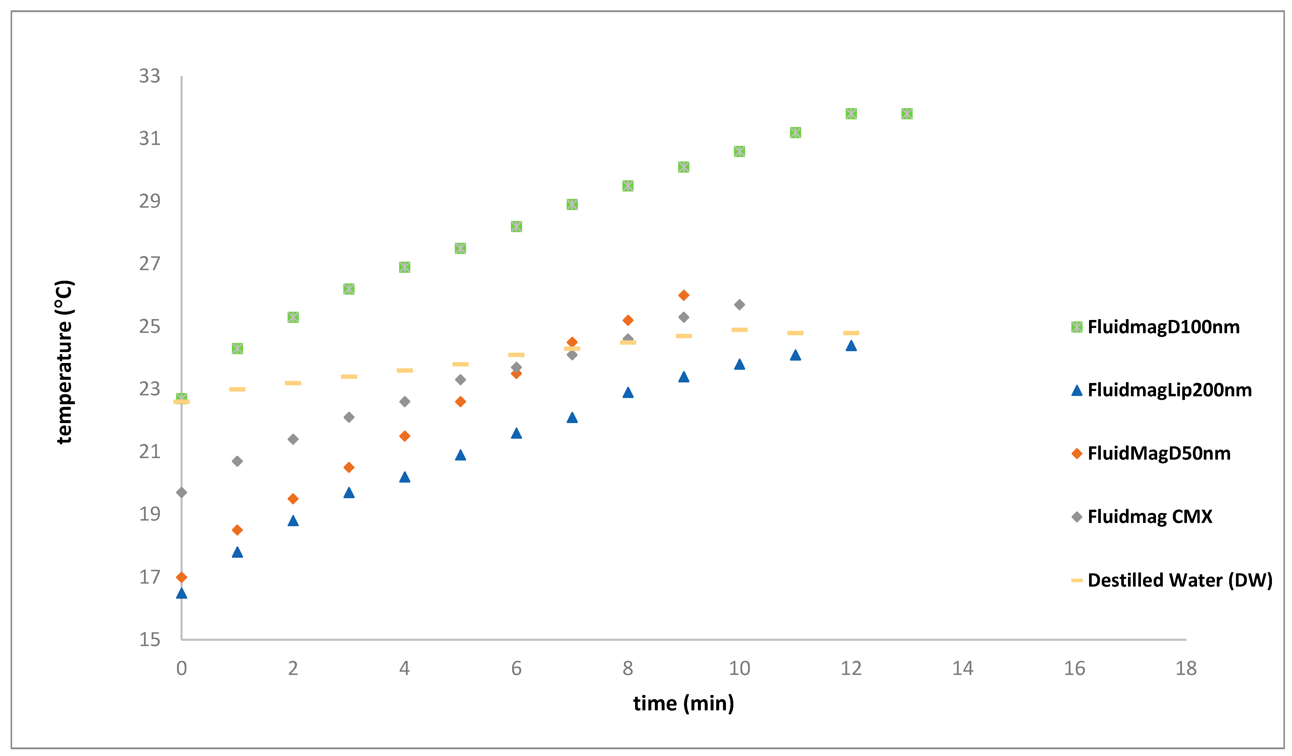
| FluidMagCMX | 138 | S5 | 27.7 ± 0.5 * | 16 | 
| FluidMagLip200nm | 138 | S5 | 24.4 ± 0.4 ** | 16 | 
| FluidMagDx100nn | 138 | S5 | 31.80.5 +* | 16 | 
| FluidMagDX50nm | 138 | S5 | 26.9 ± 0.5 +** | 16 | 
| FluidMagDx100nn a | 110 | S6 | 27.0 ± 0.5 | 17 | 
| FluidMagDx100nn a | 141 | S6 | 27.0 ± 0.4 | 17 | 
| FluidMagDx100nn a | 170 | S6 | 27.5 ± 0.4 | 17 | 
| FluidMagDx100nn a | 235 | S6 | 29.7 ± 0.3 | 17 | 
| FluidMagUCA a | 72 | S8 | 35.5 ± 0.4 | 18 | 
| FluidMagDx100nm | 71 | S8 | 28.7 ± 0.4 | 19 | 
| FluidMagDx100nm | 96 | S8 | 27.1 ± 0.5 | 19 | 
| FluidMagDx100nm | 302 | S8 | 27.3 ± 0.5 | 19 | 
| FluidMagDx50nm | 99 | S8 | 34.3 ± 0.4 | 20 | 
| FluidMagDx50nm | 132 | S8 | 36.8 ± 0.4 | 20 | 
| FluidMagDx50nm | 302 | S8 | 31.6 ± 0.4 ++** | 20 | 
| FluidMagDx50nm b | 132 | S8 | 23 ± 0.3 | 21 | 
| FluidMagDx50nm | 132 | S8 | 40.9 ± 0. | 21 | 
| FluidMagD50nm | 101.5 kHz | S8 | 52.2 ± 0.4 | 22 | 
| Disclaimer/Publisher’s Note: The statements, opinions and data contained in all publications are solely those of the individual author(s) and contributor(s) and not of MDPI and/or the editor(s). MDPI and/or the editor(s) disclaim responsibility for any injury to people or property resulting from any ideas, methods, instructions or products referred to in the content. | 
© 2024 by the authors. Licensee MDPI, Basel, Switzerland. This article is an open access article distributed under the terms and conditions of the Creative Commons Attribution (CC BY) license (https://creativecommons.org/licenses/by/4.0/).
Share and Cite
Castelo-Grande, T.; Augusto, P.A.; Gomes, L.; Calvo, E.; Barbosa, D. Portable Homemade Magnetic Hyperthermia Apparatus: Preliminary Results. Nanomaterials 2024, 14, 1848. https://doi.org/10.3390/nano14221848
Castelo-Grande T, Augusto PA, Gomes L, Calvo E, Barbosa D. Portable Homemade Magnetic Hyperthermia Apparatus: Preliminary Results. Nanomaterials. 2024; 14(22):1848. https://doi.org/10.3390/nano14221848
Chicago/Turabian StyleCastelo-Grande, Teresa, Paulo A. Augusto, Lobinho Gomes, Eduardo Calvo, and Domingos Barbosa. 2024. "Portable Homemade Magnetic Hyperthermia Apparatus: Preliminary Results" Nanomaterials 14, no. 22: 1848. https://doi.org/10.3390/nano14221848
APA StyleCastelo-Grande, T., Augusto, P. A., Gomes, L., Calvo, E., & Barbosa, D. (2024). Portable Homemade Magnetic Hyperthermia Apparatus: Preliminary Results. Nanomaterials, 14(22), 1848. https://doi.org/10.3390/nano14221848
 
        


 
       