High-Efficiency Metamaterial-Engineered Grating Couplers for Silicon Nitride Photonics
Abstract
1. Introduction
2. Design and Methodology
2.1. Operating Principle and Performance
2.2. Material Platform Description
2.3. SWG Metamaterials
2.4. Connecting Waveguides and Inter-Layer Coupler
3. Results and Discussion
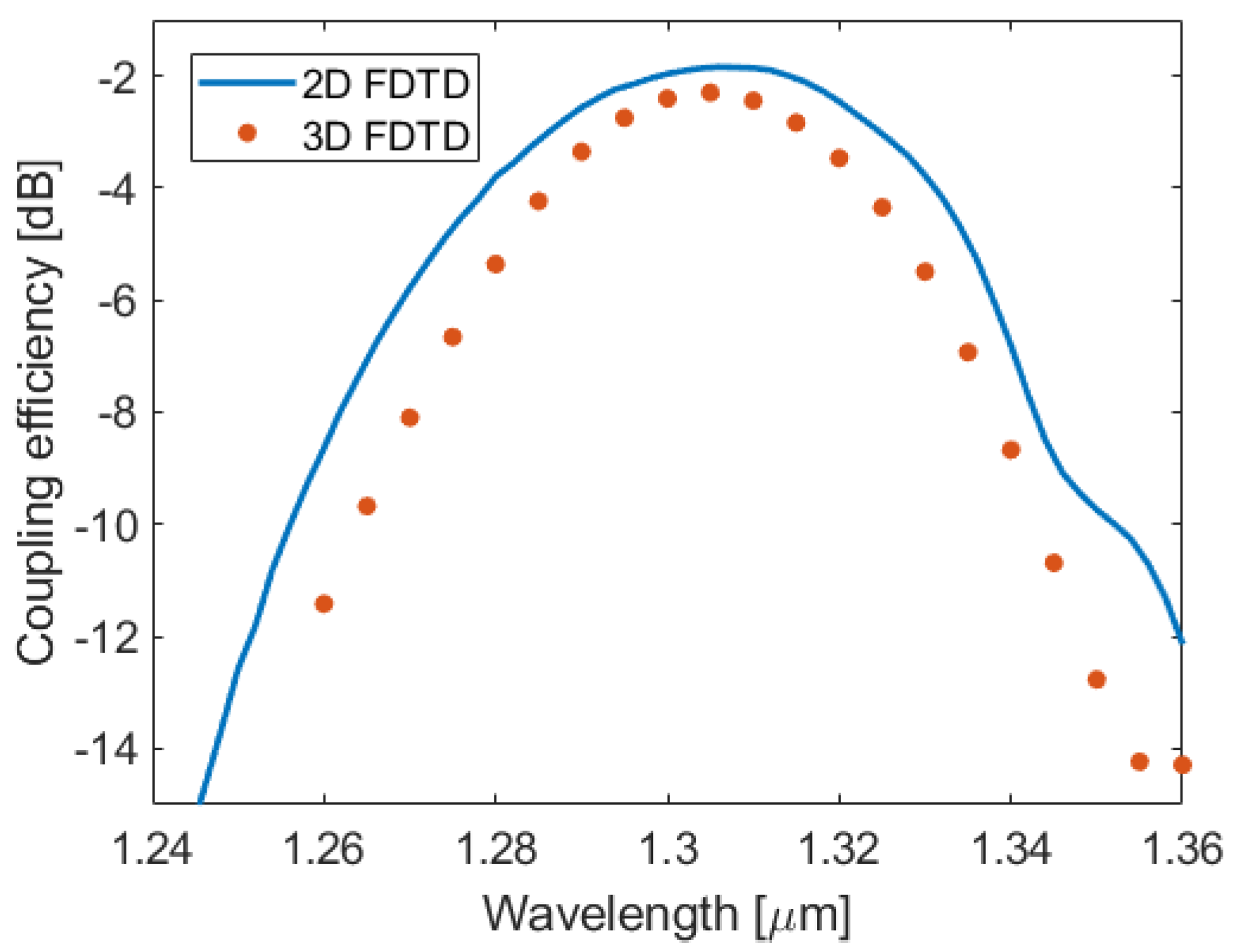
3.1. Uniform Grating Coupler
3.2. Apodized Grating Coupler
4. Conclusions
Author Contributions
Funding
Data Availability Statement
Conflicts of Interest
References
- Li, Y.; Zhang, Y.; Zhang, L.; Poon, A.W. Silicon and Hybrid Silicon Photonic Devices for Intra-Datacenter Applications: State of the Art and Perspectives. Photonics Res. 2015, 3, B10–B27. [Google Scholar] [CrossRef]
- Yoo, S.J. Ben Hybrid Integrated Photonic Platforms: Opinion. Opt. Mater. Express 2021, 11, 3528–3534. [Google Scholar] [CrossRef]
- Luo, W.; Cao, L.; Shi, Y.; Wan, L.; Zhang, H.; Li, S.; Chen, G.; Li, Y.; Li, S.; Wang, Y.; et al. Recent Progress in Quantum Photonic Chips for Quantum Communication and Internet. Light Sci. Appl. 2023, 12, 175. [Google Scholar] [CrossRef] [PubMed]
- Tran, M.A.; Zhang, C.; Morin, T.J.; Chang, L.; Barik, S.; Yuan, Z.; Lee, W.; Kim, G.; Malik, A.; Zhang, Z.; et al. Extending the Spectrum of Fully Integrated Photonics to Submicrometre Wavelengths. Nature 2022, 610, 54–60. [Google Scholar] [CrossRef] [PubMed]
- Chanana, A.; Larocque, H.; Moreira, R.; Carolan, J.; Guha, B.; Melo, E.G.; Anant, V.; Song, J.; Englund, D.; Blumenthal, D.J.; et al. Ultra-Low Loss Quantum Photonic Circuits Integrated with Single Quantum Emitters. Nat. Commun. 2022, 13, 7693. [Google Scholar] [CrossRef] [PubMed]
- Xiang, C.; Jin, W.; Bowers, J.E. Silicon Nitride Passive and Active Photonic Integrated Circuits: Trends and Prospects. Photonics Res. 2022, 10, A82. [Google Scholar] [CrossRef]
- Xiang, C.; Guo, J.; Jin, W.; Wu, L.; Peters, J.; Xie, W.; Chang, L.; Shen, B.; Wang, H.; Yang, Q.-F.; et al. High-Performance Lasers for Fully Integrated Silicon Nitride Photonics. Nat. Commun. 2021, 12, 6650. [Google Scholar] [CrossRef]
- Wei, W.-Q.; He, A.; Yang, B.; Wang, Z.-H.; Huang, J.-Z.; Han, D.; Ming, M.; Guo, X.; Su, Y.; Zhang, J.-J.; et al. Monolithic Integration of Embedded III-V Lasers on SOI. Light Sci. Appl. 2023, 12, 84. [Google Scholar] [CrossRef]
- Smith, J.A.; Jevtics, D.; Guilhabert, B.; Dawson, M.D.; Strain, M.J. Hybrid Integration of Chipscale Photonic Devices Using Accurate Transfer Printing Methods. Appl. Phys. Rev. 2022, 9, 041317. [Google Scholar] [CrossRef]
- Jimenez Gordillo, O.A.; Chaitanya, S.; Chang, Y.-C.; Dave, U.D.; Mohanty, A.; Lipson, M. Plug-and-Play Fiber to Waveguide Connector. Opt. Express 2019, 27, 20305–20310. [Google Scholar] [CrossRef]
- Marchetti, R.; Lacava, C.; Carroll, L.; Gradkowski, K.; Minzioni, P. Coupling Strategies for Silicon Photonics Integrated Chips. Photonics Res. 2019, 7, 201–239. [Google Scholar] [CrossRef]
- Papes, M.; Cheben, P.; Benedikovic, D.; Schmid, J.H.; Pond, J.; Halir, R.; Ortega-Moñux, A.; Wangüemert-Pérez, G.; Ye, W.N.; Xu, D.-X.; et al. Fiber-Chip Edge Coupler with Large Mode Size for Silicon Photonic Wire Waveguides. Opt. Express 2016, 24, 5026–5038. [Google Scholar] [CrossRef] [PubMed]
- Barwicz, T.; Peng, B.; Leidy, R.; Janta-Polczynski, A.; Houghton, T.; Khater, M.; Kamlapurkar, S.; Engelmann, S.; Fortier, P.; Boyer, N.; et al. Integrated Metamaterial Interfaces for Self-Aligned Fiber-to-Chip Coupling in Volume Manufacturing. IEEE J. Sel. Top. Quantum Electron. 2019, 25, 1–13. [Google Scholar] [CrossRef]
- Mu, X.; Wu, S.; Cheng, L.; Fu, H.Y. Edge Couplers in Silicon Photonic Integrated Circuits: A Review. Appl. Sci. 2020, 10, 1538. [Google Scholar] [CrossRef]
- Corning SMF-28 Ultra Optical Fibers. Available online: https://www.corning.com/optical-communications/worldwide/en/home/products/fiber/optical-fiber-products/smf-28-ultra.html (accessed on 21 August 2023).
- Korček, R.; Cheben, P.; Fraser, W.; Schmid, J.H.; Milanizadeh, M.; Alonso-Ramos, C.; Ye, W.N.; Benedikovič, D. Low-Loss Grating Coupler Based on Inter-Layer Mode Interference in a Hybrid Silicon Nitride Platform. Opt. Lett. 2023, 48, 4017–4020. [Google Scholar] [CrossRef]
- Mirshafiei, M.; Bérubé, J.-P.; Lessard, S.; Vallée, R.; Plant, D.V. Glass Interposer for Short Reach Optical Connectivity. Opt. Express 2016, 24, 12375–12384. [Google Scholar] [CrossRef] [PubMed]
- Poulton, C.V.; Yaacobi, A.; Cole, D.B.; Byrd, M.J.; Raval, M.; Vermeulen, D.; Watts, M.R. Coherent solid-state LIDAR with silicon photonic optical phased arrays. Opt. Lett. 2017, 42, 4091–4094. [Google Scholar] [CrossRef] [PubMed]
- Vermeulen, D.; Poulton, C.V. Optical Interfaces for Silicon Photonic Circuits. Proc. IEEE 2018, 106, 2270–2280. [Google Scholar] [CrossRef]
- Vivien, L.; Pavesi, L. Handbook of Silicon Photonics; CRC Press: Boca Raton, FL, USA, 2013. [Google Scholar]
- Chrostowski, L.; Hochberg, M. Silicon Photonics Design: From Devices to Systems; Cambridge University Press: Cambridge, UK, 2015. [Google Scholar]
- Bucio, T.D.; Lacava, C.; Clementi, M.; Faneca, J.; Skandalos, I.; Baldycheva, A.; Galli, M.; Debnath, K.; Petropoulos, P.; Gardes, F. Silicon Nitride Photonics for the Near-Infrared. IEEE J. Sel. Top. Quantum Electron. 2020, 26, 8200613. [Google Scholar] [CrossRef]
- Gardes, F.; Shooa, A.; De Paoli, G.; Skandalos, I.; Ilie, S.; Rutirawut, T.; Talataisong, W.; Faneca, J.; Vitali, V.; Hou, Y.; et al. A Review of Capabilities and Scope for Hybrid Integration Offered by Silicon-Nitride-Based Photonic Integrated Circuits. Sensors 2022, 22, 4227. [Google Scholar] [CrossRef]
- Tamir, T.; Peng, S.T. Analysis and Design of Grating Couplers. Appl. Phys. 1977, 14, 235–254. [Google Scholar] [CrossRef]
- Li, C.; Zhang, H.; Yu, M.; Lo, G.Q. CMOS-Compatible High Efficiency Double-Etched Apodized Waveguide Grating Coupler. Opt. Express 2013, 21, 7868. [Google Scholar] [CrossRef]
- Chen, X.; Tsang, H.K. Nanoholes Grating Couplers for Coupling Between Silicon-on-Insulator Waveguides and Optical Fibers. IEEE Photonics J. 2009, 1, 184–190. [Google Scholar] [CrossRef]
- Korček, R.; Medina Quiroz, D.; Wilmart, Q.; Edmond, S.; Cheben, P.; Vivien, L.; Alonso-Ramos, C.; Benedikovič, D. Library of Single-Etch Silicon Nitride Grating Couplers for Low-Loss and Fabrication-Robust Fiber-Chip Interconnection. Sci. Rep. 2023, 13, 17467. [Google Scholar] [CrossRef] [PubMed]
- Lomonte, E.; Stappers, M.; Krämer, L.; Pernice, W.H.P.; Lenzini, F. Scalable and Efficient Grating Couplers on Low-Index Photonic Platforms Enabled by Cryogenic Deep Silicon Etching. Sci. Rep. 2024, 14, 4256. [Google Scholar] [CrossRef] [PubMed]
- Oton, C.J. Long-Working-Distance Grating Coupler for Integrated Optical Devices. IEEE Photonics J. 2016, 8, 2700208. [Google Scholar] [CrossRef]
- Cheng, L.; Mao, S.; Li, Z.; Han, Y.; Fu, H.Y. Grating Couplers on Silicon Photonics: Design Principles, Emerging Trends and Practical Issues. Micromachines 2020, 11, 666. [Google Scholar] [CrossRef]
- Lim, A.E.-J.; Song, J.; Fang, Q.; Li, C.; Tu, X.; Duan, N.; Chen, K.K.; Tern, R.P.-C.; Liow, T.-Y. Review of Silicon Photonics Foundry Efforts. IEEE J. Sel. Top. Quantum Electron. 2014, 20, 405–416. [Google Scholar] [CrossRef]
- Zhao, X.; Li, D.; Zeng, C.; Gao, G.; Huang, Z.; Huang, Q.; Wang, Y.; Xia, J. Compact Grating Coupler for 700-Nm Silicon Nitride Strip Waveguides. J. Light. Technol. 2016, 34, 1322–1327. [Google Scholar] [CrossRef]
- Siew, S.Y.; Li, B.; Gao, F.; Zheng, H.Y.; Zhang, W.; Guo, P.; Xie, S.W.; Song, A.; Dong, B.; Luo, L.W.; et al. Review of Silicon Photonics Technology and Platform Development. J. Light. Technol. 2021, 39, 4374–4389. [Google Scholar] [CrossRef]
- Applied Nanotools Inc. Available online: https://www.appliednt.com/ (accessed on 1 November 2023).
- Romero-García, S.; Merget, F.; Zhong, F.; Finkelstein, H.; Witzens, J. Visible Wavelength Silicon Nitride Focusing Grating Coupler with AlCu/TiN Reflector. Opt. Lett. 2013, 38, 2521–2523. [Google Scholar] [CrossRef] [PubMed]
- Benedikovic, D.; Cheben, P.; Schmid, J.H.; Xu, D.-X.; Lamontagne, B.; Wang, S.; Lapointe, J.; Halir, R.; Ortega-Moñux, A.; Janz, S.; et al. Subwavelength Index Engineered Surface Grating Coupler with Sub-Decibel Efficiency for 220-Nm Silicon-on-Insulator Waveguides. Opt. Express 2015, 23, 22628–22635. [Google Scholar] [CrossRef] [PubMed]
- Zou, J.; Yu, Y.; Ye, M.; Liu, L.; Deng, S.; Zhang, X. Ultra Efficient Silicon Nitride Grating Coupler with Bottom Grating Reflector. Opt. Express 2015, 23, 26305–26312. [Google Scholar] [CrossRef] [PubMed]
- Nambiar, S.; Ranganath, P.; Kallega, R.; Selvaraja, S.K. High Efficiency DBR Assisted Grating Chirp Generators for Silicon Nitride Fiber-Chip Coupling. Sci. Rep. 2019, 9, 18821. [Google Scholar] [CrossRef] [PubMed]
- Hong, J.; Spring, A.M.; Qiu, F.; Yokoyama, S. A High Efficiency Silicon Nitride Waveguide Grating Coupler with a Multilayer Bottom Reflector. Sci. Rep. 2019, 9, 12988. [Google Scholar] [CrossRef]
- Chen, X.; Thomson, D.J.; Crudginton, L.; Khokhar, A.Z.; Reed, G.T. Dual-etch apodised grating couplers for efficient fibre-chip coupling near 1310 nm wavelength. Opt. Express 2017, 25, 17864–17871. [Google Scholar] [CrossRef]
- Watanabe, T.; Ayata, M.; Koch, U.; Fedoryshyn, Y.; Leuthold, J. Perpendicular Grating Coupler Based on a Blazed Antiback-Reflection Structure. J. Light. Technol. 2017, 35, 4663–4669. [Google Scholar] [CrossRef]
- Benedikovic, D.; Alonso-Ramos, C.; Guerber, S.; Le Roux, X.; Cheben, P.; Dupré, C.; Szelag, B.; Fowler, D.; Cassan, É.; Marris-Morini, D.; et al. Sub-Decibel Silicon Grating Couplers Based on L-Shaped Waveguides and Engineered Subwavelength Metamaterials. Opt. Express 2019, 27, 26239–26250. [Google Scholar] [CrossRef]
- Guo, R.; Zhang, S.; Gao, H.; Senthil Murugan, G.; Liu, T.; Cheng, Z. Blazed Subwavelength Grating Coupler. Photonics Res. 2023, 11, 189–195. [Google Scholar] [CrossRef]
- Notaros, J.; Pavanello, F.; Wade, M.T.; Gentry, C.M.; Atabaki, A.; Alloatti, L.; Ram, R.J.; Popović, M.A. Ultra-Efficient CMOS Fiber-to-Chip Grating Couplers. In Proceedings of the Optical Fiber Communication Conference; OSA: Washington, DC, USA, 2016; p. M2I.5. [Google Scholar]
- Michaels, A.; Yablonovitch, E. Inverse Design of near Unity Efficiency Perfectly Vertical Grating Couplers. Opt. Express 2018, 26, 4766–4779. [Google Scholar] [CrossRef]
- Ong, E.W.; Fahrenkopf, N.M.; Coolbaugh, D.D. SiNx Bilayer Grating Coupler for Photonic Systems. OSA Contin. 2018, 1, 13–25. [Google Scholar] [CrossRef]
- Roelkens, G.; Van Thourhout, D.; Baets, R. High Efficiency Silicon-on-Insulator Grating Coupler Based on a Poly-Silicon Overlay. Opt. Express 2006, 14, 11622–11630. [Google Scholar] [CrossRef] [PubMed]
- Vermeulen, D.; Selvaraja, S.; Verheyen, P.; Lepage, G.; Bogaerts, W.; Absil, P.; Van Thourhout, D.; Roelkens, G. High-Efficiency Fiber-to-Chip Grating Couplers Realized Using an Advanced CMOS-Compatible Silicon-On-Insulator Platform. Opt. Express 2010, 18, 18278–18283. [Google Scholar] [CrossRef] [PubMed]
- Yang, S.; Zhang, Y.; Baehr-Jones, T.; Hochberg, M. High Efficiency Germanium-Assisted Grating Coupler. Opt. Express 2014, 22, 30607–30612. [Google Scholar] [CrossRef] [PubMed]
- Fowler, D.R.; Wilmart, Q.; Garcia, S.; Olivier, S.; Szelag, B. Fiber Grating Couplers for Optical Access via the Chip Backside. J. Light. Technol. 2021, 39, 557–561. [Google Scholar] [CrossRef]
- Chmielak, B.; Suckow, S.; Parra, J.; Duarte, V.C.; Mengual, T.; Piqueras, M.A.; Giesecke, A.L.; Lemme, M.C.; Sanchis, P. High-Efficiency Grating Coupler for an Ultralow-Loss Si3N4-Based Platform. Opt. Lett. 2022, 47, 2498–2501. [Google Scholar] [CrossRef] [PubMed]
- Mak, J.C.C.; Sacher, W.D.; Ying, H.; Luo, X.; Lo, P.G.-Q.; Poon, J.K.S. Multi-Layer Silicon Nitride-on-Silicon Polarization-Independent Grating Couplers. Opt. Express 2018, 26, 30623–30633. [Google Scholar] [CrossRef]
- Vitali, V.; Lacava, C.; Domínguez Bucio, T.; Gardes, F.Y.; Petropoulos, P. Highly Efficient Dual-Level Grating Couplers for Silicon Nitride Photonics. Sci. Rep. 2022, 12, 15436. [Google Scholar] [CrossRef]
- Kohli, M.; Chelladurai, D.; Vukovic, B.; Moor, D.; Bisang, D.; Keller, K.; Messner, A.; Buriakova, T.; Zervas, M.; Fedoryshyn, Y.; et al. C- and O-Band Dual-Polarization Fiber-to-Chip Grating Couplers for Silicon Nitride Photonics. ACS Photonics 2023, 10, 3366–3373. [Google Scholar] [CrossRef]
- Cheng, L.; Mao, S.; Mu, X.; Wu, S.; Fu, H.Y. Dual-Wavelength-Band Multiplexed Grating Coupler on Multilayer SiN-on-SOI Photonic Integrated Platform. In Proceedings of the Conference on Lasers and Electro-Optics; Optica Publishing Group: Washington, DC, USA, 2020; pp. 1–2. [Google Scholar]
- Kohli, M.; Chelladurai, D.; Buriakova, T.; Moor, D.; Eppenberger, M.; Zervas, M.; Fedoryshyn, Y.; Koch, U.; Leuthold, J. Efficient Polarization-Insensitive O-Band Grating Couplers for Silicon Nitride. In Proceedings of the Optica Advanced Photonics Congress 2022, Maastricht, The Netherlands, 24–28 July 2022. [Google Scholar]
- Cao, L.; Aboketaf, A.; Wang, Z.; Preble, S. Hybrid Amorphous Silicon (a-Si:H)–LiNbO3 Electro-Optic Modulator. Opt. Commun. 2014, 330, 40–44. [Google Scholar] [CrossRef]
- Kang, J.; Takagi, S.; Takenaka, M. Ge Photodetector Monolithically Integrated with Amorphous Si Waveguide on Wafer-Bonded Ge-on-Insulator Substrate. Opt. Express 2018, 26, 30546–30555. [Google Scholar] [CrossRef] [PubMed]
- Hosseinnia, A.H.; Atabaki, A.H.; Eftekhar, A.A.; Adibi, A. High-Quality Silicon on Silicon Nitride Integrated Optical Platform with an Octave-Spanning Adiabatic Interlayer Coupler. Opt. Express 2015, 23, 30297–30307. [Google Scholar] [CrossRef]
- Georgieva, G.; Mai, C.; Seiler, P.M.; Peczek, A.; Zimmermann, L. Dual-Polarization Multiplexing Amorphous Si:H Grating Couplers for Silicon Photonic Transmitters in the Photonic BiCMOS Backend of Line. Front. Optoelectron. 2022, 15, 13. [Google Scholar] [CrossRef]
- Cheben, P.; Halir, R.; Schmid, J.H.; Atwater, H.A.; Smith, D.R. Subwavelength Integrated Photonics. Nature 2018, 560, 565–572. [Google Scholar] [CrossRef] [PubMed]
- Ansys. Available online: https://www.ansys.com/ (accessed on 16 July 2023).
- Halir, R.; Ortega-Moñux, A.; Benedikovic, D.; Mashanovich, G.Z.; Wangüemert-Pérez, J.G.; Schmid, J.H.; Molina-Fernández, Í.; Cheben, P. Subwavelength-Grating Metamaterial Structures for Silicon Photonic Devices. Proc. IEEE 2018, 106, 2144–2157. [Google Scholar] [CrossRef]
- Cheben, P.; Schmid, J.H.; Halir, R.; Manuel Luque-González, J.; Gonzalo Wangüemert-Pérez, J.; Melati, D.; Alonso-Ramos, C. Recent Advances in Metamaterial Integrated Photonics. Adv. Opt. Photonics 2023, 15, 1033. [Google Scholar] [CrossRef]
- Benedikovic, D.; Berciano, M.; Alonso-Ramos, C.; Le Roux, X.; Cassan, E.; Marris-Morini, D.; Vivien, L. Dispersion Control of Silicon Nanophotonic Waveguides Using Sub-Wavelength Grating Metamaterials in near- and Mid-IR Wavelengths. Opt. Express 2017, 25, 19468–19478. [Google Scholar] [CrossRef]
- Dinh, T.T.D.; Le Roux, X.; Zhang, J.; Montesinos-Ballester, M.; Lafforgue, C.; Benedikovic, D.; Cheben, P.; Cassan, E.; Marris-Morini, D.; Vivien, L.; et al. Controlling the Modal Confinement in Silicon Nanophotonic Waveguides through Dual-Metamaterial Engineering. Laser Photon Rev. 2023, 17, 2100305. [Google Scholar] [CrossRef]
- Xu, H.; Dai, D.; Shi, Y. Ultra-Broadband and Ultra-Compact On-Chip Silicon Polarization Beam Splitter by Using Hetero-Anisotropic Metamaterials. Laser Photon Rev. 2019, 13, 1800349. [Google Scholar] [CrossRef]
- Fowler, D.; Grosse, P.; Gays, F.; Szelag, B.; Baudot, C.; Vuillet, N.; Planchot, J.; Boeuf, F. Fiber Grating Coupler Development for Si-Photonics Process Design Kits at CEA-LETI. In Proceedings of the Smart Photonic and Optoelectronic Integrated Circuits XXI; Lee, E.-H., He, S., Eds.; SPIE: Bellingham, WA, USA, 2019; p. 4. [Google Scholar]
- Zhang, C.; Sun, J.-H.; Xiao, X.; Sun, W.-M.; Zhang, X.-J.; Chu, T.; Yu, J.-Z.; Yu, Y.-D. High Efficiency Grating Coupler for Coupling between Single-Mode Fiber and SOI Waveguides. Chin. Phys. Lett. 2013, 30, 014207. [Google Scholar] [CrossRef]
- Vakarin, V.; Melati, D.; Dinh, T.T.D.; Le Roux, X.; Kan, W.K.K.; Dupré, C.; Szelag, B.; Monfray, S.; Boeuf, F.; Cheben, P.; et al. Metamaterial-Engineered Silicon Beam Splitter Fabricated with Deep UV Immersion Lithography. Nanomaterials 2021, 11, 2949. [Google Scholar] [CrossRef] [PubMed]









Disclaimer/Publisher’s Note: The statements, opinions and data contained in all publications are solely those of the individual author(s) and contributor(s) and not of MDPI and/or the editor(s). MDPI and/or the editor(s) disclaim responsibility for any injury to people or property resulting from any ideas, methods, instructions or products referred to in the content. |
© 2024 by the authors. Licensee MDPI, Basel, Switzerland. This article is an open access article distributed under the terms and conditions of the Creative Commons Attribution (CC BY) license (https://creativecommons.org/licenses/by/4.0/).
Share and Cite
Fraser, W.; Korček, R.; Glesk, I.; Litvik, J.; Schmid, J.H.; Cheben, P.; Ye, W.N.; Benedikovic, D. High-Efficiency Metamaterial-Engineered Grating Couplers for Silicon Nitride Photonics. Nanomaterials 2024, 14, 581. https://doi.org/10.3390/nano14070581
Fraser W, Korček R, Glesk I, Litvik J, Schmid JH, Cheben P, Ye WN, Benedikovic D. High-Efficiency Metamaterial-Engineered Grating Couplers for Silicon Nitride Photonics. Nanomaterials. 2024; 14(7):581. https://doi.org/10.3390/nano14070581
Chicago/Turabian StyleFraser, William, Radovan Korček, Ivan Glesk, Jan Litvik, Jens H. Schmid, Pavel Cheben, Winnie N. Ye, and Daniel Benedikovic. 2024. "High-Efficiency Metamaterial-Engineered Grating Couplers for Silicon Nitride Photonics" Nanomaterials 14, no. 7: 581. https://doi.org/10.3390/nano14070581
APA StyleFraser, W., Korček, R., Glesk, I., Litvik, J., Schmid, J. H., Cheben, P., Ye, W. N., & Benedikovic, D. (2024). High-Efficiency Metamaterial-Engineered Grating Couplers for Silicon Nitride Photonics. Nanomaterials, 14(7), 581. https://doi.org/10.3390/nano14070581

