Abstract
The soft-reset process, or a sequence of charge emissions from a floating storage node through a transistor biased in a subthreshold bias condition, is modeled by a master (Kolmogorov–Bateman) equation. The Coulomb interaction energy after each one-charge emission leads to a stepwise potential increase, giving correlated emission rates represented by Boltzmann factors. The governing probability distribution function is a hypoexponential type, and its cumulants describe characteristics of the single-charge Coulomb interaction at room temperature on a mesoscopic scale. The cumulants are further extended into a complex domain. Starting from three fundamental assumptions, i.e., the generation of non-degenerated states due to single-charge Coulomb energy, the Markovian property of each emission event, and the independence of each state, a moment function is identified as a product of mutually prime elements (algebraically termed as prime ideals) comprising the eigenvalues or the lifetimes of the emission states. Then, the algebraic structure of the moment function is found to be highly analogous to that of an integer uniquely factored into prime numbers. Treating the lifetimes as analogs of the prime numbers, two types of zeta functions are constructed. Standard analyses of the zeta functions analogous to the prime number problem or the Riemann Hypothesis are performed. For the zeta functions, the analyticity and poles are specified, and the functional equations are derived. Also, the zeta functions are found to be equivalent to the analytic extension of the cumulants. Finally, between the number of emitted charges and the lifetime, a logarithmic relation analogous to the prime number theorem is derived.
1. Introduction
Shot noise is an electromagnetic fluctuation phenomenon due to random transports of individual charges across a potential barrier [1]. Reflecting such discrete and random nature, the phenomenon is commonly modeled as a train of random pulses [2,3]. Classically, under assumptions of stationarity (constant rate of the charge emission events) and of Markovian property (memoryless and therefore independence of each state), the governing probability distribution function (PDF) is derived as the Poisson distribution [2,3]. With the recent development of image sensors with the soft-reset (SR) schemes, where a charge storage node is reset by a reset transistor (RST) biased in a subthreshold regime with the emission rate inversely proportional to an exponential of the potential between the source and the gate of the RST [4,5,6,7,8,9,10], of quantum/mesoscopic devices [11,12,13,14], and of avalanche photodiodes [15], shot noise deviating from the stationary Poisson distribution has been recognized. In many cases, the origin of the phenomenon is attributed to the Coulomb charge correlation effect. To investigate such non-stationary shot noise, the full counting statistics (FCS) method based on analyses of high-order cumulants is developed [11,12,13,14,15]. As a special case, an analytical solution of a master (Kolmogorov–Bateman (KB)) equation giving the FCS of the shot noise suppression process during the SR was reported [16,17]. There, a floating charge storage node reset by a transistor biased in a subthreshold regime rendered a correlated potential transition with an equal step height after each single carrier emission (also called a feedback effect [5,16]). The governing PDF was found to be a hypoexponential distribution function (HDF). The cumulants are sums of converging geometric series with the common ratios composed of Boltzmann factors. Thus, the analytic forms of cumulants of any order could be derived. They describe the shot noise suppression due to the successive single-charge correlation effect, according to the reported experimental results [17]. The significance of the results is that the effect is observable at room temperature in mesoscopic-scale devices. Although shot noise suppression due to a sequence of single-charge transports was formulated as an HDF with a single electron transistor (SET) network [18], it is presumably operated at a cryogenic temperature. In this paper, we extend the cumulants into a complex domain to further exploit the mathematical characteristics of the single-charge emission events. Starting from three fundamental assumptions, i.e., (i) a potential transition with an equal step height corresponding to single-charge Coulomb energy; (ii) the Markovian (memoryless) property of each emission event; and (iii) the independence of each state, an equivalent circuit model of the SR-process is presented. Then, these assumptions are shown to lead to the characteristic algebraic structures of the PDF and of its cumulants, highly analogous to those of the integer ring [19]. In particular, the special role of the lifetime (inverse of the emission rate) of each state is identified as the prime element (algebraically termed as “prime ideals”) of the moment function analogous to the prime numbers producing an integer. Then, associated zeta functions are constructed, and their analyticities and functional equations are investigated in a similar way to the prime number problem or the Riemann Hypothesis [20,21]. Finally, between the emission numbers and the lifetime, a logarithmic relation analogous to the prime number theorem (PNT) [19] is derived.
2. Summary of Derivation of the Probability Distribution Function, Cumulants, and Basic Assumptions
In this section, we summarize the basic methods of modeling the soft-reset process and derive the probability distribution function and the cumulants [16,17]. These intrinsic characteristics of the soft-reset process are extracted in order to separate the soft-reset noise from other possible noise sources such as a leakage current.
2.1. Methods of Modeling and Derivation of the Probability Distribution Function and the Cumulants
A potential diagram is illustrated in Figure 1a. Discrete electrons on a floating diffusion storage node (hereafter, called FD) are sequentially emitted over a potential barrier set by a gate voltage of an RST. After each electron emission, the voltage of the FD increases by an amount of where is the unit of charge and is the capacitance of the FD. The emission barrier voltage after the -th electron emission (regarded as the FD in the -th state) is
where is an initial barrier voltage. The RST is biased in a subthreshold regime with an emission rate in the -th state as
where is the initial emission rate. To realize the soft-reset condition, it is crucial to have a condition that . The first inequality imposes a (subthreshold) bias condition of the reset transistor where current is entirely due to thermionic emissions of charges. For example, at room temperature (RT), with sub-micron Si CMOS devices, should be higher than ~0.3 V, corresponding to slightly lower than typical PN-junction threshold voltages. The second inequality requires a sufficient number of emitted charges, resulting in an asymptotic regime where convergence of cumulants is allowed (see Equation (11) below) At RT, the condition leads to the capacitance value of 1 fF~5 fF or larger. These are realized in typical submicron (0.1 mm~0.5 mm) Si CMOS image sensors as a total capacitance of a reset transistor gate, a storage node, and a parasitic capacitance. Thus, the soft-reset conditions are inherently related to mesoscopic-scale devices. On the other hand, at a very low temperature or with very small scale-devices such as quantum dots, the conditions would break down. These aspects will be briefly discussed in Section 4.2. In order to guarantee the soft-reset conditions, in practical image sensors, the reset transistors are operated by a fast turn-on followed by a slowly and linearly switching-off pulse with a typical tail period of ~1 μs, so-called “tapered-reset” [8,10].
Figure 1.
(a) A potential diagram of an SR process. The floating voltage of the storage node increases after each electron emission by q/C. (b) A state transition diagram. (c) An equivalent RC-ladder circuit model of the SR process.
The master equation, or the KB equation, is set up as follows:
where is a probability distribution function (PDF) that, at time , the FD is in the -th state. The initial conditions are; and . Equations (3) and (4) are represented in a matrix form as follows:
where is a column vector
and the i-th-row- and the j-th-column components of the matrix operator are , , and . It is noted that is the eigenvalue of [16].
The solution of Equation (5) is To calculate , diagonalization of is performed by solving the eigenvalue equation. The final form is a hypoexponential type probability distribution function [16],
From Equation (7), the probability density function is derived as
It is noted that the notations are slightly modified from those in [16] for later use in the present work. Then, the -th state moment generating function (MGF), , is obtained by Laplace transforming Equation (8),
By differentiating -times, the -th order cumulant of the time variable, , is
where is an integer satisfying It is noted that the term associated with the numerator of the last term of Equation (9), , is constant and reduced to zero after differentiation by . The -th order, -th state cumulant represented by the number of emitted charges, , is obtained by multiplying to each term in the summation of Equation (10) as
The key point is the second equality, after which the common ratio of the geometrical series is converted to less than unity, giving the final result as a finite sum even in the limit of .
The soft-reset noise or is a well-established result obtained in the image sensor laboratories over the last quarter of a century. In particular, the origin of the pre-factor was a big mystery. The situation is referred to in references [4,5,6,7,8,9,10]. Equations (1)–(6) are confirmed to be correct when used in step-by-step simulations for in references [5,9]. However, its analytical solution was not available until references [15,16]. In [15,16], the analytical solutions of Equations (1)–(6) are confirmed to be correct for In addition, as for the pre-factor, it was not only correctly obtained but also its denominator is described as a part of a regular integer series without any adjusting parameter.
2.2. Essential Assumptions and an Equivalent Circuit Model
Fundamental assumptions in the formulation from (1) to (4) are: (i) the single-charge potential transition after each emission due to the Coulomb correlation (feedback effect [5,16]; (ii) the Markovian (memoryless) property of each emission event; and (iii) the independence of each electron emission state. Assumptions (i) and (ii) establish nondegeneracy of the states, making the state and the emitted number of charges sequentially countable as illustrated in Figure 1a (potential diagram) and in Figure 1b (state transition diagram). Assumption (ii) also gives each (-th) state an exponential decaying probability function of which MGF has a form of . Then, combined with assumption (iii), the total MGF is obtained as the product of each state’s MGF as Equation (9). The MGF of each state is equivalent to a transfer function of a series R-C circuit with the connection point of R and C being the output node. The time constant (lifetime) of the R-C circuit is . Thus, the whole sequence may be described by an R-C ladder circuit as illustrated in Figure 1c. The resistance value of the i-th state, , is obtained by equating the above two time constants, () as
Equation (12) represents an ohmic resistance with a single-charge emission voltage, , and an average current of the i-th state, . It is noted that with assumptions (ii) and (iii), one obtains a common stationary shot noise described by the Poisson distribution [2,3]. Thus, the addition of assumption (i) should produce the distinguished characteristics as explained below.
3. Results
In the following, we will show how the above three assumptions lead to the mathematical structure of the SR-process being highly analogous to prime numbers forming integers.
3.1. Lifetime of a State as a Prime Element
Assumption (iii) leads to the MGF comprising a product of algebraically “mutually prime” terms (termed as prime ideals [22]), i.e., each state’s MGF derived from assumptions (i) and (ii). Its general form is obtained as
where is a real constant and is a repetition factor of -th state. Evaluating (13) at , we obtain
where is the lifetime of the i-th state defined as
Equation (14) may be regarded as a generalized moment factored into a unique product of . The algebraic structure of Equation (14) is highly analogous to that of the integer ring; an integer number, , factored into a unique product of prime numbers, :
Thus, we may regard as a “prime element” generating the generalized moment. Formal discussions on correspondence between polynomial rings and the integer ring are made in algebra texts [22]. Then, the analytic properties of Equation (14) can be analyzed in a similar way to that developed in the prime number problem or the Riemann Hypothesis: (i) constructions of the zeta functions, (ii) investigations of their analyticity, and (iii) their functional equations [19,20,21].
3.2. Analyses of a Linear Operator Zeta Function
From eigenvalues of a linear operator, a zeta function is constructed as follows [23]:
where is a complex variable. is derived from a more fundamental Dirichlet series [24] defined as
By setting and , Equation (17) is obtained. If we set and , we obtain the Riemann zeta function for the integers as
In general, this constructed zeta function is analytic everywhere except for poles [23]. In the present case, since the explicit form of each is known as Equation (2), it is possible to analyze Equation (17) explicitly. Using the sum formula of geometric series and setting for simplicity,
where
The second equality of (20) holds for . But since the third term of (20) is analytic except for poles, the function Equation (17) is analytically extended as Equation (20) to the entire complex plane except for poles.
Expressing by complex plane coordinates,
where is the imaginary unit, the poles of are obtained by setting the denominator of Equation (20) to be zero.
Thus, all the poles are located on the imaginary axis as shown on a phase map of calculated in Figure 2. It is noted that the phase rotates around the poles, observed as the full color transition around the origin.
Figure 2.
A phase map of the zeta function, , mapped in a complex plane showing a pole located on the imaginary axis.
The characteristic behaviors of are found along the imaginary axis () and along or in parallel to the real axis () as follows. Substituting Equation (22) into Equation (20) and setting , we obtain along the imaginary axis as follows:
Thus, the real part of , , is constant, () except at poles. and the imaginary part, , are plotted in Figure 3a. At poles, is indeterminant. Such a property is found by setting in (20) giving a real function, ,
along the real axis as plotted in Figure 3b. Near , diverges positively or negatively according to the sign of . This sign inversion is also observed in Figure 2 of the phase map as the color rotation around the origin. It shows the phase rotation of after sign inversion along the horizontal axis.
Figure 3.
(a) Real (orange line) and imaginary (blue line) parts of evaluated along the imaginary (y-) axis derived as (24). At x = 0, the real part is indeterminant, represented as a white circle. (b) The real part of evaluated along the real (x-) axis derived as (25).
It is noted that for a positive integer of s = m, coincides with the m-th order cumulant, Equation (11), in the limit normalized by the order parameter as follows:
Thus, cumulants are regarded as special cases of the linear operator zeta function. Conversely, may be represented by the analytic extension of cumulants as follows:
where is the Gamma function representing the analytic extension of [25]. One could also define a zeta function, , with a finite value of k from the cumulant as
To set up a functional equation, we construct a modified zeta function, , by multiplying Equation (20) by a factor
The second equality expresses that is an odd function.
3.3. The Euler-Product-Type Zeta Function
In , Equation (7), the coefficients of exponential-time-dependent terms, an alternating function of all ’s, are the most characteristic form. The terms arise from the inverse Laplace transform of the MGF [16]. These coefficients are not considered as probabilities of some events due to possible sign reversal depending on the value of [26]. However, interpretation based on time-integrated probability rate allowing both positive and negative contributions is possible as follows. First, from Equations (3) and (4) and the initial conditions, we obtain
Taking account of Equations (4), (30), and (31) leads to
where acting as an integration time or an effective lifetime with the effective emission rate of . Thus, the first term is regarded as the “variation rate of integrated over the period ”. Similarly, the second term is interpreted as follows: describes an increasing rate of the probability of staying in the 1-st state () due to the escape rate () from the 0-th state integrated over . Similarly, a general term, , describes “the variation rate of the i-th state probability due to variation in the j-th state probability integrated over the effective lifetime, ”. Thus, successive transitions described by Equation (3) lead to the product term representing the weight of the contribution from the other states to the i-th state.
Now, we investigate the coefficient of the k-th term of the PDF as a fundamental term. Using Equations (2) and (15), and by assuming , the expression is modified as follows:
Equation (33) is formally identical to the Euler product, , of the integers by replacing with , the i-th prime number [19],
Because , is a product of converging geometric series,
In the limit, on expanding Equation (35), one finds any middle term in Equation (14). This parallels with the fact that any inverse of integer is generated by expanding Equation (34) in the limit because of Equation (16) indicating the correspondence between and .
By extending the exponent to a complex domain, s, and taking the limit, we obtain a zeta function of the Euler product form as
The second equality is due to Equation (2), and is defined by Equation (21). Using Equations (20) and (36), it can be expressed as a product of ’s,
In the same way as is analyzed, we specify the locations of poles. By setting the denominator of Equation (36) to be zero, the poles are obtained as
Thus, all the poles are located on the imaginary axis with shorter separations (divided by i) than those of . A calculated phase map of with i = 4 is shown in Figure 4. The poles with y0 are indicated by arrows on the right side together with the pairs of parameters, () specified by Equation (38). The number of the pairs corresponds to the order of the pole. For instance, the order of the pole at the origin is four, consistent with the observed four times full color transitions. In Appendix A, an alternative derivation of Equation (36) from a formal definition of the zeta function of a matrix [21] is outlined.
Figure 4.
A phase map of the zeta function, , mapped in a complex plane showing poles located on the imaginary axis. The poles with y 0 are indicated by arrows together with the pairs of indices, (), specified by Equation (38).
As for the functional equation, since we find is an odd function, Equations (29) and (37) are indeterminant in the limit . For a finite value, defining as
the following functional equation dependent on is obtained:
Finally, it is noted that , Equation (37), may be expressed by cumulants by formally substituting for in Equation (27),
4. Discussion
4.1. Correspondence Between the Prime Number Problem and the Soft-Reset Statistics
The main results of the previous sections are summarized from the first to the fifth rows of Table 1. It is noted that the zeta functions of the soft-reset are found to be equivalent to the analytic extension of the cumulants of the PDF (4th row). As a special case of (6th row), the soft-reset noise problem formally corresponds to the Basel problem, i.e., the infinite sum of the inverse square of the integers approaching [27].
Table 1.
Correspondence between prime numbers and the soft-reset.
Finally, the PNT states that [19,20], for a large integer , the number of the primes not exceeding , denoted commonly as , is approximately given as
The corresponding description in the soft-reset problem is described as follows: in a given “sufficiently long” period of time, t, so that t is approximated as , and that the effect of can be neglected or approximated as = 1, the number of the occurrences of the prime elements (periods) or of the emitted electrons during the period t is k. From Equations (2), (15), and (21),
Therefore, the correspondence of the PNT is obtained as the average lifetime of one emission event, ,
which has an identical form with Equation (42) apart from the scaling factor , as listed at the bottom row of Table 1.
It is also noted that Equation (43) can be directly obtained from the solution of the diode equation, Equation (35) of Ref. [16], reproduced as
With the approximation and one obtains Equation (43). Therefore, the solution of the diode decay equation [28] is equivalent to the analog of the PNT. Conversely, the analog of the PNT, Equation (42), is reproduced by the measurable quantities of the SR-process, and time. The significance of Equation (45) is that the time axis is factored into “countable prime elements ()” holding the identical relation to the PNT Equation (42).
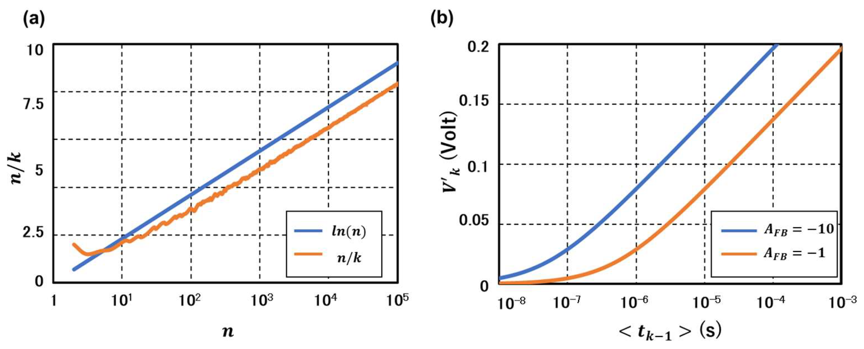
In Figure 5a, curves of calculated from Equation (42) (blue) and from the actual integers and the prime numbers (orange) are plotted. The blue line is simply , representing the orange curve well except for the low (<~20) range. In Figure 5b, a curve calculated from Equation (44) (orange) is plotted. For a long time region (≥~ s), a logarithmic dependence of the curve similar to those plotted in Figure 5a is observed as expected from Equation (44). In addition, the blue curve is obtained with an effective feedback gain of 10 or the parameter replaced by in Equation (44) [16]. Since the asymptotic regime starts from a much earlier time, ~ s, the larger feedback gain is confirmed to give a much shorter reset period, representing the effect of the feedback noise suppression [16]. It is also noted that the increase in at any time of the blue curve reflects the increased stored charge due to increased feedback gain.
Figure 5.
(a) Blue curve: a natural log plot of integers from 2 to 105 representing n/k where k is the suffix of prime numbers. Orange curve: Plot of n/k obtained from the actual integers and prime numbers. (b) Time dependent during a soft-reset calculated from (45). The orange curve is for the case of single-charge correlation only. The blue curve is calculated with an external negative feedback circuit.
4.2. Generality and Limitations of the Present Assumptions in Mesoscopic Devices
The appearance of the Euler product, Equation (33), is due to the non-degeneracy of the eigenvalues of the matrix operator in Equation (5). The physical origin of the term is firstly ascribed to the Coulomb (correlation) interaction of a single charge with the surrounding dielectric medium represented by a capacitance (assumption (i) in Section 2.2). Then, the Markovian property (assumption (ii)) and the independence (assumption (iii)) of the emission process led to the difference-product form. Such a term would be a general description for charges in a weakly interacting regime where charges can be modeled only by Coulomb’s law [29]; any energy level or position is occupied only by a single charge at the same time. The corresponding charge concentration is typically 1018~1020 cm−3. These conditions are met by many mesoscopic devices, such as those based on two-dimensional electron gas (2DEG). A typical example is a wave function () of the quantum Hall effect (QHE) consisting of a coefficient of a non-interacting part () multiplied by a difference-product of positions () describing the interacting electrons [29],
where is the number of the magnetic flux quanta associated with a charge. It is noted that, apart from the degeneracy due to the flux quanta (), terms in the difference product are mutually prime, to which similar discussions as above could be applicable. Considering these common structures, the present analyses would be useful in specifying each charge or counting the number of charges in the Coulomb interacting charge systems.
Finally, we mention the limitations of the present analysis set by the condition specified in Section 2.1, i.e., . If the device scale were reduced to much smaller than the mesoscopic regime or less than a 10 nm scale, the effective single-charge energy would be much larger than the assumed one (≲150 mV), resulting in a barrier height increase with a much smaller number of emissions. In such cases, the approximation taken by the asymptotic regime, i.e., the limit, is not valid. Physically, this means that the noise suppression or cumulants convergence effect would not be effective. Thus, the present analyses are indeed closely related to submicron-scale devices operated at RT.
5. Conclusions
The single-charge correlation effect during the SR is described as the cumulants of the governing PDF at room temperature. They are extended to a complex domain identified as the zeta functions. The three fundamental assumptions, i.e., single-charge correlation energy, the Markovian property of each charge emission event, and the independence of each state, lead to an equivalent circuit model (Figure 1c) and to the generalized moment function generated by the lifetimes of the states identified as the prime elements in Equation (14). Following the standard analyses in the prime number problem, two types of zeta functions are constructed and investigated. They are found to be analytic except for poles—Equations (20) and (36). Functional equations are found as Equations (29) and (40). Also, the zeta functions are found to be expressed by analytic extension of the cumulants—Equations (27), (28), and (41). The characteristic Euler products in the PDF are interpreted as the probability change rate integrated by an effective lifetime of each emission state—Equation (32). Finally, between and , an analog of the PNT is found as Equations (43) and (44). Thus, the algebraic structure of the cumulants and the analytic properties of the associated zeta functions are found to be highly analogous to those of the prime number problem of the integers (Table 1).
Funding
This research received no external funding.
Data Availability Statement
The data presented in this study are not available due to privacy concerns.
Acknowledgments
The author is grateful to Tanaka, Katayama, and Odagawa for their encouragements.
Conflicts of Interest
Author Yutaka Hirose is employed by Panasonic Industry Co., Ltd.
Abbreviations
The following abbreviations are used in this manuscript:
| SR | Soft-Reset |
| Probability Distribution Function | |
| HDF | Hypoexponential Distribution Function |
| KB | Kolmogorov–Bateman |
| PNT | Prime Number Theorem |
| FD | Floating Diffusion |
| MGF | Moment Generating Function |
| SET | Single Electron Transistor |
Appendix A. Derivation of from Its Definition
, Equation (36), can be derived from its definition as follows. The zeta function of a matrix , , is defined as [21],
where is an identity matrix and is given in Equation (5). Using the diagonalization matrix, and , given as (A5) and (A9) in Ref. [16], respectively,
Because is a diagonal matrix with the j-th column (row) element of , is obtained as
For the second equality in (A3), relation Equation (2) is used. By mapping the variable from to , such that is satisfied, is also mapped to as
Rewriting as , we obtain as Equation (36).
References
- Van der Ziel, A. Noise, Sources, Characterization, Measurement; Prentice-Hall, Inc.: Englewood Cliffs, NJ, USA, 1970; p. 89. [Google Scholar]
- Gardiner, C.W. Handbook of Stochastic Methods, 2nd ed.; Springer: Berlin/Heidelberg, Germany, 1996; pp. 11–15. [Google Scholar]
- Papoulis, A. Probability Random Variables and Stochastic Processes; McGraw-Hill: New York, NY, USA, 1991; pp. 629–632. [Google Scholar]
- Thornber, K.K. Theory of Noise in Charge-Transfer Devices. Bell Syst. Tech. J. 1974, 53, 1211–1262. [Google Scholar] [CrossRef]
- Pain, B.; Yang, G.; Ortiz, M.; Wrigley, C.; Hancock, B.; Cunningham, T. Analysis and Enhancement of Lowlight-Level Performance of Photodiode-Type CMOS Active Pixel Imagers with Sub-Threshold Reset. In Proceedings of the IEEE Workshop Charge-Coupled Devices and Advanced Image Sensors, Nagano, Japan, 10–12 June 1999; pp. 140–143. [Google Scholar]
- Tian, H.; Fowler, B.; Gamal, A.E. Analysis of temporal noise in CMOS photodiode active pixel sensor. IEEE J. Solid-State Circuits 2001, 36, 92–101. [Google Scholar] [CrossRef]
- Fossum, E.R. Charge Transfer Noise and Lag in CMOS Active Pixel Sensors. In Proceedings of the IEEE Workshop Charge-Coupled Devices and Advanced Image Sensors, Bavaria, Germany, 15–17 May 2003; pp. 11–13. [Google Scholar]
- Teranishi, N. Analysis of subthreshold current reset noise in image sensors. Sensors 2016, 18, 663. [Google Scholar] [CrossRef]
- Shioyama, Y.; Matsunaga, Y.; Hatori, F.; Tango, H.; Yoshida, O. Analysis of random noise in STACK-CCD sensor. ITE J. 1994, 48, 194–199. (In Japanese) [Google Scholar]
- Ishii, M.; Kasuga, S.; Yazawa, K.; Sakata, Y.; Okino, T.; Sato, Y. An Ultra-low Noise Photoconductive Film Image Sensor with a High-speed Column Feedback Amplifier Noise Canceller. In Proceedings of the 2013 Symposium on VLSI Circuits, Kyoto, Japan, 12–14 June 2013; pp. 647–648. [Google Scholar]
- Altland, A.; Simons, B. Condensed Matter Field Theory, 2nd ed.; Cambridge University Press: Cambridge, UK, 2010; pp. 745–752. [Google Scholar]
- Levitov, L.S. The Statistical Theory of Mesoscopic Noise. In Quantum Noise in Mesoscopic Physics; Nazarov, Y.V., Ed.; NATO Science Series; Springer: Dordrecht, The Netherlands, 2003; Volume 97, pp. 373–396. [Google Scholar] [CrossRef][Green Version]
- Belzig, W. Full counting statistics in quantum contacts. In CFN Lectures on Functional Nanostructures, Vol. 1; Lecture Notes in Physics; Busch, K., Powell, A., Röthig, C., Schön, G., Weissmüller, J., Eds.; Springer: Berlin/Heidelberg, Germany, 2004; Volume 658, pp. 123–143. [Google Scholar] [CrossRef]
- Honeychurch, T.D.; Kosov, D.S. Full counting statistics for electron transport in periodically driven quantum dots. Phys. Rev. B 2020, 102, 195409. [Google Scholar] [CrossRef]
- Gabelli, J.; Reulet, B. Full counting statistics of avalanche transport: An experiment. Phys. Rev. B 2009, 80, 161203. [Google Scholar] [CrossRef]
- Hirose, Y. Suppression of shot noise during the soft reset by cascaded transitions on a potential ladder with single-carrier charging steps. IEEE Trans. Electron Devices 2021, 68, 1723–1729. [Google Scholar] [CrossRef]
- Hirose, Y. Full Counting Statistics of the Soft-Reset Process. IEEE Trans. Electron Devices 2023, 70, 5769–5777. [Google Scholar] [CrossRef]
- Babiker, S. Shot Noise in Single-Electron Tunneling Systems: A Semiclassical Model. IEEE Trans. Nanotech. 2011, 10, 1191–1195. [Google Scholar] [CrossRef]
- Hardy, G.H.; Wright, E.M. THE SERIES OF PRIMES. In An Introduction to the Theory of Numbers, 6th ed.; Oxford University Press: Oxford, UK, 2008; pp. 1–13. [Google Scholar]
- Conrey, J.B. The Riemann Hypothesis. Not. AMS 2003, 50, 341–353. [Google Scholar]
- Kurokawa, N. Riemann and Number Theory; Kyoritsu Shuppan: Tokyo, Japan, 2014; pp. 22–29. (In Japanese) [Google Scholar]
- Silverman, J.H. Abstract Algebra An Integrated Approach; American Mathematical Society: Providence, RI, USA, 2022; pp. 110–116. [Google Scholar]
- Hawking, S.W. Zeta Function Regularization of Path Integrals in Curved Spacetime. Commun. Math. Phys. 1977, 55, 133–148. [Google Scholar] [CrossRef]
- Zagier, D.B. Zetafunktionen und quadratiche Körper; Springer: Berlin/Heidelberg, Germany, 1981; pp. 1–2. (In German) [Google Scholar]
- Arfken, G.B.; Weber, H.J. Mathematical Methods for Physics, 4th ed.; Academic Press: San Diego, CA, USA, 1995; p. 595. [Google Scholar]
- Ross, S.M. Introduction to Probability Models, 11th ed.; Academic Press: Oxford, UK, 2014; p. 296. [Google Scholar]
- Hardy, G.H.; Wright, E.M. Higher powers. In An Introduction to the Theory of Numbers, 6th ed.; Oxford University Press: Oxford, UK, 2008; p. 320. [Google Scholar]
- Teranishi, N.; Kohono, A.; Ishihara, Y.; Oda, E.; Arai, K. No image lag photodiode structure in the interline CCD image sensor. In Proceedings of the International Electron Devices Meeting (IEDM), San Francisco, CA, USA, 13–15 December 1982; pp. 324–327. [Google Scholar] [CrossRef]
- Jain, J.K. The Composite Fermion: A Quantum Particle and Its Quantum Fluids. Phys. Today 2000, 53, 39–45. [Google Scholar] [CrossRef]
Disclaimer/Publisher’s Note: The statements, opinions and data contained in all publications are solely those of the individual author(s) and contributor(s) and not of MDPI and/or the editor(s). MDPI and/or the editor(s) disclaim responsibility for any injury to people or property resulting from any ideas, methods, instructions or products referred to in the content. |
© 2025 by the author. Licensee MDPI, Basel, Switzerland. This article is an open access article distributed under the terms and conditions of the Creative Commons Attribution (CC BY) license (https://creativecommons.org/licenses/by/4.0/).




