Antimicrobial Effectiveness of Ribes nigrum L. Leaf Extracts Prepared in Natural Deep Eutectic Solvents (NaDESs)
Abstract
1. Introduction
2. Results
2.1. Design of Experiments
2.1.1. Outcomes from the Experimental Matrix and Fitting the Data with the Models
2.1.2. The Influence of Experimental Conditions on Dependent Variables
2.1.3. Evaluation of Optimal Experimental Conditions to Obtain Extracts Rich in Phytochemicals
2.2. Phenolic Content, Flavonoid Content, and Antioxidant Activity
2.3. Phytochemical Analysis by LC–MS
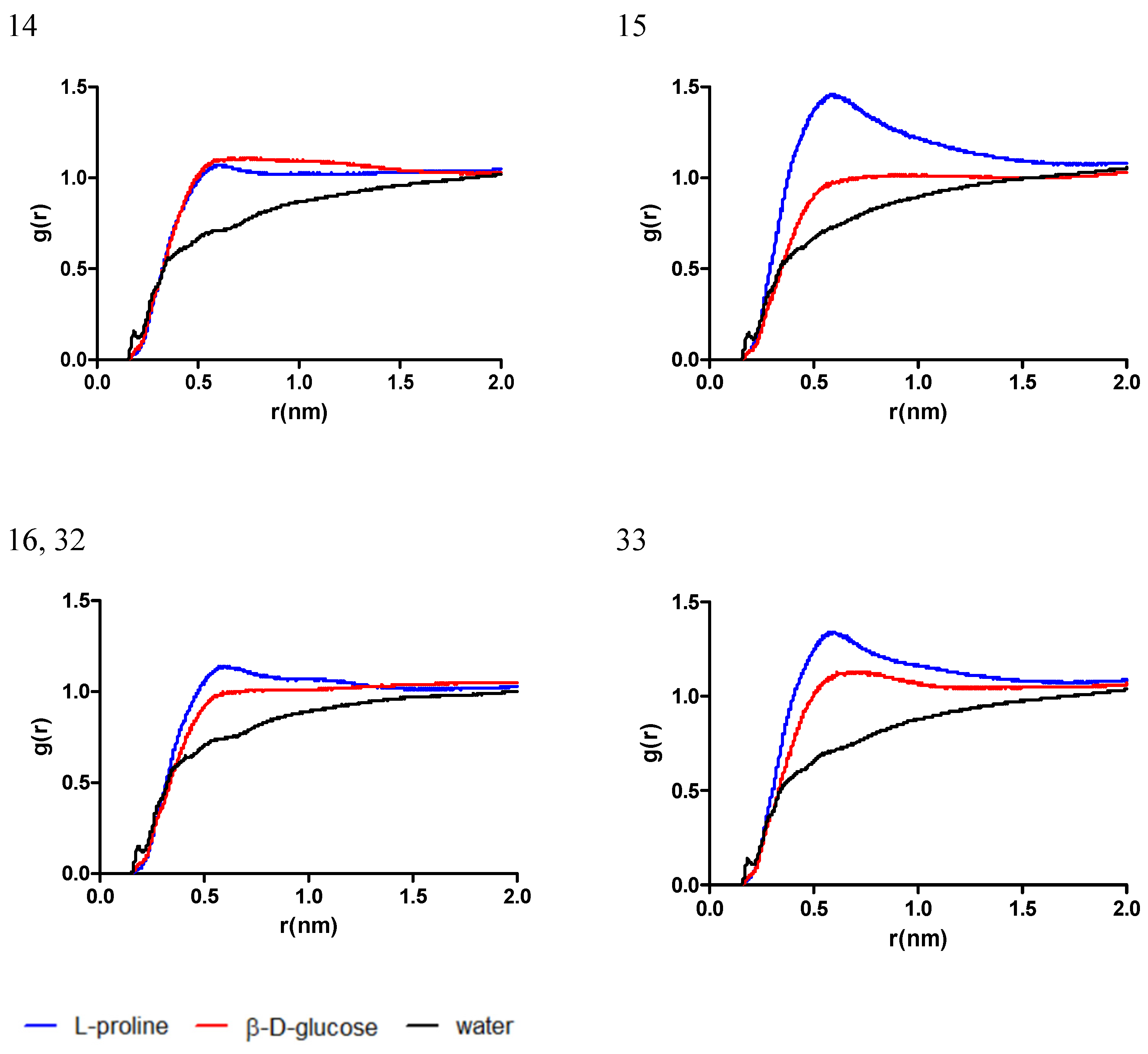
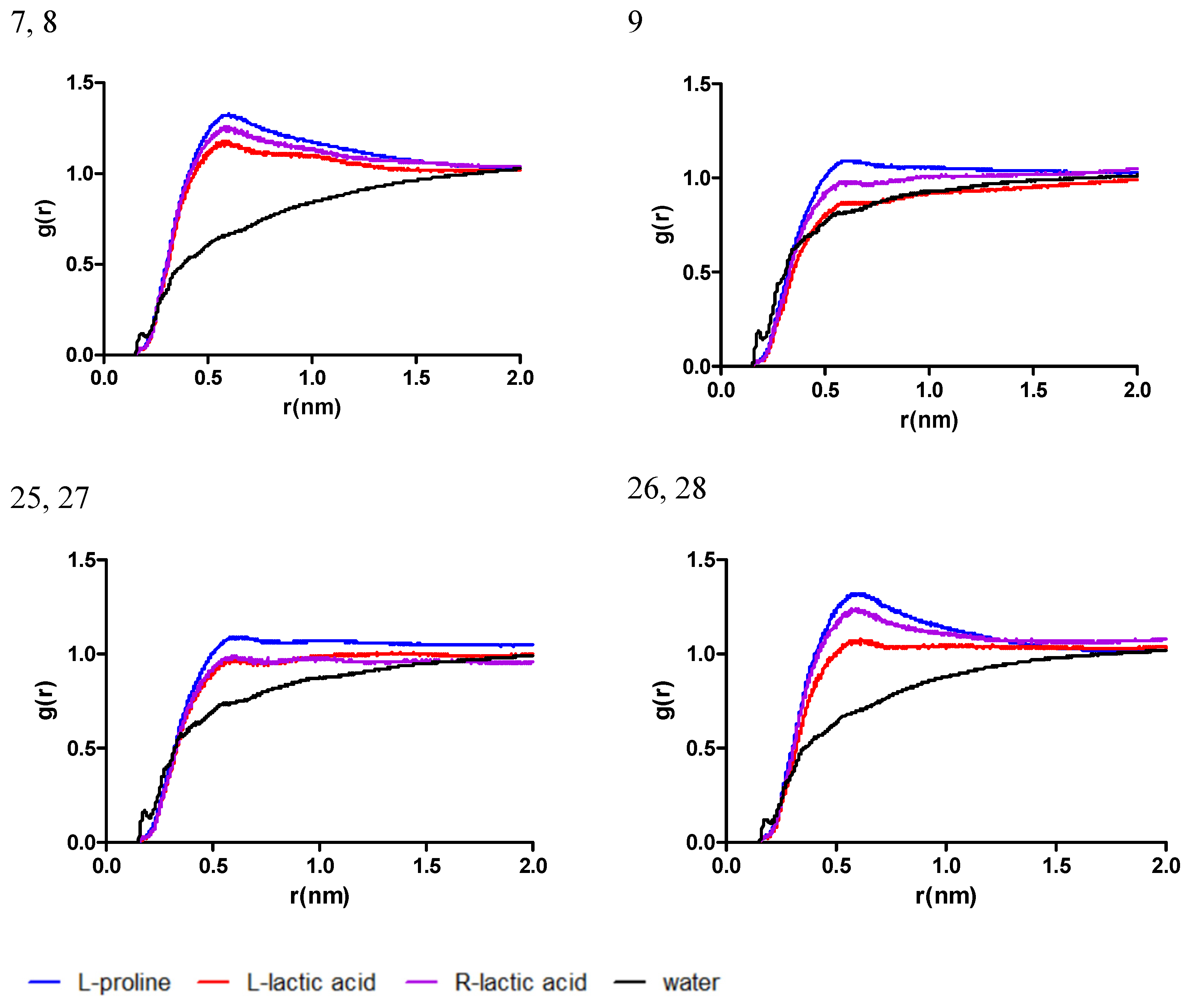
2.4. Results of Molecular Dynamics Simulations
2.5. Results of Antimicrobial Activity Evaluation
2.5.1. Antimicrobial Activity—In Vitro Qualitative Study
2.5.2. Antimicrobial Activity—In Vitro Quantitative Study
3. Discussion
3.1. Quantitative Determination of Total Bioactive Compounds and Antioxidant Activity
3.2. Phytochemical Analysis of Ribes nigrum Leaf Extracts
3.3. Investigation of Antimicrobial Activity for Ribes nigrum Leaf Extracts
3.4. Molecular Dynamics Simulations Outcomes
4. Materials and Methods
4.1. Chemicals and Reagents
4.2. Plant Samples
4.3. Experimental Design
4.4. Preparation of Extracts
4.5. Quantification of Total Bioactive Compounds
4.5.1. Total Phenolic Content
4.5.2. Total Flavonoid Content
4.6. Determination of the Antioxidant Activity by DPPH Assay
4.7. Phytochemical Analysis of Polyphenols by LC-MS
4.8. Methodology for Molecular Dynamics Simulations
4.9. Antimicrobial Activity Assay Description
4.9.1. In Vitro Qualitative Study
4.9.2. In Vitro Quantitative Evaluation—MIC and MBC
5. Conclusions
Supplementary Materials
Author Contributions
Funding
Institutional Review Board Statement
Informed Consent Statement
Data Availability Statement
Conflicts of Interest
References
- Giampieri, F.; Forbes-Hernandez, T.Y.; Gasparrini, M.; Alvarez-Suarez, J.M.; Afrin, S.; Bompadre, S.; Quiles, J.L.; Mezzetti, B.; Battino, M. Strawberry as a Health Promoter: An Evidence Based Review. Food Funct. 2015, 6, 1386–1398. [Google Scholar] [CrossRef] [PubMed]
- Tabart, J.; Kevers, C.; Evers, D.; Dommes, J. Ascorbic Acid, Phenolic Acid, Flavonoid, and Carotenoid Profiles of Selected Extracts from Ribes Nigrum. J. Agric. Food Chem. 2011, 59, 4763–4770. [Google Scholar] [CrossRef] [PubMed]
- Ejaz, A.; Waliat, S.; Afzaal, M.; Saeed, F.; Ahmad, A.; Din, A.; Ateeq, H.; Asghar, A.; Shah, Y.A.; Rafi, A.; et al. Biological Activities, Therapeutic Potential, and Pharmacological Aspects of Blackcurrants (Ribes nigrum L): A Comprehensive Review. Food Sci. Nutr. 2023, 11, 5799–5817. [Google Scholar] [CrossRef] [PubMed]
- Agati, G.; Azzarello, E.; Pollastri, S.; Tattini, M. Flavonoids as Antioxidants in Plants: Location and Functional Significance. Plant Sci. 2012, 196, 67–76. [Google Scholar] [CrossRef] [PubMed]
- Oszmiański, J.; Wojdyło, A.; Gorzelany, J.; Kapusta, I. Identification and Characterization of Low Molecular Weight Polyphenols in Berry Leaf Extracts by HPLC-DAD and LC-ESI/MS. J. Agric. Food Chem. 2011, 59, 12830–12835. [Google Scholar] [CrossRef]
- Piotrowski, W.; Oszmiański, J.; Wojdyło, A.; Łabanowska, B.H. Changing the Content of Phenolic Compounds as the Response of Blackcurrant (Ribes Nigrum L.) Leaves after Blackcurrant Leaf Midge (Dasineura Tetensi Rübs.) Infestation. Plant Physiol. Biochem. 2016, 106, 149–158. [Google Scholar] [CrossRef]
- Ojuederie, O.; Babalola, O. Microbial and Plant-Assisted Bioremediation of Heavy Metal Polluted Environments: A Review. Int. J. Environ. Res. Public Health 2017, 14, 1504. [Google Scholar] [CrossRef]
- John, R.P.; Tyagi, R.D.; Brar, S.K.; Surampalli, R.Y.; Prévost, D. Bio-Encapsulation of Microbial Cells for Targeted Agricultural Delivery. Crit. Rev. Biotechnol. 2011, 31, 211–226. [Google Scholar] [CrossRef]
- Ferrazzano, G.F.; Amato, I.; Ingenito, A.; Zarrelli, A.; Pinto, G.; Pollio, A. Plant Polyphenols and Their Anti-Cariogenic Properties: A Review. Molecules 2011, 16, 1486–1507. [Google Scholar] [CrossRef]
- Sahebi, M.; Hanafi, M.M.; van Wijnen, A.J.; Akmar, A.S.N.; Azizi, P.; Idris, A.S.; Taheri, S.; Foroughi, M. Profiling Secondary Metabolites of Plant Defence Mechanisms and Oil Palm in Response to Ganoderma Boninense Attack. Int. Biodeterior. Biodegrad. 2017, 122, 151–164. [Google Scholar] [CrossRef]
- Ivanović, M.; Islamčević Razboršek, M.; Kolar, M. Innovative Extraction Techniques Using Deep Eutectic Solvents and Analytical Methods for the Isolation and Characterization of Natural Bioactive Compounds from Plant Material. Plants 2020, 9, 1428. [Google Scholar] [CrossRef] [PubMed]
- Kellogg, J.J.; Paine, M.F.; McCune, J.S.; Oberlies, N.H.; Cech, N.B. Selection and Characterization of Botanical Natural Products for Research Studies: A NaPDI Center Recommended Approach. Nat. Prod. Rep. 2019, 36, 1196–1221. [Google Scholar] [CrossRef] [PubMed]
- Dai, J.; Mumper, R.J. Plant Phenolics: Extraction, Analysis and Their Antioxidant and Anticancer Properties. Molecules 2010, 15, 7313–7352. [Google Scholar] [CrossRef] [PubMed]
- Djordjević, B.; Djurović, D.; Zec, G.; Dabić Zagorac, D.; Natić, M.; Meland, M.; Fotirić Akšić, M. Does Shoot Age Influence Biological and Chemical Properties in Black Currant (Ribes nigrum L.) Cultivars? Plants 2022, 11, 866. [Google Scholar] [CrossRef] [PubMed]
- Vagiri, M.; Ekholm, A.; Andersson, S.C.; Johansson, E.; Rumpunen, K. An Optimized Method for Analysis of Phenolic Compounds in Buds, Leaves, and Fruits of Black Currant (Ribes nigrum L.). J. Agric. Food Chem. 2012, 60, 10501–10510. [Google Scholar] [CrossRef]
- Moreira, M.M.; Barroso, M.F.; Boeykens, A.; Withouck, H.; Morais, S.; Delerue-Matos, C. Valorization of Apple Tree Wood Residues by Polyphenols Extraction: Comparison between Conventional and Microwave-Assisted Extraction. Ind. Crops Prod. 2017, 104, 210–220. [Google Scholar] [CrossRef]
- Charpentier, T.; Boisard, S.; Le Ray, A.-M.; Bréard, D.; Chabrier, A.; Esselin, H.; Guilet, D.; Ripoll, C.; Richomme, P. A Descriptive Chemical Composition of Concentrated Bud Macerates through an Optimized SPE-HPLC-UV-MS2 Method—Application to Alnus Glutinosa, Ribes Nigrum, Rosa Canina, Rosmarinus Officinalis and Tilia Tomentosa. Plants 2022, 11, 144. [Google Scholar] [CrossRef]
- Liu, Y.; Friesen, J.B.; McAlpine, J.B.; Lankin, D.C.; Chen, S.-N.; Pauli, G.F. Natural Deep Eutectic Solvents: Properties, Applications, and Perspectives. J. Nat. Prod. 2018, 81, 679–690. [Google Scholar] [CrossRef]
- Zainal-Abidin, M.H.; Hayyan, M.; Ngoh, G.C.; Wong, W.F.; Looi, C.Y. Emerging Frontiers of Deep Eutectic Solvents in Drug Discovery and Drug Delivery Systems. J. Control. Release 2019, 316, 168–195. [Google Scholar] [CrossRef]
- Tomé, L.I.N.; Baião, V.; da Silva, W.; Brett, C.M.A. Deep Eutectic Solvents for the Production and Application of New Materials. Appl. Mater. Today 2018, 10, 30–50. [Google Scholar] [CrossRef]
- Majid, M.F.; Zaid, H.F.M.; Kait, C.F.; Jumbri, K.; Yuan, L.C.; Rajasuriyan, S. Futuristic Advance and Perspective of Deep Eutectic Solvent for Extractive Desulfurization of Fuel Oil: A Review. J. Mol. Liq. 2020, 306, 112870. [Google Scholar] [CrossRef]
- Cai, T.; Qiu, H. Application of Deep Eutectic Solvents in Chromatography: A Review. TrAC—Trends Anal. Chem. 2019, 120, 115623. [Google Scholar] [CrossRef]
- Mota-Morales, J.D.; Sánchez-Leija, R.J.; Carranza, A.; Pojman, J.A.; del Monte, F.; Luna-Bárcenas, G. Free-Radical Polymerizations of and in Deep Eutectic Solvents: Green Synthesis of Functional Materials. Prog. Polym. Sci. 2018, 78, 139–153. [Google Scholar] [CrossRef]
- Perna, F.M.; Vitale, P.; Capriati, V. Deep Eutectic Solvents and Their Applications as Green Solvents. Curr. Opin. Green Sustain. Chem. 2020, 21, 27–33. [Google Scholar] [CrossRef]
- Cannavacciuolo, C.; Pagliari, S.; Frigerio, J.; Giustra, C.M.; Labra, M.; Campone, L. Natural Deep Eutectic Solvents (NADESs) Combined with Sustainable Extraction Techniques: A Review of the Green Chemistry Approach in Food Analysis. Foods 2022, 12, 56. [Google Scholar] [CrossRef]
- Ignat, I.; Volf, I.; Popa, V.I. A Critical Review of Methods for Characterisation of Polyphenolic Compounds in Fruits and Vegetables. Food Chem. 2011, 126, 1821–1835. [Google Scholar] [CrossRef]
- Zainal-Abidin, M.H.; Hayyan, M.; Hayyan, A.; Jayakumar, N.S. New Horizons in the Extraction of Bioactive Compounds Using Deep Eutectic Solvents: A Review. Anal. Chim. Acta 2017, 979, 1–23. [Google Scholar] [CrossRef]
- Cunha, S.C.; Fernandes, J.O. Extraction Techniques with Deep Eutectic Solvents. TrAC—Trends Anal. Chem. 2018, 105, 225–239. [Google Scholar] [CrossRef]
- Akyüz, A.; Ersus, S. Optimization of Enzyme Assisted Extraction of Protein from the Sugar Beet (Beta Vulgaris L.) Leaves for Alternative Plant Protein Concentrate Production. Food Chem. 2021, 335, 127673. [Google Scholar] [CrossRef]
- José Aliaño González, M.; Carrera, C.; Barbero, G.F.; Palma, M. A Comparison Study between Ultrasound–Assisted and Enzyme–Assisted Extraction of Anthocyanins from Blackcurrant (Ribes nigrum L.). Food Chem. X 2022, 13, 100192. [Google Scholar] [CrossRef]
- Turrini, F.; Donno, D.; Beccaro, G.L.; Zunin, P.; Pittaluga, A.; Boggia, R. Pulsed Ultrasound-Assisted Extraction as an Alternative Method to Conventional Maceration for the Extraction of the Polyphenolic Fraction of Ribes Nigrum Buds: A New Category of Food Supplements Proposed by The FINNOVER Project. Foods 2019, 8, 466. [Google Scholar] [CrossRef] [PubMed]
- Solcan, M.B.; Fizeșan, I.; Vlase, L.; Vlase, A.M.; Rusu, M.E.; Mateș, L.; Petru, A.E.; Creștin, I.V.; Tomuțǎ, I.; Popa, D.S. Phytochemical Profile and Biological Activities of Extracts Obtained from Young Shoots of Blackcurrant (Ribes nigrum L.), European Blueberry (Vaccinium myrtillus L.), and Mountain Cranberry (Vaccinium vitis-idaea L.). Horticulturae 2023, 9, 1163. [Google Scholar] [CrossRef]
- Bruno Romanini, E.; Misturini Rodrigues, L.; Finger, A.; Perez Cantuaria Chierrito, T.; Regina Da Silva Scapim, M.; Scaramal Madrona, G. Ultrasound Assisted Extraction of Bioactive Compounds from BRS Violet Grape Pomace Followed by Alginate-Ca2+ Encapsulation. Food Chem. 2021, 338, 128101. [Google Scholar] [CrossRef] [PubMed]
- Milić, A.; Daničić, T.; Tepić Horecki, A.; Šumić, Z.; Teslić, N.; Bursać Kovačević, D.; Putnik, P.; Pavlić, B. Sustainable Extractions for Maximizing Content of Antioxidant Phytochemicals from Black and Red Currants. Foods 2022, 11, 325. [Google Scholar] [CrossRef] [PubMed]
- Tsao, R. Chemistry and Biochemistry of Dietary Polyphenols. Nutrients 2010, 2, 1231–1246. [Google Scholar] [CrossRef]
- Babayan, A.M.; Sahakyan, N.Z. Antimicrobial Activity of Ethanol Extracts of Ribes nigrum and Ribes rubrum Leaves. Proc. YSU B Chem. Biol. Sci. 2023, 57, 54–62. [Google Scholar] [CrossRef]
- Stević, T.; Šavikin, K.; Ristić, M.; Zdunić, G.; Janković, T.; Krivokuća-dokić, D.; Vulić, T. Composition and Antimicrobial Activity of the Essential Oil of the Leaves of Black Currant (Ribes nigrum L.) Cultivar Čačanska Crna. J. Serbian Chem. Soc. 2010, 75, 35–43. [Google Scholar] [CrossRef]
- Paunović, S.; Mašković, P.; Milinković, M. Phytochemical and Antimicrobial Profile of Black Currant Berries and Leaves. Acta Agric. Serbica 2022, 27, 25–29. [Google Scholar] [CrossRef]
- Nowak, A.; Czyzowska, A.; Efenberger, M.; Krala, L. Polyphenolic Extracts of Cherry (Prunus cerasus L.) and Blackcurrant (Ribes Nigrum L.) Leaves as Natural Preservatives in Meat Products. Food Microbiol. 2016, 59, 142–149. [Google Scholar] [CrossRef]
- Magnavacca, A.; Piazza, S.; Cammisa, A.; Fumagalli, M.; Martinelli, G.; Giavarini, F.; Sangiovanni, E.; Dell’agli, M. Ribes Nigrum Leaf Extract Preferentially Inhibits Ifn-γ-Mediated Inflammation in Hacat Keratinocytes. Molecules 2021, 26, 3044. [Google Scholar] [CrossRef]
- Hovhannisyan, Z.; Timotina, M.; Manoyan, J.; Gabrielyan, L.; Petrosyan, M.; Kusznierewicz, B.; Bartoszek, A.; Jacob, C.; Ginovyan, M.; Trchounian, K.; et al. Ribes Nigrum L. Extract-Mediated Green Synthesis and Antibacterial Action Mechanisms of Silver Nanoparticles. Antibiotics 2022, 11, 1415. [Google Scholar] [CrossRef] [PubMed]
- Teleszko, M.; Wojdyło, A. Comparison of Phenolic Compounds and Antioxidant Potential between Selected Edible Fruits and Their Leaves. J. Funct. Foods 2015, 14, 736–746. [Google Scholar] [CrossRef]
- Ökmen, G.; Arslan, K.; TekiN, R.; Çamur, İ.; Gorda, S. Antimicrobial And Antioxidant Activities Of Different Spice Extracts. Eur. J. Sci. Technol. 2021, 22, 421–429. [Google Scholar] [CrossRef]
- Soobrattee, M.A.; Neergheen, V.S.; Luximon-Ramma, A.; Aruoma, O.I.; Bahorun, T. Phenolics as Potential Antioxidant Therapeutic Agents: Mechanism and Actions. Mutat. Res.—Fundam. Mol. Mech. Mutagen. 2005, 579, 200–213. [Google Scholar] [CrossRef]
- Kolarević, L.; Horozić, E.; Ademović, Z.; Kundalić, B.Š.-; Husejnagić, D. Influence of Deep Eutectic Solvents (DESs) on Antioxidant and Antimicrobial Activity of Seed Extracts of Selected Citrus Species. IRJPAC 2020, 21, 120–128. [Google Scholar] [CrossRef]
- Chrzanowski, G.; Leszczyński, B.; Czerniewicz, P.; Sytykiewicz, H.; Matok, H.; Krzyzanowski, R.; Sempruch, C. Effect of Phenolic Acids from Black Currant, Sour Cherry and Walnut on Grain Aphid (Sitobion Avenae F.) Development. Crop Prot. 2012, 35, 71–77. [Google Scholar] [CrossRef]
- D’Urso, G.; Montoro, P.; Piacente, S. Detection and Comparison of Phenolic Compounds in Different Extracts of Black Currant Leaves by Liquid Chromatography Coupled with High-Resolution ESI-LTQ-Orbitrap MS and High-Sensitivity ESI-Qtrap MS. J. Pharm. Biomed. Anal. 2020, 179, 112926. [Google Scholar] [CrossRef]
- Gondcaille, C.; Cherkaoui-Malki, M.; Savary, S.; Minasyan, A.; Pires, V. Ribes Nigrum Leaf Extract: Antioxidant Capacity and Redox Balance Regulation Mechanism in Microglial Cells. Res. Sq. 2024. [Google Scholar] [CrossRef]
- Raudsepp, P.; Kaldmäe, H.; Kikas, A.; Libek, A.V.; Püssa, T. Nutritional Quality of Berries and Bioactive Compounds in the Leaves of Black Currant (Ribes Nigrum L.) Cultivars Evaluated in Estonia. J. Berry Res. 2010, 1, 53–59. [Google Scholar] [CrossRef]
- Raudsepp, P.; Koskar, J.; Anton, D.; Meremäe, K.; Kapp, K.; Laurson, P.; Bleive, U.; Kaldmäe, H.; Roasto, M.; Püssa, T. Antibacterial and Antioxidative Properties of Different Parts of Garden Rhubarb, Blackcurrant, Chokeberry and Blue Honeysuckle. J. Sci. Food Agric. 2019, 99, 2311–2320. [Google Scholar] [CrossRef]
- Rusu, M.E.; Gheldiu, A.M.; Mocan, A.; Moldovan, C.; Popa, D.S.; Tomuta, I.; Vlase, L. Process Optimization for Improved Phenolic Compounds Recovery from Walnut (Juglans regia L.) Septum: Phytochemical Profile and Biological Activities. Molecules 2018, 23, 2814. [Google Scholar] [CrossRef] [PubMed]
- Rusu, M.E.; Georgiu, C.; Pop, A.; Mocan, A.; Kiss, B.; Vostinaru, O.; Fizesan, I.; Stefan, M.G.; Gheldiu, A.M.; Mates, L.; et al. Antioxidant Effects of Walnut (Juglans regia L.) Kernel and Walnut Septum Extract in a D-Galactose-Induced Aging Model and in Naturally Aged Rats. Antioxidants 2020, 9, 424. [Google Scholar] [CrossRef] [PubMed]
- Rusu, M.E.; Fizeșan, I.; Pop, A.; Gheldiu, A.M.; Mocan, A.; Crișan, G.; Vlase, L.; Loghin, F.; Popa, D.S.; Tomuta, I. Enhanced Recovery of Antioxidant Compounds from Hazelnut (Corylus avellana L.) Involucre Based on Extraction Optimization: Phytochemical Profile and Biological Activities. Antioxidants 2019, 8, 460. [Google Scholar] [CrossRef] [PubMed]
- Olivares, B.; Martínez, F.; Rivas, L.; Calderón, C.; Munita, J.M.; Campodonico, P.R. A Natural Deep Eutectic Solvent Formulated to Stabilize β-Lactam Antibiotics. Sci. Rep. 2018, 8, 14900. [Google Scholar] [CrossRef]
- Olivares, B.; Martínez, F.A.; Ezquer, M.; Morales, B.J.; Fuentes, I.; Calvo, M.; Campodónico, P.R. Betaine-Urea Deep Eutectic Solvent Improves Imipenem Antibiotic Activity. J. Mol. Liq. 2022, 350, 118551. [Google Scholar] [CrossRef]
- Nystedt, H.L.; Grønlien, K.G.; Rolfsnes, R.R.; Winther-Larsen, H.C.; Økstad, O.A.L.; Tønnesen, H.H. Neutral Natural Deep Eutectic Solvents as Anti-Biofilm Agents. Biofilm 2023, 5, 100114. [Google Scholar] [CrossRef]
- Bedair, H.M.; Samir, T.M.; Mansour, F.R. Antibacterial and Antifungal Activities of Natural Deep Eutectic Solvents. Appl. Microbiol. Biotechnol. 2024, 108, 198. [Google Scholar] [CrossRef]
- Toiu, A.; Vlase, L.; Gheldiu, A.M.; Vodnar, D.; Oniga, I. Evaluation of the Antioxidant and Antibacterial Potential of Bioactive Compounds from Ajuga reptans Extracts. Farmacia 2017, 65, 351–355. [Google Scholar]
- Vlase, A.M.; Toiu, A.; Tomuță, I.; Vlase, L.; Muntean, D.; Casian, T.; Fizeșan, I.; Nadăș, G.C.; Novac, C.Ș.; Tămaș, M.; et al. Epilobium Species: From Optimization of the Extraction Process to Evaluation of Biological Properties. Antioxidants 2023, 12, 91. [Google Scholar] [CrossRef]
- Gligor, O.; Clichici, S.; Moldovan, R.; Muntean, D.; Vlase, A.M.; Nadăș, G.C.; Filip, G.A.; Vlase, L.; Crișan, G. Influences of Different Extraction Techniques and Their Respective Parameters on the Phytochemical Profile and Biological Activities of Xanthium Spinosum L. Extracts. Plants 2023, 12, 96. [Google Scholar] [CrossRef]
- Gligor, O.; Clichici, S.; Moldovan, R.; Muntean, D.; Vlase, A.M.; Nadăș, G.C.; Novac, C.Ș.; Filip, G.A.; Vlase, L.; Crișan, G. Red Clover and the Importance of Extraction Processes—Ways in Which Extraction Techniques and Parameters Affect Trifolium Pratense L. Extracts’ Phytochemical Profile and Biological Activities. Processes 2022, 10, 2581. [Google Scholar] [CrossRef]
- Hanganu, D.; Benedec, D.; Vlase, L.; Popica, I.; Bele, C.; Raita, O.; Gheldiu, A.; Mihali, C.V.; Țărmure, V. Polyphenolic Content and Antioxidant Activity of Chrysanthemum parthenium Extract. Farmacia 2016, 64, 498–501. [Google Scholar]
- Abraham, M.J.; Murtola, T.; Schulz, R.; Páll, S.; Smith, J.C.; Hess, B.; Lindahl, E. GROMACS: High Performance Molecular Simulations through Multi-Level Parallelism from Laptops to Supercomputers. SoftwareX 2015, 1–2, 19–25. [Google Scholar] [CrossRef]
- Pronk, S.; Páll, S.; Schulz, R.; Larsson, P.; Bjelkmar, P.; Apostolov, R.; Shirts, M.R.; Smith, J.C.; Kasson, P.M.; Van Der Spoel, D.; et al. GROMACS 4.5: A High-Throughput and Highly Parallel Open Source Molecular Simulation Toolkit. Bioinformatics 2013, 29, 845–854. [Google Scholar] [CrossRef]
- Rocha, D.; Freitas, D.S.; Castro, T.G.; Noro, J.; Cavaco-Paulo, A.; Silva, C. Hydration Is Not Detrimental for Glycerol:Lactic Acid Deep Eutectic Mixtures. J. Mol. Liq. 2023, 391, 123249. [Google Scholar] [CrossRef]
- Millán, D.; Malebran, C.; Ormazábal-Toledo, R. Towards a Rational Design of Natural Deep Eutectic Solvents for the Extraction of Polyphenols from Luma Apiculata. J. Mol. Liq. 2023, 372, 121155. [Google Scholar] [CrossRef]
- Jorgensen, W.L.; Maxwell, D.S.; Tirado-Rives, J. Development and Testing of the OPLS All-Atom Force Field on Conformational Energetics and Properties of Organic Liquids. J. Am. Chem. Soc. 1996, 118, 11225–11236. [Google Scholar] [CrossRef]
- Lee, C.; Yang, W.; Parr, R.G. Development of the Colle-Salvetti Correlation-Energy Formula into a Functional of the Electron Density. Phys. Rev. B 1988, 37, 785–789. [Google Scholar] [CrossRef]
- Zoete, V.; Cuendet, M.A.; Grosdidier, A.; Michielin, O. SwissParam: A Fast Force Field Generation Tool for Small Organic Molecules. J. Comput. Chem. 2011, 32, 2359–2368. [Google Scholar] [CrossRef]
- Bugnon, M.; Goullieux, M.; Röhrig, U.F.; Perez, M.A.S.; Daina, A.; Michielin, O.; Zoete, V. SwissParam 2023: A Modern Web-Based Tool for Efficient Small Molecule Parametrization. J. Chem. Inf. Model. 2023, 63, 6469–6475. [Google Scholar] [CrossRef]
- Martínez, L.; Andrade, R.; Birgin, E.G.; Martínez, J.M. P ACKMOL: A Package for Building Initial Configurations for Molecular Dynamics Simulations. J. Comput. Chem. 2009, 30, 2157–2164. [Google Scholar] [CrossRef] [PubMed]
- Muzio, S.D.; Russina, O.; Mastrippolito, D.; Benassi, P.; Rossi, L.; Paolone, A.; Ramondo, F. Mixtures of Choline Chloride and Tetrabutylammonium Bromide with Imidazole as Examples of Deep Eutectic Solvents: Their Structure by Theoretical and Experimental Investigation. J. Mol. Liq. 2022, 352, 118427. [Google Scholar] [CrossRef]
- Xing, C.; Cui, W.-Q.; Zhang, Y.; Zou, X.-S.; Hao, J.-Y.; Zheng, S.-D.; Wang, T.-T.; Wang, X.-Z.; Wu, T.; Liu, Y.-Y.; et al. Ultrasound-Assisted Deep Eutectic Solvents Extraction of Glabridin and Isoliquiritigenin from Glycyrrhiza Glabra: Optimization, Extraction Mechanism and in Vitro Bioactivities. Ultrason. Sonochemistry 2022, 83, 105946. [Google Scholar] [CrossRef] [PubMed]
- Liu, C.; Qiao, L.; Gao, Q.; Zhang, F.; Zhang, X.; Lei, J.; Ren, M.; Xiao, S.; Kuang, J.; Deng, S.; et al. Total Biflavonoids Extraction from Selaginella Chaetoloma Utilizing Ultrasound-Assisted Deep Eutectic Solvent: Optimization of Conditions, Extraction Mechanism, and Biological Activity in Vitro. Ultrason. Sonochemistry 2023, 98, 106491. [Google Scholar] [CrossRef] [PubMed]
- Yao, C.; Li, X.; Chen, Q.; Liu, Z.; Wu, H.; Zhang, W.; Miao, Y.; Huang, W. Investigating the Microscopic Mechanisms of Deep Eutectic Solvents Formed with Natural Compounds: Multiscale Simulation and Cross-Validation. J. Clean. Prod. 2024, 441, 140988. [Google Scholar] [CrossRef]
- Darden, T.; York, D.; Pedersen, L. Particle Mesh Ewald: An N⋅log(N) Method for Ewald Sums in Large Systems. J. Chem. Phys. 1993, 98, 10089–10092. [Google Scholar] [CrossRef]
- Matuschek, E.; Brown, D.F.J.; Kahlmeter, G. Development of the EUCAST Disk Diffusion Antimicrobial Susceptibility Testing Method and Its Implementation in Routine Microbiology Laboratories. Clin. Microbiol. Infect. 2014, 20, O255–O266. [Google Scholar] [CrossRef]
- Jung, I.G.; Jeong, J.Y.; Yum, S.H.; Hwang, Y.J. Inhibitory Effects of Selected Medicinal Plants on Bacterial Growth of Methicillin-Resistant Staphylococcus Aureus. Molecules 2022, 27, 7780. [Google Scholar] [CrossRef]
- Galgano, M.; Capozza, P.; Pellegrini, F.; Cordisco, M.; Sposato, A.; Sblano, S.; Camero, M.; Lanave, G.; Fracchiolla, G.; Corrente, M.; et al. Antimicrobial Activity of Essential Oils Evaluated In Vitro against Escherichia Coli and Staphylococcus Aureus. Antibiotics 2022, 11, 979. [Google Scholar] [CrossRef]









| Exp. Name | Run Order | HBA (X1) | HBD (X2) | HBA:HBD Molar Ratio (X3) | Water (%) (X4) | Extraction Method (X5) | Extraction Time (min) (X6) | Y1 (TPC) | Y2 (TFC) | Y3 (TAA) |
|---|---|---|---|---|---|---|---|---|---|---|
| Independent Variables with Coded Values | Dependent Variables (Mean # ± SD, n = 3) | |||||||||
| N1 | 6 | L-Pro | PGL | 2 | 30 | UTE * | 10 | 169.53 ± 0.16 | 7.49 ± 0.02 | 81.07 ± 0.06 |
| N2 | 24 | L-Pro | PGL | 1 | 50 | UTE | 10 | 221.87 ± 0.03 | 7.64 ± 0.06 | 198.05 ± 0.11 |
| N3 | 10 | L-Pro | PGL | 1 | 40 | UTE | 5 | 217.87 ± 0.05 | 7.79 ± 0.13 | 107.88 ± 0.03 |
| N4 | 36 | L-Pro | PGL | 1.5 | 30 | UTE | 5 | 238.70 ± 0.09 | 9.07 ± 0.04 | 161.98 ± 0.08 |
| N5 | 38 | ChChl | PGL | 2 | 50 | UTE | 5 | 181.37 ± 0.20 | 4.49 ± 0.02 | 90.34 ± 0.03 |
| N6 | 25 | ChChl | PGL | 1 | 30 | UTE | 10 | 153.03 ± 0.05 | 4.24 ± 0.05 | 128.54 ± 0.55 |
| N7 | 8 | L-Pro | LA | 2 | 50 | UTE | 5 | 74.37 ± 0.04 | 2.95 ± 0.00 | 16.57 ± 0.04 |
| N8 | 11 | L-Pro | LA | 2 | 50 | UTE | 10 | 218.37 ± 0.06 | 6.92 ± 0.01 | 8.86 ± 2.01 |
| N9 | 39 | L-Pro | LA | 1 | 30 | UTE | 7.5 | 256.53 ± 0.09 | 6.97 ± 0.01 | 95.17 ± 0.04 |
| N10 | 16 | ChChl | LA | 2 | 30 | UTE | 5 | 165.70 ± 0.02 | 4.61 ± 0.03 | 155.59 ± 0.06 |
| N11 | 20 | ChChl | LA | 1 | 50 | UTE | 5 | 353.20 ± 0.09 | 4.82 ± 0.01 | 206.41 ± 0.05 |
| N12 | 9 | ChChl | LA | 2 | 30 | UTE | 10 | 195.53 ± 0.10 | 5.06 ± 0.01 | 178.05 ± 0.05 |
| N13 | 2 | ChChl | LA | 1 | 50 | UTE | 10 | 213.70 ± 0.01 | 5.27 ± 0.01 | 117.39 ± 0.06 |
| N14 | 27 | L-Pro | Glu | 2 | 30 | UTE | 5 | 227.70 ± 0.04 | 6.89 ± 0.04 | 115.01 ± 0.04 |
| N15 | 15 | L-Pro | Glu | 1 | 50 | UTE | 5 | 191.87 ± 0.02 | 7.40 ± 0.05 | 198.21 ± 0.01 |
| N16 | 32 | L-Pro | Glu | 1 | 30 | UTE | 10 | 255.20 ± 0.04 | 7.73 ± 0.01 | 108.71 ± 0.01 |
| N17 | 29 | ChChl | Glu | 1 | 30 | UTE | 5 | 226.03 ± 0.03 | 6.53 ± 0.01 | 238.05 ± 0.04 |
| N18 | 3 | ChChl | Glu | 2 | 50 | UTE | 10 | 166.03 ± 0.12 | 5.63 ± 0.04 | 212.48 ± 0.02 |
| N19 | 28 | ChChl | Glu | 1.5 | 40 | UTE | 7.5 | 194.53 ± 0.03 | 5.41 ± 0.03 | 218.54 ± 0.15 |
| N20 | 26 | L-Pro | PGL | 2 | 50 | UAE ** | 5 | 205.20 ± 0.01 | 8.38 ± 0.01 | 239.03 ± 0.04 |
| N21 | 33 | L-Pro | PGL | 1 | 30 | UAE | 10 | 223.87 ± 0.02 | 8.66 ± 0.01 | 252.97 ± 0.03 |
| N22 | 30 | ChChl | PGL | 2 | 30 | UAE | 5 | 153.03 ± 0.05 | 4.93 ± 0.02 | 174.77 ± 0.03 |
| N23 | 7 | ChChl | PGL | 1 | 50 | UAE | 5 | 173.20 ± 0.03 | 5.64 ± 0.02 | 181.49 ± 0.03 |
| N24 | 5 | ChChl | PGL | 2 | 50 | UAE | 10 | 371.37 ± 0.03 | 13.83 ± 0.02 | 255.59 ± 0.03 |
| N25 | 35 | L-Pro | LA | 2 | 30 | UAE | 5 | 456.03 ± 0.02 | 14.29 ± 0.05 | 227.56 ± 0.05 |
| N26 | 14 | L-Pro | LA | 1 | 50 | UAE | 5 | 408.03 ± 0.02 | 12.85 ± 0.04 | 243.46 ± 0.02 |
| N27 | 22 | L-Pro | LA | 2 | 30 | UAE | 10 | 414.70 ± 2.91 | 10.95 ± 0.02 | 203.13 ± 0.01 |
| N28 | 21 | L-Pro | LA | 1 | 50 | UAE | 10 | 365.53 ± 0.04 | 10.95 ± 0.03 | 235.92 ± 0.03 |
| N29 | 18 | ChChl | LA | 1 | 30 | UAE | 5 | 370.20 ± 0.06 | 9.74 ± 0.02 | 184.77 ± 0.02 |
| N30 | 19 | ChChl | LA | 1 | 30 | UAE | 10 | 318.53 ± 0.01 | 8.48 ± 0.03 | 205.43 ± 0.02 |
| N31 | 31 | ChChl | LA | 2 | 50 | UAE | 7.5 | 341.37 ± 0.07 | 8.96 ± 0.01 | 229.03 ± 0.06 |
| N32 | 12 | L-Pro | Glu | 1 | 30 | UAE | 5 | 424.70 ± 0.37 | 14.55 ± 0.04 | 256.08 ± 0.03 |
| N33 | 17 | L-Pro | Glu | 2 | 50 | UAE | 10 | 319.20 ± 0.03 | 11.61 ± 0.09 | 251.82 ± 0.03 |
| N34 | 34 | ChChl | Glu | 2 | 50 | UAE | 5 | 353.37 ± 0.04 | 10.55 ± 0.06 | 249.53 ± 0.03 |
| N35 | 4 | ChChl | Glu | 2 | 30 | UAE | 10 | 408.20 ± 0.14 | 11.84 ± 0.08 | 259.36 ± 0.04 |
| N36 | 13 | ChChl | Glu | 1 | 50 | UAE | 10 | 443.03 ± 0.11 | 11.15 ± 0.09 | 263.13 ± 0.01 |
| N37 | 23 | ChChl | Glu | 1.5 | 40 | UAE | 7.5 | 490.53 ± 0.10 | 11.78 ± 0.06 | 257.23 ± 0.07 |
| N38 | 37 | ChChl | Glu | 1.5 | 40 | UAE | 7.5 | 390.70 ± 0.10 | 9.53 ± 0.02 | 261.16 ± 0.01 |
| N39 | 1 | ChChl | Glu | 1.5 | 40 | UAE | 10 | 447.87 ± 0.02 | 12.45 ± 0.03 | 255.75 ± 0.07 |
| Quantifiable Responses | R2 | Q2 | Model Validity | Reproducibility |
|---|---|---|---|---|
| Total Phenolic Content (Y1) | 0.855 | 0.735 | 0.895 | 0.787 |
| Total Flavonoid Content (Y2) | 0.870 | 0.808 | 0.948 | 0.738 |
| Total Antioxidant Activity (Y3) | 0.872 | 0.720 | 0.418 | 0.996 |
| Quantifiable Responses | p Value | |
|---|---|---|
| Regression | Lack of Fit | |
| Total Phenolic Content (Y1) | <0.001 | 0.660 |
| Total Flavonoid Content (Y2) | <0.001 | 0.813 |
| Total Antioxidant Activity (Y3) | <0.001 | 0.098 |
| Independent Factor | Number and Type of Effects | |
|---|---|---|
| X1 | Negative | Positive |
| Choline chloride | 7 | 4 |
| L-proline | 4 | 7 |
| X2 | Negative | Positive |
| Glucose | 6 | 11 |
| Lactic acid | 11 | 7 |
| Propylene glycol | 9 | 10 |
| X3 | Negative | Positive |
| Combination ratio | 0 | 3 |
| X4 | Negative | Positive |
| Water ratio | 0 | 6 |
| X5 | Negative | Positive |
| Ultra-turrax extraction | 13 | 10 |
| Ultrasound-assisted extraction | 10 | 13 |
| X6 | Negative | Positive |
| Extraction time | 1 | 4 |
| Sample Name | HBA— L-pro (X1) | HBD—LA (X2) | HBA:HBD Molar Ratio (X3) | Water (%) (X4) | Extraction Method (X5) | Extraction Time (min) (X6) | Dependent Variables | |||
| Determined | Predicted | Recovery | ||||||||
| TPC (Y1) | 379.37 ± 0.06 | 371.76 | 102.05% | |||||||
| TFC (Y2) | 12.39 ± 0.02 | 11.85 | 104.52% | |||||||
| Optimal extract | 1124 | 1 | 1124 | 49.977 | UAE * | 5 | TAA (Y3) | 216.43 ± 0.03 | 229.79 | 94.18% |
| Exp. Name | Run Order | Hydroxycinnamic Acids (μg/g dw) | Hydroxybenzoic Acids (μg/g dw) | ||||||
|---|---|---|---|---|---|---|---|---|---|
| p-Coumaric Acid | Caffeic Acid | Chlorogenic Acid | 4-O-Caffeoylquinic Acid | Gallic Acid | Protocatechuic Acid | Gentisic Acid | Vanillic Acid | ||
| N1 | 6 | 5.82 | 4.58 | 28.81 | 6.60 | 12.39 | 13.57 | <LOQ | 0.54 |
| N2 | 24 | 9.13 | 13.08 | 54.10 | 15.40 | 8.35 | 7.09 | <LOQ | 0.94 |
| N3 | 10 | 5.51 | 8.50 | 52.21 | 13.49 | 7.18 | 6.50 | <LOQ | 0.79 |
| N4 | 36 | 5.82 | 5.45 | 52.97 | 12.72 | 7.19 | 6.79 | <LOQ | 0.68 |
| N5 | 38 | 5.21 | 4.14 | 52.59 | 13.11 | 4.76 | 4.90 | <LOQ | 0.67 |
| N6 | 25 | 3.11 | 2.61 | 45.42 | 10.05 | 3.64 | 4.09 | <LOQ | 0.62 |
| N7 | 8 | <LOQ | 2.40 | 46.93 | 11.19 | 0.14 | 0.07 | <LOQ | 0.01 |
| N8 | 11 | 2.20 | 3.92 | 57.87 | 14.25 | 6.70 | 1.66 | <LOQ | 0.52 |
| N9 | 39 | 3.11 | 3.49 | 55.99 | 16.17 | 5.68 | 1.69 | <LOQ | 0.25 |
| N10 | 16 | <LOQ | 1.96 | 50.70 | 11.96 | 2.97 | 1.13 | <LOQ | 0.20 |
| N11 | 20 | <LOQ | 3.05 | 57.12 | 11.96 | 4.83 | 1.17 | <LOQ | 0.14 |
| N12 | 9 | <LOQ | 2.40 | 51.84 | 12.34 | 3.37 | 1.14 | <LOQ | 0.19 |
| N13 | 2 | <LOQ | 3.05 | 58.25 | 11.58 | 4.96 | 1.41 | <LOQ | 0.11 |
| N14 | 27 | 4.31 | 7.41 | 43.15 | 11.58 | 6.07 | 4.96 | 3.04 | 0.19 |
| N15 | 15 | 7.02 | 11.34 | 52.97 | 14.64 | 8.36 | 6.00 | <LOQ | 0.31 |
| N16 | 32 | 1.60 | 4.14 | 21.64 | 5.84 | 3.31 | 3.26 | <LOQ | 0.13 |
| N17 | 29 | 7.92 | 5.67 | 59.01 | 15.02 | 7.06 | 6.16 | <LOQ | 0.35 |
| N18 | 3 | 6.12 | 6.54 | 54.85 | 15.02 | 6.00 | 5.70 | <LOQ | 0.37 |
| N19 | 28 | 9.43 | 9.59 | 66.93 | 16.93 | 7.04 | 6.92 | <LOQ | 0.43 |
| N20 | 26 | 12.14 | 13.96 | 56.36 | 21.14 | 9.47 | 7.89 | <LOQ | 0.43 |
| N21 | 33 | ND | 2.18 | 50.33 | ND | 7.78 | 7.14 | 5.84 | 0.36 |
| N22 | 30 | ND | 1.52 | 45.04 | ND | 3.63 | 4.01 | <LOQ | 0.35 |
| N23 | 7 | ND | 2.61 | 55.99 | ND | 5.08 | 5.19 | <LOQ | 0.42 |
| N24 | 5 | <LOQ | <LOQ | 3992.21 | ND | 3.02 | 19.77 | 4.44 | 0.07 |
| N25 | 35 | <LOQ | <LOQ | 2799.42 | 6.60 | 3.28 | 4.52 | <LOQ | 0.05 |
| N26 | 14 | <LOQ | <LOQ | 2968.52 | 8.51 | 3.52 | 5.62 | <LOQ | 0.03 |
| N27 | 22 | <LOQ | <LOQ | 1742.13 | 6.60 | 10.61 | 13.29 | <LOQ | 0.05 |
| N28 | 21 | <LOQ | <LOQ | 2386.47 | 9.28 | 10.08 | 12.61 | <LOQ | 0.02 |
| N29 | 18 | <LOQ | <LOQ | 2675.61 | 7.75 | 3.49 | 7.65 | <LOQ | ND |
| N30 | 19 | <LOQ | <LOQ | 2364.20 | 8.90 | 5.09 | 9.41 | <LOQ | ND |
| N31 | 31 | <LOQ | <LOQ | 2179.24 | 6.98 | 5.59 | 13.96 | 11.45 | ND |
| N32 | 12 | <LOQ | 70.67 | 1757.23 | ND | 4.71 | 20.71 | <LOQ | ND |
| N33 | 17 | <LOQ | 129.78 | 2022.97 | ND | 7.18 | 28.21 | 5.14 | ND |
| N34 | 34 | <LOQ | <LOQ | 2142.62 | ND | 4.32 | 19.45 | 3.74 | ND |
| N35 | 4 | <LOQ | <LOQ | 3404.49 | ND | 2.25 | 14.99 | <LOQ | ND |
| N36 | 13 | <LOQ | <LOQ | 2524.24 | ND | 1.91 | 13.40 | <LOQ | ND |
| N37 | 23 | <LOQ | <LOQ | 3798.95 | ND | 2.55 | 18.51 | <LOQ | ND |
| N38 | 37 | <LOQ | <LOQ | 3044.01 | ND | 3.90 | 20.32 | <LOQ | ND |
| N39 | 1 | <LOQ | <LOQ | 3942.01 | ND | 3.17 | 19.97 | <LOQ | ND |
| Exp. Name | Run Order | Catechins (µg/g dw) | Procyanidins (µg/g dw) | |||||||||
|---|---|---|---|---|---|---|---|---|---|---|---|---|
| Epicatechin | Catechin | EGC | EGCG | B3 | B1 | B4 | B2 | C2 | C1 | A1 | ||
| N1 | 6 | 2.78 | 4.68 | 24.15 | 0.42 | 5.44 | 1.84 | 1.89 | 0.98 | ND | ND | 4.38 |
| N2 | 24 | 2.87 | 3.14 | 35.76 | 0.57 | 1.52 | 1.14 | 1.43 | 2.29 | ND | 1.65 | 5.17 |
| N3 | 10 | 2.79 | 3.07 | 36.94 | 0.57 | 1.44 | 0.92 | 1.06 | 0.06 | ND | 1.91 | 2.20 |
| N4 | 36 | 2.63 | 2.87 | 37.77 | 0.59 | 1.61 | 0.84 | 0.60 | 0.09 | ND | 2.09 | ND |
| N5 | 38 | 2.44 | 2.66 | 38.43 | 0.43 | 1.06 | 0.45 | 0.01 | 0.42 | ND | 1.90 | ND |
| N6 | 25 | 2.36 | 2.78 | 36.31 | 0.63 | 0.54 | 0.15 | 0.03 | 1.13 | ND | 1.78 | ND |
| N7 | 8 | 0.07 | 0.07 | 1.41 | ND | 0.82 | 0.13 | 0.05 | 0.66 | ND | 1.17 | ND |
| N8 | 11 | 2.58 | 2.07 | 38.27 | ND | 1.10 | 0.14 | 0.03 | 0.63 | ND | 0.73 | ND |
| N9 | 39 | 1.88 | 1.33 | 34.42 | ND | 1.13 | 0.16 | 0.01 | 0.43 | ND | 0.70 | ND |
| N10 | 16 | 1.50 | 0.92 | 26.06 | ND | 0.45 | 0.06 | 0.02 | 0.69 | ND | 1.31 | ND |
| N11 | 20 | 1.59 | 0.80 | 26.40 | 0.31 | 0.25 | 0.03 | 0.06 | 0.59 | ND | 0.81 | ND |
| N12 | 9 | 1.19 | 0.77 | 24.80 | 0.36 | 0.33 | 0.05 | 0.03 | 0.57 | ND | 0.95 | ND |
| N13 | 2 | 1.21 | 0.86 | 27.72 | 0.24 | 1.09 | 0.19 | 0.04 | 0.50 | ND | 0.83 | ND |
| N14 | 27 | 1.49 | 1.10 | 27.96 | 0.38 | 0.26 | 0.02 | 0.01 | 1.25 | ND | 1.42 | ND |
| N15 | 15 | 1.60 | 1.29 | 29.57 | 0.62 | 0.52 | 0.08 | 0.04 | 1.67 | ND | 2.14 | ND |
| N16 | 32 | 0.64 | 1.32 | 18.07 | 0.31 | 0.09 | 0.01 | 0.01 | 0.72 | ND | 0.97 | ND |
| N17 | 29 | 1.81 | 1.95 | 38.50 | 0.55 | 0.68 | 0.16 | 0.08 | 1.72 | ND | 1.97 | ND |
| N18 | 3 | 1.62 | 1.93 | 35.08 | 0.44 | 0.24 | 0.05 | 0.03 | 1.93 | ND | 2.02 | ND |
| N19 | 28 | 2.02 | 2.25 | 43.03 | 0.46 | 1.28 | 0.40 | 0.60 | 2.19 | ND | 1.90 | ND |
| N20 | 26 | 1.66 | 2.26 | 39.93 | 0.47 | 0.19 | 0.06 | 0.27 | 1.98 | ND | 1.74 | ND |
| N21 | 33 | 1.86 | 2.19 | 38.33 | 0.57 | 0.13 | 0.04 | 0.40 | 1.76 | ND | 1.72 | ND |
| N22 | 30 | 1.50 | 2.24 | 33.00 | 0.39 | 0.11 | 0.06 | 0.51 | 1.68 | ND | 1.59 | ND |
| N23 | 7 | 1.63 | 2.21 | 34.54 | 0.50 | 0.21 | 0.17 | 0.89 | 2.60 | ND | 2.55 | ND |
| N24 | 5 | 36.58 | 2.32 | 35.06 | ND | 2.67 | 16.30 | 15.02 | 150.05 | 19.97 | 217.76 | 3.07 |
| N25 | 35 | 20.05 | 9.85 | 15.41 | ND | 36.84 | 20.25 | 19.52 | 83.79 | 14.18 | 119.35 | 29.23 |
| N26 | 14 | 19.04 | 11.92 | 11.31 | ND | 40.08 | 21.72 | 18.07 | 61.98 | 9.53 | 81.33 | 34.30 |
| N27 | 22 | 6.83 | 4.77 | 19.44 | ND | 23.12 | 13.53 | 10.89 | 30.30 | 5.42 | 58.87 | 18.05 |
| N28 | 21 | 8.82 | 6.72 | 21.55 | ND | 31.24 | 19.51 | 15.20 | 40.19 | 7.55 | 58.25 | 20.02 |
| N29 | 18 | 9.55 | 5.89 | 16.71 | ND | 30.76 | 20.46 | 16.72 | 63.50 | 6.07 | 73.72 | 15.04 |
| N30 | 19 | 10.75 | 4.82 | 20.13 | ND | 26.37 | 16.63 | 12.24 | 53.23 | 5.69 | 69.37 | 16.03 |
| N31 | 31 | 13.04 | 6.10 | 18.62 | ND | 26.51 | 13.86 | 12.81 | 42.84 | 4.67 | 75.98 | 18.08 |
| N32 | 12 | 11.37 | 5.89 | 4.99 | ND | 36.46 | 19.33 | 12.09 | 46.58 | 6.68 | 58.58 | 20.09 |
| N33 | 17 | 13.06 | 5.97 | 2.85 | ND | 36.84 | 15.63 | 12.03 | 49.14 | 7.41 | 79.44 | 19.70 |
| N34 | 34 | 17.30 | 8.16 | 18.70 | ND | 42.48 | 24.31 | 15.48 | 64.90 | 6.76 | 99.17 | 20.56 |
| N35 | 4 | 25.82 | 3.60 | 35.11 | ND | 15.92 | 18.52 | 13.25 | 89.16 | 10.65 | 142.78 | 10.63 |
| N36 | 13 | 17.39 | 1.70 | 22.47 | ND | 5.83 | 13.41 | 8.07 | 72.63 | 7.56 | 123.67 | ND |
| N37 | 23 | 23.03 | 1.69 | 30.16 | ND | 8.63 | 17.86 | 11.22 | 91.33 | 9.15 | 158.25 | ND |
| N38 | 37 | 16.39 | 6.81 | 26.10 | ND | 28.68 | 25.17 | 16.75 | 77.74 | 8.90 | 120.99 | 13.11 |
| N39 | 1 | 26.45 | 5.90 | 35.07 | ND | 22.28 | 21.60 | 13.88 | 87.39 | 8.68 | 150.54 | 13.03 |
| Exp. Name | Run Order | Hyperoside | Isoquercetin | Rutin | Quercitrin | Quercetol | Kaempferol-3-O-rhamnoside | Kaempferol |
|---|---|---|---|---|---|---|---|---|
| N1 | 6 | 34.67 | 98.07 | 62.18 | 60.72 | <LOQ | <LOQ | 1.42 |
| N2 | 24 | 9.27 | 443.27 | 106.71 | 188.78 | 9.13 | <LOQ | 4.73 |
| N3 | 10 | 9.27 | 330.77 | 100.03 | 146.72 | <LOQ | <LOQ | 3.74 |
| N4 | 36 | 9.27 | 199.01 | 94.10 | 89.70 | <LOQ | <LOQ | 2.08 |
| N5 | 38 | 8.24 | 151.24 | 98.55 | 55.11 | <LOQ | <LOQ | 2.08 |
| N6 | 25 | 8.76 | 91.90 | 90.39 | 32.67 | <LOQ | <LOQ | 1.75 |
| N7 | 8 | 8.76 | 88.82 | 89.64 | 32.67 | <LOQ | <LOQ | 3.07 |
| N8 | 11 | 10.83 | 111.94 | 108.20 | 42.96 | <LOQ | <LOQ | 5.40 |
| N9 | 39 | 10.83 | 108.86 | 105.97 | 39.22 | <LOQ | <LOQ | 3.74 |
| N10 | 16 | 8.76 | 87.28 | 97.07 | 33.61 | <LOQ | <LOQ | <LOQ |
| N11 | 20 | 11.35 | 97.30 | 105.97 | 35.48 | <LOQ | <LOQ | 3.41 |
| N12 | 9 | 9.79 | 90.36 | 97.81 | 32.67 | <LOQ | <LOQ | <LOQ |
| N13 | 2 | 10.83 | 101.92 | 110.43 | 37.35 | <LOQ | <LOQ | 2.08 |
| N14 | 27 | 8.76 | 361.59 | 77.03 | 155.13 | 4.45 | <LOQ | 2.08 |
| N15 | 15 | 10.83 | 466.39 | 108.94 | 195.33 | 5.00 | <LOQ | 3.07 |
| N16 | 32 | 4.09 | 148.92 | 42.14 | 61.65 | <LOQ | <LOQ | 0.75 |
| N17 | 29 | 9.27 | 216.73 | 111.17 | 79.41 | <LOQ | <LOQ | 2.41 |
| N18 | 3 | 7.72 | 306.11 | 104.49 | 113.06 | <LOQ | <LOQ | 2.41 |
| N19 | 28 | 11.87 | 303.03 | 126.01 | 110.26 | <LOQ | <LOQ | 2.41 |
| N20 | 26 | 7.20 | 537.28 | 123.79 | 230.85 | 12.43 | <LOQ | 7.05 |
| N21 | 33 | 9.27 | 148.15 | 111.17 | ND | ND | ND | 1.42 |
| N22 | 30 | 6.16 | 81.89 | 86.67 | ND | ND | ND | <LOQ |
| N23 | 7 | 6.16 | 180.52 | 88.90 | ND | ND | ND | 2.08 |
| N24 | 5 | 216.59 | 94.99 | <LOQ | 89.70 | ND | ND | 1.08 |
| N25 | 35 | 189.64 | 77.26 | <LOQ | 69.13 | ND | ND | <LOQ |
| N26 | 14 | 213.48 | 84.20 | <LOQ | 85.96 | ND | ND | <LOQ |
| N27 | 22 | 117.08 | 77.26 | <LOQ | 97.17 | ND | ND | 1.42 |
| N28 | 21 | 163.73 | 94.99 | <LOQ | 123.35 | ND | ND | 2.41 |
| N29 | 18 | 169.95 | 81.89 | <LOQ | 87.83 | ND | ND | <LOQ |
| N30 | 19 | 155.43 | 84.97 | <LOQ | 105.59 | ND | ND | 1.08 |
| N31 | 31 | 144.03 | 76.49 | <LOQ | 95.30 | ND | ND | <LOQ |
| N32 | 12 | 126.93 | 60.31 | <LOQ | 60.72 | ND | ND | <LOQ |
| N33 | 17 | 148.18 | 84.97 | <LOQ | 48.56 | ND | ND | 1.08 |
| N34 | 34 | 133.67 | 61.85 | <LOQ | 63.52 | ND | ND | <LOQ |
| N35 | 4 | 173.06 | 74.95 | <LOQ | 70.06 | ND | ND | <LOQ |
| N36 | 13 | 129.00 | 54.92 | ND | 28.00 | ND | ND | <LOQ |
| N37 | 23 | 198.45 | 73.41 | <LOQ | 41.09 | ND | ND | <LOQ |
| N38 | 37 | 165.80 | 74.18 | <LOQ | 70.06 | ND | ND | <LOQ |
| N39 | 1 | 203.12 | 71.87 | <LOQ | 63.52 | ND | ND | <LOQ |
| System | L-Proline | HBD | Water | Total | |
|---|---|---|---|---|---|
| 1 | 0.85 | propylene glycol | 0.81 | 4.64 | 6.29 |
| 2 | 0.88 | 0.32 | 5.93 | 7.13 | |
| 3 | 1.11 | 0.71 | 5.67 | 7.50 | |
| 4 | 1.67 | 0.91 | 5.88 | 8.46 | |
| 20 | 1.67 | 0.75 | 5.28 | 7.70 | |
| 21 | 0.78 | 0.59 | 5.71 | 7.09 | |
| 14 | 1.32 | β-D-glucose | 1.48 | 4.23 | 7.04 |
| 15 | 0.77 | 1.15 | 6.93 | 8.85 | |
| 16, 32 | 0.70 | 1.58 | 5.03 | 7.31 | |
| 33 | 0.85 | 0.92 | 6.18 | 7.96 | |
| 7, 8 | 2.56 | R-lactic acid:L-lactic acid 1:1 | 0.38 | 5.63 | 8.37 |
| 9 | 5.25 | 0.71 | 5.36 | 10.91 | |
| 25, 27 | 1.20 | 0.36 | 4.76 | 6.18 | |
| 26, 28 | 0.71 | 0.50 | 6.01 | 6.95 | |
| System | Choline Chloride | HBD | Water | Total | |
|---|---|---|---|---|---|
| 5, 24 | 0.19 | propylene glycol | 0.48 | 0.48 | 5.69 |
| 6 | 0.16 | 1.75 | 1.75 | 2.80 | |
| 22 | 0.24 | 1.12 | 1.12 | 2.94 | |
| 23 | 0.11 | 0.79 | 0.79 | 5.52 | |
| 17 | 0.18 | β-D-glucose | 1.06 | 5.20 | 6.44 |
| 18 | 0.23 | 1.34 | 4.37 | 5.93 | |
| 19, 37, 38, 39 | 0.13 | 1.53 | 5.07 | 6.73 | |
| 34 | 0.23 | 2.02 | 3.71 | 5.96 | |
| 35 | 0.12 | 1.57 | 5.97 | 7.65 | |
| 36 | 0.17 | 1.41 | 6.29 | 7.87 | |
| 10, 12 | 0.37 | R-lactic acid:L-lactic acid 1:1 | 0.74 | 3.44 | 4.00 |
| 11, 13 | 0.16 | 0.51 | 5.68 | 6.08 | |
| 29 | 0.26 | 0.55 | 7.07 | 7.62 | |
| 31 | 0.22 | 1.10 | 3.87 | 4.68 | |
| System | HBD | Electrostatic | van der Waals | Total |
|---|---|---|---|---|
| 1 | propylene glycol | −223.19 | −136.44 | −359.63 |
| 2 | −252.66 | −125.21 | −377.87 | |
| 3 | −244.67 | −123.71 | −368.38 | |
| 4 | −245.29 | −125.11 | −370.39 | |
| 20 | −235.75 | −137.19 | −372.94 | |
| 21 | −231.43 | −134.24 | −365.66 | |
| 14 | β-D-glucose | −248.23 | −143.59 | −391.81 |
| 15 | −283.17 | −116.00 | −399.17 | |
| 16, 32 | −245.78 | −142.86 | −388.64 | |
| 33 | −271.26 | −126.12 | −397.38 | |
| 7, 8 | R-lactic acid:L-lactic acid 1:1 | −244.47 | −123.67 | −368.14 |
| 9 | −256.32 | −128.88 | −385.19 | |
| 25, 27 | −273.96 | −125.81 | −399.77 | |
| 26, 28 | −245.53 | −133.32 | −378.84 |
| System | HBD | Electrostatic | van der Waals | Total |
|---|---|---|---|---|
| 5, 24 | propylene glycol | −254.81 | −104.46 | −359.27 |
| 6 | −245.68 | −114.23 | −359.91 | |
| 22 | −242.93 | −119.58 | −362.51 | |
| 23 | −254.73 | −108.24 | −362.97 | |
| 17 | β-D-glucose | −260.27 | −124.32 | −384.59 |
| 18 | −262.15 | −119.50 | −381.65 | |
| 19, 37, 38, 39 | −262.98 | −123.18 | −386.16 | |
| 34 | −282.65 | −109.53 | −392.18 | |
| 35 | −280.62 | −133.55 | −414.17 | |
| 36 | −273.78 | −125.60 | −399.39 | |
| 10, 12 | R-lactic acid:L-lactic acid 1:1 | −252.92 | −116.58 | −369.50 |
| 11, 13 | −255.20 | −109.46 | −364.66 | |
| 29 | −259.69 | −114.95 | −374.64 | |
| 31 | −299.86 | −95.13 | −394.99 |
| Sample Code | Gram-Positive Bacterial Strains | Gram-Negative Bacterial Strains | Fungi | |||||
|---|---|---|---|---|---|---|---|---|
| Blank (NaDES Mixture) | Staphylococcus aureus | Enterococcusfaecalis | Streptococcus pyogenes | Listeria monocytogenes | Escherichia coli | Klebsiella pneumoniae | Pseudomonas aeruginosa | Candida albicans |
| 24 | 0 | 0 | 0 | 0 | 0 | 0 | 0 | 0 |
| 25 | 10.18 | 8 | 23.64 | 15.04 | 10.85 | 10.8 | 10.6 | 6.69 |
| 26 | 10.42 | 6.85 | 14.22 | 10.12 | 9.26 | 9.72 | 10.28 | 0 |
| 27 | 16 | 6.75 | 18.59 | 10.25 | 12.2 | 14.8 | 16.61 | 8.12 |
| 28 | 10.67 | 8.59 | 20.79 | 11.93 | 11 | 11.24 | 11.88 | 0 |
| 29 | 10.49 | 10 | 22 | 13.44 | 13.07 | 11.28 | 13.88 | 8.67 |
| 30 | 13 | 10.07 | 23.68 | 14.46 | 13 | 14.04 | 19.03 | 10.07 |
| 31 | 0 | 0 | 0 | 0 | 0 | 0 | 0 | 0 |
| 32 | 0 | 0 | 0 | 0 | 0 | 0 | 0 | 0 |
| 33 | 0 | 0 | 0 | 0 | 0 | 0 | 0 | 0 |
| 34 | 0 | 0 | 0 | 0 | 0 | 0 | 0 | 0 |
| 35 | 0 | 0 | 0 | 0 | 0 | 0 | 0 | 0 |
| 36 | 0 | 0 | 0 | 0 | 0 | 0 | 0 | 0 |
| 37 | 0 | 0 | 0 | 0 | 0 | 0 | 0 | 0 |
| 38 | 0 | 0 | 0 | 0 | 0 | 0 | 0 | 0 |
| 39 | 0 | 0 | 0 | 0 | 0 | 0 | 0 | 7.67 |
| A | 24.64 | 15.34 | 22.67 | 12.67 | - | - | - | - |
| G | - | - | - | - | 18.81 | 19.07 | 24.63 | - |
| K | - | - | - | - | - | - | - | 32.44 |
| Blank of OE | 10.54 | 16.83 | 16.86 | 17.25 | 15.36 | 14.59 | 16.57 | 0 |
| NaDES Extract | ||||||||
| 24 | 6.59 | 7.23 | 10.04 | 7.19 | 0 | 9.63 | 0 | 13.69 |
| 25 | 14.02 | 9.19 | 14.04 | 9.61 | 9.3 | 10.95 | 16.03 | 8.86 |
| 26 | 13.18 | 9.04 | 16.21 | 17.84 | 11.34 | 9.95 | 13.14 | 0 |
| 27 | 6.82 | 9.14 | 13.51 | 7.08 | 0 | 0 | 8.18 | 0 |
| 28 | 10.98 | 10.19 | 15.51 | 16.96 | 9.96 | 10.8 | 10.15 | 0 |
| 29 | 13.69 | 12.91 | 18.93 | 21.87 | 11.71 | 11.47 | 18.12 | 9.87 |
| 30 | 14.13 | 13.13 | 19.04 | 18.84 | 12.74 | 13.1 | 16.81 | 9.73 |
| 31 | 7.65 | 7.6 | 10.05 | 9.09 | 9.04 | 7.89 | 0 | 0 |
| 32 | 0 | 0 | 8.77 | 7.02 | 0 | 0 | 0 | 24.78 |
| 33 | 7.71 | 6.68 | 11.32 | 7.32 | 0 | 0 | 0 | 20.88 |
| 34 | 7.07 | 7.6 | 10.06 | 7.08 | 0 | 0 | 0 | 13.06 |
| 35 | 6.38 | 8.02 | 10.87 | 6.69 | 0 | 0 | 11.48 | 28.04 |
| 36 | 7.11 | 0 | 10.18 | 7.08 | 0 | 0 | 11.95 | 21.52 |
| 37 | 6.75 | 6.89 | 10.2 | 7.67 | 0 | 0 | 10.68 | 22.98 |
| 38 | 7.18 | 7.57 | 9.32 | 6.38 | 0 | 0 | 9.94 | 25.42 |
| 39 | 0 | 7.27 | 12.31 | 7.78 | 0 | 0 | 0 | 0 |
| A | 24.57 | 15.29 | 21.48 | 11.35 | - | - | - | - |
| G | - | - | - | - | 19.34 | 18.24 | 24.89 | - |
| K | - | - | - | - | - | - | - | 32.26 |
| OE | 11.67 | 15.55 | 15.69 | 17.13 | 16.98 | 16.73 | 15.16 | 6.22 |
| Sample Code | Gram-Positive Bacterial Strains | Gram-Negative Bacterial Strains | Fungi | |||||||||||||||||||||
|---|---|---|---|---|---|---|---|---|---|---|---|---|---|---|---|---|---|---|---|---|---|---|---|---|
| Blank (NaDES mixture) | Staphylococcus aureus | Enterococcus faecalis | Streptococcus pyogenes | Listeria monocytogenes | Escherichia coli | Klebsiella pneumoniae | Pseudomonas aeruginosa | Candida albicans | ||||||||||||||||
| MIC | MBC | MIC index | MIC | MBC | MIC index | MIC | MBC | MIC index | MIC | MBC | MIC index | MIC | MBC | MIC index | MIC | MBC | MIC index | MIC | MBC | MIC index | MIC | MBC | MIC index | |
| 24 | 1/4 | 1/2 | 2 | 1/32 | 1/4 | 8 | 1/64 | 1/32 | 2 | 1/32 | 1/16 | 2 | NA | NA | NA | 1/4 | 1/1 | 4 | NA | NA | NA | NA | NA | NA |
| 25 | 1/128 | 1/32 | 4 | 1/128 | 1/32 | 4 | 1/128 | 1/64 | 4 | 1/128 | 1/64 | 2 | 1/64 | 1/64 | 1 | 1/64 | 1/64 | 1 | 1/128 | 1/128 | 1 | 1/8 | 1/8 | 1 |
| 26 | 1/64 | 1/32 | 2 | 1/64 | 1/32 | 2 | 1/64 | 1/32 | 2 | 1/256 | 1/32 | 8 | 1/64 | 1/32 | 2 | 1/64 | 1/64 | 1 | 1/64 | 1/64 | 1 | NA | NA | NA |
| 27 | 1/128 | 1/64 | 2 | 1/128 | 1/64 | 2 | 1/128 | 1/64 | 2 | 1/128 | 1/64 | 2 | 1/64 | 1/64 | 1 | 1/64 | 1/64 | 1 | 1/128 | 1/128 | 1 | 1/8 | 1/4 | 2 |
| 28 | 1/128 | 1/64 | 2 | 1/128 | 1/64 | 2 | 1/128 | 1/64 | 2 | 1/128 | 1/64 | 2 | 1/64 | 1/64 | 1 | 1/64 | 1/64 | 1 | 1/128 | 1/64 | 2 | NA | NA | NA |
| 29 | 1/128 | 1/64 | 2 | 1/128 | 1/64 | 2 | 1/128 | 1/64 | 2 | 1/128 | 1/64 | 2 | 1/128 | 1/64 | 2 | 1/64 | 1/16 | 4 | 1/128 | 1/128 | 1 | 1/8 | 1/8 | 1 |
| 30 | 1/128 | 1/64 | 2 | 1/128 | 1/64 | 2 | 1/128 | 1/64 | 2 | 1/128 | 1/64 | 2 | 1/128 | 1/64 | 2 | 1/64 | 1/16 | 4 | 1/128 | 1/128 | 1 | 1/8 | 1/8 | 1 |
| 31 | 1/8 | 1/2 | 4 | 1/8 | 1/4 | 2 | 1/32 | 1/16 | 2 | 1/32 | 1/32 | 1 | NA | NA | NA | NA | NA | NA | NA | NA | NA | NA | NA | NA |
| 32 | NA | NA | NA | NA | NA | NA | NA | NA | NA | NA | NA | NA | NA | NA | NA | NA | NA | NA | NA | NA | NA | NA | NA | NA |
| 33 | NA | NA | NA | NA | NA | NA | NA | NA | NA | NA | NA | NA | NA | NA | NA | NA | NA | NA | NA | NA | NA | NA | NA | NA |
| 34 | NA | NA | NA | NA | NA | NA | NA | NA | NA | NA | NA | NA | NA | NA | NA | NA | NA | NA | NA | NA | NA | NA | NA | NA |
| 35 | NA | NA | NA | NA | NA | NA | NA | NA | NA | NA | NA | NA | NA | NA | NA | NA | NA | NA | NA | NA | NA | NA | NA | NA |
| 36 | NA | NA | NA | NA | NA | NA | NA | NA | NA | NA | NA | NA | NA | NA | NA | NA | NA | NA | NA | NA | NA | NA | NA | NA |
| 37 | NA | NA | NA | NA | NA | NA | NA | NA | NA | NA | NA | NA | NA | NA | NA | NA | NA | NA | NA | NA | NA | NA | NA | NA |
| 38 | NA | NA | NA | NA | NA | NA | NA | NA | NA | NA | NA | NA | NA | NA | NA | NA | NA | NA | NA | NA | NA | NA | NA | NA |
| 39 | NA | NA | NA | NA | NA | NA | NA | NA | NA | NA | NA | NA | NA | NA | NA | NA | NA | NA | NA | NA | NA | 1/2 | 1/2 | 1 |
| Blank of OE | 1/32 | 1/16 | 2 | 1/64 | 1/32 | 2 | 1/256 | 1/32 | 8 | 1/256 | 1/32 | 8 | 1/64 | 1/32 | 2 | 1/64 | 1/32 | 2 | 1/64 | 1/64 | 1 | 1/8 | 1/4 | 2 |
| NaDES extract | MIC | MBC | MIC index | MIC | MBC | MIC index | MIC | MBC | MIC index | MIC | MBC | MIC index | MIC | MBC | MIC index | MIC | MBC | MIC index | MIC | MBC | MIC index | MIC | MBC | MIC index |
| 24 | 1/64 | 1/16 | 4 | 1/512 | 1/32 | 16 | 1/256 | 1/32 | 8 | 1/256 | 1/32 | 8 | 1/128 | 1/16 | 8 | 1/16 | 1/4 | 4 | NA | NA | NA | 1/8 | 1/2 | 4 |
| 25 | 1/128 | 1/32 | 4 | 1/256 | 1/64 | 4 | 1/512 | 1/64 | 8 | 1/512 | 1/64 | 8 | 1/128 | 1/16 | 8 | 1/64 | 1/32 | 2 | 1/256 | 1/256 | 1 | 1/4 | 1/4 | 1 |
| 26 | 1/128 | 1/64 | 2 | 1/128 | 1/64 | 2 | 1/512 | 1/64 | 8 | 1/512 | 1/64 | 8 | 1/64 | 1/64 | 1 | 1/64 | 1/64 | 1 | 1/256 | 1/256 | 1 | NA | NA | NA |
| 27 | 1/256 | 1/16 | 8 | 1/256 | 1/64 | 4 | 1/256 | 1/32 | 8 | 1/256 | 1/32 | 8 | 1/128 | 1/32 | 4 | 1/64 | 1/64 | 1 | 1/64 | 1/32 | 2 | NA | NA | NA |
| 28 | 1/256 | 1/64 | 4 | 1/128 | 1/64 | 2 | 1/512 | 1/64 | 8 | 1/256 | 1/64 | 4 | 1/64 | 1/64 | 1 | 1/64 | 1/64 | 1 | 1/128 | 1/64 | 2 | NA | NA | NA |
| 29 | 1/128 | 1/64 | 2 | 1/128 | 1/64 | 2 | 1/256 | 1/64 | 4 | 1/512 | 1/64 | 8 | 1/128 | 1/64 | 2 | 1/128 | 1/64 | 2 | 1/128 | 1/64 | 2 | 1/4 | 1/4 | 1 |
| 30 | 1/128 | 1/64 | 2 | 1/256 | 1/64 | 4 | 1/512 | 1/64 | 8 | 1/256 | 1/128 | 2 | 1/128 | 1/64 | 2 | 1/128 | 1/64 | 2 | 1/128 | 1/64 | 2 | 1/8 | 1/8 | 1 |
| 31 | 1/64 | 1/16 | 4 | 1/256 | 1/32 | 8 | 1/512 | 1/64 | 8 | 1/256 | 1/32 | 8 | 1/32 | 1/32 | 1 | 1/32 | 1/32 | 1 | NA | NA | NA | NA | NA | NA |
| 32 | 1/128 | 1/16 | 8 | 1/256 | 1/32 | 8 | 1/128 | 1/64 | 2 | 1/256 | 1/32 | 8 | NA | NA | NA | NA | NA | NA | NA | NA | NA | 1/2 | 1/1 | 2 |
| 33 | 1/64 | 1/8 | 8 | 1/512 | 1/64 | 8 | 1/512 | 1/64 | 8 | 1/256 | 1/32 | 8 | NA | NA | NA | NA | NA | NA | NA | NA | NA | 1/4 | 1/2 | 2 |
| 34 | 1/64 | 1/16 | 4 | 1/512 | 1/64 | 8 | 1/256 | 1/32 | 8 | 1/256 | 1/32 | 8 | NA | NA | NA | NA | NA | NA | NA | NA | NA | 1/8 | 1/2 | 4 |
| 35 | 1/64 | 1/8 | 8 | 1/512 | 1/64 | 8 | 1/256 | 1/32 | 8 | 1/512 | 1/64 | 8 | 1/64 | 1/8 | 4 | 1/16 | 1/4 | 4 | 1/128 | 1/64 | 2 | 1/128 | 1/32 | 4 |
| 36 | 1/128 | 1/16 | 8 | 1/512 | 1/64 | 8 | 1/512 | 1/64 | 8 | 1/512 | 1/64 | 8 | 1/64 | 1/8 | 4 | NA | NA | NA | 1/128 | 1/64 | 2 | 1/256 | 1/32 | 8 |
| 37 | 1/128 | 1/16 | 8 | 1/512 | 1/64 | 8 | 1/512 | 1/64 | 8 | 1/512 | 1/64 | 8 | NA | NA | NA | NA | NA | NA | 1/128 | 1/64 | 2 | 1/256 | 1/32 | 8 |
| 38 | 1/128 | 1/16 | 8 | 1/512 | 1/64 | 8 | 1/512 | 1/64 | 8 | 1/512 | 1/32 | 16 | NA | NA | NA | NA | NA | NA | 1/128 | 1/64 | 2 | 1/512 | 1/64 | 8 |
| 39 | 1/128 | 1/16 | 8 | 1/512 | 1/64 | 8 | 1/2048 | 1/128 | 16 | 1/256 | 1/32 | 8 | NA | NA | NA | NA | NA | NA | NA | NA | NA | NA | NA | NA |
| OE | 1/64 | 1/32 | 2 | 1/128 | 1/64 | 2 | 1/256 | 1/64 | 4 | 1/256 | 1/64 | 4 | 1/64 | 1/64 | 1 | 1/64 | 1/32 | 2 | 1/128 | 1/64 | 2 | 1/8 | 1/4 | 2 |
| Variables | Level | ||
|---|---|---|---|
| −1 | 0 | 1 | |
| Independent variables (factors) | |||
| HBA (X1) | L-Pro | ChChl | |
| HBD (X2) | PGL | LA | Glu |
| HBA:HBD molar ratio (X3) | |||
| Water (%) (X4) | |||
| Extraction method (X5) | UTE | - | UAE |
| Extraction time (X6) | 5 | 7.5 | 10 |
| Dependent variables (responses) | |||
| Total phenolic content (TPC, mg GAE/g dw 1) (Y1) Total flavonoid content (TFC, mg QE/g dw 2) (Y2) Total antioxidant activity (DPPH, mg TE/g dw 3) (Y3) | |||
| System | L-proline | HBD | Water | |
|---|---|---|---|---|
| 1 | 1554 | propylene glycol | 777 | 5669 |
| 2 | 634 | 634 | 6733 | |
| 3 | 881 | 881 | 6238 | |
| 4 | 1425 | 950 | 5626 | |
| 20 | 799 | 400 | 6801 | |
| 21 | 1221 | 1221 | 5558 | |
| 14 | 1096 | β-D-glucose | 548 | 5356 |
| 15 | 380 | 380 | 6239 | |
| 16, 32 | 775 | 775 | 5450 | |
| 33 | 543 | 271 | 6186 | |
| 7, 8 | 866 | R-lactic acid:L-lactic acid 1:1 | 433 | 7702 |
| 9 | 1307 | 1307 | 6386 | |
| 25, 27 | 1694 | 847 | 6459 | |
| 26, 28 | 672 | 672 | 7657 | |
| System | Choline | Chloride | HBD | Water | |
|---|---|---|---|---|---|
| 5, 24 | 748 | 748 | propylene glycol | 374 | 7379 |
| 6 | 1191 | 1191 | 1191 | 6118 | |
| 22 | 1483 | 1483 | 742 | 6275 | |
| 23 | 608 | 608 | 608 | 7284 | |
| 17 | 832 | 832 | β-D-glucose | 832 | 6336 |
| 18 | 561 | 561 | 280 | 7159 | |
| 19, 37, 38, 39 | 709 | 709 | 473 | 6819 | |
| 34 | 561 | 561 | 280 | 7159 | |
| 35 | 1148 | 1148 | 574 | 6278 | |
| 36 | 405 | 405 | 405 | 7191 | |
| 10, 12 | 1357 | 1357 | R-lactic acid:L-lactic acid 1:1 | 678 | 5965 |
| 11, 13 | 542 | 542 | 542 | 6916 | |
| 29 | 1071 | 1071 | 1071 | 5858 | |
| 31 | 680 | 680 | 340 | 6979 | |
Disclaimer/Publisher’s Note: The statements, opinions and data contained in all publications are solely those of the individual author(s) and contributor(s) and not of MDPI and/or the editor(s). MDPI and/or the editor(s) disclaim responsibility for any injury to people or property resulting from any ideas, methods, instructions or products referred to in the content. |
© 2024 by the authors. Licensee MDPI, Basel, Switzerland. This article is an open access article distributed under the terms and conditions of the Creative Commons Attribution (CC BY) license (https://creativecommons.org/licenses/by/4.0/).
Share and Cite
Solcan, M.-B.; Vlase, A.-M.; Marc, G.; Muntean, D.; Casian, T.; Nadăș, G.C.; Novac, C.Ș.; Popa, D.-S.; Vlase, L. Antimicrobial Effectiveness of Ribes nigrum L. Leaf Extracts Prepared in Natural Deep Eutectic Solvents (NaDESs). Antibiotics 2024, 13, 1118. https://doi.org/10.3390/antibiotics13121118
Solcan M-B, Vlase A-M, Marc G, Muntean D, Casian T, Nadăș GC, Novac CȘ, Popa D-S, Vlase L. Antimicrobial Effectiveness of Ribes nigrum L. Leaf Extracts Prepared in Natural Deep Eutectic Solvents (NaDESs). Antibiotics. 2024; 13(12):1118. https://doi.org/10.3390/antibiotics13121118
Chicago/Turabian StyleSolcan, Maria-Beatrice, Ana-Maria Vlase, Gabriel Marc, Dana Muntean, Tibor Casian, George Cosmin Nadăș, Cristiana Ștefania Novac, Daniela-Saveta Popa, and Laurian Vlase. 2024. "Antimicrobial Effectiveness of Ribes nigrum L. Leaf Extracts Prepared in Natural Deep Eutectic Solvents (NaDESs)" Antibiotics 13, no. 12: 1118. https://doi.org/10.3390/antibiotics13121118
APA StyleSolcan, M.-B., Vlase, A.-M., Marc, G., Muntean, D., Casian, T., Nadăș, G. C., Novac, C. Ș., Popa, D.-S., & Vlase, L. (2024). Antimicrobial Effectiveness of Ribes nigrum L. Leaf Extracts Prepared in Natural Deep Eutectic Solvents (NaDESs). Antibiotics, 13(12), 1118. https://doi.org/10.3390/antibiotics13121118

