AntiBP3: A Method for Predicting Antibacterial Peptides against Gram-Positive/Negative/Variable Bacteria
Abstract
1. Introduction
2. Results
2.1. Compositional Analysis
2.2. Positional Conservation Analysis
2.3. Performance of BLAST-Search
2.4. Performance of Motif-Based Approach
2.5. Machine Learning-Based Models
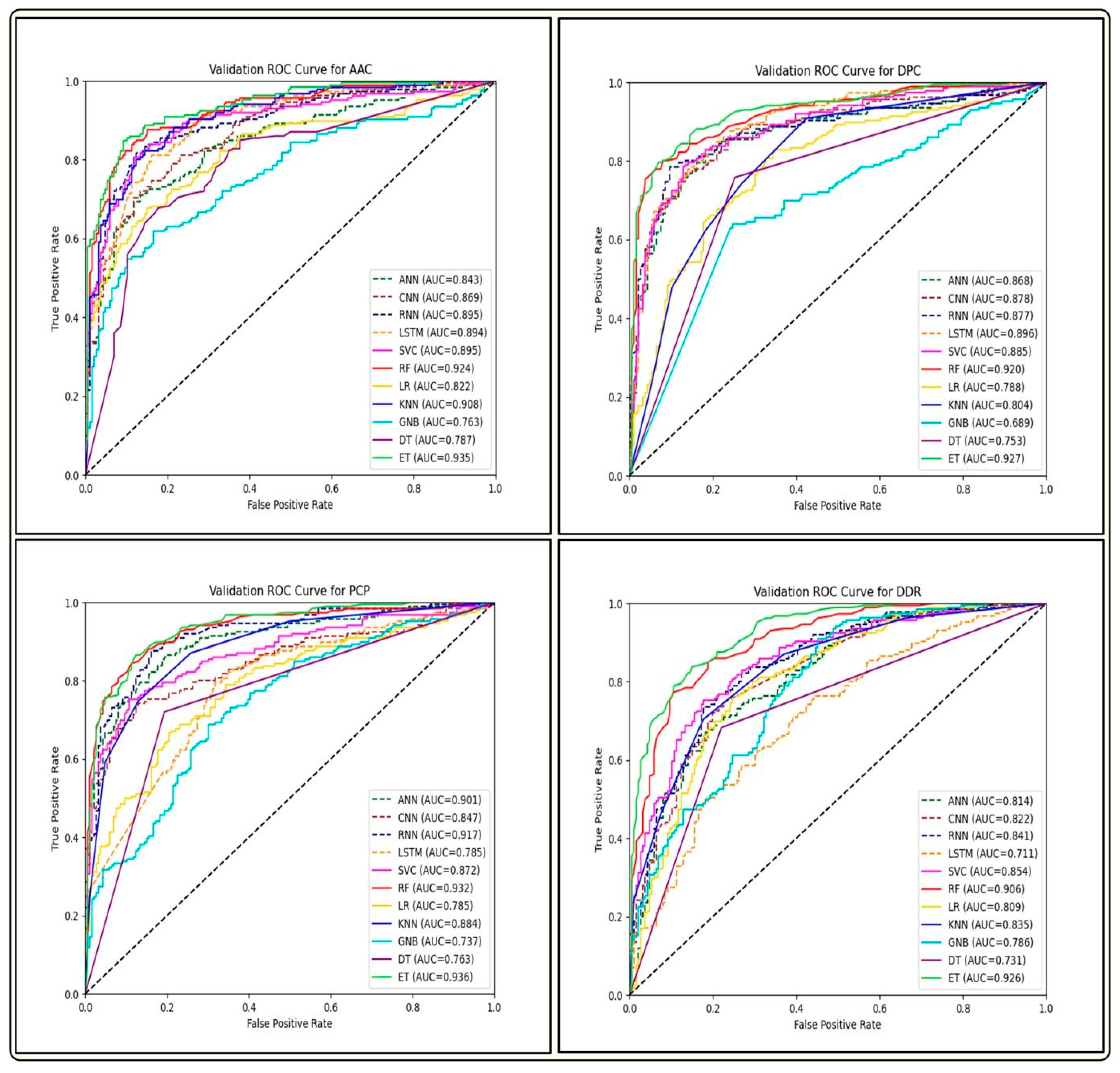
2.5.1. Performance of Composition-Based Models
2.5.2. Performance of Binary Profile-Based Features
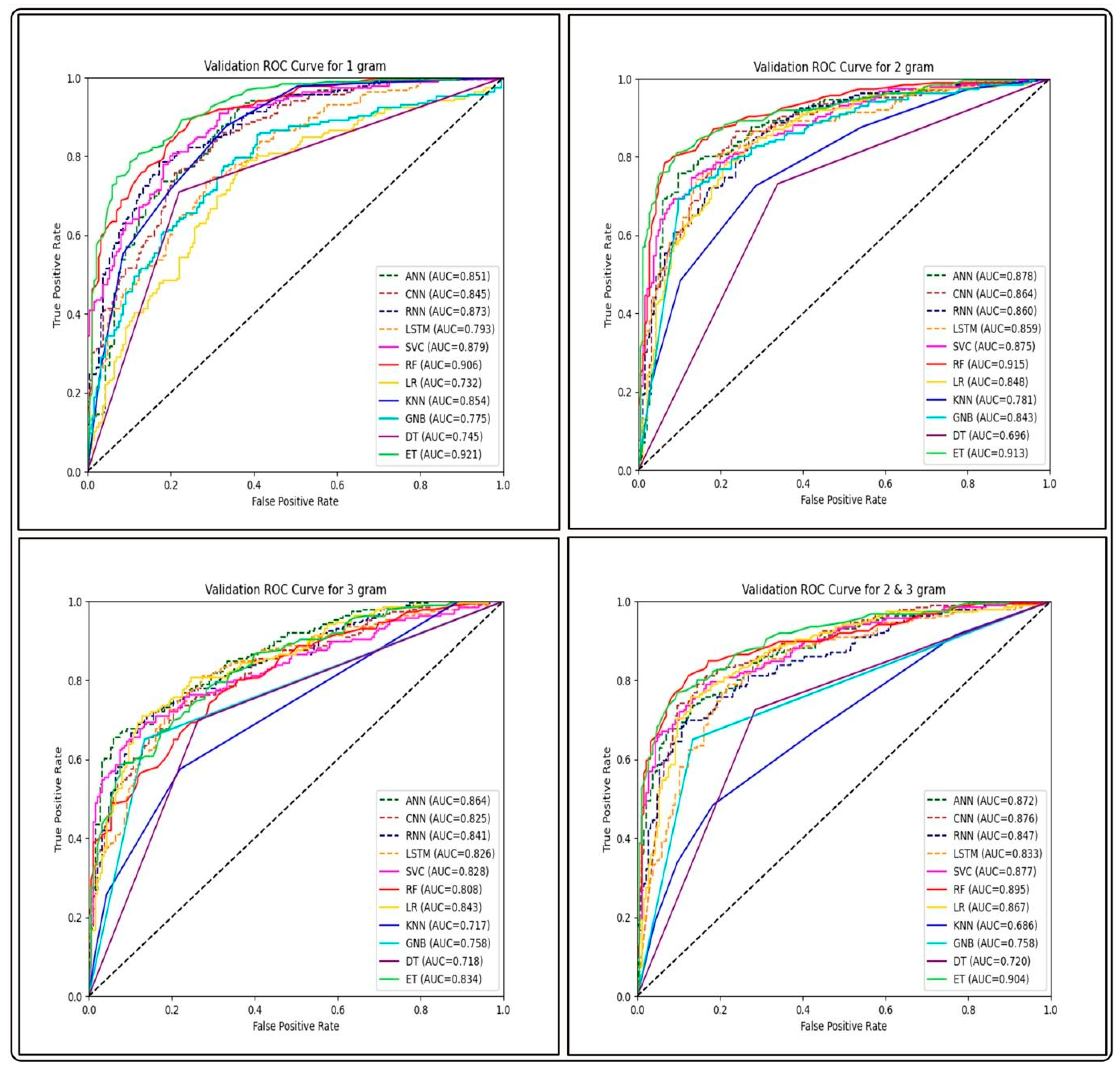
2.5.3. Performance of Word Embedding Features
2.6. Deep Learning-Based Models
2.7. Performance of Cross-Prediction
2.8. Performance of Hybrid Approaches
2.8.1. ML-Based Models with BLAST Search
2.8.2. ML-Based Models with Motif Approach
2.9. Comparison with Other Prediction Tools
2.10. Implementation of AntiBP3 Server
3. Discussion
4. Materials and Methods
4.1. Dataset
4.2. Overall Workflow
4.3. Two Sample Logo
4.4. Sequence Alignment Method
4.5. Motif Search
4.6. Feature Generation
4.6.1. Compositional Features
4.6.2. Binary Profile Features
4.6.3. Word Embedding
4.7. Machine Learning Algorithms
4.8. Deep Learning Algorithms
4.9. Cross-Validation Techniques
4.10. Hybrid or Ensemble Approach
4.11. Performance Evaluation
5. Conclusions
Supplementary Materials
Author Contributions
Funding
Institutional Review Board Statement
Informed Consent Statement
Data Availability Statement
Acknowledgments
Conflicts of Interest
References
- Breijyeh, Z.; Jubeh, B.; Karaman, R. Resistance of Gram-Negative Bacteria to Current Antibacterial Agents and Approaches to Resolve It. Molecules 2020, 25, 1340. [Google Scholar] [CrossRef]
- Mahlapuu, M.; Håkansson, J.; Ringstad, L.; Björn, C. Antimicrobial Peptides: An Emerging Category of Therapeutic Agents. Front. Cell. Infect. Microbiol. 2016, 6, 194. [Google Scholar] [CrossRef] [PubMed]
- Hancock, R.E.; Chapple, D.S. Peptide Antibiotics. Antimicrob. Agents Chemother. 1999, 43, 1317–1323. [Google Scholar] [CrossRef]
- Yeaman, M.R.; Yount, N.Y. Mechanisms of Antimicrobial Peptide Action and Resistance. Pharmacol. Rev. 2003, 55, 27–55. [Google Scholar] [CrossRef]
- Puentes, P.R.; Henao, M.C.; Torres, C.E.; Gómez, S.C.; Gómez, L.A.; Burgos, J.C.; Arbeláez, P.; Osma, J.F.; Muñoz-Camargo, C.; Reyes, L.H.; et al. Design, Screening, and Testing of Non-Rational Peptide Libraries with Antimicrobial Activity: In Silico and Experimental Approaches. Antibiotics 2020, 9, 854. [Google Scholar] [CrossRef] [PubMed]
- Huan, Y.; Kong, Q.; Mou, H.; Yi, H. Antimicrobial Peptides: Classification, Design, Application and Research Progress in Multiple Fields. Front. Microbiol. 2020, 11, 582779. [Google Scholar] [CrossRef]
- Yan, Y.; Li, Y.; Zhang, Z.; Wang, X.; Niu, Y.; Zhang, S.; Xu, W.; Ren, C. Advances of Peptides for Antibacterial Applications. Colloids Surf. B Biointerfaces 2021, 202, 111682. [Google Scholar] [CrossRef]
- Cudic, M.; Otvos, L., Jr. Intracellular Targets of Antibacterial Peptides. Curr. Drug Targets 2002, 3, 101–106. [Google Scholar] [CrossRef]
- Wang, G.; Vaisman, I.I.; van Hoek, M.L. Machine Learning Prediction of Antimicrobial Peptides. Methods Mol. Biol. 2022, 2405, 1–37. [Google Scholar]
- Balouiri, M.; Sadiki, M.; Ibnsouda, S.K. Methods for Evaluating Antimicrobial Activity: A Review. J. Pharm. Anal. 2016, 6, 71–79. [Google Scholar] [CrossRef]
- Zhang, Q.-Y.; Yan, Z.-B.; Meng, Y.-M.; Hong, X.-Y.; Shao, G.; Ma, J.-J.; Cheng, X.-R.; Liu, J.; Kang, J.; Fu, C.-Y. Antimicrobial Peptides: Mechanism of Action, Activity and Clinical Potential. Mil. Med. Res. 2021, 8, 48. [Google Scholar] [CrossRef] [PubMed]
- Ruiz-Blanco, Y.B.; Agüero-Chapin, G.; Romero-Molina, S.; Antunes, A.; Olari, L.-R.; Spellerberg, B.; Münch, J.; Sanchez-Garcia, E. ABP-Finder: A Tool to Identify Antibacterial Peptides and the Gram-Staining Type of Targeted Bacteria. Antibiotics 2022, 11, 1708. [Google Scholar] [CrossRef]
- Lata, S.; Sharma, B.K.; Raghava, G.P.S. Analysis and Prediction of Antibacterial Peptides. BMC Bioinform. 2007, 8, 263. [Google Scholar] [CrossRef] [PubMed]
- Burdukiewicz, M.; Sidorczuk, K.; Rafacz, D.; Pietluch, F.; Chilimoniuk, J.; Rödiger, S.; Gagat, P. Proteomic Screening for Prediction and Design of Antimicrobial Peptides with AmpGram. Int. J. Mol. Sci. 2020, 21, 4310. [Google Scholar] [CrossRef]
- Lin, T.-T.; Yang, L.-Y.; Lu, I.-H.; Cheng, W.-C.; Hsu, Z.-R.; Chen, S.-H.; Lin, C.-Y. AI4AMP: An Antimicrobial Peptide Predictor Using Physicochemical Property-Based Encoding Method and Deep Learning. mSystems 2021, 6, e0029921. [Google Scholar] [CrossRef] [PubMed]
- Chung, C.-R.; Kuo, T.-R.; Wu, L.-C.; Lee, T.-Y.; Horng, J.-T. Characterization and Identification of Antimicrobial Peptides with Different Functional Activities. Brief. Bioinform. 2019, 21, 1098–1114. [Google Scholar] [CrossRef] [PubMed]
- Veltri, D.P. A Computational and Statistical Framework for Screening Novel Antimicrobial Peptides. Doctoral Dissertation, George Mason University, Fairfax, VA, USA, 2015. [Google Scholar]
- Veltri, D.; Kamath, U.; Shehu, A. Deep Learning Improves Antimicrobial Peptide Recognition. Bioinformatics 2018, 34, 2740–2747. [Google Scholar] [CrossRef] [PubMed]
- Yan, J.; Bhadra, P.; Li, A.; Sethiya, P.; Qin, L.; Tai, H.K.; Wong, K.H.; Siu, S.W.I. Deep-AmPEP30: Improve Short Antimicrobial Peptides Prediction with Deep Learning. Mol. Ther. Nucleic Acids 2020, 20, 882–894. [Google Scholar] [CrossRef]
- Meher, P.K.; Sahu, T.K.; Saini, V.; Rao, A.R. Predicting Antimicrobial Peptides with Improved Accuracy by Incorporating the Compositional, Physico-Chemical and Structural Features into Chou’s General PseAAC. Sci. Rep. 2017, 7, 42362. [Google Scholar] [CrossRef]
- Fu, H.; Cao, Z.; Li, M.; Wang, S. ACEP: Improving Antimicrobial Peptides Recognition through Automatic Feature Fusion and Amino Acid Embedding. BMC Genom. 2020, 21, 597. [Google Scholar] [CrossRef]
- Sharma, R.; Shrivastava, S.; Kumar Singh, S.; Kumar, A.; Saxena, S.; Kumar Singh, R. Deep-ABPpred: Identifying Antibacterial Peptides in Protein Sequences Using Bidirectional LSTM with word2vec. Brief. Bioinform. 2021, 22, bbab065. [Google Scholar] [CrossRef] [PubMed]
- Singh, V.; Shrivastava, S.; Kumar Singh, S.; Kumar, A.; Saxena, S. StaBle-ABPpred: A Stacked Ensemble Predictor Based on biLSTM and Attention Mechanism for Accelerated Discovery of Antibacterial Peptides. Brief. Bioinform. 2022, 23, bbab439. [Google Scholar] [CrossRef] [PubMed]
- Lata, S.; Mishra, N.K.; Raghava, G.P.S. AntiBP2: Improved Version of Antibacterial Peptide Prediction. BMC Bioinform. 2010, 11 (Suppl. 1), bbab439. [Google Scholar] [CrossRef] [PubMed]
- Söylemez, Ü.G.; Yousef, M.; Kesmen, Z.; Büyükkiraz, M.E.; Bakir-Gungor, B. Prediction of Linear Cationic Antimicrobial Peptides Active against Gram-Negative and Gram-Positive Bacteria Based on Machine Learning Models. NATO Adv. Sci. Inst. Ser. E Appl. Sci. 2022, 12, 3631. [Google Scholar] [CrossRef]
- Söylemez, Ü.G.; Yousef, M.; Bakir-Gungor, B. AMP-GSM: Prediction of Antimicrobial Peptides via a Grouping–Scoring–Modeling Approach. NATO Adv. Sci. Inst. Ser. E Appl. Sci. 2023, 13, 5106. [Google Scholar] [CrossRef]
- Kaur, D.; Patiyal, S.; Arora, C.; Singh, R.; Lodhi, G.; Raghava, G.P.S. Tool for Predicting, Scanning, and Designing Defensins. Front. Immunol. 2021, 12, 780610. [Google Scholar] [CrossRef]
- Beveridge, T.J. Mechanism of Gram Variability in Select Bacteria. J. Bacteriol. 1990, 172, 1609–1620. [Google Scholar] [CrossRef]
- Usmani, S.S.; Kumar, R.; Kumar, V.; Singh, S.; Raghava, G.P.S. AntiTbPdb: A Knowledgebase of Anti-Tubercular Peptides. Database 2018, 2018, bay025. [Google Scholar] [CrossRef]
- Usmani, S.S.; Bhalla, S.; Raghava, G.P.S. Prediction of Antitubercular Peptides From Sequence Information Using Ensemble Classifier and Hybrid Features. Front. Pharmacol. 2018, 9, 954. [Google Scholar] [CrossRef] [PubMed]
- Otvos, L., Jr. Antibacterial Peptides and Proteins with Multiple Cellular Targets. J. Pept. Sci. 2005, 11, 697–706. [Google Scholar] [CrossRef] [PubMed]
- Park, C.B.; Kim, H.S.; Kim, S.C. Mechanism of Action of the Antimicrobial Peptide Buforin II: Buforin II Kills Microorganisms by Penetrating the Cell Membrane and Inhibiting Cellular Functions. Biochem. Biophys. Res. Commun. 1998, 244, 253–257. [Google Scholar] [CrossRef]
- Wang, Z.; Wang, G. APD: The Antimicrobial Peptide Database. Nucleic Acids Res. 2004, 32, D590–D592. [Google Scholar] [CrossRef]
- Jhong, J.-H.; Yao, L.; Pang, Y.; Li, Z.; Chung, C.-R.; Wang, R.; Li, S.; Li, W.; Luo, M.; Ma, R.; et al. dbAMP 2.0: Updated Resource for Antimicrobial Peptides with an Enhanced Scanning Method for Genomic and Proteomic Data. Nucleic Acids Res. 2022, 50, D460–D470. [Google Scholar] [CrossRef]
- Waghu, F.H.; Barai, R.S.; Gurung, P.; Idicula-Thomas, S. CAMPR3: A Database on Sequences, Structures and Signatures of Antimicrobial Peptides. Nucleic Acids Res. 2016, 44, D1094–D1097. [Google Scholar] [CrossRef]
- Shi, G.; Kang, X.; Dong, F.; Liu, Y.; Zhu, N.; Hu, Y.; Xu, H.; Lao, X.; Zheng, H. DRAMP 3.0: An Enhanced Comprehensive Data Repository of Antimicrobial Peptides. Nucleic Acids Res. 2022, 50, D488–D496. [Google Scholar] [CrossRef]
- Kim, H.; Jang, J.H.; Kim, S.C.; Cho, J.H. De Novo Generation of Short Antimicrobial Peptides with Enhanced Stability and Cell Specificity. J. Antimicrob. Chemother. 2014, 69, 121–132. [Google Scholar] [CrossRef]
- UniProt Consortium The Universal Protein Resource (UniProt). Nucleic Acids Res. 2008, 36, D190–D195.
- Vacic, V.; Iakoucheva, L.M.; Radivojac, P. Two Sample Logo: A Graphical Representation of the Differences between Two Sets of Sequence Alignments. Bioinformatics 2006, 22, 1536–1537. [Google Scholar] [CrossRef] [PubMed]
- McGinnis, S.; Madden, T.L. BLAST: At the Core of a Powerful and Diverse Set of Sequence Analysis Tools. Nucleic Acids Res. 2004, 32, W20–W25. [Google Scholar] [CrossRef] [PubMed]
- Wang, P.; Hu, L.; Liu, G.; Jiang, N.; Chen, X.; Xu, J.; Zheng, W.; Li, L.; Tan, M.; Chen, Z.; et al. Prediction of Antimicrobial Peptides Based on Sequence Alignment and Feature Selection Methods. PLoS ONE 2011, 6, e18476. [Google Scholar] [CrossRef] [PubMed]
- Chang, K.Y.; Lin, T.-P.; Shih, L.-Y.; Wang, C.-K. Analysis and Prediction of the Critical Regions of Antimicrobial Peptides Based on Conditional Random Fields. PLoS ONE 2015, 10, e0119490. [Google Scholar] [CrossRef] [PubMed]
- Thakur, N.; Qureshi, A.; Kumar, M. AVPpred: Collection and Prediction of Highly Effective Antiviral Peptides. Nucleic Acids Res. 2012, 40, W199–W204. [Google Scholar] [CrossRef] [PubMed]
- Vens, C.; Rosso, M.-N.; Danchin, E.G.J. Identifying Discriminative Classification-Based Motifs in Biological Sequences. Bioinformatics 2011, 27, 1231–1238. [Google Scholar] [CrossRef] [PubMed]
- Pande, A.; Patiyal, S.; Lathwal, A.; Arora, C.; Kaur, D.; Dhall, A.; Mishra, G.; Kaur, H.; Sharma, N.; Jain, S.; et al. Pfeature: A Tool for Computing Wide Range of Protein Features and Building Prediction Models. J. Comput. Biol. 2023, 30, 204–222. [Google Scholar] [CrossRef]
- Zeng, Z.; Shi, H.; Wu, Y.; Hong, Z. Survey of Natural Language Processing Techniques in Bioinformatics. Comput. Math. Methods Med. 2015, 2015, 674296. [Google Scholar] [CrossRef]
- Bojanowski, P.; Grave, E.; Joulin, A.; Mikolov, T. Enriching Word Vectors with Subword Information. Trans. Assoc. Comput. Linguist. 2017, 5, 135–146. [Google Scholar] [CrossRef]
- Joulin, A.; Grave, E.; Bojanowski, P.; Douze, M.; Jégou, H.; Mikolov, T. FastText.zip: Compressing Text Classification Models. arXiv 2016, arXiv:1612.03651. [Google Scholar]
- Nguyen, T.-T.-D.; Le, N.-Q.-K.; Ho, Q.-T.; Phan, D.-V.; Ou, Y.-Y. TNFPred: Identifying Tumor Necrosis Factors Using Hybrid Features Based on Word Embeddings. BMC Med. Genom. 2020, 13, 155. [Google Scholar] [CrossRef]
- Breiman, L. Classification and Regression Trees, 1st ed.; Routledge: Informa, UK, 2017; ISBN 9781315139470. [Google Scholar]
- Ho, T.K. Random Decision Forests. In Proceedings of the 3rd International Conference on Document Analysis and Recognition, Montreal, QC, Canada, 14–16 August 1995. [Google Scholar]
- Jahromi, A.H.; Taheri, M. A Non-Parametric Mixture of Gaussian Naive Bayes Classifiers Based on Local Independent Features. In Proceedings of the 2017 Artificial Intelligence and Signal Processing Conference (AISP), Shiraz, Iran, 25–27 October 2017. [Google Scholar]
- Dreiseitl, S.; Ohno-Machado, L. Logistic Regression and Artificial Neural Network Classification Models: A Methodology Review. J. Biomed. Inform. 2002, 35, 352–359. [Google Scholar] [CrossRef]
- Ben-Hur, A.; Ong, C.S.; Sonnenburg, S.; Schölkopf, B.; Rätsch, G. Support Vector Machines and Kernels for Computational Biology. PLoS Comput. Biol. 2008, 4, e1000173. [Google Scholar] [CrossRef]
- Taunk, K.; De, S.; Verma, S.; Swetapadma, A. A Brief Review of Nearest Neighbor Algorithm for Learning and Classification. In Proceedings of the 2019 International Conference on Intelligent Computing and Control Systems (ICCS), Madurai, India, 15–17 May 2019. [Google Scholar]
- Geurts, P.; Ernst, D.; Wehenkel, L. Extremely Randomized Trees. Mach. Learn. 2006, 63, 3–42. [Google Scholar] [CrossRef]
- Pedregosa, F.; Varoquaux, G.; Gramfort, A.; Michel, V.; Thirion, B.; Grisel, O.; Blondel, M.; Prettenhofer, P.; Weiss, R.; Dubourg, V.; et al. Scikit-Learn: Machine Learning in Python. J. Mach. Learn. Res. 2011, 12, 2825–2830. [Google Scholar]
- Mathew, A.; Amudha, P.; Sivakumari, S. Deep Learning Techniques: An Overview. In Advances in Intelligent Systems and Computing; Advances in Intelligent Systems and Computing; Springer: Singapore, 2021; pp. 599–608. ISBN 9789811533822. [Google Scholar]
- Grossi, E.; Buscema, M. Introduction to Artificial Neural Networks. Eur. J. Gastroenterol. Hepatol. 2007, 19, 1046–1054. [Google Scholar] [CrossRef] [PubMed]
- Rezk, N.M.; Purnaprajna, M.; Nordstrom, T.; Ul-Abdin, Z. Recurrent Neural Networks: An Embedded Computing Perspective. IEEE Access 2020, 8, 57967–57996. [Google Scholar] [CrossRef]
- Purwono, P.; Ma’arif, A.; Rahmaniar, W.; Fathurrahman, H.I.K.; Frisky, A.Z.K.; ul Haq, Q.M. Understanding of Convolutional Neural Network (CNN): A Review. Int. J. Robot. Control. Syst. 2023, 2, 739–748. [Google Scholar] [CrossRef]
- Van Houdt, G.; Mosquera, C.; Nápoles, G. A Review on the Long Short-Term Memory Model. Artif. Intell. Rev. 2020, 53, 5929–5955. [Google Scholar] [CrossRef]
- Chollet, F. Keras: The Python Deep Learning Library; Astrophysics Source Code Library: online, 2018. [Google Scholar]
- Abadi, M.; Agarwal, A.; Barham, P.; Brevdo, E.; Chen, Z.; Citro, C.; Corrado, G.S.; Davis, A.; Dean, J.; Devin, M.; et al. TensorFlow: Large-Scale Machine Learning on Heterogeneous Distributed Systems. arXiv 2016, arXiv:1603.04467. [Google Scholar]
- Singh, O.; Hsu, W.-L.; Su, E.C.-Y. ILeukin10Pred: A Computational Approach for Predicting IL-10-Inducing Immunosuppressive Peptides Using Combinations of Amino Acid Global Features. Biology 2021, 11, 5. [Google Scholar] [CrossRef]
- Naorem, L.D.; Sharma, N.; Raghava, G.P.S. A Web Server for Predicting and Scanning of IL-5 Inducing Peptides Using Alignment-Free and Alignment-Based Method. Comput. Biol. Med. 2023, 158, 106864. [Google Scholar] [CrossRef]
- Gupta, S.; Sharma, A.K.; Jaiswal, S.K.; Sharma, V.K. Prediction of Biofilm Inhibiting Peptides: An In Silico Approach. Front. Microbiol. 2016, 7, 949. [Google Scholar] [CrossRef]








| e-Value | Hits | Correct Hits | Incorrect Hits | Percentage of Correct Hits | ||||||||
|---|---|---|---|---|---|---|---|---|---|---|---|---|
| GP | GN | GV | GP | GN | GV | GP | GN | GV | GP | GN | GV | |
| 10−20 | 39 | 30 | 470 | 39 | 28 | 450 | 0 | 2 | 20 | 100 | 93 | 96 | 
| 10−10 | 110 | 138 | 1188 | 104 | 133 | 1042 | 6 | 5 | 146 | 95 | 96 | 88 | 
| 10−06 | 150 | 234 | 1516 | 141 | 226 | 1301 | 9 | 8 | 215 | 94 | 97 | 86 | 
| 0.0001 | 173 | 262 | 1730 | 162 | 253 | 1477 | 11 | 9 | 253 | 94 | 97 | 85 | 
| 0.001 | 195 | 284 | 1925 | 181 | 275 | 1649 | 14 | 9 | 276 | 93 | 97 | 86 | 
| 0.01 | 211 | 326 | 2114 | 196 | 315 | 1809 | 15 | 11 | 305 | 93 | 97 | 86 | 
| 0.1 | 230 | 362 | 2326 | 211 | 349 | 1992 | 19 | 13 | 334 | 92 | 96 | 86 | 
| 1 | 272 | 416 | 2608 | 242 | 395 | 2228 | 30 | 21 | 380 | 89 | 95 | 85 | 
| 10 | 329 | 506 | 3222 | 268 | 462 | 2658 | 61 | 44 | 564 | 81 | 91 | 82 | 
| 50 | 357 | 552 | 3488 | 286 | 489 | 2840 | 71 | 63 | 648 | 80 | 89 | 81 | 
| 100 | 359 | 557 | 3537 | 289 | 492 | 2869 | 70 | 65 | 668 | 81 | 88 | 81 | 
| 200 | 361 | 564 | 3560 | 290 | 498 | 2884 | 71 | 66 | 676 | 80 | 88 | 81 | 
| 1000 | 366 | 571 | 3584 | 295 | 500 | 2902 | 71 | 71 | 682 | 81 | 88 | 81 | 
| Training Set | Validation Set | ||||||
|---|---|---|---|---|---|---|---|
| Category of ABPs | Frequency of a Motif | Number of Motifs | Total Occurrence | Coverage (No. of Sequence) | Test File Coverage (No. of Sequence) | Correct Hits | Percentage of Correct Hits | 
| Gram-positive | fp10 | 329 | 6105 | 285 | 44 | 35 | 79.55% | 
| fp20 | 126 | 122 | 19 | 16 | 84.21% | ||
| fp30 | 14 | 92 | 14 | 12 | 85.71% | ||
| Gram-negative | fp10 | 778 | 14,136 | 735 | 233 | 206 | 88% | 
| fp20 | 217 | 455 | 152 | 142 | 93% | ||
| fp30 | 81 | 302 | 117 | 113 | 97% | ||
| Gram-variable | fp10 | 3079 | 47,627 | 3268 | 774 | 665 | 86% | 
| fp20 | 651 | 1585 | 343 | 321 | 94% | ||
| fp30 | 121 | 826 | 168 | 163 | 97% | ||
| S. No. | Gram-Positive | Gram-Negative | Gram-Variable | |||
|---|---|---|---|---|---|---|
| Motifs | Hits (No. of Sequences) | Motifs | Hits (No. of Sequences) | Motifs | Hits (No. of Sequences) | |
| 1 | YGN | 47 | RPPR | 78 | KKLLKK | 63 | 
| 2 | YGNG | 47 | PRPR | 74 | RIVQ | 54 | 
| 3 | NNG | 44 | RRIY | 71 | SKVF | 52 | 
| 4 | YGNGV | 38 | LPRP | 67 | RIVQR | 51 | 
| 5 | YYGN | 36 | IYN | 67 | IVQRI | 50 | 
| 6 | YYGNG | 36 | IYNR | 66 | KRIVQ | 49 | 
| 7 | VDW | 34 | PRRI | 65 | VVIR | 48 | 
| 8 | NGLP | 31 | PRRIY | 65 | RWWR | 48 | 
| 9 | PTGL | 30 | RIYN | 65 | DFLR | 47 | 
| 10 | RCRV | 30 | RRIYN | 64 | RIVQRI | 47 | 
| Feature Type | Training Set | Validation Set | ||||||||||
|---|---|---|---|---|---|---|---|---|---|---|---|---|
| GP | GN | GV | GP | GN | GV | |||||||
| AUC | MCC | AUC | MCC | AUC | MCC | AUC | MCC | AUC | MCC | AUC | MCC | |
| AAC | 0.93 | 0.71 | 0.96 | 0.80 | 0.93 | 0.71 | 0.94 | 0.75 | 0.98 | 0.86 | 0.95 | 0.74 | 
| DPC | 0.91 | 0.68 | 0.95 | 0.77 | 0.92 | 0.70 | 0.93 | 0.72 | 0.98 | 0.86 | 0.92 | 0.70 | 
| ATC | 0.84 | 0.52 | 0.91 | 0.69 | 0.86 | 0.58 | 0.84 | 0.51 | 0.95 | 0.78 | 0.89 | 0.62 | 
| BTC | 0.75 | 0.36 | 0.79 | 0.43 | 0.76 | 0.38 | 0.70 | 0.29 | 0.84 | 0.51 | 0.76 | 0.37 | 
| CTC | 0.88 | 0.59 | 0.94 | 0.75 | 0.90 | 0.68 | 0.90 | 0.68 | 0.97 | 0.82 | 0.91 | 0.71 | 
| PCP | 0.91 | 0.64 | 0.95 | 0.76 | 0.91 | 0.67 | 0.94 | 0.72 | 0.97 | 0.84 | 0.93 | 0.72 | 
| AAI | 0.91 | 0.67 | 0.95 | 0.77 | 0.91 | 0.68 | 0.92 | 0.71 | 0.97 | 0.86 | 0.92 | 0.73 | 
| RRI | 0.89 | 0.61 | 0.94 | 0.75 | 0.91 | 0.68 | 0.91 | 0.66 | 0.97 | 0.82 | 0.92 | 0.69 | 
| PRI | 0.87 | 0.58 | 0.94 | 0.72 | 0.90 | 0.66 | 0.88 | 0.63 | 0.97 | 0.80 | 0.91 | 0.67 | 
| DDR | 0.91 | 0.65 | 0.94 | 0.73 | 0.91 | 0.69 | 0.93 | 0.67 | 0.97 | 0.80 | 0.92 | 0.72 | 
| SEP | 0.61 | 0.18 | 0.72 | 0.37 | 0.74 | 0.35 | 0.60 | 0.16 | 0.80 | 0.44 | 0.79 | 0.45 | 
| SER | 0.92 | 0.67 | 0.96 | 0.78 | 0.92 | 0.71 | 0.92 | 0.69 | 0.97 | 0.86 | 0.93 | 0.72 | 
| SPC | 0.90 | 0.64 | 0.94 | 0.76 | 0.90 | 0.67 | 0.92 | 0.71 | 0.96 | 0.81 | 0.92 | 0.71 | 
| PAAC | 0.93 | 0.70 | 0.96 | 0.80 | 0.92 | 0.71 | 0.93 | 0.72 | 0.97 | 0.87 | 0.93 | 0.74 | 
| APAAC | 0.93 | 0.70 | 0.96 | 0.79 | 0.92 | 0.71 | 0.93 | 0.72 | 0.98 | 0.87 | 0.95 | 0.75 | 
| QSO | 0.92 | 0.70 | 0.96 | 0.79 | 0.92 | 0.71 | 0.93 | 0.73 | 0.97 | 0.84 | 0.93 | 0.73 | 
| SOC | 0.66 | 0.20 | 0.76 | 0.39 | 0.61 | 0.15 | 0.64 | 0.27 | 0.79 | 0.43 | 0.64 | 0.20 | 
| Feature Type | Terminal | Training Set | Validation Set | ||||||||||
|---|---|---|---|---|---|---|---|---|---|---|---|---|---|
| AUC | MCC | AUC | MCC | AUC | MCC | AUC | MCC | AUC | MCC | AUC | MCC | ||
| Category of ABP (Model) | GP (RF) | GN (ET) | GV (SVC) | GP (RF) | GN (ET) | GV (SVC) | |||||||
| AAB | N | 0.90 | 0.62 | 0.94 | 0.74 | 0.92 | 0.70 | 0.92 | 0.67 | 0.97 | 0.85 | 0.93 | 0.73 | 
| C | 0.87 | 0.59 | 0.92 | 0.68 | 0.89 | 0.64 | 0.86 | 0.55 | 0.95 | 0.79 | 0.89 | 0.63 | |
| NC | 0.91 | 0.64 | 0.95 | 0.75 | 0.92 | 0.73 | 0.93 | 0.66 | 0.98 | 0.86 | 0.94 | 0.74 | |
| Category of ABP(Model) | GP (SVC) | GN (SVC) | GV (RF) | GP (SVC) | GN (SVC) | GV (RF) | |||||||
| DPB | N | 0.88 | 0.59 | 0.93 | 0.72 | 0.48 | −0.10 | 0.89 | 0.63 | 0.97 | 0.80 | 0.86 | 0.52 | 
| C | 0.85 | 0.54 | 0.91 | 0.67 | 0.88 | 0.59 | 0.85 | 0.53 | 0.95 | 0.77 | 0.86 | 0.56 | |
| NC | 0.90 | 0.64 | 0.94 | 0.73 | 0.91 | 0.67 | 0.91 | 0.68 | 0.98 | 0.87 | 0.67 | 0.32 | |
| Category of ABP(Model) | GP (ET) | GN (ET) | GV (SVC) | GP (ET) | GN (ET) | GV (SVC) | |||||||
| AIB | N | 0.89 | 0.59 | 0.94 | 0.74 | 0.92 | 0.71 | 0.91 | 0.65 | 0.97 | 0.85 | 0.93 | 0.69 | 
| C | 0.88 | 0.56 | 0.92 | 0.69 | 0.89 | 0.65 | 0.88 | 0.57 | 0.96 | 0.76 | 0.89 | 0.64 | |
| NC | 0.91 | 0.65 | 0.95 | 0.73 | 0.92 | 0.73 | 0.93 | 0.69 | 0.98 | 0.85 | 0.94 | 0.73 | |
| Category of ABP (Model) | GP (RF) | GN (ET) | GV (SVC) | GP (RF) | GN (ET) | GV (SVC) | |||||||
| PCB | N | 0.90 | 0.64 | 0.94 | 0.72 | 0.91 | 0.70 | 0.92 | 0.63 | 0.97 | 0.84 | 0.93 | 0.73 | 
| C | 0.88 | 0.61 | 0.91 | 0.67 | 0.88 | 0.62 | 0.86 | 0.57 | 0.94 | 0.74 | 0.88 | 0.63 | |
| NC | 0.91 | 0.64 | 0.94 | 0.73 | 0.92 | 0.72 | 0.93 | 0.70 | 0.98 | 0.86 | 0.94 | 0.75 | |
| Feature (n-Gram Size) | Training Set | Validation Set | ||||||||||
|---|---|---|---|---|---|---|---|---|---|---|---|---|
| GP | GN | GV | GP | GN | GV | |||||||
| AUC | MCC | AUC | MCC | AUC | MCC | AUC | MCC | AUC | MCC | AUC | MCC | |
| 1 g | 0.91 | 0.67 | 0.95 | 0.77 | 0.89 | 0.64 | 0.92 | 0.68 | 0.97 | 0.84 | 0.92 | 0.71 | 
| 2 g | 0.91 | 0.66 | 0.94 | 0.75 | 0.92 | 0.71 | 0.91 | 0.71 | 0.97 | 0.82 | 0.93 | 0.74 | 
| 3 g | 0.87 | 0.57 | 0.92 | 0.70 | 0.91 | 0.68 | 0.84 | 0.56 | 0.96 | 0.82 | 0.92 | 0.68 | 
| 2 g & 3 g Combined | 0.91 | 0.66 | 0.95 | 0.77 | 0.92 | 0.73 | 0.90 | 0.65 | 0.97 | 0.82 | 0.93 | 0.73 | 
| Models | Sn | Sp | FPR | Acc | AUC | AUPRC | F1 | Kappa | MCC | 
|---|---|---|---|---|---|---|---|---|---|
| ML models | |||||||||
| DT | 64.5 | 79.6 | 20.4 | 72.0 | 0.78 | 0.74 | 0.70 | 0.44 | 0.45 | 
| RF | 80.7 | 90.3 | 9.7 | 85.5 | 0.93 | 0.92 | 0.85 | 0.71 | 0.71 | 
| LR | 72.0 | 86.0 | 14.0 | 79.0 | 0.89 | 0.89 | 0.78 | 0.58 | 0.59 | 
| KNN | 71.0 | 85.0 | 15.1 | 78.0 | 0.88 | 0.87 | 0.76 | 0.56 | 0.57 | 
| GNB | 70.4 | 79.6 | 20.4 | 75.0 | 0.79 | 0.80 | 0.74 | 0.50 | 0.50 | 
| ET | 80.1 | 89.8 | 10.2 | 85.0 | 0.93 | 0.92 | 0.84 | 0.70 | 0.70 | 
| SVC | 76.3 | 90.9 | 9.1 | 83.6 | 0.92 | 0.92 | 0.82 | 0.67 | 0.68 | 
| DL models | |||||||||
| ANN | 76.9 | 85.0 | 15.1 | 80.9 | 0.89 | 0.89 | 0.80 | 0.62 | 0.62 | 
| CNN | 75.3 | 85.5 | 14.5 | 80.4 | 0.89 | 0.90 | 0.79 | 0.61 | 0.61 | 
| RNN | 79.6 | 84.4 | 15.6 | 82.0 | 0.88 | 0.89 | 0.82 | 0.64 | 0.64 | 
| LSTM | 68.8 | 85.0 | 15.1 | 76.9 | 0.85 | 0.86 | 0.75 | 0.54 | 0.54 | 
| Validation Dataset | Performance Measures | Models | ||
|---|---|---|---|---|
| Gram-Positive | Gram-Negative | Gram-Variable | ||
| Gram-positive ABPs | Sn | 80.7 | 50.0 | 67.7 | 
| Sp | 90.3 | 89.3 | 87.6 | |
| Acc | 85.5 | 69.6 | 77.7 | |
| AUC | 0.93 | 0.85 | 0.88 | |
| AUPRC | 0.92 | 0.83 | 0.87 | |
| MCC | 0.71 | 0.43 | 0.57 | |
| Gram-negative ABPs | Sn | 66.0 | 92.4 | 91.1 | 
| Sp | 89.4 | 94.9 | 87.3 | |
| Acc | 77.7 | 93.6 | 89.2 | |
| AUC | 0.89 | 0.98 | 0.93 | |
| AUPRC | 0.85 | 0.98 | 0.92 | |
| MCC | 0.57 | 0.87 | 0.78 | |
| Gram-variable ABPs | Sn | 80.2 | 76.2 | 83.9 | 
| Sp | 87.4 | 92.0 | 90.1 | |
| Acc | 83.8 | 84.1 | 87.0 | |
| AUC | 0.91 | 0.93 | 0.94 | |
| AUPRC | 0.89 | 0.93 | 0.93 | |
| MCC | 0.68 | 0.69 | 0.74 | |
| Method | Algorithm | Sn | Sp | Acc | AUC | AUPRC | MCC | 
|---|---|---|---|---|---|---|---|
| gram-positive ABPs | |||||||
| AMPScanner vr2 | CNN & LSTM | 84.4 | 59.7 | 72.0 | 0.79 | 0.75 | 0.46 | 
| AI4AMP | CNN & LSTM | 82.8 | 86.6 | 84.7 | 0.90 | 0.82 | 0.69 | 
| iAMPpred | SVM | 79.6 | 60.8 | 70.2 | 0.75 | 0.71 | 0.41 | 
| AMPfun | SVM | 90.3 | 57.0 | 73.7 | 0.83 | 0.76 | 0.50 | 
| ABP-Finder | RF | 8.1 | 100.0 | 54.0 | - | - | 0.21 | 
| AntiBP3 | RF | 80.7 | 90.3 | 85.5 | 0.93 | 0.92 | 0.71 | 
| gram-negative ABPs | |||||||
| AMPScanner vr2 | CNN & LSTM | 73.9 | 45.7 | 59.8 | 0.54 | 0.48 | 0.20 | 
| AI4AMP | CNN & LSTM | 67.7 | 59.8 | 63.8 | 0.62 | 0.55 | 0.28 | 
| iAMPpred | SVM | 75.6 | 44.0 | 59.8 | 0.57 | 0.51 | 0.21 | 
| AMPfun | SVM | 73.9 | 45.7 | 59.8 | 0.58 | 0.52 | 0.20 | 
| ABP-Finder | RF | 1.0 | 100.0 | 50.5 | - | - | 0.07 | 
| AntiBP3 | ET | 92.4 | 94.9 | 93.6 | 0.98 | 0.98 | 0.87 | 
| gram-variable ABPs | |||||||
| AMPScanner vr2 | CNN & LSTM | 90.3 | 59.0 | 74.6 | 0.80 | 0.74 | 0.52 | 
| AI4AMP | CNN & LSTM | 91.5 | 86.2 | 88.8 | 0.93 | 0.88 | 0.78 | 
| iAMPpred | SVM | 89.8 | 61.2 | 75.5 | 0.78 | 0.71 | 0.53 | 
| AMPfun | SVM | 95.5 | 61.8 | 78.6 | 0.87 | 0.79 | 0.61 | 
| ABP-Finder | RF | 68.1 | 79.4 | 73.7 | - | - | 0.48 | 
| AntiBP3 | SVC | 83.9 | 90.1 | 87.0 | 0.94 | 0.93 | 0.74 | 
| Disclaimer/Publisher’s Note: The statements, opinions and data contained in all publications are solely those of the individual author(s) and contributor(s) and not of MDPI and/or the editor(s). MDPI and/or the editor(s) disclaim responsibility for any injury to people or property resulting from any ideas, methods, instructions or products referred to in the content. | 
© 2024 by the authors. Licensee MDPI, Basel, Switzerland. This article is an open access article distributed under the terms and conditions of the Creative Commons Attribution (CC BY) license (https://creativecommons.org/licenses/by/4.0/).
Share and Cite
Bajiya, N.; Choudhury, S.; Dhall, A.; Raghava, G.P.S. AntiBP3: A Method for Predicting Antibacterial Peptides against Gram-Positive/Negative/Variable Bacteria. Antibiotics 2024, 13, 168. https://doi.org/10.3390/antibiotics13020168
Bajiya N, Choudhury S, Dhall A, Raghava GPS. AntiBP3: A Method for Predicting Antibacterial Peptides against Gram-Positive/Negative/Variable Bacteria. Antibiotics. 2024; 13(2):168. https://doi.org/10.3390/antibiotics13020168
Chicago/Turabian StyleBajiya, Nisha, Shubham Choudhury, Anjali Dhall, and Gajendra P. S. Raghava. 2024. "AntiBP3: A Method for Predicting Antibacterial Peptides against Gram-Positive/Negative/Variable Bacteria" Antibiotics 13, no. 2: 168. https://doi.org/10.3390/antibiotics13020168
APA StyleBajiya, N., Choudhury, S., Dhall, A., & Raghava, G. P. S. (2024). AntiBP3: A Method for Predicting Antibacterial Peptides against Gram-Positive/Negative/Variable Bacteria. Antibiotics, 13(2), 168. https://doi.org/10.3390/antibiotics13020168
 
        





 
       