Characterization of Two Novel Endolysins from Bacteriophage PEF1 and Evaluation of Their Combined Effects on the Control of Enterococcus faecalis Planktonic and Biofilm Cells
Abstract
1. Introduction
2. Results
2.1. Identification and Overexpression of Recombinant Endolysin
2.2. Lytic Activities of Recombinant LysPEF1-1 and LysPEF1-2
2.3. Characterization of Recombinant Endolysins LysPEF1-1 and LysPEF1-2
2.4. Lytic Spectra of Recombinant LysPEF1-1 and LysPEF1-2
2.5. Effects of Recombinant Endolysins on the Viability of E. faecalis Planktonic Cells
2.6. Effects of Recombinant Endolysins on Biofilm Formation of E. faecalis
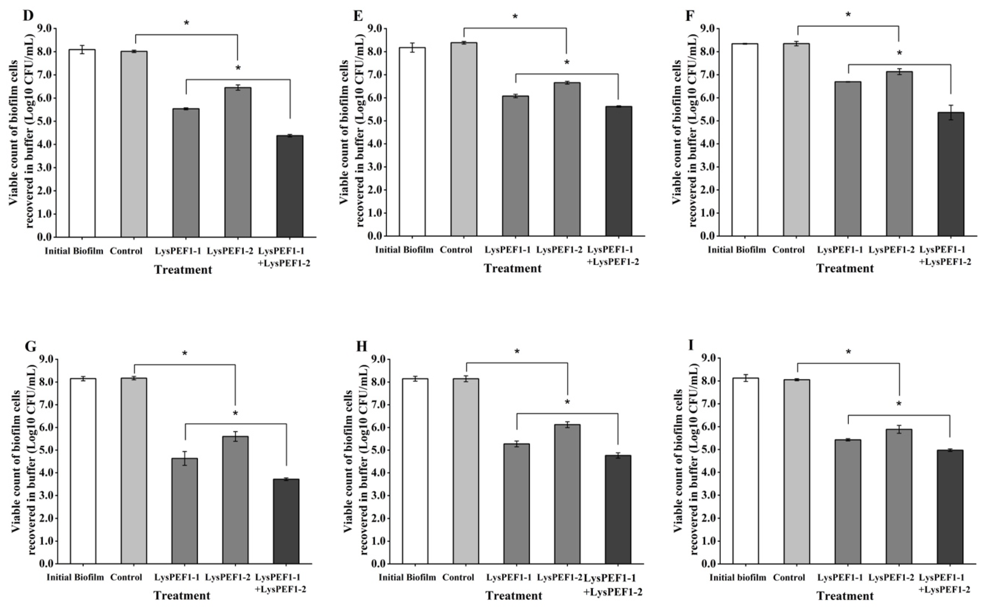
2.7. Effects of Recombinant Endolysins on Viability of E. faecalis in Biofilm on Different Surfaces
3. Discussion
4. Materials and Methods
4.1. Phages, Bacteria, and Growth Conditions
4.2. Bioinformatic Analysis
4.3. Cloning, Overexpression, and Purification of LysPEF1-1 and LysPEF1-2
4.4. Lytic Activity Assay of Recombinant LysPEF1-1 and LysPEF1-2
4.5. Fluorescence and Time-Lapse Microscopies
4.6. Characterization of Endolysin LysPEF1-1 and LysPEF1-2
4.7. Lytic Spectra of LysPEF1-1 and LysPEF1-2
4.8. Effect of LysPEF1-1 and LysPEF1-2 on Viability of E. faecalis in Broth
4.9. Effects of Endolysin LysPEF1-1 and LysPEF1-2 on Inhibiting E. faecalis Biofilm Formation
4.10. Treatment of E. faecalis Biofilms on 96-Well Microplate with LysPEF1-1 and LysPEF1-2
4.11. Treatment of E. faecalis Biofilm Cells on 304 Stainless Steel and Glass Surfaces
4.12. Statistical Analysis
5. Conclusions
Supplementary Materials
Author Contributions
Funding
Institutional Review Board Statement
Informed Consent Statement
Data Availability Statement
Conflicts of Interest
References
- Byappanahalli, M.N.; Nevers, M.B.; Korajkic, A.; Staley, Z.R.; Harwood, V.J. Enterococci in the environment. Microbiol. Mol. Biol. Rev. 2012, 76, 685–706. [Google Scholar] [CrossRef] [PubMed]
- Domig, K.J.; Mayer, H.K.; Kneifel, W. Methods used for the isolation, enumeration, characterisation and identification of Enterococcus spp. 1. Media for isolation and enumeration. Int. J. Food Microbiol. 2003, 88, 147–164. [Google Scholar] [CrossRef] [PubMed]
- Duan, Y.; Llorente, C.; Lang, S.; Brandl, K.; Chu, H.; Jiang, L.; Schnabl, B. Bacteriophage targeting of gut bacterium attenuates alcoholic liver disease. Nature 2019, 575, 505–511. [Google Scholar] [CrossRef] [PubMed]
- Wang, X.; Yang, Y.; Huycke, M.M. Risks associated with enterococci as probiotics. Food Res. Int. 2020, 129, 108788. [Google Scholar] [CrossRef] [PubMed]
- Yang, Y.; Nguyen, M.; Khetrapal, V.; Sonnert, N.D.; Martin, A.L.; Chen, H.; Palm, N.W. Within-host evolution of a gut pathobiont facilitates liver translocation. Nature 2022, 607, 563–570. [Google Scholar] [CrossRef]
- Arias, C.A.; Contreras, G.A.; Murray, B.E. Management of multidrug-resistant enterococcal infections. Clin. Microbiol. Infect. 2010, 16, 555–562. [Google Scholar] [CrossRef]
- Bender, J.K.; Cattoir, V.; Hegstad, K.; Sadowy, E.; Coque, T.M.; Westh, H.; Werner, G. Update on prevalence and mechanisms of resistance to linezolid, tigecycline and daptomycin in enterococci in Europe: Towards a common nomenclature. Drug Resist. Updates 2018, 40, 25–39. [Google Scholar] [CrossRef]
- van Harten, R.M.; Willems, R.J.L.; Martin, N.I.; Hendrickx, A.P.A. Multidrug-Resistant Enterococcal Infections: New Compounds, Novel Antimicrobial Therapies? Trends Microbiol. 2017, 25, 467–479. [Google Scholar] [CrossRef]
- Esmail, M.A.M.; Abdulghany, H.M.; Khairy, R.M. Prevalence of Multidrug-Resistant Enterococcus faecalis in Hospital-Acquired Surgical Wound Infections and Bacteremia: Concomitant Analysis of Antimicrobial Resistance Genes. Infect. Dis. Res. Treat. 2019, 12, 1178633719882929. [Google Scholar] [CrossRef]
- Gotkowska-Plachta, A. The Prevalence of Virulent and Multidrug-Resistant Enterococci in River Water and in Treated and Untreated Municipal and Hospital Wastewater. Int. J. Environ. Res. Public Health 2021, 18, 563. [Google Scholar] [CrossRef]
- Schmelcher, M.; Donovan, D.M.; Loessner, M.J. Bacteriophage endolysins as novel antimicrobials. Future Microbiol. 2012, 7, 1147–1171. [Google Scholar] [CrossRef] [PubMed]
- Schiopu, P.; Toc, D.A.; Colosi, I.A.; Costache, C.; Ruospo, G.; Berar, G.; Todea, D.A. An Overview of the Factors Involved in Biofilm Production by the Enterococcus Genus. Int. J. Mol. Sci. 2023, 24, 11577. [Google Scholar] [CrossRef] [PubMed]
- Hall, C.W.; Mah, T.F. Molecular mechanisms of biofilm-based antibiotic resistance and tolerance in pathogenic bacteria. FEMS Microbiol. Rev. 2017, 41, 276–301. [Google Scholar] [CrossRef] [PubMed]
- Ch’ng, J.H.; Chong, K.K.L.; Lam, L.N.; Wong, J.J.; Kline, K.A. Biofilm-associated infection by enterococci. Nat. Rev. Microbiol. 2019, 17, 82–94. [Google Scholar] [CrossRef] [PubMed]
- Nelson, D.C.; Schmelcher, M.; Rodriguez-Rubio, L.; Klumpp, J.; Pritchard, D.G.; Dong, S.; Donovan, D.M. Endolysins as antimicrobials. Adv. Virus Res. 2012, 83, 299–365. [Google Scholar] [CrossRef]
- Rahman, M.U.; Wang, W.; Sun, Q.; Shah, J.A.; Li, C.; Sun, Y.; Wang, S. Endolysin, a Promising Solution against Antimicrobial Resistance. Antibiotics 2021, 10, 1277. [Google Scholar] [CrossRef]
- Gondil, V.S.; Harjai, K.; Chhibber, S. Endolysins as emerging alternative therapeutic agents to counter drug-resistant infections. Int. J. Antimicrob. Agents 2020, 55, 105844. [Google Scholar] [CrossRef]
- Chang, Y. Bacteriophage-Derived Endolysins Applied as Potent Biocontrol Agents to Enhance Food Safety. Microorganisms 2020, 8, 724. [Google Scholar] [CrossRef]
- Zhang, W.; Mi, Z.; Yin, X.; Fan, H.; An, X.; Zhang, Z.; Tong, Y. Characterization of Enterococcus faecalis phage IME-EF1 and its endolysin. PLoS ONE 2013, 8, e80435. [Google Scholar] [CrossRef]
- Cheng, M.; Zhang, Y.; Li, X.; Liang, J.; Hu, L.; Gong, P.; Gu, J. Endolysin LysEF-P10 shows potential as an alternative treatment strategy for multidrug-resistant Enterococcus faecalis infections. Sci. Rep. 2017, 7, 10164. [Google Scholar] [CrossRef]
- Zhang, H.; Buttaro, B.A.; Fouts, D.E.; Sanjari, S.; Evans, B.S.; Stevens, R.H. Bacteriophage Ef11 ORF28 Endolysin, a Multifunctional Lytic Enzyme with Properties Distinct from All Other Identified Enterococcus faecalis Phage Endolysins. Appl. Environ. Microbiol. 2019, 85, e00555-19. [Google Scholar] [CrossRef] [PubMed]
- Ghosh, C.; Sarkar, P.; Issa, R.; Haldar, J. Alternatives to Conventional Antibiotics in the Era of Antimicrobial Resistance. Trends Microbiol. 2019, 27, 323–338. [Google Scholar] [CrossRef] [PubMed]
- Yoong, P.; Schuch, R.; Nelson, D.; Fischetti, V.A. Identification of a Broadly Active Phage Lytic Enzyme with Lethal Activity against Antibiotic-Resistant Enterococcus faecalis and Enterococcus faecium. J. Bacteriol. 2004, 186, 4808–4812. [Google Scholar] [CrossRef] [PubMed]
- Binte Muhammad Jai, H.S.; Dam, L.C.; Tay, L.S.; Koh, J.J.W.; Loo, H.L.; Kline, K.A.; Goh, B.C. Engineered Lysins With Customized Lytic Activities Against Enterococci and Staphylococci. Front. Microbiol. 2020, 11, 574739. [Google Scholar] [CrossRef]
- Behera, M.; Singh, G.; Vats, A.; Parmanand; Roshan, M.; Gautam, D.; Ghorai, S.M. Expression and characterization of novel chimeric endolysin CHAPk-SH3bk against biofilm-forming methicillin-resistant Staphylococcus aureus. Int. J. Biol. Macromol. 2024, 254, 127969. [Google Scholar] [CrossRef]
- Cho, J.-H.; Kwon, J.-G.; O’Sullivan, D.J.; Ryu, S.; Lee, J.-H. Development of an endolysin enzyme and its cell wall–binding domain protein and their applications for biocontrol and rapid detection of Clostridium perfringens in food. Food Chem. 2021, 345, 128562. [Google Scholar] [CrossRef]
- Plotka, M.; Kaczorowska, A.K.; Morzywolek, A.; Makowska, J.; Kozlowski, L.P.; Thorisdottir, A.; Kaczorowski, T. Biochemical Characterization and Validation of a Catalytic Site of a Highly Thermostable Ts2631 Endolysin from the Thermus scotoductus Phage vB_Tsc2631. PLoS ONE 2015, 10, e0137374. [Google Scholar] [CrossRef]
- Griffin, M.E.; Klupt, S.; Espinosa, J.; Hang, H.C. Peptidoglycan NlpC/P60 peptidases in bacterial physiology and host interactions. Cell Chem. Biol. 2023, 30, 436–456. [Google Scholar] [CrossRef]
- Zhang, G.; Zhou, B.; Zhen, X.; Zhou, H.; Zhao, F.; Fan, C.; Ouyang, S. Structural and functional insights into a novel two-component endolysin encoded by a single gene in Enterococcus faecalis phage. PLoS Pathog. 2020, 16, e1008394. [Google Scholar] [CrossRef]
- Bocanova, L.; Psenko, M.; Barak, I.; Halgasova, N.; Drahovska, H.; Bukovska, G. A novel phage-encoded endolysin EN534-C active against clinical strain Streptococcus agalactiae GBS. J. Biotechnol. 2022, 359, 48–58. [Google Scholar] [CrossRef]
- Lu, N.; Sun, Y.; Wang, Q.; Qiu, Y.; Chen, Z.; Wen, Y.; Song, Y. Cloning and characterization of endolysin and holin from Streptomyces avermitilis bacteriophage phiSASD1 as potential novel antibiotic candidates. Int. J. Biol. Macromol. 2020, 147, 980–989. [Google Scholar] [CrossRef] [PubMed]
- Navarre, W.W.; Schneewind, O. Surface proteins of gram-positive bacteria and mechanisms of their targeting to the cell wall envelope. Microbiol. Mol. Biol. Rev. 1999, 63, 174–229. [Google Scholar] [CrossRef] [PubMed]
- Uchiyama, J.; Takemura, I.; Hayashi, I.; Matsuzaki, S.; Satoh, M.; Ujihara, T.; Murakami, M.; Imajoh, M.; Sugai, M.; Daibata, M. Characterization of lytic enzyme open reading frame 9 (ORF9) derived from Enterococcus faecalis bacteriophage phiEF24C. Appl. Environ. Microbiol. 2011, 77, 580–585. [Google Scholar] [CrossRef] [PubMed]
- Lu, R.; Liu, B.; Wu, L.; Bao, H.; Garcia, P.; Wang, Y.; Zhang, H. A Broad-Spectrum Phage Endolysin (LysCP28) Able to Remove Biofilms and Inactivate Clostridium perfringens Strains. Foods 2023, 12, 411. [Google Scholar] [CrossRef] [PubMed]
- Alcorlo, M.; Martinez-Caballero, S.; Molina, R.; Hermoso, J.A. Carbohydrate recognition and lysis by bacterial peptidoglycan hydrolases. Curr. Opin. Struct. Biol. 2017, 44, 87–100. [Google Scholar] [CrossRef]
- Javid, M.; Shahverdi, A.R.; Ghasemi, A.; Moosavi-Movahedi, A.A.; Ebrahim-Habibi, A.; Sepehrizadeh, Z. Decoding the Structure-Function Relationship of the Muramidase Domain in E. coli O157.H7 Bacteriophage Endolysin: A Potential Building Block for Chimeric Enzybiotics. Protein J. 2024, 43, 522–543. [Google Scholar] [CrossRef]
- Ranveer, S.A.; Dasriya, V.; Ahmad, M.F.; Dhillon, H.S.; Samtiya, M.; Shama, E.; Puniya, A.K. Positive and negative aspects of bacteriophages and their immense role in the food chain. NPJ Sci. Food 2024, 8, 1. [Google Scholar] [CrossRef]
- Soontarach, R.; Srimanote, P.; Arechanajan, B.; Nakkaew, A.; Voravuthikunchai, S.P.; Chusri, S. Characterization of a novel bacteriophage endolysin (LysAB1245) with extended lytic activity against distinct capsular types associated with Acinetobacter baumannii resistance. PLoS ONE 2024, 19, e0296453. [Google Scholar] [CrossRef]
- Nega, M.; Tribelli, P.M.; Hipp, K.; Stahl, M.; Gotz, F. New insights in the coordinated amidase and glucosaminidase activity of the major autolysin (Atl) in Staphylococcus aureus. Commun. Biol. 2020, 3, 695. [Google Scholar] [CrossRef]
- Anantharaman, V.; Aravind, L. Evolutionary history, structural features and biochemical diversity of the NlpC/P60 superfamily of enzymes. Genome Biol. 2003, 4, R11. [Google Scholar] [CrossRef]
- Dziarski, R.; Gupta, D. The peptidoglycan recognition proteins (PGRPs). Genome Biol. 2006, 7, 232. [Google Scholar] [CrossRef] [PubMed]
- Haddad Kashani, H.; Fahimi, H.; Dasteh Goli, Y.; Moniri, R. A Novel Chimeric Endolysin with Antibacterial Activity against Methicillin-Resistant Staphylococcus aureus. Front. Cell Infect. Microbiol. 2017, 7, 290. [Google Scholar] [CrossRef] [PubMed]
- Liu, W.; Liu, B.; Zhang, G.; Jia, H.; Zhang, Y.; Cen, X.; He, M. Molecular and Functional Characterization of a Short-Type Peptidoglycan Recognition Protein, Ct-PGRP-S1 in the Giant Triton Snail Charonia tritonis. Int. J. Mol. Sci. 2022, 23, 11062. [Google Scholar] [CrossRef]
- Lee, K.O.; Kong, M.; Kim, I.; Bai, J.; Cha, S.; Kim, B.; Suh, J.Y. Structural Basis for Cell-Wall Recognition by Bacteriophage PBC5 Endolysin. Structure 2019, 27, 1355–1365. [Google Scholar] [CrossRef] [PubMed]
- Tamai, E.; Yoshida, H.; Sekiya, H.; Nariya, H.; Miyata, S.; Okabe, A.; Kamitori, S. X-ray structure of a novel endolysin encoded by episomal phage phiSM101 of Clostridium perfringens. Mol. Microbiol. 2014, 92, 326–337. [Google Scholar] [CrossRef]
- Xu, Q.; Mengin-Lecreulx, D.; Liu, X.W.; Patin, D.; Farr, C.L.; Grant, J.C.; Wilson, I.A. Insights into Substrate Specificity of NlpC/P60 Cell Wall Hydrolases Containing Bacterial SH3 Domains. mBio 2015, 6, e02327-14. [Google Scholar] [CrossRef]
- Wang, C.; Zhao, J.; Lin, Y.; Yuan, L.; El-Telbany, M.; Maung, A.T.; Miyamoto, T. Isolation, characterization of Enterococcus phages and their application in control of E. faecalis in milk. J. Appl. Microbiol. 2023, 134, lxad250. [Google Scholar] [CrossRef]
- Zhang, Y.; Huang, H.H.; Duc, H.M.; Masuda, Y.; Honjoh, K.I.; Miyamoto, T. Endolysin LysSTG2: Characterization and application to control Salmonella Typhimurium biofilm alone and in combination with slightly acidic hypochlorous water. Food Microbiol. 2021, 98, 103791. [Google Scholar] [CrossRef]
- Oliveira, H.; Vilas Boas, D.; Mesnage, S.; Kluskens, L.D.; Lavigne, R.; Sillankorva, S.; Azeredo, J. Structural and Enzymatic Characterization of ABgp46, a Novel Phage Endolysin with Broad Anti-Gram-Negative Bacterial Activity. Front. Microbiol. 2016, 7, 208. [Google Scholar] [CrossRef]
- Miyamoto, T.; Kawagishi, H.; Oishi, A.; Shimotsu, S.; Mishima, T.; Kobayashi, H.; Honjon, K.I. Inhibition of Adhesion of Several Bacteria onto Microtiter Plate by Selected Food Additives. Jpn. J. Food Microbiol. 2011, 28, 157–166. [Google Scholar] [CrossRef]
- Zhang, Y.; Huang, H.-H.; Duc, H.M.; Masuda, Y.; Honjoh, K.-i.; Miyamoto, T. Application of endolysin LysSTG2 as a potential biocontrol agent against planktonic and biofilm cells of Pseudomonas on various food and food contact surfaces. Food Control 2022, 131, 108460. [Google Scholar] [CrossRef]









| Species | Strain Number | Phage PEF1 | Lytic Activity (%) | |
|---|---|---|---|---|
| LysPEF1-1 | LysPEF1-2 | |||
| Enterococcus faecalis | J1 | ± | 66.32 ± 0.93 | 24.90 ± 4.06 |
| J2 | ± | 49.21 ± 19.91 | 5.80 ± 3.51 | |
| J3 | ± | 69.96 ± 2.62 | 6.85 ± 2.79 | |
| J4 | ± | 39.80 ± 0.60 | - | |
| J5 | − | - | - | |
| J6 | ± | 32.97 ± 6.70 | - | |
| J7 | ± | 56.83 ± 0.50 | 9.75 ± 1.16 | |
| J8 | + | 78.46 ± 1.54 | 31.36 ± 1.36 | |
| J9 | − | 62.44 ± 0.66 | 5.16 ± 0.96 | |
| J10 | ± | 73.74 ± 0.47 | 6.68 ± 0.02 | |
| J11 | + | 70.10 ± 2.73 | 10.95 ± 0.64 | |
| J12 | ± | 13.84 ± 1.34 | 5.00 ± 2.71 | |
| J13 | ± | 53.28 ± 0.93 | - | |
| J14 | − | - | - | |
| J15 | − | 53.34 ± 0.76 | - | |
| J16 | ± | 46.97 ± 18.04 | 8.04 ± 5.13 | |
| J17 | − | 67.62 ±5.55 | 1.41 ± 0.08 | |
| J18 | ± | 53.24 ± 0.32 | 8.15 ± 0.41 | |
| J19 | ± | 58.48 ± 14.42 | 8.58 ± 0.39 | |
| J20 | ± | 66.04 ± 12.23 | 8.85 ± 1.99 | |
| J21 | ± | 63.40 ± 7.80 | 20.13 ± 0.96 | |
| J27 | ± | 67.55 ± 1.81 | 38.62 ± 2.71 | |
| J28 | + | 58.27 ± 15.35 | 70.66 ± 1.99 | |
| J30 | ± | 45.27 ± 2.70 | 60.67 ± 5.74 | |
| J31 | ± | 73.28 ± 0.42 | 33.75 ± 3.58 | |
| J32 | ± | 61.49 ± 2.14 | 12.89 ± 2.13 | |
| J33 | ± | 54.4 ± 0.86 | 20.69 ± 0.07 | |
| J34 | ± | 35.31 ± 0.37 | 24.65 ± 0.21 | |
| JM9 | ± | 62.00 ± 2.03 | 30.59 ± 0.89 | |
| E1 | ± | 60.87 ± 1.65 | 13.80 ± 1.76 | |
| E2 | ± | 38.98 ± 3.97 | - | |
| E3 | ± | 20.22 ± 2.00 | - | |
| E4 | ± | 68.55 ± 5.63 | 69.10 ± 2.12 | |
| E5 | − | 57.65 ± 5.43 | 10.02 ± 0.76 | |
| E6 | ± | 46.52 ± 0.78 | 32.51 ± 5.01 | |
| E7 | ± | 61.84 ± 0.53 | 5.19 ± 0.91 | |
| E8 | ± | 64.48 ± 1.11 | 24.89 ± 0.50 | |
| E9 | ± | 10.41 ± 0.87 | 8.09 ± 1.78 | |
| E10 | ± | 78.70 ± 2.77 | 3.80 ± 0.19 | |
| E11 | ± | 25.21 ± 3.00 | 11.97 ± 0.56 | |
| E12 | ± | 73.37 ± 2.71 | 7.29 ± 1.29 | |
| E13 | ± | 74.89 ± 1.94 | 3.16 ± 1.78 | |
| E14 | + | 75.12 ± 6.12 | 29.36 ± 0.93 | |
| E15 | ± | 59.98 ± 2.87 | 3.52 ± 0.58 | |
| E16 | ± | 15.80 ± 5.12 | 1.40 ± 0.76 | |
| E17 | ± | 80.98 ± 1.98 | 1.31 ± 0.11 | |
| E18 | ± | 69.40 ± 6.20 | 2.10 ± 0.94 | |
| E19 | ± | 58.77 ± 3.02 | 4.60 ± 0.32 | |
| E20 | ± | 70.49 ± 1.99 | 8.55 ± 1.85 | |
| E21 | ± | 73.08 ± 2.10 | 6.55 ± 2.63 | |
| E22 | ± | 77.95 ± 4.10 | 40.93 ± 5.12 | |
| E23 | ± | 69.36 ± 2.08 | 6.55 ± 1.81 | |
| E24 | ± | 41.74 ± 5.34 | - | |
| E25 | ± | 80.07 ± 3.58 | 20.09 ± 1.96 | |
| E26 | ± | 81.23 ± 2.13 | 28.73 ± 0.47 | |
| E27 | ± | 80.42 ± 1.36 | 23.29 ± 2.14 | |
| E28 | ± | 51.98 ± 3.10 | 19.40 ± 0.86 | |
| E29 | ± | 77.46 ± 5.85 | 15.36 ± 0.68 | |
| E30 | ± | 12.34 ± 0.88 | 2.99 ± 0.76 | |
| JCM 7783T | ± | 65.34 ± 1.68 | 15.14 ± 1.29 | |
| JCM 5803T | ± | 8.56 ± 1.70 | 11.18 ± 29.30 | |
| Enterococcus faecium | J22 | − | - | 14.47 ± 0.08 |
| J23 | ± | - | 29.58 ± 0.45 | |
| J24 | ± | - | 20.83 ± 0.39 | |
| J25 | − | 10.78 ± 0.82 | 5.16 ± 1.89 | |
| J26 | − | 3.25 ± 0.87 | 12.22 ± 0.73 | |
| J29 | − | - | 1.29 ± 0.71 | |
| J35 | − | - | - | |
| J36 | ± | 3.71 ± 1.02 | - | |
| Species | Strain Number | Phage PEF1 | Lytic Activity (%) | |
|---|---|---|---|---|
| LysPEF1-1 | LysPEF1-2 | |||
| Staphylococcus aureus | NCTC 8325 | − | - | 2.20 ± 0.83 |
| No. 179 | − | - | 3.78 ± 1.64 | |
| Listeria monocytogenes | No. 185 | − | 23.59 ± 4.46 | 15.39 ± 1.39 |
| Bacillus cereus | BC-RI15 | − | - | 2.85 ± 0.82 |
| Clostridium perfrigens | JCM 1290T | − | 16.25 ± 1.44 | 9.72 ± 1.79 |
| S1 | − | 16.77 ± 0.57 | 10.02 ± 1.14 | |
| Escherichia coli | O157:H7 | − | - | - |
| Salmonella Typhimurium | IFO 12529 | − | 25.76 ± 7.42 | 26.35 ± 1.86 |
| S. Enteritidis | IFO 3313 | − | 12.25 ± 0.99 | 10.84 ± 0.42 |
| Campylobacter jejuni | L26 | − | 100.01 ± 0.22 | 101.51 ± 0.51 |
| C. coli | Can 10 | − | 87.29 ± 0.17 | 103.91 ± 0.59 |
| Pseudomonas alcaligenes | NBRC 14159 | − | 20.6 ± 1.00 | 19.24 ± 0.94 |
| P. fluorescens | NBRC 14160 | − | 13.18 ± 2.70 | 19.34 ± 6.41 |
| P. fragi | NBRC 3458 | − | - | 14.28 ± 0.63 |
| P. oleovorans | NBRC 13583 | − | 9.74 ± 1.26 | 21.37 ± 0.80 |
Disclaimer/Publisher’s Note: The statements, opinions and data contained in all publications are solely those of the individual author(s) and contributor(s) and not of MDPI and/or the editor(s). MDPI and/or the editor(s) disclaim responsibility for any injury to people or property resulting from any ideas, methods, instructions or products referred to in the content. |
© 2024 by the authors. Licensee MDPI, Basel, Switzerland. This article is an open access article distributed under the terms and conditions of the Creative Commons Attribution (CC BY) license (https://creativecommons.org/licenses/by/4.0/).
Share and Cite
Wang, C.; Zhao, J.; Lin, Y.; Lwin, S.Z.C.; El-Telbany, M.; Masuda, Y.; Honjoh, K.-i.; Miyamoto, T. Characterization of Two Novel Endolysins from Bacteriophage PEF1 and Evaluation of Their Combined Effects on the Control of Enterococcus faecalis Planktonic and Biofilm Cells. Antibiotics 2024, 13, 884. https://doi.org/10.3390/antibiotics13090884
Wang C, Zhao J, Lin Y, Lwin SZC, El-Telbany M, Masuda Y, Honjoh K-i, Miyamoto T. Characterization of Two Novel Endolysins from Bacteriophage PEF1 and Evaluation of Their Combined Effects on the Control of Enterococcus faecalis Planktonic and Biofilm Cells. Antibiotics. 2024; 13(9):884. https://doi.org/10.3390/antibiotics13090884
Chicago/Turabian StyleWang, Chen, Junxin Zhao, Yunzhi Lin, Su Zar Chi Lwin, Mohamed El-Telbany, Yoshimitsu Masuda, Ken-ichi Honjoh, and Takahisa Miyamoto. 2024. "Characterization of Two Novel Endolysins from Bacteriophage PEF1 and Evaluation of Their Combined Effects on the Control of Enterococcus faecalis Planktonic and Biofilm Cells" Antibiotics 13, no. 9: 884. https://doi.org/10.3390/antibiotics13090884
APA StyleWang, C., Zhao, J., Lin, Y., Lwin, S. Z. C., El-Telbany, M., Masuda, Y., Honjoh, K.-i., & Miyamoto, T. (2024). Characterization of Two Novel Endolysins from Bacteriophage PEF1 and Evaluation of Their Combined Effects on the Control of Enterococcus faecalis Planktonic and Biofilm Cells. Antibiotics, 13(9), 884. https://doi.org/10.3390/antibiotics13090884

