Abstract
Graphene oxide (GO) sheets were dispersed into N, N-dimethylformamide (DMF) solution by ultrasonication and then mixed with thermoplastic polyurethane (TPU) solution uniformly, and further fabricated to GO-TPU film by casting process. The thermal properties, infrared photothermal response, and self-healing performance of the GO-TPU film were systematically investigated. The experimental results demonstrate that the thermal conductivity of GO-TPU film with 4 wt % GO and the initial concentration of 20 wt % TPU is 0.3719 W·m−1·K−1, which is 83.8% increase compared to pure TPU. The GO-TPU film has excellent infrared light-to-heat conversion efficiency. The infrared light-to-heat conversion efficiency of the GO-TPU film with 7 wt % GO and the initial concentration of 20 wt % TPU reaches the maximum, and the temperature increased by 63% compared to pure TPU, reaching 165.6 °C. The scratches on the GO-TPU composite film can be completely healed after being irradiated by infrared light for 10 min, which shows that the GO-TPU composite film has good self-healing properties.
1. Introduction
Thermoplastic polyurethane (TPU) is a block copolymer with urethane groups as the main chain, which soft and hard segments alternately arranged. The soft segment is composed of polyether or polyester polyol, which provides elasticity for the polymer; and the hard segment is composed of diisocyanate, diol, diamine, and other chain extenders/crosslinking agents containing aromatic groups, substituents, urethanes, etc., which mainly provide functions of filling, reinforcement, and crosslinking for the polymer [1,2]. Because of its special block molecular chain structure, TPU has the characteristics of extremely high tensile strength, oil resistance, easy processing, and so on [3,4,5,6], and was widely used in transportation, biomedical [3], electronic devices [4,5], and food packaging [6,7,8]. However, because of its own brittleness and aging characteristics, TPU film is easy to generate micro-cracks on the surface and inside during processing and using, resulting in the sustainability, safety, and lifetime sharp decline and easy failure. The range of application of TPU film is severely limited because of these problems [9,10,11,12]. Inspired by the repair function of organisms, the self-healing function of polymer materials to repair damaged materials has become a focus of research [13,14,15,16,17,18]. Because it can not only extend the life cycle of materials, increase the reuse rate of materials, reduce maintenance costs, but also play an extremely important role in saving resources and reducing energy consumption. In order to endow materials with self-healing performance, there are many methods, including introducing microcapsules or microvascular structures which contain repair agents [19], using the reversibility of molecular bonds [10,11,20,21,22], and intermolecular forces [23,24], and so on [25,26,27,28]. Although these methods can endow materials with self-healing performance, there are still problems such as time-consuming with low efficiency, complex conditions, and high technical requirements [11,21,24,25,26]. Therefore, it is of great significance to use functional materials to prepare self-healing polymers and composites, to improve material performance, expand the range of application and new self-healing methods.
Graphene oxide (GO) powders are an attractive candidate for functional fillers for polymers [29,30,31,32,33,34]. GO not only has a large specific surface area, but its base and edges have a large number of oxygen-containing functional groups, such as epoxy, hydroxyl, carboxyl, and carbonyl groups [28,29]. These oxygen-containing functional groups not only make GO have good compatibility with polymer substrates, but also can be used as reactive functional groups to be modified by other molecular chains [7,35,36]. Therefore, many scholars often use GO as fillers to prepare functional materials [37,38,39,40,41,42,43]. Jing et al. used 4,4′-methylene bis(phenyl isocyanate) and polycaprolactone diol to functionalize GO, and found that functionalized GO can be well dispersed into dimethylformamide (DMF) and polyurethane substrates [37]. When 0.4 wt % of GO was added into PU, the tensile stress, elongation at break and toughness of PU increased by 34.2%, 27.6%, and 64.5%, respectively. When 1.0 wt % of GO was added into PU, its thermal stability at T2% and T50% (at 2% and 50% weight loss temperature) increased by 16 °C and 21 °C than that of pure PU respectively [37]. Cai et al. introduced GO into the PU substrate by using isocyanate groups (-NCO) to react with oxygen-containing functional groups on GO to form covalent bonds. The results showed that the GO greatly improved the heat resistance, tensile modulus and tensile strength of polyurethane [34]. Um et al. synthesized three kinds of amine-functionalized GO (f-GO) and incorporated them into PU composite materials. The results showed that the GO increased the tensile modulus of PU by a maximum of 2.2 times [24]. Jing et al. introduced GO into the PU substrate to enhance the large-deflection bending performance of the polyurethane by solution mixing method, and used the finite element method for mechanical analysis [38].
As far as we know, in the research related to the polymer composites containing GO, most of them only focused on the improvement of the mechanical and thermal properties of composite materials [6,7,30,39,40,41,42,43]. However, there are a few reports on the systemic investigation of the infrared photothermal response and self-healing properties of GO-polymer composite films. In here, using TPU as the matrix and GO as the functional fillers, the effects of the initial concentration of the TPU and the loading of GO on the infrared photothermal response and self-healing performance were systematically studied.
2. Materials and Methods
2.1. Materials
GO (JCGO-10) with the size of less than 2 layers and thickness of 0.55–1.2 nm and an average particle size of 8–15 μm and a purity of >98 wt % was purchased from Jiacai Technology Co., Ltd., Chengdu, Sichuan, China; N, N-Dimethylformamide (DMF) was purchased from Jinan Shuangying Chemical Industry Co. Ltd., Jinan, China; thermoplastic polyurethane (TPU) was purchased from BASF (China) Company Ltd. Guangzhou Branch, Guangzhou, China. All the chemicals were used as received.
2.2. Preparation of GO-TPU Flexible Film
Total of 40 g TPU masterbatches were dissolved in 200 mL DMF. The GO was added into the DMF solution and ultrasonicated for 30 min under 300 W power to obtain GO dispersions in DMF. Then, according to the different mass ratios of GO and TPU, the aforementioned two mixed solutions were mixed and dispersed by a high-speed heterogeneous disperser at 3500 rpm/min for 1 h. Finally, GO-TPU mixed solution was pour into a clean polytetrafluoroethylene mold (4 cm in diameter) and dried in drying oven at 70 °C for 48 h. The GO-TPU composite film was obtained and used for further testing. Figure 1 shows a schematic diagram of the fabrication process of GO-TPU composite flexible film.
Figure 1.
Schematic diagram of the fabrication process of graphene oxide-thermoplastic polyurethane (GO-TPU) composite film.
2.3. Characterization
Thermal conductivity of the film was measured by a thermal conductivity analyzer (DRL-III, Shanghai Qunhong Instrument equipment Co., Ltd., Shanghai, China). Thermal analysis of the sample was characterized by differential scanning calorimetry (DSC, DSC-60H, Shimadzu, Kyoto, Janpa). The weight of sample is 13–15 mg, Gas1: Nitrogen 50.0 mL/min, the heating rate is 20 °C/min, and the sample test is heated from −80 °C to 200 °C, then naturally cooled to −80 °C, and then heated to 200 °C. Infrared thermal images were obtained by infrared thermal imager (Fluke Ti400, Fluke China Co., Ltd., Shanghai, China). Surface morphologies of the composite film before and after healed were observed by optical microscope (Nikon LV100, Nikon Co., Ltd., Tokyo, Japan). Universal tensile machine (GBH-1, Guangzhou International Standard packaging Equipment Co. Ltd., Guangzhou, China).
Mechanical measurement: The tensile strength of GO-TPU sample (dumbbell sample with size of 50 mm × 16 mm × 4 mm) was measured according to GB/T 1040.5-2008 standard, and its extension rate is 50 mm/min by a universal tensile testing machine (UTM500, Shenzhen Sansi Zongheng Technology Co. LTD, Shenzhen, China). Eight samples were tested for each sample in the experiment.
Healing measurement: The self-healing process was carried out by infrared lamp (PHILIP PAR38E, 250 W, 0.76–5 μm, Royal Philips Electronics Co., Ltd., Suzhou, China) as the light source; sample before healing: use a knife to make a 5 mm scratch on the surface of the GO-TPU composite film; sample after healing: put the damaged sample under near infrared (IR) light for a certain period of time. Eight samples were tested for each type in the experiment.
3. Results and Discussion
3.1. Morphology of GO-TPU Flexible Film
The base and edges of GO have a large number of oxygen-containing functional groups, such as epoxy groups, hydroxyl groups, carboxyl groups, and carbonyl groups, so that GO can have good compatibility with polymer substrates. Figure 2 shows photographs of the pure TPU film (a) and GO-TPU films prepared with the initial concentration of 20 wt % TPU and the loadings of GO of 0.1 wt % (b), 0.3 wt % (c), 0.6 wt % (d), 1 wt % (e), 2 wt % (f), 3 wt % (g), 4 wt % (h), 5 wt % (i), and 7 wt % (j), respectively. It can be seen from the photographs that the pure TPU film has good transparency, and the GO-TPU composite films with a small amount of GO are brown and opaque (Figure 2b–d). As the loading of GO increases, the GO-TPU composite film appears black, indicating that GO sheets are stacked and the graphitization occurs in the TPU.
Figure 2.
Photographs of the pure TPU film (a) and GO-TPU films prepared with the initial concentration of 20 wt % TPU and the loadings of GO of 0.1 wt % (b), 0.3 wt % (c), 0.6 wt % (d), 1 wt % (e), 2 wt % (f), 3 wt % (g), 4 wt % (h), 5 wt % (i), and 7 wt % (j), respectively.
Figure 3 shows the SEM images of surface morphology of the GO-TPU composite films prepared with the loadings of GO of 1 wt % (a), 2 wt % (b), 3 wt % (c), and 5 wt % (d), respectively. Seen from Figure 3, all composite films show the sheet-like wrinkle structures on the surface. In the case of the low loadings of GO (1 wt % and 2 wt %), the sheet-like structure on the surface of the GO-TPU composite film is evenly distributed, which indicates that the GO sheets are uniformly dispersed in the TPU matrix. It may be that GO sheets have a large number of oxygen-containing functional groups, which make GO sheet and TPU compatible; as the loading of GO increases, the area of the sheet-like wrinkle structure of the composite film becomes larger and unevenly distributed. This may be due to the van der Waals force and electrostatic force between the GO, making the GO stacking and agglomerating on the TPU matrix [34,35,36].
Figure 3.
SEM images of surface morphology of the Go-TPU films prepared with loadings of GO of 1 wt % (a), 2 wt % (b), 3 wt % (c), and 5 wt % (d), respectively.
Figure 4 shows the SEM images of cross-section morphology of GO-TPU films prepared with the loading of GO of 1 wt % (a), 2 wt % (b), 3 wt % (c), 5 wt % (d), respectively. From the cross-section view surface of GO-TPU composite films, we can see that the surface of the composite film is smooth in the case of the low loading of GO. As the loading of GO increases, GO sheets disperse and overlap in the TPU and show good compatibility between the PU matrix and the GO sheets, which makes the contact between the filler and the matrix closer, and promotes the formation of continuous GO networks.
Figure 4.
SEM images of the cross-section morphology of the GO-TPU films prepared with the loading of GO of 1 wt % (a), 2 wt % (b), 3 wt % (c), and 5 wt % (d), respectively.
3.2. Thermal Property of GO-TPU Flexible Film
Graphite derivatives such as graphene, GO, carbon nanotubes, etc., are usually used as thermal conductivity enhancement materials to enhance the thermal performance of the polyurethane matrix. Even at low loading of filler, the thermal performance of the polyurethane matrix is greatly improved [7,31,36,40]. In order to reveal the influence of the loading of GO on the thermal property of the GO-TPU film, DSC measurements of the pure TPU film (a) and GO-TPU films with the loadings of GO of 0.6 wt % (b), 1 wt % (c), 3 wt % (d), and 4 wt % (e), respectively, were obtained and shown in Figure 5. Seen from Figure 5, the glass transition temperature (Tg) of the pure TPU film is −35.65 °C. When the loadings of GO of 0.6 wt %, 1 wt %, 3 wt %, and 4 wt %, Tg is −35.50 °C, −36.50 °C, −37.04 °C, and −37.32 °C, respectively, it indicated that the oxygen-containing functional groups of GO are effectively combined with the hard segment of the TPU, resulting in a reduction in the number of C=O of the hard segment, so that the soft segments of the polyurethane have greater free mobility, and the glass transition temperature is decreased [7]. In addition, the crystalline melting of the pure TPU is about 163 °C, and the crystalline melting of the GO-TPU films with the loadings of GO of 0.6 wt %, 1 wt %, 3 wt %, 4 wt % is 168.8 °C, 166 °C, 165.6 °C, and 166.3 °C, respectively, indicating that the GO improves the thermal stability.
Figure 5.
DSC measurements of pure TPU and GO-TPU films prepared with the loading of GO of 0.6 wt %, 1 wt %, 3 wt %, 4 wt %, respectively. Numbers in plot stand for the glass transition temperature and melting point.
Thermal conductivity is one of the important parameters to measure the thermal performance of materials. Therefore, we studied the effect of the loading of GO and initial concentration of TPU on thermal conductivity of the GO-TPU film. Figure 6 shows the relationship between thermal conductivity of GO-TPU film and the loading of GO in the TPU initial concentration of 10 wt % (a), 20 wt % (b), and 30 wt % (c), respectively. The thermal conductivity of pure TPU with the initial concentration of 10 wt % (a), 20 wt % (b), and 30 wt % (c) is 0.2101 W·m−1·K−1, 0.2023 W·m−1·K−1, and 0.1997 W·m−1·K−1, respectively, and first increases and then decreases with the increases of the loading of GO. When the loading of GO is 4 wt %, the thermal conductivities of the GO-TPU film with the TPU initial concentration of 10 wt % (a), 20 wt % (b), and 30 wt % (c) reach the maximum, i.e., 0.3815 W·m−1·K−1, 0.3719 W·m−1·K−1, and 0.3623 W·m−1·K−1, which is an increase of 81.7%, 83.8%, and 81.4%, respectively, compared to pure TPU. When the loading of GO is less than 4 wt %, the GO improves the thermal conductivity of the GO-TPU film because of the excellent thermal conductivity, and as the loading of GO increases, the GO sheets are spliced and nested with each other to form thermal conduction network which makes the thermal conductivity to gradually increase. However, when the loading of GO is more than 4 wt %, GO sheets occur to agglomerate and stack because of the internal stress between GO sheets, which reduces the numbers of thermal conductivity networks in the GO-TPU film, so the thermal conductivity begins to decrease. However, there still are a large number of thermally conductive networks, so the thermal conductivity is greater than pure TPU. In addition, under the same loading of GO, the viscosity of the TPU solution is different because of the difference in the initial concentration of TPU. When the initial concentration of TPU increases, the viscosity increases too. Too low or too high viscosity is not conducive to the dispersion of GO in TPU, so the improvement rate of thermal conductivity of GO-TPU is 30 wt % less than 10 wt % less than 20 wt %.
Figure 6.
Thermal conductivity of GO-TPU film with difference loadings of GO and the initial concentration of TPU of 10 wt %, 20 wt %, and 30 wt %, respectively.
3.3. Mechanical Property of GO-TPU Flexible Films
GO is often regarded as the excellent reinforcing filler because of its huge specific surface area and excellent mechanical property [1,6,7,19,31,36,37,38,39,40,41]. Figure 7 shows the mechanical property measurements of the pure TPU and GO-TPU films prepared with the initial concentration of TPU of 20 wt % and the loading of GO of 0.1 wt %, 0.3 wt %, 0.6 wt %, 1 wt %, 2 wt %, 3 wt %, 4 wt %, 5 wt %, and 7 wt %, respectively. Seen from Figure 7, with the increase of the loading of the GO, the tensile strength of GO-TPU films first increases and then decreases. When the loading of GO is 0.6 wt %, the tensile strength of GO-TPU film reaches the maximum of 7.51 MPa. The proper loading of GO can enhance the mechanical properties of TPU. The GO can be well dispersed in the polymer at low loading of GO because of a large number of oxygen-containing functional groups on the surface of GO. When the GO-TPU film is subjected to an external force, because of the extremely large surface area between the GO sheets, the external force can be transmitted well, and the TPU matrix is uniformly stressed. So, the tensile strength of GO-TPU films gradually increases. However, when the loading of GO is too high, GO sheets occur to agglomerate and stack in the TPU matrix, the ability of the agglomerated GO to transmit external forces is reduced, making it difficult to evenly disperse external forces into the TPU matrix, resulting in the tensile strength of GO-TPU films to decrease [31,37,41].
Figure 7.
Tensile strength of GO-TPU films with the initial concentrations of TPU of 20 wt % and different loadings of GO. The inserts are the photographs of the tested samples. Error bars in the plots are standard error.
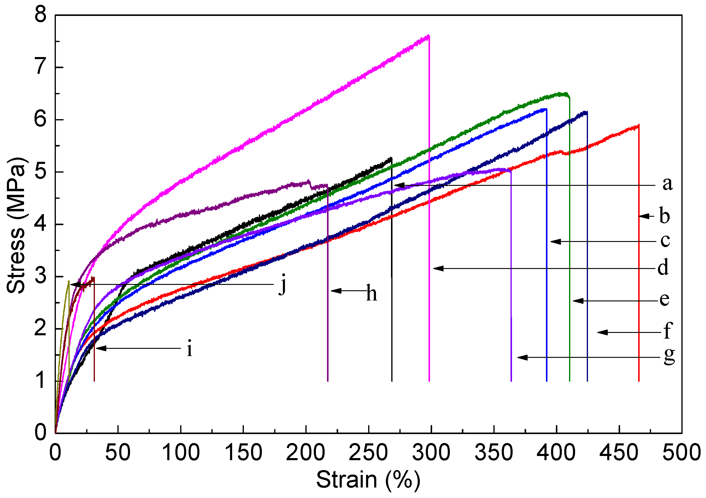
We also obtained stress–strain curves of pure TPU film (a) and GO-TPU films prepared with loadings of GO of 0.1 wt % (b), 0.3 wt % (c), 0.6 wt % (d), 1 wt % (e), 2 wt % (f), 3 wt % (g), 4 wt % (h), 5 wt % (i), and 7 wt % (j), respectively, as shown in Figure 8. When the loading of GO is 0.1–4, the strain of the GO-TPU film is higher than that of pure TPU, indicating that a certain loading of GO is beneficial to improve the strain of TPU.
Figure 8.
Stress–strain curves of pure TPU film (a) and GO-TPU films prepared with loadings of GO of 0.1 wt % (b), 0.3 wt % (c), 0.6 wt % (d), 1 wt % (e), 2 wt % (f), 3 wt % (g), 4 wt % (h), 5 wt % (i), and 7 wt % (j), respectively.
In addition, we studied the relationship of different initial concentrations of TPU on the tensile strength of GO-TPU films with different loadings of GO, as shown in Figure 9. Seen from Figure 9, in the condition of the same loading of GO, the degree of mutual cross-linking and contact between the TPU molecules are different because of the difference in viscosity, resulting in difference in the tensile strength between the GO-TPU films. The greater the viscosity, the tighter the contact of the TPU molecular chain and the higher the degree of cross-linking. Therefore, 30 wt % is the highest, 20 wt % is the second, and 10 wt % is the lowest.
Figure 9.
Tensile strength of GO-TPU films with different loadings of GO and TPU initial concentrations of 10 wt %, 20 wt %, and 30 wt %, respectively. Error bars in the plots are standard error.
3.4. Near-Infrared Photothermal Response of GO-TPU Flexible Films
In recent years, graphene oxide sheets as the functional fillers for polymer have aroused the interest of researchers [6,24,28,36,42,43]. However, most of them only paid attention to the improvement of the mechanical and thermal properties of composite materials. However, same as graphene, GO also has excellent photothermal conversion capabilities. In here, we investigated the near-infrared photothermal response performance of GO-TPU film under the irradiation of infrared lamp with an infrared light intensity of 3450 lux (the distance between the infrared lamp and the sample is 10 cm) for 60 s and then turn off the infrared lamp. Figure 10 shows the time-dependent temperature of GO-TPU film with an initial concentration of TPU of 20 wt % under near-infrared light with different loadings of GO (Figure 10a) and the maximum conversion temperature with initial concentrations of TPU of 10 wt %, 20 wt %, and 30 wt %, respectively, and different loadings of GO after 60 s of infrared light irradiation (Figure 10b). Seen from Figure 10a, the temperature of the GO-TPU film rises sharply within 30 s after infrared irradiation, and then the rise rate gradually slows down in the subsequent 30 s. Figure 10b shows that the maximum conversion temperature of the GO-TPU film increases with the increase of the loading of GO under infrared light irradiation 60 s. When the loading of GO is 7 wt %, the maximum conversion temperatures of GO-TPU film with the TPU initial concentration of 10 wt %, 20 wt %, and 30 wt % reach a maximum of 149.6 °C, 165.6 °C, and 183.6 °C, which is an increase of 30.8%, 63%, and 43.8%, respectively, compared to pure TPU. On the one hand, GO has excellent infrared light-to-heat conversion ability, which can convert infrared light into heat and transfer it to the substrate; the photothermal conversion efficiency is related to the distribution of GO. The GO sheets stack and agglomerate in case of the low initial concentration of TPU because of the internal stress between the GO sheets; while the GO sheets are difficult to disperse in case of the high initial concentration of TPU.
Figure 10.
(a) Time-dependent temperature of GO-TPU films with the initial concentration of TPU of 20 wt % under near-infrared light with different loadings of GO and (b) the maximum conversion temperature with different initial concentrations of TPU of 10 wt %, 20 wt %, and 30 wt %, respectively, and different loadings of GO after 60 s of infrared light irradiation.
It should be pointed out that the near-infrared photothermal conversion efficiency of the GO-TPU film is slightly different from that of the graphene-TPU film we previously reported [44]. Comparing the experimental results of the two, it can be seen that the near-infrared photothermal conversion efficiency of graphene is higher than that of GO.
To reveal the heat distribution of GO-TPU film, we measured the infrared images of the GO-TPU films with the initial concentration of TPU of 20 wt % and different loading of GO heated for 60 s via IR light. As show in Figure 11, the IR images show uniform color distribution. As mentioned above, GO sheets have a large number of oxygen-containing functional groups, which makes GO compatible in the TPU matrix. As the loading of GO increases, the GO agglomerates to form the higher concentration of GO area than the surrounding due to the interaction of the van der Waals force and electrostatic force between the GO. The photothermal conversion temperature in this area is higher than the surroundings, so, “hot spots” are formed [39,41].
Figure 11.
Infrared images of the GO-TPU films with loadings of GO via IR light pure TPU (a), 0.1 wt % (b), 0.3 wt % (c), 0.6 wt % (d), 1 wt % (e), 2 wt % (f), 3 wt % (g), 4 wt % (h), 5 wt % (i), and 7 wt % (j), respectively.
3.5. Self-Healing of GO-TPU Films
We further studied the self-healing performance of GO-TPU films with different loadings of GO by infrared light. Figure 12 shows the optical microscope photographs of self-healing of GO-TPU with an initial concentration of TPU of 20 wt % and GO of 2 wt % under infrared light with an infrared light intensity of 3450 lux (the distance between the infrared lamp and the sample is 10 cm). It can be seen from Figure 12 that there is an obvious scratch on the surface of the GO-TPU film before the infrared light is turned on. After the infrared lamp is turned on, as the irradiation time increases, the scratch is gradually repaired. The scratch completely disappeared after the infrared lamp irradiated for 10 min. In addition, with the increase of the infrared lamp irradiation time, the sample surface gradually brightened. This may be due to the thermal melting and solidification of the GO-TPU film [16,42,43,44,45].
Figure 12.
Optical micrographs of the self-healing of GO-TPU film with the TPU initial concentration of 20 wt % and 2 wt % GO under infrared light irradiation, and the inserts show the sample after scratched and self-healed.
Figure 13 displays the SEM images of GO-TPU film with TPU initial concentration of 20 wt % and different loadings of GO under the irradiation of an infrared lamp with an infrared light intensity of 3450 lux for 10 min. It can be seen from Figure 13 that the self-healing effect of the pure TPU sample did not heal under infrared light irradiation (a, a`). The GO-TPU films with the loading of GO of 1 wt % (b, b`), 3 wt % (c, c`), and 5 wt % (d, d`) are almost completely healed, showing the excellent self-healing effect. The good photothermal conversion efficiency of GO makes the temperature of GO-TPU film rise rapidly in a short time. When the rising temperature is higher than the glass transition temperature (Tg) of the GO-TPU film, the soft chains of TPU can move freely, causing wetting, diffusion, and surface rearrangement between the polyurethane molecular chains, so that the GO-TPU composite film can be repaired [16,44,45].
Figure 13.
SEM images of the pure TPU (a,a`) and the GO-TPU films with the loading of the GO of 1 wt % (b,b`), 3 wt % (c,c`), and 5 wt % (d,d`) under the irradiation of an infrared lamp with an infrared light intensity of 3450 lux for 10 min.
In order to study the effect of the initial concentration of TPU on the self-healing performance of GO-TPU film, we tested the self-healing performance of the scratch GO-TPU films with 2 wt % and the initial concentration of TPU of 10 wt %, 20 wt %, and 30 wt %, respectively, by using optical image. It can be seen from Figure 14 that three samples with different initial TPU concentrations are basically completely repaired after irradiation under the infrared lamp for 10 min. However, when the initial concentration of TPU is 10 wt %, there is obvious dents around the scratch. When the initial concentration of TPU is 30 wt %, the sample surface becomes uneven. Only when the TPU concentration is 20 wt %, the whole sample is still smooth and flat. This may be that the TPU around the scratch undergo thermal movement at the low initial concentration of the TPU (10 wt %), and the scratch is filled under the action of gravity, resulting in a decrease in the surrounding TPU, so depression is formed around the scratch. When the TPU concentration is too high (30 wt %), a small amount of GO sheets agglomerates and stacks due to excessive viscosity. The agglomerated GO sheets hinders the thermal movement of the polyurethane molecules and makes the surface of the sample uneven. When the initial concentration of the TPU is moderate, the GO sheets can be uniformly dispersed in the TPU, which effectively promotes the thermal movement of the TPU, and makes the surface of the sample smooth and flat.
Figure 14.
Optical images of scratch sample with 2 wt % GO and TPU initial concentration of 10 wt % (a), 20 wt % (b), and 30 wt % (c), respectively, healed at 130 °C for 10 min using IR lamp.
4. Conclusions
Graphene oxide (GO)—thermoplastic polyurethane (TPU) composite film were prepared by blending and tape casting processes. The relationships between thermal conductivity, infrared photothermal response, self-healing performance of the GO-TPU film, and the loading of GO and the initial TPU concentration were systematically investigated. The experimental results demonstrate that GO improves the thermal stability of TPU. The thermal conductivity of the GO-TPU film first increases and then decreases with the increase of the loading of GO. The mechanical property of the GO-TPU film increases with the increase of the initial concentration of TPU and first increase and then decreases with the increase of the loading of GO. The GO-TPU film with the initial concentration of TPU of 30 wt % and the loading of GO of 0.6 wt % has the largest tensile strength. The GO-TPU film has excellent near-infrared photothermal response performance and the photothermal conversion temperature increases with the increase in the loading of GO. The scratch on the GO-TPU film can be completely repaired after being irradiated by infrared light for 10 min, which shows that the GO-TPU composite film has good self-healing properties.
Author Contributions
Z.-M.Z. conceived and designed the experiments and investigation; K.W. performed the experiments and analyzed the data; Y.-H.W. contributed reagents/materials/analysis tool, original draft preparation, review and editing. All authors have read and agreed to the published version of the manuscript.
Funding
This research was funded by Key fields of ordinary universities of Guangdong Province and Zhongshan Science and Technology Projects (2018SYF10).
Informed Consent Statement
Informed consent was obtained from all subjects involved in the study.
Data Availability Statement
The data presented in this study are available in [High Performance of Thermoplastic Polyurethane-Graphene Oxide Self-Healing Composite Film].
Conflicts of Interest
The authors declare no conflict of interest.
References
- Nouri, N.; Rezaei, M.; Sofla, R.L.M.; Babaie, A. Synthesis of reduced octadecyl isocyanate-functionalized graphene oxide nanosheets and investigation of their effect on physical, mechanical, and shape memory properties of polyurethane nanocomposites. Compos. Sci. Technol. 2020, 194, 108170. [Google Scholar] [CrossRef]
- Thakur, V.K.; Kessler, M.R. Self-healing polymer nanocomposite materials: A review. Polymer 2015, 69, 369–383. [Google Scholar] [CrossRef]
- Terryn, S.; Brancart, J.; Lefeber, D.; Van Assche, G.; VanderBorght, B. A Pneumatic Artificial Muscle Manufactured Out of Self-Healing Polymers That Can Repair Macroscopic Damages. IEEE Robot. Autom. Lett. 2017, 3, 16–21. [Google Scholar] [CrossRef]
- Invernizzi, M.; Turri, S.; Levi, M.; Suriano, R. 4D printed thermally activated self-healing and shape memory polycaprolactone-based polymers. Eur. Polym. J. 2018, 101, 169–176. [Google Scholar] [CrossRef]
- Huynh, T.-P.; Sonar, P.; Haick, H. Advanced Materials for Use in Soft Self-Healing Devices. Adv. Mater. 2017, 29, 1604973. [Google Scholar] [CrossRef]
- Jiang, S.; He, Z.; Li, Q.; Wang, J.; Wu, G.; Zhao, Y.; Kang, M. Effect of carbon fiber-graphene oxide multiscale reinforcements on the thermo-mechanical properties of polyurethane elastomer. Polym. Compos. 2019, 40, E953–E961. [Google Scholar] [CrossRef]
- Pokharel, P.; Pant, B.; Pokhrel, K.; Pant, H.R.; Lim, J.-G.; Lee, D.S.; Kim, H.Y.; Choi, S. Effects of functional groups on the graphene sheet for improving the thermomechanical properties of polyurethane nanocomposites. Compos. Part B Eng. 2015, 78, 192–201. [Google Scholar] [CrossRef]
- Zhang, L.; Zhu, W.; Huang, Y.; Qi, S. Synergetic Effects of Silver Nanowires and Graphene Oxide on Thermal Conductivity of Epoxy Composites. Nanomaterials 2019, 9, 1264. [Google Scholar] [CrossRef]
- Zhou, X.; Hu, B.; Xiao, W.Q.; Yan, L.; Wang, Z.J.; Zhang, J.J.; Lin, H.L.; Bian, J.; Lu, Y. Morphology and properties of shape memory thermoplastic polyurethane composites incorporating graphene-montmorillonite hybrids. J. Appl. Polym. Sci. 2018, 135, 135. [Google Scholar] [CrossRef]
- Yang, L.; Lu, X.; Wang, Z.; Xia, H. Diels–Alder dynamic crosslinked polyurethane/polydopamine composites with NIR triggered self-healing function. Polym. Chem. 2018, 9, 2166–2172. [Google Scholar] [CrossRef]
- Du, P.; Wu, M.; Liu, X.; Zheng, Z.; Wang, X.; Joncheray, T.; Zhang, Y. Diels-Alder-based crosslinked self-healing polyurethane/urea from polymeric methylene diphenyl diisocyanate. J. Appl. Polym. Sci. 2013, 131, 40234. [Google Scholar] [CrossRef]
- Zou, W.; Dong, J.; Luo, Y.; Zhao, Q.; Xie, T. Dynamic Covalent Polymer Networks: From Old Chemistry to Modern Day Innovations. Adv. Mater. 2017, 29, 1606100. [Google Scholar] [CrossRef] [PubMed]
- Ma, X.; Shi, C.; Huang, X.; Liu, Y.; Wei, Y. Effect of natural melanin nanoparticles on a self-healing cross-linked polyurethane. Polym. J. 2019, 51, 547–558. [Google Scholar] [CrossRef]
- Tee, B.C.-K.; Wang, C.; Allen, R.; Bao, Z. An electrically and mechanically self-healing composite with pressure- and flexion-sensitive properties for electronic skin applications. Nat. Nanotechnol. 2012, 7, 825–832. [Google Scholar] [CrossRef]
- Bailey, B.M.; Leterrier, Y.; Garcia, S.J.; Van Der Zwaag, S.; Michaud, V. Electrically conductive self-healing polymer composite coatings. Prog. Org. Coat. 2015, 85, 189–198. [Google Scholar] [CrossRef]
- Kang, J.; Tok, J.B.-H.; Bao, Z. Self-healing soft electronics. Nat. Electron. 2019, 2, 144–150. [Google Scholar] [CrossRef]
- Lee, D.-I.; Kim, S.-H.; Lee, D.-S. Synthesis of Self-Healing Waterborne Polyurethane Systems Chain Extended with Chitosan. Polymers 2019, 11, 503. [Google Scholar] [CrossRef]
- Wang, Y.; Liu, Q.; Li, J.; Ling, L.; Zhang, G.; Sun, R.; Wong, C.-P. UV-triggered self-healing polyurethane with enhanced stretchability and elasticity. Polymer 2019, 172, 187–195. [Google Scholar] [CrossRef]
- Wu, G.; Xu, X.; He, X.; Yan, Y. Preparation and Characterization of Graphene Oxide-Modified Sapium sebiferum Oil-Based Polyurethane Composites with Improved Thermal and Mechanical Properties. Polymers 2018, 10, 133. [Google Scholar] [CrossRef]
- Wang, Z.; Xie, C.; Yu, C.; Fei, G.; Xia, H. A Facile Strategy for Self-Healing Polyurethanes Containing Multiple Metal-Ligand Bonds. Macromol. Rapid Commun. 2018, 39, e1700678. [Google Scholar] [CrossRef]
- Li, J.; Liang, J.; Li, L.; Ren, F.; Hu, W.; Li, J.; Qi, S.; Pei, Q. Healable Capacitive Touch Screen Sensors Based on Transparent Composite Electrodes Comprising Silver Nanowires and a Furan/Maleimide Diels–Alder Cycloaddition Polymer. ACS Nano 2014, 8, 12874–12882. [Google Scholar] [CrossRef] [PubMed]
- Feng, L.; Yu, Z.; Bian, Y.; Lu, J.; Shi, X.; Chai, C. Self-healing behavior of polyurethanes based on dual actions of thermo-reversible Diels-Alder reaction and thermal movement of molecular chains. Polymer 2017, 124, 48–59. [Google Scholar] [CrossRef]
- Huang, Y.-L.; Baji, A.; Tien, H.-W.; Yang, Y.; Yang, S.-Y.; Wu, S.-Y.; Ma, C.-C.M.; Liu, H.; Mai, Y.-W.; Wang, N.-H. Self-assembly of silver–graphene hybrid on electrospun polyurethane nanofibers as flexible transparent conductive thin films. Carbon 2012, 50, 3473–34811. [Google Scholar] [CrossRef]
- Um, J.G.; Habibpour, S.; Jun, Y.-S.; Elkamel, A.; Yu, A. Development of π–π Interaction-Induced Functionalized Graphene Oxide on Mechanical and Anticorrosive Properties of Reinforced Polyurethane Composites. Ind. Eng. Chem. Res. 2020, 59, 3617–3628. [Google Scholar] [CrossRef]
- Xu, X.; Fan, P.; Ren, J.; Cheng, Y.; Renc, J.; Zhao, J.; Song, R. Self-healing thermoplastic polyurethane (TPU)/polycaprolactone (PCL) /multi-wall carbon nanotubes (MWCNTs) blend as shape-memory composites. Compos. Sci. Technol. 2018, 168, 255–262. [Google Scholar] [CrossRef]
- Shin, S.-H.; Kim, S.-M.; Jeon, H.; Hwang, S.Y.; Oh, D.X.; Park, J. Skin-Inspired Hydrogel-Elastomer Hybrid Forms a Seamless Interface by Autonomous Hetero-Self-Healing. ACS Appl. Polym. Mater. 2020, 2, 5352–5357. [Google Scholar] [CrossRef]
- Bhattacharya, S.; Hailstone, R.K.; Lewis, C.L. Thermoplastic Blend Exhibiting Shape Memory-Assisted Self-Healing Functionality. ACS Appl. Mater. Interfaces 2020, 12, 46733–46742. [Google Scholar] [CrossRef]
- Kim, K.-S.; Bin Choi, S.; Kim, D.U.; Lee, C.-R.; Kim, J.-W. Photo-induced healing of stretchable transparent electrodes based on thermoplastic polyurethane with embedded metallic nanowires. J. Mater. Chem. A 2018, 6, 12420–12429. [Google Scholar] [CrossRef]
- Strankowski, M.; Korzeniewski, P.; Strankowska, J.; A. S., A.; Thomas, S. Morphology, Mechanical and Thermal Properties of Thermoplastic Polyurethane Containing Reduced Graphene Oxide and Graphene Nanoplatelets. Materials 2018, 11, 82. [Google Scholar] [CrossRef]
- Wang, X.; Hu, Y.; Song, L.; Yang, H.; Xing, W.; Lu, H. In situ polymerization of graphene nanosheets and polyurethane with enhanced mechanical and thermal properties. J. Mater. Chem. 2011, 21, 4222–4227. [Google Scholar] [CrossRef]
- Cai, D.; Jin, J.; Yusoh, K.; Rafiq, R.; Song, M. High performance polyurethane/functionalized graphene nanocomposites with improved mechanical and thermal properties. Compos. Sci. Technol. 2012, 72, 702–707. [Google Scholar] [CrossRef]
- Han, N.R.; Cho, J.W. Effect of click coupled hybrids of graphene oxide and thin-walled carbon nanotubes on the mechanical properties of polyurethane nanocomposites. Compos. Part A Appl. Sci. Manuf. 2018, 109, 376–381. [Google Scholar] [CrossRef]
- Yousefi, N.; Moazzami-Gudarzi, M.; Zheng, Q.; Aboutalebi, S.H.; Sharif, F.; Kim, J.-K. Self-alignment and high electrical conductivity of ultralarge graphene oxide–polyurethane nanocomposites. J. Mater. Chem. 2012, 22, 12709–12717. [Google Scholar] [CrossRef]
- Jing, Q.; Liu, W.; Pan, Y.; Silberschmidt, V.V.; Li, L.; Dong, Z. Chemical functionalization of graphene oxide for improving mechanical and thermal properties of polyurethane composites. Mater. Des. 2015, 85, 808–814. [Google Scholar] [CrossRef]
- Jing, Q.; Liu, Q.; Li, L.; Dong, Z.; Silberschmidt, V.V. Effect of graphene-oxide enhancement on large-deflection bending performance of thermoplastic polyurethane elastomer. Compos. Part B Eng. 2016, 89, 1–8. [Google Scholar] [CrossRef]
- Ribeiro, H.; Trigueiro, J.P.; Woellner, C.F.; Pedrotti, J.J.; Miquita, D.R.; Silva, W.M.; Lopes, M.C.; Fechine, G.J.M.; Luciano, M.A.; Silva, G.G.; et al. Higher thermal conductivity and mechanical enhancements in hybrid 2D polymer nanocomposites. Polym. Test. 2020, 87, 106510. [Google Scholar] [CrossRef]
- Li, Y.; Pan, D.; Chen, S.; Wang, Q.; Pan, G.; Wang, T. In situ polymerization and mechanical, thermal properties of polyurethane/graphene oxide/epoxy nanocomposites. Mater. Des. 2013, 47, 850–856. [Google Scholar] [CrossRef]
- Haghdadeh, P.; Ghaffari, M.; Ramezanzadeh, B.; Bahlakeh, G.; Saeb, M.R. Polyurethane coatings reinforced with 3-(triethoxysilyl)propyl isocyanate functionalized graphene oxide nanosheets: Mechanical and anti-corrosion properties. Prog. Org. Coat. 2019, 136, 105243. [Google Scholar] [CrossRef]
- Haghdadeh, P.; Ghaffari, M.; Ramezanzadeh, B.; Bahlakeh, G.; Saeb, M.R. The role of functionalized graphene oxide on the mechanical and anti-corrosion properties of polyurethane coating. J. Taiwan Inst. Chem. Eng. 2018, 86, 199–212. [Google Scholar] [CrossRef]
- Gaidukovs, S.; Kampars, V.; Bitenieks, J.; Bochkov, I.; Gaidukova, G.; Cabulis, U. Thermo-mechanical properties of polyurethane modified with graphite oxide and carbon nanotube particles. Integr. Ferroelectr. 2016, 173, 1–11. [Google Scholar] [CrossRef]
- Sofla, R.L.M.; Rezaei, M.; Babaie, A. Investigation of the effect of graphene oxide functionalization on the physical, mechanical and shape memory properties of polyurethane/reduced graphene oxide nanocomposites. Diam. Relat. Mater. 2019, 95, 195–205. [Google Scholar] [CrossRef]
- Liu, X.; Song, K.; Lu, C.; Huang, Y.; Duan, X.; Li, S.; Ding, Y. Electrospun PU@GO separators for advanced lithium ion batteries. J. Membr. Sci. 2018, 555, 1–6. [Google Scholar] [CrossRef]
- Lu, X.; Liangb, B.; Shengc, X.; Yuanb, T.; Qua, J. Enhanced thermal conductivity of polyurethane/wood powder composite phase change materials via incorporating low loading of graphene oxide nanosheets for solar thermal energy storage. Sol. Energy Mater. Sol. Cells 2020, 208, 110391. [Google Scholar] [CrossRef]
- Wang, K.; Zhou, Z.; Zhang, J.; Tang, J.; Wu, P.; Wang, Y.; Zhao, Y.; Leng, Y. Electrical and Thermal and Self-Healing Properties of Graphene-Thermopolyurethane Flexible Conductive Films. Nanomaterials 2020, 10, 753. [Google Scholar] [CrossRef] [PubMed]
- 4Bekas, D.G.; Tsirka, K.; Baltzis, D.; Paipetis, A. Self-healing materials: A review of advances in materials, evaluation, characterization and monitoring techniques. Compos. Part B Eng. 2016, 87, 92–119. [Google Scholar] [CrossRef]
Publisher’s Note: MDPI stays neutral with regard to jurisdictional claims in published maps and institutional affiliations. |
© 2021 by the authors. Licensee MDPI, Basel, Switzerland. This article is an open access article distributed under the terms and conditions of the Creative Commons Attribution (CC BY) license (http://creativecommons.org/licenses/by/4.0/).













